
Australian National University
2025-07-09




191 genotypes, 288 observations, 2 blocks





We’ll use asreml to fit linear mixed models.
And broom.asreml to extract model values in a tidy way.


units is a specially reserved term in asreml that is uniquely identifies each observational unit, i.e. factor(1:nrow(data)).units is used to create the nugget effects.# A tibble: 7 × 5
term estimate std.error statistic constraint
<chr> <dbl> <dbl> <dbl> <chr>
1 block 0.0000000302 NA NA B
2 colf 0.000000125 NA NA B
3 rowf 0.000000260 NA NA B
4 units 0.114 0.0201 5.68 P
5 colf:rowf!R 0.532 0.290 1.83 P
6 colf:rowf!colf!cor 0.969 0.0255 38.0 U
7 colf:rowf!rowf!cor 0.980 NA NA F
\sigma^2\begin{bmatrix}1 & \rho_c & \rho^2_c &\cdots &\rho_c^{C-1}\\\rho_c &1& \rho_c&\ddots&\rho_c^{C-2}\\\rho_c^2 & \rho_c & 1 &\ddots&\rho_c^{C-3}\\\vdots & \ddots & \ddots & \ddots & \vdots \\ \rho_c^{C-1} & \rho_c^{C-2} & \rho_c^{C-3} & \cdots & 1\end{bmatrix}\otimes\begin{bmatrix}1 & \rho_r & \rho^2_r &\cdots &\rho_r^{R-1}\\\rho_r &1& \rho_r&\ddots&\rho_r^{R-2}\\\rho_r^2 & \rho_r & 1 &\ddots&\rho_r^{R-3}\\\vdots & \ddots & \ddots & \ddots & \vdots \\ \rho_r^{R-1} & \rho_r^{R-2} & \rho_r^{R-3} & \cdots & 1\end{bmatrix}
\sigma^2\begin{bmatrix}1 & \rho_c & \rho^2_c &\cdots &\rho_c^{C-1}\\\rho_c &1& \rho_c&\ddots&\rho_c^{C-2}\\\rho_c^2 & \rho_c & 1 &\ddots&\rho_c^{C-3}\\\vdots & \ddots & \ddots & \ddots & \vdots \\ \rho_c^{C-1} & \rho_c^{C-2} & \rho_c^{C-3} & \cdots & 1\end{bmatrix}\otimes\mathbf{I}_R
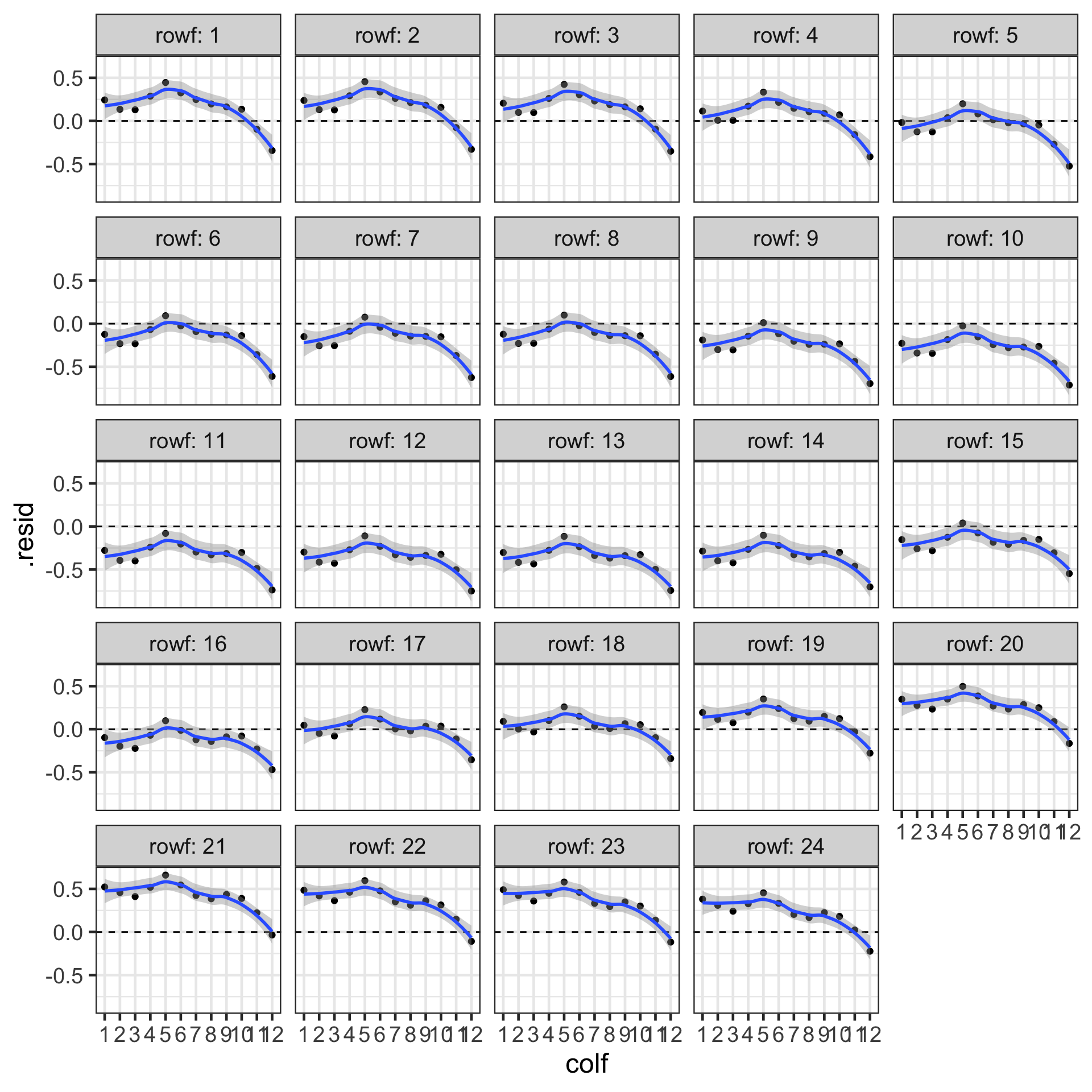
augment(fit_ar1xar1) |>
ggplot(aes(.fitted, .resid)) +
geom_hline(yintercept = 0, linetype = "dashed") +
geom_point()

Sample variogram is made of:


ped <- data.frame(me=paste0("I", c(1:11, 13)),
mum=c(0, 0, 0, 0, "I1", "I1", "I1", "I2", "I3", "I5", "I7", "I9"),
dad=c(0, 0,0, 0, "I2", "I2", "I3", "I3", "I4", "I6", "I8", "I9"),
fgen=c(rep(0, 11), 2))
ped me mum dad fgen
1 I1 0 0 0
2 I2 0 0 0
3 I3 0 0 0
4 I4 0 0 0
5 I5 I1 I2 0
6 I6 I1 I2 0
7 I7 I1 I3 0
8 I8 I2 I3 0
9 I9 I3 I4 0
10 I10 I5 I6 0
11 I11 I7 I8 0
12 I13 I9 I9 2
The \mathbf{A} matrix is a square matrix that represents the additive genetic relationships between individuals in a population.

| I1 | I2 | I3 | I4 | I5 | I6 | I7 | I8 | I9 | I10 | I11 | I13 | |
|---|---|---|---|---|---|---|---|---|---|---|---|---|
| I1 | 1.000 | 0.000 | 0.000 | 0.000 | 0.500 | 0.500 | 0.500 | 0.000 | 0.000 | 0.500 | 0.250 | 0.000 |
| I2 | 0.000 | 1.000 | 0.000 | 0.000 | 0.500 | 0.500 | 0.000 | 0.500 | 0.000 | 0.500 | 0.250 | 0.000 |
| I3 | 0.000 | 0.000 | 1.000 | 0.000 | 0.000 | 0.000 | 0.500 | 0.500 | 0.500 | 0.000 | 0.500 | 0.500 |
| I4 | 0.000 | 0.000 | 0.000 | 1.000 | 0.000 | 0.000 | 0.000 | 0.000 | 0.500 | 0.000 | 0.000 | 0.500 |
| I5 | 0.500 | 0.500 | 0.000 | 0.000 | 1.000 | 0.500 | 0.250 | 0.250 | 0.000 | 0.750 | 0.250 | 0.000 |
| I6 | 0.500 | 0.500 | 0.000 | 0.000 | 0.500 | 1.000 | 0.250 | 0.250 | 0.000 | 0.750 | 0.250 | 0.000 |
| I7 | 0.500 | 0.000 | 0.500 | 0.000 | 0.250 | 0.250 | 1.000 | 0.250 | 0.250 | 0.250 | 0.625 | 0.250 |
| I8 | 0.000 | 0.500 | 0.500 | 0.000 | 0.250 | 0.250 | 0.250 | 1.000 | 0.250 | 0.250 | 0.625 | 0.250 |
| I9 | 0.000 | 0.000 | 0.500 | 0.500 | 0.000 | 0.000 | 0.250 | 0.250 | 1.000 | 0.000 | 0.250 | 1.000 |
| I10 | 0.500 | 0.500 | 0.000 | 0.000 | 0.750 | 0.750 | 0.250 | 0.250 | 0.000 | 1.250 | 0.250 | 0.000 |
| I11 | 0.250 | 0.250 | 0.500 | 0.000 | 0.250 | 0.250 | 0.625 | 0.625 | 0.250 | 0.250 | 1.125 | 0.250 |
| I13 | 0.000 | 0.000 | 0.500 | 0.500 | 0.000 | 0.000 | 0.250 | 0.250 | 1.000 | 0.000 | 0.250 | 1.875 |
# A tibble: 9,333 × 4
Me Mum Dad fgen
<chr> <chr> <chr> <dbl>
1 G0004 G9334 G9870 4
2 G0008 G9335 G9871 4
3 G0011 G9336 G9872 4
4 G0323 G9337 G9873 4
5 G0010 G9338 G9874 4
6 G0324 G9339 G0008 4
7 G0325 G9340 G0011 10
8 G0009 G9341 G9341 10
9 G0006 G9341 G9341 10
10 G0326 G9342 G0323 0
# ℹ 9,323 more rows
Row Column Ainverse
[1,] 1 1 1.173913e+00
[2,] 2 2 1.173913e+00
[3,] 3 3 1.173913e+00
[4,] 4 4 1.173913e+00
[5,] 5 5 1.173913e+00
[6,] 6 6 1.207792e+00
[7,] 7 7 1.624654e+00
[8,] 8 8 3.000977e+00
[9,] 9 9 3.328507e+00
[10,] 10 10 1.166775e+00
[11,] 11 11 1.593050e+00
[12,] 12 12 1.246154e+00
[13,] 13 13 1.181818e+00
[14,] 14 14 2.882353e+00
[15,] 15 15 1.202532e+00
[16,] 16 16 2.882353e+00
[17,] 17 17 1.941176e+00
[18,] 18 18 3.000000e+00
[19,] 19 19 1.941176e+00
[20,] 20 20 1.207792e+00
[21,] 21 21 1.941176e+00
[22,] 22 22 1.207792e+00
[23,] 23 23 1.941176e+00
[24,] 24 24 2.882353e+00
[25,] 25 25 4.545717e+00
[26,] 26 26 1.207792e+00
[27,] 27 27 1.207792e+00
[28,] 28 28 1.613268e+00
[29,] 29 29 1.207792e+00
[30,] 30 30 3.714010e+00
[31,] 31 31 1.941176e+00
[32,] 32 32 1.207792e+00
[33,] 33 33 4.938619e+00
[34,] 34 34 1.207792e+00
[35,] 35 35 1.941176e+00
[36,] 36 36 1.941176e+00
[37,] 37 37 1.941176e+00
[38,] 38 38 1.941176e+00
[39,] 39 39 1.941176e+00
[40,] 40 40 8.617643e+00
[41,] 41 41 1.941176e+00
[42,] 42 42 1.941176e+00
[43,] 43 43 1.941176e+00
[44,] 44 44 4.042707e+00
[45,] 45 45 1.941176e+00
[46,] 46 46 1.941176e+00
[47,] 47 47 1.941176e+00
[48,] 48 48 1.941176e+00
[49,] 49 49 1.941176e+00
[50,] 50 50 1.941176e+00
[51,] 51 51 1.941176e+00
[52,] 52 52 1.941176e+00
[53,] 53 53 1.941176e+00
[54,] 54 54 2.054019e+01
[55,] 55 55 3.052566e+00
[56,] 56 56 1.246154e+00
[57,] 57 57 1.246154e+00
[58,] 58 58 1.941176e+00
[59,] 59 59 1.941176e+00
[60,] 60 60 3.249601e+00
[61,] 61 61 1.941176e+00
[62,] 62 62 1.120434e+01
[63,] 63 63 1.999512e+00
[64,] 64 64 1.999512e+00
[65,] 65 65 3.052035e+00
[66,] 66 66 1.999024e+00
[67,] 67 67 1.167477e+01
[68,] 68 68 1.999512e+00
[69,] 69 69 1.999512e+00
[70,] 70 70 1.999512e+00
[71,] 71 71 1.999512e+00
[72,] 72 72 1.999512e+00
[73,] 73 73 1.999512e+00
[74,] 74 74 2.940688e+00
[75,] 75 75 2.940688e+00
[76,] 76 76 1.999512e+00
[77,] 77 77 1.999512e+00
[78,] 78 78 1.999512e+00
[79,] 79 79 1.999512e+00
[80,] 80 80 1.999512e+00
[81,] 81 81 1.999512e+00
[82,] 82 82 2.940688e+00
[83,] 83 83 1.999512e+00
[84,] 84 84 1.999512e+00
[85,] 85 85 3.999295e+00
[86,] 86 86 8.438261e+00
[87,] 87 87 1.941176e+00
[88,] 88 88 1.999024e+00
[89,] 89 89 1.941176e+00
[90,] 90 90 1.941176e+00
[91,] 91 91 1.941176e+00
[92,] 92 92 2.940201e+00
[93,] 93 93 1.234009e+01
[94,] 94 94 7.420629e+00
[95,] 95 95 4.017889e+00
[96,] 96 96 2.141176e+00
[97,] 97 97 1.888889e+00
[98,] 98 98 1.941176e+00
[99,] 99 99 6.955528e+00
[100,] 100 100 1.941176e+00
[101,] 101 101 1.888889e+00
[102,] 102 102 1.941176e+00
[103,] 103 103 1.242424e+00
[104,] 104 104 2.777778e+00
[105,] 105 105 1.941176e+00
[106,] 106 106 1.197683e+00
[107,] 107 107 1.888889e+00
[108,] 108 108 1.941176e+00
[109,] 109 109 1.222198e+00
[110,] 110 110 1.222198e+00
[111,] 111 111 1.444396e+00
[112,] 112 112 1.657534e+00
[113,] 113 113 1.222198e+00
[114,] 114 114 7.890443e+00
[115,] 115 115 1.207792e+00
[116,] 116 116 1.415584e+00
[117,] 117 117 1.207792e+00
[118,] 118 118 1.246154e+00
[119,] 119 119 7.153846e+00
[120,] 120 120 6.415385e+00
[121,] 121 121 1.246154e+00
[122,] 122 122 2.066667e+00
[123,] 123 123 2.066667e+00
[124,] 124 124 2.066667e+00
[125,] 125 125 3.105047e+00
[126,] 126 126 3.105047e+00
[127,] 127 127 1.339808e+01
[128,] 128 128 8.366906e+00
[129,] 129 129 1.185673e+01
[130,] 130 130 5.571429e+00
[131,] 131 131 1.215675e+01
[132,] 132 132 6.262076e+00
[133,] 133 133 1.552333e+01
[134,] 134 134 8.540820e+00
[135,] 135 135 1.131473e+01
[136,] 136 136 9.420187e+00
[137,] 137 137 3.104830e+00
[138,] 138 138 1.905662e+01
[139,] 139 139 4.788695e+00
[140,] 140 140 1.842019e+00
[141,] 141 141 2.204993e+01
[142,] 142 142 1.110422e+01
[143,] 143 143 2.753425e+00
[144,] 144 144 9.830544e+00
[145,] 145 145 2.534247e+00
[146,] 146 146 2.095890e+00
[147,] 147 147 1.219178e+00
[148,] 148 148 2.333044e+00
[149,] 149 149 4.999132e+00
[150,] 150 150 2.333044e+00
[151,] 151 151 5.887828e+00
[152,] 152 152 6.776524e+00
[153,] 153 153 1.788706e+01
[154,] 154 54 1.818182e-01
[155,] 154 154 8.060321e+00
[156,] 155 155 7.221547e+00
[157,] 156 156 3.444179e+00
[158,] 157 157 2.777392e+00
[159,] 158 158 5.221764e+00
[160,] 159 159 3.489758e+00
[161,] 160 160 1.181818e+00
[162,] 161 161 1.181818e+00
[163,] 162 162 1.181818e+00
[164,] 163 93 1.818182e-01
[165,] 163 163 1.181818e+00
[166,] 164 164 1.363636e+00
[167,] 165 165 1.181818e+00
[168,] 166 166 1.363636e+00
[169,] 167 167 1.181818e+00
[170,] 168 168 5.273389e+00
[171,] 169 67 2.000000e-01
[172,] 169 169 1.200000e+00
[173,] 170 67 6.000000e-01
[174,] 170 170 1.600000e+00
[175,] 171 171 1.200000e+00
[176,] 172 172 1.400000e+00
[177,] 173 173 1.200000e+00
[178,] 174 174 1.200000e+00
[179,] 175 175 1.400000e+00
[180,] 176 176 1.200000e+00
[181,] 177 177 1.600000e+00
[182,] 178 95 8.000000e-01
[183,] 178 178 1.800000e+00
[184,] 179 95 4.000000e-01
[185,] 179 179 1.400000e+00
[186,] 180 96 2.000000e-01
[187,] 180 180 1.200000e+00
[188,] 181 33 1.739130e-01
[189,] 181 181 1.173913e+00
[190,] 182 182 1.246154e+00
[191,] 183 183 1.484848e+00
[192,] 184 93 1.818182e-01
[193,] 184 184 1.181818e+00
[194,] 185 93 1.818182e-01
[195,] 185 185 1.181818e+00
[196,] 186 93 1.818182e-01
[197,] 186 186 1.620174e+00
[198,] 187 93 1.818182e-01
[199,] 187 187 1.181818e+00
[200,] 188 93 1.818182e-01
[201,] 188 188 8.195517e+00
[202,] 189 93 1.818182e-01
[203,] 189 189 3.592777e+00
[204,] 190 190 3.849315e+00
[205,] 191 191 2.315068e+00
[206,] 192 192 2.315068e+00
[207,] 193 193 1.438356e+00
[208,] 194 194 2.095890e+00
[209,] 195 195 1.219178e+00
[210,] 196 196 2.753425e+00
[211,] 197 197 1.657534e+00
[212,] 198 198 1.438356e+00
[213,] 199 199 2.972603e+00
[214,] 200 200 1.438356e+00
[215,] 201 201 1.438356e+00
[216,] 202 202 5.821918e+00
[217,] 203 203 5.164384e+00
[218,] 204 204 2.315068e+00
[219,] 205 205 1.657534e+00
[220,] 206 206 2.315068e+00
[221,] 207 207 2.972603e+00
[222,] 208 208 1.657534e+00
[223,] 209 209 1.657534e+00
[224,] 210 210 1.219178e+00
[225,] 211 211 1.219178e+00
[226,] 212 212 2.972603e+00
[227,] 213 213 2.534247e+00
[228,] 214 214 1.657534e+00
[229,] 215 215 1.438356e+00
[230,] 216 216 2.315068e+00
[231,] 217 217 1.876712e+00
[232,] 218 218 1.219178e+00
[233,] 219 219 1.657534e+00
[234,] 220 220 1.438356e+00
[235,] 221 221 1.876712e+00
[236,] 222 222 3.630137e+00
[237,] 223 223 4.506849e+00
[238,] 224 224 1.438356e+00
[239,] 225 225 1.438356e+00
[240,] 226 226 2.753425e+00
[241,] 227 227 2.534247e+00
[242,] 228 228 1.438356e+00
[243,] 229 229 4.506849e+00
[244,] 230 230 1.219178e+00
[245,] 231 231 4.726027e+00
[246,] 232 232 1.219178e+00
[247,] 233 233 3.630137e+00
[248,] 234 234 1.219178e+00
[249,] 235 235 1.657534e+00
[250,] 236 236 1.219178e+00
[251,] 237 237 2.000489e+00
[252,] 238 238 1.941176e+00
[253,] 239 239 2.160355e+00
[254,] 240 240 1.181818e+00
[255,] 241 241 1.181818e+00
[256,] 242 242 2.882353e+00
[257,] 243 243 1.941176e+00
[258,] 244 244 2.940688e+00
[259,] 245 245 2.940688e+00
[260,] 246 246 1.999512e+00
[261,] 247 247 1.999512e+00
[262,] 248 248 1.999512e+00
[263,] 249 249 1.999512e+00
[264,] 250 250 1.999024e+00
[265,] 251 251 1.939450e+00
[266,] 252 252 1.939450e+00
[267,] 253 253 1.941176e+00
[268,] 254 254 1.999512e+00
[269,] 255 255 1.941176e+00
[270,] 256 256 1.941176e+00
[271,] 257 257 1.999512e+00
[272,] 258 258 1.941176e+00
[273,] 259 259 1.941176e+00
[274,] 260 260 1.941176e+00
[275,] 261 261 1.941176e+00
[276,] 262 262 2.940688e+00
[277,] 263 263 2.940688e+00
[278,] 264 264 2.940688e+00
[279,] 265 265 2.940688e+00
[280,] 266 266 2.940688e+00
[281,] 267 267 2.940688e+00
[282,] 268 268 1.941176e+00
[283,] 269 269 1.999512e+00
[284,] 270 270 1.992248e+00
[285,] 271 271 2.206817e+00
[286,] 272 272 2.882353e+00
[287,] 273 173 2.000000e-01
[288,] 273 273 3.080626e+00
[289,] 274 274 2.940688e+00
[290,] 275 275 1.941176e+00
[291,] 276 276 1.941176e+00
[292,] 277 277 1.999512e+00
[293,] 278 278 1.999512e+00
[294,] 279 279 1.941176e+00
[295,] 280 280 1.941176e+00
[296,] 281 281 4.879162e+00
[297,] 282 282 1.939450e+00
[298,] 283 283 7.812099e+00
[299,] 284 284 1.992248e+00
[300,] 285 285 1.939450e+00
[301,] 286 286 1.939450e+00
[302,] 287 287 7.281138e+00
[303,] 288 288 1.992248e+00
[304,] 289 289 1.939450e+00
[305,] 290 290 1.939450e+00
[306,] 291 291 1.939450e+00
[307,] 292 292 1.999512e+00
[308,] 293 293 1.939450e+00
[309,] 294 294 1.992248e+00
[310,] 295 295 1.992248e+00
[311,] 296 296 2.931698e+00
[312,] 297 297 1.999024e+00
[313,] 298 298 1.999024e+00
[314,] 299 299 1.999512e+00
[315,] 300 300 1.992248e+00
[316,] 301 301 4.930722e+00
[317,] 302 302 1.992248e+00
[318,] 303 303 1.246154e+00
[319,] 304 304 1.941176e+00
[320,] 305 305 1.941176e+00
[321,] 306 306 1.941176e+00
[322,] 307 307 1.941176e+00
[323,] 308 308 1.941176e+00
[324,] 309 309 1.941176e+00
[325,] 310 310 2.940201e+00
[326,] 311 311 2.940201e+00
[327,] 312 312 2.940201e+00
[328,] 313 313 2.940201e+00
[329,] 314 314 2.940201e+00
[330,] 315 315 2.940201e+00
[331,] 316 316 2.940201e+00
[332,] 317 317 1.941176e+00
[333,] 318 318 1.941176e+00
[334,] 319 319 1.941176e+00
[335,] 320 320 1.941176e+00
[336,] 321 321 1.941176e+00
[337,] 322 322 1.941176e+00
[338,] 323 323 1.941176e+00
[339,] 324 324 1.941176e+00
[340,] 325 325 1.941176e+00
[341,] 326 326 1.941176e+00
[342,] 327 327 1.941176e+00
[343,] 328 328 1.941176e+00
[344,] 329 329 2.931698e+00
[345,] 330 330 4.362746e+01
[346,] 331 331 1.941176e+00
[347,] 332 332 6.190932e+00
[348,] 333 333 2.181314e+01
[349,] 334 334 2.940688e+00
[350,] 335 335 7.027386e+00
[351,] 336 336 3.939713e+00
[352,] 337 337 1.939450e+00
[353,] 338 338 1.266938e+01
[354,] 339 339 1.941176e+00
[355,] 340 340 2.940201e+00
[356,] 341 341 2.940201e+00
[357,] 342 9 2.000000e-01
[358,] 342 342 1.200000e+00
[359,] 343 343 1.941176e+00
[360,] 344 344 1.219178e+00
[361,] 345 345 1.465332e+00
[362,] 346 346 1.207792e+00
[363,] 347 347 1.800000e+00
[364,] 348 348 1.941176e+00
[365,] 349 349 3.209063e+00
[366,] 350 350 2.210038e+00
[367,] 351 351 4.578947e+00
[368,] 352 352 1.941176e+00
[369,] 353 353 1.800000e+00
[370,] 354 354 1.999512e+00
[371,] 355 355 1.999512e+00
[372,] 356 356 1.999512e+00
[373,] 357 357 5.075331e+00
[374,] 358 358 3.230158e+00
[375,] 359 359 1.939450e+00
[376,] 360 360 1.939450e+00
[377,] 361 361 3.025050e+00
[378,] 362 362 3.025050e+00
[379,] 363 363 1.999512e+00
[380,] 364 364 8.658071e+00
[381,] 365 365 1.939450e+00
[382,] 366 366 1.999512e+00
[383,] 367 367 1.939450e+00
[384,] 368 368 2.970732e+00
[385,] 369 369 2.819943e+00
[386,] 370 370 3.731698e+00
[387,] 371 371 1.939450e+00
[388,] 372 372 2.739450e+00
[389,] 373 373 2.739450e+00
[390,] 374 374 2.739450e+00
[391,] 375 375 2.739450e+00
[392,] 376 376 6.431579e+00
[393,] 377 377 1.941176e+00
[394,] 378 378 1.800000e+00
[395,] 379 379 1.800000e+00
[396,] 380 380 1.800000e+00
[397,] 381 381 1.800000e+00
[398,] 382 382 1.800000e+00
[399,] 383 383 2.799512e+00
[400,] 384 384 1.999512e+00
[401,] 385 385 6.897073e+00
[402,] 386 386 1.193894e+01
[403,] 387 387 3.905263e+00
[404,] 388 388 4.340862e+01
[405,] 389 389 1.800000e+00
[406,] 390 390 1.800000e+00
[407,] 391 391 1.800000e+00
[408,] 392 392 1.226286e+01
[409,] 393 393 4.373003e+00
[410,] 394 394 1.800000e+00
[411,] 395 395 7.337283e+00
[412,] 396 396 1.800000e+00
[413,] 397 397 2.723077e+00
[414,] 398 398 1.800000e+00
[415,] 399 399 1.999512e+00
[416,] 400 400 1.999512e+00
[417,] 401 401 1.800000e+00
[418,] 402 402 1.888889e+00
[419,] 403 403 1.999512e+00
[420,] 404 404 1.999024e+00
[421,] 405 405 1.999024e+00
[422,] 406 406 1.999024e+00
[423,] 407 407 1.999024e+00
[424,] 408 408 1.999024e+00
[425,] 409 409 1.999024e+00
[426,] 410 410 1.999024e+00
[427,] 411 411 1.999024e+00
[428,] 412 412 1.999024e+00
[429,] 413 413 1.999024e+00
[430,] 414 414 1.999024e+00
[431,] 415 415 1.999024e+00
[432,] 416 416 1.999024e+00
[433,] 417 417 1.999024e+00
[434,] 418 418 1.999024e+00
[435,] 419 419 2.999268e+00
[436,] 420 420 4.859205e+00
[437,] 421 421 2.131237e+01
[438,] 422 422 3.999593e+00
[439,] 423 423 3.666287e+00
[440,] 424 424 1.939450e+00
[441,] 425 425 1.999512e+00
[442,] 426 426 2.999349e+00
[443,] 427 427 1.999512e+00
[444,] 428 428 1.939450e+00
[445,] 429 429 1.352515e+01
[446,] 430 430 9.154894e+00
[447,] 431 431 1.436967e+01
[448,] 432 432 3.064516e+00
[449,] 433 433 2.032258e+00
[450,] 434 434 3.133333e+00
[451,] 435 435 4.200000e+00
[452,] 436 436 2.066667e+00
[453,] 437 437 2.066667e+00
[454,] 438 438 2.066667e+00
[455,] 439 439 2.066667e+00
[456,] 440 440 2.066667e+00
[457,] 441 441 3.133333e+00
[458,] 442 442 2.066667e+00
[459,] 443 443 3.133333e+00
[460,] 444 444 3.133333e+00
[461,] 445 445 3.133333e+00
[462,] 446 446 6.333333e+00
[463,] 447 447 4.200000e+00
[464,] 448 448 3.133333e+00
[465,] 449 449 2.066667e+00
[466,] 450 450 2.066667e+00
[467,] 451 451 3.133333e+00
[468,] 452 452 2.066667e+00
[469,] 453 453 2.066667e+00
[470,] 454 454 2.066667e+00
[471,] 455 455 2.066667e+00
[472,] 456 456 2.066667e+00
[473,] 457 457 2.066667e+00
[474,] 458 458 2.066667e+00
[475,] 459 459 2.066667e+00
[476,] 460 460 3.133333e+00
[477,] 461 461 2.066667e+00
[478,] 462 462 2.066667e+00
[479,] 463 463 4.276190e+00
[480,] 464 464 2.066667e+00
[481,] 465 465 2.142857e+00
[482,] 466 466 2.066667e+00
[483,] 467 467 3.133333e+00
[484,] 468 468 2.066667e+00
[485,] 469 469 3.133333e+00
[486,] 470 470 2.066667e+00
[487,] 471 471 1.700000e+01
[488,] 472 472 2.066667e+00
[489,] 473 473 3.000000e+00
[490,] 474 474 3.000000e+00
[491,] 475 475 7.000000e+00
[492,] 476 476 3.000000e+00
[493,] 477 477 2.170732e+00
[494,] 478 478 5.421053e+00
[495,] 479 479 2.971759e+00
[496,] 480 480 3.440208e+00
[497,] 481 481 1.888792e+00
[498,] 482 482 2.996534e+00
[499,] 483 483 2.777585e+00
[500,] 484 484 1.876337e+00
[501,] 485 485 2.095421e+00
[502,] 486 486 7.791613e+00
[503,] 487 487 6.038939e+00
[504,] 488 488 2.684211e+00
[505,] 489 489 2.052632e+00
[506,] 490 490 2.971759e+00
[507,] 491 491 2.263158e+00
[508,] 492 492 2.095421e+00
[509,] 493 493 1.665511e+00
[510,] 494 494 1.392597e+01
[511,] 495 495 2.110870e+00
[512,] 496 496 2.999891e+00
[513,] 497 497 2.999783e+00
[514,] 498 498 5.000000e+00
[515,] 499 499 3.947368e+00
[516,] 500 500 4.368421e+00
[517,] 501 501 3.444312e+00
[518,] 502 502 3.105263e+00
[519,] 503 503 2.999891e+00
[520,] 504 504 1.666594e+00
[521,] 505 505 3.888575e+00
[522,] 506 506 4.619202e+00
[523,] 507 507 1.923077e+00
[524,] 508 508 9.311688e+00
[525,] 509 509 5.654545e+00
[526,] 510 510 5.332411e+00
[527,] 511 511 5.332628e+00
[528,] 512 512 3.332954e+00
[529,] 513 513 3.666450e+00
[530,] 514 514 5.332628e+00
[531,] 515 515 2.250314e+01
[532,] 516 516 7.526450e+00
[533,] 517 517 2.666395e+00
[534,] 518 518 2.999675e+00
[535,] 519 519 4.332791e+00
[536,] 520 520 2.957935e+00
[537,] 521 521 1.326322e+00
[538,] 522 522 1.978967e+00
[539,] 523 523 1.633716e+01
[540,] 524 524 1.246262e+01
[541,] 525 525 6.248986e+00
[542,] 526 526 2.303881e+01
[543,] 527 527 2.631612e+00
[544,] 528 528 3.560000e+00
[545,] 529 529 5.160000e+00
[546,] 530 530 1.100851e+01
[547,] 531 531 3.144101e+01
[548,] 532 532 7.637430e+00
[549,] 533 533 4.589547e+00
[550,] 534 534 1.540000e+01
[551,] 535 535 9.640000e+00
[552,] 536 536 3.880000e+00
[553,] 537 1 1.739130e-01
[554,] 537 537 1.173913e+00
[555,] 538 2 1.739130e-01
[556,] 538 538 1.173913e+00
[557,] 539 3 1.739130e-01
[558,] 539 539 1.173913e+00
[559,] 540 4 1.739130e-01
[560,] 540 540 1.173913e+00
[561,] 541 5 1.739130e-01
[562,] 541 541 1.173913e+00
[563,] 542 10 1.667752e-01
[564,] 542 542 1.166775e+00
[565,] 543 13 1.818182e-01
[566,] 543 543 1.181818e+00
[567,] 544 544 1.246154e+00
[568,] 545 545 1.465332e+00
[569,] 546 546 1.219178e+00
[570,] 547 547 1.941176e+00
[571,] 548 548 1.941176e+00
[572,] 549 55 1.702128e-01
[573,] 549 549 1.170213e+00
[574,] 550 550 1.207792e+00
[575,] 551 551 1.941176e+00
[576,] 552 552 1.246154e+00
[577,] 553 553 1.941176e+00
[578,] 554 554 1.222198e+00
[579,] 555 555 1.222198e+00
[580,] 556 556 2.143708e+00
[581,] 557 557 1.246154e+00
[582,] 558 558 1.246154e+00
[583,] 559 559 1.207792e+00
[584,] 560 560 1.941176e+00
[585,] 561 561 1.207792e+00
[586,] 562 562 2.631026e+00
[587,] 563 563 3.396571e+00
[588,] 564 564 1.999024e+00
[589,] 565 134 1.739130e-01
[590,] 565 565 2.172937e+00
[591,] 566 566 2.940688e+00
[592,] 567 567 2.940688e+00
[593,] 568 568 3.939713e+00
[594,] 569 569 1.207792e+00
[595,] 570 570 1.941176e+00
[596,] 571 571 1.941176e+00
[597,] 572 572 1.246154e+00
[598,] 573 573 1.355731e+00
[599,] 574 574 1.181818e+00
[600,] 575 93 3.636364e-01
[601,] 575 159 1.818182e-01
[602,] 575 162 1.818182e-01
[603,] 575 165 1.818182e-01
[604,] 575 167 1.818182e-01
[605,] 575 171 2.000000e-01
[606,] 575 176 2.000000e-01
[607,] 575 177 6.000000e-01
[608,] 575 575 3.090909e+00
[609,] 576 159 3.636364e-01
[610,] 576 160 1.818182e-01
[611,] 576 161 1.818182e-01
[612,] 576 174 2.000000e-01
[613,] 576 576 2.896970e+00
[614,] 577 164 3.636364e-01
[615,] 577 166 3.636364e-01
[616,] 577 175 4.000000e-01
[617,] 577 577 2.127273e+00
[618,] 578 172 4.000000e-01
[619,] 578 578 1.400000e+00
[620,] 579 579 1.216216e+00
[621,] 580 240 1.818182e-01
[622,] 580 580 1.181818e+00
[623,] 581 241 1.818182e-01
[624,] 581 581 1.181818e+00
[625,] 582 582 1.941176e+00
[626,] 583 583 1.888889e+00
[627,] 584 584 1.941176e+00
[628,] 585 585 1.941176e+00
[629,] 586 586 1.941176e+00
[630,] 587 587 1.999512e+00
[631,] 588 588 1.999512e+00
[632,] 589 589 1.999512e+00
[633,] 590 590 1.941176e+00
[634,] 591 591 7.653659e+00
[635,] 592 592 9.998210e+00
[636,] 593 593 8.331815e+00
[637,] 594 594 1.724967e+01
[638,] 595 595 1.219178e+00
[639,] 596 596 1.941176e+00
[640,] 597 597 7.665256e+00
[641,] 598 598 9.331652e+00
[642,] 599 599 1.999512e+00
[643,] 600 600 1.999512e+00
[644,] 601 601 1.999512e+00
[645,] 602 602 1.999512e+00
[646,] 603 603 5.904016e+00
[647,] 604 604 3.999593e+00
[648,] 605 605 1.999756e+00
[649,] 606 606 9.998535e+00
[650,] 607 1 -3.478261e-01
[651,] 607 239 1.160355e+00
[652,] 607 343 9.411765e-01
[653,] 607 537 -3.478261e-01
[654,] 607 585 9.411765e-01
[655,] 607 607 4.455361e+00
[656,] 608 2 -3.478261e-01
[657,] 608 6 2.077922e-01
[658,] 608 14 9.411765e-01
[659,] 608 19 9.411765e-01
[660,] 608 20 2.077922e-01
[661,] 608 22 2.077922e-01
[662,] 608 24 9.411765e-01
[663,] 608 26 2.077922e-01
[664,] 608 27 2.077922e-01
[665,] 608 28 2.077922e-01
[666,] 608 32 2.077922e-01
[667,] 608 34 2.077922e-01
[668,] 608 61 9.411765e-01
[669,] 608 538 -3.478261e-01
[670,] 608 544 2.461538e-01
[671,] 608 545 2.461538e-01
[672,] 608 548 9.411765e-01
[673,] 608 551 9.411765e-01
[674,] 608 552 2.461538e-01
[675,] 608 560 9.411765e-01
[676,] 608 561 2.077922e-01
[677,] 608 582 9.411765e-01
[678,] 608 608 1.438398e+01
[679,] 609 3 -3.478261e-01
[680,] 609 7 4.168615e-01
[681,] 609 9 2.461538e-01
[682,] 609 12 2.461538e-01
[683,] 609 28 4.054756e-01
[684,] 609 57 2.461538e-01
[685,] 609 105 9.411765e-01
[686,] 609 106 1.976834e-01
[687,] 609 108 9.411765e-01
[688,] 609 243 9.411765e-01
[689,] 609 539 -3.478261e-01
[690,] 609 550 2.077922e-01
[691,] 609 571 9.411765e-01
[692,] 609 584 9.411765e-01
[693,] 609 586 9.411765e-01
[694,] 609 595 2.191781e-01
[695,] 609 609 1.652984e+01
[696,] 610 4 -3.478261e-01
[697,] 610 9 1.882353e+00
[698,] 610 16 1.882353e+00
[699,] 610 17 9.411765e-01
[700,] 610 21 9.411765e-01
[701,] 610 23 9.411765e-01
[702,] 610 30 9.411765e-01
[703,] 610 31 9.411765e-01
[704,] 610 33 3.764706e+00
[705,] 610 40 9.411765e-01
[706,] 610 41 9.411765e-01
[707,] 610 42 9.411765e-01
[708,] 610 43 9.411765e-01
[709,] 610 44 3.042707e+00
[710,] 610 45 9.411765e-01
[711,] 610 55 1.882353e+00
[712,] 610 99 3.288861e+00
[713,] 610 100 9.411765e-01
[714,] 610 102 9.411765e-01
[715,] 610 112 6.575342e-01
[716,] 610 238 9.411765e-01
[717,] 610 242 1.882353e+00
[718,] 610 344 2.191781e-01
[719,] 610 345 4.653319e-01
[720,] 610 348 9.411765e-01
[721,] 610 352 9.411765e-01
[722,] 610 377 9.411765e-01
[723,] 610 540 -3.478261e-01
[724,] 610 557 2.461538e-01
[725,] 610 558 2.461538e-01
[726,] 610 569 2.077922e-01
[727,] 610 570 9.411765e-01
[728,] 610 572 2.461538e-01
[729,] 610 596 9.411765e-01
[730,] 610 610 1.133808e+02
[731,] 611 5 -3.478261e-01
[732,] 611 11 5.930502e-01
[733,] 611 14 9.411765e-01
[734,] 611 15 2.025316e-01
[735,] 611 24 9.411765e-01
[736,] 611 29 2.077922e-01
[737,] 611 30 6.415206e-01
[738,] 611 98 9.411765e-01
[739,] 611 271 2.077922e-01
[740,] 611 303 2.461538e-01
[741,] 611 346 2.077922e-01
[742,] 611 541 -3.478261e-01
[743,] 611 546 2.191781e-01
[744,] 611 547 9.411765e-01
[745,] 611 553 9.411765e-01
[746,] 611 556 1.143708e+00
[747,] 611 559 2.077922e-01
[748,] 611 590 9.411765e-01
[749,] 611 611 2.273787e+01
[750,] 612 6 -4.155844e-01
[751,] 612 7 2.077922e-01
[752,] 612 46 9.411765e-01
[753,] 612 47 9.411765e-01
[754,] 612 48 9.411765e-01
[755,] 612 49 9.411765e-01
[756,] 612 50 9.411765e-01
[757,] 612 51 9.411765e-01
[758,] 612 52 9.411765e-01
[759,] 612 53 9.411765e-01
[760,] 612 56 2.461538e-01
[761,] 612 58 9.411765e-01
[762,] 612 182 2.461538e-01
[763,] 612 236 2.191781e-01
[764,] 612 283 9.411765e-01
[765,] 612 545 2.191781e-01
[766,] 612 608 -4.155844e-01
[767,] 612 612 1.771872e+01
[768,] 613 7 -3.953668e-01
[769,] 613 609 -3.953668e-01
[770,] 613 613 7.907336e-01
[771,] 614 8 -1.000489e+00
[772,] 614 25 2.888182e+00
[773,] 614 54 2.947065e+00
[774,] 614 60 8.887924e-01
[775,] 614 62 9.840708e+00
[776,] 614 63 9.995120e-01
[777,] 614 64 9.995120e-01
[778,] 614 65 2.052035e+00
[779,] 614 67 3.946577e+00
[780,] 614 68 9.995120e-01
[781,] 614 69 9.995120e-01
[782,] 614 70 9.995120e-01
[783,] 614 71 9.995120e-01
[784,] 614 72 9.995120e-01
[785,] 614 73 9.995120e-01
[786,] 614 74 9.995120e-01
[787,] 614 75 9.995120e-01
[788,] 614 76 9.995120e-01
[789,] 614 77 9.995120e-01
[790,] 614 78 9.995120e-01
[791,] 614 79 9.995120e-01
[792,] 614 80 9.995120e-01
[793,] 614 81 9.995120e-01
[794,] 614 82 9.995120e-01
[795,] 614 83 9.995120e-01
[796,] 614 84 9.995120e-01
[797,] 614 85 2.999295e+00
[798,] 614 86 2.332701e+00
[799,] 614 109 2.221981e-01
[800,] 614 110 2.221981e-01
[801,] 614 111 4.443962e-01
[802,] 614 113 2.221981e-01
[803,] 614 125 2.105047e+00
[804,] 614 126 2.105047e+00
[805,] 614 129 3.999589e+00
[806,] 614 131 5.894131e+00
[807,] 614 135 1.031473e+01
[808,] 614 138 3.157570e+00
[809,] 614 140 8.420187e-01
[810,] 614 144 4.666160e+00
[811,] 614 153 1.688706e+01
[812,] 614 154 8.887924e-01
[813,] 614 155 6.221547e+00
[814,] 614 156 2.444179e+00
[815,] 614 158 4.221764e+00
[816,] 614 168 3.332213e+00
[817,] 614 244 9.995120e-01
[818,] 614 245 9.995120e-01
[819,] 614 246 9.995120e-01
[820,] 614 247 9.995120e-01
[821,] 614 248 9.995120e-01
[822,] 614 249 9.995120e-01
[823,] 614 262 9.995120e-01
[824,] 614 263 9.995120e-01
[825,] 614 264 9.995120e-01
[826,] 614 265 9.995120e-01
[827,] 614 266 9.995120e-01
[828,] 614 267 9.995120e-01
[829,] 614 269 9.995120e-01
[830,] 614 274 9.995120e-01
[831,] 614 277 9.995120e-01
[832,] 614 278 9.995120e-01
[833,] 614 283 9.995120e-01
[834,] 614 287 1.409727e+00
[835,] 614 299 9.995120e-01
[836,] 614 301 9.995120e-01
[837,] 614 330 4.486342e+00
[838,] 614 336 9.995120e-01
[839,] 614 349 9.995120e-01
[840,] 614 350 9.995120e-01
[841,] 614 354 9.995120e-01
[842,] 614 355 9.995120e-01
[843,] 614 356 9.995120e-01
[844,] 614 358 2.230158e+00
[845,] 614 361 2.025050e+00
[846,] 614 362 2.025050e+00
[847,] 614 363 9.995120e-01
[848,] 614 364 4.896558e+00
[849,] 614 366 9.995120e-01
[850,] 614 369 1.819943e+00
[851,] 614 383 9.995120e-01
[852,] 614 384 9.995120e-01
[853,] 614 385 9.995120e-01
[854,] 614 393 8.887924e-01
[855,] 614 395 3.221493e+00
[856,] 614 481 8.887924e-01
[857,] 614 497 1.999783e+00
[858,] 614 504 6.665943e-01
[859,] 614 505 2.888575e+00
[860,] 614 506 1.777585e+00
[861,] 614 562 1.631026e+00
[862,] 614 563 9.995120e-01
[863,] 614 566 9.995120e-01
[864,] 614 567 9.995120e-01
[865,] 614 568 9.995120e-01
[866,] 614 614 2.416379e+03
[867,] 615 8 -1.000489e+00
[868,] 615 40 4.367587e+00
[869,] 615 54 3.789084e+00
[870,] 615 114 5.683626e+00
[871,] 615 127 1.073574e+01
[872,] 615 131 5.262617e+00
[873,] 615 136 8.420187e+00
[874,] 615 138 4.841608e+00
[875,] 615 141 1.578785e+01
[876,] 615 142 1.010422e+01
[877,] 615 254 9.995120e-01
[878,] 615 257 9.995120e-01
[879,] 615 281 9.995120e-01
[880,] 615 283 9.995120e-01
[881,] 615 287 9.995120e-01
[882,] 615 292 9.995120e-01
[883,] 615 301 9.995120e-01
[884,] 615 334 9.995120e-01
[885,] 615 335 3.871019e+00
[886,] 615 483 1.777585e+00
[887,] 615 554 2.221981e-01
[888,] 615 555 2.221981e-01
[889,] 615 614 1.024000e+03
[890,] 615 615 2.077725e+03
[891,] 616 9 -1.882353e+00
[892,] 616 610 -6.956435e-02
[893,] 616 616 5.577494e+00
[894,] 617 251 9.394495e-01
[895,] 617 252 9.394495e-01
[896,] 617 273 9.394495e-01
[897,] 617 281 9.394495e-01
[898,] 617 282 9.394495e-01
[899,] 617 283 9.394495e-01
[900,] 617 285 9.394495e-01
[901,] 617 286 9.394495e-01
[902,] 617 287 9.394495e-01
[903,] 617 289 9.394495e-01
[904,] 617 290 9.394495e-01
[905,] 617 291 9.394495e-01
[906,] 617 293 9.394495e-01
[907,] 617 296 9.394495e-01
[908,] 617 301 9.394495e-01
[909,] 617 329 9.394495e-01
[910,] 617 330 1.369390e+01
[911,] 617 332 5.190932e+00
[912,] 617 333 6.000739e+00
[913,] 617 337 9.394495e-01
[914,] 617 338 1.166938e+01
[915,] 617 359 9.394495e-01
[916,] 617 360 9.394495e-01
[917,] 617 364 2.761514e+00
[918,] 617 365 9.394495e-01
[919,] 617 367 9.394495e-01
[920,] 617 370 9.394495e-01
[921,] 617 371 9.394495e-01
[922,] 617 372 9.394495e-01
[923,] 617 373 9.394495e-01
[924,] 617 374 9.394495e-01
[925,] 617 375 9.394495e-01
[926,] 617 424 9.394495e-01
[927,] 617 428 9.394495e-01
[928,] 617 429 6.526450e+00
[929,] 617 431 1.957935e+00
[930,] 617 479 1.971759e+00
[931,] 617 484 8.763372e-01
[932,] 617 485 1.095421e+00
[933,] 617 486 6.791613e+00
[934,] 617 487 5.038939e+00
[935,] 617 490 1.971759e+00
[936,] 617 492 1.095421e+00
[937,] 617 494 1.292597e+01
[938,] 617 520 1.957935e+00
[939,] 617 521 3.263225e-01
[940,] 617 522 9.789675e-01
[941,] 617 523 1.533716e+01
[942,] 617 525 3.915870e+00
[943,] 617 526 5.547482e+00
[944,] 617 527 1.631612e+00
[945,] 617 530 4.568515e+00
[946,] 617 531 1.142129e+01
[947,] 617 532 1.305290e+00
[948,] 617 610 -6.975477e-01
[949,] 617 616 -6.975477e-01
[950,] 617 617 6.135930e+02
[951,] 618 610 -6.975477e-01
[952,] 618 616 -6.975477e-01
[953,] 618 618 1.395095e+00
[954,] 619 10 -3.335505e-01
[955,] 619 40 1.419990e+00
[956,] 619 54 1.004980e+01
[957,] 619 60 1.360809e+00
[958,] 619 66 9.990244e-01
[959,] 619 88 9.990244e-01
[960,] 619 92 9.990244e-01
[961,] 619 93 9.990244e-01
[962,] 619 114 9.990244e-01
[963,] 619 128 7.366906e+00
[964,] 619 132 5.262076e+00
[965,] 619 133 1.452333e+01
[966,] 619 134 7.366906e+00
[967,] 619 137 2.104830e+00
[968,] 619 138 6.524974e+00
[969,] 619 139 3.788695e+00
[970,] 619 141 5.262076e+00
[971,] 619 148 1.333044e+00
[972,] 619 149 3.999132e+00
[973,] 619 150 1.333044e+00
[974,] 619 151 4.887828e+00
[975,] 619 152 5.776524e+00
[976,] 619 154 5.332176e+00
[977,] 619 157 1.777392e+00
[978,] 619 250 9.990244e-01
[979,] 619 271 9.990244e-01
[980,] 619 281 9.990244e-01
[981,] 619 283 9.990244e-01
[982,] 619 287 9.990244e-01
[983,] 619 297 9.990244e-01
[984,] 619 298 9.990244e-01
[985,] 619 310 9.990244e-01
[986,] 619 311 9.990244e-01
[987,] 619 312 9.990244e-01
[988,] 619 313 9.990244e-01
[989,] 619 314 9.990244e-01
[990,] 619 315 9.990244e-01
[991,] 619 316 9.990244e-01
[992,] 619 330 1.679073e+01
[993,] 619 333 8.587248e+00
[994,] 619 336 9.990244e-01
[995,] 619 340 9.990244e-01
[996,] 619 341 9.990244e-01
[997,] 619 349 9.990244e-01
[998,] 619 357 4.075331e+00
[999,] 619 404 9.990244e-01
[1000,] 619 405 9.990244e-01
[1001,] 619 406 9.990244e-01
[1002,] 619 407 9.990244e-01
[1003,] 619 408 9.990244e-01
[1004,] 619 409 9.990244e-01
[1005,] 619 410 9.990244e-01
[1006,] 619 411 9.990244e-01
[1007,] 619 412 9.990244e-01
[1008,] 619 413 9.990244e-01
[1009,] 619 414 9.990244e-01
[1010,] 619 415 9.990244e-01
[1011,] 619 416 9.990244e-01
[1012,] 619 417 9.990244e-01
[1013,] 619 418 9.990244e-01
[1014,] 619 495 1.110870e+00
[1015,] 619 542 -3.335505e-01
[1016,] 619 563 9.990244e-01
[1017,] 619 564 9.990244e-01
[1018,] 619 565 9.990244e-01
[1019,] 619 568 9.990244e-01
[1020,] 619 614 6.861320e+02
[1021,] 619 615 6.930626e+02
[1022,] 619 619 1.906782e+03
[1023,] 620 11 -3.953668e-01
[1024,] 620 610 1.601607e+01
[1025,] 620 611 -3.953668e-01
[1026,] 620 620 1.680681e+01
[1027,] 621 12 -4.923077e-01
[1028,] 621 609 -4.923077e-01
[1029,] 621 621 9.846154e-01
[1030,] 622 13 -3.636364e-01
[1031,] 622 30 1.131313e+00
[1032,] 622 40 8.888889e-01
[1033,] 622 97 8.888889e-01
[1034,] 622 99 2.666667e+00
[1035,] 622 101 8.888889e-01
[1036,] 622 103 2.424242e-01
[1037,] 622 104 1.777778e+00
[1038,] 622 107 8.888889e-01
[1039,] 622 183 4.848485e-01
[1040,] 622 402 8.888889e-01
[1041,] 622 543 -3.636364e-01
[1042,] 622 583 8.888889e-01
[1043,] 622 614 7.968872e+00
[1044,] 622 615 7.968872e+00
[1045,] 622 622 4.195182e+01
[1046,] 623 30 -1.777778e+00
[1047,] 623 622 -1.777778e+00
[1048,] 623 623 3.555556e+00
[1049,] 624 544 -4.923077e-01
[1050,] 624 608 -4.923077e-01
[1051,] 624 624 9.846154e-01
[1052,] 625 545 -4.923077e-01
[1053,] 625 608 -4.923077e-01
[1054,] 625 625 9.846154e-01
[1055,] 626 14 -1.882353e+00
[1056,] 626 608 -1.882353e+00
[1057,] 626 626 3.764706e+00
[1058,] 627 15 -4.050633e-01
[1059,] 627 609 5.565217e-01
[1060,] 627 610 1.159139e+01
[1061,] 627 611 -4.050633e-01
[1062,] 627 627 1.343058e+01
[1063,] 628 16 -1.882353e+00
[1064,] 628 610 -1.882353e+00
[1065,] 628 628 3.764706e+00
[1066,] 629 17 -1.882353e+00
[1067,] 629 610 -1.882353e+00
[1068,] 629 629 3.764706e+00
[1069,] 630 18 -2.000000e+00
[1070,] 630 630 2.000000e+00
[1071,] 631 19 -1.882353e+00
[1072,] 631 608 -1.548585e+00
[1073,] 631 631 4.098474e+00
[1074,] 632 608 2.252279e-01
[1075,] 632 631 -6.675359e-01
[1076,] 632 632 2.227835e+00
[1077,] 633 20 -4.155844e-01
[1078,] 633 608 -4.155844e-01
[1079,] 633 633 8.311688e-01
[1080,] 634 608 -1.785527e+00
[1081,] 634 610 1.256442e+01
[1082,] 634 632 -1.785527e+00
[1083,] 634 634 1.613547e+01
[1084,] 635 610 -2.512883e+01
[1085,] 635 634 -2.512883e+01
[1086,] 635 635 5.025767e+01
[1087,] 636 21 -1.882353e+00
[1088,] 636 610 -1.882353e+00
[1089,] 636 636 3.764706e+00
[1090,] 637 22 -4.155844e-01
[1091,] 637 608 -4.155844e-01
[1092,] 637 614 1.744954e+01
[1093,] 637 615 1.587597e+01
[1094,] 637 619 8.508823e-01
[1095,] 637 637 3.500756e+01
[1096,] 638 23 -1.882353e+00
[1097,] 638 610 -1.882353e+00
[1098,] 638 638 3.764706e+00
[1099,] 639 610 -3.115892e+01
[1100,] 639 620 -3.150769e+01
[1101,] 639 639 6.336416e+01
[1102,] 640 11 -3.953668e-01
[1103,] 640 611 -3.953668e-01
[1104,] 640 640 7.907336e-01
[1105,] 641 24 -1.882353e+00
[1106,] 641 611 -9.411765e-01
[1107,] 641 641 4.705882e+00
[1108,] 642 611 -1.167269e+00
[1109,] 642 641 -1.882353e+00
[1110,] 642 642 4.479790e+00
[1111,] 643 24 -1.882353e+00
[1112,] 643 608 -9.411765e-01
[1113,] 643 643 4.705882e+00
[1114,] 644 608 -1.167269e+00
[1115,] 644 643 -1.882353e+00
[1116,] 644 644 4.479790e+00
[1117,] 645 608 -1.430168e+00
[1118,] 645 614 1.452482e+01
[1119,] 645 644 -1.430168e+00
[1120,] 645 645 1.738516e+01
[1121,] 646 611 -1.430168e+00
[1122,] 646 614 1.452482e+01
[1123,] 646 627 4.725427e-01
[1124,] 646 642 -1.430168e+00
[1125,] 646 646 1.785770e+01
[1126,] 647 30 -4.848485e-01
[1127,] 647 622 -4.848485e-01
[1128,] 647 647 9.696970e-01
[1129,] 648 546 -4.383562e-01
[1130,] 648 609 5.423729e-01
[1131,] 648 611 -4.383562e-01
[1132,] 648 648 1.419085e+00
[1133,] 649 609 -5.423729e-01
[1134,] 649 648 -5.423729e-01
[1135,] 649 649 1.084746e+00
[1136,] 650 609 -5.423729e-01
[1137,] 650 648 -5.423729e-01
[1138,] 650 650 1.084746e+00
[1139,] 651 7 -4.155844e-01
[1140,] 651 25 6.575342e-01
[1141,] 651 35 9.411765e-01
[1142,] 651 36 9.411765e-01
[1143,] 651 37 9.411765e-01
[1144,] 651 38 9.411765e-01
[1145,] 651 39 9.411765e-01
[1146,] 651 54 1.564553e+00
[1147,] 651 59 9.411765e-01
[1148,] 651 67 5.928189e+00
[1149,] 651 74 9.411765e-01
[1150,] 651 75 9.411765e-01
[1151,] 651 82 9.411765e-01
[1152,] 651 86 5.105560e+00
[1153,] 651 87 9.411765e-01
[1154,] 651 89 9.411765e-01
[1155,] 651 90 9.411765e-01
[1156,] 651 91 9.411765e-01
[1157,] 651 92 9.411765e-01
[1158,] 651 93 7.078163e+00
[1159,] 651 94 6.420629e+00
[1160,] 651 95 1.817889e+00
[1161,] 651 96 9.411765e-01
[1162,] 651 114 2.077922e-01
[1163,] 651 115 2.077922e-01
[1164,] 651 116 4.155844e-01
[1165,] 651 117 2.077922e-01
[1166,] 651 119 6.153846e+00
[1167,] 651 120 5.415385e+00
[1168,] 651 121 2.461538e-01
[1169,] 651 127 1.662338e+00
[1170,] 651 129 6.857143e+00
[1171,] 651 130 4.571429e+00
[1172,] 651 138 3.532468e+00
[1173,] 651 143 1.753425e+00
[1174,] 651 144 4.164384e+00
[1175,] 651 145 1.534247e+00
[1176,] 651 146 1.095890e+00
[1177,] 651 147 2.191781e-01
[1178,] 651 154 6.575342e-01
[1179,] 651 168 9.411765e-01
[1180,] 651 186 4.383562e-01
[1181,] 651 188 7.013699e+00
[1182,] 651 189 2.410959e+00
[1183,] 651 190 2.849315e+00
[1184,] 651 191 1.315068e+00
[1185,] 651 192 1.315068e+00
[1186,] 651 193 4.383562e-01
[1187,] 651 194 1.095890e+00
[1188,] 651 195 2.191781e-01
[1189,] 651 196 1.753425e+00
[1190,] 651 197 6.575342e-01
[1191,] 651 198 4.383562e-01
[1192,] 651 199 1.972603e+00
[1193,] 651 200 4.383562e-01
[1194,] 651 201 4.383562e-01
[1195,] 651 202 4.821918e+00
[1196,] 651 203 4.164384e+00
[1197,] 651 204 1.315068e+00
[1198,] 651 205 6.575342e-01
[1199,] 651 206 1.315068e+00
[1200,] 651 207 1.972603e+00
[1201,] 651 208 6.575342e-01
[1202,] 651 209 6.575342e-01
[1203,] 651 210 2.191781e-01
[1204,] 651 211 2.191781e-01
[1205,] 651 212 1.972603e+00
[1206,] 651 213 1.534247e+00
[1207,] 651 214 6.575342e-01
[1208,] 651 215 4.383562e-01
[1209,] 651 216 1.315068e+00
[1210,] 651 217 8.767123e-01
[1211,] 651 218 2.191781e-01
[1212,] 651 219 6.575342e-01
[1213,] 651 220 4.383562e-01
[1214,] 651 221 8.767123e-01
[1215,] 651 222 2.630137e+00
[1216,] 651 223 3.506849e+00
[1217,] 651 224 4.383562e-01
[1218,] 651 225 4.383562e-01
[1219,] 651 226 1.753425e+00
[1220,] 651 227 1.534247e+00
[1221,] 651 228 4.383562e-01
[1222,] 651 229 3.506849e+00
[1223,] 651 230 2.191781e-01
[1224,] 651 231 3.726027e+00
[1225,] 651 232 2.191781e-01
[1226,] 651 233 2.630137e+00
[1227,] 651 234 2.191781e-01
[1228,] 651 235 6.575342e-01
[1229,] 651 244 9.411765e-01
[1230,] 651 245 9.411765e-01
[1231,] 651 253 9.411765e-01
[1232,] 651 255 9.411765e-01
[1233,] 651 256 9.411765e-01
[1234,] 651 258 9.411765e-01
[1235,] 651 259 9.411765e-01
[1236,] 651 260 9.411765e-01
[1237,] 651 261 9.411765e-01
[1238,] 651 262 9.411765e-01
[1239,] 651 263 9.411765e-01
[1240,] 651 264 9.411765e-01
[1241,] 651 265 9.411765e-01
[1242,] 651 266 9.411765e-01
[1243,] 651 267 9.411765e-01
[1244,] 651 268 9.411765e-01
[1245,] 651 272 1.882353e+00
[1246,] 651 273 9.411765e-01
[1247,] 651 274 9.411765e-01
[1248,] 651 275 9.411765e-01
[1249,] 651 276 9.411765e-01
[1250,] 651 279 9.411765e-01
[1251,] 651 280 9.411765e-01
[1252,] 651 281 9.411765e-01
[1253,] 651 283 9.411765e-01
[1254,] 651 287 9.411765e-01
[1255,] 651 304 9.411765e-01
[1256,] 651 305 9.411765e-01
[1257,] 651 306 9.411765e-01
[1258,] 651 307 9.411765e-01
[1259,] 651 308 9.411765e-01
[1260,] 651 309 9.411765e-01
[1261,] 651 310 9.411765e-01
[1262,] 651 311 9.411765e-01
[1263,] 651 312 9.411765e-01
[1264,] 651 313 9.411765e-01
[1265,] 651 314 9.411765e-01
[1266,] 651 315 9.411765e-01
[1267,] 651 316 9.411765e-01
[1268,] 651 317 9.411765e-01
[1269,] 651 318 9.411765e-01
[1270,] 651 319 9.411765e-01
[1271,] 651 320 9.411765e-01
[1272,] 651 321 9.411765e-01
[1273,] 651 322 9.411765e-01
[1274,] 651 323 9.411765e-01
[1275,] 651 324 9.411765e-01
[1276,] 651 325 9.411765e-01
[1277,] 651 326 9.411765e-01
[1278,] 651 327 9.411765e-01
[1279,] 651 328 9.411765e-01
[1280,] 651 330 1.953835e+00
[1281,] 651 331 9.411765e-01
[1282,] 651 333 1.751303e+00
[1283,] 651 334 9.411765e-01
[1284,] 651 335 2.156366e+00
[1285,] 651 336 9.411765e-01
[1286,] 651 339 9.411765e-01
[1287,] 651 340 9.411765e-01
[1288,] 651 341 9.411765e-01
[1289,] 651 566 9.411765e-01
[1290,] 651 567 9.411765e-01
[1291,] 651 568 9.411765e-01
[1292,] 651 612 -4.155844e-01
[1293,] 651 614 2.557964e+01
[1294,] 651 615 4.720707e+00
[1295,] 651 619 5.769014e+00
[1296,] 651 651 4.509204e+02
[1297,] 652 614 -2.486924e+01
[1298,] 652 645 -2.904965e+01
[1299,] 652 652 6.227970e+01
[1300,] 653 25 -1.999024e+00
[1301,] 653 614 -1.999024e+00
[1302,] 653 619 2.499390e-01
[1303,] 653 651 3.068493e+00
[1304,] 653 653 7.316480e+00
[1305,] 654 547 -1.882353e+00
[1306,] 654 611 -1.882353e+00
[1307,] 654 654 3.764706e+00
[1308,] 655 26 -4.155844e-01
[1309,] 655 608 -4.155844e-01
[1310,] 655 655 8.311688e-01
[1311,] 656 548 -1.882353e+00
[1312,] 656 608 -1.882353e+00
[1313,] 656 656 3.764706e+00
[1314,] 657 27 -4.155844e-01
[1315,] 657 608 -4.155844e-01
[1316,] 657 657 8.311688e-01
[1317,] 658 28 -4.155844e-01
[1318,] 658 608 -4.155844e-01
[1319,] 658 658 8.311688e-01
[1320,] 659 29 -4.155844e-01
[1321,] 659 611 -4.155844e-01
[1322,] 659 659 8.311688e-01
[1323,] 660 30 -3.953668e-01
[1324,] 660 611 -3.953668e-01
[1325,] 660 660 7.907336e-01
[1326,] 661 31 -1.882353e+00
[1327,] 661 610 -1.882353e+00
[1328,] 661 661 3.764706e+00
[1329,] 662 609 -5.565217e-01
[1330,] 662 610 5.333333e+00
[1331,] 662 627 -5.565217e-01
[1332,] 662 662 6.446377e+00
[1333,] 663 610 -1.066667e+01
[1334,] 663 662 -1.066667e+01
[1335,] 663 663 2.133333e+01
[1336,] 664 609 -5.565217e-01
[1337,] 664 627 -5.565217e-01
[1338,] 664 664 1.113043e+00
[1339,] 665 32 -4.155844e-01
[1340,] 665 608 -4.155844e-01
[1341,] 665 665 8.311688e-01
[1342,] 666 33 -1.882353e+00
[1343,] 666 610 -1.882353e+00
[1344,] 666 666 3.764706e+00
[1345,] 667 34 -4.155844e-01
[1346,] 667 608 -4.155844e-01
[1347,] 667 667 8.311688e-01
[1348,] 668 35 -1.882353e+00
[1349,] 668 651 -1.882353e+00
[1350,] 668 668 3.764706e+00
[1351,] 669 36 -1.882353e+00
[1352,] 669 651 -1.882353e+00
[1353,] 669 669 3.764706e+00
[1354,] 670 37 -1.882353e+00
[1355,] 670 651 -1.882353e+00
[1356,] 670 670 3.764706e+00
[1357,] 671 38 -1.882353e+00
[1358,] 671 651 -1.882353e+00
[1359,] 671 671 3.764706e+00
[1360,] 672 39 -1.882353e+00
[1361,] 672 651 -1.882353e+00
[1362,] 672 672 3.764706e+00
[1363,] 673 16 -1.882353e+00
[1364,] 673 610 -1.882353e+00
[1365,] 673 673 3.764706e+00
[1366,] 674 40 -1.882353e+00
[1367,] 674 610 -1.882353e+00
[1368,] 674 619 2.104830e-01
[1369,] 674 674 3.975189e+00
[1370,] 675 41 -1.882353e+00
[1371,] 675 610 -1.882353e+00
[1372,] 675 675 3.764706e+00
[1373,] 676 42 -1.882353e+00
[1374,] 676 610 -1.882353e+00
[1375,] 676 676 3.764706e+00
[1376,] 677 43 -1.882353e+00
[1377,] 677 610 -1.882353e+00
[1378,] 677 677 3.764706e+00
[1379,] 678 44 -1.882353e+00
[1380,] 678 610 -1.882353e+00
[1381,] 678 678 3.764706e+00
[1382,] 679 45 -1.882353e+00
[1383,] 679 610 -1.882353e+00
[1384,] 679 679 3.764706e+00
[1385,] 680 46 -1.882353e+00
[1386,] 680 612 -1.499119e+00
[1387,] 680 680 4.147939e+00
[1388,] 681 47 -1.882353e+00
[1389,] 681 612 -1.882353e+00
[1390,] 681 681 3.764706e+00
[1391,] 682 48 -1.882353e+00
[1392,] 682 612 -1.882353e+00
[1393,] 682 682 3.764706e+00
[1394,] 683 49 -1.882353e+00
[1395,] 683 612 -1.882353e+00
[1396,] 683 683 3.764706e+00
[1397,] 684 50 -1.882353e+00
[1398,] 684 612 -1.882353e+00
[1399,] 684 684 3.764706e+00
[1400,] 685 51 -1.882353e+00
[1401,] 685 612 -1.882353e+00
[1402,] 685 685 3.764706e+00
[1403,] 686 52 -1.882353e+00
[1404,] 686 612 -1.882353e+00
[1405,] 686 686 3.764706e+00
[1406,] 687 53 -1.882353e+00
[1407,] 687 612 -1.882353e+00
[1408,] 687 687 3.764706e+00
[1409,] 688 54 -1.007874e+00
[1410,] 688 270 9.922481e-01
[1411,] 688 283 9.922481e-01
[1412,] 688 284 9.922481e-01
[1413,] 688 287 9.922481e-01
[1414,] 688 288 9.922481e-01
[1415,] 688 294 9.922481e-01
[1416,] 688 295 9.922481e-01
[1417,] 688 296 9.922481e-01
[1418,] 688 300 9.922481e-01
[1419,] 688 301 9.922481e-01
[1420,] 688 302 9.922481e-01
[1421,] 688 329 9.922481e-01
[1422,] 688 330 5.702648e+00
[1423,] 688 333 4.473848e+00
[1424,] 688 370 9.922481e-01
[1425,] 688 480 2.440208e+00
[1426,] 688 482 1.996534e+00
[1427,] 688 493 6.655113e-01
[1428,] 688 508 8.311688e+00
[1429,] 688 509 4.654545e+00
[1430,] 688 688 1.980767e+02
[1431,] 689 55 -3.404255e-01
[1432,] 689 549 -3.404255e-01
[1433,] 689 576 9.696970e-01
[1434,] 689 689 3.163134e+01
[1435,] 690 44 -4.383562e-01
[1436,] 690 610 -4.383562e-01
[1437,] 690 690 8.767123e-01
[1438,] 691 118 2.461538e-01
[1439,] 691 271 -4.155844e-01
[1440,] 691 611 -4.155844e-01
[1441,] 691 619 1.575385e+01
[1442,] 691 691 1.683117e+01
[1443,] 692 550 -4.155844e-01
[1444,] 692 609 -4.155844e-01
[1445,] 692 692 8.311688e-01
[1446,] 693 56 -4.923077e-01
[1447,] 693 612 -4.923077e-01
[1448,] 693 619 3.984436e+00
[1449,] 693 651 6.572859e+00
[1450,] 693 693 1.304276e+01
[1451,] 694 57 -4.923077e-01
[1452,] 694 609 -4.923077e-01
[1453,] 694 615 2.666319e-01
[1454,] 694 694 1.251247e+00
[1455,] 695 14 -1.882353e+00
[1456,] 695 611 -1.882353e+00
[1457,] 695 695 3.764706e+00
[1458,] 696 551 -1.882353e+00
[1459,] 696 608 -1.548585e+00
[1460,] 696 696 4.098474e+00
[1461,] 697 608 -6.675359e-01
[1462,] 697 696 -6.675359e-01
[1463,] 697 697 1.335072e+00
[1464,] 698 552 -4.923077e-01
[1465,] 698 608 -4.923077e-01
[1466,] 698 698 9.846154e-01
[1467,] 699 28 -4.155844e-01
[1468,] 699 609 -4.155844e-01
[1469,] 699 699 8.311688e-01
[1470,] 700 58 -1.882353e+00
[1471,] 700 612 -1.404741e+00
[1472,] 700 700 4.242318e+00
[1473,] 701 612 -9.552239e-01
[1474,] 701 700 -9.552239e-01
[1475,] 701 701 1.910448e+00
[1476,] 702 59 -1.882353e+00
[1477,] 702 651 -7.326523e-01
[1478,] 702 702 4.914406e+00
[1479,] 703 651 -7.664671e-01
[1480,] 703 702 -7.664671e-01
[1481,] 703 703 1.532934e+00
[1482,] 704 614 -7.997267e-01
[1483,] 704 652 -7.997267e-01
[1484,] 704 704 1.599453e+00
[1485,] 705 614 -7.997267e-01
[1486,] 705 652 -7.997267e-01
[1487,] 705 705 1.599453e+00
[1488,] 706 614 -7.997267e-01
[1489,] 706 652 -7.997267e-01
[1490,] 706 706 1.599453e+00
[1491,] 707 60 -4.998780e-01
[1492,] 707 619 -4.998780e-01
[1493,] 707 707 9.997559e-01
[1494,] 708 25 -4.999390e-01
[1495,] 708 614 -4.999390e-01
[1496,] 708 708 9.998779e-01
[1497,] 709 25 -4.999390e-01
[1498,] 709 614 -4.999390e-01
[1499,] 709 709 9.998779e-01
[1500,] 710 61 -1.882353e+00
[1501,] 710 608 -1.548585e+00
[1502,] 710 710 4.098474e+00
[1503,] 711 608 -6.675359e-01
[1504,] 711 615 2.830684e-01
[1505,] 711 710 -6.675359e-01
[1506,] 711 711 1.618140e+00
[1507,] 712 553 -1.882353e+00
[1508,] 712 611 -9.411765e-01
[1509,] 712 712 4.705882e+00
[1510,] 713 611 -1.526232e-01
[1511,] 713 712 -1.882353e+00
[1512,] 713 713 5.494436e+00
[1513,] 714 611 -2.379860e+00
[1514,] 714 713 -3.459459e+00
[1515,] 714 714 7.998518e+00
[1516,] 715 611 -2.159199e+00
[1517,] 715 714 -2.159199e+00
[1518,] 715 715 4.318397e+00
[1519,] 716 93 2.162162e-01
[1520,] 716 554 -4.443962e-01
[1521,] 716 579 2.162162e-01
[1522,] 716 615 -4.443962e-01
[1523,] 716 693 5.161290e-01
[1524,] 716 716 1.837354e+00
[1525,] 717 615 -5.661368e-01
[1526,] 717 711 -5.661368e-01
[1527,] 717 717 1.132274e+00
[1528,] 718 93 8.648649e-01
[1529,] 718 555 -4.443962e-01
[1530,] 718 615 -4.443962e-01
[1531,] 718 693 7.741935e-01
[1532,] 718 718 2.527851e+00
[1533,] 719 615 -5.332639e-01
[1534,] 719 651 1.627119e+00
[1535,] 719 694 -5.332639e-01
[1536,] 719 719 2.693646e+00
[1537,] 720 159 1.944304e+00
[1538,] 720 610 -7.664671e-01
[1539,] 720 616 -7.664671e-01
[1540,] 720 720 5.011320e+00
[1541,] 721 610 -7.664671e-01
[1542,] 721 616 -7.664671e-01
[1543,] 721 689 6.243902e+00
[1544,] 721 721 7.776837e+00
[1545,] 722 610 -6.464646e-01
[1546,] 722 627 -6.464646e-01
[1547,] 722 722 1.292929e+00
[1548,] 723 610 -6.464646e-01
[1549,] 723 617 3.180124e+00
[1550,] 723 627 -6.464646e-01
[1551,] 723 720 1.534082e+00
[1552,] 723 723 6.007136e+00
[1553,] 724 556 -1.882353e+00
[1554,] 724 611 -1.548585e+00
[1555,] 724 724 4.098474e+00
[1556,] 725 611 -6.675359e-01
[1557,] 725 614 3.056716e+01
[1558,] 725 724 -6.675359e-01
[1559,] 725 725 3.190224e+01
[1560,] 726 617 -1.773160e+01
[1561,] 726 726 1.773160e+01
[1562,] 727 557 -4.923077e-01
[1563,] 727 610 -4.923077e-01
[1564,] 727 727 9.846154e-01
[1565,] 728 558 -4.923077e-01
[1566,] 728 610 -4.923077e-01
[1567,] 728 728 9.846154e-01
[1568,] 729 30 -3.953668e-01
[1569,] 729 611 -3.953668e-01
[1570,] 729 622 7.937984e+00
[1571,] 729 729 8.728718e+00
[1572,] 730 622 -1.554089e+01
[1573,] 730 729 -1.587597e+01
[1574,] 730 730 3.208702e+01
[1575,] 731 559 -4.155844e-01
[1576,] 731 611 -4.155844e-01
[1577,] 731 731 8.311688e-01
[1578,] 732 99 -1.882353e+00
[1579,] 732 610 -9.411765e-01
[1580,] 732 732 4.705882e+00
[1581,] 733 545 -4.383562e-01
[1582,] 733 612 -4.383562e-01
[1583,] 733 614 9.072171e+00
[1584,] 733 615 1.238207e+01
[1585,] 733 619 1.014429e+01
[1586,] 733 651 7.446126e+00
[1587,] 733 733 3.992137e+01
[1588,] 734 560 -1.882353e+00
[1589,] 734 608 -1.882353e+00
[1590,] 734 734 3.764706e+00
[1591,] 735 561 -4.155844e-01
[1592,] 735 608 -4.155844e-01
[1593,] 735 735 8.311688e-01
[1594,] 736 614 -5.713566e+01
[1595,] 736 725 -6.113433e+01
[1596,] 736 736 1.262673e+02
[1597,] 737 62 -1.999024e+00
[1598,] 737 614 7.452375e+00
[1599,] 737 737 1.344945e+01
[1600,] 738 63 -1.999024e+00
[1601,] 738 614 5.455835e-01
[1602,] 738 738 6.542655e+00
[1603,] 739 64 -1.999024e+00
[1604,] 739 614 1.272614e+00
[1605,] 739 739 7.269686e+00
[1606,] 740 65 -1.999024e+00
[1607,] 740 614 6.725344e+00
[1608,] 740 740 1.272242e+01
[1609,] 741 66 -1.998049e+00
[1610,] 741 574 1.818182e-01
[1611,] 741 619 -1.998049e+00
[1612,] 741 741 4.177916e+00
[1613,] 742 40 -1.998049e+00
[1614,] 742 619 5.457120e-01
[1615,] 742 742 6.539858e+00
[1616,] 743 40 -1.999024e+00
[1617,] 743 615 -1.999024e+00
[1618,] 743 619 7.331742e+00
[1619,] 743 743 1.132979e+01
[1620,] 744 67 -1.999024e+00
[1621,] 744 614 3.362548e+01
[1622,] 744 744 3.962255e+01
[1623,] 745 67 -1.882353e+00
[1624,] 745 651 4.395576e+00
[1625,] 745 745 1.004264e+01
[1626,] 746 68 -1.999024e+00
[1627,] 746 614 -1.999024e+00
[1628,] 746 651 6.356164e+00
[1629,] 746 746 1.035421e+01
[1630,] 747 69 -1.999024e+00
[1631,] 747 614 5.634798e+00
[1632,] 747 747 1.163187e+01
[1633,] 748 573 1.818182e-01
[1634,] 748 614 -2.084648e+01
[1635,] 748 619 6.220872e+00
[1636,] 748 651 -2.373014e+01
[1637,] 748 748 8.883382e+01
[1638,] 749 562 -1.999024e+00
[1639,] 749 614 2.726676e+00
[1640,] 749 749 8.723747e+00
[1641,] 750 563 -1.782808e+00
[1642,] 750 614 8.542921e+00
[1643,] 750 750 1.475621e+01
[1644,] 751 614 -2.048000e+03
[1645,] 751 615 -2.048000e+03
[1646,] 751 751 4.096000e+03
[1647,] 752 615 -1.365333e+03
[1648,] 752 619 -1.365333e+03
[1649,] 752 752 2.730667e+03
[1650,] 753 563 -1.998049e+00
[1651,] 753 619 2.726078e+00
[1652,] 753 753 8.720225e+00
[1653,] 754 564 -1.998049e+00
[1654,] 754 619 5.996628e+00
[1655,] 754 754 1.199077e+01
[1656,] 755 565 -1.998049e+00
[1657,] 755 619 3.506818e+01
[1658,] 755 755 4.106233e+01
[1659,] 756 114 -1.998049e+00
[1660,] 756 619 3.816262e+00
[1661,] 756 756 9.810408e+00
[1662,] 757 54 -1.998049e+00
[1663,] 757 62 1.818182e-01
[1664,] 757 614 6.665943e+00
[1665,] 757 619 -1.998049e+00
[1666,] 757 757 1.084386e+01
[1667,] 758 54 -1.882353e+00
[1668,] 758 651 -1.882353e+00
[1669,] 758 758 3.764706e+00
[1670,] 759 614 -4.488287e+00
[1671,] 759 619 3.554784e+00
[1672,] 759 637 -3.175194e+01
[1673,] 759 651 7.585185e+00
[1674,] 759 759 1.019075e+02
[1675,] 760 615 -3.175194e+01
[1676,] 760 637 -3.175194e+01
[1677,] 760 651 4.137374e+00
[1678,] 760 760 6.764125e+01
[1679,] 761 70 -1.999024e+00
[1680,] 761 614 4.544252e+00
[1681,] 761 761 1.054132e+01
[1682,] 762 71 -1.999024e+00
[1683,] 762 614 6.725344e+00
[1684,] 762 651 2.410959e+00
[1685,] 762 762 1.513337e+01
[1686,] 763 72 -1.999024e+00
[1687,] 763 614 1.654026e+01
[1688,] 763 651 3.945205e+00
[1689,] 763 763 2.648254e+01
[1690,] 764 73 -1.999024e+00
[1691,] 764 614 4.180737e+00
[1692,] 764 764 1.017781e+01
[1693,] 765 74 -1.999024e+00
[1694,] 765 614 -1.999024e+00
[1695,] 765 615 1.826987e+00
[1696,] 765 765 5.825035e+00
[1697,] 766 74 -1.882353e+00
[1698,] 766 93 1.818182e-01
[1699,] 766 651 -9.411765e-01
[1700,] 766 766 4.887701e+00
[1701,] 767 75 -1.999024e+00
[1702,] 767 614 -1.999024e+00
[1703,] 767 615 3.481936e+00
[1704,] 767 767 7.479984e+00
[1705,] 768 75 -1.882353e+00
[1706,] 768 651 -5.924026e-01
[1707,] 768 768 5.054656e+00
[1708,] 769 76 -1.999024e+00
[1709,] 769 614 -1.999024e+00
[1710,] 769 615 7.067660e+00
[1711,] 769 769 1.106571e+01
[1712,] 770 77 -1.999024e+00
[1713,] 770 614 -1.999024e+00
[1714,] 770 615 7.343485e+00
[1715,] 770 770 1.134153e+01
[1716,] 771 78 -1.999024e+00
[1717,] 771 614 -1.999024e+00
[1718,] 771 615 1.092921e+01
[1719,] 771 771 1.492726e+01
[1720,] 772 79 -1.999024e+00
[1721,] 772 614 -1.999024e+00
[1722,] 772 615 1.616988e+01
[1723,] 772 772 2.016793e+01
[1724,] 773 80 -1.999024e+00
[1725,] 773 93 3.636364e-01
[1726,] 773 614 -1.999024e+00
[1727,] 773 615 2.930286e+00
[1728,] 773 773 7.291971e+00
[1729,] 774 81 -1.999024e+00
[1730,] 774 614 -1.999024e+00
[1731,] 774 615 6.791835e+00
[1732,] 774 774 1.078988e+01
[1733,] 775 82 -1.999024e+00
[1734,] 775 614 -1.999024e+00
[1735,] 775 615 2.378637e+00
[1736,] 775 775 6.376684e+00
[1737,] 776 82 -1.882353e+00
[1738,] 776 651 -5.924026e-01
[1739,] 776 776 5.054656e+00
[1740,] 777 83 -1.999024e+00
[1741,] 777 614 -1.999024e+00
[1742,] 777 615 3.309899e+00
[1743,] 777 777 7.307947e+00
[1744,] 778 84 -1.999024e+00
[1745,] 778 614 -1.999024e+00
[1746,] 778 615 3.585724e+00
[1747,] 778 778 7.583772e+00
[1748,] 779 85 -1.999024e+00
[1749,] 779 614 -1.999024e+00
[1750,] 779 615 2.930286e+00
[1751,] 779 779 6.928334e+00
[1752,] 780 86 -1.999024e+00
[1753,] 780 614 3.798848e+00
[1754,] 780 780 9.795920e+00
[1755,] 781 86 -1.882353e+00
[1756,] 781 651 4.424093e+00
[1757,] 781 781 1.007115e+01
[1758,] 782 566 -1.999024e+00
[1759,] 782 614 -1.999024e+00
[1760,] 782 615 8.274747e-01
[1761,] 782 782 4.825523e+00
[1762,] 783 567 -1.999024e+00
[1763,] 783 614 -1.999024e+00
[1764,] 783 615 5.516498e-01
[1765,] 783 783 4.549698e+00
[1766,] 784 566 -1.882353e+00
[1767,] 784 651 5.590640e-01
[1768,] 784 784 6.206123e+00
[1769,] 785 567 -1.882353e+00
[1770,] 785 651 -4.872576e-01
[1771,] 785 785 5.159801e+00
[1772,] 786 568 -1.998049e+00
[1773,] 786 619 5.996628e+00
[1774,] 786 786 1.199077e+01
[1775,] 787 568 -1.999024e+00
[1776,] 787 614 -1.999024e+00
[1777,] 787 615 1.379125e+00
[1778,] 787 787 5.377172e+00
[1779,] 788 568 -1.882353e+00
[1780,] 788 651 4.046802e+00
[1781,] 788 788 9.693861e+00
[1782,] 789 614 6.664208e+00
[1783,] 789 615 -1.999024e+00
[1784,] 789 765 -1.999024e+00
[1785,] 789 789 1.066226e+01
[1786,] 790 651 5.624606e-01
[1787,] 790 766 -1.882353e+00
[1788,] 790 790 6.209519e+00
[1789,] 791 87 -1.882353e+00
[1790,] 791 651 2.124692e+00
[1791,] 791 791 7.771751e+00
[1792,] 792 88 -1.998049e+00
[1793,] 792 619 6.196057e+00
[1794,] 792 792 1.219020e+01
[1795,] 793 89 -1.882353e+00
[1796,] 793 651 1.358225e+00
[1797,] 793 793 7.005284e+00
[1798,] 794 614 -1.213919e+01
[1799,] 794 733 -1.593774e+01
[1800,] 794 794 3.567404e+01
[1801,] 795 615 -6.541101e+00
[1802,] 795 733 -1.593774e+01
[1803,] 795 795 4.127213e+01
[1804,] 796 90 -1.882353e+00
[1805,] 796 651 -1.882353e+00
[1806,] 796 796 3.764706e+00
[1807,] 797 91 -1.882353e+00
[1808,] 797 651 3.274392e+00
[1809,] 797 797 8.921451e+00
[1810,] 798 92 -1.882353e+00
[1811,] 798 651 4.040859e+00
[1812,] 798 798 9.687918e+00
[1813,] 799 93 -1.882353e+00
[1814,] 799 651 6.340261e+00
[1815,] 799 799 1.198732e+01
[1816,] 800 94 -1.882353e+00
[1817,] 800 651 4.424093e+00
[1818,] 800 800 1.007115e+01
[1819,] 801 95 -1.882353e+00
[1820,] 801 651 5.917577e-01
[1821,] 801 801 6.238816e+00
[1822,] 802 96 -1.882353e+00
[1823,] 802 651 5.190560e+00
[1824,] 802 802 1.083762e+01
[1825,] 803 622 -6.701571e-01
[1826,] 803 651 1.928956e+00
[1827,] 803 730 -6.701571e-01
[1828,] 803 803 3.269270e+00
[1829,] 804 97 -1.777778e+00
[1830,] 804 622 -1.777778e+00
[1831,] 804 804 3.555556e+00
[1832,] 805 569 -4.155844e-01
[1833,] 805 610 -4.155844e-01
[1834,] 805 805 8.311688e-01
[1835,] 806 33 -1.882353e+00
[1836,] 806 610 -1.882353e+00
[1837,] 806 806 3.764706e+00
[1838,] 807 44 -1.882353e+00
[1839,] 807 610 -1.499119e+00
[1840,] 807 807 4.147939e+00
[1841,] 808 62 1.818182e-01
[1842,] 808 563 1.818182e-01
[1843,] 808 614 -1.360002e+03
[1844,] 808 619 -1.358792e+03
[1845,] 808 651 3.726027e+00
[1846,] 808 693 2.105263e-01
[1847,] 808 808 2.746839e+03
[1848,] 809 556 -4.050633e-01
[1849,] 809 611 -4.050633e-01
[1850,] 809 809 8.101266e-01
[1851,] 810 98 -1.882353e+00
[1852,] 810 611 -9.411765e-01
[1853,] 810 810 4.705882e+00
[1854,] 811 611 -1.271739e+00
[1855,] 811 810 -1.882353e+00
[1856,] 811 811 4.375320e+00
[1857,] 812 610 1.407560e+01
[1858,] 812 611 -1.221228e+00
[1859,] 812 811 -1.221228e+00
[1860,] 812 812 1.651806e+01
[1861,] 813 99 -1.882353e+00
[1862,] 813 610 -1.882353e+00
[1863,] 813 813 3.764706e+00
[1864,] 814 100 -1.882353e+00
[1865,] 814 610 -1.882353e+00
[1866,] 814 814 3.764706e+00
[1867,] 815 55 -1.882353e+00
[1868,] 815 610 -1.882353e+00
[1869,] 815 815 3.764706e+00
[1870,] 816 99 -1.777778e+00
[1871,] 816 622 -1.777778e+00
[1872,] 816 816 3.555556e+00
[1873,] 817 9 -1.882353e+00
[1874,] 817 610 -1.882353e+00
[1875,] 817 817 3.764706e+00
[1876,] 818 101 -1.777778e+00
[1877,] 818 610 2.461538e-01
[1878,] 818 622 -1.409962e+00
[1879,] 818 818 4.169525e+00
[1880,] 819 102 -1.882353e+00
[1881,] 819 610 -1.882353e+00
[1882,] 819 819 3.764706e+00
[1883,] 820 30 -1.882353e+00
[1884,] 820 610 -1.882353e+00
[1885,] 820 820 3.764706e+00
[1886,] 821 30 -4.923077e-01
[1887,] 821 610 7.607547e+00
[1888,] 821 611 -4.923077e-01
[1889,] 821 622 3.555556e+00
[1890,] 821 821 1.214772e+01
[1891,] 822 610 -6.400000e+00
[1892,] 822 821 -6.400000e+00
[1893,] 822 822 1.280000e+01
[1894,] 823 622 -5.333333e+00
[1895,] 823 821 -5.333333e+00
[1896,] 823 823 1.066667e+01
[1897,] 824 103 -4.848485e-01
[1898,] 824 622 -4.848485e-01
[1899,] 824 824 9.696970e-01
[1900,] 825 104 -1.777778e+00
[1901,] 825 610 9.846154e-01
[1902,] 825 622 -1.777778e+00
[1903,] 825 825 4.540171e+00
[1904,] 826 622 -7.356322e-01
[1905,] 826 818 -7.356322e-01
[1906,] 826 826 1.471264e+00
[1907,] 827 610 -4.923077e-01
[1908,] 827 825 -4.923077e-01
[1909,] 827 827 9.846154e-01
[1910,] 828 610 -4.923077e-01
[1911,] 828 617 3.180124e+00
[1912,] 828 651 3.200000e+00
[1913,] 828 818 -4.923077e-01
[1914,] 828 828 7.364740e+00
[1915,] 829 610 -6.037736e-01
[1916,] 829 821 -6.037736e-01
[1917,] 829 829 1.207547e+00
[1918,] 830 610 -6.037736e-01
[1919,] 830 821 -6.037736e-01
[1920,] 830 830 1.207547e+00
[1921,] 831 610 -4.923077e-01
[1922,] 831 651 3.200000e+00
[1923,] 831 825 -4.923077e-01
[1924,] 831 831 4.184615e+00
[1925,] 832 610 -4.923077e-01
[1926,] 832 825 -4.923077e-01
[1927,] 832 832 9.846154e-01
[1928,] 833 570 -1.882353e+00
[1929,] 833 610 -1.882353e+00
[1930,] 833 833 3.764706e+00
[1931,] 834 33 -1.882353e+00
[1932,] 834 610 -1.882353e+00
[1933,] 834 834 3.764706e+00
[1934,] 835 610 -2.815120e+01
[1935,] 835 812 -2.815120e+01
[1936,] 835 835 5.630241e+01
[1937,] 836 105 -1.882353e+00
[1938,] 836 609 -9.411765e-01
[1939,] 836 836 4.705882e+00
[1940,] 837 609 -1.258723e+00
[1941,] 837 836 -1.882353e+00
[1942,] 837 837 4.388336e+00
[1943,] 838 571 -1.882353e+00
[1944,] 838 609 -9.411765e-01
[1945,] 838 838 4.705882e+00
[1946,] 839 609 -1.258723e+00
[1947,] 839 838 -1.882353e+00
[1948,] 839 839 4.388336e+00
[1949,] 840 609 -1.247259e+00
[1950,] 840 837 -1.247259e+00
[1951,] 840 840 2.494519e+00
[1952,] 841 609 -1.247259e+00
[1953,] 841 839 -1.247259e+00
[1954,] 841 841 2.494519e+00
[1955,] 842 28 -3.953668e-01
[1956,] 842 609 -3.953668e-01
[1957,] 842 842 7.907336e-01
[1958,] 843 106 -3.953668e-01
[1959,] 843 609 -3.953668e-01
[1960,] 843 843 7.907336e-01
[1961,] 844 107 -1.777778e+00
[1962,] 844 622 -8.888889e-01
[1963,] 844 844 4.444444e+00
[1964,] 845 622 -1.212656e+00
[1965,] 845 844 -1.777778e+00
[1966,] 845 845 4.120677e+00
[1967,] 846 619 5.120000e+01
[1968,] 846 622 -1.130243e+00
[1969,] 846 845 -1.130243e+00
[1970,] 846 846 5.346049e+01
[1971,] 847 108 -1.882353e+00
[1972,] 847 609 -9.411765e-01
[1973,] 847 847 4.705882e+00
[1974,] 848 609 -1.526232e-01
[1975,] 848 847 -1.882353e+00
[1976,] 848 848 5.494436e+00
[1977,] 849 609 -2.357199e+00
[1978,] 849 848 -3.459459e+00
[1979,] 849 849 8.021179e+00
[1980,] 850 609 -2.204521e+00
[1981,] 850 849 -2.204521e+00
[1982,] 850 850 4.409042e+00
[1983,] 851 573 1.739130e-01
[1984,] 851 614 -2.904965e+01
[1985,] 851 646 -2.904965e+01
[1986,] 851 851 5.827320e+01
[1987,] 852 619 -4.998780e-01
[1988,] 852 653 -4.998780e-01
[1989,] 852 852 9.997559e-01
[1990,] 853 614 -7.270307e-01
[1991,] 853 652 -7.270307e-01
[1992,] 853 853 1.454061e+00
[1993,] 854 614 -7.270307e-01
[1994,] 854 652 -7.270307e-01
[1995,] 854 854 1.454061e+00
[1996,] 855 614 -7.270307e-01
[1997,] 855 652 -7.270307e-01
[1998,] 855 855 1.454061e+00
[1999,] 856 614 -7.270307e-01
[2000,] 856 652 -7.270307e-01
[2001,] 856 856 1.454061e+00
[2002,] 857 614 -7.270307e-01
[2003,] 857 652 -7.270307e-01
[2004,] 857 857 1.454061e+00
[2005,] 858 614 -7.270307e-01
[2006,] 858 652 -7.270307e-01
[2007,] 858 858 1.454061e+00
[2008,] 859 60 -4.443480e-01
[2009,] 859 619 -4.443480e-01
[2010,] 859 859 8.886960e-01
[2011,] 860 60 -4.443480e-01
[2012,] 860 619 -4.443480e-01
[2013,] 860 860 8.886960e-01
[2014,] 861 60 -4.443480e-01
[2015,] 861 619 -4.443480e-01
[2016,] 861 861 8.886960e-01
[2017,] 862 60 -4.443480e-01
[2018,] 862 619 -4.443480e-01
[2019,] 862 862 8.886960e-01
[2020,] 863 60 -4.443480e-01
[2021,] 863 619 -4.443480e-01
[2022,] 863 863 8.886960e-01
[2023,] 864 60 -4.443962e-01
[2024,] 864 614 -4.443962e-01
[2025,] 864 864 8.887924e-01
[2026,] 865 60 -4.443962e-01
[2027,] 865 614 -4.443962e-01
[2028,] 865 865 8.887924e-01
[2029,] 866 60 -4.443962e-01
[2030,] 866 614 -4.443962e-01
[2031,] 866 866 8.887924e-01
[2032,] 867 60 -4.443962e-01
[2033,] 867 614 -4.443962e-01
[2034,] 867 867 8.887924e-01
[2035,] 868 25 -4.443962e-01
[2036,] 868 614 -4.443962e-01
[2037,] 868 868 8.887924e-01
[2038,] 869 25 -4.443962e-01
[2039,] 869 614 -4.443962e-01
[2040,] 869 869 8.887924e-01
[2041,] 870 25 -4.443962e-01
[2042,] 870 614 -4.443962e-01
[2043,] 870 870 8.887924e-01
[2044,] 871 25 -4.443962e-01
[2045,] 871 614 -4.443962e-01
[2046,] 871 871 8.887924e-01
[2047,] 872 25 -4.383562e-01
[2048,] 872 651 -4.383562e-01
[2049,] 872 872 8.767123e-01
[2050,] 873 25 -4.383562e-01
[2051,] 873 651 -4.383562e-01
[2052,] 873 873 8.767123e-01
[2053,] 874 610 -7.664671e-01
[2054,] 874 807 -7.664671e-01
[2055,] 874 874 1.532934e+00
[2056,] 875 614 -1.999024e+00
[2057,] 875 808 -1.999024e+00
[2058,] 875 875 3.998048e+00
[2059,] 876 610 -5.244558e-01
[2060,] 876 620 -5.244558e-01
[2061,] 876 876 2.855849e+01
[2062,] 877 109 -4.443962e-01
[2063,] 877 614 -4.443962e-01
[2064,] 877 877 8.887924e-01
[2065,] 878 110 -4.443962e-01
[2066,] 878 614 -4.443962e-01
[2067,] 878 878 8.887924e-01
[2068,] 879 111 -4.443962e-01
[2069,] 879 614 -4.443962e-01
[2070,] 879 879 8.887924e-01
[2071,] 880 111 -4.443962e-01
[2072,] 880 614 -4.443962e-01
[2073,] 880 880 8.887924e-01
[2074,] 881 112 -4.383562e-01
[2075,] 881 610 -4.383562e-01
[2076,] 881 881 8.767123e-01
[2077,] 882 112 -4.383562e-01
[2078,] 882 610 -4.383562e-01
[2079,] 882 882 8.767123e-01
[2080,] 883 112 -4.383562e-01
[2081,] 883 610 -4.383562e-01
[2082,] 883 883 8.767123e-01
[2083,] 884 113 -4.443962e-01
[2084,] 884 614 -4.443962e-01
[2085,] 884 884 8.887924e-01
[2086,] 885 610 -6.975477e-01
[2087,] 885 639 -6.975477e-01
[2088,] 885 885 1.395095e+00
[2089,] 886 619 -5.244558e-01
[2090,] 886 637 -5.244558e-01
[2091,] 886 886 1.692488e+01
[2092,] 887 617 4.231405e+00
[2093,] 887 619 -5.244558e-01
[2094,] 887 637 -5.244558e-01
[2095,] 887 887 5.280317e+00
[2096,] 888 114 -4.155844e-01
[2097,] 888 651 -4.155844e-01
[2098,] 888 888 8.311688e-01
[2099,] 889 619 -5.244558e-01
[2100,] 889 651 -5.244558e-01
[2101,] 889 889 2.225695e+01
[2102,] 890 619 -5.244558e-01
[2103,] 890 651 -5.244558e-01
[2104,] 890 890 1.048912e+00
[2105,] 891 619 -5.244558e-01
[2106,] 891 651 -5.244558e-01
[2107,] 891 891 1.048912e+00
[2108,] 892 115 -4.155844e-01
[2109,] 892 651 -4.155844e-01
[2110,] 892 892 8.311688e-01
[2111,] 893 54 -4.155844e-01
[2112,] 893 651 -4.155844e-01
[2113,] 893 893 4.121116e+01
[2114,] 894 54 -4.155844e-01
[2115,] 894 651 -4.155844e-01
[2116,] 894 894 8.311688e-01
[2117,] 895 54 -4.155844e-01
[2118,] 895 651 -4.155844e-01
[2119,] 895 895 8.311688e-01
[2120,] 896 116 -4.155844e-01
[2121,] 896 651 -4.155844e-01
[2122,] 896 896 8.311688e-01
[2123,] 897 116 -4.155844e-01
[2124,] 897 651 -4.155844e-01
[2125,] 897 897 8.311688e-01
[2126,] 898 117 -4.155844e-01
[2127,] 898 651 -4.155844e-01
[2128,] 898 898 8.311688e-01
[2129,] 899 619 -4.209661e-01
[2130,] 899 674 -4.209661e-01
[2131,] 899 899 8.419322e-01
[2132,] 900 622 -5.925926e-01
[2133,] 900 821 -5.925926e-01
[2134,] 900 900 1.185185e+00
[2135,] 901 622 -5.925926e-01
[2136,] 901 821 -5.925926e-01
[2137,] 901 901 1.185185e+00
[2138,] 902 622 -5.925926e-01
[2139,] 902 821 -5.925926e-01
[2140,] 902 902 1.185185e+00
[2141,] 903 99 -4.923077e-01
[2142,] 903 610 -4.923077e-01
[2143,] 903 903 9.846154e-01
[2144,] 904 99 -1.777778e+00
[2145,] 904 622 -1.777778e+00
[2146,] 904 904 3.555556e+00
[2147,] 905 610 -4.923077e-01
[2148,] 905 825 -4.923077e-01
[2149,] 905 905 9.846154e-01
[2150,] 906 118 -4.923077e-01
[2151,] 906 691 -4.923077e-01
[2152,] 906 906 9.846154e-01
[2153,] 907 572 -4.923077e-01
[2154,] 907 610 -4.923077e-01
[2155,] 907 907 9.846154e-01
[2156,] 908 119 -4.923077e-01
[2157,] 908 651 -4.923077e-01
[2158,] 908 908 9.846154e-01
[2159,] 909 119 -4.923077e-01
[2160,] 909 651 -4.923077e-01
[2161,] 909 909 9.846154e-01
[2162,] 910 119 -4.923077e-01
[2163,] 910 651 -4.923077e-01
[2164,] 910 910 9.846154e-01
[2165,] 911 119 -4.923077e-01
[2166,] 911 651 -4.923077e-01
[2167,] 911 911 9.846154e-01
[2168,] 912 119 -4.923077e-01
[2169,] 912 651 -4.923077e-01
[2170,] 912 912 9.846154e-01
[2171,] 913 119 -4.923077e-01
[2172,] 913 651 -4.923077e-01
[2173,] 913 913 9.846154e-01
[2174,] 914 119 -4.923077e-01
[2175,] 914 651 -4.923077e-01
[2176,] 914 914 9.846154e-01
[2177,] 915 119 -4.923077e-01
[2178,] 915 651 -4.923077e-01
[2179,] 915 915 9.846154e-01
[2180,] 916 119 -4.923077e-01
[2181,] 916 651 -4.923077e-01
[2182,] 916 916 9.846154e-01
[2183,] 917 119 -4.923077e-01
[2184,] 917 651 -4.923077e-01
[2185,] 917 917 9.846154e-01
[2186,] 918 119 -4.923077e-01
[2187,] 918 651 -4.923077e-01
[2188,] 918 918 9.846154e-01
[2189,] 919 119 -4.923077e-01
[2190,] 919 651 -4.923077e-01
[2191,] 919 919 9.846154e-01
[2192,] 920 119 -4.923077e-01
[2193,] 920 651 -4.923077e-01
[2194,] 920 920 9.846154e-01
[2195,] 921 119 -4.923077e-01
[2196,] 921 651 -4.923077e-01
[2197,] 921 921 9.846154e-01
[2198,] 922 119 -4.923077e-01
[2199,] 922 651 -4.923077e-01
[2200,] 922 922 9.846154e-01
[2201,] 923 119 -4.923077e-01
[2202,] 923 651 -4.923077e-01
[2203,] 923 923 9.846154e-01
[2204,] 924 119 -4.923077e-01
[2205,] 924 651 -4.923077e-01
[2206,] 924 924 9.846154e-01
[2207,] 925 119 -4.923077e-01
[2208,] 925 651 -4.923077e-01
[2209,] 925 925 9.846154e-01
[2210,] 926 119 -4.923077e-01
[2211,] 926 651 -4.923077e-01
[2212,] 926 926 9.846154e-01
[2213,] 927 119 -4.923077e-01
[2214,] 927 651 -4.923077e-01
[2215,] 927 927 9.846154e-01
[2216,] 928 119 -4.923077e-01
[2217,] 928 651 -4.923077e-01
[2218,] 928 928 9.846154e-01
[2219,] 929 119 -4.923077e-01
[2220,] 929 651 -4.923077e-01
[2221,] 929 929 9.846154e-01
[2222,] 930 119 -4.923077e-01
[2223,] 930 651 -4.923077e-01
[2224,] 930 930 9.846154e-01
[2225,] 931 119 -4.923077e-01
[2226,] 931 651 -4.923077e-01
[2227,] 931 931 9.846154e-01
[2228,] 932 119 -4.923077e-01
[2229,] 932 651 -4.923077e-01
[2230,] 932 932 9.846154e-01
[2231,] 933 120 -4.923077e-01
[2232,] 933 651 -4.923077e-01
[2233,] 933 933 9.846154e-01
[2234,] 934 120 -4.923077e-01
[2235,] 934 651 -4.923077e-01
[2236,] 934 934 9.846154e-01
[2237,] 935 120 -4.923077e-01
[2238,] 935 651 -4.923077e-01
[2239,] 935 935 9.846154e-01
[2240,] 936 120 -4.923077e-01
[2241,] 936 651 -4.923077e-01
[2242,] 936 936 9.846154e-01
[2243,] 937 120 -4.923077e-01
[2244,] 937 651 -4.923077e-01
[2245,] 937 937 9.846154e-01
[2246,] 938 120 -4.923077e-01
[2247,] 938 651 -4.923077e-01
[2248,] 938 938 9.846154e-01
[2249,] 939 120 -4.923077e-01
[2250,] 939 651 -4.923077e-01
[2251,] 939 939 9.846154e-01
[2252,] 940 120 -4.923077e-01
[2253,] 940 651 -4.923077e-01
[2254,] 940 940 9.846154e-01
[2255,] 941 120 -4.923077e-01
[2256,] 941 651 -4.923077e-01
[2257,] 941 941 9.846154e-01
[2258,] 942 120 -4.923077e-01
[2259,] 942 651 -4.923077e-01
[2260,] 942 942 9.846154e-01
[2261,] 943 120 -4.923077e-01
[2262,] 943 651 -4.923077e-01
[2263,] 943 943 9.846154e-01
[2264,] 944 120 -4.923077e-01
[2265,] 944 651 -4.923077e-01
[2266,] 944 944 9.846154e-01
[2267,] 945 120 -4.923077e-01
[2268,] 945 651 -4.923077e-01
[2269,] 945 945 9.846154e-01
[2270,] 946 120 -4.923077e-01
[2271,] 946 651 -4.923077e-01
[2272,] 946 946 9.846154e-01
[2273,] 947 120 -4.923077e-01
[2274,] 947 651 -4.923077e-01
[2275,] 947 947 9.846154e-01
[2276,] 948 120 -4.923077e-01
[2277,] 948 651 -4.923077e-01
[2278,] 948 948 9.846154e-01
[2279,] 949 120 -4.923077e-01
[2280,] 949 651 -4.923077e-01
[2281,] 949 949 9.846154e-01
[2282,] 950 120 -4.923077e-01
[2283,] 950 651 -4.923077e-01
[2284,] 950 950 9.846154e-01
[2285,] 951 120 -4.923077e-01
[2286,] 951 651 -4.923077e-01
[2287,] 951 951 9.846154e-01
[2288,] 952 120 -4.923077e-01
[2289,] 952 651 -4.923077e-01
[2290,] 952 952 9.846154e-01
[2291,] 953 120 -4.923077e-01
[2292,] 953 651 -4.923077e-01
[2293,] 953 953 9.846154e-01
[2294,] 954 120 -4.923077e-01
[2295,] 954 651 -4.923077e-01
[2296,] 954 954 9.846154e-01
[2297,] 955 121 -4.923077e-01
[2298,] 955 651 -4.923077e-01
[2299,] 955 955 9.846154e-01
[2300,] 956 573 -3.478261e-01
[2301,] 956 851 -3.478261e-01
[2302,] 956 956 6.956522e-01
[2303,] 957 122 -1.066667e+00
[2304,] 957 957 1.066667e+00
[2305,] 958 123 -1.066667e+00
[2306,] 958 958 1.066667e+00
[2307,] 959 124 -1.066667e+00
[2308,] 959 959 1.066667e+00
[2309,] 960 125 -4.210094e-01
[2310,] 960 614 -4.210094e-01
[2311,] 960 960 8.420187e-01
[2312,] 961 125 -4.210094e-01
[2313,] 961 614 -4.210094e-01
[2314,] 961 961 8.420187e-01
[2315,] 962 125 -4.210094e-01
[2316,] 962 614 -4.210094e-01
[2317,] 962 962 8.420187e-01
[2318,] 963 125 -4.210094e-01
[2319,] 963 614 -4.210094e-01
[2320,] 963 963 8.420187e-01
[2321,] 964 125 -4.210094e-01
[2322,] 964 614 -4.210094e-01
[2323,] 964 964 8.420187e-01
[2324,] 965 125 -4.210094e-01
[2325,] 965 614 -4.210094e-01
[2326,] 965 965 8.420187e-01
[2327,] 966 125 -4.210094e-01
[2328,] 966 614 -4.210094e-01
[2329,] 966 966 8.420187e-01
[2330,] 967 125 -4.210094e-01
[2331,] 967 614 -4.210094e-01
[2332,] 967 967 8.420187e-01
[2333,] 968 125 -4.210094e-01
[2334,] 968 614 -4.210094e-01
[2335,] 968 968 8.420187e-01
[2336,] 969 125 -4.210094e-01
[2337,] 969 614 -4.210094e-01
[2338,] 969 969 8.420187e-01
[2339,] 970 126 -4.210094e-01
[2340,] 970 614 -4.210094e-01
[2341,] 970 970 8.420187e-01
[2342,] 971 126 -4.210094e-01
[2343,] 971 614 -4.210094e-01
[2344,] 971 971 8.420187e-01
[2345,] 972 126 -4.210094e-01
[2346,] 972 614 -4.210094e-01
[2347,] 972 972 8.420187e-01
[2348,] 973 126 -4.210094e-01
[2349,] 973 614 -4.210094e-01
[2350,] 973 973 8.420187e-01
[2351,] 974 126 -4.210094e-01
[2352,] 974 614 -4.210094e-01
[2353,] 974 974 8.420187e-01
[2354,] 975 126 -4.210094e-01
[2355,] 975 614 -4.210094e-01
[2356,] 975 975 8.420187e-01
[2357,] 976 126 -4.210094e-01
[2358,] 976 614 -4.210094e-01
[2359,] 976 976 8.420187e-01
[2360,] 977 126 -4.210094e-01
[2361,] 977 614 -4.210094e-01
[2362,] 977 977 8.420187e-01
[2363,] 978 126 -4.210094e-01
[2364,] 978 614 -4.210094e-01
[2365,] 978 978 8.420187e-01
[2366,] 979 126 -4.210094e-01
[2367,] 979 614 -4.210094e-01
[2368,] 979 979 8.420187e-01
[2369,] 980 127 -4.210094e-01
[2370,] 980 615 -4.210094e-01
[2371,] 980 980 8.420187e-01
[2372,] 981 127 -4.210094e-01
[2373,] 981 615 -4.210094e-01
[2374,] 981 981 8.420187e-01
[2375,] 982 127 -4.210094e-01
[2376,] 982 615 -4.210094e-01
[2377,] 982 982 8.420187e-01
[2378,] 983 127 -4.210094e-01
[2379,] 983 615 -4.210094e-01
[2380,] 983 983 8.420187e-01
[2381,] 984 127 -4.210094e-01
[2382,] 984 615 -4.210094e-01
[2383,] 984 984 8.420187e-01
[2384,] 985 127 -4.210094e-01
[2385,] 985 615 -4.210094e-01
[2386,] 985 985 8.420187e-01
[2387,] 986 127 -4.210094e-01
[2388,] 986 615 -4.210094e-01
[2389,] 986 986 8.420187e-01
[2390,] 987 127 -4.210094e-01
[2391,] 987 615 -4.210094e-01
[2392,] 987 987 8.420187e-01
[2393,] 988 127 -4.210094e-01
[2394,] 988 615 -4.210094e-01
[2395,] 988 988 8.420187e-01
[2396,] 989 127 -4.210094e-01
[2397,] 989 615 -4.210094e-01
[2398,] 989 989 8.420187e-01
[2399,] 990 127 -4.210094e-01
[2400,] 990 615 -4.210094e-01
[2401,] 990 990 8.420187e-01
[2402,] 991 127 -4.210094e-01
[2403,] 991 615 -4.210094e-01
[2404,] 991 991 8.420187e-01
[2405,] 992 127 -4.210094e-01
[2406,] 992 615 -4.210094e-01
[2407,] 992 992 8.420187e-01
[2408,] 993 127 -4.210094e-01
[2409,] 993 615 -4.210094e-01
[2410,] 993 993 1.671799e+01
[2411,] 994 127 -4.210094e-01
[2412,] 994 615 -4.210094e-01
[2413,] 994 994 8.420187e-01
[2414,] 995 127 -4.210094e-01
[2415,] 995 615 -4.210094e-01
[2416,] 995 995 8.420187e-01
[2417,] 996 127 -4.210094e-01
[2418,] 996 615 -4.210094e-01
[2419,] 996 996 8.420187e-01
[2420,] 997 127 -4.210094e-01
[2421,] 997 615 -4.210094e-01
[2422,] 997 997 8.420187e-01
[2423,] 998 127 -4.210094e-01
[2424,] 998 615 -4.210094e-01
[2425,] 998 998 8.420187e-01
[2426,] 999 127 -4.210094e-01
[2427,] 999 615 -4.210094e-01
[2428,] 999 999 8.420187e-01
[2429,] 1000 127 -4.210094e-01
[2430,] 1000 615 -4.210094e-01
[2431,] 1000 1000 8.420187e-01
[2432,] 1001 127 -4.210094e-01
[2433,] 1001 615 -4.210094e-01
[2434,] 1001 1001 8.420187e-01
[2435,] 1002 127 -4.210094e-01
[2436,] 1002 615 -4.210094e-01
[2437,] 1002 1002 8.420187e-01
[2438,] 1003 127 -4.210094e-01
[2439,] 1003 615 -4.210094e-01
[2440,] 1003 1003 8.420187e-01
[2441,] 1004 127 -4.210094e-01
[2442,] 1004 615 -4.210094e-01
[2443,] 1004 1004 8.420187e-01
[2444,] 1005 127 -4.210094e-01
[2445,] 1005 615 -4.210094e-01
[2446,] 1005 1005 8.420187e-01
[2447,] 1006 127 -4.210094e-01
[2448,] 1006 615 -4.210094e-01
[2449,] 1006 1006 8.420187e-01
[2450,] 1007 127 -4.210094e-01
[2451,] 1007 615 -4.210094e-01
[2452,] 1007 1007 8.420187e-01
[2453,] 1008 127 -4.210094e-01
[2454,] 1008 615 -4.210094e-01
[2455,] 1008 1008 8.420187e-01
[2456,] 1009 127 -4.210094e-01
[2457,] 1009 615 -4.210094e-01
[2458,] 1009 1009 8.420187e-01
[2459,] 1010 127 -4.210094e-01
[2460,] 1010 615 -4.210094e-01
[2461,] 1010 1010 8.420187e-01
[2462,] 1011 127 -4.210094e-01
[2463,] 1011 615 -4.210094e-01
[2464,] 1011 1011 8.420187e-01
[2465,] 1012 127 -4.210094e-01
[2466,] 1012 615 -4.210094e-01
[2467,] 1012 1012 8.420187e-01
[2468,] 1013 127 -4.210094e-01
[2469,] 1013 615 -4.210094e-01
[2470,] 1013 1013 8.420187e-01
[2471,] 1014 127 -4.210094e-01
[2472,] 1014 615 -4.210094e-01
[2473,] 1014 1014 8.420187e-01
[2474,] 1015 127 -4.210094e-01
[2475,] 1015 615 -4.210094e-01
[2476,] 1015 1015 8.420187e-01
[2477,] 1016 127 -4.210094e-01
[2478,] 1016 615 -4.210094e-01
[2479,] 1016 1016 8.420187e-01
[2480,] 1017 127 -4.210094e-01
[2481,] 1017 615 -4.210094e-01
[2482,] 1017 1017 8.420187e-01
[2483,] 1018 127 -4.210094e-01
[2484,] 1018 615 -4.210094e-01
[2485,] 1018 1018 8.420187e-01
[2486,] 1019 127 -4.210094e-01
[2487,] 1019 615 -4.210094e-01
[2488,] 1019 1019 8.420187e-01
[2489,] 1020 127 -4.210094e-01
[2490,] 1020 615 -4.210094e-01
[2491,] 1020 1020 8.420187e-01
[2492,] 1021 127 -4.210094e-01
[2493,] 1021 615 -4.210094e-01
[2494,] 1021 1021 8.420187e-01
[2495,] 1022 127 -4.210094e-01
[2496,] 1022 615 -4.210094e-01
[2497,] 1022 1022 8.420187e-01
[2498,] 1023 127 -4.210094e-01
[2499,] 1023 615 -4.210094e-01
[2500,] 1023 1023 8.420187e-01
[2501,] 1024 127 -4.210094e-01
[2502,] 1024 615 -4.210094e-01
[2503,] 1024 1024 8.420187e-01
[2504,] 1025 127 -4.210094e-01
[2505,] 1025 615 -4.210094e-01
[2506,] 1025 1025 8.420187e-01
[2507,] 1026 127 -4.210094e-01
[2508,] 1026 615 -4.210094e-01
[2509,] 1026 1026 8.420187e-01
[2510,] 1027 127 -4.210094e-01
[2511,] 1027 615 -4.210094e-01
[2512,] 1027 1027 8.420187e-01
[2513,] 1028 127 -4.210094e-01
[2514,] 1028 615 -4.210094e-01
[2515,] 1028 1028 8.420187e-01
[2516,] 1029 127 -4.210094e-01
[2517,] 1029 615 -4.210094e-01
[2518,] 1029 1029 8.420187e-01
[2519,] 1030 127 -4.210094e-01
[2520,] 1030 615 -4.210094e-01
[2521,] 1030 1030 8.420187e-01
[2522,] 1031 127 -4.155844e-01
[2523,] 1031 651 -4.155844e-01
[2524,] 1031 1031 8.311688e-01
[2525,] 1032 127 -4.155844e-01
[2526,] 1032 651 -4.155844e-01
[2527,] 1032 1032 8.311688e-01
[2528,] 1033 127 -4.155844e-01
[2529,] 1033 651 -4.155844e-01
[2530,] 1033 1033 8.311688e-01
[2531,] 1034 127 -4.155844e-01
[2532,] 1034 651 -4.155844e-01
[2533,] 1034 1034 8.311688e-01
[2534,] 1035 127 -4.155844e-01
[2535,] 1035 651 -4.155844e-01
[2536,] 1035 1035 8.311688e-01
[2537,] 1036 127 -4.155844e-01
[2538,] 1036 651 -4.155844e-01
[2539,] 1036 1036 8.311688e-01
[2540,] 1037 127 -4.155844e-01
[2541,] 1037 651 -4.155844e-01
[2542,] 1037 1037 8.311688e-01
[2543,] 1038 127 -4.155844e-01
[2544,] 1038 651 -4.155844e-01
[2545,] 1038 1038 8.311688e-01
[2546,] 1039 128 -4.209661e-01
[2547,] 1039 619 -4.209661e-01
[2548,] 1039 1039 8.419322e-01
[2549,] 1040 128 -4.209661e-01
[2550,] 1040 619 -4.209661e-01
[2551,] 1040 1040 8.419322e-01
[2552,] 1041 128 -4.209661e-01
[2553,] 1041 619 -4.209661e-01
[2554,] 1041 1041 8.419322e-01
[2555,] 1042 128 -4.209661e-01
[2556,] 1042 619 -4.209661e-01
[2557,] 1042 1042 8.419322e-01
[2558,] 1043 128 -4.209661e-01
[2559,] 1043 619 -4.209661e-01
[2560,] 1043 1043 8.419322e-01
[2561,] 1044 128 -4.209661e-01
[2562,] 1044 619 -4.209661e-01
[2563,] 1044 1044 8.419322e-01
[2564,] 1045 128 -4.209661e-01
[2565,] 1045 619 -4.209661e-01
[2566,] 1045 1045 8.419322e-01
[2567,] 1046 128 -4.209661e-01
[2568,] 1046 619 -4.209661e-01
[2569,] 1046 1046 8.419322e-01
[2570,] 1047 128 -4.209661e-01
[2571,] 1047 619 -4.209661e-01
[2572,] 1047 1047 8.419322e-01
[2573,] 1048 128 -4.209661e-01
[2574,] 1048 619 -4.209661e-01
[2575,] 1048 1048 8.419322e-01
[2576,] 1049 128 -4.209661e-01
[2577,] 1049 619 -4.209661e-01
[2578,] 1049 1049 8.419322e-01
[2579,] 1050 128 -4.209661e-01
[2580,] 1050 619 -4.209661e-01
[2581,] 1050 1050 8.419322e-01
[2582,] 1051 128 -4.209661e-01
[2583,] 1051 619 -4.209661e-01
[2584,] 1051 1051 8.419322e-01
[2585,] 1052 128 -4.209661e-01
[2586,] 1052 619 -4.209661e-01
[2587,] 1052 1052 8.419322e-01
[2588,] 1053 128 -4.209661e-01
[2589,] 1053 619 -4.209661e-01
[2590,] 1053 1053 8.419322e-01
[2591,] 1054 128 -4.209661e-01
[2592,] 1054 619 -4.209661e-01
[2593,] 1054 1054 8.419322e-01
[2594,] 1055 128 -4.209661e-01
[2595,] 1055 619 -4.209661e-01
[2596,] 1055 1055 8.419322e-01
[2597,] 1056 128 -4.209661e-01
[2598,] 1056 619 -4.209661e-01
[2599,] 1056 1056 8.419322e-01
[2600,] 1057 128 -4.209661e-01
[2601,] 1057 619 -4.209661e-01
[2602,] 1057 1057 8.419322e-01
[2603,] 1058 128 -4.209661e-01
[2604,] 1058 619 -4.209661e-01
[2605,] 1058 1058 8.419322e-01
[2606,] 1059 128 -4.209661e-01
[2607,] 1059 619 -4.209661e-01
[2608,] 1059 1059 8.419322e-01
[2609,] 1060 128 -4.209661e-01
[2610,] 1060 619 -4.209661e-01
[2611,] 1060 1060 8.419322e-01
[2612,] 1061 128 -4.209661e-01
[2613,] 1061 619 -4.209661e-01
[2614,] 1061 1061 8.419322e-01
[2615,] 1062 128 -4.209661e-01
[2616,] 1062 619 -4.209661e-01
[2617,] 1062 1062 8.419322e-01
[2618,] 1063 128 -4.209661e-01
[2619,] 1063 619 -4.209661e-01
[2620,] 1063 1063 8.419322e-01
[2621,] 1064 128 -4.209661e-01
[2622,] 1064 619 -4.209661e-01
[2623,] 1064 1064 8.419322e-01
[2624,] 1065 128 -4.209661e-01
[2625,] 1065 619 -4.209661e-01
[2626,] 1065 1065 8.419322e-01
[2627,] 1066 128 -4.209661e-01
[2628,] 1066 619 -4.209661e-01
[2629,] 1066 1066 8.419322e-01
[2630,] 1067 128 -4.209661e-01
[2631,] 1067 619 -4.209661e-01
[2632,] 1067 1067 8.419322e-01
[2633,] 1068 128 -4.209661e-01
[2634,] 1068 619 -4.209661e-01
[2635,] 1068 1068 8.419322e-01
[2636,] 1069 128 -4.209661e-01
[2637,] 1069 619 -4.209661e-01
[2638,] 1069 1069 8.419322e-01
[2639,] 1070 128 -4.209661e-01
[2640,] 1070 619 -4.209661e-01
[2641,] 1070 1070 8.419322e-01
[2642,] 1071 128 -4.209661e-01
[2643,] 1071 619 -4.209661e-01
[2644,] 1071 1071 8.419322e-01
[2645,] 1072 128 -4.209661e-01
[2646,] 1072 619 -4.209661e-01
[2647,] 1072 1072 8.419322e-01
[2648,] 1073 128 -4.209661e-01
[2649,] 1073 619 -4.209661e-01
[2650,] 1073 1073 8.419322e-01
[2651,] 1074 129 -4.210094e-01
[2652,] 1074 614 -4.210094e-01
[2653,] 1074 1074 8.420187e-01
[2654,] 1075 129 -4.210094e-01
[2655,] 1075 614 -4.210094e-01
[2656,] 1075 1075 8.420187e-01
[2657,] 1076 129 -4.210094e-01
[2658,] 1076 614 -4.210094e-01
[2659,] 1076 1076 8.420187e-01
[2660,] 1077 129 -4.210094e-01
[2661,] 1077 614 -4.210094e-01
[2662,] 1077 1077 8.420187e-01
[2663,] 1078 129 -4.210094e-01
[2664,] 1078 614 -4.210094e-01
[2665,] 1078 1078 8.420187e-01
[2666,] 1079 129 -4.210094e-01
[2667,] 1079 614 -4.210094e-01
[2668,] 1079 1079 8.420187e-01
[2669,] 1080 129 -4.210094e-01
[2670,] 1080 614 -4.210094e-01
[2671,] 1080 1080 8.420187e-01
[2672,] 1081 129 -4.210094e-01
[2673,] 1081 614 -4.210094e-01
[2674,] 1081 1081 8.420187e-01
[2675,] 1082 129 -4.210094e-01
[2676,] 1082 614 -4.210094e-01
[2677,] 1082 1082 8.420187e-01
[2678,] 1083 129 -4.210094e-01
[2679,] 1083 614 -4.210094e-01
[2680,] 1083 1083 8.420187e-01
[2681,] 1084 129 -4.210094e-01
[2682,] 1084 614 -4.210094e-01
[2683,] 1084 1084 8.420187e-01
[2684,] 1085 129 -4.210094e-01
[2685,] 1085 614 -4.210094e-01
[2686,] 1085 1085 8.420187e-01
[2687,] 1086 129 -4.210094e-01
[2688,] 1086 614 -4.210094e-01
[2689,] 1086 1086 8.420187e-01
[2690,] 1087 129 -4.210094e-01
[2691,] 1087 614 -4.210094e-01
[2692,] 1087 1087 8.420187e-01
[2693,] 1088 129 -4.210094e-01
[2694,] 1088 614 -4.210094e-01
[2695,] 1088 1088 8.420187e-01
[2696,] 1089 129 -4.210094e-01
[2697,] 1089 614 -4.210094e-01
[2698,] 1089 1089 8.420187e-01
[2699,] 1090 129 -4.210094e-01
[2700,] 1090 614 -4.210094e-01
[2701,] 1090 1090 8.420187e-01
[2702,] 1091 129 -4.210094e-01
[2703,] 1091 614 -4.210094e-01
[2704,] 1091 1091 8.420187e-01
[2705,] 1092 129 -4.210094e-01
[2706,] 1092 614 -4.210094e-01
[2707,] 1092 1092 8.420187e-01
[2708,] 1093 129 -4.155844e-01
[2709,] 1093 651 -4.155844e-01
[2710,] 1093 1093 8.311688e-01
[2711,] 1094 129 -4.155844e-01
[2712,] 1094 651 -4.155844e-01
[2713,] 1094 1094 8.311688e-01
[2714,] 1095 129 -4.155844e-01
[2715,] 1095 651 -4.155844e-01
[2716,] 1095 1095 8.311688e-01
[2717,] 1096 129 -4.155844e-01
[2718,] 1096 651 -4.155844e-01
[2719,] 1096 1096 8.311688e-01
[2720,] 1097 129 -4.155844e-01
[2721,] 1097 651 -4.155844e-01
[2722,] 1097 1097 8.311688e-01
[2723,] 1098 129 -4.155844e-01
[2724,] 1098 651 -4.155844e-01
[2725,] 1098 1098 8.311688e-01
[2726,] 1099 129 -4.155844e-01
[2727,] 1099 651 -4.155844e-01
[2728,] 1099 1099 8.311688e-01
[2729,] 1100 129 -4.155844e-01
[2730,] 1100 651 -4.155844e-01
[2731,] 1100 1100 8.311688e-01
[2732,] 1101 129 -4.155844e-01
[2733,] 1101 651 -4.155844e-01
[2734,] 1101 1101 8.311688e-01
[2735,] 1102 129 -4.155844e-01
[2736,] 1102 651 -4.155844e-01
[2737,] 1102 1102 8.311688e-01
[2738,] 1103 129 -4.155844e-01
[2739,] 1103 651 -4.155844e-01
[2740,] 1103 1103 8.311688e-01
[2741,] 1104 129 -4.155844e-01
[2742,] 1104 651 -4.155844e-01
[2743,] 1104 1104 8.311688e-01
[2744,] 1105 129 -4.155844e-01
[2745,] 1105 651 -4.155844e-01
[2746,] 1105 1105 8.311688e-01
[2747,] 1106 129 -4.155844e-01
[2748,] 1106 651 -4.155844e-01
[2749,] 1106 1106 8.311688e-01
[2750,] 1107 129 -4.155844e-01
[2751,] 1107 651 -4.155844e-01
[2752,] 1107 1107 8.311688e-01
[2753,] 1108 129 -4.155844e-01
[2754,] 1108 651 -4.155844e-01
[2755,] 1108 1108 8.311688e-01
[2756,] 1109 129 -4.155844e-01
[2757,] 1109 651 -4.155844e-01
[2758,] 1109 1109 8.311688e-01
[2759,] 1110 129 -4.155844e-01
[2760,] 1110 651 -4.155844e-01
[2761,] 1110 1110 8.311688e-01
[2762,] 1111 129 -4.155844e-01
[2763,] 1111 651 -4.155844e-01
[2764,] 1111 1111 8.311688e-01
[2765,] 1112 129 -4.155844e-01
[2766,] 1112 651 -4.155844e-01
[2767,] 1112 1112 8.311688e-01
[2768,] 1113 129 -4.155844e-01
[2769,] 1113 651 -4.155844e-01
[2770,] 1113 1113 8.311688e-01
[2771,] 1114 129 -4.155844e-01
[2772,] 1114 651 -4.155844e-01
[2773,] 1114 1114 8.311688e-01
[2774,] 1115 129 -4.155844e-01
[2775,] 1115 651 -4.155844e-01
[2776,] 1115 1115 8.311688e-01
[2777,] 1116 129 -4.155844e-01
[2778,] 1116 651 -4.155844e-01
[2779,] 1116 1116 8.311688e-01
[2780,] 1117 129 -4.155844e-01
[2781,] 1117 651 -4.155844e-01
[2782,] 1117 1117 8.311688e-01
[2783,] 1118 129 -4.155844e-01
[2784,] 1118 651 -4.155844e-01
[2785,] 1118 1118 8.311688e-01
[2786,] 1119 129 -4.155844e-01
[2787,] 1119 651 -4.155844e-01
[2788,] 1119 1119 8.311688e-01
[2789,] 1120 129 -4.155844e-01
[2790,] 1120 651 -4.155844e-01
[2791,] 1120 1120 8.311688e-01
[2792,] 1121 129 -4.155844e-01
[2793,] 1121 651 -4.155844e-01
[2794,] 1121 1121 8.311688e-01
[2795,] 1122 129 -4.155844e-01
[2796,] 1122 651 -4.155844e-01
[2797,] 1122 1122 8.311688e-01
[2798,] 1123 129 -4.155844e-01
[2799,] 1123 651 -4.155844e-01
[2800,] 1123 1123 8.311688e-01
[2801,] 1124 129 -4.155844e-01
[2802,] 1124 651 -4.155844e-01
[2803,] 1124 1124 8.311688e-01
[2804,] 1125 129 -4.155844e-01
[2805,] 1125 651 -4.155844e-01
[2806,] 1125 1125 8.311688e-01
[2807,] 1126 130 -4.155844e-01
[2808,] 1126 651 -4.155844e-01
[2809,] 1126 1126 8.311688e-01
[2810,] 1127 130 -4.155844e-01
[2811,] 1127 651 -4.155844e-01
[2812,] 1127 1127 8.311688e-01
[2813,] 1128 130 -4.155844e-01
[2814,] 1128 651 -4.155844e-01
[2815,] 1128 1128 8.311688e-01
[2816,] 1129 130 -4.155844e-01
[2817,] 1129 651 -4.155844e-01
[2818,] 1129 1129 8.311688e-01
[2819,] 1130 130 -4.155844e-01
[2820,] 1130 651 -4.155844e-01
[2821,] 1130 1130 8.311688e-01
[2822,] 1131 130 -4.155844e-01
[2823,] 1131 651 -4.155844e-01
[2824,] 1131 1131 8.311688e-01
[2825,] 1132 130 -4.155844e-01
[2826,] 1132 651 -4.155844e-01
[2827,] 1132 1132 8.311688e-01
[2828,] 1133 130 -4.155844e-01
[2829,] 1133 651 -4.155844e-01
[2830,] 1133 1133 8.311688e-01
[2831,] 1134 130 -4.155844e-01
[2832,] 1134 651 -4.155844e-01
[2833,] 1134 1134 8.311688e-01
[2834,] 1135 130 -4.155844e-01
[2835,] 1135 651 -4.155844e-01
[2836,] 1135 1135 8.311688e-01
[2837,] 1136 130 -4.155844e-01
[2838,] 1136 651 -4.155844e-01
[2839,] 1136 1136 8.311688e-01
[2840,] 1137 130 -4.155844e-01
[2841,] 1137 651 -4.155844e-01
[2842,] 1137 1137 8.311688e-01
[2843,] 1138 130 -4.155844e-01
[2844,] 1138 651 -4.155844e-01
[2845,] 1138 1138 8.311688e-01
[2846,] 1139 130 -4.155844e-01
[2847,] 1139 651 -4.155844e-01
[2848,] 1139 1139 8.311688e-01
[2849,] 1140 130 -4.155844e-01
[2850,] 1140 651 -4.155844e-01
[2851,] 1140 1140 8.311688e-01
[2852,] 1141 130 -4.155844e-01
[2853,] 1141 651 -4.155844e-01
[2854,] 1141 1141 8.311688e-01
[2855,] 1142 130 -4.155844e-01
[2856,] 1142 651 -4.155844e-01
[2857,] 1142 1142 8.311688e-01
[2858,] 1143 130 -4.155844e-01
[2859,] 1143 651 -4.155844e-01
[2860,] 1143 1143 8.311688e-01
[2861,] 1144 130 -4.155844e-01
[2862,] 1144 651 -4.155844e-01
[2863,] 1144 1144 8.311688e-01
[2864,] 1145 130 -4.155844e-01
[2865,] 1145 651 -4.155844e-01
[2866,] 1145 1145 8.311688e-01
[2867,] 1146 130 -4.155844e-01
[2868,] 1146 651 -4.155844e-01
[2869,] 1146 1146 8.311688e-01
[2870,] 1147 130 -4.155844e-01
[2871,] 1147 651 -4.155844e-01
[2872,] 1147 1147 8.311688e-01
[2873,] 1148 131 -4.210094e-01
[2874,] 1148 614 -4.210094e-01
[2875,] 1148 1148 8.420187e-01
[2876,] 1149 131 -4.210094e-01
[2877,] 1149 614 -4.210094e-01
[2878,] 1149 1149 8.420187e-01
[2879,] 1150 131 -4.210094e-01
[2880,] 1150 614 -4.210094e-01
[2881,] 1150 1150 8.420187e-01
[2882,] 1151 131 -4.210094e-01
[2883,] 1151 614 -4.210094e-01
[2884,] 1151 1151 8.420187e-01
[2885,] 1152 131 -4.210094e-01
[2886,] 1152 614 -4.210094e-01
[2887,] 1152 1152 8.420187e-01
[2888,] 1153 131 -4.210094e-01
[2889,] 1153 614 -4.210094e-01
[2890,] 1153 1153 8.420187e-01
[2891,] 1154 131 -4.210094e-01
[2892,] 1154 614 -4.210094e-01
[2893,] 1154 1154 8.420187e-01
[2894,] 1155 131 -4.210094e-01
[2895,] 1155 614 -4.210094e-01
[2896,] 1155 1155 8.420187e-01
[2897,] 1156 131 -4.210094e-01
[2898,] 1156 614 -4.210094e-01
[2899,] 1156 1156 8.420187e-01
[2900,] 1157 131 -4.210094e-01
[2901,] 1157 614 -4.210094e-01
[2902,] 1157 1157 8.420187e-01
[2903,] 1158 131 -4.210094e-01
[2904,] 1158 614 -4.210094e-01
[2905,] 1158 1158 8.420187e-01
[2906,] 1159 131 -4.210094e-01
[2907,] 1159 614 -4.210094e-01
[2908,] 1159 1159 8.420187e-01
[2909,] 1160 131 -4.210094e-01
[2910,] 1160 614 -4.210094e-01
[2911,] 1160 1160 8.420187e-01
[2912,] 1161 131 -4.210094e-01
[2913,] 1161 614 -4.210094e-01
[2914,] 1161 1161 8.420187e-01
[2915,] 1162 131 -4.210094e-01
[2916,] 1162 614 -4.210094e-01
[2917,] 1162 1162 8.420187e-01
[2918,] 1163 131 -4.210094e-01
[2919,] 1163 614 -4.210094e-01
[2920,] 1163 1163 8.420187e-01
[2921,] 1164 131 -4.210094e-01
[2922,] 1164 614 -4.210094e-01
[2923,] 1164 1164 8.420187e-01
[2924,] 1165 131 -4.210094e-01
[2925,] 1165 614 -4.210094e-01
[2926,] 1165 1165 8.420187e-01
[2927,] 1166 131 -4.210094e-01
[2928,] 1166 614 -4.210094e-01
[2929,] 1166 1166 8.420187e-01
[2930,] 1167 131 -4.210094e-01
[2931,] 1167 614 -4.210094e-01
[2932,] 1167 1167 8.420187e-01
[2933,] 1168 131 -4.210094e-01
[2934,] 1168 614 -4.210094e-01
[2935,] 1168 1168 8.420187e-01
[2936,] 1169 131 -4.210094e-01
[2937,] 1169 614 -4.210094e-01
[2938,] 1169 1169 8.420187e-01
[2939,] 1170 131 -4.210094e-01
[2940,] 1170 614 -4.210094e-01
[2941,] 1170 1170 8.420187e-01
[2942,] 1171 131 -4.210094e-01
[2943,] 1171 614 -4.210094e-01
[2944,] 1171 1171 8.420187e-01
[2945,] 1172 131 -4.210094e-01
[2946,] 1172 614 -4.210094e-01
[2947,] 1172 1172 8.420187e-01
[2948,] 1173 131 -4.210094e-01
[2949,] 1173 614 -4.210094e-01
[2950,] 1173 1173 8.420187e-01
[2951,] 1174 131 -4.210094e-01
[2952,] 1174 614 -4.210094e-01
[2953,] 1174 1174 8.420187e-01
[2954,] 1175 131 -4.210094e-01
[2955,] 1175 614 -4.210094e-01
[2956,] 1175 1175 8.420187e-01
[2957,] 1176 131 -4.210094e-01
[2958,] 1176 615 -4.210094e-01
[2959,] 1176 1176 8.420187e-01
[2960,] 1177 131 -4.210094e-01
[2961,] 1177 615 -4.210094e-01
[2962,] 1177 1177 8.420187e-01
[2963,] 1178 131 -4.210094e-01
[2964,] 1178 615 -4.210094e-01
[2965,] 1178 1178 8.420187e-01
[2966,] 1179 131 -4.210094e-01
[2967,] 1179 615 -4.210094e-01
[2968,] 1179 1179 8.420187e-01
[2969,] 1180 131 -4.210094e-01
[2970,] 1180 615 -4.210094e-01
[2971,] 1180 1180 8.420187e-01
[2972,] 1181 131 -4.210094e-01
[2973,] 1181 615 -4.210094e-01
[2974,] 1181 1181 8.420187e-01
[2975,] 1182 131 -4.210094e-01
[2976,] 1182 615 -4.210094e-01
[2977,] 1182 1182 8.420187e-01
[2978,] 1183 131 -4.210094e-01
[2979,] 1183 615 -4.210094e-01
[2980,] 1183 1183 8.420187e-01
[2981,] 1184 131 -4.210094e-01
[2982,] 1184 615 -4.210094e-01
[2983,] 1184 1184 8.420187e-01
[2984,] 1185 131 -4.210094e-01
[2985,] 1185 615 -4.210094e-01
[2986,] 1185 1185 8.420187e-01
[2987,] 1186 131 -4.210094e-01
[2988,] 1186 615 -4.210094e-01
[2989,] 1186 1186 8.420187e-01
[2990,] 1187 131 -4.210094e-01
[2991,] 1187 615 -4.210094e-01
[2992,] 1187 1187 8.420187e-01
[2993,] 1188 131 -4.210094e-01
[2994,] 1188 615 -4.210094e-01
[2995,] 1188 1188 8.420187e-01
[2996,] 1189 131 -4.210094e-01
[2997,] 1189 615 -4.210094e-01
[2998,] 1189 1189 8.420187e-01
[2999,] 1190 131 -4.210094e-01
[3000,] 1190 615 -4.210094e-01
[3001,] 1190 1190 8.420187e-01
[3002,] 1191 131 -4.210094e-01
[3003,] 1191 615 -4.210094e-01
[3004,] 1191 1191 8.420187e-01
[3005,] 1192 131 -4.210094e-01
[3006,] 1192 615 -4.210094e-01
[3007,] 1192 1192 8.420187e-01
[3008,] 1193 131 -4.210094e-01
[3009,] 1193 615 -4.210094e-01
[3010,] 1193 1193 8.420187e-01
[3011,] 1194 131 -4.210094e-01
[3012,] 1194 615 -4.210094e-01
[3013,] 1194 1194 8.420187e-01
[3014,] 1195 131 -4.210094e-01
[3015,] 1195 615 -4.210094e-01
[3016,] 1195 1195 8.420187e-01
[3017,] 1196 131 -4.210094e-01
[3018,] 1196 615 -4.210094e-01
[3019,] 1196 1196 8.420187e-01
[3020,] 1197 131 -4.210094e-01
[3021,] 1197 615 -4.210094e-01
[3022,] 1197 1197 8.420187e-01
[3023,] 1198 131 -4.210094e-01
[3024,] 1198 615 -4.210094e-01
[3025,] 1198 1198 8.420187e-01
[3026,] 1199 131 -4.210094e-01
[3027,] 1199 615 -4.210094e-01
[3028,] 1199 1199 8.420187e-01
[3029,] 1200 131 -4.210094e-01
[3030,] 1200 615 -4.210094e-01
[3031,] 1200 1200 8.420187e-01
[3032,] 1201 132 -4.209661e-01
[3033,] 1201 619 -4.209661e-01
[3034,] 1201 1201 8.419322e-01
[3035,] 1202 132 -4.209661e-01
[3036,] 1202 619 -4.209661e-01
[3037,] 1202 1202 8.419322e-01
[3038,] 1203 132 -4.209661e-01
[3039,] 1203 619 -4.209661e-01
[3040,] 1203 1203 8.419322e-01
[3041,] 1204 132 -4.209661e-01
[3042,] 1204 619 -4.209661e-01
[3043,] 1204 1204 8.419322e-01
[3044,] 1205 132 -4.209661e-01
[3045,] 1205 619 -4.209661e-01
[3046,] 1205 1205 8.419322e-01
[3047,] 1206 132 -4.209661e-01
[3048,] 1206 619 -4.209661e-01
[3049,] 1206 1206 8.419322e-01
[3050,] 1207 132 -4.209661e-01
[3051,] 1207 619 -4.209661e-01
[3052,] 1207 1207 8.419322e-01
[3053,] 1208 132 -4.209661e-01
[3054,] 1208 619 -4.209661e-01
[3055,] 1208 1208 8.419322e-01
[3056,] 1209 132 -4.209661e-01
[3057,] 1209 619 -4.209661e-01
[3058,] 1209 1209 8.419322e-01
[3059,] 1210 132 -4.209661e-01
[3060,] 1210 619 -4.209661e-01
[3061,] 1210 1210 8.419322e-01
[3062,] 1211 132 -4.209661e-01
[3063,] 1211 619 -4.209661e-01
[3064,] 1211 1211 8.419322e-01
[3065,] 1212 132 -4.209661e-01
[3066,] 1212 619 -4.209661e-01
[3067,] 1212 1212 8.419322e-01
[3068,] 1213 132 -4.209661e-01
[3069,] 1213 619 -4.209661e-01
[3070,] 1213 1213 8.419322e-01
[3071,] 1214 132 -4.209661e-01
[3072,] 1214 619 -4.209661e-01
[3073,] 1214 1214 8.419322e-01
[3074,] 1215 132 -4.209661e-01
[3075,] 1215 619 -4.209661e-01
[3076,] 1215 1215 8.419322e-01
[3077,] 1216 132 -4.209661e-01
[3078,] 1216 619 -4.209661e-01
[3079,] 1216 1216 8.419322e-01
[3080,] 1217 132 -4.209661e-01
[3081,] 1217 619 -4.209661e-01
[3082,] 1217 1217 8.419322e-01
[3083,] 1218 132 -4.209661e-01
[3084,] 1218 619 -4.209661e-01
[3085,] 1218 1218 8.419322e-01
[3086,] 1219 132 -4.209661e-01
[3087,] 1219 619 -4.209661e-01
[3088,] 1219 1219 8.419322e-01
[3089,] 1220 132 -4.209661e-01
[3090,] 1220 619 -4.209661e-01
[3091,] 1220 1220 8.419322e-01
[3092,] 1221 132 -4.209661e-01
[3093,] 1221 619 -4.209661e-01
[3094,] 1221 1221 8.419322e-01
[3095,] 1222 132 -4.209661e-01
[3096,] 1222 619 -4.209661e-01
[3097,] 1222 1222 8.419322e-01
[3098,] 1223 132 -4.209661e-01
[3099,] 1223 619 -4.209661e-01
[3100,] 1223 1223 8.419322e-01
[3101,] 1224 132 -4.209661e-01
[3102,] 1224 619 -4.209661e-01
[3103,] 1224 1224 8.419322e-01
[3104,] 1225 132 -4.209661e-01
[3105,] 1225 619 -4.209661e-01
[3106,] 1225 1225 8.419322e-01
[3107,] 1226 133 -4.209661e-01
[3108,] 1226 619 -4.209661e-01
[3109,] 1226 1226 8.419322e-01
[3110,] 1227 133 -4.209661e-01
[3111,] 1227 619 -4.209661e-01
[3112,] 1227 1227 8.419322e-01
[3113,] 1228 133 -4.209661e-01
[3114,] 1228 619 -4.209661e-01
[3115,] 1228 1228 8.419322e-01
[3116,] 1229 133 -4.209661e-01
[3117,] 1229 619 -4.209661e-01
[3118,] 1229 1229 8.419322e-01
[3119,] 1230 133 -4.209661e-01
[3120,] 1230 619 -4.209661e-01
[3121,] 1230 1230 8.419322e-01
[3122,] 1231 133 -4.209661e-01
[3123,] 1231 619 -4.209661e-01
[3124,] 1231 1231 8.419322e-01
[3125,] 1232 133 -4.209661e-01
[3126,] 1232 619 -4.209661e-01
[3127,] 1232 1232 8.419322e-01
[3128,] 1233 133 -4.209661e-01
[3129,] 1233 619 -4.209661e-01
[3130,] 1233 1233 8.419322e-01
[3131,] 1234 133 -4.209661e-01
[3132,] 1234 619 -4.209661e-01
[3133,] 1234 1234 8.419322e-01
[3134,] 1235 133 -4.209661e-01
[3135,] 1235 619 -4.209661e-01
[3136,] 1235 1235 8.419322e-01
[3137,] 1236 133 -4.209661e-01
[3138,] 1236 619 -4.209661e-01
[3139,] 1236 1236 8.419322e-01
[3140,] 1237 133 -4.209661e-01
[3141,] 1237 619 -4.209661e-01
[3142,] 1237 1237 8.419322e-01
[3143,] 1238 133 -4.209661e-01
[3144,] 1238 619 -4.209661e-01
[3145,] 1238 1238 8.419322e-01
[3146,] 1239 133 -4.209661e-01
[3147,] 1239 619 -4.209661e-01
[3148,] 1239 1239 8.419322e-01
[3149,] 1240 133 -4.209661e-01
[3150,] 1240 619 -4.209661e-01
[3151,] 1240 1240 8.419322e-01
[3152,] 1241 133 -4.209661e-01
[3153,] 1241 619 -4.209661e-01
[3154,] 1241 1241 8.419322e-01
[3155,] 1242 133 -4.209661e-01
[3156,] 1242 619 -4.209661e-01
[3157,] 1242 1242 8.419322e-01
[3158,] 1243 133 -4.209661e-01
[3159,] 1243 619 -4.209661e-01
[3160,] 1243 1243 8.419322e-01
[3161,] 1244 133 -4.209661e-01
[3162,] 1244 619 -4.209661e-01
[3163,] 1244 1244 8.419322e-01
[3164,] 1245 133 -4.209661e-01
[3165,] 1245 619 -4.209661e-01
[3166,] 1245 1245 8.419322e-01
[3167,] 1246 133 -4.209661e-01
[3168,] 1246 619 -4.209661e-01
[3169,] 1246 1246 8.419322e-01
[3170,] 1247 133 -4.209661e-01
[3171,] 1247 619 -4.209661e-01
[3172,] 1247 1247 8.419322e-01
[3173,] 1248 133 -4.209661e-01
[3174,] 1248 619 -4.209661e-01
[3175,] 1248 1248 8.419322e-01
[3176,] 1249 133 -4.209661e-01
[3177,] 1249 619 -4.209661e-01
[3178,] 1249 1249 8.419322e-01
[3179,] 1250 133 -4.209661e-01
[3180,] 1250 619 -4.209661e-01
[3181,] 1250 1250 8.419322e-01
[3182,] 1251 133 -4.209661e-01
[3183,] 1251 619 -4.209661e-01
[3184,] 1251 1251 8.419322e-01
[3185,] 1252 133 -4.209661e-01
[3186,] 1252 619 -4.209661e-01
[3187,] 1252 1252 8.419322e-01
[3188,] 1253 133 -4.209661e-01
[3189,] 1253 619 -4.209661e-01
[3190,] 1253 1253 8.419322e-01
[3191,] 1254 133 -4.209661e-01
[3192,] 1254 619 -4.209661e-01
[3193,] 1254 1254 8.419322e-01
[3194,] 1255 133 -4.209661e-01
[3195,] 1255 619 -4.209661e-01
[3196,] 1255 1255 8.419322e-01
[3197,] 1256 133 -4.209661e-01
[3198,] 1256 619 -4.209661e-01
[3199,] 1256 1256 8.419322e-01
[3200,] 1257 133 -4.209661e-01
[3201,] 1257 619 -4.209661e-01
[3202,] 1257 1257 8.419322e-01
[3203,] 1258 133 -4.209661e-01
[3204,] 1258 619 -4.209661e-01
[3205,] 1258 1258 8.419322e-01
[3206,] 1259 133 -4.209661e-01
[3207,] 1259 619 -4.209661e-01
[3208,] 1259 1259 8.419322e-01
[3209,] 1260 133 -4.209661e-01
[3210,] 1260 619 -4.209661e-01
[3211,] 1260 1260 8.419322e-01
[3212,] 1261 133 -4.209661e-01
[3213,] 1261 619 -4.209661e-01
[3214,] 1261 1261 8.419322e-01
[3215,] 1262 133 -4.209661e-01
[3216,] 1262 619 -4.209661e-01
[3217,] 1262 1262 8.419322e-01
[3218,] 1263 133 -4.209661e-01
[3219,] 1263 619 -4.209661e-01
[3220,] 1263 1263 8.419322e-01
[3221,] 1264 133 -4.209661e-01
[3222,] 1264 619 -4.209661e-01
[3223,] 1264 1264 8.419322e-01
[3224,] 1265 133 -4.209661e-01
[3225,] 1265 619 -4.209661e-01
[3226,] 1265 1265 8.419322e-01
[3227,] 1266 133 -4.209661e-01
[3228,] 1266 619 -4.209661e-01
[3229,] 1266 1266 8.419322e-01
[3230,] 1267 133 -4.209661e-01
[3231,] 1267 619 -4.209661e-01
[3232,] 1267 1267 8.419322e-01
[3233,] 1268 133 -4.209661e-01
[3234,] 1268 619 -4.209661e-01
[3235,] 1268 1268 8.419322e-01
[3236,] 1269 133 -4.209661e-01
[3237,] 1269 619 -4.209661e-01
[3238,] 1269 1269 8.419322e-01
[3239,] 1270 133 -4.209661e-01
[3240,] 1270 619 -4.209661e-01
[3241,] 1270 1270 8.419322e-01
[3242,] 1271 133 -4.209661e-01
[3243,] 1271 619 -4.209661e-01
[3244,] 1271 1271 8.419322e-01
[3245,] 1272 133 -4.209661e-01
[3246,] 1272 619 -4.209661e-01
[3247,] 1272 1272 8.419322e-01
[3248,] 1273 133 -4.209661e-01
[3249,] 1273 619 -4.209661e-01
[3250,] 1273 1273 8.419322e-01
[3251,] 1274 133 -4.209661e-01
[3252,] 1274 619 -4.209661e-01
[3253,] 1274 1274 8.419322e-01
[3254,] 1275 133 -4.209661e-01
[3255,] 1275 619 -4.209661e-01
[3256,] 1275 1275 8.419322e-01
[3257,] 1276 133 -4.209661e-01
[3258,] 1276 619 -4.209661e-01
[3259,] 1276 1276 8.419322e-01
[3260,] 1277 133 -4.209661e-01
[3261,] 1277 619 -4.209661e-01
[3262,] 1277 1277 8.419322e-01
[3263,] 1278 133 -4.209661e-01
[3264,] 1278 619 -4.209661e-01
[3265,] 1278 1278 8.419322e-01
[3266,] 1279 133 -4.209661e-01
[3267,] 1279 619 -4.209661e-01
[3268,] 1279 1279 8.419322e-01
[3269,] 1280 133 -4.209661e-01
[3270,] 1280 619 -4.209661e-01
[3271,] 1280 1280 8.419322e-01
[3272,] 1281 133 -4.209661e-01
[3273,] 1281 619 -4.209661e-01
[3274,] 1281 1281 8.419322e-01
[3275,] 1282 133 -4.209661e-01
[3276,] 1282 619 -4.209661e-01
[3277,] 1282 1282 8.419322e-01
[3278,] 1283 133 -4.209661e-01
[3279,] 1283 619 -4.209661e-01
[3280,] 1283 1283 8.419322e-01
[3281,] 1284 133 -4.209661e-01
[3282,] 1284 619 -4.209661e-01
[3283,] 1284 1284 8.419322e-01
[3284,] 1285 133 -4.209661e-01
[3285,] 1285 619 -4.209661e-01
[3286,] 1285 1285 8.419322e-01
[3287,] 1286 133 -4.209661e-01
[3288,] 1286 619 -4.209661e-01
[3289,] 1286 1286 8.419322e-01
[3290,] 1287 133 -4.209661e-01
[3291,] 1287 619 -4.209661e-01
[3292,] 1287 1287 8.419322e-01
[3293,] 1288 133 -4.209661e-01
[3294,] 1288 619 -4.209661e-01
[3295,] 1288 1288 8.419322e-01
[3296,] 1289 133 -4.209661e-01
[3297,] 1289 619 -4.209661e-01
[3298,] 1289 1289 8.419322e-01
[3299,] 1290 133 -4.209661e-01
[3300,] 1290 619 -4.209661e-01
[3301,] 1290 1290 8.419322e-01
[3302,] 1291 133 -4.209661e-01
[3303,] 1291 619 -4.209661e-01
[3304,] 1291 1291 8.419322e-01
[3305,] 1292 133 -4.209661e-01
[3306,] 1292 619 -4.209661e-01
[3307,] 1292 1292 8.419322e-01
[3308,] 1293 133 -4.209661e-01
[3309,] 1293 619 -4.209661e-01
[3310,] 1293 1293 8.419322e-01
[3311,] 1294 133 -4.209661e-01
[3312,] 1294 619 -4.209661e-01
[3313,] 1294 1294 8.419322e-01
[3314,] 1295 134 -3.478261e-01
[3315,] 1295 565 -3.478261e-01
[3316,] 1295 1295 6.956522e-01
[3317,] 1296 134 -4.209661e-01
[3318,] 1296 619 -4.209661e-01
[3319,] 1296 1296 8.419322e-01
[3320,] 1297 134 -4.209661e-01
[3321,] 1297 619 -4.209661e-01
[3322,] 1297 1297 8.419322e-01
[3323,] 1298 134 -4.209661e-01
[3324,] 1298 619 -4.209661e-01
[3325,] 1298 1298 8.419322e-01
[3326,] 1299 134 -4.209661e-01
[3327,] 1299 619 -4.209661e-01
[3328,] 1299 1299 8.419322e-01
[3329,] 1300 134 -4.209661e-01
[3330,] 1300 619 -4.209661e-01
[3331,] 1300 1300 8.419322e-01
[3332,] 1301 134 -4.209661e-01
[3333,] 1301 619 -4.209661e-01
[3334,] 1301 1301 8.419322e-01
[3335,] 1302 134 -4.209661e-01
[3336,] 1302 619 -4.209661e-01
[3337,] 1302 1302 8.419322e-01
[3338,] 1303 134 -4.209661e-01
[3339,] 1303 619 -4.209661e-01
[3340,] 1303 1303 8.419322e-01
[3341,] 1304 134 -4.209661e-01
[3342,] 1304 619 -4.209661e-01
[3343,] 1304 1304 8.419322e-01
[3344,] 1305 134 -4.209661e-01
[3345,] 1305 619 -4.209661e-01
[3346,] 1305 1305 8.419322e-01
[3347,] 1306 134 -4.209661e-01
[3348,] 1306 619 -4.209661e-01
[3349,] 1306 1306 8.419322e-01
[3350,] 1307 134 -4.209661e-01
[3351,] 1307 619 -4.209661e-01
[3352,] 1307 1307 8.419322e-01
[3353,] 1308 134 -4.209661e-01
[3354,] 1308 619 -4.209661e-01
[3355,] 1308 1308 8.419322e-01
[3356,] 1309 134 -4.209661e-01
[3357,] 1309 619 -4.209661e-01
[3358,] 1309 1309 8.419322e-01
[3359,] 1310 134 -4.209661e-01
[3360,] 1310 619 -4.209661e-01
[3361,] 1310 1310 8.419322e-01
[3362,] 1311 134 -4.209661e-01
[3363,] 1311 619 -4.209661e-01
[3364,] 1311 1311 8.419322e-01
[3365,] 1312 134 -4.209661e-01
[3366,] 1312 619 -4.209661e-01
[3367,] 1312 1312 8.419322e-01
[3368,] 1313 134 -4.209661e-01
[3369,] 1313 619 -4.209661e-01
[3370,] 1313 1313 8.419322e-01
[3371,] 1314 134 -4.209661e-01
[3372,] 1314 619 -4.209661e-01
[3373,] 1314 1314 8.419322e-01
[3374,] 1315 134 -4.209661e-01
[3375,] 1315 619 -4.209661e-01
[3376,] 1315 1315 8.419322e-01
[3377,] 1316 134 -4.209661e-01
[3378,] 1316 619 -4.209661e-01
[3379,] 1316 1316 8.419322e-01
[3380,] 1317 134 -4.209661e-01
[3381,] 1317 619 -4.209661e-01
[3382,] 1317 1317 8.419322e-01
[3383,] 1318 134 -4.209661e-01
[3384,] 1318 619 -4.209661e-01
[3385,] 1318 1318 8.419322e-01
[3386,] 1319 134 -4.209661e-01
[3387,] 1319 619 -4.209661e-01
[3388,] 1319 1319 8.419322e-01
[3389,] 1320 134 -4.209661e-01
[3390,] 1320 619 -4.209661e-01
[3391,] 1320 1320 8.419322e-01
[3392,] 1321 134 -4.209661e-01
[3393,] 1321 619 -4.209661e-01
[3394,] 1321 1321 8.419322e-01
[3395,] 1322 134 -4.209661e-01
[3396,] 1322 619 -4.209661e-01
[3397,] 1322 1322 8.419322e-01
[3398,] 1323 134 -4.209661e-01
[3399,] 1323 619 -4.209661e-01
[3400,] 1323 1323 8.419322e-01
[3401,] 1324 134 -4.209661e-01
[3402,] 1324 619 -4.209661e-01
[3403,] 1324 1324 8.419322e-01
[3404,] 1325 134 -4.209661e-01
[3405,] 1325 619 -4.209661e-01
[3406,] 1325 1325 8.419322e-01
[3407,] 1326 134 -4.209661e-01
[3408,] 1326 619 -4.209661e-01
[3409,] 1326 1326 8.419322e-01
[3410,] 1327 134 -4.209661e-01
[3411,] 1327 619 -4.209661e-01
[3412,] 1327 1327 8.419322e-01
[3413,] 1328 134 -4.209661e-01
[3414,] 1328 619 -4.209661e-01
[3415,] 1328 1328 8.419322e-01
[3416,] 1329 134 -4.209661e-01
[3417,] 1329 619 -4.209661e-01
[3418,] 1329 1329 8.419322e-01
[3419,] 1330 134 -4.209661e-01
[3420,] 1330 619 -4.209661e-01
[3421,] 1330 1330 8.419322e-01
[3422,] 1331 135 -4.210094e-01
[3423,] 1331 614 -4.210094e-01
[3424,] 1331 1331 8.420187e-01
[3425,] 1332 135 -4.210094e-01
[3426,] 1332 614 -4.210094e-01
[3427,] 1332 1332 8.420187e-01
[3428,] 1333 135 -4.210094e-01
[3429,] 1333 614 -4.210094e-01
[3430,] 1333 1333 8.420187e-01
[3431,] 1334 135 -4.210094e-01
[3432,] 1334 614 -4.210094e-01
[3433,] 1334 1334 8.420187e-01
[3434,] 1335 135 -4.210094e-01
[3435,] 1335 614 -4.210094e-01
[3436,] 1335 1335 8.420187e-01
[3437,] 1336 135 -4.210094e-01
[3438,] 1336 614 -4.210094e-01
[3439,] 1336 1336 8.420187e-01
[3440,] 1337 135 -4.210094e-01
[3441,] 1337 614 -4.210094e-01
[3442,] 1337 1337 8.420187e-01
[3443,] 1338 135 -4.210094e-01
[3444,] 1338 614 -4.210094e-01
[3445,] 1338 1338 8.420187e-01
[3446,] 1339 135 -4.210094e-01
[3447,] 1339 614 -4.210094e-01
[3448,] 1339 1339 8.420187e-01
[3449,] 1340 135 -4.210094e-01
[3450,] 1340 614 -4.210094e-01
[3451,] 1340 1340 8.420187e-01
[3452,] 1341 135 -4.210094e-01
[3453,] 1341 614 -4.210094e-01
[3454,] 1341 1341 8.420187e-01
[3455,] 1342 135 -4.210094e-01
[3456,] 1342 614 -4.210094e-01
[3457,] 1342 1342 8.420187e-01
[3458,] 1343 135 -4.210094e-01
[3459,] 1343 614 -4.210094e-01
[3460,] 1343 1343 8.420187e-01
[3461,] 1344 135 -4.210094e-01
[3462,] 1344 614 -4.210094e-01
[3463,] 1344 1344 8.420187e-01
[3464,] 1345 135 -4.210094e-01
[3465,] 1345 614 -4.210094e-01
[3466,] 1345 1345 8.420187e-01
[3467,] 1346 135 -4.210094e-01
[3468,] 1346 614 -4.210094e-01
[3469,] 1346 1346 8.420187e-01
[3470,] 1347 135 -4.210094e-01
[3471,] 1347 614 -4.210094e-01
[3472,] 1347 1347 8.420187e-01
[3473,] 1348 135 -4.210094e-01
[3474,] 1348 614 -4.210094e-01
[3475,] 1348 1348 8.420187e-01
[3476,] 1349 135 -4.210094e-01
[3477,] 1349 614 -4.210094e-01
[3478,] 1349 1349 8.420187e-01
[3479,] 1350 135 -4.210094e-01
[3480,] 1350 614 -4.210094e-01
[3481,] 1350 1350 8.420187e-01
[3482,] 1351 135 -4.210094e-01
[3483,] 1351 614 -4.210094e-01
[3484,] 1351 1351 8.420187e-01
[3485,] 1352 135 -4.210094e-01
[3486,] 1352 614 -4.210094e-01
[3487,] 1352 1352 8.420187e-01
[3488,] 1353 135 -4.210094e-01
[3489,] 1353 614 -4.210094e-01
[3490,] 1353 1353 8.420187e-01
[3491,] 1354 135 -4.210094e-01
[3492,] 1354 614 -4.210094e-01
[3493,] 1354 1354 8.420187e-01
[3494,] 1355 135 -4.210094e-01
[3495,] 1355 614 -4.210094e-01
[3496,] 1355 1355 8.420187e-01
[3497,] 1356 135 -4.210094e-01
[3498,] 1356 614 -4.210094e-01
[3499,] 1356 1356 8.420187e-01
[3500,] 1357 135 -4.210094e-01
[3501,] 1357 614 -4.210094e-01
[3502,] 1357 1357 8.420187e-01
[3503,] 1358 135 -4.210094e-01
[3504,] 1358 614 -4.210094e-01
[3505,] 1358 1358 8.420187e-01
[3506,] 1359 135 -4.210094e-01
[3507,] 1359 614 -4.210094e-01
[3508,] 1359 1359 8.420187e-01
[3509,] 1360 135 -4.210094e-01
[3510,] 1360 614 -4.210094e-01
[3511,] 1360 1360 8.420187e-01
[3512,] 1361 135 -4.210094e-01
[3513,] 1361 614 -4.210094e-01
[3514,] 1361 1361 8.420187e-01
[3515,] 1362 135 -4.210094e-01
[3516,] 1362 614 -4.210094e-01
[3517,] 1362 1362 8.420187e-01
[3518,] 1363 135 -4.210094e-01
[3519,] 1363 614 -4.210094e-01
[3520,] 1363 1363 8.420187e-01
[3521,] 1364 135 -4.210094e-01
[3522,] 1364 614 -4.210094e-01
[3523,] 1364 1364 8.420187e-01
[3524,] 1365 135 -4.210094e-01
[3525,] 1365 614 -4.210094e-01
[3526,] 1365 1365 8.420187e-01
[3527,] 1366 135 -4.210094e-01
[3528,] 1366 614 -4.210094e-01
[3529,] 1366 1366 8.420187e-01
[3530,] 1367 135 -4.210094e-01
[3531,] 1367 614 -4.210094e-01
[3532,] 1367 1367 8.420187e-01
[3533,] 1368 135 -4.210094e-01
[3534,] 1368 614 -4.210094e-01
[3535,] 1368 1368 8.420187e-01
[3536,] 1369 135 -4.210094e-01
[3537,] 1369 614 -4.210094e-01
[3538,] 1369 1369 8.420187e-01
[3539,] 1370 135 -4.210094e-01
[3540,] 1370 614 -4.210094e-01
[3541,] 1370 1370 8.420187e-01
[3542,] 1371 135 -4.210094e-01
[3543,] 1371 614 -4.210094e-01
[3544,] 1371 1371 8.420187e-01
[3545,] 1372 135 -4.210094e-01
[3546,] 1372 614 -4.210094e-01
[3547,] 1372 1372 8.420187e-01
[3548,] 1373 135 -4.210094e-01
[3549,] 1373 614 -4.210094e-01
[3550,] 1373 1373 8.420187e-01
[3551,] 1374 135 -4.210094e-01
[3552,] 1374 614 -4.210094e-01
[3553,] 1374 1374 8.420187e-01
[3554,] 1375 135 -4.210094e-01
[3555,] 1375 614 -4.210094e-01
[3556,] 1375 1375 8.420187e-01
[3557,] 1376 135 -4.210094e-01
[3558,] 1376 614 -4.210094e-01
[3559,] 1376 1376 8.420187e-01
[3560,] 1377 135 -4.210094e-01
[3561,] 1377 614 -4.210094e-01
[3562,] 1377 1377 8.420187e-01
[3563,] 1378 135 -4.210094e-01
[3564,] 1378 614 -4.210094e-01
[3565,] 1378 1378 8.420187e-01
[3566,] 1379 135 -4.210094e-01
[3567,] 1379 614 -4.210094e-01
[3568,] 1379 1379 8.420187e-01
[3569,] 1380 136 -4.210094e-01
[3570,] 1380 615 -4.210094e-01
[3571,] 1380 1380 8.420187e-01
[3572,] 1381 136 -4.210094e-01
[3573,] 1381 615 -4.210094e-01
[3574,] 1381 1381 8.420187e-01
[3575,] 1382 136 -4.210094e-01
[3576,] 1382 615 -4.210094e-01
[3577,] 1382 1382 8.420187e-01
[3578,] 1383 136 -4.210094e-01
[3579,] 1383 615 -4.210094e-01
[3580,] 1383 1383 8.420187e-01
[3581,] 1384 136 -4.210094e-01
[3582,] 1384 615 -4.210094e-01
[3583,] 1384 1384 8.420187e-01
[3584,] 1385 136 -4.210094e-01
[3585,] 1385 615 -4.210094e-01
[3586,] 1385 1385 8.420187e-01
[3587,] 1386 136 -4.210094e-01
[3588,] 1386 615 -4.210094e-01
[3589,] 1386 1386 8.420187e-01
[3590,] 1387 136 -4.210094e-01
[3591,] 1387 615 -4.210094e-01
[3592,] 1387 1387 8.420187e-01
[3593,] 1388 136 -4.210094e-01
[3594,] 1388 615 -4.210094e-01
[3595,] 1388 1388 8.420187e-01
[3596,] 1389 136 -4.210094e-01
[3597,] 1389 615 -4.210094e-01
[3598,] 1389 1389 8.420187e-01
[3599,] 1390 136 -4.210094e-01
[3600,] 1390 615 -4.210094e-01
[3601,] 1390 1390 8.420187e-01
[3602,] 1391 136 -4.210094e-01
[3603,] 1391 615 -4.210094e-01
[3604,] 1391 1391 8.420187e-01
[3605,] 1392 136 -4.210094e-01
[3606,] 1392 615 -4.210094e-01
[3607,] 1392 1392 8.420187e-01
[3608,] 1393 136 -4.210094e-01
[3609,] 1393 615 -4.210094e-01
[3610,] 1393 1393 8.420187e-01
[3611,] 1394 136 -4.210094e-01
[3612,] 1394 615 -4.210094e-01
[3613,] 1394 1394 8.420187e-01
[3614,] 1395 136 -4.210094e-01
[3615,] 1395 615 -4.210094e-01
[3616,] 1395 1395 8.420187e-01
[3617,] 1396 136 -4.210094e-01
[3618,] 1396 615 -4.210094e-01
[3619,] 1396 1396 8.420187e-01
[3620,] 1397 136 -4.210094e-01
[3621,] 1397 615 -4.210094e-01
[3622,] 1397 1397 8.420187e-01
[3623,] 1398 136 -4.210094e-01
[3624,] 1398 615 -4.210094e-01
[3625,] 1398 1398 8.420187e-01
[3626,] 1399 136 -4.210094e-01
[3627,] 1399 615 -4.210094e-01
[3628,] 1399 1399 8.420187e-01
[3629,] 1400 136 -4.210094e-01
[3630,] 1400 615 -4.210094e-01
[3631,] 1400 1400 8.420187e-01
[3632,] 1401 136 -4.210094e-01
[3633,] 1401 615 -4.210094e-01
[3634,] 1401 1401 8.420187e-01
[3635,] 1402 136 -4.210094e-01
[3636,] 1402 615 -4.210094e-01
[3637,] 1402 1402 8.420187e-01
[3638,] 1403 136 -4.210094e-01
[3639,] 1403 615 -4.210094e-01
[3640,] 1403 1403 8.420187e-01
[3641,] 1404 136 -4.210094e-01
[3642,] 1404 615 -4.210094e-01
[3643,] 1404 1404 8.420187e-01
[3644,] 1405 136 -4.210094e-01
[3645,] 1405 615 -4.210094e-01
[3646,] 1405 1405 8.420187e-01
[3647,] 1406 136 -4.210094e-01
[3648,] 1406 615 -4.210094e-01
[3649,] 1406 1406 8.420187e-01
[3650,] 1407 136 -4.210094e-01
[3651,] 1407 615 -4.210094e-01
[3652,] 1407 1407 8.420187e-01
[3653,] 1408 136 -4.210094e-01
[3654,] 1408 615 -4.210094e-01
[3655,] 1408 1408 8.420187e-01
[3656,] 1409 136 -4.210094e-01
[3657,] 1409 615 -4.210094e-01
[3658,] 1409 1409 8.420187e-01
[3659,] 1410 136 -4.210094e-01
[3660,] 1410 615 -4.210094e-01
[3661,] 1410 1410 8.420187e-01
[3662,] 1411 136 -4.210094e-01
[3663,] 1411 615 -4.210094e-01
[3664,] 1411 1411 8.420187e-01
[3665,] 1412 136 -4.210094e-01
[3666,] 1412 615 -4.210094e-01
[3667,] 1412 1412 8.420187e-01
[3668,] 1413 136 -4.210094e-01
[3669,] 1413 615 -4.210094e-01
[3670,] 1413 1413 8.420187e-01
[3671,] 1414 136 -4.210094e-01
[3672,] 1414 615 -4.210094e-01
[3673,] 1414 1414 8.420187e-01
[3674,] 1415 136 -4.210094e-01
[3675,] 1415 615 -4.210094e-01
[3676,] 1415 1415 8.420187e-01
[3677,] 1416 136 -4.210094e-01
[3678,] 1416 615 -4.210094e-01
[3679,] 1416 1416 8.420187e-01
[3680,] 1417 136 -4.210094e-01
[3681,] 1417 615 -4.210094e-01
[3682,] 1417 1417 8.420187e-01
[3683,] 1418 136 -4.210094e-01
[3684,] 1418 615 -4.210094e-01
[3685,] 1418 1418 8.420187e-01
[3686,] 1419 136 -4.210094e-01
[3687,] 1419 615 -4.210094e-01
[3688,] 1419 1419 8.420187e-01
[3689,] 1420 137 -4.209661e-01
[3690,] 1420 619 -4.209661e-01
[3691,] 1420 1420 8.419322e-01
[3692,] 1421 137 -4.209661e-01
[3693,] 1421 619 -4.209661e-01
[3694,] 1421 1421 8.419322e-01
[3695,] 1422 137 -4.209661e-01
[3696,] 1422 619 -4.209661e-01
[3697,] 1422 1422 8.419322e-01
[3698,] 1423 137 -4.209661e-01
[3699,] 1423 619 -4.209661e-01
[3700,] 1423 1423 8.419322e-01
[3701,] 1424 137 -4.209661e-01
[3702,] 1424 619 -4.209661e-01
[3703,] 1424 1424 8.419322e-01
[3704,] 1425 137 -4.209661e-01
[3705,] 1425 619 -4.209661e-01
[3706,] 1425 1425 8.419322e-01
[3707,] 1426 137 -4.209661e-01
[3708,] 1426 619 -4.209661e-01
[3709,] 1426 1426 8.419322e-01
[3710,] 1427 137 -4.209661e-01
[3711,] 1427 619 -4.209661e-01
[3712,] 1427 1427 8.419322e-01
[3713,] 1428 137 -4.209661e-01
[3714,] 1428 619 -4.209661e-01
[3715,] 1428 1428 8.419322e-01
[3716,] 1429 137 -4.209661e-01
[3717,] 1429 619 -4.209661e-01
[3718,] 1429 1429 8.419322e-01
[3719,] 1430 138 -4.209661e-01
[3720,] 1430 619 -4.209661e-01
[3721,] 1430 1430 8.419322e-01
[3722,] 1431 138 -4.209661e-01
[3723,] 1431 619 -4.209661e-01
[3724,] 1431 1431 8.419322e-01
[3725,] 1432 138 -4.209661e-01
[3726,] 1432 619 -4.209661e-01
[3727,] 1432 1432 8.419322e-01
[3728,] 1433 138 -4.209661e-01
[3729,] 1433 619 -4.209661e-01
[3730,] 1433 1433 8.419322e-01
[3731,] 1434 138 -4.209661e-01
[3732,] 1434 619 -4.209661e-01
[3733,] 1434 1434 8.419322e-01
[3734,] 1435 138 -4.209661e-01
[3735,] 1435 619 -4.209661e-01
[3736,] 1435 1435 8.419322e-01
[3737,] 1436 138 -4.209661e-01
[3738,] 1436 619 -4.209661e-01
[3739,] 1436 1436 8.419322e-01
[3740,] 1437 138 -4.209661e-01
[3741,] 1437 619 -4.209661e-01
[3742,] 1437 1437 8.419322e-01
[3743,] 1438 138 -4.209661e-01
[3744,] 1438 619 -4.209661e-01
[3745,] 1438 1438 8.419322e-01
[3746,] 1439 138 -4.209661e-01
[3747,] 1439 619 -4.209661e-01
[3748,] 1439 1439 8.419322e-01
[3749,] 1440 138 -4.209661e-01
[3750,] 1440 619 -4.209661e-01
[3751,] 1440 1440 8.419322e-01
[3752,] 1441 138 -4.209661e-01
[3753,] 1441 619 -4.209661e-01
[3754,] 1441 1441 8.419322e-01
[3755,] 1442 138 -4.209661e-01
[3756,] 1442 619 -4.209661e-01
[3757,] 1442 1442 8.419322e-01
[3758,] 1443 138 -4.209661e-01
[3759,] 1443 619 -4.209661e-01
[3760,] 1443 1443 8.419322e-01
[3761,] 1444 138 -4.209661e-01
[3762,] 1444 619 -4.209661e-01
[3763,] 1444 1444 8.419322e-01
[3764,] 1445 138 -4.209661e-01
[3765,] 1445 619 -4.209661e-01
[3766,] 1445 1445 8.419322e-01
[3767,] 1446 138 -4.209661e-01
[3768,] 1446 619 -4.209661e-01
[3769,] 1446 1446 8.419322e-01
[3770,] 1447 138 -4.209661e-01
[3771,] 1447 619 -4.209661e-01
[3772,] 1447 1447 8.419322e-01
[3773,] 1448 138 -4.209661e-01
[3774,] 1448 619 -4.209661e-01
[3775,] 1448 1448 8.419322e-01
[3776,] 1449 138 -4.209661e-01
[3777,] 1449 619 -4.209661e-01
[3778,] 1449 1449 8.419322e-01
[3779,] 1450 138 -4.209661e-01
[3780,] 1450 619 -4.209661e-01
[3781,] 1450 1450 8.419322e-01
[3782,] 1451 138 -4.209661e-01
[3783,] 1451 619 -4.209661e-01
[3784,] 1451 1451 8.419322e-01
[3785,] 1452 138 -4.209661e-01
[3786,] 1452 619 -4.209661e-01
[3787,] 1452 1452 8.419322e-01
[3788,] 1453 138 -4.209661e-01
[3789,] 1453 619 -4.209661e-01
[3790,] 1453 1453 8.419322e-01
[3791,] 1454 138 -4.209661e-01
[3792,] 1454 619 -4.209661e-01
[3793,] 1454 1454 8.419322e-01
[3794,] 1455 138 -4.209661e-01
[3795,] 1455 619 -4.209661e-01
[3796,] 1455 1455 8.419322e-01
[3797,] 1456 138 -4.209661e-01
[3798,] 1456 619 -4.209661e-01
[3799,] 1456 1456 8.419322e-01
[3800,] 1457 138 -4.209661e-01
[3801,] 1457 619 -4.209661e-01
[3802,] 1457 1457 8.419322e-01
[3803,] 1458 138 -4.209661e-01
[3804,] 1458 619 -4.209661e-01
[3805,] 1458 1458 8.419322e-01
[3806,] 1459 138 -4.209661e-01
[3807,] 1459 619 -4.209661e-01
[3808,] 1459 1459 8.419322e-01
[3809,] 1460 138 -4.209661e-01
[3810,] 1460 619 -4.209661e-01
[3811,] 1460 1460 8.419322e-01
[3812,] 1461 138 -4.210094e-01
[3813,] 1461 614 -4.210094e-01
[3814,] 1461 1461 8.420187e-01
[3815,] 1462 138 -4.210094e-01
[3816,] 1462 614 -4.210094e-01
[3817,] 1462 1462 8.420187e-01
[3818,] 1463 138 -4.210094e-01
[3819,] 1463 614 -4.210094e-01
[3820,] 1463 1463 8.420187e-01
[3821,] 1464 138 -4.210094e-01
[3822,] 1464 614 -4.210094e-01
[3823,] 1464 1464 8.420187e-01
[3824,] 1465 138 -4.210094e-01
[3825,] 1465 614 -4.210094e-01
[3826,] 1465 1465 8.420187e-01
[3827,] 1466 138 -4.210094e-01
[3828,] 1466 614 -4.210094e-01
[3829,] 1466 1466 1.671799e+01
[3830,] 1467 138 -4.210094e-01
[3831,] 1467 614 -4.210094e-01
[3832,] 1467 1467 8.420187e-01
[3833,] 1468 138 -4.210094e-01
[3834,] 1468 614 -4.210094e-01
[3835,] 1468 1468 8.420187e-01
[3836,] 1469 138 -4.210094e-01
[3837,] 1469 614 -4.210094e-01
[3838,] 1469 1469 8.420187e-01
[3839,] 1470 138 -4.210094e-01
[3840,] 1470 614 -4.210094e-01
[3841,] 1470 1470 8.420187e-01
[3842,] 1471 138 -4.210094e-01
[3843,] 1471 614 -4.210094e-01
[3844,] 1471 1471 8.420187e-01
[3845,] 1472 138 -4.210094e-01
[3846,] 1472 614 -4.210094e-01
[3847,] 1472 1472 8.420187e-01
[3848,] 1473 138 -4.210094e-01
[3849,] 1473 614 -4.210094e-01
[3850,] 1473 1473 8.420187e-01
[3851,] 1474 138 -4.210094e-01
[3852,] 1474 614 -4.210094e-01
[3853,] 1474 1474 8.420187e-01
[3854,] 1475 138 -4.210094e-01
[3855,] 1475 614 -4.210094e-01
[3856,] 1475 1475 8.420187e-01
[3857,] 1476 138 -4.210094e-01
[3858,] 1476 615 -4.210094e-01
[3859,] 1476 1476 8.420187e-01
[3860,] 1477 138 -4.210094e-01
[3861,] 1477 615 -4.210094e-01
[3862,] 1477 1477 8.420187e-01
[3863,] 1478 138 -4.210094e-01
[3864,] 1478 615 -4.210094e-01
[3865,] 1478 1478 8.420187e-01
[3866,] 1479 138 -4.210094e-01
[3867,] 1479 615 -4.210094e-01
[3868,] 1479 1479 8.420187e-01
[3869,] 1480 138 -4.210094e-01
[3870,] 1480 615 -4.210094e-01
[3871,] 1480 1480 8.420187e-01
[3872,] 1481 138 -4.210094e-01
[3873,] 1481 615 -4.210094e-01
[3874,] 1481 1481 8.420187e-01
[3875,] 1482 138 -4.210094e-01
[3876,] 1482 615 -4.210094e-01
[3877,] 1482 1482 8.420187e-01
[3878,] 1483 138 -4.210094e-01
[3879,] 1483 615 -4.210094e-01
[3880,] 1483 1483 8.420187e-01
[3881,] 1484 138 -4.210094e-01
[3882,] 1484 615 -4.210094e-01
[3883,] 1484 1484 8.420187e-01
[3884,] 1485 138 -4.210094e-01
[3885,] 1485 615 -4.210094e-01
[3886,] 1485 1485 8.420187e-01
[3887,] 1486 138 -4.210094e-01
[3888,] 1486 615 -4.210094e-01
[3889,] 1486 1486 8.420187e-01
[3890,] 1487 138 -4.210094e-01
[3891,] 1487 615 -4.210094e-01
[3892,] 1487 1487 8.420187e-01
[3893,] 1488 138 -4.210094e-01
[3894,] 1488 615 -4.210094e-01
[3895,] 1488 1488 8.420187e-01
[3896,] 1489 138 -4.210094e-01
[3897,] 1489 615 -4.210094e-01
[3898,] 1489 1489 8.420187e-01
[3899,] 1490 138 -4.210094e-01
[3900,] 1490 615 -4.210094e-01
[3901,] 1490 1490 8.420187e-01
[3902,] 1491 138 -4.210094e-01
[3903,] 1491 615 -4.210094e-01
[3904,] 1491 1491 8.420187e-01
[3905,] 1492 138 -4.210094e-01
[3906,] 1492 615 -4.210094e-01
[3907,] 1492 1492 8.420187e-01
[3908,] 1493 138 -4.210094e-01
[3909,] 1493 615 -4.210094e-01
[3910,] 1493 1493 8.420187e-01
[3911,] 1494 138 -4.210094e-01
[3912,] 1494 615 -4.210094e-01
[3913,] 1494 1494 8.420187e-01
[3914,] 1495 138 -4.210094e-01
[3915,] 1495 615 -4.210094e-01
[3916,] 1495 1495 8.420187e-01
[3917,] 1496 138 -4.210094e-01
[3918,] 1496 615 -4.210094e-01
[3919,] 1496 1496 8.420187e-01
[3920,] 1497 138 -4.210094e-01
[3921,] 1497 615 -4.210094e-01
[3922,] 1497 1497 8.420187e-01
[3923,] 1498 138 -4.210094e-01
[3924,] 1498 615 -4.210094e-01
[3925,] 1498 1498 8.420187e-01
[3926,] 1499 138 -4.155844e-01
[3927,] 1499 651 -4.155844e-01
[3928,] 1499 1499 8.311688e-01
[3929,] 1500 138 -4.155844e-01
[3930,] 1500 651 -4.155844e-01
[3931,] 1500 1500 8.311688e-01
[3932,] 1501 138 -4.155844e-01
[3933,] 1501 651 -4.155844e-01
[3934,] 1501 1501 8.311688e-01
[3935,] 1502 138 -4.155844e-01
[3936,] 1502 651 -4.155844e-01
[3937,] 1502 1502 8.311688e-01
[3938,] 1503 138 -4.155844e-01
[3939,] 1503 651 -4.155844e-01
[3940,] 1503 1503 8.311688e-01
[3941,] 1504 138 -4.155844e-01
[3942,] 1504 651 -4.155844e-01
[3943,] 1504 1504 8.311688e-01
[3944,] 1505 138 -4.155844e-01
[3945,] 1505 651 -4.155844e-01
[3946,] 1505 1505 8.311688e-01
[3947,] 1506 138 -4.155844e-01
[3948,] 1506 651 -4.155844e-01
[3949,] 1506 1506 8.311688e-01
[3950,] 1507 138 -4.155844e-01
[3951,] 1507 651 -4.155844e-01
[3952,] 1507 1507 8.311688e-01
[3953,] 1508 138 -4.155844e-01
[3954,] 1508 651 -4.155844e-01
[3955,] 1508 1508 8.311688e-01
[3956,] 1509 138 -4.155844e-01
[3957,] 1509 651 -4.155844e-01
[3958,] 1509 1509 8.311688e-01
[3959,] 1510 138 -4.155844e-01
[3960,] 1510 651 -4.155844e-01
[3961,] 1510 1510 8.311688e-01
[3962,] 1511 138 -4.155844e-01
[3963,] 1511 651 -4.155844e-01
[3964,] 1511 1511 8.311688e-01
[3965,] 1512 138 -4.155844e-01
[3966,] 1512 651 -4.155844e-01
[3967,] 1512 1512 8.311688e-01
[3968,] 1513 138 -4.155844e-01
[3969,] 1513 651 -4.155844e-01
[3970,] 1513 1513 8.311688e-01
[3971,] 1514 138 -4.155844e-01
[3972,] 1514 651 -4.155844e-01
[3973,] 1514 1514 8.311688e-01
[3974,] 1515 138 -4.155844e-01
[3975,] 1515 651 -4.155844e-01
[3976,] 1515 1515 8.311688e-01
[3977,] 1516 139 -4.209661e-01
[3978,] 1516 619 -4.209661e-01
[3979,] 1516 1516 8.419322e-01
[3980,] 1517 139 -4.209661e-01
[3981,] 1517 619 -4.209661e-01
[3982,] 1517 1517 8.419322e-01
[3983,] 1518 139 -4.209661e-01
[3984,] 1518 619 -4.209661e-01
[3985,] 1518 1518 8.419322e-01
[3986,] 1519 139 -4.209661e-01
[3987,] 1519 619 -4.209661e-01
[3988,] 1519 1519 8.419322e-01
[3989,] 1520 139 -4.209661e-01
[3990,] 1520 619 -4.209661e-01
[3991,] 1520 1520 8.419322e-01
[3992,] 1521 139 -4.209661e-01
[3993,] 1521 619 -4.209661e-01
[3994,] 1521 1521 8.419322e-01
[3995,] 1522 139 -4.209661e-01
[3996,] 1522 619 -4.209661e-01
[3997,] 1522 1522 8.419322e-01
[3998,] 1523 139 -4.209661e-01
[3999,] 1523 619 -4.209661e-01
[4000,] 1523 1523 8.419322e-01
[4001,] 1524 139 -4.209661e-01
[4002,] 1524 619 -4.209661e-01
[4003,] 1524 1524 8.419322e-01
[4004,] 1525 139 -4.209661e-01
[4005,] 1525 619 -4.209661e-01
[4006,] 1525 1525 8.419322e-01
[4007,] 1526 139 -4.209661e-01
[4008,] 1526 619 -4.209661e-01
[4009,] 1526 1526 8.419322e-01
[4010,] 1527 139 -4.209661e-01
[4011,] 1527 619 -4.209661e-01
[4012,] 1527 1527 8.419322e-01
[4013,] 1528 139 -4.209661e-01
[4014,] 1528 619 -4.209661e-01
[4015,] 1528 1528 8.419322e-01
[4016,] 1529 139 -4.209661e-01
[4017,] 1529 619 -4.209661e-01
[4018,] 1529 1529 8.419322e-01
[4019,] 1530 139 -4.209661e-01
[4020,] 1530 619 -4.209661e-01
[4021,] 1530 1530 8.419322e-01
[4022,] 1531 139 -4.209661e-01
[4023,] 1531 619 -4.209661e-01
[4024,] 1531 1531 8.419322e-01
[4025,] 1532 139 -4.209661e-01
[4026,] 1532 619 -4.209661e-01
[4027,] 1532 1532 8.419322e-01
[4028,] 1533 139 -4.209661e-01
[4029,] 1533 619 -4.209661e-01
[4030,] 1533 1533 8.419322e-01
[4031,] 1534 140 -4.210094e-01
[4032,] 1534 614 -4.210094e-01
[4033,] 1534 1534 8.420187e-01
[4034,] 1535 140 -4.210094e-01
[4035,] 1535 614 -4.210094e-01
[4036,] 1535 1535 8.420187e-01
[4037,] 1536 140 -4.210094e-01
[4038,] 1536 614 -4.210094e-01
[4039,] 1536 1536 8.420187e-01
[4040,] 1537 140 -4.210094e-01
[4041,] 1537 614 -4.210094e-01
[4042,] 1537 1537 8.420187e-01
[4043,] 1538 141 -4.210094e-01
[4044,] 1538 615 -4.210094e-01
[4045,] 1538 1538 8.420187e-01
[4046,] 1539 141 -4.210094e-01
[4047,] 1539 615 -4.210094e-01
[4048,] 1539 1539 8.420187e-01
[4049,] 1540 141 -4.210094e-01
[4050,] 1540 615 -4.210094e-01
[4051,] 1540 1540 8.420187e-01
[4052,] 1541 141 -4.210094e-01
[4053,] 1541 615 -4.210094e-01
[4054,] 1541 1541 8.420187e-01
[4055,] 1542 141 -4.210094e-01
[4056,] 1542 615 -4.210094e-01
[4057,] 1542 1542 8.420187e-01
[4058,] 1543 141 -4.210094e-01
[4059,] 1543 615 -4.210094e-01
[4060,] 1543 1543 8.420187e-01
[4061,] 1544 141 -4.210094e-01
[4062,] 1544 615 -4.210094e-01
[4063,] 1544 1544 8.420187e-01
[4064,] 1545 141 -4.210094e-01
[4065,] 1545 615 -4.210094e-01
[4066,] 1545 1545 8.420187e-01
[4067,] 1546 141 -4.210094e-01
[4068,] 1546 615 -4.210094e-01
[4069,] 1546 1546 8.420187e-01
[4070,] 1547 141 -4.210094e-01
[4071,] 1547 615 -4.210094e-01
[4072,] 1547 1547 8.420187e-01
[4073,] 1548 141 -4.210094e-01
[4074,] 1548 615 -4.210094e-01
[4075,] 1548 1548 8.420187e-01
[4076,] 1549 141 -4.210094e-01
[4077,] 1549 615 -4.210094e-01
[4078,] 1549 1549 8.420187e-01
[4079,] 1550 141 -4.210094e-01
[4080,] 1550 615 -4.210094e-01
[4081,] 1550 1550 8.420187e-01
[4082,] 1551 141 -4.210094e-01
[4083,] 1551 615 -4.210094e-01
[4084,] 1551 1551 8.420187e-01
[4085,] 1552 141 -4.210094e-01
[4086,] 1552 615 -4.210094e-01
[4087,] 1552 1552 8.420187e-01
[4088,] 1553 141 -4.210094e-01
[4089,] 1553 615 -4.210094e-01
[4090,] 1553 1553 8.420187e-01
[4091,] 1554 141 -4.210094e-01
[4092,] 1554 615 -4.210094e-01
[4093,] 1554 1554 8.420187e-01
[4094,] 1555 141 -4.210094e-01
[4095,] 1555 615 -4.210094e-01
[4096,] 1555 1555 8.420187e-01
[4097,] 1556 141 -4.210094e-01
[4098,] 1556 615 -4.210094e-01
[4099,] 1556 1556 8.420187e-01
[4100,] 1557 141 -4.210094e-01
[4101,] 1557 615 -4.210094e-01
[4102,] 1557 1557 8.420187e-01
[4103,] 1558 141 -4.210094e-01
[4104,] 1558 615 -4.210094e-01
[4105,] 1558 1558 8.420187e-01
[4106,] 1559 141 -4.210094e-01
[4107,] 1559 615 -4.210094e-01
[4108,] 1559 1559 8.420187e-01
[4109,] 1560 141 -4.210094e-01
[4110,] 1560 615 -4.210094e-01
[4111,] 1560 1560 8.420187e-01
[4112,] 1561 141 -4.210094e-01
[4113,] 1561 615 -4.210094e-01
[4114,] 1561 1561 8.420187e-01
[4115,] 1562 141 -4.210094e-01
[4116,] 1562 615 -4.210094e-01
[4117,] 1562 1562 8.420187e-01
[4118,] 1563 141 -4.210094e-01
[4119,] 1563 615 -4.210094e-01
[4120,] 1563 1563 8.420187e-01
[4121,] 1564 141 -4.210094e-01
[4122,] 1564 615 -4.210094e-01
[4123,] 1564 1564 8.420187e-01
[4124,] 1565 141 -4.210094e-01
[4125,] 1565 615 -4.210094e-01
[4126,] 1565 1565 8.420187e-01
[4127,] 1566 141 -4.210094e-01
[4128,] 1566 615 -4.210094e-01
[4129,] 1566 1566 8.420187e-01
[4130,] 1567 141 -4.210094e-01
[4131,] 1567 615 -4.210094e-01
[4132,] 1567 1567 8.420187e-01
[4133,] 1568 141 -4.210094e-01
[4134,] 1568 615 -4.210094e-01
[4135,] 1568 1568 8.420187e-01
[4136,] 1569 141 -4.210094e-01
[4137,] 1569 615 -4.210094e-01
[4138,] 1569 1569 8.420187e-01
[4139,] 1570 141 -4.210094e-01
[4140,] 1570 615 -4.210094e-01
[4141,] 1570 1570 8.420187e-01
[4142,] 1571 141 -4.210094e-01
[4143,] 1571 615 -4.210094e-01
[4144,] 1571 1571 8.420187e-01
[4145,] 1572 141 -4.210094e-01
[4146,] 1572 615 -4.210094e-01
[4147,] 1572 1572 8.420187e-01
[4148,] 1573 141 -4.210094e-01
[4149,] 1573 615 -4.210094e-01
[4150,] 1573 1573 8.420187e-01
[4151,] 1574 141 -4.210094e-01
[4152,] 1574 615 -4.210094e-01
[4153,] 1574 1574 8.420187e-01
[4154,] 1575 141 -4.210094e-01
[4155,] 1575 615 -4.210094e-01
[4156,] 1575 1575 8.420187e-01
[4157,] 1576 141 -4.210094e-01
[4158,] 1576 615 -4.210094e-01
[4159,] 1576 1576 8.420187e-01
[4160,] 1577 141 -4.210094e-01
[4161,] 1577 615 -4.210094e-01
[4162,] 1577 1577 8.420187e-01
[4163,] 1578 141 -4.210094e-01
[4164,] 1578 615 -4.210094e-01
[4165,] 1578 1578 8.420187e-01
[4166,] 1579 141 -4.210094e-01
[4167,] 1579 615 -4.210094e-01
[4168,] 1579 1579 8.420187e-01
[4169,] 1580 141 -4.210094e-01
[4170,] 1580 615 -4.210094e-01
[4171,] 1580 1580 8.420187e-01
[4172,] 1581 141 -4.210094e-01
[4173,] 1581 615 -4.210094e-01
[4174,] 1581 1581 8.420187e-01
[4175,] 1582 141 -4.210094e-01
[4176,] 1582 615 -4.210094e-01
[4177,] 1582 1582 8.420187e-01
[4178,] 1583 141 -4.210094e-01
[4179,] 1583 615 -4.210094e-01
[4180,] 1583 1583 8.420187e-01
[4181,] 1584 141 -4.210094e-01
[4182,] 1584 615 -4.210094e-01
[4183,] 1584 1584 8.420187e-01
[4184,] 1585 141 -4.210094e-01
[4185,] 1585 615 -4.210094e-01
[4186,] 1585 1585 8.420187e-01
[4187,] 1586 141 -4.210094e-01
[4188,] 1586 615 -4.210094e-01
[4189,] 1586 1586 8.420187e-01
[4190,] 1587 141 -4.210094e-01
[4191,] 1587 615 -4.210094e-01
[4192,] 1587 1587 8.420187e-01
[4193,] 1588 141 -4.210094e-01
[4194,] 1588 615 -4.210094e-01
[4195,] 1588 1588 8.420187e-01
[4196,] 1589 141 -4.210094e-01
[4197,] 1589 615 -4.210094e-01
[4198,] 1589 1589 8.420187e-01
[4199,] 1590 141 -4.210094e-01
[4200,] 1590 615 -4.210094e-01
[4201,] 1590 1590 8.420187e-01
[4202,] 1591 141 -4.210094e-01
[4203,] 1591 615 -4.210094e-01
[4204,] 1591 1591 8.420187e-01
[4205,] 1592 141 -4.210094e-01
[4206,] 1592 615 -4.210094e-01
[4207,] 1592 1592 8.420187e-01
[4208,] 1593 141 -4.210094e-01
[4209,] 1593 615 -4.210094e-01
[4210,] 1593 1593 8.420187e-01
[4211,] 1594 141 -4.210094e-01
[4212,] 1594 615 -4.210094e-01
[4213,] 1594 1594 8.420187e-01
[4214,] 1595 141 -4.210094e-01
[4215,] 1595 615 -4.210094e-01
[4216,] 1595 1595 8.420187e-01
[4217,] 1596 141 -4.210094e-01
[4218,] 1596 615 -4.210094e-01
[4219,] 1596 1596 8.420187e-01
[4220,] 1597 141 -4.210094e-01
[4221,] 1597 615 -4.210094e-01
[4222,] 1597 1597 8.420187e-01
[4223,] 1598 141 -4.210094e-01
[4224,] 1598 615 -4.210094e-01
[4225,] 1598 1598 8.420187e-01
[4226,] 1599 141 -4.210094e-01
[4227,] 1599 615 -4.210094e-01
[4228,] 1599 1599 8.420187e-01
[4229,] 1600 141 -4.210094e-01
[4230,] 1600 615 -4.210094e-01
[4231,] 1600 1600 8.420187e-01
[4232,] 1601 141 -4.210094e-01
[4233,] 1601 615 -4.210094e-01
[4234,] 1601 1601 8.420187e-01
[4235,] 1602 141 -4.210094e-01
[4236,] 1602 615 -4.210094e-01
[4237,] 1602 1602 8.420187e-01
[4238,] 1603 141 -4.210094e-01
[4239,] 1603 615 -4.210094e-01
[4240,] 1603 1603 8.420187e-01
[4241,] 1604 141 -4.210094e-01
[4242,] 1604 615 -4.210094e-01
[4243,] 1604 1604 8.420187e-01
[4244,] 1605 141 -4.210094e-01
[4245,] 1605 615 -4.210094e-01
[4246,] 1605 1605 8.420187e-01
[4247,] 1606 141 -4.210094e-01
[4248,] 1606 615 -4.210094e-01
[4249,] 1606 1606 8.420187e-01
[4250,] 1607 141 -4.210094e-01
[4251,] 1607 615 -4.210094e-01
[4252,] 1607 1607 8.420187e-01
[4253,] 1608 141 -4.210094e-01
[4254,] 1608 615 -4.210094e-01
[4255,] 1608 1608 8.420187e-01
[4256,] 1609 141 -4.210094e-01
[4257,] 1609 615 -4.210094e-01
[4258,] 1609 1609 8.420187e-01
[4259,] 1610 141 -4.210094e-01
[4260,] 1610 615 -4.210094e-01
[4261,] 1610 1610 8.420187e-01
[4262,] 1611 141 -4.210094e-01
[4263,] 1611 615 -4.210094e-01
[4264,] 1611 1611 8.420187e-01
[4265,] 1612 141 -4.210094e-01
[4266,] 1612 615 -4.210094e-01
[4267,] 1612 1612 8.420187e-01
[4268,] 1613 141 -4.209661e-01
[4269,] 1613 619 -4.209661e-01
[4270,] 1613 1613 8.419322e-01
[4271,] 1614 141 -4.209661e-01
[4272,] 1614 619 -4.209661e-01
[4273,] 1614 1614 8.419322e-01
[4274,] 1615 141 -4.209661e-01
[4275,] 1615 619 -4.209661e-01
[4276,] 1615 1615 8.419322e-01
[4277,] 1616 141 -4.209661e-01
[4278,] 1616 619 -4.209661e-01
[4279,] 1616 1616 8.419322e-01
[4280,] 1617 141 -4.209661e-01
[4281,] 1617 619 -4.209661e-01
[4282,] 1617 1617 8.419322e-01
[4283,] 1618 141 -4.209661e-01
[4284,] 1618 619 -4.209661e-01
[4285,] 1618 1618 8.419322e-01
[4286,] 1619 141 -4.209661e-01
[4287,] 1619 619 -4.209661e-01
[4288,] 1619 1619 8.419322e-01
[4289,] 1620 141 -4.209661e-01
[4290,] 1620 619 -4.209661e-01
[4291,] 1620 1620 8.419322e-01
[4292,] 1621 141 -4.209661e-01
[4293,] 1621 619 -4.209661e-01
[4294,] 1621 1621 8.419322e-01
[4295,] 1622 141 -4.209661e-01
[4296,] 1622 619 -4.209661e-01
[4297,] 1622 1622 8.419322e-01
[4298,] 1623 141 -4.209661e-01
[4299,] 1623 619 -4.209661e-01
[4300,] 1623 1623 8.419322e-01
[4301,] 1624 141 -4.209661e-01
[4302,] 1624 619 -4.209661e-01
[4303,] 1624 1624 8.419322e-01
[4304,] 1625 141 -4.209661e-01
[4305,] 1625 619 -4.209661e-01
[4306,] 1625 1625 8.419322e-01
[4307,] 1626 141 -4.209661e-01
[4308,] 1626 619 -4.209661e-01
[4309,] 1626 1626 8.419322e-01
[4310,] 1627 141 -4.209661e-01
[4311,] 1627 619 -4.209661e-01
[4312,] 1627 1627 8.419322e-01
[4313,] 1628 141 -4.209661e-01
[4314,] 1628 619 -4.209661e-01
[4315,] 1628 1628 8.419322e-01
[4316,] 1629 141 -4.209661e-01
[4317,] 1629 619 -4.209661e-01
[4318,] 1629 1629 8.419322e-01
[4319,] 1630 141 -4.209661e-01
[4320,] 1630 619 -4.209661e-01
[4321,] 1630 1630 8.419322e-01
[4322,] 1631 141 -4.209661e-01
[4323,] 1631 619 -4.209661e-01
[4324,] 1631 1631 8.419322e-01
[4325,] 1632 141 -4.209661e-01
[4326,] 1632 619 -4.209661e-01
[4327,] 1632 1632 8.419322e-01
[4328,] 1633 141 -4.209661e-01
[4329,] 1633 619 -4.209661e-01
[4330,] 1633 1633 8.419322e-01
[4331,] 1634 141 -4.209661e-01
[4332,] 1634 619 -4.209661e-01
[4333,] 1634 1634 8.419322e-01
[4334,] 1635 141 -4.209661e-01
[4335,] 1635 619 -4.209661e-01
[4336,] 1635 1635 8.419322e-01
[4337,] 1636 141 -4.209661e-01
[4338,] 1636 619 -4.209661e-01
[4339,] 1636 1636 8.419322e-01
[4340,] 1637 141 -4.209661e-01
[4341,] 1637 619 -4.209661e-01
[4342,] 1637 1637 8.419322e-01
[4343,] 1638 142 -4.210094e-01
[4344,] 1638 615 -4.210094e-01
[4345,] 1638 1638 8.420187e-01
[4346,] 1639 142 -4.210094e-01
[4347,] 1639 615 -4.210094e-01
[4348,] 1639 1639 8.420187e-01
[4349,] 1640 142 -4.210094e-01
[4350,] 1640 615 -4.210094e-01
[4351,] 1640 1640 8.420187e-01
[4352,] 1641 142 -4.210094e-01
[4353,] 1641 615 -4.210094e-01
[4354,] 1641 1641 8.420187e-01
[4355,] 1642 142 -4.210094e-01
[4356,] 1642 615 -4.210094e-01
[4357,] 1642 1642 8.420187e-01
[4358,] 1643 142 -4.210094e-01
[4359,] 1643 615 -4.210094e-01
[4360,] 1643 1643 8.420187e-01
[4361,] 1644 142 -4.210094e-01
[4362,] 1644 615 -4.210094e-01
[4363,] 1644 1644 8.420187e-01
[4364,] 1645 142 -4.210094e-01
[4365,] 1645 615 -4.210094e-01
[4366,] 1645 1645 8.420187e-01
[4367,] 1646 142 -4.210094e-01
[4368,] 1646 615 -4.210094e-01
[4369,] 1646 1646 8.420187e-01
[4370,] 1647 142 -4.210094e-01
[4371,] 1647 615 -4.210094e-01
[4372,] 1647 1647 8.420187e-01
[4373,] 1648 142 -4.210094e-01
[4374,] 1648 615 -4.210094e-01
[4375,] 1648 1648 8.420187e-01
[4376,] 1649 142 -4.210094e-01
[4377,] 1649 615 -4.210094e-01
[4378,] 1649 1649 8.420187e-01
[4379,] 1650 142 -4.210094e-01
[4380,] 1650 615 -4.210094e-01
[4381,] 1650 1650 8.420187e-01
[4382,] 1651 142 -4.210094e-01
[4383,] 1651 615 -4.210094e-01
[4384,] 1651 1651 8.420187e-01
[4385,] 1652 142 -4.210094e-01
[4386,] 1652 615 -4.210094e-01
[4387,] 1652 1652 8.420187e-01
[4388,] 1653 142 -4.210094e-01
[4389,] 1653 615 -4.210094e-01
[4390,] 1653 1653 8.420187e-01
[4391,] 1654 142 -4.210094e-01
[4392,] 1654 615 -4.210094e-01
[4393,] 1654 1654 8.420187e-01
[4394,] 1655 142 -4.210094e-01
[4395,] 1655 615 -4.210094e-01
[4396,] 1655 1655 8.420187e-01
[4397,] 1656 142 -4.210094e-01
[4398,] 1656 615 -4.210094e-01
[4399,] 1656 1656 8.420187e-01
[4400,] 1657 142 -4.210094e-01
[4401,] 1657 615 -4.210094e-01
[4402,] 1657 1657 8.420187e-01
[4403,] 1658 142 -4.210094e-01
[4404,] 1658 615 -4.210094e-01
[4405,] 1658 1658 8.420187e-01
[4406,] 1659 142 -4.210094e-01
[4407,] 1659 615 -4.210094e-01
[4408,] 1659 1659 8.420187e-01
[4409,] 1660 142 -4.210094e-01
[4410,] 1660 615 -4.210094e-01
[4411,] 1660 1660 8.420187e-01
[4412,] 1661 142 -4.210094e-01
[4413,] 1661 615 -4.210094e-01
[4414,] 1661 1661 8.420187e-01
[4415,] 1662 142 -4.210094e-01
[4416,] 1662 388 4.533013e+00
[4417,] 1662 594 1.204322e+01
[4418,] 1662 615 -4.210094e-01
[4419,] 1662 1662 3.329422e+01
[4420,] 1663 142 -4.210094e-01
[4421,] 1663 615 -4.210094e-01
[4422,] 1663 1663 8.420187e-01
[4423,] 1664 142 -4.210094e-01
[4424,] 1664 615 -4.210094e-01
[4425,] 1664 1664 8.420187e-01
[4426,] 1665 142 -4.210094e-01
[4427,] 1665 615 -4.210094e-01
[4428,] 1665 1665 8.420187e-01
[4429,] 1666 142 -4.210094e-01
[4430,] 1666 615 -4.210094e-01
[4431,] 1666 1666 8.420187e-01
[4432,] 1667 142 -4.210094e-01
[4433,] 1667 615 -4.210094e-01
[4434,] 1667 1667 8.420187e-01
[4435,] 1668 142 -4.210094e-01
[4436,] 1668 615 -4.210094e-01
[4437,] 1668 1668 8.420187e-01
[4438,] 1669 142 -4.210094e-01
[4439,] 1669 615 -4.210094e-01
[4440,] 1669 1669 8.420187e-01
[4441,] 1670 142 -4.210094e-01
[4442,] 1670 615 -4.210094e-01
[4443,] 1670 1670 8.420187e-01
[4444,] 1671 142 -4.210094e-01
[4445,] 1671 615 -4.210094e-01
[4446,] 1671 1671 8.420187e-01
[4447,] 1672 142 -4.210094e-01
[4448,] 1672 615 -4.210094e-01
[4449,] 1672 1672 8.420187e-01
[4450,] 1673 142 -4.210094e-01
[4451,] 1673 615 -4.210094e-01
[4452,] 1673 1673 8.420187e-01
[4453,] 1674 142 -4.210094e-01
[4454,] 1674 615 -4.210094e-01
[4455,] 1674 1674 8.420187e-01
[4456,] 1675 142 -4.210094e-01
[4457,] 1675 615 -4.210094e-01
[4458,] 1675 1675 8.420187e-01
[4459,] 1676 142 -4.210094e-01
[4460,] 1676 615 -4.210094e-01
[4461,] 1676 1676 8.420187e-01
[4462,] 1677 142 -4.210094e-01
[4463,] 1677 615 -4.210094e-01
[4464,] 1677 1677 8.420187e-01
[4465,] 1678 142 -4.210094e-01
[4466,] 1678 615 -4.210094e-01
[4467,] 1678 1678 8.420187e-01
[4468,] 1679 142 -4.210094e-01
[4469,] 1679 615 -4.210094e-01
[4470,] 1679 1679 8.420187e-01
[4471,] 1680 142 -4.210094e-01
[4472,] 1680 615 -4.210094e-01
[4473,] 1680 1680 8.420187e-01
[4474,] 1681 142 -4.210094e-01
[4475,] 1681 615 -4.210094e-01
[4476,] 1681 1681 8.420187e-01
[4477,] 1682 142 -4.210094e-01
[4478,] 1682 615 -4.210094e-01
[4479,] 1682 1682 8.420187e-01
[4480,] 1683 142 -4.210094e-01
[4481,] 1683 615 -4.210094e-01
[4482,] 1683 1683 8.420187e-01
[4483,] 1684 142 -4.210094e-01
[4484,] 1684 615 -4.210094e-01
[4485,] 1684 1684 8.420187e-01
[4486,] 1685 142 -4.210094e-01
[4487,] 1685 615 -4.210094e-01
[4488,] 1685 1685 8.420187e-01
[4489,] 1686 62 -4.210094e-01
[4490,] 1686 614 -4.210094e-01
[4491,] 1686 1686 8.420187e-01
[4492,] 1687 62 -4.210094e-01
[4493,] 1687 614 -4.210094e-01
[4494,] 1687 1687 8.420187e-01
[4495,] 1688 62 -4.210094e-01
[4496,] 1688 614 -4.210094e-01
[4497,] 1688 1688 8.420187e-01
[4498,] 1689 62 -4.210094e-01
[4499,] 1689 614 -4.210094e-01
[4500,] 1689 1689 8.420187e-01
[4501,] 1690 62 -4.210094e-01
[4502,] 1690 614 -4.210094e-01
[4503,] 1690 1690 8.420187e-01
[4504,] 1691 62 -4.210094e-01
[4505,] 1691 614 -4.210094e-01
[4506,] 1691 1691 8.420187e-01
[4507,] 1692 62 -4.210094e-01
[4508,] 1692 614 -4.210094e-01
[4509,] 1692 1692 8.420187e-01
[4510,] 1693 62 -4.210094e-01
[4511,] 1693 614 -4.210094e-01
[4512,] 1693 1693 8.420187e-01
[4513,] 1694 62 -4.210094e-01
[4514,] 1694 614 -4.210094e-01
[4515,] 1694 1694 8.420187e-01
[4516,] 1695 62 -4.210094e-01
[4517,] 1695 614 -4.210094e-01
[4518,] 1695 1695 8.420187e-01
[4519,] 1696 62 -4.210094e-01
[4520,] 1696 614 -4.210094e-01
[4521,] 1696 1696 8.420187e-01
[4522,] 1697 62 -4.210094e-01
[4523,] 1697 614 -4.210094e-01
[4524,] 1697 1697 8.420187e-01
[4525,] 1698 62 -4.210094e-01
[4526,] 1698 614 -4.210094e-01
[4527,] 1698 1698 8.420187e-01
[4528,] 1699 62 -4.210094e-01
[4529,] 1699 614 -4.210094e-01
[4530,] 1699 1699 8.420187e-01
[4531,] 1700 62 -4.210094e-01
[4532,] 1700 614 -4.210094e-01
[4533,] 1700 1700 8.420187e-01
[4534,] 1701 62 -4.210094e-01
[4535,] 1701 614 -4.210094e-01
[4536,] 1701 1701 8.420187e-01
[4537,] 1702 62 -4.210094e-01
[4538,] 1702 614 -4.210094e-01
[4539,] 1702 1702 8.420187e-01
[4540,] 1703 62 -4.210094e-01
[4541,] 1703 614 -4.210094e-01
[4542,] 1703 1703 8.420187e-01
[4543,] 1704 62 -4.210094e-01
[4544,] 1704 614 -4.210094e-01
[4545,] 1704 1704 8.420187e-01
[4546,] 1705 62 -4.210094e-01
[4547,] 1705 614 -4.210094e-01
[4548,] 1705 1705 8.420187e-01
[4549,] 1706 62 -4.210094e-01
[4550,] 1706 614 -4.210094e-01
[4551,] 1706 1706 8.420187e-01
[4552,] 1707 62 -4.210094e-01
[4553,] 1707 614 -4.210094e-01
[4554,] 1707 1707 8.420187e-01
[4555,] 1708 62 -4.210094e-01
[4556,] 1708 614 -4.210094e-01
[4557,] 1708 1708 8.420187e-01
[4558,] 1709 62 -4.210094e-01
[4559,] 1709 614 -4.210094e-01
[4560,] 1709 1709 8.420187e-01
[4561,] 1710 62 -4.210094e-01
[4562,] 1710 614 -4.210094e-01
[4563,] 1710 1710 8.420187e-01
[4564,] 1711 62 -4.210094e-01
[4565,] 1711 614 -4.210094e-01
[4566,] 1711 1711 8.420187e-01
[4567,] 1712 62 -4.210094e-01
[4568,] 1712 614 -4.210094e-01
[4569,] 1712 1712 8.420187e-01
[4570,] 1713 62 -4.210094e-01
[4571,] 1713 614 -4.210094e-01
[4572,] 1713 1713 8.420187e-01
[4573,] 1714 62 -4.210094e-01
[4574,] 1714 614 -4.210094e-01
[4575,] 1714 1714 8.420187e-01
[4576,] 1715 62 -4.210094e-01
[4577,] 1715 614 -4.210094e-01
[4578,] 1715 1715 8.420187e-01
[4579,] 1716 62 -4.210094e-01
[4580,] 1716 614 -4.210094e-01
[4581,] 1716 1716 8.420187e-01
[4582,] 1717 62 -4.210094e-01
[4583,] 1717 614 -4.210094e-01
[4584,] 1717 1717 8.420187e-01
[4585,] 1718 62 -4.210094e-01
[4586,] 1718 614 -4.210094e-01
[4587,] 1718 1718 8.420187e-01
[4588,] 1719 62 -4.210094e-01
[4589,] 1719 614 -4.210094e-01
[4590,] 1719 1719 8.420187e-01
[4591,] 1720 62 -4.210094e-01
[4592,] 1720 614 -4.210094e-01
[4593,] 1720 1720 8.420187e-01
[4594,] 1721 62 -4.210094e-01
[4595,] 1721 614 -4.210094e-01
[4596,] 1721 1721 8.420187e-01
[4597,] 1722 62 -4.210094e-01
[4598,] 1722 614 -4.210094e-01
[4599,] 1722 1722 8.420187e-01
[4600,] 1723 62 -4.210094e-01
[4601,] 1723 614 -4.210094e-01
[4602,] 1723 1723 8.420187e-01
[4603,] 1724 62 -4.210094e-01
[4604,] 1724 614 -4.210094e-01
[4605,] 1724 1724 8.420187e-01
[4606,] 1725 62 -4.210094e-01
[4607,] 1725 614 -4.210094e-01
[4608,] 1725 1725 8.420187e-01
[4609,] 1726 62 -4.210094e-01
[4610,] 1726 614 -4.210094e-01
[4611,] 1726 1726 8.420187e-01
[4612,] 1727 62 -4.210094e-01
[4613,] 1727 614 -4.210094e-01
[4614,] 1727 1727 8.420187e-01
[4615,] 1728 65 -4.210094e-01
[4616,] 1728 614 -4.210094e-01
[4617,] 1728 1728 8.420187e-01
[4618,] 1729 65 -4.210094e-01
[4619,] 1729 614 -4.210094e-01
[4620,] 1729 1729 8.420187e-01
[4621,] 1730 65 -4.210094e-01
[4622,] 1730 614 -4.210094e-01
[4623,] 1730 1730 8.420187e-01
[4624,] 1731 65 -4.210094e-01
[4625,] 1731 614 -4.210094e-01
[4626,] 1731 1731 8.420187e-01
[4627,] 1732 65 -4.210094e-01
[4628,] 1732 614 -4.210094e-01
[4629,] 1732 1732 8.420187e-01
[4630,] 1733 40 -4.209661e-01
[4631,] 1733 619 -4.209661e-01
[4632,] 1733 1733 8.419322e-01
[4633,] 1734 40 -4.209661e-01
[4634,] 1734 619 -4.209661e-01
[4635,] 1734 1734 8.419322e-01
[4636,] 1735 40 -4.210094e-01
[4637,] 1735 615 -4.210094e-01
[4638,] 1735 1735 8.420187e-01
[4639,] 1736 40 -4.210094e-01
[4640,] 1736 615 -4.210094e-01
[4641,] 1736 1736 8.420187e-01
[4642,] 1737 40 -4.210094e-01
[4643,] 1737 615 -4.210094e-01
[4644,] 1737 1737 8.420187e-01
[4645,] 1738 40 -4.210094e-01
[4646,] 1738 615 -4.210094e-01
[4647,] 1738 1738 8.420187e-01
[4648,] 1739 40 -4.210094e-01
[4649,] 1739 615 -4.210094e-01
[4650,] 1739 1739 8.420187e-01
[4651,] 1740 40 -4.210094e-01
[4652,] 1740 615 -4.210094e-01
[4653,] 1740 1740 8.420187e-01
[4654,] 1741 40 -4.210094e-01
[4655,] 1741 615 -4.210094e-01
[4656,] 1741 1741 8.420187e-01
[4657,] 1742 40 -4.210094e-01
[4658,] 1742 615 -4.210094e-01
[4659,] 1742 1742 8.420187e-01
[4660,] 1743 40 -4.210094e-01
[4661,] 1743 615 -4.210094e-01
[4662,] 1743 1743 8.420187e-01
[4663,] 1744 40 -4.210094e-01
[4664,] 1744 615 -4.210094e-01
[4665,] 1744 1744 8.420187e-01
[4666,] 1745 40 -4.210094e-01
[4667,] 1745 615 -4.210094e-01
[4668,] 1745 1745 8.420187e-01
[4669,] 1746 40 -4.210094e-01
[4670,] 1746 615 -4.210094e-01
[4671,] 1746 1746 8.420187e-01
[4672,] 1747 40 -4.210094e-01
[4673,] 1747 615 -4.210094e-01
[4674,] 1747 1747 8.420187e-01
[4675,] 1748 40 -4.210094e-01
[4676,] 1748 615 -4.210094e-01
[4677,] 1748 1748 8.420187e-01
[4678,] 1749 40 -4.210094e-01
[4679,] 1749 615 -4.210094e-01
[4680,] 1749 1749 8.420187e-01
[4681,] 1750 40 -4.210094e-01
[4682,] 1750 615 -4.210094e-01
[4683,] 1750 1750 8.420187e-01
[4684,] 1751 67 -4.210094e-01
[4685,] 1751 614 -4.210094e-01
[4686,] 1751 1751 8.420187e-01
[4687,] 1752 67 -4.210094e-01
[4688,] 1752 614 -4.210094e-01
[4689,] 1752 1752 8.420187e-01
[4690,] 1753 67 -4.210094e-01
[4691,] 1753 614 -4.210094e-01
[4692,] 1753 1753 8.420187e-01
[4693,] 1754 67 -4.210094e-01
[4694,] 1754 614 -4.210094e-01
[4695,] 1754 1754 8.420187e-01
[4696,] 1755 67 -4.210094e-01
[4697,] 1755 614 -4.210094e-01
[4698,] 1755 1755 8.420187e-01
[4699,] 1756 67 -4.210094e-01
[4700,] 1756 614 -4.210094e-01
[4701,] 1756 1756 8.420187e-01
[4702,] 1757 67 -4.210094e-01
[4703,] 1757 614 -4.210094e-01
[4704,] 1757 1757 8.420187e-01
[4705,] 1758 67 -4.210094e-01
[4706,] 1758 614 -4.210094e-01
[4707,] 1758 1758 8.420187e-01
[4708,] 1759 67 -4.210094e-01
[4709,] 1759 614 -4.210094e-01
[4710,] 1759 1759 8.420187e-01
[4711,] 1760 67 -4.210094e-01
[4712,] 1760 614 -4.210094e-01
[4713,] 1760 1760 8.420187e-01
[4714,] 1761 67 -4.210094e-01
[4715,] 1761 614 -4.210094e-01
[4716,] 1761 1761 8.420187e-01
[4717,] 1762 67 -4.210094e-01
[4718,] 1762 614 -4.210094e-01
[4719,] 1762 1762 8.420187e-01
[4720,] 1763 67 -4.210094e-01
[4721,] 1763 614 -4.210094e-01
[4722,] 1763 1763 8.420187e-01
[4723,] 1764 67 -4.210094e-01
[4724,] 1764 614 -4.210094e-01
[4725,] 1764 1764 8.420187e-01
[4726,] 1765 67 -4.155844e-01
[4727,] 1765 651 -4.155844e-01
[4728,] 1765 1765 8.311688e-01
[4729,] 1766 67 -4.155844e-01
[4730,] 1766 651 -4.155844e-01
[4731,] 1766 1766 8.311688e-01
[4732,] 1767 67 -4.155844e-01
[4733,] 1767 651 -4.155844e-01
[4734,] 1767 1767 8.311688e-01
[4735,] 1768 67 -4.155844e-01
[4736,] 1768 651 -4.155844e-01
[4737,] 1768 1768 8.311688e-01
[4738,] 1769 67 -4.155844e-01
[4739,] 1769 651 -4.155844e-01
[4740,] 1769 1769 8.311688e-01
[4741,] 1770 67 -4.155844e-01
[4742,] 1770 651 -4.155844e-01
[4743,] 1770 1770 8.311688e-01
[4744,] 1771 67 -4.155844e-01
[4745,] 1771 651 -4.155844e-01
[4746,] 1771 1771 8.311688e-01
[4747,] 1772 67 -4.155844e-01
[4748,] 1772 651 -4.155844e-01
[4749,] 1772 1772 8.311688e-01
[4750,] 1773 67 -4.155844e-01
[4751,] 1773 651 -4.155844e-01
[4752,] 1773 1773 8.311688e-01
[4753,] 1774 67 -4.155844e-01
[4754,] 1774 651 -4.155844e-01
[4755,] 1774 1774 8.311688e-01
[4756,] 1775 67 -4.155844e-01
[4757,] 1775 651 -4.155844e-01
[4758,] 1775 1775 8.311688e-01
[4759,] 1776 67 -4.155844e-01
[4760,] 1776 651 -4.155844e-01
[4761,] 1776 1776 8.311688e-01
[4762,] 1777 67 -4.155844e-01
[4763,] 1777 651 -4.155844e-01
[4764,] 1777 1777 8.311688e-01
[4765,] 1778 67 -4.155844e-01
[4766,] 1778 651 -4.155844e-01
[4767,] 1778 1778 8.311688e-01
[4768,] 1779 67 -4.155844e-01
[4769,] 1779 651 -4.155844e-01
[4770,] 1779 1779 8.311688e-01
[4771,] 1780 67 -4.155844e-01
[4772,] 1780 651 -4.155844e-01
[4773,] 1780 1780 8.311688e-01
[4774,] 1781 67 -4.155844e-01
[4775,] 1781 651 -4.155844e-01
[4776,] 1781 1781 8.311688e-01
[4777,] 1782 67 -4.155844e-01
[4778,] 1782 651 -4.155844e-01
[4779,] 1782 1782 8.311688e-01
[4780,] 1783 67 -4.155844e-01
[4781,] 1783 651 -4.155844e-01
[4782,] 1783 1783 8.311688e-01
[4783,] 1784 67 -4.155844e-01
[4784,] 1784 651 -4.155844e-01
[4785,] 1784 1784 8.311688e-01
[4786,] 1785 67 -4.155844e-01
[4787,] 1785 651 -4.155844e-01
[4788,] 1785 1785 8.311688e-01
[4789,] 1786 67 -4.155844e-01
[4790,] 1786 651 -4.155844e-01
[4791,] 1786 1786 8.311688e-01
[4792,] 1787 67 -4.155844e-01
[4793,] 1787 651 -4.155844e-01
[4794,] 1787 1787 8.311688e-01
[4795,] 1788 67 -4.155844e-01
[4796,] 1788 651 -4.155844e-01
[4797,] 1788 1788 8.311688e-01
[4798,] 1789 614 -5.245230e-01
[4799,] 1789 651 -5.245230e-01
[4800,] 1789 1789 1.049046e+00
[4801,] 1790 614 -5.245230e-01
[4802,] 1790 651 -5.245230e-01
[4803,] 1790 1790 1.049046e+00
[4804,] 1791 614 -5.245230e-01
[4805,] 1791 651 -5.245230e-01
[4806,] 1791 1791 1.049046e+00
[4807,] 1792 614 -5.245230e-01
[4808,] 1792 651 -5.245230e-01
[4809,] 1792 1792 1.049046e+00
[4810,] 1793 614 -5.245230e-01
[4811,] 1793 651 -5.245230e-01
[4812,] 1793 1793 1.049046e+00
[4813,] 1794 614 -5.245230e-01
[4814,] 1794 651 -5.245230e-01
[4815,] 1794 1794 1.049046e+00
[4816,] 1795 614 -5.245230e-01
[4817,] 1795 651 -5.245230e-01
[4818,] 1795 1795 1.049046e+00
[4819,] 1796 614 -5.245230e-01
[4820,] 1796 651 -5.245230e-01
[4821,] 1796 1796 1.049046e+00
[4822,] 1797 614 -5.245230e-01
[4823,] 1797 651 -5.245230e-01
[4824,] 1797 1797 1.049046e+00
[4825,] 1798 614 -5.245230e-01
[4826,] 1798 651 -5.245230e-01
[4827,] 1798 1798 1.049046e+00
[4828,] 1799 614 -5.245230e-01
[4829,] 1799 651 -5.245230e-01
[4830,] 1799 1799 1.049046e+00
[4831,] 1800 614 -5.245230e-01
[4832,] 1800 651 -5.245230e-01
[4833,] 1800 1800 1.049046e+00
[4834,] 1801 614 -5.245230e-01
[4835,] 1801 651 -5.245230e-01
[4836,] 1801 1801 1.049046e+00
[4837,] 1802 614 -5.245230e-01
[4838,] 1802 651 -5.245230e-01
[4839,] 1802 1802 1.049046e+00
[4840,] 1803 614 -5.245230e-01
[4841,] 1803 651 -5.245230e-01
[4842,] 1803 1803 1.049046e+00
[4843,] 1804 614 -5.245230e-01
[4844,] 1804 651 -5.245230e-01
[4845,] 1804 1804 1.049046e+00
[4846,] 1805 614 -5.245230e-01
[4847,] 1805 651 -5.245230e-01
[4848,] 1805 1805 1.049046e+00
[4849,] 1806 614 -5.245230e-01
[4850,] 1806 651 -5.245230e-01
[4851,] 1806 1806 1.049046e+00
[4852,] 1807 614 -5.245230e-01
[4853,] 1807 651 -5.245230e-01
[4854,] 1807 1807 1.049046e+00
[4855,] 1808 614 -5.245230e-01
[4856,] 1808 651 -5.245230e-01
[4857,] 1808 1808 1.049046e+00
[4858,] 1809 614 -5.245230e-01
[4859,] 1809 651 -5.245230e-01
[4860,] 1809 1809 1.049046e+00
[4861,] 1810 614 -5.245230e-01
[4862,] 1810 651 -5.245230e-01
[4863,] 1810 1810 1.049046e+00
[4864,] 1811 614 -5.245230e-01
[4865,] 1811 651 -5.245230e-01
[4866,] 1811 1811 1.049046e+00
[4867,] 1812 614 -5.245230e-01
[4868,] 1812 651 -5.245230e-01
[4869,] 1812 1812 1.049046e+00
[4870,] 1813 614 -5.245230e-01
[4871,] 1813 651 -5.245230e-01
[4872,] 1813 1813 1.049046e+00
[4873,] 1814 614 -5.245230e-01
[4874,] 1814 651 -5.245230e-01
[4875,] 1814 1814 1.049046e+00
[4876,] 1815 614 -5.245230e-01
[4877,] 1815 651 -5.245230e-01
[4878,] 1815 1815 1.049046e+00
[4879,] 1816 614 -5.245230e-01
[4880,] 1816 651 -5.245230e-01
[4881,] 1816 1816 1.049046e+00
[4882,] 1817 614 -5.245230e-01
[4883,] 1817 651 -5.245230e-01
[4884,] 1817 1817 1.049046e+00
[4885,] 1818 614 -5.245230e-01
[4886,] 1818 651 -5.245230e-01
[4887,] 1818 1818 1.049046e+00
[4888,] 1819 614 -5.245230e-01
[4889,] 1819 651 -5.245230e-01
[4890,] 1819 1819 1.049046e+00
[4891,] 1820 614 -5.245230e-01
[4892,] 1820 651 -5.245230e-01
[4893,] 1820 1820 1.049046e+00
[4894,] 1821 614 -5.245230e-01
[4895,] 1821 651 -5.245230e-01
[4896,] 1821 1821 1.049046e+00
[4897,] 1822 614 -5.245230e-01
[4898,] 1822 651 -5.245230e-01
[4899,] 1822 1822 1.049046e+00
[4900,] 1823 614 -5.245230e-01
[4901,] 1823 651 -5.245230e-01
[4902,] 1823 1823 1.049046e+00
[4903,] 1824 614 -5.245230e-01
[4904,] 1824 651 -5.245230e-01
[4905,] 1824 1824 1.049046e+00
[4906,] 1825 614 -5.245230e-01
[4907,] 1825 651 -5.245230e-01
[4908,] 1825 1825 1.049046e+00
[4909,] 1826 562 -4.210094e-01
[4910,] 1826 614 -4.210094e-01
[4911,] 1826 1826 8.420187e-01
[4912,] 1827 562 -4.210094e-01
[4913,] 1827 614 -4.210094e-01
[4914,] 1827 1827 8.420187e-01
[4915,] 1828 562 -4.210094e-01
[4916,] 1828 614 -4.210094e-01
[4917,] 1828 1828 8.420187e-01
[4918,] 1829 614 -5.331251e-01
[4919,] 1829 619 -5.331251e-01
[4920,] 1829 1829 1.066250e+00
[4921,] 1830 614 -5.331251e-01
[4922,] 1830 619 -5.331251e-01
[4923,] 1830 1830 1.066250e+00
[4924,] 1831 614 -5.331251e-01
[4925,] 1831 619 -5.331251e-01
[4926,] 1831 1831 1.066250e+00
[4927,] 1832 614 -5.331251e-01
[4928,] 1832 619 -5.331251e-01
[4929,] 1832 1832 1.066250e+00
[4930,] 1833 614 -5.331251e-01
[4931,] 1833 619 -5.331251e-01
[4932,] 1833 1833 1.066250e+00
[4933,] 1834 614 -5.331251e-01
[4934,] 1834 619 -5.331251e-01
[4935,] 1834 1834 1.066250e+00
[4936,] 1835 614 -5.331251e-01
[4937,] 1835 619 -5.331251e-01
[4938,] 1835 1835 1.066250e+00
[4939,] 1836 614 -5.331251e-01
[4940,] 1836 619 -5.331251e-01
[4941,] 1836 1836 1.066250e+00
[4942,] 1837 614 -5.331251e-01
[4943,] 1837 619 -5.331251e-01
[4944,] 1837 1837 1.066250e+00
[4945,] 1838 614 -5.331251e-01
[4946,] 1838 619 -5.331251e-01
[4947,] 1838 1838 1.066250e+00
[4948,] 1839 614 -5.331251e-01
[4949,] 1839 619 -5.331251e-01
[4950,] 1839 1839 1.066250e+00
[4951,] 1840 614 -5.331251e-01
[4952,] 1840 619 -5.331251e-01
[4953,] 1840 1840 1.066250e+00
[4954,] 1841 614 -5.331251e-01
[4955,] 1841 619 -5.331251e-01
[4956,] 1841 1841 1.066250e+00
[4957,] 1842 615 -5.331251e-01
[4958,] 1842 619 -5.331251e-01
[4959,] 1842 1842 1.066250e+00
[4960,] 1843 615 -5.331251e-01
[4961,] 1843 619 -5.331251e-01
[4962,] 1843 1843 1.066250e+00
[4963,] 1844 615 -5.331251e-01
[4964,] 1844 619 -5.331251e-01
[4965,] 1844 1844 1.066250e+00
[4966,] 1845 615 -5.331251e-01
[4967,] 1845 619 -5.331251e-01
[4968,] 1845 1845 1.066250e+00
[4969,] 1846 615 -5.331251e-01
[4970,] 1846 619 -5.331251e-01
[4971,] 1846 1846 1.066250e+00
[4972,] 1847 615 -5.331251e-01
[4973,] 1847 619 -5.331251e-01
[4974,] 1847 1847 1.066250e+00
[4975,] 1848 615 -5.331251e-01
[4976,] 1848 619 -5.331251e-01
[4977,] 1848 1848 1.066250e+00
[4978,] 1849 615 -5.331251e-01
[4979,] 1849 619 -5.331251e-01
[4980,] 1849 1849 1.066250e+00
[4981,] 1850 615 -5.331251e-01
[4982,] 1850 619 -5.331251e-01
[4983,] 1850 1850 1.066250e+00
[4984,] 1851 615 -5.331251e-01
[4985,] 1851 619 -5.331251e-01
[4986,] 1851 1851 1.066250e+00
[4987,] 1852 615 -5.331251e-01
[4988,] 1852 619 -5.331251e-01
[4989,] 1852 1852 1.066250e+00
[4990,] 1853 615 -5.331251e-01
[4991,] 1853 619 -5.331251e-01
[4992,] 1853 1853 1.066250e+00
[4993,] 1854 615 -5.331251e-01
[4994,] 1854 619 -5.331251e-01
[4995,] 1854 1854 1.066250e+00
[4996,] 1855 615 -5.331251e-01
[4997,] 1855 619 -5.331251e-01
[4998,] 1855 1855 1.066250e+00
[4999,] 1856 615 -5.331251e-01
[5000,] 1856 619 -5.331251e-01
[5001,] 1856 1856 1.066250e+00
[5002,] 1857 615 -5.331251e-01
[5003,] 1857 619 -5.331251e-01
[5004,] 1857 1857 1.066250e+00
[5005,] 1858 615 -5.331251e-01
[5006,] 1858 619 -5.331251e-01
[5007,] 1858 1858 1.066250e+00
[5008,] 1859 615 -5.331251e-01
[5009,] 1859 619 -5.331251e-01
[5010,] 1859 1859 1.066250e+00
[5011,] 1860 615 -5.331251e-01
[5012,] 1860 619 -5.331251e-01
[5013,] 1860 1860 1.066250e+00
[5014,] 1861 615 -5.331251e-01
[5015,] 1861 619 -5.331251e-01
[5016,] 1861 1861 1.066250e+00
[5017,] 1862 615 -5.331251e-01
[5018,] 1862 619 -5.331251e-01
[5019,] 1862 1862 1.066250e+00
[5020,] 1863 615 -5.331251e-01
[5021,] 1863 619 -5.331251e-01
[5022,] 1863 1863 1.066250e+00
[5023,] 1864 615 -5.331251e-01
[5024,] 1864 619 -5.331251e-01
[5025,] 1864 1864 1.066250e+00
[5026,] 1865 615 -5.331251e-01
[5027,] 1865 619 -5.331251e-01
[5028,] 1865 1865 1.066250e+00
[5029,] 1866 615 -5.331251e-01
[5030,] 1866 619 -5.331251e-01
[5031,] 1866 1866 1.066250e+00
[5032,] 1867 615 -5.331251e-01
[5033,] 1867 619 -5.331251e-01
[5034,] 1867 1867 1.066250e+00
[5035,] 1868 615 -5.331251e-01
[5036,] 1868 619 -5.331251e-01
[5037,] 1868 1868 1.066250e+00
[5038,] 1869 615 -5.331251e-01
[5039,] 1869 619 -5.331251e-01
[5040,] 1869 1869 1.066250e+00
[5041,] 1870 615 -5.331251e-01
[5042,] 1870 619 -5.331251e-01
[5043,] 1870 1870 1.066250e+00
[5044,] 1871 615 -5.331251e-01
[5045,] 1871 619 -5.331251e-01
[5046,] 1871 1871 1.066250e+00
[5047,] 1872 615 -5.331251e-01
[5048,] 1872 619 -5.331251e-01
[5049,] 1872 1872 1.066250e+00
[5050,] 1873 615 -5.331251e-01
[5051,] 1873 619 -5.331251e-01
[5052,] 1873 1873 1.066250e+00
[5053,] 1874 615 -5.331251e-01
[5054,] 1874 619 -5.331251e-01
[5055,] 1874 1874 1.066250e+00
[5056,] 1875 615 -5.331251e-01
[5057,] 1875 619 -5.331251e-01
[5058,] 1875 1875 1.066250e+00
[5059,] 1876 615 -5.331251e-01
[5060,] 1876 619 -5.331251e-01
[5061,] 1876 1876 1.066250e+00
[5062,] 1877 615 -5.331251e-01
[5063,] 1877 619 -5.331251e-01
[5064,] 1877 1877 1.066250e+00
[5065,] 1878 615 -5.331251e-01
[5066,] 1878 619 -5.331251e-01
[5067,] 1878 1878 1.066250e+00
[5068,] 1879 615 -5.331251e-01
[5069,] 1879 619 -5.331251e-01
[5070,] 1879 1879 1.066250e+00
[5071,] 1880 615 -5.331251e-01
[5072,] 1880 619 -5.331251e-01
[5073,] 1880 1880 1.066250e+00
[5074,] 1881 114 -4.210094e-01
[5075,] 1881 615 -4.210094e-01
[5076,] 1881 1881 8.420187e-01
[5077,] 1882 114 -4.210094e-01
[5078,] 1882 615 -4.210094e-01
[5079,] 1882 1882 8.420187e-01
[5080,] 1883 114 -4.210094e-01
[5081,] 1883 615 -4.210094e-01
[5082,] 1883 1883 8.420187e-01
[5083,] 1884 114 -4.210094e-01
[5084,] 1884 615 -4.210094e-01
[5085,] 1884 1884 8.420187e-01
[5086,] 1885 114 -4.210094e-01
[5087,] 1885 615 -4.210094e-01
[5088,] 1885 1885 8.420187e-01
[5089,] 1886 114 -4.210094e-01
[5090,] 1886 615 -4.210094e-01
[5091,] 1886 1886 8.420187e-01
[5092,] 1887 114 -4.210094e-01
[5093,] 1887 615 -4.210094e-01
[5094,] 1887 1887 8.420187e-01
[5095,] 1888 114 -4.210094e-01
[5096,] 1888 615 -4.210094e-01
[5097,] 1888 1888 8.420187e-01
[5098,] 1889 114 -4.210094e-01
[5099,] 1889 615 -4.210094e-01
[5100,] 1889 1889 8.420187e-01
[5101,] 1890 114 -4.210094e-01
[5102,] 1890 615 -4.210094e-01
[5103,] 1890 1890 8.420187e-01
[5104,] 1891 114 -4.210094e-01
[5105,] 1891 615 -4.210094e-01
[5106,] 1891 1891 8.420187e-01
[5107,] 1892 114 -4.210094e-01
[5108,] 1892 615 -4.210094e-01
[5109,] 1892 1892 8.420187e-01
[5110,] 1893 114 -4.210094e-01
[5111,] 1893 615 -4.210094e-01
[5112,] 1893 1893 8.420187e-01
[5113,] 1894 114 -4.210094e-01
[5114,] 1894 615 -4.210094e-01
[5115,] 1894 1894 8.420187e-01
[5116,] 1895 114 -4.210094e-01
[5117,] 1895 615 -4.210094e-01
[5118,] 1895 1895 8.420187e-01
[5119,] 1896 114 -4.210094e-01
[5120,] 1896 615 -4.210094e-01
[5121,] 1896 1896 8.420187e-01
[5122,] 1897 114 -4.210094e-01
[5123,] 1897 615 -4.210094e-01
[5124,] 1897 1897 8.420187e-01
[5125,] 1898 114 -4.210094e-01
[5126,] 1898 615 -4.210094e-01
[5127,] 1898 1898 8.420187e-01
[5128,] 1899 114 -4.210094e-01
[5129,] 1899 615 -4.210094e-01
[5130,] 1899 1899 8.420187e-01
[5131,] 1900 114 -4.210094e-01
[5132,] 1900 615 -4.210094e-01
[5133,] 1900 1900 8.420187e-01
[5134,] 1901 114 -4.210094e-01
[5135,] 1901 615 -4.210094e-01
[5136,] 1901 1901 8.420187e-01
[5137,] 1902 114 -4.210094e-01
[5138,] 1902 615 -4.210094e-01
[5139,] 1902 1902 8.420187e-01
[5140,] 1903 114 -4.210094e-01
[5141,] 1903 615 -4.210094e-01
[5142,] 1903 1903 8.420187e-01
[5143,] 1904 114 -4.210094e-01
[5144,] 1904 615 -4.210094e-01
[5145,] 1904 1904 8.420187e-01
[5146,] 1905 114 -4.210094e-01
[5147,] 1905 615 -4.210094e-01
[5148,] 1905 1905 8.420187e-01
[5149,] 1906 114 -4.210094e-01
[5150,] 1906 615 -4.210094e-01
[5151,] 1906 1906 8.420187e-01
[5152,] 1907 114 -4.210094e-01
[5153,] 1907 615 -4.210094e-01
[5154,] 1907 1907 8.420187e-01
[5155,] 1908 615 -5.245230e-01
[5156,] 1908 651 -5.245230e-01
[5157,] 1908 1908 1.049046e+00
[5158,] 1909 615 -5.245230e-01
[5159,] 1909 651 -5.245230e-01
[5160,] 1909 1909 1.049046e+00
[5161,] 1910 615 -5.245230e-01
[5162,] 1910 651 -5.245230e-01
[5163,] 1910 1910 1.049046e+00
[5164,] 1911 615 -5.245230e-01
[5165,] 1911 651 -5.245230e-01
[5166,] 1911 1911 1.049046e+00
[5167,] 1912 615 -5.245230e-01
[5168,] 1912 651 -5.245230e-01
[5169,] 1912 1912 1.049046e+00
[5170,] 1913 615 -5.245230e-01
[5171,] 1913 651 -5.245230e-01
[5172,] 1913 1913 1.049046e+00
[5173,] 1914 615 -5.245230e-01
[5174,] 1914 651 -5.245230e-01
[5175,] 1914 1914 1.049046e+00
[5176,] 1915 615 -5.245230e-01
[5177,] 1915 651 -5.245230e-01
[5178,] 1915 1915 1.049046e+00
[5179,] 1916 615 -5.245230e-01
[5180,] 1916 651 -5.245230e-01
[5181,] 1916 1916 1.049046e+00
[5182,] 1917 615 -5.245230e-01
[5183,] 1917 651 -5.245230e-01
[5184,] 1917 1917 1.049046e+00
[5185,] 1918 615 -5.245230e-01
[5186,] 1918 651 -5.245230e-01
[5187,] 1918 1918 1.049046e+00
[5188,] 1919 615 -5.245230e-01
[5189,] 1919 651 -5.245230e-01
[5190,] 1919 1919 1.049046e+00
[5191,] 1920 615 -5.245230e-01
[5192,] 1920 651 -5.245230e-01
[5193,] 1920 1920 1.049046e+00
[5194,] 1921 615 -5.245230e-01
[5195,] 1921 651 -5.245230e-01
[5196,] 1921 1921 1.049046e+00
[5197,] 1922 615 -5.245230e-01
[5198,] 1922 651 -5.245230e-01
[5199,] 1922 1922 1.049046e+00
[5200,] 1923 615 -5.245230e-01
[5201,] 1923 651 -5.245230e-01
[5202,] 1923 1923 1.049046e+00
[5203,] 1924 615 -5.245230e-01
[5204,] 1924 651 -5.245230e-01
[5205,] 1924 1924 1.049046e+00
[5206,] 1925 615 -5.245230e-01
[5207,] 1925 651 -5.245230e-01
[5208,] 1925 1925 1.049046e+00
[5209,] 1926 619 -5.244558e-01
[5210,] 1926 651 -5.244558e-01
[5211,] 1926 1926 1.048912e+00
[5212,] 1927 619 -5.244558e-01
[5213,] 1927 651 -5.244558e-01
[5214,] 1927 1927 1.048912e+00
[5215,] 1928 619 -5.244558e-01
[5216,] 1928 651 -5.244558e-01
[5217,] 1928 1928 1.048912e+00
[5218,] 1929 619 -5.244558e-01
[5219,] 1929 651 -5.244558e-01
[5220,] 1929 1929 1.048912e+00
[5221,] 1930 619 -5.244558e-01
[5222,] 1930 651 -5.244558e-01
[5223,] 1930 1930 1.048912e+00
[5224,] 1931 619 -5.244558e-01
[5225,] 1931 651 -5.244558e-01
[5226,] 1931 1931 1.048912e+00
[5227,] 1932 619 -5.244558e-01
[5228,] 1932 651 -5.244558e-01
[5229,] 1932 1932 1.048912e+00
[5230,] 1933 619 -5.244558e-01
[5231,] 1933 651 -5.244558e-01
[5232,] 1933 1933 1.048912e+00
[5233,] 1934 619 -5.244558e-01
[5234,] 1934 651 -5.244558e-01
[5235,] 1934 1934 1.048912e+00
[5236,] 1935 619 -5.244558e-01
[5237,] 1935 651 -5.244558e-01
[5238,] 1935 1935 1.048912e+00
[5239,] 1936 619 -5.244558e-01
[5240,] 1936 651 -5.244558e-01
[5241,] 1936 1936 1.048912e+00
[5242,] 1937 619 -5.244558e-01
[5243,] 1937 651 -5.244558e-01
[5244,] 1937 1937 1.048912e+00
[5245,] 1938 619 -5.244558e-01
[5246,] 1938 651 -5.244558e-01
[5247,] 1938 1938 1.048912e+00
[5248,] 1939 619 -5.244558e-01
[5249,] 1939 651 -5.244558e-01
[5250,] 1939 1939 1.048912e+00
[5251,] 1940 619 -5.244558e-01
[5252,] 1940 651 -5.244558e-01
[5253,] 1940 1940 1.048912e+00
[5254,] 1941 619 -5.244558e-01
[5255,] 1941 651 -5.244558e-01
[5256,] 1941 1941 1.048912e+00
[5257,] 1942 619 -5.244558e-01
[5258,] 1942 651 -5.244558e-01
[5259,] 1942 1942 1.048912e+00
[5260,] 1943 619 -5.244558e-01
[5261,] 1943 651 -5.244558e-01
[5262,] 1943 1943 1.048912e+00
[5263,] 1944 619 -5.244558e-01
[5264,] 1944 651 -5.244558e-01
[5265,] 1944 1944 1.048912e+00
[5266,] 1945 54 -4.209661e-01
[5267,] 1945 619 -4.209661e-01
[5268,] 1945 1945 8.419322e-01
[5269,] 1946 54 -4.209661e-01
[5270,] 1946 619 -4.209661e-01
[5271,] 1946 1946 8.419322e-01
[5272,] 1947 54 -4.209661e-01
[5273,] 1947 619 -4.209661e-01
[5274,] 1947 1947 8.419322e-01
[5275,] 1948 54 -4.209661e-01
[5276,] 1948 619 -4.209661e-01
[5277,] 1948 1948 8.419322e-01
[5278,] 1949 54 -4.209661e-01
[5279,] 1949 619 -4.209661e-01
[5280,] 1949 1949 8.419322e-01
[5281,] 1950 54 -4.209661e-01
[5282,] 1950 619 -4.209661e-01
[5283,] 1950 1950 8.419322e-01
[5284,] 1951 54 -4.209661e-01
[5285,] 1951 619 -4.209661e-01
[5286,] 1951 1951 8.419322e-01
[5287,] 1952 54 -4.209661e-01
[5288,] 1952 619 -4.209661e-01
[5289,] 1952 1952 8.419322e-01
[5290,] 1953 54 -4.209661e-01
[5291,] 1953 619 -4.209661e-01
[5292,] 1953 1953 8.419322e-01
[5293,] 1954 54 -4.209661e-01
[5294,] 1954 619 -4.209661e-01
[5295,] 1954 1954 8.419322e-01
[5296,] 1955 54 -4.209661e-01
[5297,] 1955 619 -4.209661e-01
[5298,] 1955 1955 8.419322e-01
[5299,] 1956 54 -4.209661e-01
[5300,] 1956 619 -4.209661e-01
[5301,] 1956 1956 8.419322e-01
[5302,] 1957 54 -4.209661e-01
[5303,] 1957 619 -4.209661e-01
[5304,] 1957 1957 8.419322e-01
[5305,] 1958 54 -4.209661e-01
[5306,] 1958 619 -4.209661e-01
[5307,] 1958 1958 8.419322e-01
[5308,] 1959 54 -4.209661e-01
[5309,] 1959 619 -4.209661e-01
[5310,] 1959 1959 8.419322e-01
[5311,] 1960 54 -4.209661e-01
[5312,] 1960 619 -4.209661e-01
[5313,] 1960 1960 8.419322e-01
[5314,] 1961 54 -4.209661e-01
[5315,] 1961 619 -4.209661e-01
[5316,] 1961 1961 8.419322e-01
[5317,] 1962 54 -4.209661e-01
[5318,] 1962 619 -4.209661e-01
[5319,] 1962 1962 8.419322e-01
[5320,] 1963 54 -4.209661e-01
[5321,] 1963 619 -4.209661e-01
[5322,] 1963 1963 8.419322e-01
[5323,] 1964 54 -4.209661e-01
[5324,] 1964 619 -4.209661e-01
[5325,] 1964 1964 8.419322e-01
[5326,] 1965 54 -4.209661e-01
[5327,] 1965 619 -4.209661e-01
[5328,] 1965 1965 8.419322e-01
[5329,] 1966 54 -4.209661e-01
[5330,] 1966 619 -4.209661e-01
[5331,] 1966 1966 8.419322e-01
[5332,] 1967 54 -4.209661e-01
[5333,] 1967 619 -4.209661e-01
[5334,] 1967 1967 8.419322e-01
[5335,] 1968 54 -4.209661e-01
[5336,] 1968 619 -4.209661e-01
[5337,] 1968 1968 8.419322e-01
[5338,] 1969 54 -4.209661e-01
[5339,] 1969 619 -4.209661e-01
[5340,] 1969 1969 8.419322e-01
[5341,] 1970 54 -4.209661e-01
[5342,] 1970 619 -4.209661e-01
[5343,] 1970 1970 8.419322e-01
[5344,] 1971 54 -4.209661e-01
[5345,] 1971 619 -4.209661e-01
[5346,] 1971 1971 8.419322e-01
[5347,] 1972 54 -4.209661e-01
[5348,] 1972 619 -4.209661e-01
[5349,] 1972 1972 8.419322e-01
[5350,] 1973 54 -4.209661e-01
[5351,] 1973 619 -4.209661e-01
[5352,] 1973 1973 8.419322e-01
[5353,] 1974 54 -4.209661e-01
[5354,] 1974 619 -4.209661e-01
[5355,] 1974 1974 8.419322e-01
[5356,] 1975 54 -4.209661e-01
[5357,] 1975 619 -4.209661e-01
[5358,] 1975 1975 8.419322e-01
[5359,] 1976 54 -4.209661e-01
[5360,] 1976 619 -4.209661e-01
[5361,] 1976 1976 8.419322e-01
[5362,] 1977 54 -4.209661e-01
[5363,] 1977 619 -4.209661e-01
[5364,] 1977 1977 8.419322e-01
[5365,] 1978 54 -4.209661e-01
[5366,] 1978 619 -4.209661e-01
[5367,] 1978 1978 8.419322e-01
[5368,] 1979 54 -4.209661e-01
[5369,] 1979 619 -4.209661e-01
[5370,] 1979 1979 8.419322e-01
[5371,] 1980 54 -4.209661e-01
[5372,] 1980 619 -4.209661e-01
[5373,] 1980 1980 8.419322e-01
[5374,] 1981 54 -4.209661e-01
[5375,] 1981 619 -4.209661e-01
[5376,] 1981 1981 8.419322e-01
[5377,] 1982 54 -4.209661e-01
[5378,] 1982 619 -4.209661e-01
[5379,] 1982 1982 8.419322e-01
[5380,] 1983 54 -4.209661e-01
[5381,] 1983 619 -4.209661e-01
[5382,] 1983 1983 8.419322e-01
[5383,] 1984 54 -4.209661e-01
[5384,] 1984 619 -4.209661e-01
[5385,] 1984 1984 8.419322e-01
[5386,] 1985 54 -4.209661e-01
[5387,] 1985 619 -4.209661e-01
[5388,] 1985 1985 8.419322e-01
[5389,] 1986 54 -4.209661e-01
[5390,] 1986 619 -4.209661e-01
[5391,] 1986 1986 8.419322e-01
[5392,] 1987 54 -4.209661e-01
[5393,] 1987 619 -4.209661e-01
[5394,] 1987 1987 8.419322e-01
[5395,] 1988 54 -4.210094e-01
[5396,] 1988 614 -4.210094e-01
[5397,] 1988 1988 8.420187e-01
[5398,] 1989 54 -4.210094e-01
[5399,] 1989 614 -4.210094e-01
[5400,] 1989 1989 8.420187e-01
[5401,] 1990 54 -4.210094e-01
[5402,] 1990 614 -4.210094e-01
[5403,] 1990 1990 8.420187e-01
[5404,] 1991 54 -4.210094e-01
[5405,] 1991 614 -4.210094e-01
[5406,] 1991 1991 8.420187e-01
[5407,] 1992 54 -4.210094e-01
[5408,] 1992 614 -4.210094e-01
[5409,] 1992 1992 8.420187e-01
[5410,] 1993 54 -4.210094e-01
[5411,] 1993 614 -4.210094e-01
[5412,] 1993 1993 8.420187e-01
[5413,] 1994 54 -4.210094e-01
[5414,] 1994 614 -4.210094e-01
[5415,] 1994 1994 8.420187e-01
[5416,] 1995 54 -4.210094e-01
[5417,] 1995 614 -4.210094e-01
[5418,] 1995 1995 8.420187e-01
[5419,] 1996 54 -4.210094e-01
[5420,] 1996 614 -4.210094e-01
[5421,] 1996 1996 8.420187e-01
[5422,] 1997 54 -4.210094e-01
[5423,] 1997 614 -4.210094e-01
[5424,] 1997 1997 8.420187e-01
[5425,] 1998 54 -4.210094e-01
[5426,] 1998 614 -4.210094e-01
[5427,] 1998 1998 8.420187e-01
[5428,] 1999 54 -4.210094e-01
[5429,] 1999 614 -4.210094e-01
[5430,] 1999 1999 8.420187e-01
[5431,] 2000 54 -4.210094e-01
[5432,] 2000 614 -4.210094e-01
[5433,] 2000 2000 8.420187e-01
[5434,] 2001 54 -4.210094e-01
[5435,] 2001 614 -4.210094e-01
[5436,] 2001 2001 8.420187e-01
[5437,] 2002 54 -4.210094e-01
[5438,] 2002 615 -4.210094e-01
[5439,] 2002 2002 8.420187e-01
[5440,] 2003 54 -4.210094e-01
[5441,] 2003 615 -4.210094e-01
[5442,] 2003 2003 8.420187e-01
[5443,] 2004 54 -4.210094e-01
[5444,] 2004 615 -4.210094e-01
[5445,] 2004 2004 8.420187e-01
[5446,] 2005 54 -4.210094e-01
[5447,] 2005 615 -4.210094e-01
[5448,] 2005 2005 8.420187e-01
[5449,] 2006 54 -4.210094e-01
[5450,] 2006 615 -4.210094e-01
[5451,] 2006 2006 8.420187e-01
[5452,] 2007 54 -4.210094e-01
[5453,] 2007 615 -4.210094e-01
[5454,] 2007 2007 8.420187e-01
[5455,] 2008 54 -4.210094e-01
[5456,] 2008 615 -4.210094e-01
[5457,] 2008 2008 8.420187e-01
[5458,] 2009 54 -4.210094e-01
[5459,] 2009 615 -4.210094e-01
[5460,] 2009 2009 8.420187e-01
[5461,] 2010 54 -4.210094e-01
[5462,] 2010 615 -4.210094e-01
[5463,] 2010 2010 8.420187e-01
[5464,] 2011 54 -4.210094e-01
[5465,] 2011 615 -4.210094e-01
[5466,] 2011 2011 8.420187e-01
[5467,] 2012 54 -4.210094e-01
[5468,] 2012 615 -4.210094e-01
[5469,] 2012 2012 8.420187e-01
[5470,] 2013 54 -4.210094e-01
[5471,] 2013 615 -4.210094e-01
[5472,] 2013 2013 8.420187e-01
[5473,] 2014 54 -4.210094e-01
[5474,] 2014 615 -4.210094e-01
[5475,] 2014 2014 8.420187e-01
[5476,] 2015 54 -4.210094e-01
[5477,] 2015 615 -4.210094e-01
[5478,] 2015 2015 8.420187e-01
[5479,] 2016 54 -4.210094e-01
[5480,] 2016 615 -4.210094e-01
[5481,] 2016 2016 8.420187e-01
[5482,] 2017 54 -4.210094e-01
[5483,] 2017 615 -4.210094e-01
[5484,] 2017 2017 8.420187e-01
[5485,] 2018 54 -4.210094e-01
[5486,] 2018 615 -4.210094e-01
[5487,] 2018 2018 8.420187e-01
[5488,] 2019 54 -4.210094e-01
[5489,] 2019 615 -4.210094e-01
[5490,] 2019 2019 8.420187e-01
[5491,] 2020 614 -5.245230e-01
[5492,] 2020 637 -5.245230e-01
[5493,] 2020 2020 1.049046e+00
[5494,] 2021 614 -5.245230e-01
[5495,] 2021 637 -5.245230e-01
[5496,] 2021 2021 1.049046e+00
[5497,] 2022 614 -5.245230e-01
[5498,] 2022 637 -5.245230e-01
[5499,] 2022 2022 1.049046e+00
[5500,] 2023 614 -5.245230e-01
[5501,] 2023 637 -5.245230e-01
[5502,] 2023 2023 1.049046e+00
[5503,] 2024 614 -5.245230e-01
[5504,] 2024 637 -5.245230e-01
[5505,] 2024 2024 1.049046e+00
[5506,] 2025 614 -5.245230e-01
[5507,] 2025 637 -5.245230e-01
[5508,] 2025 2025 1.049046e+00
[5509,] 2026 85 -4.443962e-01
[5510,] 2026 614 -4.443962e-01
[5511,] 2026 2026 8.887924e-01
[5512,] 2027 85 -4.443962e-01
[5513,] 2027 614 -4.443962e-01
[5514,] 2027 2027 8.887924e-01
[5515,] 2028 85 -4.443962e-01
[5516,] 2028 614 -4.443962e-01
[5517,] 2028 2028 8.887924e-01
[5518,] 2029 85 -4.443962e-01
[5519,] 2029 614 -4.443962e-01
[5520,] 2029 2029 8.887924e-01
[5521,] 2030 85 -4.443962e-01
[5522,] 2030 614 -4.443962e-01
[5523,] 2030 2030 8.887924e-01
[5524,] 2031 85 -4.443962e-01
[5525,] 2031 614 -4.443962e-01
[5526,] 2031 2031 8.887924e-01
[5527,] 2032 85 -4.443962e-01
[5528,] 2032 614 -4.443962e-01
[5529,] 2032 2032 8.887924e-01
[5530,] 2033 85 -4.443962e-01
[5531,] 2033 614 -4.443962e-01
[5532,] 2033 2033 8.887924e-01
[5533,] 2034 85 -4.443962e-01
[5534,] 2034 614 -4.443962e-01
[5535,] 2034 2034 8.887924e-01
[5536,] 2035 614 -7.270307e-01
[5537,] 2035 736 -7.270307e-01
[5538,] 2035 2035 1.454061e+00
[5539,] 2036 614 -7.270307e-01
[5540,] 2036 736 -7.270307e-01
[5541,] 2036 2036 1.454061e+00
[5542,] 2037 614 -7.270307e-01
[5543,] 2037 736 -7.270307e-01
[5544,] 2037 2037 1.454061e+00
[5545,] 2038 614 -7.270307e-01
[5546,] 2038 736 -7.270307e-01
[5547,] 2038 2038 1.454061e+00
[5548,] 2039 614 -7.270307e-01
[5549,] 2039 736 -7.270307e-01
[5550,] 2039 2039 1.454061e+00
[5551,] 2040 614 -7.270307e-01
[5552,] 2040 736 -7.270307e-01
[5553,] 2040 2040 1.454061e+00
[5554,] 2041 614 -7.270307e-01
[5555,] 2041 736 -7.270307e-01
[5556,] 2041 2041 1.454061e+00
[5557,] 2042 614 -7.270307e-01
[5558,] 2042 736 -7.270307e-01
[5559,] 2042 2042 1.454061e+00
[5560,] 2043 614 -7.270307e-01
[5561,] 2043 736 -7.270307e-01
[5562,] 2043 2043 1.454061e+00
[5563,] 2044 614 -7.270307e-01
[5564,] 2044 736 -7.270307e-01
[5565,] 2044 2044 1.454061e+00
[5566,] 2045 614 -7.270307e-01
[5567,] 2045 736 -7.270307e-01
[5568,] 2045 2045 1.454061e+00
[5569,] 2046 143 -4.383562e-01
[5570,] 2046 651 -4.383562e-01
[5571,] 2046 2046 8.767123e-01
[5572,] 2047 143 -4.383562e-01
[5573,] 2047 651 -4.383562e-01
[5574,] 2047 2047 8.767123e-01
[5575,] 2048 143 -4.383562e-01
[5576,] 2048 651 -4.383562e-01
[5577,] 2048 2048 8.767123e-01
[5578,] 2049 143 -4.383562e-01
[5579,] 2049 651 -4.383562e-01
[5580,] 2049 2049 8.767123e-01
[5581,] 2050 143 -4.383562e-01
[5582,] 2050 651 -4.383562e-01
[5583,] 2050 2050 8.767123e-01
[5584,] 2051 143 -4.383562e-01
[5585,] 2051 651 -4.383562e-01
[5586,] 2051 2051 8.767123e-01
[5587,] 2052 143 -4.383562e-01
[5588,] 2052 651 -4.383562e-01
[5589,] 2052 2052 8.767123e-01
[5590,] 2053 143 -4.383562e-01
[5591,] 2053 651 -4.383562e-01
[5592,] 2053 2053 8.767123e-01
[5593,] 2054 614 -7.270307e-01
[5594,] 2054 737 -7.270307e-01
[5595,] 2054 2054 1.454061e+00
[5596,] 2055 614 -7.270307e-01
[5597,] 2055 737 -7.270307e-01
[5598,] 2055 2055 1.454061e+00
[5599,] 2056 614 -7.270307e-01
[5600,] 2056 737 -7.270307e-01
[5601,] 2056 2056 1.454061e+00
[5602,] 2057 614 -7.270307e-01
[5603,] 2057 737 -7.270307e-01
[5604,] 2057 2057 1.454061e+00
[5605,] 2058 614 -7.270307e-01
[5606,] 2058 737 -7.270307e-01
[5607,] 2058 2058 1.454061e+00
[5608,] 2059 614 -7.270307e-01
[5609,] 2059 737 -7.270307e-01
[5610,] 2059 2059 1.454061e+00
[5611,] 2060 614 -7.270307e-01
[5612,] 2060 737 -7.270307e-01
[5613,] 2060 2060 1.454061e+00
[5614,] 2061 614 -7.270307e-01
[5615,] 2061 737 -7.270307e-01
[5616,] 2061 2061 1.454061e+00
[5617,] 2062 614 -7.270307e-01
[5618,] 2062 737 -7.270307e-01
[5619,] 2062 2062 1.454061e+00
[5620,] 2063 614 -7.270307e-01
[5621,] 2063 737 -7.270307e-01
[5622,] 2063 2063 1.454061e+00
[5623,] 2064 614 -7.270307e-01
[5624,] 2064 737 -7.270307e-01
[5625,] 2064 2064 1.454061e+00
[5626,] 2065 614 -7.270307e-01
[5627,] 2065 737 -7.270307e-01
[5628,] 2065 2065 1.454061e+00
[5629,] 2066 614 -7.270307e-01
[5630,] 2066 737 -7.270307e-01
[5631,] 2066 2066 1.454061e+00
[5632,] 2067 614 -7.270307e-01
[5633,] 2067 737 -7.270307e-01
[5634,] 2067 2067 1.454061e+00
[5635,] 2068 614 -7.270307e-01
[5636,] 2068 737 -7.270307e-01
[5637,] 2068 2068 1.454061e+00
[5638,] 2069 614 -7.270307e-01
[5639,] 2069 737 -7.270307e-01
[5640,] 2069 2069 1.454061e+00
[5641,] 2070 614 -7.270307e-01
[5642,] 2070 737 -7.270307e-01
[5643,] 2070 2070 1.454061e+00
[5644,] 2071 614 -7.270307e-01
[5645,] 2071 737 -7.270307e-01
[5646,] 2071 2071 1.454061e+00
[5647,] 2072 614 -7.270307e-01
[5648,] 2072 737 -7.270307e-01
[5649,] 2072 2072 1.454061e+00
[5650,] 2073 614 -7.270307e-01
[5651,] 2073 737 -7.270307e-01
[5652,] 2073 2073 1.454061e+00
[5653,] 2074 614 -7.270307e-01
[5654,] 2074 737 -7.270307e-01
[5655,] 2074 2074 1.454061e+00
[5656,] 2075 614 -7.270307e-01
[5657,] 2075 737 -7.270307e-01
[5658,] 2075 2075 1.454061e+00
[5659,] 2076 614 -7.270307e-01
[5660,] 2076 737 -7.270307e-01
[5661,] 2076 2076 1.454061e+00
[5662,] 2077 614 -7.270307e-01
[5663,] 2077 737 -7.270307e-01
[5664,] 2077 2077 1.454061e+00
[5665,] 2078 614 -7.270307e-01
[5666,] 2078 737 -7.270307e-01
[5667,] 2078 2078 1.454061e+00
[5668,] 2079 614 -7.270307e-01
[5669,] 2079 737 -7.270307e-01
[5670,] 2079 2079 1.454061e+00
[5671,] 2080 144 -4.383562e-01
[5672,] 2080 651 -4.383562e-01
[5673,] 2080 2080 8.767123e-01
[5674,] 2081 144 -4.383562e-01
[5675,] 2081 651 -4.383562e-01
[5676,] 2081 2081 8.767123e-01
[5677,] 2082 144 -4.383562e-01
[5678,] 2082 651 -4.383562e-01
[5679,] 2082 2082 8.767123e-01
[5680,] 2083 144 -4.383562e-01
[5681,] 2083 651 -4.383562e-01
[5682,] 2083 2083 8.767123e-01
[5683,] 2084 144 -4.383562e-01
[5684,] 2084 651 -4.383562e-01
[5685,] 2084 2084 8.767123e-01
[5686,] 2085 144 -4.383562e-01
[5687,] 2085 651 -4.383562e-01
[5688,] 2085 2085 8.767123e-01
[5689,] 2086 144 -4.383562e-01
[5690,] 2086 651 -4.383562e-01
[5691,] 2086 2086 8.767123e-01
[5692,] 2087 144 -4.383562e-01
[5693,] 2087 651 -4.383562e-01
[5694,] 2087 2087 8.767123e-01
[5695,] 2088 144 -4.383562e-01
[5696,] 2088 651 -4.383562e-01
[5697,] 2088 2088 8.767123e-01
[5698,] 2089 144 -4.383562e-01
[5699,] 2089 651 -4.383562e-01
[5700,] 2089 2089 8.767123e-01
[5701,] 2090 144 -4.383562e-01
[5702,] 2090 651 -4.383562e-01
[5703,] 2090 2090 8.767123e-01
[5704,] 2091 144 -4.383562e-01
[5705,] 2091 651 -4.383562e-01
[5706,] 2091 2091 8.767123e-01
[5707,] 2092 144 -4.383562e-01
[5708,] 2092 651 -4.383562e-01
[5709,] 2092 2092 8.767123e-01
[5710,] 2093 144 -4.383562e-01
[5711,] 2093 651 -4.383562e-01
[5712,] 2093 2093 8.767123e-01
[5713,] 2094 144 -4.383562e-01
[5714,] 2094 651 -4.383562e-01
[5715,] 2094 2094 8.767123e-01
[5716,] 2095 144 -4.383562e-01
[5717,] 2095 651 -4.383562e-01
[5718,] 2095 2095 8.767123e-01
[5719,] 2096 144 -4.383562e-01
[5720,] 2096 651 -4.383562e-01
[5721,] 2096 2096 8.767123e-01
[5722,] 2097 144 -4.383562e-01
[5723,] 2097 651 -4.383562e-01
[5724,] 2097 2097 8.767123e-01
[5725,] 2098 144 -4.383562e-01
[5726,] 2098 651 -4.383562e-01
[5727,] 2098 2098 8.767123e-01
[5728,] 2099 614 -7.270307e-01
[5729,] 2099 738 -7.270307e-01
[5730,] 2099 2099 1.454061e+00
[5731,] 2100 614 -7.270307e-01
[5732,] 2100 738 -7.270307e-01
[5733,] 2100 2100 1.454061e+00
[5734,] 2101 614 -7.270307e-01
[5735,] 2101 738 -7.270307e-01
[5736,] 2101 2101 1.454061e+00
[5737,] 2102 614 -7.270307e-01
[5738,] 2102 738 -7.270307e-01
[5739,] 2102 2102 1.454061e+00
[5740,] 2103 614 -7.270307e-01
[5741,] 2103 738 -7.270307e-01
[5742,] 2103 2103 1.454061e+00
[5743,] 2104 614 -7.270307e-01
[5744,] 2104 738 -7.270307e-01
[5745,] 2104 2104 1.454061e+00
[5746,] 2105 614 -7.270307e-01
[5747,] 2105 738 -7.270307e-01
[5748,] 2105 2105 1.454061e+00
[5749,] 2106 145 -4.383562e-01
[5750,] 2106 651 -4.383562e-01
[5751,] 2106 2106 8.767123e-01
[5752,] 2107 145 -4.383562e-01
[5753,] 2107 651 -4.383562e-01
[5754,] 2107 2107 8.767123e-01
[5755,] 2108 145 -4.383562e-01
[5756,] 2108 651 -4.383562e-01
[5757,] 2108 2108 8.767123e-01
[5758,] 2109 145 -4.383562e-01
[5759,] 2109 651 -4.383562e-01
[5760,] 2109 2109 8.767123e-01
[5761,] 2110 145 -4.383562e-01
[5762,] 2110 651 -4.383562e-01
[5763,] 2110 2110 8.767123e-01
[5764,] 2111 145 -4.383562e-01
[5765,] 2111 651 -4.383562e-01
[5766,] 2111 2111 8.767123e-01
[5767,] 2112 145 -4.383562e-01
[5768,] 2112 651 -4.383562e-01
[5769,] 2112 2112 8.767123e-01
[5770,] 2113 614 -7.270307e-01
[5771,] 2113 739 -7.270307e-01
[5772,] 2113 2113 1.454061e+00
[5773,] 2114 614 -7.270307e-01
[5774,] 2114 739 -7.270307e-01
[5775,] 2114 2114 1.454061e+00
[5776,] 2115 614 -7.270307e-01
[5777,] 2115 739 -7.270307e-01
[5778,] 2115 2115 1.454061e+00
[5779,] 2116 614 -7.270307e-01
[5780,] 2116 739 -7.270307e-01
[5781,] 2116 2116 1.454061e+00
[5782,] 2117 614 -7.270307e-01
[5783,] 2117 739 -7.270307e-01
[5784,] 2117 2117 1.454061e+00
[5785,] 2118 614 -7.270307e-01
[5786,] 2118 739 -7.270307e-01
[5787,] 2118 2118 1.454061e+00
[5788,] 2119 614 -7.270307e-01
[5789,] 2119 739 -7.270307e-01
[5790,] 2119 2119 1.454061e+00
[5791,] 2120 614 -7.270307e-01
[5792,] 2120 739 -7.270307e-01
[5793,] 2120 2120 1.454061e+00
[5794,] 2121 614 -7.270307e-01
[5795,] 2121 739 -7.270307e-01
[5796,] 2121 2121 1.454061e+00
[5797,] 2122 614 -7.270307e-01
[5798,] 2122 740 -7.270307e-01
[5799,] 2122 2122 1.454061e+00
[5800,] 2123 614 -7.270307e-01
[5801,] 2123 740 -7.270307e-01
[5802,] 2123 2123 1.454061e+00
[5803,] 2124 614 -7.270307e-01
[5804,] 2124 740 -7.270307e-01
[5805,] 2124 2124 1.454061e+00
[5806,] 2125 614 -7.270307e-01
[5807,] 2125 740 -7.270307e-01
[5808,] 2125 2125 1.454061e+00
[5809,] 2126 614 -7.270307e-01
[5810,] 2126 740 -7.270307e-01
[5811,] 2126 2126 1.454061e+00
[5812,] 2127 614 -7.270307e-01
[5813,] 2127 740 -7.270307e-01
[5814,] 2127 2127 1.454061e+00
[5815,] 2128 614 -7.270307e-01
[5816,] 2128 740 -7.270307e-01
[5817,] 2128 2128 1.454061e+00
[5818,] 2129 614 -7.270307e-01
[5819,] 2129 740 -7.270307e-01
[5820,] 2129 2129 1.454061e+00
[5821,] 2130 614 -7.270307e-01
[5822,] 2130 740 -7.270307e-01
[5823,] 2130 2130 1.454061e+00
[5824,] 2131 614 -7.270307e-01
[5825,] 2131 740 -7.270307e-01
[5826,] 2131 2131 1.454061e+00
[5827,] 2132 614 -7.270307e-01
[5828,] 2132 740 -7.270307e-01
[5829,] 2132 2132 1.454061e+00
[5830,] 2133 614 -7.270307e-01
[5831,] 2133 740 -7.270307e-01
[5832,] 2133 2133 1.454061e+00
[5833,] 2134 614 -7.270307e-01
[5834,] 2134 740 -7.270307e-01
[5835,] 2134 2134 1.454061e+00
[5836,] 2135 614 -7.270307e-01
[5837,] 2135 740 -7.270307e-01
[5838,] 2135 2135 1.454061e+00
[5839,] 2136 614 -7.270307e-01
[5840,] 2136 740 -7.270307e-01
[5841,] 2136 2136 1.454061e+00
[5842,] 2137 614 -7.270307e-01
[5843,] 2137 740 -7.270307e-01
[5844,] 2137 2137 1.454061e+00
[5845,] 2138 614 -7.270307e-01
[5846,] 2138 740 -7.270307e-01
[5847,] 2138 2138 1.454061e+00
[5848,] 2139 614 -7.270307e-01
[5849,] 2139 740 -7.270307e-01
[5850,] 2139 2139 1.454061e+00
[5851,] 2140 614 -7.270307e-01
[5852,] 2140 740 -7.270307e-01
[5853,] 2140 2140 1.454061e+00
[5854,] 2141 614 -7.270307e-01
[5855,] 2141 740 -7.270307e-01
[5856,] 2141 2141 1.454061e+00
[5857,] 2142 614 -7.270307e-01
[5858,] 2142 740 -7.270307e-01
[5859,] 2142 2142 1.454061e+00
[5860,] 2143 614 -7.270307e-01
[5861,] 2143 740 -7.270307e-01
[5862,] 2143 2143 1.454061e+00
[5863,] 2144 614 -7.270307e-01
[5864,] 2144 740 -7.270307e-01
[5865,] 2144 2144 1.454061e+00
[5866,] 2145 614 -7.270307e-01
[5867,] 2145 740 -7.270307e-01
[5868,] 2145 2145 1.454061e+00
[5869,] 2146 146 -4.383562e-01
[5870,] 2146 651 -4.383562e-01
[5871,] 2146 2146 8.767123e-01
[5872,] 2147 146 -4.383562e-01
[5873,] 2147 651 -4.383562e-01
[5874,] 2147 2147 8.767123e-01
[5875,] 2148 146 -4.383562e-01
[5876,] 2148 651 -4.383562e-01
[5877,] 2148 2148 8.767123e-01
[5878,] 2149 146 -4.383562e-01
[5879,] 2149 651 -4.383562e-01
[5880,] 2149 2149 8.767123e-01
[5881,] 2150 146 -4.383562e-01
[5882,] 2150 651 -4.383562e-01
[5883,] 2150 2150 8.767123e-01
[5884,] 2151 574 -3.636364e-01
[5885,] 2151 741 -3.636364e-01
[5886,] 2151 2151 7.272727e-01
[5887,] 2152 147 -4.383562e-01
[5888,] 2152 651 -4.383562e-01
[5889,] 2152 2152 8.767123e-01
[5890,] 2153 619 -7.267888e-01
[5891,] 2153 742 -7.267888e-01
[5892,] 2153 2153 1.453578e+00
[5893,] 2154 619 -7.267888e-01
[5894,] 2154 742 -7.267888e-01
[5895,] 2154 2154 1.453578e+00
[5896,] 2155 619 -7.267888e-01
[5897,] 2155 742 -7.267888e-01
[5898,] 2155 2155 1.453578e+00
[5899,] 2156 619 -7.267888e-01
[5900,] 2156 742 -7.267888e-01
[5901,] 2156 2156 1.453578e+00
[5902,] 2157 619 -7.267888e-01
[5903,] 2157 742 -7.267888e-01
[5904,] 2157 2157 1.453578e+00
[5905,] 2158 619 -7.267888e-01
[5906,] 2158 742 -7.267888e-01
[5907,] 2158 2158 1.453578e+00
[5908,] 2159 619 -7.267888e-01
[5909,] 2159 742 -7.267888e-01
[5910,] 2159 2159 1.453578e+00
[5911,] 2160 619 -4.443480e-01
[5912,] 2160 743 -4.443480e-01
[5913,] 2160 2160 8.886960e-01
[5914,] 2161 619 -4.443480e-01
[5915,] 2161 743 -4.443480e-01
[5916,] 2161 2161 8.886960e-01
[5917,] 2162 619 -4.443480e-01
[5918,] 2162 743 -4.443480e-01
[5919,] 2162 2162 8.886960e-01
[5920,] 2163 619 -4.443480e-01
[5921,] 2163 743 -4.443480e-01
[5922,] 2163 2163 8.886960e-01
[5923,] 2164 619 -4.443480e-01
[5924,] 2164 743 -4.443480e-01
[5925,] 2164 2164 8.886960e-01
[5926,] 2165 619 -4.443480e-01
[5927,] 2165 743 -4.443480e-01
[5928,] 2165 2165 8.886960e-01
[5929,] 2166 619 -4.443480e-01
[5930,] 2166 743 -4.443480e-01
[5931,] 2166 2166 8.886960e-01
[5932,] 2167 619 -4.443480e-01
[5933,] 2167 743 -4.443480e-01
[5934,] 2167 2167 8.886960e-01
[5935,] 2168 619 -4.443480e-01
[5936,] 2168 743 -4.443480e-01
[5937,] 2168 2168 8.886960e-01
[5938,] 2169 619 -4.443480e-01
[5939,] 2169 743 -4.443480e-01
[5940,] 2169 2169 8.886960e-01
[5941,] 2170 619 -4.443480e-01
[5942,] 2170 743 -4.443480e-01
[5943,] 2170 2170 8.886960e-01
[5944,] 2171 619 -4.443480e-01
[5945,] 2171 743 -4.443480e-01
[5946,] 2171 2171 8.886960e-01
[5947,] 2172 619 -4.443480e-01
[5948,] 2172 743 -4.443480e-01
[5949,] 2172 2172 8.886960e-01
[5950,] 2173 619 -4.443480e-01
[5951,] 2173 743 -4.443480e-01
[5952,] 2173 2173 8.886960e-01
[5953,] 2174 619 -4.443480e-01
[5954,] 2174 743 -4.443480e-01
[5955,] 2174 2174 8.886960e-01
[5956,] 2175 619 -4.443480e-01
[5957,] 2175 743 -4.443480e-01
[5958,] 2175 2175 8.886960e-01
[5959,] 2176 619 -4.443480e-01
[5960,] 2176 743 -4.443480e-01
[5961,] 2176 2176 8.886960e-01
[5962,] 2177 619 -4.443480e-01
[5963,] 2177 743 -4.443480e-01
[5964,] 2177 2177 8.886960e-01
[5965,] 2178 619 -4.443480e-01
[5966,] 2178 743 -4.443480e-01
[5967,] 2178 2178 8.886960e-01
[5968,] 2179 619 -4.443480e-01
[5969,] 2179 743 -4.443480e-01
[5970,] 2179 2179 8.886960e-01
[5971,] 2180 619 -4.443480e-01
[5972,] 2180 743 -4.443480e-01
[5973,] 2180 2180 8.886960e-01
[5974,] 2181 619 -4.443480e-01
[5975,] 2181 743 -4.443480e-01
[5976,] 2181 2181 8.886960e-01
[5977,] 2182 619 -4.443480e-01
[5978,] 2182 743 -4.443480e-01
[5979,] 2182 2182 8.886960e-01
[5980,] 2183 619 -4.443480e-01
[5981,] 2183 743 -4.443480e-01
[5982,] 2183 2183 8.886960e-01
[5983,] 2184 619 -4.443480e-01
[5984,] 2184 743 -4.443480e-01
[5985,] 2184 2184 8.886960e-01
[5986,] 2185 619 -4.443480e-01
[5987,] 2185 743 -4.443480e-01
[5988,] 2185 2185 8.886960e-01
[5989,] 2186 619 -4.443480e-01
[5990,] 2186 743 -4.443480e-01
[5991,] 2186 2186 8.886960e-01
[5992,] 2187 619 -4.443480e-01
[5993,] 2187 743 -4.443480e-01
[5994,] 2187 2187 8.886960e-01
[5995,] 2188 619 -4.443480e-01
[5996,] 2188 743 -4.443480e-01
[5997,] 2188 2188 8.886960e-01
[5998,] 2189 619 -4.443480e-01
[5999,] 2189 743 -4.443480e-01
[6000,] 2189 2189 8.886960e-01
[6001,] 2190 619 -4.443480e-01
[6002,] 2190 743 -4.443480e-01
[6003,] 2190 2190 8.886960e-01
[6004,] 2191 619 -4.443480e-01
[6005,] 2191 743 -4.443480e-01
[6006,] 2191 2191 8.886960e-01
[6007,] 2192 619 -4.443480e-01
[6008,] 2192 743 -4.443480e-01
[6009,] 2192 2192 8.886960e-01
[6010,] 2193 148 -4.443480e-01
[6011,] 2193 619 -4.443480e-01
[6012,] 2193 2193 8.886960e-01
[6013,] 2194 148 -4.443480e-01
[6014,] 2194 619 -4.443480e-01
[6015,] 2194 2194 8.886960e-01
[6016,] 2195 148 -4.443480e-01
[6017,] 2195 619 -4.443480e-01
[6018,] 2195 2195 8.886960e-01
[6019,] 2196 148 -4.443480e-01
[6020,] 2196 619 -4.443480e-01
[6021,] 2196 2196 8.886960e-01
[6022,] 2197 148 -4.443480e-01
[6023,] 2197 619 -4.443480e-01
[6024,] 2197 2197 8.886960e-01
[6025,] 2198 148 -4.443480e-01
[6026,] 2198 619 -4.443480e-01
[6027,] 2198 2198 8.886960e-01
[6028,] 2199 149 -4.443480e-01
[6029,] 2199 619 -4.443480e-01
[6030,] 2199 2199 8.886960e-01
[6031,] 2200 149 -4.443480e-01
[6032,] 2200 619 -4.443480e-01
[6033,] 2200 2200 8.886960e-01
[6034,] 2201 149 -4.443480e-01
[6035,] 2201 619 -4.443480e-01
[6036,] 2201 2201 8.886960e-01
[6037,] 2202 149 -4.443480e-01
[6038,] 2202 619 -4.443480e-01
[6039,] 2202 2202 8.886960e-01
[6040,] 2203 149 -4.443480e-01
[6041,] 2203 619 -4.443480e-01
[6042,] 2203 2203 8.886960e-01
[6043,] 2204 149 -4.443480e-01
[6044,] 2204 619 -4.443480e-01
[6045,] 2204 2204 8.886960e-01
[6046,] 2205 149 -4.443480e-01
[6047,] 2205 619 -4.443480e-01
[6048,] 2205 2205 8.886960e-01
[6049,] 2206 149 -4.443480e-01
[6050,] 2206 619 -4.443480e-01
[6051,] 2206 2206 8.886960e-01
[6052,] 2207 149 -4.443480e-01
[6053,] 2207 619 -4.443480e-01
[6054,] 2207 2207 8.886960e-01
[6055,] 2208 149 -4.443480e-01
[6056,] 2208 619 -4.443480e-01
[6057,] 2208 2208 8.886960e-01
[6058,] 2209 149 -4.443480e-01
[6059,] 2209 619 -4.443480e-01
[6060,] 2209 2209 8.886960e-01
[6061,] 2210 149 -4.443480e-01
[6062,] 2210 619 -4.443480e-01
[6063,] 2210 2210 8.886960e-01
[6064,] 2211 149 -4.443480e-01
[6065,] 2211 619 -4.443480e-01
[6066,] 2211 2211 8.886960e-01
[6067,] 2212 149 -4.443480e-01
[6068,] 2212 619 -4.443480e-01
[6069,] 2212 2212 8.886960e-01
[6070,] 2213 149 -4.443480e-01
[6071,] 2213 619 -4.443480e-01
[6072,] 2213 2213 8.886960e-01
[6073,] 2214 149 -4.443480e-01
[6074,] 2214 619 -4.443480e-01
[6075,] 2214 2214 8.886960e-01
[6076,] 2215 149 -4.443480e-01
[6077,] 2215 619 -4.443480e-01
[6078,] 2215 2215 8.886960e-01
[6079,] 2216 149 -4.443480e-01
[6080,] 2216 619 -4.443480e-01
[6081,] 2216 2216 8.886960e-01
[6082,] 2217 614 -7.270307e-01
[6083,] 2217 744 -7.270307e-01
[6084,] 2217 2217 1.454061e+00
[6085,] 2218 614 -7.270307e-01
[6086,] 2218 744 -7.270307e-01
[6087,] 2218 2218 1.454061e+00
[6088,] 2219 614 -7.270307e-01
[6089,] 2219 744 -7.270307e-01
[6090,] 2219 2219 1.454061e+00
[6091,] 2220 614 -7.270307e-01
[6092,] 2220 744 -7.270307e-01
[6093,] 2220 2220 1.454061e+00
[6094,] 2221 614 -7.270307e-01
[6095,] 2221 744 -7.270307e-01
[6096,] 2221 2221 1.454061e+00
[6097,] 2222 614 -7.270307e-01
[6098,] 2222 744 -7.270307e-01
[6099,] 2222 2222 1.454061e+00
[6100,] 2223 614 -7.270307e-01
[6101,] 2223 744 -7.270307e-01
[6102,] 2223 2223 1.454061e+00
[6103,] 2224 614 -7.270307e-01
[6104,] 2224 744 -7.270307e-01
[6105,] 2224 2224 1.454061e+00
[6106,] 2225 614 -7.270307e-01
[6107,] 2225 744 -7.270307e-01
[6108,] 2225 2225 1.454061e+00
[6109,] 2226 614 -7.270307e-01
[6110,] 2226 744 -7.270307e-01
[6111,] 2226 2226 1.454061e+00
[6112,] 2227 614 -7.270307e-01
[6113,] 2227 744 -7.270307e-01
[6114,] 2227 2227 1.454061e+00
[6115,] 2228 614 -7.270307e-01
[6116,] 2228 744 -7.270307e-01
[6117,] 2228 2228 1.454061e+00
[6118,] 2229 614 -7.270307e-01
[6119,] 2229 744 -7.270307e-01
[6120,] 2229 2229 1.454061e+00
[6121,] 2230 614 -7.270307e-01
[6122,] 2230 744 -7.270307e-01
[6123,] 2230 2230 1.454061e+00
[6124,] 2231 614 -7.270307e-01
[6125,] 2231 744 -7.270307e-01
[6126,] 2231 2231 1.454061e+00
[6127,] 2232 614 -7.270307e-01
[6128,] 2232 744 -7.270307e-01
[6129,] 2232 2232 1.454061e+00
[6130,] 2233 614 -7.270307e-01
[6131,] 2233 744 -7.270307e-01
[6132,] 2233 2233 1.454061e+00
[6133,] 2234 614 -7.270307e-01
[6134,] 2234 744 -7.270307e-01
[6135,] 2234 2234 1.454061e+00
[6136,] 2235 614 -7.270307e-01
[6137,] 2235 744 -7.270307e-01
[6138,] 2235 2235 1.454061e+00
[6139,] 2236 614 -7.270307e-01
[6140,] 2236 744 -7.270307e-01
[6141,] 2236 2236 1.454061e+00
[6142,] 2237 614 -7.270307e-01
[6143,] 2237 744 -7.270307e-01
[6144,] 2237 2237 1.454061e+00
[6145,] 2238 614 -7.270307e-01
[6146,] 2238 744 -7.270307e-01
[6147,] 2238 2238 1.454061e+00
[6148,] 2239 614 -7.270307e-01
[6149,] 2239 744 -7.270307e-01
[6150,] 2239 2239 1.454061e+00
[6151,] 2240 614 -7.270307e-01
[6152,] 2240 744 -7.270307e-01
[6153,] 2240 2240 1.454061e+00
[6154,] 2241 614 -7.270307e-01
[6155,] 2241 744 -7.270307e-01
[6156,] 2241 2241 1.454061e+00
[6157,] 2242 614 -7.270307e-01
[6158,] 2242 744 -7.270307e-01
[6159,] 2242 2242 1.454061e+00
[6160,] 2243 614 -7.270307e-01
[6161,] 2243 744 -7.270307e-01
[6162,] 2243 2243 1.454061e+00
[6163,] 2244 614 -7.270307e-01
[6164,] 2244 744 -7.270307e-01
[6165,] 2244 2244 1.454061e+00
[6166,] 2245 614 -7.270307e-01
[6167,] 2245 744 -7.270307e-01
[6168,] 2245 2245 1.454061e+00
[6169,] 2246 614 -7.270307e-01
[6170,] 2246 744 -7.270307e-01
[6171,] 2246 2246 1.454061e+00
[6172,] 2247 614 -7.270307e-01
[6173,] 2247 744 -7.270307e-01
[6174,] 2247 2247 1.454061e+00
[6175,] 2248 614 -7.270307e-01
[6176,] 2248 744 -7.270307e-01
[6177,] 2248 2248 1.454061e+00
[6178,] 2249 614 -7.270307e-01
[6179,] 2249 744 -7.270307e-01
[6180,] 2249 2249 1.454061e+00
[6181,] 2250 614 -7.270307e-01
[6182,] 2250 744 -7.270307e-01
[6183,] 2250 2250 1.454061e+00
[6184,] 2251 614 -7.270307e-01
[6185,] 2251 744 -7.270307e-01
[6186,] 2251 2251 1.454061e+00
[6187,] 2252 614 -7.270307e-01
[6188,] 2252 744 -7.270307e-01
[6189,] 2252 2252 1.454061e+00
[6190,] 2253 614 -7.270307e-01
[6191,] 2253 744 -7.270307e-01
[6192,] 2253 2253 1.454061e+00
[6193,] 2254 614 -7.270307e-01
[6194,] 2254 744 -7.270307e-01
[6195,] 2254 2254 1.454061e+00
[6196,] 2255 614 -7.270307e-01
[6197,] 2255 744 -7.270307e-01
[6198,] 2255 2255 1.454061e+00
[6199,] 2256 614 -7.270307e-01
[6200,] 2256 744 -7.270307e-01
[6201,] 2256 2256 1.454061e+00
[6202,] 2257 614 -7.270307e-01
[6203,] 2257 744 -7.270307e-01
[6204,] 2257 2257 1.454061e+00
[6205,] 2258 614 -7.270307e-01
[6206,] 2258 744 -7.270307e-01
[6207,] 2258 2258 1.454061e+00
[6208,] 2259 614 -7.270307e-01
[6209,] 2259 744 -7.270307e-01
[6210,] 2259 2259 1.454061e+00
[6211,] 2260 614 -7.270307e-01
[6212,] 2260 744 -7.270307e-01
[6213,] 2260 2260 1.454061e+00
[6214,] 2261 614 -7.270307e-01
[6215,] 2261 744 -7.270307e-01
[6216,] 2261 2261 1.454061e+00
[6217,] 2262 614 -7.270307e-01
[6218,] 2262 744 -7.270307e-01
[6219,] 2262 2262 1.454061e+00
[6220,] 2263 614 -7.270307e-01
[6221,] 2263 744 -7.270307e-01
[6222,] 2263 2263 1.454061e+00
[6223,] 2264 614 -7.270307e-01
[6224,] 2264 744 -7.270307e-01
[6225,] 2264 2264 1.454061e+00
[6226,] 2265 614 -7.270307e-01
[6227,] 2265 744 -7.270307e-01
[6228,] 2265 2265 1.454061e+00
[6229,] 2266 614 -7.270307e-01
[6230,] 2266 744 -7.270307e-01
[6231,] 2266 2266 1.454061e+00
[6232,] 2267 614 -7.270307e-01
[6233,] 2267 744 -7.270307e-01
[6234,] 2267 2267 1.454061e+00
[6235,] 2268 614 -7.270307e-01
[6236,] 2268 744 -7.270307e-01
[6237,] 2268 2268 1.454061e+00
[6238,] 2269 614 -7.270307e-01
[6239,] 2269 744 -7.270307e-01
[6240,] 2269 2269 1.454061e+00
[6241,] 2270 614 -7.270307e-01
[6242,] 2270 744 -7.270307e-01
[6243,] 2270 2270 1.454061e+00
[6244,] 2271 614 -7.270307e-01
[6245,] 2271 744 -7.270307e-01
[6246,] 2271 2271 1.454061e+00
[6247,] 2272 614 -7.270307e-01
[6248,] 2272 744 -7.270307e-01
[6249,] 2272 2272 1.454061e+00
[6250,] 2273 614 -7.270307e-01
[6251,] 2273 744 -7.270307e-01
[6252,] 2273 2273 1.454061e+00
[6253,] 2274 614 -7.270307e-01
[6254,] 2274 744 -7.270307e-01
[6255,] 2274 2274 1.454061e+00
[6256,] 2275 614 -7.270307e-01
[6257,] 2275 744 -7.270307e-01
[6258,] 2275 2275 1.454061e+00
[6259,] 2276 614 -7.270307e-01
[6260,] 2276 744 -7.270307e-01
[6261,] 2276 2276 1.454061e+00
[6262,] 2277 614 -7.270307e-01
[6263,] 2277 744 -7.270307e-01
[6264,] 2277 2277 1.454061e+00
[6265,] 2278 614 -7.270307e-01
[6266,] 2278 744 -7.270307e-01
[6267,] 2278 2278 1.454061e+00
[6268,] 2279 614 -7.270307e-01
[6269,] 2279 744 -7.270307e-01
[6270,] 2279 2279 1.454061e+00
[6271,] 2280 614 -7.270307e-01
[6272,] 2280 744 -7.270307e-01
[6273,] 2280 2280 1.454061e+00
[6274,] 2281 614 -7.270307e-01
[6275,] 2281 744 -7.270307e-01
[6276,] 2281 2281 1.454061e+00
[6277,] 2282 614 -7.270307e-01
[6278,] 2282 744 -7.270307e-01
[6279,] 2282 2282 1.454061e+00
[6280,] 2283 614 -7.270307e-01
[6281,] 2283 744 -7.270307e-01
[6282,] 2283 2283 1.454061e+00
[6283,] 2284 614 -7.270307e-01
[6284,] 2284 744 -7.270307e-01
[6285,] 2284 2284 1.454061e+00
[6286,] 2285 614 -7.270307e-01
[6287,] 2285 744 -7.270307e-01
[6288,] 2285 2285 1.454061e+00
[6289,] 2286 614 -7.270307e-01
[6290,] 2286 744 -7.270307e-01
[6291,] 2286 2286 1.454061e+00
[6292,] 2287 614 -7.270307e-01
[6293,] 2287 744 -7.270307e-01
[6294,] 2287 2287 1.454061e+00
[6295,] 2288 614 -7.270307e-01
[6296,] 2288 744 -7.270307e-01
[6297,] 2288 2288 1.454061e+00
[6298,] 2289 614 -7.270307e-01
[6299,] 2289 744 -7.270307e-01
[6300,] 2289 2289 1.454061e+00
[6301,] 2290 614 -7.270307e-01
[6302,] 2290 744 -7.270307e-01
[6303,] 2290 2290 1.454061e+00
[6304,] 2291 614 -7.270307e-01
[6305,] 2291 744 -7.270307e-01
[6306,] 2291 2291 1.454061e+00
[6307,] 2292 614 -7.270307e-01
[6308,] 2292 744 -7.270307e-01
[6309,] 2292 2292 1.454061e+00
[6310,] 2293 614 -7.270307e-01
[6311,] 2293 744 -7.270307e-01
[6312,] 2293 2293 1.454061e+00
[6313,] 2294 614 -7.270307e-01
[6314,] 2294 744 -7.270307e-01
[6315,] 2294 2294 1.454061e+00
[6316,] 2295 614 -7.270307e-01
[6317,] 2295 744 -7.270307e-01
[6318,] 2295 2295 1.454061e+00
[6319,] 2296 614 -7.270307e-01
[6320,] 2296 744 -7.270307e-01
[6321,] 2296 2296 1.454061e+00
[6322,] 2297 614 -7.270307e-01
[6323,] 2297 744 -7.270307e-01
[6324,] 2297 2297 1.454061e+00
[6325,] 2298 614 -7.270307e-01
[6326,] 2298 744 -7.270307e-01
[6327,] 2298 2298 1.454061e+00
[6328,] 2299 614 -7.270307e-01
[6329,] 2299 744 -7.270307e-01
[6330,] 2299 2299 1.454061e+00
[6331,] 2300 614 -7.270307e-01
[6332,] 2300 744 -7.270307e-01
[6333,] 2300 2300 1.454061e+00
[6334,] 2301 614 -7.270307e-01
[6335,] 2301 744 -7.270307e-01
[6336,] 2301 2301 1.454061e+00
[6337,] 2302 614 -7.270307e-01
[6338,] 2302 744 -7.270307e-01
[6339,] 2302 2302 1.454061e+00
[6340,] 2303 614 -7.270307e-01
[6341,] 2303 744 -7.270307e-01
[6342,] 2303 2303 1.454061e+00
[6343,] 2304 614 -7.270307e-01
[6344,] 2304 744 -7.270307e-01
[6345,] 2304 2304 1.454061e+00
[6346,] 2305 388 7.798272e+00
[6347,] 2305 594 4.206453e+00
[6348,] 2305 614 -7.270307e-01
[6349,] 2305 744 -7.270307e-01
[6350,] 2305 2305 2.933091e+01
[6351,] 2306 614 -7.270307e-01
[6352,] 2306 744 -7.270307e-01
[6353,] 2306 2306 1.454061e+00
[6354,] 2307 614 -7.270307e-01
[6355,] 2307 744 -7.270307e-01
[6356,] 2307 2307 1.454061e+00
[6357,] 2308 614 -7.270307e-01
[6358,] 2308 744 -7.270307e-01
[6359,] 2308 2308 1.454061e+00
[6360,] 2309 614 -7.270307e-01
[6361,] 2309 744 -7.270307e-01
[6362,] 2309 2309 1.454061e+00
[6363,] 2310 614 -7.270307e-01
[6364,] 2310 744 -7.270307e-01
[6365,] 2310 2310 1.454061e+00
[6366,] 2311 614 -7.270307e-01
[6367,] 2311 744 -7.270307e-01
[6368,] 2311 2311 1.454061e+00
[6369,] 2312 614 -7.270307e-01
[6370,] 2312 744 -7.270307e-01
[6371,] 2312 2312 1.454061e+00
[6372,] 2313 614 -7.270307e-01
[6373,] 2313 744 -7.270307e-01
[6374,] 2313 2313 1.454061e+00
[6375,] 2314 614 -7.270307e-01
[6376,] 2314 744 -7.270307e-01
[6377,] 2314 2314 1.454061e+00
[6378,] 2315 651 -6.975477e-01
[6379,] 2315 745 -6.975477e-01
[6380,] 2315 2315 1.395095e+00
[6381,] 2316 651 -6.975477e-01
[6382,] 2316 745 -6.975477e-01
[6383,] 2316 2316 1.395095e+00
[6384,] 2317 651 -6.975477e-01
[6385,] 2317 745 -6.975477e-01
[6386,] 2317 2317 1.395095e+00
[6387,] 2318 651 -6.975477e-01
[6388,] 2318 745 -6.975477e-01
[6389,] 2318 2318 1.395095e+00
[6390,] 2319 651 -6.975477e-01
[6391,] 2319 745 -6.975477e-01
[6392,] 2319 2319 1.395095e+00
[6393,] 2320 651 -6.975477e-01
[6394,] 2320 745 -6.975477e-01
[6395,] 2320 2320 1.395095e+00
[6396,] 2321 651 -6.975477e-01
[6397,] 2321 745 -6.975477e-01
[6398,] 2321 2321 1.395095e+00
[6399,] 2322 651 -6.975477e-01
[6400,] 2322 745 -6.975477e-01
[6401,] 2322 2322 1.395095e+00
[6402,] 2323 651 -6.975477e-01
[6403,] 2323 745 -6.975477e-01
[6404,] 2323 2323 1.395095e+00
[6405,] 2324 651 -6.975477e-01
[6406,] 2324 745 -6.975477e-01
[6407,] 2324 2324 1.395095e+00
[6408,] 2325 651 -6.975477e-01
[6409,] 2325 745 -6.975477e-01
[6410,] 2325 2325 1.395095e+00
[6411,] 2326 651 -6.975477e-01
[6412,] 2326 745 -6.975477e-01
[6413,] 2326 2326 1.395095e+00
[6414,] 2327 651 -6.975477e-01
[6415,] 2327 745 -6.975477e-01
[6416,] 2327 2327 1.395095e+00
[6417,] 2328 651 -6.975477e-01
[6418,] 2328 745 -6.975477e-01
[6419,] 2328 2328 1.395095e+00
[6420,] 2329 651 -6.975477e-01
[6421,] 2329 745 -6.975477e-01
[6422,] 2329 2329 1.395095e+00
[6423,] 2330 651 -6.975477e-01
[6424,] 2330 745 -6.975477e-01
[6425,] 2330 2330 1.395095e+00
[6426,] 2331 651 -6.975477e-01
[6427,] 2331 745 -6.975477e-01
[6428,] 2331 2331 1.395095e+00
[6429,] 2332 651 -6.975477e-01
[6430,] 2332 745 -6.975477e-01
[6431,] 2332 2332 1.395095e+00
[6432,] 2333 150 -4.443480e-01
[6433,] 2333 619 -4.443480e-01
[6434,] 2333 2333 8.886960e-01
[6435,] 2334 150 -4.443480e-01
[6436,] 2334 619 -4.443480e-01
[6437,] 2334 2334 8.886960e-01
[6438,] 2335 150 -4.443480e-01
[6439,] 2335 619 -4.443480e-01
[6440,] 2335 2335 8.886960e-01
[6441,] 2336 150 -4.443480e-01
[6442,] 2336 619 -4.443480e-01
[6443,] 2336 2336 8.886960e-01
[6444,] 2337 150 -4.443480e-01
[6445,] 2337 619 -4.443480e-01
[6446,] 2337 2337 8.886960e-01
[6447,] 2338 150 -4.443480e-01
[6448,] 2338 619 -4.443480e-01
[6449,] 2338 2338 8.886960e-01
[6450,] 2339 151 -4.443480e-01
[6451,] 2339 619 -4.443480e-01
[6452,] 2339 2339 8.886960e-01
[6453,] 2340 151 -4.443480e-01
[6454,] 2340 619 -4.443480e-01
[6455,] 2340 2340 8.886960e-01
[6456,] 2341 151 -4.443480e-01
[6457,] 2341 619 -4.443480e-01
[6458,] 2341 2341 8.886960e-01
[6459,] 2342 151 -4.443480e-01
[6460,] 2342 619 -4.443480e-01
[6461,] 2342 2342 8.886960e-01
[6462,] 2343 151 -4.443480e-01
[6463,] 2343 619 -4.443480e-01
[6464,] 2343 2343 8.886960e-01
[6465,] 2344 151 -4.443480e-01
[6466,] 2344 619 -4.443480e-01
[6467,] 2344 2344 8.886960e-01
[6468,] 2345 151 -4.443480e-01
[6469,] 2345 619 -4.443480e-01
[6470,] 2345 2345 8.886960e-01
[6471,] 2346 151 -4.443480e-01
[6472,] 2346 619 -4.443480e-01
[6473,] 2346 2346 8.886960e-01
[6474,] 2347 151 -4.443480e-01
[6475,] 2347 619 -4.443480e-01
[6476,] 2347 2347 8.886960e-01
[6477,] 2348 151 -4.443480e-01
[6478,] 2348 619 -4.443480e-01
[6479,] 2348 2348 8.886960e-01
[6480,] 2349 151 -4.443480e-01
[6481,] 2349 619 -4.443480e-01
[6482,] 2349 2349 8.886960e-01
[6483,] 2350 151 -4.443480e-01
[6484,] 2350 619 -4.443480e-01
[6485,] 2350 2350 8.886960e-01
[6486,] 2351 151 -4.443480e-01
[6487,] 2351 619 -4.443480e-01
[6488,] 2351 2351 8.886960e-01
[6489,] 2352 151 -4.443480e-01
[6490,] 2352 619 -4.443480e-01
[6491,] 2352 2352 8.886960e-01
[6492,] 2353 151 -4.443480e-01
[6493,] 2353 619 -4.443480e-01
[6494,] 2353 2353 8.886960e-01
[6495,] 2354 151 -4.443480e-01
[6496,] 2354 619 -4.443480e-01
[6497,] 2354 2354 8.886960e-01
[6498,] 2355 151 -4.443480e-01
[6499,] 2355 619 -4.443480e-01
[6500,] 2355 2355 8.886960e-01
[6501,] 2356 151 -4.443480e-01
[6502,] 2356 619 -4.443480e-01
[6503,] 2356 2356 8.886960e-01
[6504,] 2357 151 -4.443480e-01
[6505,] 2357 619 -4.443480e-01
[6506,] 2357 2357 8.886960e-01
[6507,] 2358 151 -4.443480e-01
[6508,] 2358 619 -4.443480e-01
[6509,] 2358 2358 8.886960e-01
[6510,] 2359 151 -4.443480e-01
[6511,] 2359 619 -4.443480e-01
[6512,] 2359 2359 8.886960e-01
[6513,] 2360 151 -4.443480e-01
[6514,] 2360 619 -4.443480e-01
[6515,] 2360 2360 8.886960e-01
[6516,] 2361 651 -4.383562e-01
[6517,] 2361 746 -4.383562e-01
[6518,] 2361 2361 8.767123e-01
[6519,] 2362 651 -4.383562e-01
[6520,] 2362 746 -4.383562e-01
[6521,] 2362 2362 8.767123e-01
[6522,] 2363 651 -4.383562e-01
[6523,] 2363 746 -4.383562e-01
[6524,] 2363 2363 8.767123e-01
[6525,] 2364 651 -4.383562e-01
[6526,] 2364 746 -4.383562e-01
[6527,] 2364 2364 8.767123e-01
[6528,] 2365 651 -4.383562e-01
[6529,] 2365 746 -4.383562e-01
[6530,] 2365 2365 8.767123e-01
[6531,] 2366 651 -4.383562e-01
[6532,] 2366 746 -4.383562e-01
[6533,] 2366 2366 8.767123e-01
[6534,] 2367 651 -4.383562e-01
[6535,] 2367 746 -4.383562e-01
[6536,] 2367 2367 8.767123e-01
[6537,] 2368 651 -4.383562e-01
[6538,] 2368 746 -4.383562e-01
[6539,] 2368 2368 8.767123e-01
[6540,] 2369 651 -4.383562e-01
[6541,] 2369 746 -4.383562e-01
[6542,] 2369 2369 8.767123e-01
[6543,] 2370 651 -4.383562e-01
[6544,] 2370 746 -4.383562e-01
[6545,] 2370 2370 8.767123e-01
[6546,] 2371 651 -4.383562e-01
[6547,] 2371 746 -4.383562e-01
[6548,] 2371 2371 8.767123e-01
[6549,] 2372 651 -4.383562e-01
[6550,] 2372 746 -4.383562e-01
[6551,] 2372 2372 8.767123e-01
[6552,] 2373 651 -4.383562e-01
[6553,] 2373 746 -4.383562e-01
[6554,] 2373 2373 8.767123e-01
[6555,] 2374 651 -4.383562e-01
[6556,] 2374 746 -4.383562e-01
[6557,] 2374 2374 8.767123e-01
[6558,] 2375 651 -4.383562e-01
[6559,] 2375 746 -4.383562e-01
[6560,] 2375 2375 8.767123e-01
[6561,] 2376 651 -4.383562e-01
[6562,] 2376 746 -4.383562e-01
[6563,] 2376 2376 8.767123e-01
[6564,] 2377 651 -4.383562e-01
[6565,] 2377 746 -4.383562e-01
[6566,] 2377 2377 8.767123e-01
[6567,] 2378 651 -4.383562e-01
[6568,] 2378 746 -4.383562e-01
[6569,] 2378 2378 8.767123e-01
[6570,] 2379 651 -4.383562e-01
[6571,] 2379 746 -4.383562e-01
[6572,] 2379 2379 8.767123e-01
[6573,] 2380 651 -4.383562e-01
[6574,] 2380 746 -4.383562e-01
[6575,] 2380 2380 8.767123e-01
[6576,] 2381 651 -4.383562e-01
[6577,] 2381 746 -4.383562e-01
[6578,] 2381 2381 8.767123e-01
[6579,] 2382 651 -4.383562e-01
[6580,] 2382 746 -4.383562e-01
[6581,] 2382 2382 8.767123e-01
[6582,] 2383 651 -4.383562e-01
[6583,] 2383 746 -4.383562e-01
[6584,] 2383 2383 8.767123e-01
[6585,] 2384 651 -4.383562e-01
[6586,] 2384 746 -4.383562e-01
[6587,] 2384 2384 8.767123e-01
[6588,] 2385 651 -4.383562e-01
[6589,] 2385 746 -4.383562e-01
[6590,] 2385 2385 8.767123e-01
[6591,] 2386 651 -4.383562e-01
[6592,] 2386 746 -4.383562e-01
[6593,] 2386 2386 8.767123e-01
[6594,] 2387 651 -4.383562e-01
[6595,] 2387 746 -4.383562e-01
[6596,] 2387 2387 8.767123e-01
[6597,] 2388 651 -4.383562e-01
[6598,] 2388 746 -4.383562e-01
[6599,] 2388 2388 8.767123e-01
[6600,] 2389 651 -4.383562e-01
[6601,] 2389 746 -4.383562e-01
[6602,] 2389 2389 8.767123e-01
[6603,] 2390 152 -4.443480e-01
[6604,] 2390 619 -4.443480e-01
[6605,] 2390 2390 8.886960e-01
[6606,] 2391 152 -4.443480e-01
[6607,] 2391 619 -4.443480e-01
[6608,] 2391 2391 8.886960e-01
[6609,] 2392 152 -4.443480e-01
[6610,] 2392 619 -4.443480e-01
[6611,] 2392 2392 8.886960e-01
[6612,] 2393 152 -4.443480e-01
[6613,] 2393 619 -4.443480e-01
[6614,] 2393 2393 8.886960e-01
[6615,] 2394 152 -4.443480e-01
[6616,] 2394 619 -4.443480e-01
[6617,] 2394 2394 8.886960e-01
[6618,] 2395 152 -4.443480e-01
[6619,] 2395 619 -4.443480e-01
[6620,] 2395 2395 8.886960e-01
[6621,] 2396 152 -4.443480e-01
[6622,] 2396 619 -4.443480e-01
[6623,] 2396 2396 8.886960e-01
[6624,] 2397 152 -4.443480e-01
[6625,] 2397 619 -4.443480e-01
[6626,] 2397 2397 8.886960e-01
[6627,] 2398 152 -4.443480e-01
[6628,] 2398 619 -4.443480e-01
[6629,] 2398 2398 8.886960e-01
[6630,] 2399 152 -4.443480e-01
[6631,] 2399 619 -4.443480e-01
[6632,] 2399 2399 8.886960e-01
[6633,] 2400 152 -4.443480e-01
[6634,] 2400 619 -4.443480e-01
[6635,] 2400 2400 8.886960e-01
[6636,] 2401 152 -4.443480e-01
[6637,] 2401 619 -4.443480e-01
[6638,] 2401 2401 8.886960e-01
[6639,] 2402 152 -4.443480e-01
[6640,] 2402 619 -4.443480e-01
[6641,] 2402 2402 8.886960e-01
[6642,] 2403 152 -4.443480e-01
[6643,] 2403 619 -4.443480e-01
[6644,] 2403 2403 8.886960e-01
[6645,] 2404 152 -4.443480e-01
[6646,] 2404 619 -4.443480e-01
[6647,] 2404 2404 8.886960e-01
[6648,] 2405 152 -4.443480e-01
[6649,] 2405 619 -4.443480e-01
[6650,] 2405 2405 8.886960e-01
[6651,] 2406 152 -4.443480e-01
[6652,] 2406 619 -4.443480e-01
[6653,] 2406 2406 8.886960e-01
[6654,] 2407 152 -4.443480e-01
[6655,] 2407 619 -4.443480e-01
[6656,] 2407 2407 8.886960e-01
[6657,] 2408 152 -4.443480e-01
[6658,] 2408 619 -4.443480e-01
[6659,] 2408 2408 8.886960e-01
[6660,] 2409 152 -4.443480e-01
[6661,] 2409 619 -4.443480e-01
[6662,] 2409 2409 8.886960e-01
[6663,] 2410 152 -4.443480e-01
[6664,] 2410 619 -4.443480e-01
[6665,] 2410 2410 8.886960e-01
[6666,] 2411 152 -4.443480e-01
[6667,] 2411 619 -4.443480e-01
[6668,] 2411 2411 8.886960e-01
[6669,] 2412 152 -4.443480e-01
[6670,] 2412 619 -4.443480e-01
[6671,] 2412 2412 8.886960e-01
[6672,] 2413 152 -4.443480e-01
[6673,] 2413 619 -4.443480e-01
[6674,] 2413 2413 8.886960e-01
[6675,] 2414 152 -4.443480e-01
[6676,] 2414 619 -4.443480e-01
[6677,] 2414 2414 8.886960e-01
[6678,] 2415 152 -4.443480e-01
[6679,] 2415 619 -4.443480e-01
[6680,] 2415 2415 8.886960e-01
[6681,] 2416 614 -7.270307e-01
[6682,] 2416 747 -7.270307e-01
[6683,] 2416 2416 1.454061e+00
[6684,] 2417 614 -7.270307e-01
[6685,] 2417 747 -7.270307e-01
[6686,] 2417 2417 1.454061e+00
[6687,] 2418 614 -7.270307e-01
[6688,] 2418 747 -7.270307e-01
[6689,] 2418 2418 1.454061e+00
[6690,] 2419 614 -7.270307e-01
[6691,] 2419 747 -7.270307e-01
[6692,] 2419 2419 1.454061e+00
[6693,] 2420 614 -7.270307e-01
[6694,] 2420 747 -7.270307e-01
[6695,] 2420 2420 1.454061e+00
[6696,] 2421 614 -7.270307e-01
[6697,] 2421 747 -7.270307e-01
[6698,] 2421 2421 1.454061e+00
[6699,] 2422 614 -7.270307e-01
[6700,] 2422 747 -7.270307e-01
[6701,] 2422 2422 1.454061e+00
[6702,] 2423 614 -7.270307e-01
[6703,] 2423 747 -7.270307e-01
[6704,] 2423 2423 1.454061e+00
[6705,] 2424 614 -7.270307e-01
[6706,] 2424 747 -7.270307e-01
[6707,] 2424 2424 1.454061e+00
[6708,] 2425 614 -7.270307e-01
[6709,] 2425 747 -7.270307e-01
[6710,] 2425 2425 1.454061e+00
[6711,] 2426 614 -7.270307e-01
[6712,] 2426 747 -7.270307e-01
[6713,] 2426 2426 1.454061e+00
[6714,] 2427 614 -7.270307e-01
[6715,] 2427 747 -7.270307e-01
[6716,] 2427 2427 1.454061e+00
[6717,] 2428 614 -7.270307e-01
[6718,] 2428 747 -7.270307e-01
[6719,] 2428 2428 1.454061e+00
[6720,] 2429 614 -7.270307e-01
[6721,] 2429 747 -7.270307e-01
[6722,] 2429 2429 1.454061e+00
[6723,] 2430 614 -7.270307e-01
[6724,] 2430 747 -7.270307e-01
[6725,] 2430 2430 1.454061e+00
[6726,] 2431 614 -7.270307e-01
[6727,] 2431 747 -7.270307e-01
[6728,] 2431 2431 1.454061e+00
[6729,] 2432 614 -7.270307e-01
[6730,] 2432 747 -7.270307e-01
[6731,] 2432 2432 1.454061e+00
[6732,] 2433 614 -7.270307e-01
[6733,] 2433 747 -7.270307e-01
[6734,] 2433 2433 1.454061e+00
[6735,] 2434 614 -7.270307e-01
[6736,] 2434 747 -7.270307e-01
[6737,] 2434 2434 1.454061e+00
[6738,] 2435 614 -7.270307e-01
[6739,] 2435 747 -7.270307e-01
[6740,] 2435 2435 1.454061e+00
[6741,] 2436 614 -7.270307e-01
[6742,] 2436 747 -7.270307e-01
[6743,] 2436 2436 1.454061e+00
[6744,] 2437 651 -6.975477e-01
[6745,] 2437 748 -6.975477e-01
[6746,] 2437 2437 1.395095e+00
[6747,] 2438 651 -6.975477e-01
[6748,] 2438 748 -6.975477e-01
[6749,] 2438 2438 1.395095e+00
[6750,] 2439 651 -6.975477e-01
[6751,] 2439 748 -6.975477e-01
[6752,] 2439 2439 1.395095e+00
[6753,] 2440 651 -6.975477e-01
[6754,] 2440 748 -6.975477e-01
[6755,] 2440 2440 1.395095e+00
[6756,] 2441 651 -6.975477e-01
[6757,] 2441 748 -6.975477e-01
[6758,] 2441 2441 1.395095e+00
[6759,] 2442 651 -6.975477e-01
[6760,] 2442 748 -6.975477e-01
[6761,] 2442 2442 1.395095e+00
[6762,] 2443 651 -6.975477e-01
[6763,] 2443 748 -6.975477e-01
[6764,] 2443 2443 1.395095e+00
[6765,] 2444 651 -6.975477e-01
[6766,] 2444 748 -6.975477e-01
[6767,] 2444 2444 1.395095e+00
[6768,] 2445 651 -6.975477e-01
[6769,] 2445 748 -6.975477e-01
[6770,] 2445 2445 1.395095e+00
[6771,] 2446 651 -6.975477e-01
[6772,] 2446 748 -6.975477e-01
[6773,] 2446 2446 1.395095e+00
[6774,] 2447 651 -6.975477e-01
[6775,] 2447 748 -6.975477e-01
[6776,] 2447 2447 1.395095e+00
[6777,] 2448 651 -6.975477e-01
[6778,] 2448 748 -6.975477e-01
[6779,] 2448 2448 1.395095e+00
[6780,] 2449 651 -6.975477e-01
[6781,] 2449 748 -6.975477e-01
[6782,] 2449 2449 1.395095e+00
[6783,] 2450 651 -6.975477e-01
[6784,] 2450 748 -6.975477e-01
[6785,] 2450 2450 1.395095e+00
[6786,] 2451 651 -6.975477e-01
[6787,] 2451 748 -6.975477e-01
[6788,] 2451 2451 1.395095e+00
[6789,] 2452 651 -6.975477e-01
[6790,] 2452 748 -6.975477e-01
[6791,] 2452 2452 1.395095e+00
[6792,] 2453 651 -6.975477e-01
[6793,] 2453 748 -6.975477e-01
[6794,] 2453 2453 1.395095e+00
[6795,] 2454 651 -6.975477e-01
[6796,] 2454 748 -6.975477e-01
[6797,] 2454 2454 1.395095e+00
[6798,] 2455 651 -6.975477e-01
[6799,] 2455 748 -6.975477e-01
[6800,] 2455 2455 1.395095e+00
[6801,] 2456 651 -6.975477e-01
[6802,] 2456 748 -6.975477e-01
[6803,] 2456 2456 1.395095e+00
[6804,] 2457 651 -6.975477e-01
[6805,] 2457 748 -6.975477e-01
[6806,] 2457 2457 1.395095e+00
[6807,] 2458 651 -6.975477e-01
[6808,] 2458 748 -6.975477e-01
[6809,] 2458 2458 1.395095e+00
[6810,] 2459 651 -6.975477e-01
[6811,] 2459 748 -6.975477e-01
[6812,] 2459 2459 1.395095e+00
[6813,] 2460 619 -4.443480e-01
[6814,] 2460 748 -4.443480e-01
[6815,] 2460 2460 8.886960e-01
[6816,] 2461 619 -4.443480e-01
[6817,] 2461 748 -4.443480e-01
[6818,] 2461 2461 8.886960e-01
[6819,] 2462 619 -4.443480e-01
[6820,] 2462 748 -4.443480e-01
[6821,] 2462 2462 8.886960e-01
[6822,] 2463 619 -4.443480e-01
[6823,] 2463 748 -4.443480e-01
[6824,] 2463 2463 8.886960e-01
[6825,] 2464 619 -4.443480e-01
[6826,] 2464 748 -4.443480e-01
[6827,] 2464 2464 8.886960e-01
[6828,] 2465 619 -4.443480e-01
[6829,] 2465 748 -4.443480e-01
[6830,] 2465 2465 8.886960e-01
[6831,] 2466 619 -4.443480e-01
[6832,] 2466 748 -4.443480e-01
[6833,] 2466 2466 8.886960e-01
[6834,] 2467 619 -4.443480e-01
[6835,] 2467 748 -4.443480e-01
[6836,] 2467 2467 8.886960e-01
[6837,] 2468 619 -4.443480e-01
[6838,] 2468 748 -4.443480e-01
[6839,] 2468 2468 8.886960e-01
[6840,] 2469 619 -4.443480e-01
[6841,] 2469 748 -4.443480e-01
[6842,] 2469 2469 8.886960e-01
[6843,] 2470 619 -4.443480e-01
[6844,] 2470 748 -4.443480e-01
[6845,] 2470 2470 8.886960e-01
[6846,] 2471 619 -4.443480e-01
[6847,] 2471 748 -4.443480e-01
[6848,] 2471 2471 8.886960e-01
[6849,] 2472 619 -4.443480e-01
[6850,] 2472 748 -4.443480e-01
[6851,] 2472 2472 8.886960e-01
[6852,] 2473 619 -4.443480e-01
[6853,] 2473 748 -4.443480e-01
[6854,] 2473 2473 8.886960e-01
[6855,] 2474 619 -4.443480e-01
[6856,] 2474 748 -4.443480e-01
[6857,] 2474 2474 8.886960e-01
[6858,] 2475 619 -4.443480e-01
[6859,] 2475 748 -4.443480e-01
[6860,] 2475 2475 8.886960e-01
[6861,] 2476 619 -4.443480e-01
[6862,] 2476 748 -4.443480e-01
[6863,] 2476 2476 8.886960e-01
[6864,] 2477 619 -4.443480e-01
[6865,] 2477 748 -4.443480e-01
[6866,] 2477 2477 8.886960e-01
[6867,] 2478 619 -4.443480e-01
[6868,] 2478 748 -4.443480e-01
[6869,] 2478 2478 8.886960e-01
[6870,] 2479 619 -4.443480e-01
[6871,] 2479 748 -4.443480e-01
[6872,] 2479 2479 8.886960e-01
[6873,] 2480 619 -4.443480e-01
[6874,] 2480 748 -4.443480e-01
[6875,] 2480 2480 8.886960e-01
[6876,] 2481 619 -4.443480e-01
[6877,] 2481 748 -4.443480e-01
[6878,] 2481 2481 8.886960e-01
[6879,] 2482 619 -4.443480e-01
[6880,] 2482 748 -4.443480e-01
[6881,] 2482 2482 8.886960e-01
[6882,] 2483 619 -4.443480e-01
[6883,] 2483 748 -4.443480e-01
[6884,] 2483 2483 8.886960e-01
[6885,] 2484 619 -4.443480e-01
[6886,] 2484 748 -4.443480e-01
[6887,] 2484 2484 8.886960e-01
[6888,] 2485 619 -4.443480e-01
[6889,] 2485 748 -4.443480e-01
[6890,] 2485 2485 8.886960e-01
[6891,] 2486 619 -4.443480e-01
[6892,] 2486 748 -4.443480e-01
[6893,] 2486 2486 8.886960e-01
[6894,] 2487 619 -4.443480e-01
[6895,] 2487 748 -4.443480e-01
[6896,] 2487 2487 8.886960e-01
[6897,] 2488 614 -7.270307e-01
[6898,] 2488 748 -7.270307e-01
[6899,] 2488 2488 1.454061e+00
[6900,] 2489 614 -7.270307e-01
[6901,] 2489 748 -7.270307e-01
[6902,] 2489 2489 1.454061e+00
[6903,] 2490 614 -7.270307e-01
[6904,] 2490 748 -7.270307e-01
[6905,] 2490 2490 1.454061e+00
[6906,] 2491 614 -7.270307e-01
[6907,] 2491 748 -7.270307e-01
[6908,] 2491 2491 1.454061e+00
[6909,] 2492 614 -7.270307e-01
[6910,] 2492 748 -7.270307e-01
[6911,] 2492 2492 1.454061e+00
[6912,] 2493 614 -7.270307e-01
[6913,] 2493 748 -7.270307e-01
[6914,] 2493 2493 1.454061e+00
[6915,] 2494 614 -7.270307e-01
[6916,] 2494 748 -7.270307e-01
[6917,] 2494 2494 1.454061e+00
[6918,] 2495 614 -7.270307e-01
[6919,] 2495 748 -7.270307e-01
[6920,] 2495 2495 1.454061e+00
[6921,] 2496 614 -7.270307e-01
[6922,] 2496 748 -7.270307e-01
[6923,] 2496 2496 1.454061e+00
[6924,] 2497 614 -7.270307e-01
[6925,] 2497 748 -7.270307e-01
[6926,] 2497 2497 1.454061e+00
[6927,] 2498 614 -7.270307e-01
[6928,] 2498 748 -7.270307e-01
[6929,] 2498 2498 1.454061e+00
[6930,] 2499 614 -7.270307e-01
[6931,] 2499 748 -7.270307e-01
[6932,] 2499 2499 1.454061e+00
[6933,] 2500 614 -7.270307e-01
[6934,] 2500 748 -7.270307e-01
[6935,] 2500 2500 1.454061e+00
[6936,] 2501 614 -7.270307e-01
[6937,] 2501 748 -7.270307e-01
[6938,] 2501 2501 1.454061e+00
[6939,] 2502 614 -7.270307e-01
[6940,] 2502 748 -7.270307e-01
[6941,] 2502 2502 1.454061e+00
[6942,] 2503 614 -7.270307e-01
[6943,] 2503 748 -7.270307e-01
[6944,] 2503 2503 1.454061e+00
[6945,] 2504 614 -7.270307e-01
[6946,] 2504 748 -7.270307e-01
[6947,] 2504 2504 1.454061e+00
[6948,] 2505 614 -7.270307e-01
[6949,] 2505 748 -7.270307e-01
[6950,] 2505 2505 1.454061e+00
[6951,] 2506 614 -7.270307e-01
[6952,] 2506 748 -7.270307e-01
[6953,] 2506 2506 1.454061e+00
[6954,] 2507 614 -7.270307e-01
[6955,] 2507 748 -7.270307e-01
[6956,] 2507 2507 1.454061e+00
[6957,] 2508 614 -7.270307e-01
[6958,] 2508 748 -7.270307e-01
[6959,] 2508 2508 1.454061e+00
[6960,] 2509 614 -7.270307e-01
[6961,] 2509 748 -7.270307e-01
[6962,] 2509 2509 1.454061e+00
[6963,] 2510 614 -7.270307e-01
[6964,] 2510 748 -7.270307e-01
[6965,] 2510 2510 1.454061e+00
[6966,] 2511 614 -7.270307e-01
[6967,] 2511 748 -7.270307e-01
[6968,] 2511 2511 1.454061e+00
[6969,] 2512 614 -7.270307e-01
[6970,] 2512 748 -7.270307e-01
[6971,] 2512 2512 1.454061e+00
[6972,] 2513 614 -7.270307e-01
[6973,] 2513 748 -7.270307e-01
[6974,] 2513 2513 1.454061e+00
[6975,] 2514 614 -7.270307e-01
[6976,] 2514 748 -7.270307e-01
[6977,] 2514 2514 1.454061e+00
[6978,] 2515 614 -7.270307e-01
[6979,] 2515 748 -7.270307e-01
[6980,] 2515 2515 1.454061e+00
[6981,] 2516 614 -7.270307e-01
[6982,] 2516 748 -7.270307e-01
[6983,] 2516 2516 1.454061e+00
[6984,] 2517 614 -7.270307e-01
[6985,] 2517 748 -7.270307e-01
[6986,] 2517 2517 1.454061e+00
[6987,] 2518 573 -3.636364e-01
[6988,] 2518 748 -3.636364e-01
[6989,] 2518 2518 7.272727e-01
[6990,] 2519 614 -7.270307e-01
[6991,] 2519 749 -7.270307e-01
[6992,] 2519 2519 1.454061e+00
[6993,] 2520 614 -7.270307e-01
[6994,] 2520 749 -7.270307e-01
[6995,] 2520 2520 1.454061e+00
[6996,] 2521 614 -7.270307e-01
[6997,] 2521 749 -7.270307e-01
[6998,] 2521 2521 1.454061e+00
[6999,] 2522 614 -7.270307e-01
[7000,] 2522 749 -7.270307e-01
[7001,] 2522 2522 1.454061e+00
[7002,] 2523 614 -7.270307e-01
[7003,] 2523 749 -7.270307e-01
[7004,] 2523 2523 1.454061e+00
[7005,] 2524 614 -7.270307e-01
[7006,] 2524 749 -7.270307e-01
[7007,] 2524 2524 1.454061e+00
[7008,] 2525 614 -7.270307e-01
[7009,] 2525 749 -7.270307e-01
[7010,] 2525 2525 1.454061e+00
[7011,] 2526 614 -7.270307e-01
[7012,] 2526 749 -7.270307e-01
[7013,] 2526 2526 1.454061e+00
[7014,] 2527 614 -7.270307e-01
[7015,] 2527 749 -7.270307e-01
[7016,] 2527 2527 1.454061e+00
[7017,] 2528 614 -7.270307e-01
[7018,] 2528 749 -7.270307e-01
[7019,] 2528 2528 1.454061e+00
[7020,] 2529 614 -7.270307e-01
[7021,] 2529 749 -7.270307e-01
[7022,] 2529 2529 1.454061e+00
[7023,] 2530 614 -7.270307e-01
[7024,] 2530 749 -7.270307e-01
[7025,] 2530 2530 1.454061e+00
[7026,] 2531 614 -7.270307e-01
[7027,] 2531 749 -7.270307e-01
[7028,] 2531 2531 1.454061e+00
[7029,] 2532 693 -4.210526e-01
[7030,] 2532 808 -4.210526e-01
[7031,] 2532 2532 8.421053e-01
[7032,] 2533 619 -7.267888e-01
[7033,] 2533 808 -7.267888e-01
[7034,] 2533 2533 1.453578e+00
[7035,] 2534 619 -7.267888e-01
[7036,] 2534 808 -7.267888e-01
[7037,] 2534 2534 1.453578e+00
[7038,] 2535 619 -7.267888e-01
[7039,] 2535 808 -7.267888e-01
[7040,] 2535 2535 1.453578e+00
[7041,] 2536 619 -7.267888e-01
[7042,] 2536 808 -7.267888e-01
[7043,] 2536 2536 1.453578e+00
[7044,] 2537 619 -7.267888e-01
[7045,] 2537 808 -7.267888e-01
[7046,] 2537 2537 1.453578e+00
[7047,] 2538 619 -7.267888e-01
[7048,] 2538 808 -7.267888e-01
[7049,] 2538 2538 1.453578e+00
[7050,] 2539 619 -7.267888e-01
[7051,] 2539 808 -7.267888e-01
[7052,] 2539 2539 1.453578e+00
[7053,] 2540 619 -7.267888e-01
[7054,] 2540 808 -7.267888e-01
[7055,] 2540 2540 1.453578e+00
[7056,] 2541 619 -7.267888e-01
[7057,] 2541 808 -7.267888e-01
[7058,] 2541 2541 1.453578e+00
[7059,] 2542 619 -7.267888e-01
[7060,] 2542 808 -7.267888e-01
[7061,] 2542 2542 1.453578e+00
[7062,] 2543 619 -7.267888e-01
[7063,] 2543 808 -7.267888e-01
[7064,] 2543 2543 1.453578e+00
[7065,] 2544 619 -7.267888e-01
[7066,] 2544 808 -7.267888e-01
[7067,] 2544 2544 1.453578e+00
[7068,] 2545 619 -7.267888e-01
[7069,] 2545 808 -7.267888e-01
[7070,] 2545 2545 1.453578e+00
[7071,] 2546 619 -7.267888e-01
[7072,] 2546 808 -7.267888e-01
[7073,] 2546 2546 1.453578e+00
[7074,] 2547 619 -7.267888e-01
[7075,] 2547 808 -7.267888e-01
[7076,] 2547 2547 1.453578e+00
[7077,] 2548 619 -7.267888e-01
[7078,] 2548 808 -7.267888e-01
[7079,] 2548 2548 1.453578e+00
[7080,] 2549 619 -7.267888e-01
[7081,] 2549 808 -7.267888e-01
[7082,] 2549 2549 1.453578e+00
[7083,] 2550 619 -7.267888e-01
[7084,] 2550 808 -7.267888e-01
[7085,] 2550 2550 1.453578e+00
[7086,] 2551 62 -3.636364e-01
[7087,] 2551 808 -3.636364e-01
[7088,] 2551 2551 7.272727e-01
[7089,] 2552 651 -4.383562e-01
[7090,] 2552 808 -4.383562e-01
[7091,] 2552 2552 8.767123e-01
[7092,] 2553 651 -4.383562e-01
[7093,] 2553 808 -4.383562e-01
[7094,] 2553 2553 8.767123e-01
[7095,] 2554 651 -4.383562e-01
[7096,] 2554 808 -4.383562e-01
[7097,] 2554 2554 8.767123e-01
[7098,] 2555 651 -4.383562e-01
[7099,] 2555 808 -4.383562e-01
[7100,] 2555 2555 8.767123e-01
[7101,] 2556 651 -4.383562e-01
[7102,] 2556 808 -4.383562e-01
[7103,] 2556 2556 8.767123e-01
[7104,] 2557 651 -4.383562e-01
[7105,] 2557 808 -4.383562e-01
[7106,] 2557 2557 8.767123e-01
[7107,] 2558 651 -4.383562e-01
[7108,] 2558 808 -4.383562e-01
[7109,] 2558 2558 8.767123e-01
[7110,] 2559 651 -4.383562e-01
[7111,] 2559 808 -4.383562e-01
[7112,] 2559 2559 8.767123e-01
[7113,] 2560 651 -4.383562e-01
[7114,] 2560 808 -4.383562e-01
[7115,] 2560 2560 8.767123e-01
[7116,] 2561 651 -4.383562e-01
[7117,] 2561 808 -4.383562e-01
[7118,] 2561 2561 8.767123e-01
[7119,] 2562 651 -4.383562e-01
[7120,] 2562 808 -4.383562e-01
[7121,] 2562 2562 8.767123e-01
[7122,] 2563 651 -4.383562e-01
[7123,] 2563 808 -4.383562e-01
[7124,] 2563 2563 8.767123e-01
[7125,] 2564 651 -4.383562e-01
[7126,] 2564 808 -4.383562e-01
[7127,] 2564 2564 8.767123e-01
[7128,] 2565 651 -4.383562e-01
[7129,] 2565 808 -4.383562e-01
[7130,] 2565 2565 8.767123e-01
[7131,] 2566 651 -4.383562e-01
[7132,] 2566 808 -4.383562e-01
[7133,] 2566 2566 8.767123e-01
[7134,] 2567 651 -4.383562e-01
[7135,] 2567 808 -4.383562e-01
[7136,] 2567 2567 8.767123e-01
[7137,] 2568 651 -4.383562e-01
[7138,] 2568 808 -4.383562e-01
[7139,] 2568 2568 8.767123e-01
[7140,] 2569 563 -3.636364e-01
[7141,] 2569 808 -3.636364e-01
[7142,] 2569 2569 7.272727e-01
[7143,] 2570 614 -7.270307e-01
[7144,] 2570 750 -7.270307e-01
[7145,] 2570 2570 1.454061e+00
[7146,] 2571 614 -7.270307e-01
[7147,] 2571 750 -7.270307e-01
[7148,] 2571 2571 1.454061e+00
[7149,] 2572 614 -7.270307e-01
[7150,] 2572 750 -7.270307e-01
[7151,] 2572 2572 1.454061e+00
[7152,] 2573 614 -7.270307e-01
[7153,] 2573 750 -7.270307e-01
[7154,] 2573 2573 1.454061e+00
[7155,] 2574 614 -7.270307e-01
[7156,] 2574 750 -7.270307e-01
[7157,] 2574 2574 1.454061e+00
[7158,] 2575 614 -7.270307e-01
[7159,] 2575 750 -7.270307e-01
[7160,] 2575 2575 1.454061e+00
[7161,] 2576 614 -7.270307e-01
[7162,] 2576 750 -7.270307e-01
[7163,] 2576 2576 1.454061e+00
[7164,] 2577 614 -7.270307e-01
[7165,] 2577 750 -7.270307e-01
[7166,] 2577 2577 1.454061e+00
[7167,] 2578 614 -7.270307e-01
[7168,] 2578 750 -7.270307e-01
[7169,] 2578 2578 1.454061e+00
[7170,] 2579 614 -7.270307e-01
[7171,] 2579 750 -7.270307e-01
[7172,] 2579 2579 1.454061e+00
[7173,] 2580 614 -7.270307e-01
[7174,] 2580 750 -7.270307e-01
[7175,] 2580 2580 1.454061e+00
[7176,] 2581 614 -7.270307e-01
[7177,] 2581 750 -7.270307e-01
[7178,] 2581 2581 1.454061e+00
[7179,] 2582 614 -7.270307e-01
[7180,] 2582 750 -7.270307e-01
[7181,] 2582 2582 1.454061e+00
[7182,] 2583 614 -7.270307e-01
[7183,] 2583 750 -7.270307e-01
[7184,] 2583 2583 1.454061e+00
[7185,] 2584 614 -7.270307e-01
[7186,] 2584 750 -7.270307e-01
[7187,] 2584 2584 1.454061e+00
[7188,] 2585 614 -7.270307e-01
[7189,] 2585 750 -7.270307e-01
[7190,] 2585 2585 1.454061e+00
[7191,] 2586 614 -7.270307e-01
[7192,] 2586 750 -7.270307e-01
[7193,] 2586 2586 1.454061e+00
[7194,] 2587 614 -7.270307e-01
[7195,] 2587 750 -7.270307e-01
[7196,] 2587 2587 1.454061e+00
[7197,] 2588 614 -7.270307e-01
[7198,] 2588 750 -7.270307e-01
[7199,] 2588 2588 1.454061e+00
[7200,] 2589 614 -7.270307e-01
[7201,] 2589 750 -7.270307e-01
[7202,] 2589 2589 1.454061e+00
[7203,] 2590 614 -7.270307e-01
[7204,] 2590 750 -7.270307e-01
[7205,] 2590 2590 1.454061e+00
[7206,] 2591 614 -7.270307e-01
[7207,] 2591 750 -7.270307e-01
[7208,] 2591 2591 1.454061e+00
[7209,] 2592 614 -7.270307e-01
[7210,] 2592 750 -7.270307e-01
[7211,] 2592 2592 1.454061e+00
[7212,] 2593 614 -7.270307e-01
[7213,] 2593 750 -7.270307e-01
[7214,] 2593 2593 1.454061e+00
[7215,] 2594 614 -7.270307e-01
[7216,] 2594 750 -7.270307e-01
[7217,] 2594 2594 1.454061e+00
[7218,] 2595 614 -7.270307e-01
[7219,] 2595 750 -7.270307e-01
[7220,] 2595 2595 1.454061e+00
[7221,] 2596 614 -7.270307e-01
[7222,] 2596 750 -7.270307e-01
[7223,] 2596 2596 1.454061e+00
[7224,] 2597 614 -7.270307e-01
[7225,] 2597 750 -7.270307e-01
[7226,] 2597 2597 1.454061e+00
[7227,] 2598 614 -7.270307e-01
[7228,] 2598 750 -7.270307e-01
[7229,] 2598 2598 1.454061e+00
[7230,] 2599 563 -4.324324e-01
[7231,] 2599 750 -4.324324e-01
[7232,] 2599 2599 8.648649e-01
[7233,] 2600 619 -7.267888e-01
[7234,] 2600 753 -7.267888e-01
[7235,] 2600 2600 1.453578e+00
[7236,] 2601 619 -7.267888e-01
[7237,] 2601 753 -7.267888e-01
[7238,] 2601 2601 1.453578e+00
[7239,] 2602 619 -7.267888e-01
[7240,] 2602 753 -7.267888e-01
[7241,] 2602 2602 1.453578e+00
[7242,] 2603 619 -7.267888e-01
[7243,] 2603 753 -7.267888e-01
[7244,] 2603 2603 1.453578e+00
[7245,] 2604 619 -7.267888e-01
[7246,] 2604 753 -7.267888e-01
[7247,] 2604 2604 1.453578e+00
[7248,] 2605 619 -7.267888e-01
[7249,] 2605 753 -7.267888e-01
[7250,] 2605 2605 1.453578e+00
[7251,] 2606 619 -7.267888e-01
[7252,] 2606 753 -7.267888e-01
[7253,] 2606 2606 1.453578e+00
[7254,] 2607 619 -7.267888e-01
[7255,] 2607 753 -7.267888e-01
[7256,] 2607 2607 1.453578e+00
[7257,] 2608 619 -7.267888e-01
[7258,] 2608 753 -7.267888e-01
[7259,] 2608 2608 1.453578e+00
[7260,] 2609 619 -7.267888e-01
[7261,] 2609 753 -7.267888e-01
[7262,] 2609 2609 1.453578e+00
[7263,] 2610 619 -7.267888e-01
[7264,] 2610 753 -7.267888e-01
[7265,] 2610 2610 1.453578e+00
[7266,] 2611 619 -7.267888e-01
[7267,] 2611 753 -7.267888e-01
[7268,] 2611 2611 1.453578e+00
[7269,] 2612 619 -7.267888e-01
[7270,] 2612 753 -7.267888e-01
[7271,] 2612 2612 1.453578e+00
[7272,] 2613 619 -7.267888e-01
[7273,] 2613 754 -7.267888e-01
[7274,] 2613 2613 1.453578e+00
[7275,] 2614 619 -7.267888e-01
[7276,] 2614 754 -7.267888e-01
[7277,] 2614 2614 1.453578e+00
[7278,] 2615 619 -7.267888e-01
[7279,] 2615 754 -7.267888e-01
[7280,] 2615 2615 1.453578e+00
[7281,] 2616 619 -7.267888e-01
[7282,] 2616 754 -7.267888e-01
[7283,] 2616 2616 1.453578e+00
[7284,] 2617 619 -7.267888e-01
[7285,] 2617 754 -7.267888e-01
[7286,] 2617 2617 1.453578e+00
[7287,] 2618 619 -7.267888e-01
[7288,] 2618 754 -7.267888e-01
[7289,] 2618 2618 1.453578e+00
[7290,] 2619 619 -7.267888e-01
[7291,] 2619 754 -7.267888e-01
[7292,] 2619 2619 1.453578e+00
[7293,] 2620 619 -7.267888e-01
[7294,] 2620 754 -7.267888e-01
[7295,] 2620 2620 1.453578e+00
[7296,] 2621 619 -7.267888e-01
[7297,] 2621 754 -7.267888e-01
[7298,] 2621 2621 1.453578e+00
[7299,] 2622 619 -7.267888e-01
[7300,] 2622 754 -7.267888e-01
[7301,] 2622 2622 1.453578e+00
[7302,] 2623 619 -7.267888e-01
[7303,] 2623 754 -7.267888e-01
[7304,] 2623 2623 1.453578e+00
[7305,] 2624 619 -7.267888e-01
[7306,] 2624 754 -7.267888e-01
[7307,] 2624 2624 1.453578e+00
[7308,] 2625 619 -7.267888e-01
[7309,] 2625 754 -7.267888e-01
[7310,] 2625 2625 1.453578e+00
[7311,] 2626 619 -7.267888e-01
[7312,] 2626 754 -7.267888e-01
[7313,] 2626 2626 1.453578e+00
[7314,] 2627 619 -7.267888e-01
[7315,] 2627 754 -7.267888e-01
[7316,] 2627 2627 1.453578e+00
[7317,] 2628 619 -7.267888e-01
[7318,] 2628 754 -7.267888e-01
[7319,] 2628 2628 1.453578e+00
[7320,] 2629 619 -7.267888e-01
[7321,] 2629 754 -7.267888e-01
[7322,] 2629 2629 1.453578e+00
[7323,] 2630 619 -7.267888e-01
[7324,] 2630 754 -7.267888e-01
[7325,] 2630 2630 1.453578e+00
[7326,] 2631 619 -7.267888e-01
[7327,] 2631 754 -7.267888e-01
[7328,] 2631 2631 1.453578e+00
[7329,] 2632 619 -7.267888e-01
[7330,] 2632 754 -7.267888e-01
[7331,] 2632 2632 1.453578e+00
[7332,] 2633 619 -7.267888e-01
[7333,] 2633 754 -7.267888e-01
[7334,] 2633 2633 1.453578e+00
[7335,] 2634 619 -7.267888e-01
[7336,] 2634 754 -7.267888e-01
[7337,] 2634 2634 1.453578e+00
[7338,] 2635 619 -7.267888e-01
[7339,] 2635 755 -7.267888e-01
[7340,] 2635 2635 1.453578e+00
[7341,] 2636 619 -7.267888e-01
[7342,] 2636 755 -7.267888e-01
[7343,] 2636 2636 1.453578e+00
[7344,] 2637 619 -7.267888e-01
[7345,] 2637 755 -7.267888e-01
[7346,] 2637 2637 1.453578e+00
[7347,] 2638 619 -7.267888e-01
[7348,] 2638 755 -7.267888e-01
[7349,] 2638 2638 1.453578e+00
[7350,] 2639 619 -7.267888e-01
[7351,] 2639 755 -7.267888e-01
[7352,] 2639 2639 1.453578e+00
[7353,] 2640 619 -7.267888e-01
[7354,] 2640 755 -7.267888e-01
[7355,] 2640 2640 1.453578e+00
[7356,] 2641 619 -7.267888e-01
[7357,] 2641 755 -7.267888e-01
[7358,] 2641 2641 1.453578e+00
[7359,] 2642 619 -7.267888e-01
[7360,] 2642 755 -7.267888e-01
[7361,] 2642 2642 1.453578e+00
[7362,] 2643 619 -7.267888e-01
[7363,] 2643 755 -7.267888e-01
[7364,] 2643 2643 1.453578e+00
[7365,] 2644 619 -7.267888e-01
[7366,] 2644 755 -7.267888e-01
[7367,] 2644 2644 1.453578e+00
[7368,] 2645 619 -7.267888e-01
[7369,] 2645 755 -7.267888e-01
[7370,] 2645 2645 1.453578e+00
[7371,] 2646 619 -7.267888e-01
[7372,] 2646 755 -7.267888e-01
[7373,] 2646 2646 1.453578e+00
[7374,] 2647 619 -7.267888e-01
[7375,] 2647 755 -7.267888e-01
[7376,] 2647 2647 1.453578e+00
[7377,] 2648 619 -7.267888e-01
[7378,] 2648 755 -7.267888e-01
[7379,] 2648 2648 1.453578e+00
[7380,] 2649 619 -7.267888e-01
[7381,] 2649 755 -7.267888e-01
[7382,] 2649 2649 1.453578e+00
[7383,] 2650 619 -7.267888e-01
[7384,] 2650 755 -7.267888e-01
[7385,] 2650 2650 1.453578e+00
[7386,] 2651 619 -7.267888e-01
[7387,] 2651 755 -7.267888e-01
[7388,] 2651 2651 1.453578e+00
[7389,] 2652 619 -7.267888e-01
[7390,] 2652 755 -7.267888e-01
[7391,] 2652 2652 1.453578e+00
[7392,] 2653 619 -7.267888e-01
[7393,] 2653 755 -7.267888e-01
[7394,] 2653 2653 1.453578e+00
[7395,] 2654 619 -7.267888e-01
[7396,] 2654 755 -7.267888e-01
[7397,] 2654 2654 1.453578e+00
[7398,] 2655 619 -7.267888e-01
[7399,] 2655 755 -7.267888e-01
[7400,] 2655 2655 1.453578e+00
[7401,] 2656 619 -7.267888e-01
[7402,] 2656 755 -7.267888e-01
[7403,] 2656 2656 1.453578e+00
[7404,] 2657 619 -7.267888e-01
[7405,] 2657 755 -7.267888e-01
[7406,] 2657 2657 1.453578e+00
[7407,] 2658 619 -7.267888e-01
[7408,] 2658 755 -7.267888e-01
[7409,] 2658 2658 1.453578e+00
[7410,] 2659 619 -7.267888e-01
[7411,] 2659 755 -7.267888e-01
[7412,] 2659 2659 1.453578e+00
[7413,] 2660 619 -7.267888e-01
[7414,] 2660 755 -7.267888e-01
[7415,] 2660 2660 1.453578e+00
[7416,] 2661 619 -7.267888e-01
[7417,] 2661 755 -7.267888e-01
[7418,] 2661 2661 1.453578e+00
[7419,] 2662 619 -7.267888e-01
[7420,] 2662 755 -7.267888e-01
[7421,] 2662 2662 1.453578e+00
[7422,] 2663 619 -7.267888e-01
[7423,] 2663 755 -7.267888e-01
[7424,] 2663 2663 1.453578e+00
[7425,] 2664 619 -7.267888e-01
[7426,] 2664 755 -7.267888e-01
[7427,] 2664 2664 1.453578e+00
[7428,] 2665 619 -7.267888e-01
[7429,] 2665 755 -7.267888e-01
[7430,] 2665 2665 1.453578e+00
[7431,] 2666 619 -7.267888e-01
[7432,] 2666 755 -7.267888e-01
[7433,] 2666 2666 1.453578e+00
[7434,] 2667 619 -7.267888e-01
[7435,] 2667 755 -7.267888e-01
[7436,] 2667 2667 1.453578e+00
[7437,] 2668 619 -7.267888e-01
[7438,] 2668 755 -7.267888e-01
[7439,] 2668 2668 1.453578e+00
[7440,] 2669 619 -7.267888e-01
[7441,] 2669 755 -7.267888e-01
[7442,] 2669 2669 1.453578e+00
[7443,] 2670 619 -7.267888e-01
[7444,] 2670 755 -7.267888e-01
[7445,] 2670 2670 1.453578e+00
[7446,] 2671 619 -7.267888e-01
[7447,] 2671 755 -7.267888e-01
[7448,] 2671 2671 1.453578e+00
[7449,] 2672 619 -7.267888e-01
[7450,] 2672 755 -7.267888e-01
[7451,] 2672 2672 1.453578e+00
[7452,] 2673 619 -7.267888e-01
[7453,] 2673 755 -7.267888e-01
[7454,] 2673 2673 1.453578e+00
[7455,] 2674 619 -7.267888e-01
[7456,] 2674 755 -7.267888e-01
[7457,] 2674 2674 1.453578e+00
[7458,] 2675 619 -7.267888e-01
[7459,] 2675 755 -7.267888e-01
[7460,] 2675 2675 1.453578e+00
[7461,] 2676 619 -7.267888e-01
[7462,] 2676 755 -7.267888e-01
[7463,] 2676 2676 1.453578e+00
[7464,] 2677 619 -7.267888e-01
[7465,] 2677 755 -7.267888e-01
[7466,] 2677 2677 1.453578e+00
[7467,] 2678 619 -7.267888e-01
[7468,] 2678 755 -7.267888e-01
[7469,] 2678 2678 1.453578e+00
[7470,] 2679 619 -7.267888e-01
[7471,] 2679 755 -7.267888e-01
[7472,] 2679 2679 1.453578e+00
[7473,] 2680 619 -7.267888e-01
[7474,] 2680 755 -7.267888e-01
[7475,] 2680 2680 1.453578e+00
[7476,] 2681 619 -7.267888e-01
[7477,] 2681 755 -7.267888e-01
[7478,] 2681 2681 1.453578e+00
[7479,] 2682 619 -7.267888e-01
[7480,] 2682 755 -7.267888e-01
[7481,] 2682 2682 1.453578e+00
[7482,] 2683 619 -7.267888e-01
[7483,] 2683 755 -7.267888e-01
[7484,] 2683 2683 1.453578e+00
[7485,] 2684 619 -7.267888e-01
[7486,] 2684 755 -7.267888e-01
[7487,] 2684 2684 1.453578e+00
[7488,] 2685 619 -7.267888e-01
[7489,] 2685 755 -7.267888e-01
[7490,] 2685 2685 1.453578e+00
[7491,] 2686 619 -7.267888e-01
[7492,] 2686 755 -7.267888e-01
[7493,] 2686 2686 1.453578e+00
[7494,] 2687 619 -7.267888e-01
[7495,] 2687 755 -7.267888e-01
[7496,] 2687 2687 1.453578e+00
[7497,] 2688 619 -7.267888e-01
[7498,] 2688 755 -7.267888e-01
[7499,] 2688 2688 1.453578e+00
[7500,] 2689 619 -7.267888e-01
[7501,] 2689 755 -7.267888e-01
[7502,] 2689 2689 1.453578e+00
[7503,] 2690 619 -7.267888e-01
[7504,] 2690 755 -7.267888e-01
[7505,] 2690 2690 1.453578e+00
[7506,] 2691 619 -7.267888e-01
[7507,] 2691 755 -7.267888e-01
[7508,] 2691 2691 1.453578e+00
[7509,] 2692 619 -7.267888e-01
[7510,] 2692 755 -7.267888e-01
[7511,] 2692 2692 1.453578e+00
[7512,] 2693 619 -7.267888e-01
[7513,] 2693 755 -7.267888e-01
[7514,] 2693 2693 1.453578e+00
[7515,] 2694 619 -7.267888e-01
[7516,] 2694 755 -7.267888e-01
[7517,] 2694 2694 1.453578e+00
[7518,] 2695 619 -7.267888e-01
[7519,] 2695 755 -7.267888e-01
[7520,] 2695 2695 1.453578e+00
[7521,] 2696 619 -7.267888e-01
[7522,] 2696 755 -7.267888e-01
[7523,] 2696 2696 1.453578e+00
[7524,] 2697 619 -7.267888e-01
[7525,] 2697 755 -7.267888e-01
[7526,] 2697 2697 1.453578e+00
[7527,] 2698 619 -7.267888e-01
[7528,] 2698 755 -7.267888e-01
[7529,] 2698 2698 1.453578e+00
[7530,] 2699 619 -7.267888e-01
[7531,] 2699 755 -7.267888e-01
[7532,] 2699 2699 1.453578e+00
[7533,] 2700 619 -7.267888e-01
[7534,] 2700 755 -7.267888e-01
[7535,] 2700 2700 1.453578e+00
[7536,] 2701 619 -7.267888e-01
[7537,] 2701 755 -7.267888e-01
[7538,] 2701 2701 1.453578e+00
[7539,] 2702 619 -7.267888e-01
[7540,] 2702 755 -7.267888e-01
[7541,] 2702 2702 1.453578e+00
[7542,] 2703 619 -7.267888e-01
[7543,] 2703 755 -7.267888e-01
[7544,] 2703 2703 1.453578e+00
[7545,] 2704 619 -7.267888e-01
[7546,] 2704 755 -7.267888e-01
[7547,] 2704 2704 1.453578e+00
[7548,] 2705 619 -7.267888e-01
[7549,] 2705 755 -7.267888e-01
[7550,] 2705 2705 1.453578e+00
[7551,] 2706 619 -7.267888e-01
[7552,] 2706 755 -7.267888e-01
[7553,] 2706 2706 1.453578e+00
[7554,] 2707 619 -7.267888e-01
[7555,] 2707 755 -7.267888e-01
[7556,] 2707 2707 1.453578e+00
[7557,] 2708 619 -7.267888e-01
[7558,] 2708 755 -7.267888e-01
[7559,] 2708 2708 1.453578e+00
[7560,] 2709 619 -7.267888e-01
[7561,] 2709 755 -7.267888e-01
[7562,] 2709 2709 1.453578e+00
[7563,] 2710 619 -7.267888e-01
[7564,] 2710 755 -7.267888e-01
[7565,] 2710 2710 1.453578e+00
[7566,] 2711 619 -7.267888e-01
[7567,] 2711 755 -7.267888e-01
[7568,] 2711 2711 1.453578e+00
[7569,] 2712 619 -7.267888e-01
[7570,] 2712 755 -7.267888e-01
[7571,] 2712 2712 1.453578e+00
[7572,] 2713 619 -7.267888e-01
[7573,] 2713 755 -7.267888e-01
[7574,] 2713 2713 1.453578e+00
[7575,] 2714 619 -7.267888e-01
[7576,] 2714 755 -7.267888e-01
[7577,] 2714 2714 1.453578e+00
[7578,] 2715 619 -7.267888e-01
[7579,] 2715 755 -7.267888e-01
[7580,] 2715 2715 1.453578e+00
[7581,] 2716 619 -7.267888e-01
[7582,] 2716 755 -7.267888e-01
[7583,] 2716 2716 1.453578e+00
[7584,] 2717 619 -7.267888e-01
[7585,] 2717 755 -7.267888e-01
[7586,] 2717 2717 1.453578e+00
[7587,] 2718 619 -7.267888e-01
[7588,] 2718 755 -7.267888e-01
[7589,] 2718 2718 1.453578e+00
[7590,] 2719 619 -7.267888e-01
[7591,] 2719 755 -7.267888e-01
[7592,] 2719 2719 1.453578e+00
[7593,] 2720 619 -7.267888e-01
[7594,] 2720 755 -7.267888e-01
[7595,] 2720 2720 1.453578e+00
[7596,] 2721 619 -7.267888e-01
[7597,] 2721 755 -7.267888e-01
[7598,] 2721 2721 1.453578e+00
[7599,] 2722 619 -7.267888e-01
[7600,] 2722 755 -7.267888e-01
[7601,] 2722 2722 1.453578e+00
[7602,] 2723 619 -7.267888e-01
[7603,] 2723 755 -7.267888e-01
[7604,] 2723 2723 1.453578e+00
[7605,] 2724 619 -7.267888e-01
[7606,] 2724 755 -7.267888e-01
[7607,] 2724 2724 1.453578e+00
[7608,] 2725 619 -7.267888e-01
[7609,] 2725 755 -7.267888e-01
[7610,] 2725 2725 1.453578e+00
[7611,] 2726 619 -7.267888e-01
[7612,] 2726 755 -7.267888e-01
[7613,] 2726 2726 1.453578e+00
[7614,] 2727 619 -7.267888e-01
[7615,] 2727 755 -7.267888e-01
[7616,] 2727 2727 1.453578e+00
[7617,] 2728 619 -7.267888e-01
[7618,] 2728 755 -7.267888e-01
[7619,] 2728 2728 1.453578e+00
[7620,] 2729 619 -7.267888e-01
[7621,] 2729 755 -7.267888e-01
[7622,] 2729 2729 1.453578e+00
[7623,] 2730 619 -7.267888e-01
[7624,] 2730 755 -7.267888e-01
[7625,] 2730 2730 1.453578e+00
[7626,] 2731 619 -7.267888e-01
[7627,] 2731 755 -7.267888e-01
[7628,] 2731 2731 1.453578e+00
[7629,] 2732 619 -7.267888e-01
[7630,] 2732 755 -7.267888e-01
[7631,] 2732 2732 1.453578e+00
[7632,] 2733 619 -7.267888e-01
[7633,] 2733 755 -7.267888e-01
[7634,] 2733 2733 1.453578e+00
[7635,] 2734 619 -7.267888e-01
[7636,] 2734 755 -7.267888e-01
[7637,] 2734 2734 1.453578e+00
[7638,] 2735 619 -7.267888e-01
[7639,] 2735 755 -7.267888e-01
[7640,] 2735 2735 1.453578e+00
[7641,] 2736 619 -7.267888e-01
[7642,] 2736 755 -7.267888e-01
[7643,] 2736 2736 1.453578e+00
[7644,] 2737 619 -7.267888e-01
[7645,] 2737 756 -7.267888e-01
[7646,] 2737 2737 1.453578e+00
[7647,] 2738 619 -7.267888e-01
[7648,] 2738 756 -7.267888e-01
[7649,] 2738 2738 1.453578e+00
[7650,] 2739 619 -7.267888e-01
[7651,] 2739 756 -7.267888e-01
[7652,] 2739 2739 1.453578e+00
[7653,] 2740 619 -7.267888e-01
[7654,] 2740 756 -7.267888e-01
[7655,] 2740 2740 1.453578e+00
[7656,] 2741 619 -7.267888e-01
[7657,] 2741 756 -7.267888e-01
[7658,] 2741 2741 1.453578e+00
[7659,] 2742 619 -7.267888e-01
[7660,] 2742 756 -7.267888e-01
[7661,] 2742 2742 1.453578e+00
[7662,] 2743 619 -7.267888e-01
[7663,] 2743 756 -7.267888e-01
[7664,] 2743 2743 1.453578e+00
[7665,] 2744 619 -7.267888e-01
[7666,] 2744 756 -7.267888e-01
[7667,] 2744 2744 1.453578e+00
[7668,] 2745 619 -7.267888e-01
[7669,] 2745 756 -7.267888e-01
[7670,] 2745 2745 1.453578e+00
[7671,] 2746 619 -7.267888e-01
[7672,] 2746 756 -7.267888e-01
[7673,] 2746 2746 1.453578e+00
[7674,] 2747 619 -7.267888e-01
[7675,] 2747 756 -7.267888e-01
[7676,] 2747 2747 1.453578e+00
[7677,] 2748 619 -7.267888e-01
[7678,] 2748 756 -7.267888e-01
[7679,] 2748 2748 1.453578e+00
[7680,] 2749 619 -7.267888e-01
[7681,] 2749 756 -7.267888e-01
[7682,] 2749 2749 1.453578e+00
[7683,] 2750 619 -7.267888e-01
[7684,] 2750 756 -7.267888e-01
[7685,] 2750 2750 1.453578e+00
[7686,] 2751 619 -7.267888e-01
[7687,] 2751 756 -7.267888e-01
[7688,] 2751 2751 1.453578e+00
[7689,] 2752 619 -7.267888e-01
[7690,] 2752 756 -7.267888e-01
[7691,] 2752 2752 1.453578e+00
[7692,] 2753 153 -4.443962e-01
[7693,] 2753 614 -4.443962e-01
[7694,] 2753 2753 8.887924e-01
[7695,] 2754 153 -4.443962e-01
[7696,] 2754 614 -4.443962e-01
[7697,] 2754 2754 8.887924e-01
[7698,] 2755 153 -4.443962e-01
[7699,] 2755 614 -4.443962e-01
[7700,] 2755 2755 8.887924e-01
[7701,] 2756 153 -4.443962e-01
[7702,] 2756 614 -4.443962e-01
[7703,] 2756 2756 8.887924e-01
[7704,] 2757 153 -4.443962e-01
[7705,] 2757 614 -4.443962e-01
[7706,] 2757 2757 8.887924e-01
[7707,] 2758 153 -4.443962e-01
[7708,] 2758 614 -4.443962e-01
[7709,] 2758 2758 8.887924e-01
[7710,] 2759 153 -4.443962e-01
[7711,] 2759 614 -4.443962e-01
[7712,] 2759 2759 8.887924e-01
[7713,] 2760 153 -4.443962e-01
[7714,] 2760 614 -4.443962e-01
[7715,] 2760 2760 8.887924e-01
[7716,] 2761 153 -4.443962e-01
[7717,] 2761 614 -4.443962e-01
[7718,] 2761 2761 8.887924e-01
[7719,] 2762 153 -4.443962e-01
[7720,] 2762 614 -4.443962e-01
[7721,] 2762 2762 8.887924e-01
[7722,] 2763 153 -4.443962e-01
[7723,] 2763 614 -4.443962e-01
[7724,] 2763 2763 8.887924e-01
[7725,] 2764 153 -4.443962e-01
[7726,] 2764 614 -4.443962e-01
[7727,] 2764 2764 8.887924e-01
[7728,] 2765 153 -4.443962e-01
[7729,] 2765 614 -4.443962e-01
[7730,] 2765 2765 8.887924e-01
[7731,] 2766 153 -4.443962e-01
[7732,] 2766 614 -4.443962e-01
[7733,] 2766 2766 8.887924e-01
[7734,] 2767 153 -4.443962e-01
[7735,] 2767 614 -4.443962e-01
[7736,] 2767 2767 8.887924e-01
[7737,] 2768 153 -4.443962e-01
[7738,] 2768 614 -4.443962e-01
[7739,] 2768 2768 8.887924e-01
[7740,] 2769 153 -4.443962e-01
[7741,] 2769 614 -4.443962e-01
[7742,] 2769 2769 8.887924e-01
[7743,] 2770 153 -4.443962e-01
[7744,] 2770 614 -4.443962e-01
[7745,] 2770 2770 8.887924e-01
[7746,] 2771 153 -4.443962e-01
[7747,] 2771 614 -4.443962e-01
[7748,] 2771 2771 8.887924e-01
[7749,] 2772 153 -4.443962e-01
[7750,] 2772 614 -4.443962e-01
[7751,] 2772 2772 8.887924e-01
[7752,] 2773 153 -4.443962e-01
[7753,] 2773 614 -4.443962e-01
[7754,] 2773 2773 8.887924e-01
[7755,] 2774 153 -4.443962e-01
[7756,] 2774 614 -4.443962e-01
[7757,] 2774 2774 8.887924e-01
[7758,] 2775 153 -4.443962e-01
[7759,] 2775 614 -4.443962e-01
[7760,] 2775 2775 8.887924e-01
[7761,] 2776 153 -4.443962e-01
[7762,] 2776 614 -4.443962e-01
[7763,] 2776 2776 8.887924e-01
[7764,] 2777 153 -4.443962e-01
[7765,] 2777 614 -4.443962e-01
[7766,] 2777 2777 8.887924e-01
[7767,] 2778 153 -4.443962e-01
[7768,] 2778 614 -4.443962e-01
[7769,] 2778 2778 8.887924e-01
[7770,] 2779 153 -4.443962e-01
[7771,] 2779 614 -4.443962e-01
[7772,] 2779 2779 8.887924e-01
[7773,] 2780 153 -4.443962e-01
[7774,] 2780 614 -4.443962e-01
[7775,] 2780 2780 8.887924e-01
[7776,] 2781 153 -4.443962e-01
[7777,] 2781 614 -4.443962e-01
[7778,] 2781 2781 8.887924e-01
[7779,] 2782 153 -4.443962e-01
[7780,] 2782 614 -4.443962e-01
[7781,] 2782 2782 8.887924e-01
[7782,] 2783 153 -4.443962e-01
[7783,] 2783 614 -4.443962e-01
[7784,] 2783 2783 8.887924e-01
[7785,] 2784 153 -4.443962e-01
[7786,] 2784 614 -4.443962e-01
[7787,] 2784 2784 8.887924e-01
[7788,] 2785 153 -4.443962e-01
[7789,] 2785 614 -4.443962e-01
[7790,] 2785 2785 8.887924e-01
[7791,] 2786 153 -4.443962e-01
[7792,] 2786 614 -4.443962e-01
[7793,] 2786 2786 8.887924e-01
[7794,] 2787 153 -4.443962e-01
[7795,] 2787 614 -4.443962e-01
[7796,] 2787 2787 8.887924e-01
[7797,] 2788 153 -4.443962e-01
[7798,] 2788 614 -4.443962e-01
[7799,] 2788 2788 8.887924e-01
[7800,] 2789 153 -4.443962e-01
[7801,] 2789 614 -4.443962e-01
[7802,] 2789 2789 8.887924e-01
[7803,] 2790 153 -4.443962e-01
[7804,] 2790 614 -4.443962e-01
[7805,] 2790 2790 8.887924e-01
[7806,] 2791 153 -4.443962e-01
[7807,] 2791 614 -4.443962e-01
[7808,] 2791 2791 8.887924e-01
[7809,] 2792 153 -4.443962e-01
[7810,] 2792 614 -4.443962e-01
[7811,] 2792 2792 8.887924e-01
[7812,] 2793 153 -4.443962e-01
[7813,] 2793 614 -4.443962e-01
[7814,] 2793 2793 8.887924e-01
[7815,] 2794 153 -4.443962e-01
[7816,] 2794 614 -4.443962e-01
[7817,] 2794 2794 8.887924e-01
[7818,] 2795 153 -4.443962e-01
[7819,] 2795 614 -4.443962e-01
[7820,] 2795 2795 8.887924e-01
[7821,] 2796 153 -4.443962e-01
[7822,] 2796 614 -4.443962e-01
[7823,] 2796 2796 8.887924e-01
[7824,] 2797 153 -4.443962e-01
[7825,] 2797 614 -4.443962e-01
[7826,] 2797 2797 8.887924e-01
[7827,] 2798 153 -4.443962e-01
[7828,] 2798 614 -4.443962e-01
[7829,] 2798 2798 8.887924e-01
[7830,] 2799 153 -4.443962e-01
[7831,] 2799 614 -4.443962e-01
[7832,] 2799 2799 8.887924e-01
[7833,] 2800 153 -4.443962e-01
[7834,] 2800 614 -4.443962e-01
[7835,] 2800 2800 8.887924e-01
[7836,] 2801 153 -4.443962e-01
[7837,] 2801 614 -4.443962e-01
[7838,] 2801 2801 8.887924e-01
[7839,] 2802 153 -4.443962e-01
[7840,] 2802 614 -4.443962e-01
[7841,] 2802 2802 8.887924e-01
[7842,] 2803 153 -4.443962e-01
[7843,] 2803 614 -4.443962e-01
[7844,] 2803 2803 8.887924e-01
[7845,] 2804 153 -4.443962e-01
[7846,] 2804 614 -4.443962e-01
[7847,] 2804 2804 8.887924e-01
[7848,] 2805 153 -4.443962e-01
[7849,] 2805 614 -4.443962e-01
[7850,] 2805 2805 8.887924e-01
[7851,] 2806 153 -4.443962e-01
[7852,] 2806 614 -4.443962e-01
[7853,] 2806 2806 8.887924e-01
[7854,] 2807 153 -4.443962e-01
[7855,] 2807 614 -4.443962e-01
[7856,] 2807 2807 8.887924e-01
[7857,] 2808 153 -4.443962e-01
[7858,] 2808 614 -4.443962e-01
[7859,] 2808 2808 8.887924e-01
[7860,] 2809 153 -4.443962e-01
[7861,] 2809 614 -4.443962e-01
[7862,] 2809 2809 8.887924e-01
[7863,] 2810 153 -4.443962e-01
[7864,] 2810 614 -4.443962e-01
[7865,] 2810 2810 8.887924e-01
[7866,] 2811 153 -4.443962e-01
[7867,] 2811 614 -4.443962e-01
[7868,] 2811 2811 8.887924e-01
[7869,] 2812 153 -4.443962e-01
[7870,] 2812 614 -4.443962e-01
[7871,] 2812 2812 8.887924e-01
[7872,] 2813 153 -4.443962e-01
[7873,] 2813 614 -4.443962e-01
[7874,] 2813 2813 8.887924e-01
[7875,] 2814 153 -4.443962e-01
[7876,] 2814 614 -4.443962e-01
[7877,] 2814 2814 8.887924e-01
[7878,] 2815 153 -4.443962e-01
[7879,] 2815 614 -4.443962e-01
[7880,] 2815 2815 8.887924e-01
[7881,] 2816 153 -4.443962e-01
[7882,] 2816 614 -4.443962e-01
[7883,] 2816 2816 8.887924e-01
[7884,] 2817 153 -4.443962e-01
[7885,] 2817 614 -4.443962e-01
[7886,] 2817 2817 8.887924e-01
[7887,] 2818 153 -4.443962e-01
[7888,] 2818 614 -4.443962e-01
[7889,] 2818 2818 8.887924e-01
[7890,] 2819 153 -4.443962e-01
[7891,] 2819 614 -4.443962e-01
[7892,] 2819 2819 8.887924e-01
[7893,] 2820 153 -4.443962e-01
[7894,] 2820 614 -4.443962e-01
[7895,] 2820 2820 8.887924e-01
[7896,] 2821 153 -4.443962e-01
[7897,] 2821 614 -4.443962e-01
[7898,] 2821 2821 8.887924e-01
[7899,] 2822 153 -4.443962e-01
[7900,] 2822 614 -4.443962e-01
[7901,] 2822 2822 8.887924e-01
[7902,] 2823 153 -4.443962e-01
[7903,] 2823 614 -4.443962e-01
[7904,] 2823 2823 8.887924e-01
[7905,] 2824 153 -4.443962e-01
[7906,] 2824 614 -4.443962e-01
[7907,] 2824 2824 8.887924e-01
[7908,] 2825 153 -4.443962e-01
[7909,] 2825 614 -4.443962e-01
[7910,] 2825 2825 8.887924e-01
[7911,] 2826 153 -4.443962e-01
[7912,] 2826 614 -4.443962e-01
[7913,] 2826 2826 8.887924e-01
[7914,] 2827 153 -4.443962e-01
[7915,] 2827 614 -4.443962e-01
[7916,] 2827 2827 8.887924e-01
[7917,] 2828 153 -4.443962e-01
[7918,] 2828 614 -4.443962e-01
[7919,] 2828 2828 8.887924e-01
[7920,] 2829 614 -4.443962e-01
[7921,] 2829 757 -4.443962e-01
[7922,] 2829 2829 8.887924e-01
[7923,] 2830 614 -4.443962e-01
[7924,] 2830 757 -4.443962e-01
[7925,] 2830 2830 8.887924e-01
[7926,] 2831 614 -4.443962e-01
[7927,] 2831 757 -4.443962e-01
[7928,] 2831 2831 8.887924e-01
[7929,] 2832 614 -4.443962e-01
[7930,] 2832 757 -4.443962e-01
[7931,] 2832 2832 8.887924e-01
[7932,] 2833 614 -4.443962e-01
[7933,] 2833 757 -4.443962e-01
[7934,] 2833 2833 8.887924e-01
[7935,] 2834 614 -4.443962e-01
[7936,] 2834 757 -4.443962e-01
[7937,] 2834 2834 8.887924e-01
[7938,] 2835 614 -4.443962e-01
[7939,] 2835 757 -4.443962e-01
[7940,] 2835 2835 8.887924e-01
[7941,] 2836 614 -4.443962e-01
[7942,] 2836 757 -4.443962e-01
[7943,] 2836 2836 8.887924e-01
[7944,] 2837 614 -4.443962e-01
[7945,] 2837 757 -4.443962e-01
[7946,] 2837 2837 8.887924e-01
[7947,] 2838 614 -4.443962e-01
[7948,] 2838 757 -4.443962e-01
[7949,] 2838 2838 8.887924e-01
[7950,] 2839 614 -4.443962e-01
[7951,] 2839 757 -4.443962e-01
[7952,] 2839 2839 8.887924e-01
[7953,] 2840 614 -4.443962e-01
[7954,] 2840 757 -4.443962e-01
[7955,] 2840 2840 8.887924e-01
[7956,] 2841 614 -4.443962e-01
[7957,] 2841 757 -4.443962e-01
[7958,] 2841 2841 8.887924e-01
[7959,] 2842 614 -4.443962e-01
[7960,] 2842 757 -4.443962e-01
[7961,] 2842 2842 8.887924e-01
[7962,] 2843 614 -4.443962e-01
[7963,] 2843 757 -4.443962e-01
[7964,] 2843 2843 8.887924e-01
[7965,] 2844 614 -4.443962e-01
[7966,] 2844 757 -4.443962e-01
[7967,] 2844 2844 8.887924e-01
[7968,] 2845 614 -4.443962e-01
[7969,] 2845 757 -4.443962e-01
[7970,] 2845 2845 8.887924e-01
[7971,] 2846 614 -4.443962e-01
[7972,] 2846 757 -4.443962e-01
[7973,] 2846 2846 8.887924e-01
[7974,] 2847 614 -4.443962e-01
[7975,] 2847 757 -4.443962e-01
[7976,] 2847 2847 8.887924e-01
[7977,] 2848 614 -4.443962e-01
[7978,] 2848 757 -4.443962e-01
[7979,] 2848 2848 8.887924e-01
[7980,] 2849 614 -4.443962e-01
[7981,] 2849 757 -4.443962e-01
[7982,] 2849 2849 8.887924e-01
[7983,] 2850 614 -4.443962e-01
[7984,] 2850 757 -4.443962e-01
[7985,] 2850 2850 8.887924e-01
[7986,] 2851 614 -4.443962e-01
[7987,] 2851 757 -4.443962e-01
[7988,] 2851 2851 8.887924e-01
[7989,] 2852 614 -4.443962e-01
[7990,] 2852 757 -4.443962e-01
[7991,] 2852 2852 8.887924e-01
[7992,] 2853 614 -4.443962e-01
[7993,] 2853 757 -4.443962e-01
[7994,] 2853 2853 8.887924e-01
[7995,] 2854 614 -4.443962e-01
[7996,] 2854 757 -4.443962e-01
[7997,] 2854 2854 8.887924e-01
[7998,] 2855 614 -4.443962e-01
[7999,] 2855 757 -4.443962e-01
[8000,] 2855 2855 8.887924e-01
[8001,] 2856 614 -4.443962e-01
[8002,] 2856 757 -4.443962e-01
[8003,] 2856 2856 8.887924e-01
[8004,] 2857 614 -4.443962e-01
[8005,] 2857 757 -4.443962e-01
[8006,] 2857 2857 8.887924e-01
[8007,] 2858 614 -4.443962e-01
[8008,] 2858 757 -4.443962e-01
[8009,] 2858 2858 8.887924e-01
[8010,] 2859 62 -3.636364e-01
[8011,] 2859 757 -3.636364e-01
[8012,] 2859 2859 7.272727e-01
[8013,] 2860 154 -4.443962e-01
[8014,] 2860 614 -4.443962e-01
[8015,] 2860 2860 8.887924e-01
[8016,] 2861 154 -4.443962e-01
[8017,] 2861 614 -4.443962e-01
[8018,] 2861 2861 8.887924e-01
[8019,] 2862 154 -4.443962e-01
[8020,] 2862 614 -4.443962e-01
[8021,] 2862 2862 8.887924e-01
[8022,] 2863 154 -4.443962e-01
[8023,] 2863 614 -4.443962e-01
[8024,] 2863 2863 8.887924e-01
[8025,] 2864 154 -4.443480e-01
[8026,] 2864 619 -4.443480e-01
[8027,] 2864 2864 8.886960e-01
[8028,] 2865 154 -4.443480e-01
[8029,] 2865 619 -4.443480e-01
[8030,] 2865 2865 8.886960e-01
[8031,] 2866 154 -4.443480e-01
[8032,] 2866 619 -4.443480e-01
[8033,] 2866 2866 8.886960e-01
[8034,] 2867 154 -4.443480e-01
[8035,] 2867 619 -4.443480e-01
[8036,] 2867 2867 8.886960e-01
[8037,] 2868 154 -4.443480e-01
[8038,] 2868 619 -4.443480e-01
[8039,] 2868 2868 8.886960e-01
[8040,] 2869 154 -4.443480e-01
[8041,] 2869 619 -4.443480e-01
[8042,] 2869 2869 8.886960e-01
[8043,] 2870 154 -4.443480e-01
[8044,] 2870 619 -4.443480e-01
[8045,] 2870 2870 8.886960e-01
[8046,] 2871 154 -4.443480e-01
[8047,] 2871 619 -4.443480e-01
[8048,] 2871 2871 8.886960e-01
[8049,] 2872 154 -4.443480e-01
[8050,] 2872 619 -4.443480e-01
[8051,] 2872 2872 8.886960e-01
[8052,] 2873 154 -4.443480e-01
[8053,] 2873 619 -4.443480e-01
[8054,] 2873 2873 8.886960e-01
[8055,] 2874 154 -4.443480e-01
[8056,] 2874 619 -4.443480e-01
[8057,] 2874 2874 8.886960e-01
[8058,] 2875 154 -4.443480e-01
[8059,] 2875 619 -4.443480e-01
[8060,] 2875 2875 8.886960e-01
[8061,] 2876 154 -4.443480e-01
[8062,] 2876 619 -4.443480e-01
[8063,] 2876 2876 8.886960e-01
[8064,] 2877 154 -4.443480e-01
[8065,] 2877 619 -4.443480e-01
[8066,] 2877 2877 8.886960e-01
[8067,] 2878 154 -4.443480e-01
[8068,] 2878 619 -4.443480e-01
[8069,] 2878 2878 8.886960e-01
[8070,] 2879 154 -4.443480e-01
[8071,] 2879 619 -4.443480e-01
[8072,] 2879 2879 8.886960e-01
[8073,] 2880 154 -4.443480e-01
[8074,] 2880 619 -4.443480e-01
[8075,] 2880 2880 8.886960e-01
[8076,] 2881 154 -4.443480e-01
[8077,] 2881 619 -4.443480e-01
[8078,] 2881 2881 8.886960e-01
[8079,] 2882 154 -4.443480e-01
[8080,] 2882 619 -4.443480e-01
[8081,] 2882 2882 8.886960e-01
[8082,] 2883 154 -4.443480e-01
[8083,] 2883 619 -4.443480e-01
[8084,] 2883 2883 8.886960e-01
[8085,] 2884 154 -4.443480e-01
[8086,] 2884 619 -4.443480e-01
[8087,] 2884 2884 8.886960e-01
[8088,] 2885 154 -4.443480e-01
[8089,] 2885 619 -4.443480e-01
[8090,] 2885 2885 8.886960e-01
[8091,] 2886 154 -4.443480e-01
[8092,] 2886 619 -4.443480e-01
[8093,] 2886 2886 8.886960e-01
[8094,] 2887 154 -4.443480e-01
[8095,] 2887 619 -4.443480e-01
[8096,] 2887 2887 8.886960e-01
[8097,] 2888 54 -3.636364e-01
[8098,] 2888 154 -3.636364e-01
[8099,] 2888 2888 7.272727e-01
[8100,] 2889 154 -4.383562e-01
[8101,] 2889 651 -4.383562e-01
[8102,] 2889 2889 8.767123e-01
[8103,] 2890 154 -4.383562e-01
[8104,] 2890 651 -4.383562e-01
[8105,] 2890 2890 8.767123e-01
[8106,] 2891 154 -4.383562e-01
[8107,] 2891 651 -4.383562e-01
[8108,] 2891 2891 8.767123e-01
[8109,] 2892 155 -4.443962e-01
[8110,] 2892 614 -4.443962e-01
[8111,] 2892 2892 8.887924e-01
[8112,] 2893 155 -4.443962e-01
[8113,] 2893 614 -4.443962e-01
[8114,] 2893 2893 8.887924e-01
[8115,] 2894 155 -4.443962e-01
[8116,] 2894 614 -4.443962e-01
[8117,] 2894 2894 8.887924e-01
[8118,] 2895 155 -4.443962e-01
[8119,] 2895 614 -4.443962e-01
[8120,] 2895 2895 8.887924e-01
[8121,] 2896 155 -4.443962e-01
[8122,] 2896 614 -4.443962e-01
[8123,] 2896 2896 8.887924e-01
[8124,] 2897 155 -4.443962e-01
[8125,] 2897 614 -4.443962e-01
[8126,] 2897 2897 8.887924e-01
[8127,] 2898 155 -4.443962e-01
[8128,] 2898 614 -4.443962e-01
[8129,] 2898 2898 8.887924e-01
[8130,] 2899 155 -4.443962e-01
[8131,] 2899 614 -4.443962e-01
[8132,] 2899 2899 8.887924e-01
[8133,] 2900 155 -4.443962e-01
[8134,] 2900 614 -4.443962e-01
[8135,] 2900 2900 8.887924e-01
[8136,] 2901 155 -4.443962e-01
[8137,] 2901 614 -4.443962e-01
[8138,] 2901 2901 8.887924e-01
[8139,] 2902 155 -4.443962e-01
[8140,] 2902 614 -4.443962e-01
[8141,] 2902 2902 8.887924e-01
[8142,] 2903 155 -4.443962e-01
[8143,] 2903 614 -4.443962e-01
[8144,] 2903 2903 8.887924e-01
[8145,] 2904 155 -4.443962e-01
[8146,] 2904 614 -4.443962e-01
[8147,] 2904 2904 8.887924e-01
[8148,] 2905 155 -4.443962e-01
[8149,] 2905 614 -4.443962e-01
[8150,] 2905 2905 8.887924e-01
[8151,] 2906 155 -4.443962e-01
[8152,] 2906 614 -4.443962e-01
[8153,] 2906 2906 8.887924e-01
[8154,] 2907 155 -4.443962e-01
[8155,] 2907 614 -4.443962e-01
[8156,] 2907 2907 8.887924e-01
[8157,] 2908 155 -4.443962e-01
[8158,] 2908 614 -4.443962e-01
[8159,] 2908 2908 8.887924e-01
[8160,] 2909 155 -4.443962e-01
[8161,] 2909 614 -4.443962e-01
[8162,] 2909 2909 8.887924e-01
[8163,] 2910 155 -4.443962e-01
[8164,] 2910 614 -4.443962e-01
[8165,] 2910 2910 8.887924e-01
[8166,] 2911 155 -4.443962e-01
[8167,] 2911 614 -4.443962e-01
[8168,] 2911 2911 8.887924e-01
[8169,] 2912 155 -4.443962e-01
[8170,] 2912 614 -4.443962e-01
[8171,] 2912 2912 8.887924e-01
[8172,] 2913 155 -4.443962e-01
[8173,] 2913 614 -4.443962e-01
[8174,] 2913 2913 8.887924e-01
[8175,] 2914 155 -4.443962e-01
[8176,] 2914 614 -4.443962e-01
[8177,] 2914 2914 8.887924e-01
[8178,] 2915 155 -4.443962e-01
[8179,] 2915 614 -4.443962e-01
[8180,] 2915 2915 8.887924e-01
[8181,] 2916 155 -4.443962e-01
[8182,] 2916 614 -4.443962e-01
[8183,] 2916 2916 8.887924e-01
[8184,] 2917 155 -4.443962e-01
[8185,] 2917 614 -4.443962e-01
[8186,] 2917 2917 8.887924e-01
[8187,] 2918 155 -4.443962e-01
[8188,] 2918 614 -4.443962e-01
[8189,] 2918 2918 8.887924e-01
[8190,] 2919 155 -4.443962e-01
[8191,] 2919 614 -4.443962e-01
[8192,] 2919 2919 8.887924e-01
[8193,] 2920 614 -7.270307e-01
[8194,] 2920 759 -7.270307e-01
[8195,] 2920 2920 1.454061e+00
[8196,] 2921 614 -7.270307e-01
[8197,] 2921 759 -7.270307e-01
[8198,] 2921 2921 1.454061e+00
[8199,] 2922 614 -7.270307e-01
[8200,] 2922 759 -7.270307e-01
[8201,] 2922 2922 1.454061e+00
[8202,] 2923 614 -7.270307e-01
[8203,] 2923 759 -7.270307e-01
[8204,] 2923 2923 1.454061e+00
[8205,] 2924 614 -7.270307e-01
[8206,] 2924 759 -7.270307e-01
[8207,] 2924 2924 1.454061e+00
[8208,] 2925 614 -7.270307e-01
[8209,] 2925 759 -7.270307e-01
[8210,] 2925 2925 1.454061e+00
[8211,] 2926 614 -7.270307e-01
[8212,] 2926 759 -7.270307e-01
[8213,] 2926 2926 1.454061e+00
[8214,] 2927 614 -7.270307e-01
[8215,] 2927 759 -7.270307e-01
[8216,] 2927 2927 1.454061e+00
[8217,] 2928 614 -7.270307e-01
[8218,] 2928 759 -7.270307e-01
[8219,] 2928 2928 1.454061e+00
[8220,] 2929 614 -7.270307e-01
[8221,] 2929 759 -7.270307e-01
[8222,] 2929 2929 1.454061e+00
[8223,] 2930 614 -7.270307e-01
[8224,] 2930 759 -7.270307e-01
[8225,] 2930 2930 1.454061e+00
[8226,] 2931 614 -7.270307e-01
[8227,] 2931 759 -7.270307e-01
[8228,] 2931 2931 1.454061e+00
[8229,] 2932 614 -7.270307e-01
[8230,] 2932 759 -7.270307e-01
[8231,] 2932 2932 1.454061e+00
[8232,] 2933 614 -7.270307e-01
[8233,] 2933 759 -7.270307e-01
[8234,] 2933 2933 1.454061e+00
[8235,] 2934 614 -7.270307e-01
[8236,] 2934 759 -7.270307e-01
[8237,] 2934 2934 1.454061e+00
[8238,] 2935 614 -7.270307e-01
[8239,] 2935 759 -7.270307e-01
[8240,] 2935 2935 1.454061e+00
[8241,] 2936 614 -7.270307e-01
[8242,] 2936 759 -7.270307e-01
[8243,] 2936 2936 1.454061e+00
[8244,] 2937 614 -7.270307e-01
[8245,] 2937 759 -7.270307e-01
[8246,] 2937 2937 1.454061e+00
[8247,] 2938 614 -7.270307e-01
[8248,] 2938 759 -7.270307e-01
[8249,] 2938 2938 1.454061e+00
[8250,] 2939 614 -7.270307e-01
[8251,] 2939 759 -7.270307e-01
[8252,] 2939 2939 1.454061e+00
[8253,] 2940 614 -7.270307e-01
[8254,] 2940 759 -7.270307e-01
[8255,] 2940 2940 1.454061e+00
[8256,] 2941 614 -7.270307e-01
[8257,] 2941 759 -7.270307e-01
[8258,] 2941 2941 1.454061e+00
[8259,] 2942 614 -7.270307e-01
[8260,] 2942 759 -7.270307e-01
[8261,] 2942 2942 1.454061e+00
[8262,] 2943 614 -7.270307e-01
[8263,] 2943 759 -7.270307e-01
[8264,] 2943 2943 1.454061e+00
[8265,] 2944 614 -7.270307e-01
[8266,] 2944 759 -7.270307e-01
[8267,] 2944 2944 1.454061e+00
[8268,] 2945 614 -7.270307e-01
[8269,] 2945 759 -7.270307e-01
[8270,] 2945 2945 1.454061e+00
[8271,] 2946 614 -7.270307e-01
[8272,] 2946 759 -7.270307e-01
[8273,] 2946 2946 1.454061e+00
[8274,] 2947 614 -7.270307e-01
[8275,] 2947 759 -7.270307e-01
[8276,] 2947 2947 1.454061e+00
[8277,] 2948 614 -7.270307e-01
[8278,] 2948 759 -7.270307e-01
[8279,] 2948 2948 1.454061e+00
[8280,] 2949 614 -7.270307e-01
[8281,] 2949 759 -7.270307e-01
[8282,] 2949 2949 1.454061e+00
[8283,] 2950 614 -7.270307e-01
[8284,] 2950 759 -7.270307e-01
[8285,] 2950 2950 1.454061e+00
[8286,] 2951 614 -7.270307e-01
[8287,] 2951 759 -7.270307e-01
[8288,] 2951 2951 1.454061e+00
[8289,] 2952 614 -7.270307e-01
[8290,] 2952 759 -7.270307e-01
[8291,] 2952 2952 1.454061e+00
[8292,] 2953 614 -7.270307e-01
[8293,] 2953 759 -7.270307e-01
[8294,] 2953 2953 1.454061e+00
[8295,] 2954 614 -7.270307e-01
[8296,] 2954 759 -7.270307e-01
[8297,] 2954 2954 1.454061e+00
[8298,] 2955 614 -7.270307e-01
[8299,] 2955 759 -7.270307e-01
[8300,] 2955 2955 1.454061e+00
[8301,] 2956 614 -7.270307e-01
[8302,] 2956 759 -7.270307e-01
[8303,] 2956 2956 1.454061e+00
[8304,] 2957 614 -7.270307e-01
[8305,] 2957 759 -7.270307e-01
[8306,] 2957 2957 1.454061e+00
[8307,] 2958 614 -7.270307e-01
[8308,] 2958 759 -7.270307e-01
[8309,] 2958 2958 1.454061e+00
[8310,] 2959 614 -7.270307e-01
[8311,] 2959 759 -7.270307e-01
[8312,] 2959 2959 1.454061e+00
[8313,] 2960 614 -7.270307e-01
[8314,] 2960 759 -7.270307e-01
[8315,] 2960 2960 1.454061e+00
[8316,] 2961 614 -7.270307e-01
[8317,] 2961 759 -7.270307e-01
[8318,] 2961 2961 1.454061e+00
[8319,] 2962 614 -7.270307e-01
[8320,] 2962 759 -7.270307e-01
[8321,] 2962 2962 1.454061e+00
[8322,] 2963 614 -7.270307e-01
[8323,] 2963 759 -7.270307e-01
[8324,] 2963 2963 1.454061e+00
[8325,] 2964 614 -7.270307e-01
[8326,] 2964 759 -7.270307e-01
[8327,] 2964 2964 1.454061e+00
[8328,] 2965 614 -7.270307e-01
[8329,] 2965 759 -7.270307e-01
[8330,] 2965 2965 1.454061e+00
[8331,] 2966 614 -7.270307e-01
[8332,] 2966 759 -7.270307e-01
[8333,] 2966 2966 1.454061e+00
[8334,] 2967 614 -7.270307e-01
[8335,] 2967 759 -7.270307e-01
[8336,] 2967 2967 1.454061e+00
[8337,] 2968 614 -7.270307e-01
[8338,] 2968 759 -7.270307e-01
[8339,] 2968 2968 1.454061e+00
[8340,] 2969 614 -7.270307e-01
[8341,] 2969 759 -7.270307e-01
[8342,] 2969 2969 1.454061e+00
[8343,] 2970 614 -7.270307e-01
[8344,] 2970 759 -7.270307e-01
[8345,] 2970 2970 1.454061e+00
[8346,] 2971 614 -7.270307e-01
[8347,] 2971 759 -7.270307e-01
[8348,] 2971 2971 1.454061e+00
[8349,] 2972 614 -7.270307e-01
[8350,] 2972 759 -7.270307e-01
[8351,] 2972 2972 1.454061e+00
[8352,] 2973 614 -7.270307e-01
[8353,] 2973 759 -7.270307e-01
[8354,] 2973 2973 1.454061e+00
[8355,] 2974 614 -7.270307e-01
[8356,] 2974 759 -7.270307e-01
[8357,] 2974 2974 1.454061e+00
[8358,] 2975 614 -7.270307e-01
[8359,] 2975 759 -7.270307e-01
[8360,] 2975 2975 1.454061e+00
[8361,] 2976 614 -7.270307e-01
[8362,] 2976 759 -7.270307e-01
[8363,] 2976 2976 1.454061e+00
[8364,] 2977 614 -7.270307e-01
[8365,] 2977 759 -7.270307e-01
[8366,] 2977 2977 1.454061e+00
[8367,] 2978 614 -7.270307e-01
[8368,] 2978 759 -7.270307e-01
[8369,] 2978 2978 1.454061e+00
[8370,] 2979 614 -7.270307e-01
[8371,] 2979 759 -7.270307e-01
[8372,] 2979 2979 1.454061e+00
[8373,] 2980 614 -7.270307e-01
[8374,] 2980 759 -7.270307e-01
[8375,] 2980 2980 1.454061e+00
[8376,] 2981 614 -7.270307e-01
[8377,] 2981 759 -7.270307e-01
[8378,] 2981 2981 1.454061e+00
[8379,] 2982 614 -7.270307e-01
[8380,] 2982 759 -7.270307e-01
[8381,] 2982 2982 1.454061e+00
[8382,] 2983 614 -7.270307e-01
[8383,] 2983 759 -7.270307e-01
[8384,] 2983 2983 1.454061e+00
[8385,] 2984 614 -7.270307e-01
[8386,] 2984 759 -7.270307e-01
[8387,] 2984 2984 1.454061e+00
[8388,] 2985 614 -7.270307e-01
[8389,] 2985 759 -7.270307e-01
[8390,] 2985 2985 1.454061e+00
[8391,] 2986 614 -7.270307e-01
[8392,] 2986 759 -7.270307e-01
[8393,] 2986 2986 1.454061e+00
[8394,] 2987 614 -7.270307e-01
[8395,] 2987 759 -7.270307e-01
[8396,] 2987 2987 1.454061e+00
[8397,] 2988 614 -7.270307e-01
[8398,] 2988 759 -7.270307e-01
[8399,] 2988 2988 1.454061e+00
[8400,] 2989 614 -7.270307e-01
[8401,] 2989 759 -7.270307e-01
[8402,] 2989 2989 1.454061e+00
[8403,] 2990 614 -7.270307e-01
[8404,] 2990 759 -7.270307e-01
[8405,] 2990 2990 1.454061e+00
[8406,] 2991 614 -7.270307e-01
[8407,] 2991 759 -7.270307e-01
[8408,] 2991 2991 1.454061e+00
[8409,] 2992 614 -7.270307e-01
[8410,] 2992 759 -7.270307e-01
[8411,] 2992 2992 1.454061e+00
[8412,] 2993 614 -7.270307e-01
[8413,] 2993 759 -7.270307e-01
[8414,] 2993 2993 1.454061e+00
[8415,] 2994 614 -7.270307e-01
[8416,] 2994 759 -7.270307e-01
[8417,] 2994 2994 1.454061e+00
[8418,] 2995 651 -4.597082e-01
[8419,] 2995 759 -4.597082e-01
[8420,] 2995 2995 9.194164e-01
[8421,] 2996 651 -4.597082e-01
[8422,] 2996 759 -4.597082e-01
[8423,] 2996 2996 9.194164e-01
[8424,] 2997 651 -4.597082e-01
[8425,] 2997 759 -4.597082e-01
[8426,] 2997 2997 9.194164e-01
[8427,] 2998 651 -4.597082e-01
[8428,] 2998 759 -4.597082e-01
[8429,] 2998 2998 9.194164e-01
[8430,] 2999 651 -4.597082e-01
[8431,] 2999 759 -4.597082e-01
[8432,] 2999 2999 9.194164e-01
[8433,] 3000 651 -4.597082e-01
[8434,] 3000 759 -4.597082e-01
[8435,] 3000 3000 9.194164e-01
[8436,] 3001 651 -4.597082e-01
[8437,] 3001 759 -4.597082e-01
[8438,] 3001 3001 9.194164e-01
[8439,] 3002 651 -4.597082e-01
[8440,] 3002 759 -4.597082e-01
[8441,] 3002 3002 9.194164e-01
[8442,] 3003 651 -4.597082e-01
[8443,] 3003 759 -4.597082e-01
[8444,] 3003 3003 9.194164e-01
[8445,] 3004 651 -4.597082e-01
[8446,] 3004 759 -4.597082e-01
[8447,] 3004 3004 9.194164e-01
[8448,] 3005 651 -4.597082e-01
[8449,] 3005 759 -4.597082e-01
[8450,] 3005 3005 9.194164e-01
[8451,] 3006 651 -4.597082e-01
[8452,] 3006 759 -4.597082e-01
[8453,] 3006 3006 9.194164e-01
[8454,] 3007 651 -4.597082e-01
[8455,] 3007 759 -4.597082e-01
[8456,] 3007 3007 9.194164e-01
[8457,] 3008 651 -4.597082e-01
[8458,] 3008 759 -4.597082e-01
[8459,] 3008 3008 9.194164e-01
[8460,] 3009 651 -4.597082e-01
[8461,] 3009 759 -4.597082e-01
[8462,] 3009 3009 9.194164e-01
[8463,] 3010 651 -4.597082e-01
[8464,] 3010 759 -4.597082e-01
[8465,] 3010 3010 9.194164e-01
[8466,] 3011 651 -4.597082e-01
[8467,] 3011 759 -4.597082e-01
[8468,] 3011 3011 9.194164e-01
[8469,] 3012 651 -4.597082e-01
[8470,] 3012 759 -4.597082e-01
[8471,] 3012 3012 9.194164e-01
[8472,] 3013 651 -4.597082e-01
[8473,] 3013 759 -4.597082e-01
[8474,] 3013 3013 9.194164e-01
[8475,] 3014 651 -4.597082e-01
[8476,] 3014 759 -4.597082e-01
[8477,] 3014 3014 9.194164e-01
[8478,] 3015 651 -4.597082e-01
[8479,] 3015 759 -4.597082e-01
[8480,] 3015 3015 9.194164e-01
[8481,] 3016 651 -4.597082e-01
[8482,] 3016 759 -4.597082e-01
[8483,] 3016 3016 9.194164e-01
[8484,] 3017 651 -4.597082e-01
[8485,] 3017 759 -4.597082e-01
[8486,] 3017 3017 9.194164e-01
[8487,] 3018 651 -4.597082e-01
[8488,] 3018 759 -4.597082e-01
[8489,] 3018 3018 9.194164e-01
[8490,] 3019 651 -4.597082e-01
[8491,] 3019 759 -4.597082e-01
[8492,] 3019 3019 9.194164e-01
[8493,] 3020 651 -4.597082e-01
[8494,] 3020 759 -4.597082e-01
[8495,] 3020 3020 9.194164e-01
[8496,] 3021 651 -4.597082e-01
[8497,] 3021 759 -4.597082e-01
[8498,] 3021 3021 9.194164e-01
[8499,] 3022 651 -4.597082e-01
[8500,] 3022 759 -4.597082e-01
[8501,] 3022 3022 9.194164e-01
[8502,] 3023 651 -4.597082e-01
[8503,] 3023 759 -4.597082e-01
[8504,] 3023 3023 9.194164e-01
[8505,] 3024 651 -4.597082e-01
[8506,] 3024 759 -4.597082e-01
[8507,] 3024 3024 9.194164e-01
[8508,] 3025 651 -4.597082e-01
[8509,] 3025 759 -4.597082e-01
[8510,] 3025 3025 9.194164e-01
[8511,] 3026 651 -4.597082e-01
[8512,] 3026 759 -4.597082e-01
[8513,] 3026 3026 9.194164e-01
[8514,] 3027 651 -4.597082e-01
[8515,] 3027 759 -4.597082e-01
[8516,] 3027 3027 9.194164e-01
[8517,] 3028 619 -4.443480e-01
[8518,] 3028 759 -4.443480e-01
[8519,] 3028 3028 8.886960e-01
[8520,] 3029 619 -4.443480e-01
[8521,] 3029 759 -4.443480e-01
[8522,] 3029 3029 8.886960e-01
[8523,] 3030 619 -4.443480e-01
[8524,] 3030 759 -4.443480e-01
[8525,] 3030 3030 8.886960e-01
[8526,] 3031 619 -4.443480e-01
[8527,] 3031 759 -4.443480e-01
[8528,] 3031 3031 8.886960e-01
[8529,] 3032 619 -4.443480e-01
[8530,] 3032 759 -4.443480e-01
[8531,] 3032 3032 8.886960e-01
[8532,] 3033 619 -4.443480e-01
[8533,] 3033 759 -4.443480e-01
[8534,] 3033 3033 8.886960e-01
[8535,] 3034 619 -4.443480e-01
[8536,] 3034 759 -4.443480e-01
[8537,] 3034 3034 8.886960e-01
[8538,] 3035 619 -4.443480e-01
[8539,] 3035 759 -4.443480e-01
[8540,] 3035 3035 8.886960e-01
[8541,] 3036 619 -4.443480e-01
[8542,] 3036 759 -4.443480e-01
[8543,] 3036 3036 8.886960e-01
[8544,] 3037 619 -4.443480e-01
[8545,] 3037 759 -4.443480e-01
[8546,] 3037 3037 8.886960e-01
[8547,] 3038 619 -4.443480e-01
[8548,] 3038 759 -4.443480e-01
[8549,] 3038 3038 8.886960e-01
[8550,] 3039 619 -4.443480e-01
[8551,] 3039 759 -4.443480e-01
[8552,] 3039 3039 8.886960e-01
[8553,] 3040 619 -4.443480e-01
[8554,] 3040 759 -4.443480e-01
[8555,] 3040 3040 8.886960e-01
[8556,] 3041 619 -4.443480e-01
[8557,] 3041 759 -4.443480e-01
[8558,] 3041 3041 8.886960e-01
[8559,] 3042 619 -4.443480e-01
[8560,] 3042 759 -4.443480e-01
[8561,] 3042 3042 8.886960e-01
[8562,] 3043 619 -4.443480e-01
[8563,] 3043 759 -4.443480e-01
[8564,] 3043 3043 8.886960e-01
[8565,] 3044 651 -4.597082e-01
[8566,] 3044 760 -4.597082e-01
[8567,] 3044 3044 9.194164e-01
[8568,] 3045 651 -4.597082e-01
[8569,] 3045 760 -4.597082e-01
[8570,] 3045 3045 9.194164e-01
[8571,] 3046 651 -4.597082e-01
[8572,] 3046 760 -4.597082e-01
[8573,] 3046 3046 9.194164e-01
[8574,] 3047 651 -4.597082e-01
[8575,] 3047 760 -4.597082e-01
[8576,] 3047 3047 9.194164e-01
[8577,] 3048 651 -4.597082e-01
[8578,] 3048 760 -4.597082e-01
[8579,] 3048 3048 9.194164e-01
[8580,] 3049 651 -4.597082e-01
[8581,] 3049 760 -4.597082e-01
[8582,] 3049 3049 9.194164e-01
[8583,] 3050 651 -4.597082e-01
[8584,] 3050 760 -4.597082e-01
[8585,] 3050 3050 9.194164e-01
[8586,] 3051 651 -4.597082e-01
[8587,] 3051 760 -4.597082e-01
[8588,] 3051 3051 9.194164e-01
[8589,] 3052 651 -4.597082e-01
[8590,] 3052 760 -4.597082e-01
[8591,] 3052 3052 9.194164e-01
[8592,] 3053 651 -4.597082e-01
[8593,] 3053 760 -4.597082e-01
[8594,] 3053 3053 9.194164e-01
[8595,] 3054 651 -4.597082e-01
[8596,] 3054 760 -4.597082e-01
[8597,] 3054 3054 9.194164e-01
[8598,] 3055 651 -4.597082e-01
[8599,] 3055 760 -4.597082e-01
[8600,] 3055 3055 9.194164e-01
[8601,] 3056 651 -4.597082e-01
[8602,] 3056 760 -4.597082e-01
[8603,] 3056 3056 9.194164e-01
[8604,] 3057 651 -4.597082e-01
[8605,] 3057 760 -4.597082e-01
[8606,] 3057 3057 9.194164e-01
[8607,] 3058 651 -4.597082e-01
[8608,] 3058 760 -4.597082e-01
[8609,] 3058 3058 9.194164e-01
[8610,] 3059 651 -4.597082e-01
[8611,] 3059 760 -4.597082e-01
[8612,] 3059 3059 9.194164e-01
[8613,] 3060 651 -4.597082e-01
[8614,] 3060 760 -4.597082e-01
[8615,] 3060 3060 9.194164e-01
[8616,] 3061 651 -4.597082e-01
[8617,] 3061 760 -4.597082e-01
[8618,] 3061 3061 9.194164e-01
[8619,] 3062 156 -4.443962e-01
[8620,] 3062 614 -4.443962e-01
[8621,] 3062 3062 8.887924e-01
[8622,] 3063 156 -4.443962e-01
[8623,] 3063 614 -4.443962e-01
[8624,] 3063 3063 8.887924e-01
[8625,] 3064 156 -4.443962e-01
[8626,] 3064 614 -4.443962e-01
[8627,] 3064 3064 8.887924e-01
[8628,] 3065 156 -4.443962e-01
[8629,] 3065 614 -4.443962e-01
[8630,] 3065 3065 8.887924e-01
[8631,] 3066 156 -4.443962e-01
[8632,] 3066 614 -4.443962e-01
[8633,] 3066 3066 8.887924e-01
[8634,] 3067 156 -4.443962e-01
[8635,] 3067 614 -4.443962e-01
[8636,] 3067 3067 8.887924e-01
[8637,] 3068 156 -4.443962e-01
[8638,] 3068 614 -4.443962e-01
[8639,] 3068 3068 8.887924e-01
[8640,] 3069 156 -4.443962e-01
[8641,] 3069 614 -4.443962e-01
[8642,] 3069 3069 8.887924e-01
[8643,] 3070 156 -4.443962e-01
[8644,] 3070 614 -4.443962e-01
[8645,] 3070 3070 8.887924e-01
[8646,] 3071 156 -4.443962e-01
[8647,] 3071 614 -4.443962e-01
[8648,] 3071 3071 8.887924e-01
[8649,] 3072 156 -4.443962e-01
[8650,] 3072 614 -4.443962e-01
[8651,] 3072 3072 8.887924e-01
[8652,] 3073 614 -7.270307e-01
[8653,] 3073 761 -7.270307e-01
[8654,] 3073 3073 1.454061e+00
[8655,] 3074 614 -7.270307e-01
[8656,] 3074 761 -7.270307e-01
[8657,] 3074 3074 1.454061e+00
[8658,] 3075 614 -7.270307e-01
[8659,] 3075 761 -7.270307e-01
[8660,] 3075 3075 1.454061e+00
[8661,] 3076 614 -7.270307e-01
[8662,] 3076 761 -7.270307e-01
[8663,] 3076 3076 1.454061e+00
[8664,] 3077 614 -7.270307e-01
[8665,] 3077 761 -7.270307e-01
[8666,] 3077 3077 1.454061e+00
[8667,] 3078 614 -7.270307e-01
[8668,] 3078 761 -7.270307e-01
[8669,] 3078 3078 1.454061e+00
[8670,] 3079 614 -7.270307e-01
[8671,] 3079 761 -7.270307e-01
[8672,] 3079 3079 1.454061e+00
[8673,] 3080 614 -7.270307e-01
[8674,] 3080 761 -7.270307e-01
[8675,] 3080 3080 1.454061e+00
[8676,] 3081 614 -7.270307e-01
[8677,] 3081 761 -7.270307e-01
[8678,] 3081 3081 1.454061e+00
[8679,] 3082 614 -7.270307e-01
[8680,] 3082 761 -7.270307e-01
[8681,] 3082 3082 1.454061e+00
[8682,] 3083 614 -7.270307e-01
[8683,] 3083 761 -7.270307e-01
[8684,] 3083 3083 1.454061e+00
[8685,] 3084 614 -7.270307e-01
[8686,] 3084 761 -7.270307e-01
[8687,] 3084 3084 1.454061e+00
[8688,] 3085 614 -7.270307e-01
[8689,] 3085 761 -7.270307e-01
[8690,] 3085 3085 1.454061e+00
[8691,] 3086 614 -7.270307e-01
[8692,] 3086 761 -7.270307e-01
[8693,] 3086 3086 1.454061e+00
[8694,] 3087 614 -7.270307e-01
[8695,] 3087 761 -7.270307e-01
[8696,] 3087 3087 1.454061e+00
[8697,] 3088 614 -7.270307e-01
[8698,] 3088 761 -7.270307e-01
[8699,] 3088 3088 1.454061e+00
[8700,] 3089 614 -7.270307e-01
[8701,] 3089 761 -7.270307e-01
[8702,] 3089 3089 1.454061e+00
[8703,] 3090 614 -7.270307e-01
[8704,] 3090 761 -7.270307e-01
[8705,] 3090 3090 1.454061e+00
[8706,] 3091 614 -7.270307e-01
[8707,] 3091 762 -7.270307e-01
[8708,] 3091 3091 1.454061e+00
[8709,] 3092 614 -7.270307e-01
[8710,] 3092 762 -7.270307e-01
[8711,] 3092 3092 1.454061e+00
[8712,] 3093 614 -7.270307e-01
[8713,] 3093 762 -7.270307e-01
[8714,] 3093 3093 1.454061e+00
[8715,] 3094 614 -7.270307e-01
[8716,] 3094 762 -7.270307e-01
[8717,] 3094 3094 1.454061e+00
[8718,] 3095 614 -7.270307e-01
[8719,] 3095 762 -7.270307e-01
[8720,] 3095 3095 1.454061e+00
[8721,] 3096 614 -7.270307e-01
[8722,] 3096 762 -7.270307e-01
[8723,] 3096 3096 1.454061e+00
[8724,] 3097 614 -7.270307e-01
[8725,] 3097 762 -7.270307e-01
[8726,] 3097 3097 1.454061e+00
[8727,] 3098 614 -7.270307e-01
[8728,] 3098 762 -7.270307e-01
[8729,] 3098 3098 1.454061e+00
[8730,] 3099 614 -7.270307e-01
[8731,] 3099 762 -7.270307e-01
[8732,] 3099 3099 1.454061e+00
[8733,] 3100 614 -7.270307e-01
[8734,] 3100 762 -7.270307e-01
[8735,] 3100 3100 1.454061e+00
[8736,] 3101 614 -7.270307e-01
[8737,] 3101 762 -7.270307e-01
[8738,] 3101 3101 1.454061e+00
[8739,] 3102 614 -7.270307e-01
[8740,] 3102 762 -7.270307e-01
[8741,] 3102 3102 1.454061e+00
[8742,] 3103 614 -7.270307e-01
[8743,] 3103 762 -7.270307e-01
[8744,] 3103 3103 1.454061e+00
[8745,] 3104 614 -7.270307e-01
[8746,] 3104 762 -7.270307e-01
[8747,] 3104 3104 1.454061e+00
[8748,] 3105 614 -7.270307e-01
[8749,] 3105 762 -7.270307e-01
[8750,] 3105 3105 1.454061e+00
[8751,] 3106 614 -7.270307e-01
[8752,] 3106 762 -7.270307e-01
[8753,] 3106 3106 1.454061e+00
[8754,] 3107 614 -7.270307e-01
[8755,] 3107 762 -7.270307e-01
[8756,] 3107 3107 1.454061e+00
[8757,] 3108 614 -7.270307e-01
[8758,] 3108 762 -7.270307e-01
[8759,] 3108 3108 1.454061e+00
[8760,] 3109 614 -7.270307e-01
[8761,] 3109 762 -7.270307e-01
[8762,] 3109 3109 1.454061e+00
[8763,] 3110 614 -7.270307e-01
[8764,] 3110 762 -7.270307e-01
[8765,] 3110 3110 1.454061e+00
[8766,] 3111 614 -7.270307e-01
[8767,] 3111 762 -7.270307e-01
[8768,] 3111 3111 1.454061e+00
[8769,] 3112 614 -7.270307e-01
[8770,] 3112 762 -7.270307e-01
[8771,] 3112 3112 1.454061e+00
[8772,] 3113 614 -7.270307e-01
[8773,] 3113 762 -7.270307e-01
[8774,] 3113 3113 1.454061e+00
[8775,] 3114 614 -7.270307e-01
[8776,] 3114 762 -7.270307e-01
[8777,] 3114 3114 1.454061e+00
[8778,] 3115 614 -7.270307e-01
[8779,] 3115 763 -7.270307e-01
[8780,] 3115 3115 1.454061e+00
[8781,] 3116 614 -7.270307e-01
[8782,] 3116 763 -7.270307e-01
[8783,] 3116 3116 1.454061e+00
[8784,] 3117 614 -7.270307e-01
[8785,] 3117 763 -7.270307e-01
[8786,] 3117 3117 1.454061e+00
[8787,] 3118 614 -7.270307e-01
[8788,] 3118 763 -7.270307e-01
[8789,] 3118 3118 1.454061e+00
[8790,] 3119 614 -7.270307e-01
[8791,] 3119 763 -7.270307e-01
[8792,] 3119 3119 1.454061e+00
[8793,] 3120 614 -7.270307e-01
[8794,] 3120 763 -7.270307e-01
[8795,] 3120 3120 1.454061e+00
[8796,] 3121 614 -7.270307e-01
[8797,] 3121 763 -7.270307e-01
[8798,] 3121 3121 1.454061e+00
[8799,] 3122 614 -7.270307e-01
[8800,] 3122 763 -7.270307e-01
[8801,] 3122 3122 1.454061e+00
[8802,] 3123 614 -7.270307e-01
[8803,] 3123 763 -7.270307e-01
[8804,] 3123 3123 1.454061e+00
[8805,] 3124 614 -7.270307e-01
[8806,] 3124 763 -7.270307e-01
[8807,] 3124 3124 1.454061e+00
[8808,] 3125 614 -7.270307e-01
[8809,] 3125 763 -7.270307e-01
[8810,] 3125 3125 1.454061e+00
[8811,] 3126 614 -7.270307e-01
[8812,] 3126 763 -7.270307e-01
[8813,] 3126 3126 1.454061e+00
[8814,] 3127 614 -7.270307e-01
[8815,] 3127 763 -7.270307e-01
[8816,] 3127 3127 1.454061e+00
[8817,] 3128 614 -7.270307e-01
[8818,] 3128 763 -7.270307e-01
[8819,] 3128 3128 1.454061e+00
[8820,] 3129 614 -7.270307e-01
[8821,] 3129 763 -7.270307e-01
[8822,] 3129 3129 1.454061e+00
[8823,] 3130 614 -7.270307e-01
[8824,] 3130 763 -7.270307e-01
[8825,] 3130 3130 1.454061e+00
[8826,] 3131 614 -7.270307e-01
[8827,] 3131 763 -7.270307e-01
[8828,] 3131 3131 1.454061e+00
[8829,] 3132 614 -7.270307e-01
[8830,] 3132 763 -7.270307e-01
[8831,] 3132 3132 1.454061e+00
[8832,] 3133 614 -7.270307e-01
[8833,] 3133 763 -7.270307e-01
[8834,] 3133 3133 1.454061e+00
[8835,] 3134 614 -7.270307e-01
[8836,] 3134 763 -7.270307e-01
[8837,] 3134 3134 1.454061e+00
[8838,] 3135 614 -7.270307e-01
[8839,] 3135 763 -7.270307e-01
[8840,] 3135 3135 1.454061e+00
[8841,] 3136 614 -7.270307e-01
[8842,] 3136 763 -7.270307e-01
[8843,] 3136 3136 1.454061e+00
[8844,] 3137 614 -7.270307e-01
[8845,] 3137 763 -7.270307e-01
[8846,] 3137 3137 1.454061e+00
[8847,] 3138 614 -7.270307e-01
[8848,] 3138 763 -7.270307e-01
[8849,] 3138 3138 1.454061e+00
[8850,] 3139 614 -7.270307e-01
[8851,] 3139 763 -7.270307e-01
[8852,] 3139 3139 1.454061e+00
[8853,] 3140 614 -7.270307e-01
[8854,] 3140 763 -7.270307e-01
[8855,] 3140 3140 1.454061e+00
[8856,] 3141 614 -7.270307e-01
[8857,] 3141 763 -7.270307e-01
[8858,] 3141 3141 1.454061e+00
[8859,] 3142 614 -7.270307e-01
[8860,] 3142 763 -7.270307e-01
[8861,] 3142 3142 1.454061e+00
[8862,] 3143 614 -7.270307e-01
[8863,] 3143 763 -7.270307e-01
[8864,] 3143 3143 1.454061e+00
[8865,] 3144 614 -7.270307e-01
[8866,] 3144 763 -7.270307e-01
[8867,] 3144 3144 1.454061e+00
[8868,] 3145 614 -7.270307e-01
[8869,] 3145 763 -7.270307e-01
[8870,] 3145 3145 1.454061e+00
[8871,] 3146 614 -7.270307e-01
[8872,] 3146 763 -7.270307e-01
[8873,] 3146 3146 1.454061e+00
[8874,] 3147 614 -7.270307e-01
[8875,] 3147 763 -7.270307e-01
[8876,] 3147 3147 1.454061e+00
[8877,] 3148 614 -7.270307e-01
[8878,] 3148 763 -7.270307e-01
[8879,] 3148 3148 1.454061e+00
[8880,] 3149 614 -7.270307e-01
[8881,] 3149 763 -7.270307e-01
[8882,] 3149 3149 1.454061e+00
[8883,] 3150 614 -7.270307e-01
[8884,] 3150 763 -7.270307e-01
[8885,] 3150 3150 1.454061e+00
[8886,] 3151 614 -7.270307e-01
[8887,] 3151 763 -7.270307e-01
[8888,] 3151 3151 1.454061e+00
[8889,] 3152 614 -7.270307e-01
[8890,] 3152 763 -7.270307e-01
[8891,] 3152 3152 1.454061e+00
[8892,] 3153 614 -7.270307e-01
[8893,] 3153 763 -7.270307e-01
[8894,] 3153 3153 1.454061e+00
[8895,] 3154 614 -7.270307e-01
[8896,] 3154 763 -7.270307e-01
[8897,] 3154 3154 1.454061e+00
[8898,] 3155 614 -7.270307e-01
[8899,] 3155 763 -7.270307e-01
[8900,] 3155 3155 1.454061e+00
[8901,] 3156 614 -7.270307e-01
[8902,] 3156 763 -7.270307e-01
[8903,] 3156 3156 1.454061e+00
[8904,] 3157 614 -7.270307e-01
[8905,] 3157 763 -7.270307e-01
[8906,] 3157 3157 1.454061e+00
[8907,] 3158 614 -7.270307e-01
[8908,] 3158 763 -7.270307e-01
[8909,] 3158 3158 1.454061e+00
[8910,] 3159 614 -7.270307e-01
[8911,] 3159 763 -7.270307e-01
[8912,] 3159 3159 1.454061e+00
[8913,] 3160 614 -7.270307e-01
[8914,] 3160 763 -7.270307e-01
[8915,] 3160 3160 1.454061e+00
[8916,] 3161 614 -7.270307e-01
[8917,] 3161 763 -7.270307e-01
[8918,] 3161 3161 1.454061e+00
[8919,] 3162 614 -7.270307e-01
[8920,] 3162 763 -7.270307e-01
[8921,] 3162 3162 1.454061e+00
[8922,] 3163 614 -7.270307e-01
[8923,] 3163 763 -7.270307e-01
[8924,] 3163 3163 1.454061e+00
[8925,] 3164 614 -7.270307e-01
[8926,] 3164 763 -7.270307e-01
[8927,] 3164 3164 1.454061e+00
[8928,] 3165 614 -7.270307e-01
[8929,] 3165 763 -7.270307e-01
[8930,] 3165 3165 1.454061e+00
[8931,] 3166 651 -4.383562e-01
[8932,] 3166 762 -4.383562e-01
[8933,] 3166 3166 8.767123e-01
[8934,] 3167 651 -4.383562e-01
[8935,] 3167 762 -4.383562e-01
[8936,] 3167 3167 8.767123e-01
[8937,] 3168 651 -4.383562e-01
[8938,] 3168 762 -4.383562e-01
[8939,] 3168 3168 8.767123e-01
[8940,] 3169 651 -4.383562e-01
[8941,] 3169 762 -4.383562e-01
[8942,] 3169 3169 8.767123e-01
[8943,] 3170 651 -4.383562e-01
[8944,] 3170 762 -4.383562e-01
[8945,] 3170 3170 8.767123e-01
[8946,] 3171 651 -4.383562e-01
[8947,] 3171 762 -4.383562e-01
[8948,] 3171 3171 8.767123e-01
[8949,] 3172 651 -4.383562e-01
[8950,] 3172 762 -4.383562e-01
[8951,] 3172 3172 8.767123e-01
[8952,] 3173 651 -4.383562e-01
[8953,] 3173 762 -4.383562e-01
[8954,] 3173 3173 8.767123e-01
[8955,] 3174 651 -4.383562e-01
[8956,] 3174 762 -4.383562e-01
[8957,] 3174 3174 8.767123e-01
[8958,] 3175 651 -4.383562e-01
[8959,] 3175 762 -4.383562e-01
[8960,] 3175 3175 8.767123e-01
[8961,] 3176 651 -4.383562e-01
[8962,] 3176 762 -4.383562e-01
[8963,] 3176 3176 8.767123e-01
[8964,] 3177 651 -4.383562e-01
[8965,] 3177 763 -4.383562e-01
[8966,] 3177 3177 8.767123e-01
[8967,] 3178 651 -4.383562e-01
[8968,] 3178 763 -4.383562e-01
[8969,] 3178 3178 8.767123e-01
[8970,] 3179 651 -4.383562e-01
[8971,] 3179 763 -4.383562e-01
[8972,] 3179 3179 8.767123e-01
[8973,] 3180 651 -4.383562e-01
[8974,] 3180 763 -4.383562e-01
[8975,] 3180 3180 8.767123e-01
[8976,] 3181 651 -4.383562e-01
[8977,] 3181 763 -4.383562e-01
[8978,] 3181 3181 8.767123e-01
[8979,] 3182 651 -4.383562e-01
[8980,] 3182 763 -4.383562e-01
[8981,] 3182 3182 8.767123e-01
[8982,] 3183 651 -4.383562e-01
[8983,] 3183 763 -4.383562e-01
[8984,] 3183 3183 8.767123e-01
[8985,] 3184 651 -4.383562e-01
[8986,] 3184 763 -4.383562e-01
[8987,] 3184 3184 8.767123e-01
[8988,] 3185 651 -4.383562e-01
[8989,] 3185 763 -4.383562e-01
[8990,] 3185 3185 8.767123e-01
[8991,] 3186 651 -4.383562e-01
[8992,] 3186 763 -4.383562e-01
[8993,] 3186 3186 8.767123e-01
[8994,] 3187 651 -4.383562e-01
[8995,] 3187 763 -4.383562e-01
[8996,] 3187 3187 8.767123e-01
[8997,] 3188 651 -4.383562e-01
[8998,] 3188 763 -4.383562e-01
[8999,] 3188 3188 8.767123e-01
[9000,] 3189 651 -4.383562e-01
[9001,] 3189 763 -4.383562e-01
[9002,] 3189 3189 8.767123e-01
[9003,] 3190 651 -4.383562e-01
[9004,] 3190 763 -4.383562e-01
[9005,] 3190 3190 8.767123e-01
[9006,] 3191 651 -4.383562e-01
[9007,] 3191 763 -4.383562e-01
[9008,] 3191 3191 8.767123e-01
[9009,] 3192 651 -4.383562e-01
[9010,] 3192 763 -4.383562e-01
[9011,] 3192 3192 8.767123e-01
[9012,] 3193 651 -4.383562e-01
[9013,] 3193 763 -4.383562e-01
[9014,] 3193 3193 8.767123e-01
[9015,] 3194 651 -4.383562e-01
[9016,] 3194 763 -4.383562e-01
[9017,] 3194 3194 8.767123e-01
[9018,] 3195 157 -4.443480e-01
[9019,] 3195 619 -4.443480e-01
[9020,] 3195 3195 8.886960e-01
[9021,] 3196 157 -4.443480e-01
[9022,] 3196 619 -4.443480e-01
[9023,] 3196 3196 8.886960e-01
[9024,] 3197 157 -4.443480e-01
[9025,] 3197 619 -4.443480e-01
[9026,] 3197 3197 8.886960e-01
[9027,] 3198 157 -4.443480e-01
[9028,] 3198 619 -4.443480e-01
[9029,] 3198 3198 8.886960e-01
[9030,] 3199 157 -4.443480e-01
[9031,] 3199 619 -4.443480e-01
[9032,] 3199 3199 8.886960e-01
[9033,] 3200 157 -4.443480e-01
[9034,] 3200 619 -4.443480e-01
[9035,] 3200 3200 8.886960e-01
[9036,] 3201 157 -4.443480e-01
[9037,] 3201 619 -4.443480e-01
[9038,] 3201 3201 8.886960e-01
[9039,] 3202 157 -4.443480e-01
[9040,] 3202 619 -4.443480e-01
[9041,] 3202 3202 8.886960e-01
[9042,] 3203 614 -7.270307e-01
[9043,] 3203 764 -7.270307e-01
[9044,] 3203 3203 1.454061e+00
[9045,] 3204 614 -7.270307e-01
[9046,] 3204 764 -7.270307e-01
[9047,] 3204 3204 1.454061e+00
[9048,] 3205 614 -7.270307e-01
[9049,] 3205 764 -7.270307e-01
[9050,] 3205 3205 1.454061e+00
[9051,] 3206 614 -7.270307e-01
[9052,] 3206 764 -7.270307e-01
[9053,] 3206 3206 1.454061e+00
[9054,] 3207 614 -7.270307e-01
[9055,] 3207 764 -7.270307e-01
[9056,] 3207 3207 1.454061e+00
[9057,] 3208 614 -7.270307e-01
[9058,] 3208 764 -7.270307e-01
[9059,] 3208 3208 1.454061e+00
[9060,] 3209 614 -7.270307e-01
[9061,] 3209 764 -7.270307e-01
[9062,] 3209 3209 1.454061e+00
[9063,] 3210 614 -7.270307e-01
[9064,] 3210 764 -7.270307e-01
[9065,] 3210 3210 1.454061e+00
[9066,] 3211 614 -7.270307e-01
[9067,] 3211 764 -7.270307e-01
[9068,] 3211 3211 1.454061e+00
[9069,] 3212 614 -7.270307e-01
[9070,] 3212 764 -7.270307e-01
[9071,] 3212 3212 1.454061e+00
[9072,] 3213 614 -7.270307e-01
[9073,] 3213 764 -7.270307e-01
[9074,] 3213 3213 1.454061e+00
[9075,] 3214 614 -7.270307e-01
[9076,] 3214 764 -7.270307e-01
[9077,] 3214 3214 1.454061e+00
[9078,] 3215 614 -7.270307e-01
[9079,] 3215 764 -7.270307e-01
[9080,] 3215 3215 1.454061e+00
[9081,] 3216 614 -7.270307e-01
[9082,] 3216 764 -7.270307e-01
[9083,] 3216 3216 1.454061e+00
[9084,] 3217 614 -7.270307e-01
[9085,] 3217 764 -7.270307e-01
[9086,] 3217 3217 1.454061e+00
[9087,] 3218 614 -7.270307e-01
[9088,] 3218 764 -7.270307e-01
[9089,] 3218 3218 1.454061e+00
[9090,] 3219 614 -7.270307e-01
[9091,] 3219 764 -7.270307e-01
[9092,] 3219 3219 1.454061e+00
[9093,] 3220 158 -4.443962e-01
[9094,] 3220 614 -4.443962e-01
[9095,] 3220 3220 8.887924e-01
[9096,] 3221 158 -4.443962e-01
[9097,] 3221 614 -4.443962e-01
[9098,] 3221 3221 8.887924e-01
[9099,] 3222 158 -4.443962e-01
[9100,] 3222 614 -4.443962e-01
[9101,] 3222 3222 8.887924e-01
[9102,] 3223 158 -4.443962e-01
[9103,] 3223 614 -4.443962e-01
[9104,] 3223 3223 8.887924e-01
[9105,] 3224 158 -4.443962e-01
[9106,] 3224 614 -4.443962e-01
[9107,] 3224 3224 8.887924e-01
[9108,] 3225 158 -4.443962e-01
[9109,] 3225 614 -4.443962e-01
[9110,] 3225 3225 8.887924e-01
[9111,] 3226 158 -4.443962e-01
[9112,] 3226 614 -4.443962e-01
[9113,] 3226 3226 8.887924e-01
[9114,] 3227 158 -4.443962e-01
[9115,] 3227 614 -4.443962e-01
[9116,] 3227 3227 8.887924e-01
[9117,] 3228 158 -4.443962e-01
[9118,] 3228 614 -4.443962e-01
[9119,] 3228 3228 8.887924e-01
[9120,] 3229 158 -4.443962e-01
[9121,] 3229 614 -4.443962e-01
[9122,] 3229 3229 8.887924e-01
[9123,] 3230 158 -4.443962e-01
[9124,] 3230 614 -4.443962e-01
[9125,] 3230 3230 8.887924e-01
[9126,] 3231 158 -4.443962e-01
[9127,] 3231 614 -4.443962e-01
[9128,] 3231 3231 8.887924e-01
[9129,] 3232 158 -4.443962e-01
[9130,] 3232 614 -4.443962e-01
[9131,] 3232 3232 8.887924e-01
[9132,] 3233 158 -4.443962e-01
[9133,] 3233 614 -4.443962e-01
[9134,] 3233 3233 8.887924e-01
[9135,] 3234 158 -4.443962e-01
[9136,] 3234 614 -4.443962e-01
[9137,] 3234 3234 8.887924e-01
[9138,] 3235 158 -4.443962e-01
[9139,] 3235 614 -4.443962e-01
[9140,] 3235 3235 8.887924e-01
[9141,] 3236 158 -4.443962e-01
[9142,] 3236 614 -4.443962e-01
[9143,] 3236 3236 8.887924e-01
[9144,] 3237 158 -4.443962e-01
[9145,] 3237 614 -4.443962e-01
[9146,] 3237 3237 8.887924e-01
[9147,] 3238 158 -4.443962e-01
[9148,] 3238 614 -4.443962e-01
[9149,] 3238 3238 8.887924e-01
[9150,] 3239 86 -4.443962e-01
[9151,] 3239 614 -4.443962e-01
[9152,] 3239 3239 8.887924e-01
[9153,] 3240 86 -4.443962e-01
[9154,] 3240 614 -4.443962e-01
[9155,] 3240 3240 8.887924e-01
[9156,] 3241 86 -4.443962e-01
[9157,] 3241 614 -4.443962e-01
[9158,] 3241 3241 8.887924e-01
[9159,] 3242 86 -4.443962e-01
[9160,] 3242 614 -4.443962e-01
[9161,] 3242 3242 8.887924e-01
[9162,] 3243 86 -4.443962e-01
[9163,] 3243 614 -4.443962e-01
[9164,] 3243 3243 8.887924e-01
[9165,] 3244 86 -4.443962e-01
[9166,] 3244 614 -4.443962e-01
[9167,] 3244 3244 8.887924e-01
[9168,] 3245 86 -4.383562e-01
[9169,] 3245 651 -4.383562e-01
[9170,] 3245 3245 8.767123e-01
[9171,] 3246 86 -4.383562e-01
[9172,] 3246 651 -4.383562e-01
[9173,] 3246 3246 8.767123e-01
[9174,] 3247 86 -4.383562e-01
[9175,] 3247 651 -4.383562e-01
[9176,] 3247 3247 8.767123e-01
[9177,] 3248 86 -4.383562e-01
[9178,] 3248 651 -4.383562e-01
[9179,] 3248 3248 8.767123e-01
[9180,] 3249 86 -4.383562e-01
[9181,] 3249 651 -4.383562e-01
[9182,] 3249 3249 8.767123e-01
[9183,] 3250 86 -4.383562e-01
[9184,] 3250 651 -4.383562e-01
[9185,] 3250 3250 8.767123e-01
[9186,] 3251 86 -4.383562e-01
[9187,] 3251 651 -4.383562e-01
[9188,] 3251 3251 8.767123e-01
[9189,] 3252 86 -4.383562e-01
[9190,] 3252 651 -4.383562e-01
[9191,] 3252 3252 8.767123e-01
[9192,] 3253 86 -4.383562e-01
[9193,] 3253 651 -4.383562e-01
[9194,] 3253 3253 8.767123e-01
[9195,] 3254 86 -4.383562e-01
[9196,] 3254 651 -4.383562e-01
[9197,] 3254 3254 8.767123e-01
[9198,] 3255 86 -4.383562e-01
[9199,] 3255 651 -4.383562e-01
[9200,] 3255 3255 8.767123e-01
[9201,] 3256 86 -4.383562e-01
[9202,] 3256 651 -4.383562e-01
[9203,] 3256 3256 8.767123e-01
[9204,] 3257 86 -4.383562e-01
[9205,] 3257 651 -4.383562e-01
[9206,] 3257 3257 8.767123e-01
[9207,] 3258 86 -4.383562e-01
[9208,] 3258 651 -4.383562e-01
[9209,] 3258 3258 8.767123e-01
[9210,] 3259 86 -4.383562e-01
[9211,] 3259 651 -4.383562e-01
[9212,] 3259 3259 8.767123e-01
[9213,] 3260 86 -4.383562e-01
[9214,] 3260 651 -4.383562e-01
[9215,] 3260 3260 8.767123e-01
[9216,] 3261 86 -4.383562e-01
[9217,] 3261 651 -4.383562e-01
[9218,] 3261 3261 8.767123e-01
[9219,] 3262 86 -4.383562e-01
[9220,] 3262 651 -4.383562e-01
[9221,] 3262 3262 8.767123e-01
[9222,] 3263 86 -4.383562e-01
[9223,] 3263 651 -4.383562e-01
[9224,] 3263 3263 8.767123e-01
[9225,] 3264 144 -4.443962e-01
[9226,] 3264 614 -4.443962e-01
[9227,] 3264 3264 8.887924e-01
[9228,] 3265 144 -4.443962e-01
[9229,] 3265 614 -4.443962e-01
[9230,] 3265 3265 8.887924e-01
[9231,] 3266 144 -4.443962e-01
[9232,] 3266 614 -4.443962e-01
[9233,] 3266 3266 8.887924e-01
[9234,] 3267 144 -4.443962e-01
[9235,] 3267 614 -4.443962e-01
[9236,] 3267 3267 8.887924e-01
[9237,] 3268 144 -4.443962e-01
[9238,] 3268 614 -4.443962e-01
[9239,] 3268 3268 8.887924e-01
[9240,] 3269 144 -4.443962e-01
[9241,] 3269 614 -4.443962e-01
[9242,] 3269 3269 8.887924e-01
[9243,] 3270 144 -4.443962e-01
[9244,] 3270 614 -4.443962e-01
[9245,] 3270 3270 8.887924e-01
[9246,] 3271 144 -4.443962e-01
[9247,] 3271 614 -4.443962e-01
[9248,] 3271 3271 8.887924e-01
[9249,] 3272 144 -4.443962e-01
[9250,] 3272 614 -4.443962e-01
[9251,] 3272 3272 8.887924e-01
[9252,] 3273 144 -4.443962e-01
[9253,] 3273 614 -4.443962e-01
[9254,] 3273 3273 8.887924e-01
[9255,] 3274 144 -4.443962e-01
[9256,] 3274 614 -4.443962e-01
[9257,] 3274 3274 8.887924e-01
[9258,] 3275 144 -4.443962e-01
[9259,] 3275 614 -4.443962e-01
[9260,] 3275 3275 8.887924e-01
[9261,] 3276 144 -4.443962e-01
[9262,] 3276 614 -4.443962e-01
[9263,] 3276 3276 8.887924e-01
[9264,] 3277 144 -4.443962e-01
[9265,] 3277 614 -4.443962e-01
[9266,] 3277 3277 8.887924e-01
[9267,] 3278 144 -4.443962e-01
[9268,] 3278 614 -4.443962e-01
[9269,] 3278 3278 8.887924e-01
[9270,] 3279 144 -4.443962e-01
[9271,] 3279 614 -4.443962e-01
[9272,] 3279 3279 8.887924e-01
[9273,] 3280 144 -4.443962e-01
[9274,] 3280 614 -4.443962e-01
[9275,] 3280 3280 8.887924e-01
[9276,] 3281 144 -4.443962e-01
[9277,] 3281 614 -4.443962e-01
[9278,] 3281 3281 8.887924e-01
[9279,] 3282 144 -4.443962e-01
[9280,] 3282 614 -4.443962e-01
[9281,] 3282 3282 8.887924e-01
[9282,] 3283 144 -4.443962e-01
[9283,] 3283 614 -4.443962e-01
[9284,] 3283 3283 8.887924e-01
[9285,] 3284 144 -4.443962e-01
[9286,] 3284 614 -4.443962e-01
[9287,] 3284 3284 8.887924e-01
[9288,] 3285 651 -4.383562e-01
[9289,] 3285 653 -4.383562e-01
[9290,] 3285 3285 8.767123e-01
[9291,] 3286 651 -4.383562e-01
[9292,] 3286 653 -4.383562e-01
[9293,] 3286 3286 8.767123e-01
[9294,] 3287 651 -4.383562e-01
[9295,] 3287 653 -4.383562e-01
[9296,] 3287 3287 8.767123e-01
[9297,] 3288 651 -4.383562e-01
[9298,] 3288 653 -4.383562e-01
[9299,] 3288 3288 8.767123e-01
[9300,] 3289 651 -4.383562e-01
[9301,] 3289 653 -4.383562e-01
[9302,] 3289 3289 8.767123e-01
[9303,] 3290 651 -4.383562e-01
[9304,] 3290 653 -4.383562e-01
[9305,] 3290 3290 8.767123e-01
[9306,] 3291 651 -4.383562e-01
[9307,] 3291 653 -4.383562e-01
[9308,] 3291 3291 8.767123e-01
[9309,] 3292 651 -4.383562e-01
[9310,] 3292 653 -4.383562e-01
[9311,] 3292 3292 8.767123e-01
[9312,] 3293 651 -4.383562e-01
[9313,] 3293 653 -4.383562e-01
[9314,] 3293 3293 8.767123e-01
[9315,] 3294 651 -4.383562e-01
[9316,] 3294 653 -4.383562e-01
[9317,] 3294 3294 8.767123e-01
[9318,] 3295 651 -4.383562e-01
[9319,] 3295 653 -4.383562e-01
[9320,] 3295 3295 8.767123e-01
[9321,] 3296 651 -4.383562e-01
[9322,] 3296 653 -4.383562e-01
[9323,] 3296 3296 8.767123e-01
[9324,] 3297 651 -4.383562e-01
[9325,] 3297 653 -4.383562e-01
[9326,] 3297 3297 8.767123e-01
[9327,] 3298 651 -4.383562e-01
[9328,] 3298 653 -4.383562e-01
[9329,] 3298 3298 8.767123e-01
[9330,] 3299 615 -5.516498e-01
[9331,] 3299 765 -5.516498e-01
[9332,] 3299 3299 1.103300e+00
[9333,] 3300 615 -5.516498e-01
[9334,] 3300 765 -5.516498e-01
[9335,] 3300 3300 1.103300e+00
[9336,] 3301 615 -5.516498e-01
[9337,] 3301 765 -5.516498e-01
[9338,] 3301 3301 1.103300e+00
[9339,] 3302 93 -3.636364e-01
[9340,] 3302 766 -3.636364e-01
[9341,] 3302 3302 7.272727e-01
[9342,] 3303 615 -5.516498e-01
[9343,] 3303 767 -5.516498e-01
[9344,] 3303 3303 1.103300e+00
[9345,] 3304 615 -5.516498e-01
[9346,] 3304 767 -5.516498e-01
[9347,] 3304 3304 1.103300e+00
[9348,] 3305 615 -5.516498e-01
[9349,] 3305 767 -5.516498e-01
[9350,] 3305 3305 1.103300e+00
[9351,] 3306 615 -5.516498e-01
[9352,] 3306 767 -5.516498e-01
[9353,] 3306 3306 1.103300e+00
[9354,] 3307 615 -5.516498e-01
[9355,] 3307 767 -5.516498e-01
[9356,] 3307 3307 1.103300e+00
[9357,] 3308 615 -5.516498e-01
[9358,] 3308 767 -5.516498e-01
[9359,] 3308 3308 1.103300e+00
[9360,] 3309 615 -5.516498e-01
[9361,] 3309 767 -5.516498e-01
[9362,] 3309 3309 1.103300e+00
[9363,] 3310 615 -5.516498e-01
[9364,] 3310 767 -5.516498e-01
[9365,] 3310 3310 1.103300e+00
[9366,] 3311 615 -5.516498e-01
[9367,] 3311 767 -5.516498e-01
[9368,] 3311 3311 1.103300e+00
[9369,] 3312 651 -6.975477e-01
[9370,] 3312 768 -6.975477e-01
[9371,] 3312 3312 1.395095e+00
[9372,] 3313 615 -5.516498e-01
[9373,] 3313 769 -5.516498e-01
[9374,] 3313 3313 1.103300e+00
[9375,] 3314 615 -5.516498e-01
[9376,] 3314 769 -5.516498e-01
[9377,] 3314 3314 1.103300e+00
[9378,] 3315 615 -5.516498e-01
[9379,] 3315 769 -5.516498e-01
[9380,] 3315 3315 1.103300e+00
[9381,] 3316 615 -5.516498e-01
[9382,] 3316 769 -5.516498e-01
[9383,] 3316 3316 1.103300e+00
[9384,] 3317 615 -5.516498e-01
[9385,] 3317 769 -5.516498e-01
[9386,] 3317 3317 1.103300e+00
[9387,] 3318 615 -5.516498e-01
[9388,] 3318 769 -5.516498e-01
[9389,] 3318 3318 1.103300e+00
[9390,] 3319 615 -5.516498e-01
[9391,] 3319 769 -5.516498e-01
[9392,] 3319 3319 1.103300e+00
[9393,] 3320 615 -5.516498e-01
[9394,] 3320 769 -5.516498e-01
[9395,] 3320 3320 1.103300e+00
[9396,] 3321 615 -5.516498e-01
[9397,] 3321 769 -5.516498e-01
[9398,] 3321 3321 1.103300e+00
[9399,] 3322 615 -5.516498e-01
[9400,] 3322 769 -5.516498e-01
[9401,] 3322 3322 1.103300e+00
[9402,] 3323 615 -5.516498e-01
[9403,] 3323 769 -5.516498e-01
[9404,] 3323 3323 1.103300e+00
[9405,] 3324 615 -5.516498e-01
[9406,] 3324 769 -5.516498e-01
[9407,] 3324 3324 1.103300e+00
[9408,] 3325 615 -5.516498e-01
[9409,] 3325 769 -5.516498e-01
[9410,] 3325 3325 1.103300e+00
[9411,] 3326 615 -5.516498e-01
[9412,] 3326 769 -5.516498e-01
[9413,] 3326 3326 1.103300e+00
[9414,] 3327 615 -5.516498e-01
[9415,] 3327 769 -5.516498e-01
[9416,] 3327 3327 1.103300e+00
[9417,] 3328 615 -5.516498e-01
[9418,] 3328 769 -5.516498e-01
[9419,] 3328 3328 1.103300e+00
[9420,] 3329 615 -5.516498e-01
[9421,] 3329 769 -5.516498e-01
[9422,] 3329 3329 1.103300e+00
[9423,] 3330 615 -5.516498e-01
[9424,] 3330 769 -5.516498e-01
[9425,] 3330 3330 1.103300e+00
[9426,] 3331 615 -5.516498e-01
[9427,] 3331 769 -5.516498e-01
[9428,] 3331 3331 1.103300e+00
[9429,] 3332 615 -5.516498e-01
[9430,] 3332 769 -5.516498e-01
[9431,] 3332 3332 1.103300e+00
[9432,] 3333 615 -5.516498e-01
[9433,] 3333 769 -5.516498e-01
[9434,] 3333 3333 1.103300e+00
[9435,] 3334 615 -5.516498e-01
[9436,] 3334 769 -5.516498e-01
[9437,] 3334 3334 1.103300e+00
[9438,] 3335 615 -5.516498e-01
[9439,] 3335 770 -5.516498e-01
[9440,] 3335 3335 1.103300e+00
[9441,] 3336 615 -5.516498e-01
[9442,] 3336 770 -5.516498e-01
[9443,] 3336 3336 1.103300e+00
[9444,] 3337 615 -5.516498e-01
[9445,] 3337 770 -5.516498e-01
[9446,] 3337 3337 1.103300e+00
[9447,] 3338 615 -5.516498e-01
[9448,] 3338 770 -5.516498e-01
[9449,] 3338 3338 1.103300e+00
[9450,] 3339 615 -5.516498e-01
[9451,] 3339 770 -5.516498e-01
[9452,] 3339 3339 1.103300e+00
[9453,] 3340 615 -5.516498e-01
[9454,] 3340 770 -5.516498e-01
[9455,] 3340 3340 1.103300e+00
[9456,] 3341 615 -5.516498e-01
[9457,] 3341 770 -5.516498e-01
[9458,] 3341 3341 1.103300e+00
[9459,] 3342 615 -5.516498e-01
[9460,] 3342 770 -5.516498e-01
[9461,] 3342 3342 1.103300e+00
[9462,] 3343 615 -5.516498e-01
[9463,] 3343 770 -5.516498e-01
[9464,] 3343 3343 1.103300e+00
[9465,] 3344 615 -5.516498e-01
[9466,] 3344 770 -5.516498e-01
[9467,] 3344 3344 1.103300e+00
[9468,] 3345 615 -5.516498e-01
[9469,] 3345 770 -5.516498e-01
[9470,] 3345 3345 1.103300e+00
[9471,] 3346 615 -5.516498e-01
[9472,] 3346 770 -5.516498e-01
[9473,] 3346 3346 1.103300e+00
[9474,] 3347 615 -5.516498e-01
[9475,] 3347 770 -5.516498e-01
[9476,] 3347 3347 1.103300e+00
[9477,] 3348 615 -5.516498e-01
[9478,] 3348 770 -5.516498e-01
[9479,] 3348 3348 1.103300e+00
[9480,] 3349 615 -5.516498e-01
[9481,] 3349 770 -5.516498e-01
[9482,] 3349 3349 1.103300e+00
[9483,] 3350 615 -5.516498e-01
[9484,] 3350 770 -5.516498e-01
[9485,] 3350 3350 1.103300e+00
[9486,] 3351 615 -5.516498e-01
[9487,] 3351 770 -5.516498e-01
[9488,] 3351 3351 1.103300e+00
[9489,] 3352 615 -5.516498e-01
[9490,] 3352 770 -5.516498e-01
[9491,] 3352 3352 1.103300e+00
[9492,] 3353 615 -5.516498e-01
[9493,] 3353 770 -5.516498e-01
[9494,] 3353 3353 1.103300e+00
[9495,] 3354 615 -5.516498e-01
[9496,] 3354 770 -5.516498e-01
[9497,] 3354 3354 1.103300e+00
[9498,] 3355 615 -5.516498e-01
[9499,] 3355 770 -5.516498e-01
[9500,] 3355 3355 1.103300e+00
[9501,] 3356 615 -5.516498e-01
[9502,] 3356 770 -5.516498e-01
[9503,] 3356 3356 1.103300e+00
[9504,] 3357 615 -5.516498e-01
[9505,] 3357 770 -5.516498e-01
[9506,] 3357 3357 1.103300e+00
[9507,] 3358 615 -5.516498e-01
[9508,] 3358 771 -5.516498e-01
[9509,] 3358 3358 1.103300e+00
[9510,] 3359 615 -5.516498e-01
[9511,] 3359 771 -5.516498e-01
[9512,] 3359 3359 1.103300e+00
[9513,] 3360 615 -5.516498e-01
[9514,] 3360 771 -5.516498e-01
[9515,] 3360 3360 1.103300e+00
[9516,] 3361 615 -5.516498e-01
[9517,] 3361 771 -5.516498e-01
[9518,] 3361 3361 1.103300e+00
[9519,] 3362 615 -5.516498e-01
[9520,] 3362 771 -5.516498e-01
[9521,] 3362 3362 1.103300e+00
[9522,] 3363 615 -5.516498e-01
[9523,] 3363 771 -5.516498e-01
[9524,] 3363 3363 1.103300e+00
[9525,] 3364 615 -5.516498e-01
[9526,] 3364 771 -5.516498e-01
[9527,] 3364 3364 1.103300e+00
[9528,] 3365 615 -5.516498e-01
[9529,] 3365 771 -5.516498e-01
[9530,] 3365 3365 1.103300e+00
[9531,] 3366 615 -5.516498e-01
[9532,] 3366 771 -5.516498e-01
[9533,] 3366 3366 1.103300e+00
[9534,] 3367 615 -5.516498e-01
[9535,] 3367 771 -5.516498e-01
[9536,] 3367 3367 1.103300e+00
[9537,] 3368 615 -5.516498e-01
[9538,] 3368 771 -5.516498e-01
[9539,] 3368 3368 1.103300e+00
[9540,] 3369 615 -5.516498e-01
[9541,] 3369 771 -5.516498e-01
[9542,] 3369 3369 1.103300e+00
[9543,] 3370 615 -5.516498e-01
[9544,] 3370 771 -5.516498e-01
[9545,] 3370 3370 1.103300e+00
[9546,] 3371 615 -5.516498e-01
[9547,] 3371 771 -5.516498e-01
[9548,] 3371 3371 1.103300e+00
[9549,] 3372 615 -5.516498e-01
[9550,] 3372 771 -5.516498e-01
[9551,] 3372 3372 1.103300e+00
[9552,] 3373 615 -5.516498e-01
[9553,] 3373 771 -5.516498e-01
[9554,] 3373 3373 1.103300e+00
[9555,] 3374 615 -5.516498e-01
[9556,] 3374 771 -5.516498e-01
[9557,] 3374 3374 1.103300e+00
[9558,] 3375 615 -5.516498e-01
[9559,] 3375 771 -5.516498e-01
[9560,] 3375 3375 1.103300e+00
[9561,] 3376 615 -5.516498e-01
[9562,] 3376 771 -5.516498e-01
[9563,] 3376 3376 1.103300e+00
[9564,] 3377 615 -5.516498e-01
[9565,] 3377 771 -5.516498e-01
[9566,] 3377 3377 1.103300e+00
[9567,] 3378 615 -5.516498e-01
[9568,] 3378 771 -5.516498e-01
[9569,] 3378 3378 1.103300e+00
[9570,] 3379 615 -5.516498e-01
[9571,] 3379 771 -5.516498e-01
[9572,] 3379 3379 1.103300e+00
[9573,] 3380 615 -5.516498e-01
[9574,] 3380 771 -5.516498e-01
[9575,] 3380 3380 1.103300e+00
[9576,] 3381 615 -5.516498e-01
[9577,] 3381 771 -5.516498e-01
[9578,] 3381 3381 1.103300e+00
[9579,] 3382 615 -5.516498e-01
[9580,] 3382 771 -5.516498e-01
[9581,] 3382 3382 1.103300e+00
[9582,] 3383 615 -5.516498e-01
[9583,] 3383 771 -5.516498e-01
[9584,] 3383 3383 1.103300e+00
[9585,] 3384 615 -5.516498e-01
[9586,] 3384 771 -5.516498e-01
[9587,] 3384 3384 1.103300e+00
[9588,] 3385 615 -5.516498e-01
[9589,] 3385 771 -5.516498e-01
[9590,] 3385 3385 1.103300e+00
[9591,] 3386 615 -5.516498e-01
[9592,] 3386 771 -5.516498e-01
[9593,] 3386 3386 1.103300e+00
[9594,] 3387 615 -5.516498e-01
[9595,] 3387 771 -5.516498e-01
[9596,] 3387 3387 1.103300e+00
[9597,] 3388 615 -5.516498e-01
[9598,] 3388 771 -5.516498e-01
[9599,] 3388 3388 1.103300e+00
[9600,] 3389 615 -5.516498e-01
[9601,] 3389 771 -5.516498e-01
[9602,] 3389 3389 1.103300e+00
[9603,] 3390 615 -5.516498e-01
[9604,] 3390 771 -5.516498e-01
[9605,] 3390 3390 1.103300e+00
[9606,] 3391 615 -5.516498e-01
[9607,] 3391 771 -5.516498e-01
[9608,] 3391 3391 1.103300e+00
[9609,] 3392 615 -5.516498e-01
[9610,] 3392 771 -5.516498e-01
[9611,] 3392 3392 1.103300e+00
[9612,] 3393 615 -5.516498e-01
[9613,] 3393 771 -5.516498e-01
[9614,] 3393 3393 1.103300e+00
[9615,] 3394 159 -4.320675e-01
[9616,] 3394 720 -4.320675e-01
[9617,] 3394 3394 8.641350e-01
[9618,] 3395 159 -4.320675e-01
[9619,] 3395 720 -4.320675e-01
[9620,] 3395 3395 8.641350e-01
[9621,] 3396 159 -4.320675e-01
[9622,] 3396 720 -4.320675e-01
[9623,] 3396 3396 8.641350e-01
[9624,] 3397 159 -4.320675e-01
[9625,] 3397 720 -4.320675e-01
[9626,] 3397 3397 8.641350e-01
[9627,] 3398 159 -4.320675e-01
[9628,] 3398 720 -4.320675e-01
[9629,] 3398 3398 8.641350e-01
[9630,] 3399 159 -4.320675e-01
[9631,] 3399 720 -4.320675e-01
[9632,] 3399 3399 8.641350e-01
[9633,] 3400 159 -4.320675e-01
[9634,] 3400 720 -4.320675e-01
[9635,] 3400 3400 8.641350e-01
[9636,] 3401 159 -4.320675e-01
[9637,] 3401 720 -4.320675e-01
[9638,] 3401 3401 8.641350e-01
[9639,] 3402 159 -4.320675e-01
[9640,] 3402 720 -4.320675e-01
[9641,] 3402 3402 8.641350e-01
[9642,] 3403 159 -3.636364e-01
[9643,] 3403 575 -3.636364e-01
[9644,] 3403 3403 7.272727e-01
[9645,] 3404 159 -3.636364e-01
[9646,] 3404 576 -3.636364e-01
[9647,] 3404 3404 7.272727e-01
[9648,] 3405 159 -3.636364e-01
[9649,] 3405 576 -3.636364e-01
[9650,] 3405 3405 7.272727e-01
[9651,] 3406 160 -3.636364e-01
[9652,] 3406 576 -3.636364e-01
[9653,] 3406 3406 7.272727e-01
[9654,] 3407 161 -3.636364e-01
[9655,] 3407 576 -3.636364e-01
[9656,] 3407 3407 7.272727e-01
[9657,] 3408 615 -5.516498e-01
[9658,] 3408 772 -5.516498e-01
[9659,] 3408 3408 1.103300e+00
[9660,] 3409 615 -5.516498e-01
[9661,] 3409 772 -5.516498e-01
[9662,] 3409 3409 1.103300e+00
[9663,] 3410 615 -5.516498e-01
[9664,] 3410 772 -5.516498e-01
[9665,] 3410 3410 1.103300e+00
[9666,] 3411 615 -5.516498e-01
[9667,] 3411 772 -5.516498e-01
[9668,] 3411 3411 1.103300e+00
[9669,] 3412 615 -5.516498e-01
[9670,] 3412 772 -5.516498e-01
[9671,] 3412 3412 1.103300e+00
[9672,] 3413 615 -5.516498e-01
[9673,] 3413 772 -5.516498e-01
[9674,] 3413 3413 1.103300e+00
[9675,] 3414 615 -5.516498e-01
[9676,] 3414 772 -5.516498e-01
[9677,] 3414 3414 1.103300e+00
[9678,] 3415 615 -5.516498e-01
[9679,] 3415 772 -5.516498e-01
[9680,] 3415 3415 1.103300e+00
[9681,] 3416 615 -5.516498e-01
[9682,] 3416 772 -5.516498e-01
[9683,] 3416 3416 1.103300e+00
[9684,] 3417 615 -5.516498e-01
[9685,] 3417 772 -5.516498e-01
[9686,] 3417 3417 1.103300e+00
[9687,] 3418 615 -5.516498e-01
[9688,] 3418 772 -5.516498e-01
[9689,] 3418 3418 1.103300e+00
[9690,] 3419 615 -5.516498e-01
[9691,] 3419 772 -5.516498e-01
[9692,] 3419 3419 1.103300e+00
[9693,] 3420 615 -5.516498e-01
[9694,] 3420 772 -5.516498e-01
[9695,] 3420 3420 1.103300e+00
[9696,] 3421 615 -5.516498e-01
[9697,] 3421 772 -5.516498e-01
[9698,] 3421 3421 1.103300e+00
[9699,] 3422 615 -5.516498e-01
[9700,] 3422 772 -5.516498e-01
[9701,] 3422 3422 1.103300e+00
[9702,] 3423 615 -5.516498e-01
[9703,] 3423 772 -5.516498e-01
[9704,] 3423 3423 1.103300e+00
[9705,] 3424 615 -5.516498e-01
[9706,] 3424 772 -5.516498e-01
[9707,] 3424 3424 1.103300e+00
[9708,] 3425 615 -5.516498e-01
[9709,] 3425 772 -5.516498e-01
[9710,] 3425 3425 1.103300e+00
[9711,] 3426 615 -5.516498e-01
[9712,] 3426 772 -5.516498e-01
[9713,] 3426 3426 1.103300e+00
[9714,] 3427 615 -5.516498e-01
[9715,] 3427 772 -5.516498e-01
[9716,] 3427 3427 1.103300e+00
[9717,] 3428 615 -5.516498e-01
[9718,] 3428 772 -5.516498e-01
[9719,] 3428 3428 1.103300e+00
[9720,] 3429 615 -5.516498e-01
[9721,] 3429 772 -5.516498e-01
[9722,] 3429 3429 1.103300e+00
[9723,] 3430 615 -5.516498e-01
[9724,] 3430 772 -5.516498e-01
[9725,] 3430 3430 1.103300e+00
[9726,] 3431 615 -5.516498e-01
[9727,] 3431 772 -5.516498e-01
[9728,] 3431 3431 1.103300e+00
[9729,] 3432 615 -5.516498e-01
[9730,] 3432 772 -5.516498e-01
[9731,] 3432 3432 1.103300e+00
[9732,] 3433 615 -5.516498e-01
[9733,] 3433 772 -5.516498e-01
[9734,] 3433 3433 1.103300e+00
[9735,] 3434 615 -5.516498e-01
[9736,] 3434 772 -5.516498e-01
[9737,] 3434 3434 1.103300e+00
[9738,] 3435 615 -5.516498e-01
[9739,] 3435 772 -5.516498e-01
[9740,] 3435 3435 1.103300e+00
[9741,] 3436 615 -5.516498e-01
[9742,] 3436 772 -5.516498e-01
[9743,] 3436 3436 1.103300e+00
[9744,] 3437 615 -5.516498e-01
[9745,] 3437 772 -5.516498e-01
[9746,] 3437 3437 1.103300e+00
[9747,] 3438 615 -5.516498e-01
[9748,] 3438 772 -5.516498e-01
[9749,] 3438 3438 1.103300e+00
[9750,] 3439 615 -5.516498e-01
[9751,] 3439 772 -5.516498e-01
[9752,] 3439 3439 1.103300e+00
[9753,] 3440 615 -5.516498e-01
[9754,] 3440 772 -5.516498e-01
[9755,] 3440 3440 1.103300e+00
[9756,] 3441 615 -5.516498e-01
[9757,] 3441 772 -5.516498e-01
[9758,] 3441 3441 1.103300e+00
[9759,] 3442 615 -5.516498e-01
[9760,] 3442 772 -5.516498e-01
[9761,] 3442 3442 1.103300e+00
[9762,] 3443 615 -5.516498e-01
[9763,] 3443 772 -5.516498e-01
[9764,] 3443 3443 1.103300e+00
[9765,] 3444 615 -5.516498e-01
[9766,] 3444 772 -5.516498e-01
[9767,] 3444 3444 1.103300e+00
[9768,] 3445 615 -5.516498e-01
[9769,] 3445 772 -5.516498e-01
[9770,] 3445 3445 1.103300e+00
[9771,] 3446 615 -5.516498e-01
[9772,] 3446 772 -5.516498e-01
[9773,] 3446 3446 1.103300e+00
[9774,] 3447 615 -5.516498e-01
[9775,] 3447 772 -5.516498e-01
[9776,] 3447 3447 1.103300e+00
[9777,] 3448 615 -5.516498e-01
[9778,] 3448 772 -5.516498e-01
[9779,] 3448 3448 1.103300e+00
[9780,] 3449 615 -5.516498e-01
[9781,] 3449 772 -5.516498e-01
[9782,] 3449 3449 1.103300e+00
[9783,] 3450 615 -5.516498e-01
[9784,] 3450 772 -5.516498e-01
[9785,] 3450 3450 1.103300e+00
[9786,] 3451 615 -5.516498e-01
[9787,] 3451 772 -5.516498e-01
[9788,] 3451 3451 1.103300e+00
[9789,] 3452 615 -5.516498e-01
[9790,] 3452 772 -5.516498e-01
[9791,] 3452 3452 1.103300e+00
[9792,] 3453 615 -5.516498e-01
[9793,] 3453 772 -5.516498e-01
[9794,] 3453 3453 1.103300e+00
[9795,] 3454 615 -5.516498e-01
[9796,] 3454 772 -5.516498e-01
[9797,] 3454 3454 1.103300e+00
[9798,] 3455 615 -5.516498e-01
[9799,] 3455 772 -5.516498e-01
[9800,] 3455 3455 1.103300e+00
[9801,] 3456 615 -5.516498e-01
[9802,] 3456 772 -5.516498e-01
[9803,] 3456 3456 1.103300e+00
[9804,] 3457 615 -5.516498e-01
[9805,] 3457 772 -5.516498e-01
[9806,] 3457 3457 1.103300e+00
[9807,] 3458 615 -5.516498e-01
[9808,] 3458 772 -5.516498e-01
[9809,] 3458 3458 1.103300e+00
[9810,] 3459 615 -5.516498e-01
[9811,] 3459 772 -5.516498e-01
[9812,] 3459 3459 1.103300e+00
[9813,] 3460 615 -5.516498e-01
[9814,] 3460 772 -5.516498e-01
[9815,] 3460 3460 1.103300e+00
[9816,] 3461 615 -5.516498e-01
[9817,] 3461 772 -5.516498e-01
[9818,] 3461 3461 1.103300e+00
[9819,] 3462 615 -5.516498e-01
[9820,] 3462 772 -5.516498e-01
[9821,] 3462 3462 1.103300e+00
[9822,] 3463 162 -3.636364e-01
[9823,] 3463 575 -3.636364e-01
[9824,] 3463 3463 7.272727e-01
[9825,] 3464 615 -5.516498e-01
[9826,] 3464 773 -5.516498e-01
[9827,] 3464 3464 1.103300e+00
[9828,] 3465 615 -5.516498e-01
[9829,] 3465 773 -5.516498e-01
[9830,] 3465 3465 1.103300e+00
[9831,] 3466 615 -5.516498e-01
[9832,] 3466 773 -5.516498e-01
[9833,] 3466 3466 1.103300e+00
[9834,] 3467 615 -5.516498e-01
[9835,] 3467 773 -5.516498e-01
[9836,] 3467 3467 1.103300e+00
[9837,] 3468 615 -5.516498e-01
[9838,] 3468 773 -5.516498e-01
[9839,] 3468 3468 1.103300e+00
[9840,] 3469 615 -5.516498e-01
[9841,] 3469 773 -5.516498e-01
[9842,] 3469 3469 1.103300e+00
[9843,] 3470 615 -5.516498e-01
[9844,] 3470 773 -5.516498e-01
[9845,] 3470 3470 1.103300e+00
[9846,] 3471 93 -3.636364e-01
[9847,] 3471 773 -3.636364e-01
[9848,] 3471 3471 7.272727e-01
[9849,] 3472 93 -3.636364e-01
[9850,] 3472 773 -3.636364e-01
[9851,] 3472 3472 7.272727e-01
[9852,] 3473 93 -3.636364e-01
[9853,] 3473 163 -3.636364e-01
[9854,] 3473 3473 7.272727e-01
[9855,] 3474 164 -3.636364e-01
[9856,] 3474 577 -3.636364e-01
[9857,] 3474 3474 7.272727e-01
[9858,] 3475 164 -3.636364e-01
[9859,] 3475 577 -3.636364e-01
[9860,] 3475 3475 7.272727e-01
[9861,] 3476 615 -5.516498e-01
[9862,] 3476 774 -5.516498e-01
[9863,] 3476 3476 1.103300e+00
[9864,] 3477 615 -5.516498e-01
[9865,] 3477 774 -5.516498e-01
[9866,] 3477 3477 1.103300e+00
[9867,] 3478 615 -5.516498e-01
[9868,] 3478 774 -5.516498e-01
[9869,] 3478 3478 1.103300e+00
[9870,] 3479 615 -5.516498e-01
[9871,] 3479 774 -5.516498e-01
[9872,] 3479 3479 1.103300e+00
[9873,] 3480 615 -5.516498e-01
[9874,] 3480 774 -5.516498e-01
[9875,] 3480 3480 1.103300e+00
[9876,] 3481 615 -5.516498e-01
[9877,] 3481 774 -5.516498e-01
[9878,] 3481 3481 1.103300e+00
[9879,] 3482 615 -5.516498e-01
[9880,] 3482 774 -5.516498e-01
[9881,] 3482 3482 1.103300e+00
[9882,] 3483 615 -5.516498e-01
[9883,] 3483 774 -5.516498e-01
[9884,] 3483 3483 1.103300e+00
[9885,] 3484 615 -5.516498e-01
[9886,] 3484 774 -5.516498e-01
[9887,] 3484 3484 1.103300e+00
[9888,] 3485 615 -5.516498e-01
[9889,] 3485 774 -5.516498e-01
[9890,] 3485 3485 1.103300e+00
[9891,] 3486 615 -5.516498e-01
[9892,] 3486 774 -5.516498e-01
[9893,] 3486 3486 1.103300e+00
[9894,] 3487 615 -5.516498e-01
[9895,] 3487 774 -5.516498e-01
[9896,] 3487 3487 1.103300e+00
[9897,] 3488 615 -5.516498e-01
[9898,] 3488 774 -5.516498e-01
[9899,] 3488 3488 1.103300e+00
[9900,] 3489 615 -5.516498e-01
[9901,] 3489 774 -5.516498e-01
[9902,] 3489 3489 1.103300e+00
[9903,] 3490 615 -5.516498e-01
[9904,] 3490 774 -5.516498e-01
[9905,] 3490 3490 1.103300e+00
[9906,] 3491 615 -5.516498e-01
[9907,] 3491 774 -5.516498e-01
[9908,] 3491 3491 1.103300e+00
[9909,] 3492 615 -5.516498e-01
[9910,] 3492 774 -5.516498e-01
[9911,] 3492 3492 1.103300e+00
[9912,] 3493 615 -5.516498e-01
[9913,] 3493 774 -5.516498e-01
[9914,] 3493 3493 1.103300e+00
[9915,] 3494 615 -5.516498e-01
[9916,] 3494 774 -5.516498e-01
[9917,] 3494 3494 1.103300e+00
[9918,] 3495 615 -5.516498e-01
[9919,] 3495 774 -5.516498e-01
[9920,] 3495 3495 1.103300e+00
[9921,] 3496 615 -5.516498e-01
[9922,] 3496 774 -5.516498e-01
[9923,] 3496 3496 1.103300e+00
[9924,] 3497 165 -3.636364e-01
[9925,] 3497 575 -3.636364e-01
[9926,] 3497 3497 7.272727e-01
[9927,] 3498 166 -3.636364e-01
[9928,] 3498 577 -3.636364e-01
[9929,] 3498 3498 7.272727e-01
[9930,] 3499 166 -3.636364e-01
[9931,] 3499 577 -3.636364e-01
[9932,] 3499 3499 7.272727e-01
[9933,] 3500 615 -5.516498e-01
[9934,] 3500 775 -5.516498e-01
[9935,] 3500 3500 1.103300e+00
[9936,] 3501 615 -5.516498e-01
[9937,] 3501 775 -5.516498e-01
[9938,] 3501 3501 1.103300e+00
[9939,] 3502 615 -5.516498e-01
[9940,] 3502 775 -5.516498e-01
[9941,] 3502 3502 1.103300e+00
[9942,] 3503 615 -5.516498e-01
[9943,] 3503 775 -5.516498e-01
[9944,] 3503 3503 1.103300e+00
[9945,] 3504 615 -5.516498e-01
[9946,] 3504 775 -5.516498e-01
[9947,] 3504 3504 1.103300e+00
[9948,] 3505 651 -6.975477e-01
[9949,] 3505 776 -6.975477e-01
[9950,] 3505 3505 1.395095e+00
[9951,] 3506 615 -5.516498e-01
[9952,] 3506 779 -5.516498e-01
[9953,] 3506 3506 1.103300e+00
[9954,] 3507 615 -5.516498e-01
[9955,] 3507 779 -5.516498e-01
[9956,] 3507 3507 1.103300e+00
[9957,] 3508 615 -5.516498e-01
[9958,] 3508 779 -5.516498e-01
[9959,] 3508 3508 1.103300e+00
[9960,] 3509 615 -5.516498e-01
[9961,] 3509 779 -5.516498e-01
[9962,] 3509 3509 1.103300e+00
[9963,] 3510 615 -5.516498e-01
[9964,] 3510 779 -5.516498e-01
[9965,] 3510 3510 1.103300e+00
[9966,] 3511 615 -5.516498e-01
[9967,] 3511 779 -5.516498e-01
[9968,] 3511 3511 1.103300e+00
[9969,] 3512 615 -5.516498e-01
[9970,] 3512 779 -5.516498e-01
[9971,] 3512 3512 1.103300e+00
[9972,] 3513 615 -5.516498e-01
[9973,] 3513 782 -5.516498e-01
[9974,] 3513 3513 1.103300e+00
[9975,] 3514 615 -5.516498e-01
[9976,] 3514 782 -5.516498e-01
[9977,] 3514 3514 1.103300e+00
[9978,] 3515 615 -5.516498e-01
[9979,] 3515 782 -5.516498e-01
[9980,] 3515 3515 1.103300e+00
[9981,] 3516 615 -5.516498e-01
[9982,] 3516 783 -5.516498e-01
[9983,] 3516 3516 1.103300e+00
[9984,] 3517 615 -5.516498e-01
[9985,] 3517 783 -5.516498e-01
[9986,] 3517 3517 1.103300e+00
[9987,] 3518 651 -6.975477e-01
[9988,] 3518 784 -6.975477e-01
[9989,] 3518 3518 1.395095e+00
[9990,] 3519 651 -6.975477e-01
[9991,] 3519 784 -6.975477e-01
[9992,] 3519 3519 1.395095e+00
[9993,] 3520 651 -6.975477e-01
[9994,] 3520 784 -6.975477e-01
[9995,] 3520 3520 1.395095e+00
[9996,] 3521 651 -6.975477e-01
[9997,] 3521 784 -6.975477e-01
[9998,] 3521 3521 1.395095e+00
[9999,] 3522 651 -6.975477e-01
[10000,] 3522 784 -6.975477e-01
[10001,] 3522 3522 1.395095e+00
[10002,] 3523 651 -6.975477e-01
[10003,] 3523 784 -6.975477e-01
[10004,] 3523 3523 1.395095e+00
[10005,] 3524 651 -6.975477e-01
[10006,] 3524 784 -6.975477e-01
[10007,] 3524 3524 1.395095e+00
[10008,] 3525 651 -6.975477e-01
[10009,] 3525 785 -6.975477e-01
[10010,] 3525 3525 1.395095e+00
[10011,] 3526 651 -6.975477e-01
[10012,] 3526 785 -6.975477e-01
[10013,] 3526 3526 1.395095e+00
[10014,] 3527 651 -6.975477e-01
[10015,] 3527 785 -6.975477e-01
[10016,] 3527 3527 1.395095e+00
[10017,] 3528 651 -6.975477e-01
[10018,] 3528 785 -6.975477e-01
[10019,] 3528 3528 1.395095e+00
[10020,] 3529 619 -7.267888e-01
[10021,] 3529 786 -7.267888e-01
[10022,] 3529 3529 1.453578e+00
[10023,] 3530 619 -7.267888e-01
[10024,] 3530 786 -7.267888e-01
[10025,] 3530 3530 1.453578e+00
[10026,] 3531 619 -7.267888e-01
[10027,] 3531 786 -7.267888e-01
[10028,] 3531 3531 1.453578e+00
[10029,] 3532 619 -7.267888e-01
[10030,] 3532 786 -7.267888e-01
[10031,] 3532 3532 1.453578e+00
[10032,] 3533 619 -7.267888e-01
[10033,] 3533 786 -7.267888e-01
[10034,] 3533 3533 1.453578e+00
[10035,] 3534 619 -7.267888e-01
[10036,] 3534 786 -7.267888e-01
[10037,] 3534 3534 1.453578e+00
[10038,] 3535 619 -7.267888e-01
[10039,] 3535 786 -7.267888e-01
[10040,] 3535 3535 1.453578e+00
[10041,] 3536 619 -7.267888e-01
[10042,] 3536 786 -7.267888e-01
[10043,] 3536 3536 1.453578e+00
[10044,] 3537 619 -7.267888e-01
[10045,] 3537 786 -7.267888e-01
[10046,] 3537 3537 1.453578e+00
[10047,] 3538 619 -7.267888e-01
[10048,] 3538 786 -7.267888e-01
[10049,] 3538 3538 1.453578e+00
[10050,] 3539 619 -7.267888e-01
[10051,] 3539 786 -7.267888e-01
[10052,] 3539 3539 1.453578e+00
[10053,] 3540 619 -7.267888e-01
[10054,] 3540 786 -7.267888e-01
[10055,] 3540 3540 1.453578e+00
[10056,] 3541 619 -7.267888e-01
[10057,] 3541 786 -7.267888e-01
[10058,] 3541 3541 1.453578e+00
[10059,] 3542 619 -7.267888e-01
[10060,] 3542 786 -7.267888e-01
[10061,] 3542 3542 1.453578e+00
[10062,] 3543 619 -7.267888e-01
[10063,] 3543 786 -7.267888e-01
[10064,] 3543 3543 1.453578e+00
[10065,] 3544 619 -7.267888e-01
[10066,] 3544 786 -7.267888e-01
[10067,] 3544 3544 1.453578e+00
[10068,] 3545 619 -7.267888e-01
[10069,] 3545 786 -7.267888e-01
[10070,] 3545 3545 1.453578e+00
[10071,] 3546 619 -7.267888e-01
[10072,] 3546 786 -7.267888e-01
[10073,] 3546 3546 1.453578e+00
[10074,] 3547 619 -7.267888e-01
[10075,] 3547 786 -7.267888e-01
[10076,] 3547 3547 1.453578e+00
[10077,] 3548 619 -7.267888e-01
[10078,] 3548 786 -7.267888e-01
[10079,] 3548 3548 1.453578e+00
[10080,] 3549 619 -7.267888e-01
[10081,] 3549 786 -7.267888e-01
[10082,] 3549 3549 1.453578e+00
[10083,] 3550 619 -7.267888e-01
[10084,] 3550 786 -7.267888e-01
[10085,] 3550 3550 1.453578e+00
[10086,] 3551 615 -5.516498e-01
[10087,] 3551 787 -5.516498e-01
[10088,] 3551 3551 1.103300e+00
[10089,] 3552 615 -5.516498e-01
[10090,] 3552 787 -5.516498e-01
[10091,] 3552 3552 1.103300e+00
[10092,] 3553 615 -5.516498e-01
[10093,] 3553 787 -5.516498e-01
[10094,] 3553 3553 1.103300e+00
[10095,] 3554 615 -5.516498e-01
[10096,] 3554 787 -5.516498e-01
[10097,] 3554 3554 1.103300e+00
[10098,] 3555 615 -5.516498e-01
[10099,] 3555 787 -5.516498e-01
[10100,] 3555 3555 1.103300e+00
[10101,] 3556 651 -6.975477e-01
[10102,] 3556 788 -6.975477e-01
[10103,] 3556 3556 1.395095e+00
[10104,] 3557 651 -6.975477e-01
[10105,] 3557 788 -6.975477e-01
[10106,] 3557 3557 1.395095e+00
[10107,] 3558 651 -6.975477e-01
[10108,] 3558 788 -6.975477e-01
[10109,] 3558 3558 1.395095e+00
[10110,] 3559 651 -6.975477e-01
[10111,] 3559 788 -6.975477e-01
[10112,] 3559 3559 1.395095e+00
[10113,] 3560 651 -6.975477e-01
[10114,] 3560 788 -6.975477e-01
[10115,] 3560 3560 1.395095e+00
[10116,] 3561 651 -6.975477e-01
[10117,] 3561 788 -6.975477e-01
[10118,] 3561 3561 1.395095e+00
[10119,] 3562 651 -6.975477e-01
[10120,] 3562 788 -6.975477e-01
[10121,] 3562 3562 1.395095e+00
[10122,] 3563 651 -6.975477e-01
[10123,] 3563 788 -6.975477e-01
[10124,] 3563 3563 1.395095e+00
[10125,] 3564 651 -6.975477e-01
[10126,] 3564 788 -6.975477e-01
[10127,] 3564 3564 1.395095e+00
[10128,] 3565 651 -6.975477e-01
[10129,] 3565 788 -6.975477e-01
[10130,] 3565 3565 1.395095e+00
[10131,] 3566 651 -6.975477e-01
[10132,] 3566 788 -6.975477e-01
[10133,] 3566 3566 1.395095e+00
[10134,] 3567 651 -6.975477e-01
[10135,] 3567 788 -6.975477e-01
[10136,] 3567 3567 1.395095e+00
[10137,] 3568 651 -6.975477e-01
[10138,] 3568 788 -6.975477e-01
[10139,] 3568 3568 1.395095e+00
[10140,] 3569 651 -6.975477e-01
[10141,] 3569 788 -6.975477e-01
[10142,] 3569 3569 1.395095e+00
[10143,] 3570 651 -6.975477e-01
[10144,] 3570 788 -6.975477e-01
[10145,] 3570 3570 1.395095e+00
[10146,] 3571 651 -6.975477e-01
[10147,] 3571 788 -6.975477e-01
[10148,] 3571 3571 1.395095e+00
[10149,] 3572 651 -6.975477e-01
[10150,] 3572 788 -6.975477e-01
[10151,] 3572 3572 1.395095e+00
[10152,] 3573 720 -7.670412e-01
[10153,] 3573 723 -7.670412e-01
[10154,] 3573 3573 1.534082e+00
[10155,] 3574 720 -7.670412e-01
[10156,] 3574 723 -7.670412e-01
[10157,] 3574 3574 1.534082e+00
[10158,] 3575 720 -7.670412e-01
[10159,] 3575 723 -7.670412e-01
[10160,] 3575 3575 1.534082e+00
[10161,] 3576 720 -7.670412e-01
[10162,] 3576 723 -7.670412e-01
[10163,] 3576 3576 1.534082e+00
[10164,] 3577 619 -5.515755e-01
[10165,] 3577 733 -5.515755e-01
[10166,] 3577 3577 1.103151e+00
[10167,] 3578 619 -5.515755e-01
[10168,] 3578 733 -5.515755e-01
[10169,] 3578 3578 1.103151e+00
[10170,] 3579 619 -5.515755e-01
[10171,] 3579 733 -5.515755e-01
[10172,] 3579 3579 1.103151e+00
[10173,] 3580 619 -5.515755e-01
[10174,] 3580 733 -5.515755e-01
[10175,] 3580 3580 1.103151e+00
[10176,] 3581 619 -5.515755e-01
[10177,] 3581 733 -5.515755e-01
[10178,] 3581 3581 1.103151e+00
[10179,] 3582 619 -5.515755e-01
[10180,] 3582 733 -5.515755e-01
[10181,] 3582 3582 1.103151e+00
[10182,] 3583 619 -5.515755e-01
[10183,] 3583 733 -5.515755e-01
[10184,] 3583 3583 1.103151e+00
[10185,] 3584 619 -5.515755e-01
[10186,] 3584 733 -5.515755e-01
[10187,] 3584 3584 1.103151e+00
[10188,] 3585 614 -5.516498e-01
[10189,] 3585 733 -5.516498e-01
[10190,] 3585 3585 1.103300e+00
[10191,] 3586 614 -5.516498e-01
[10192,] 3586 733 -5.516498e-01
[10193,] 3586 3586 1.103300e+00
[10194,] 3587 614 -5.516498e-01
[10195,] 3587 733 -5.516498e-01
[10196,] 3587 3587 1.103300e+00
[10197,] 3588 614 -5.516498e-01
[10198,] 3588 733 -5.516498e-01
[10199,] 3588 3588 1.103300e+00
[10200,] 3589 615 -5.516498e-01
[10201,] 3589 733 -5.516498e-01
[10202,] 3589 3589 1.103300e+00
[10203,] 3590 615 -5.516498e-01
[10204,] 3590 733 -5.516498e-01
[10205,] 3590 3590 1.103300e+00
[10206,] 3591 615 -5.516498e-01
[10207,] 3591 733 -5.516498e-01
[10208,] 3591 3591 1.103300e+00
[10209,] 3592 615 -5.516498e-01
[10210,] 3592 733 -5.516498e-01
[10211,] 3592 3592 1.103300e+00
[10212,] 3593 615 -5.516498e-01
[10213,] 3593 733 -5.516498e-01
[10214,] 3593 3593 1.103300e+00
[10215,] 3594 615 -5.516498e-01
[10216,] 3594 733 -5.516498e-01
[10217,] 3594 3594 1.103300e+00
[10218,] 3595 615 -5.516498e-01
[10219,] 3595 733 -5.516498e-01
[10220,] 3595 3595 1.103300e+00
[10221,] 3596 615 -5.516498e-01
[10222,] 3596 733 -5.516498e-01
[10223,] 3596 3596 1.103300e+00
[10224,] 3597 615 -5.516498e-01
[10225,] 3597 733 -5.516498e-01
[10226,] 3597 3597 1.103300e+00
[10227,] 3598 615 -5.516498e-01
[10228,] 3598 733 -5.516498e-01
[10229,] 3598 3598 1.103300e+00
[10230,] 3599 615 -5.516498e-01
[10231,] 3599 733 -5.516498e-01
[10232,] 3599 3599 1.103300e+00
[10233,] 3600 615 -5.516498e-01
[10234,] 3600 733 -5.516498e-01
[10235,] 3600 3600 1.103300e+00
[10236,] 3601 615 -5.516498e-01
[10237,] 3601 733 -5.516498e-01
[10238,] 3601 3601 1.103300e+00
[10239,] 3602 615 -5.516498e-01
[10240,] 3602 733 -5.516498e-01
[10241,] 3602 3602 1.103300e+00
[10242,] 3603 615 -5.516498e-01
[10243,] 3603 733 -5.516498e-01
[10244,] 3603 3603 1.103300e+00
[10245,] 3604 615 -5.516498e-01
[10246,] 3604 733 -5.516498e-01
[10247,] 3604 3604 1.103300e+00
[10248,] 3605 167 -3.636364e-01
[10249,] 3605 575 -3.636364e-01
[10250,] 3605 3605 7.272727e-01
[10251,] 3606 651 -7.042641e-01
[10252,] 3606 733 -7.042641e-01
[10253,] 3606 3606 1.408528e+00
[10254,] 3607 651 -7.042641e-01
[10255,] 3607 733 -7.042641e-01
[10256,] 3607 3607 1.408528e+00
[10257,] 3608 651 -7.042641e-01
[10258,] 3608 733 -7.042641e-01
[10259,] 3608 3608 1.408528e+00
[10260,] 3609 651 -7.042641e-01
[10261,] 3609 733 -7.042641e-01
[10262,] 3609 3609 1.408528e+00
[10263,] 3610 651 -7.042641e-01
[10264,] 3610 733 -7.042641e-01
[10265,] 3610 3610 1.408528e+00
[10266,] 3611 651 -7.042641e-01
[10267,] 3611 733 -7.042641e-01
[10268,] 3611 3611 1.408528e+00
[10269,] 3612 651 -6.745718e-01
[10270,] 3612 693 -6.745718e-01
[10271,] 3612 3612 1.349144e+00
[10272,] 3613 651 -6.745718e-01
[10273,] 3613 693 -6.745718e-01
[10274,] 3613 3613 1.349144e+00
[10275,] 3614 651 -6.745718e-01
[10276,] 3614 693 -6.745718e-01
[10277,] 3614 3614 1.349144e+00
[10278,] 3615 651 -6.745718e-01
[10279,] 3615 693 -6.745718e-01
[10280,] 3615 3615 1.349144e+00
[10281,] 3616 651 -6.745718e-01
[10282,] 3616 693 -6.745718e-01
[10283,] 3616 3616 1.349144e+00
[10284,] 3617 651 -6.745718e-01
[10285,] 3617 693 -6.745718e-01
[10286,] 3617 3617 1.349144e+00
[10287,] 3618 651 -6.745718e-01
[10288,] 3618 693 -6.745718e-01
[10289,] 3618 3618 1.349144e+00
[10290,] 3619 651 -6.745718e-01
[10291,] 3619 693 -6.745718e-01
[10292,] 3619 3619 1.349144e+00
[10293,] 3620 651 -6.745718e-01
[10294,] 3620 693 -6.745718e-01
[10295,] 3620 3620 1.349144e+00
[10296,] 3621 651 -6.745718e-01
[10297,] 3621 693 -6.745718e-01
[10298,] 3621 3621 1.349144e+00
[10299,] 3622 93 -3.636364e-01
[10300,] 3622 575 -3.636364e-01
[10301,] 3622 3622 7.272727e-01
[10302,] 3623 93 -3.636364e-01
[10303,] 3623 575 -3.636364e-01
[10304,] 3623 3623 7.272727e-01
[10305,] 3624 93 -4.383562e-01
[10306,] 3624 651 -4.383562e-01
[10307,] 3624 3624 8.767123e-01
[10308,] 3625 93 -4.383562e-01
[10309,] 3625 651 -4.383562e-01
[10310,] 3625 3625 8.767123e-01
[10311,] 3626 93 -4.383562e-01
[10312,] 3626 651 -4.383562e-01
[10313,] 3626 3626 8.767123e-01
[10314,] 3627 93 -4.383562e-01
[10315,] 3627 651 -4.383562e-01
[10316,] 3627 3627 8.767123e-01
[10317,] 3628 93 -4.383562e-01
[10318,] 3628 651 -4.383562e-01
[10319,] 3628 3628 8.767123e-01
[10320,] 3629 93 -4.383562e-01
[10321,] 3629 651 -4.383562e-01
[10322,] 3629 3629 8.767123e-01
[10323,] 3630 93 -4.383562e-01
[10324,] 3630 651 -4.383562e-01
[10325,] 3630 3630 8.767123e-01
[10326,] 3631 93 -4.383562e-01
[10327,] 3631 651 -4.383562e-01
[10328,] 3631 3631 8.767123e-01
[10329,] 3632 93 -4.383562e-01
[10330,] 3632 651 -4.383562e-01
[10331,] 3632 3632 8.767123e-01
[10332,] 3633 93 -4.383562e-01
[10333,] 3633 651 -4.383562e-01
[10334,] 3633 3633 8.767123e-01
[10335,] 3634 93 -4.383562e-01
[10336,] 3634 651 -4.383562e-01
[10337,] 3634 3634 8.767123e-01
[10338,] 3635 93 -4.383562e-01
[10339,] 3635 651 -4.383562e-01
[10340,] 3635 3635 8.767123e-01
[10341,] 3636 93 -4.383562e-01
[10342,] 3636 651 -4.383562e-01
[10343,] 3636 3636 8.767123e-01
[10344,] 3637 93 -4.383562e-01
[10345,] 3637 651 -4.383562e-01
[10346,] 3637 3637 8.767123e-01
[10347,] 3638 93 -4.383562e-01
[10348,] 3638 651 -4.383562e-01
[10349,] 3638 3638 8.767123e-01
[10350,] 3639 93 -4.383562e-01
[10351,] 3639 651 -4.383562e-01
[10352,] 3639 3639 8.767123e-01
[10353,] 3640 93 -4.383562e-01
[10354,] 3640 651 -4.383562e-01
[10355,] 3640 3640 8.767123e-01
[10356,] 3641 93 -4.383562e-01
[10357,] 3641 651 -4.383562e-01
[10358,] 3641 3641 8.767123e-01
[10359,] 3642 93 -4.383562e-01
[10360,] 3642 651 -4.383562e-01
[10361,] 3642 3642 8.767123e-01
[10362,] 3643 93 -4.383562e-01
[10363,] 3643 651 -4.383562e-01
[10364,] 3643 3643 8.767123e-01
[10365,] 3644 93 -4.383562e-01
[10366,] 3644 651 -4.383562e-01
[10367,] 3644 3644 8.767123e-01
[10368,] 3645 93 -4.383562e-01
[10369,] 3645 651 -4.383562e-01
[10370,] 3645 3645 8.767123e-01
[10371,] 3646 93 -4.383562e-01
[10372,] 3646 651 -4.383562e-01
[10373,] 3646 3646 8.767123e-01
[10374,] 3647 93 -4.383562e-01
[10375,] 3647 651 -4.383562e-01
[10376,] 3647 3647 8.767123e-01
[10377,] 3648 93 -4.383562e-01
[10378,] 3648 651 -4.383562e-01
[10379,] 3648 3648 8.767123e-01
[10380,] 3649 93 -4.383562e-01
[10381,] 3649 651 -4.383562e-01
[10382,] 3649 3649 8.767123e-01
[10383,] 3650 93 -4.383562e-01
[10384,] 3650 651 -4.383562e-01
[10385,] 3650 3650 8.767123e-01
[10386,] 3651 93 -4.383562e-01
[10387,] 3651 651 -4.383562e-01
[10388,] 3651 3651 8.767123e-01
[10389,] 3652 94 -4.383562e-01
[10390,] 3652 651 -4.383562e-01
[10391,] 3652 3652 8.767123e-01
[10392,] 3653 94 -4.383562e-01
[10393,] 3653 651 -4.383562e-01
[10394,] 3653 3653 8.767123e-01
[10395,] 3654 94 -4.383562e-01
[10396,] 3654 651 -4.383562e-01
[10397,] 3654 3654 8.767123e-01
[10398,] 3655 94 -4.383562e-01
[10399,] 3655 651 -4.383562e-01
[10400,] 3655 3655 8.767123e-01
[10401,] 3656 94 -4.383562e-01
[10402,] 3656 651 -4.383562e-01
[10403,] 3656 3656 8.767123e-01
[10404,] 3657 94 -4.383562e-01
[10405,] 3657 651 -4.383562e-01
[10406,] 3657 3657 8.767123e-01
[10407,] 3658 94 -4.383562e-01
[10408,] 3658 651 -4.383562e-01
[10409,] 3658 3658 8.767123e-01
[10410,] 3659 94 -4.383562e-01
[10411,] 3659 651 -4.383562e-01
[10412,] 3659 3659 8.767123e-01
[10413,] 3660 94 -4.383562e-01
[10414,] 3660 651 -4.383562e-01
[10415,] 3660 3660 8.767123e-01
[10416,] 3661 94 -4.383562e-01
[10417,] 3661 651 -4.383562e-01
[10418,] 3661 3661 8.767123e-01
[10419,] 3662 94 -4.383562e-01
[10420,] 3662 651 -4.383562e-01
[10421,] 3662 3662 8.767123e-01
[10422,] 3663 94 -4.383562e-01
[10423,] 3663 651 -4.383562e-01
[10424,] 3663 3663 8.767123e-01
[10425,] 3664 94 -4.383562e-01
[10426,] 3664 651 -4.383562e-01
[10427,] 3664 3664 8.767123e-01
[10428,] 3665 94 -4.383562e-01
[10429,] 3665 651 -4.383562e-01
[10430,] 3665 3665 8.767123e-01
[10431,] 3666 94 -4.383562e-01
[10432,] 3666 651 -4.383562e-01
[10433,] 3666 3666 8.767123e-01
[10434,] 3667 94 -4.383562e-01
[10435,] 3667 651 -4.383562e-01
[10436,] 3667 3667 8.767123e-01
[10437,] 3668 94 -4.383562e-01
[10438,] 3668 651 -4.383562e-01
[10439,] 3668 3668 8.767123e-01
[10440,] 3669 94 -4.383562e-01
[10441,] 3669 651 -4.383562e-01
[10442,] 3669 3669 8.767123e-01
[10443,] 3670 94 -4.383562e-01
[10444,] 3670 651 -4.383562e-01
[10445,] 3670 3670 8.767123e-01
[10446,] 3671 94 -4.383562e-01
[10447,] 3671 651 -4.383562e-01
[10448,] 3671 3671 8.767123e-01
[10449,] 3672 94 -4.383562e-01
[10450,] 3672 651 -4.383562e-01
[10451,] 3672 3672 8.767123e-01
[10452,] 3673 94 -4.383562e-01
[10453,] 3673 651 -4.383562e-01
[10454,] 3673 3673 8.767123e-01
[10455,] 3674 94 -4.383562e-01
[10456,] 3674 651 -4.383562e-01
[10457,] 3674 3674 8.767123e-01
[10458,] 3675 94 -4.383562e-01
[10459,] 3675 651 -4.383562e-01
[10460,] 3675 3675 8.767123e-01
[10461,] 3676 94 -4.383562e-01
[10462,] 3676 651 -4.383562e-01
[10463,] 3676 3676 8.767123e-01
[10464,] 3677 95 -4.383562e-01
[10465,] 3677 651 -4.383562e-01
[10466,] 3677 3677 8.767123e-01
[10467,] 3678 95 -4.383562e-01
[10468,] 3678 651 -4.383562e-01
[10469,] 3678 3678 8.767123e-01
[10470,] 3679 95 -4.383562e-01
[10471,] 3679 651 -4.383562e-01
[10472,] 3679 3679 8.767123e-01
[10473,] 3680 95 -4.383562e-01
[10474,] 3680 651 -4.383562e-01
[10475,] 3680 3680 8.767123e-01
[10476,] 3681 615 -5.516498e-01
[10477,] 3681 777 -5.516498e-01
[10478,] 3681 3681 1.103300e+00
[10479,] 3682 615 -5.516498e-01
[10480,] 3682 777 -5.516498e-01
[10481,] 3682 3682 1.103300e+00
[10482,] 3683 615 -5.516498e-01
[10483,] 3683 777 -5.516498e-01
[10484,] 3683 3683 1.103300e+00
[10485,] 3684 615 -5.516498e-01
[10486,] 3684 777 -5.516498e-01
[10487,] 3684 3684 1.103300e+00
[10488,] 3685 615 -5.516498e-01
[10489,] 3685 777 -5.516498e-01
[10490,] 3685 3685 1.103300e+00
[10491,] 3686 615 -5.516498e-01
[10492,] 3686 777 -5.516498e-01
[10493,] 3686 3686 1.103300e+00
[10494,] 3687 615 -5.516498e-01
[10495,] 3687 777 -5.516498e-01
[10496,] 3687 3687 1.103300e+00
[10497,] 3688 615 -5.516498e-01
[10498,] 3688 777 -5.516498e-01
[10499,] 3688 3688 1.103300e+00
[10500,] 3689 615 -5.516498e-01
[10501,] 3689 777 -5.516498e-01
[10502,] 3689 3689 1.103300e+00
[10503,] 3690 615 -5.516498e-01
[10504,] 3690 777 -5.516498e-01
[10505,] 3690 3690 1.103300e+00
[10506,] 3691 615 -5.516498e-01
[10507,] 3691 777 -5.516498e-01
[10508,] 3691 3691 1.103300e+00
[10509,] 3692 615 -5.516498e-01
[10510,] 3692 777 -5.516498e-01
[10511,] 3692 3692 1.103300e+00
[10512,] 3693 615 -5.516498e-01
[10513,] 3693 778 -5.516498e-01
[10514,] 3693 3693 1.103300e+00
[10515,] 3694 615 -5.516498e-01
[10516,] 3694 778 -5.516498e-01
[10517,] 3694 3694 1.103300e+00
[10518,] 3695 615 -5.516498e-01
[10519,] 3695 778 -5.516498e-01
[10520,] 3695 3695 1.103300e+00
[10521,] 3696 615 -5.516498e-01
[10522,] 3696 778 -5.516498e-01
[10523,] 3696 3696 1.103300e+00
[10524,] 3697 615 -5.516498e-01
[10525,] 3697 778 -5.516498e-01
[10526,] 3697 3697 1.103300e+00
[10527,] 3698 615 -5.516498e-01
[10528,] 3698 778 -5.516498e-01
[10529,] 3698 3698 1.103300e+00
[10530,] 3699 615 -5.516498e-01
[10531,] 3699 778 -5.516498e-01
[10532,] 3699 3699 1.103300e+00
[10533,] 3700 615 -5.516498e-01
[10534,] 3700 778 -5.516498e-01
[10535,] 3700 3700 1.103300e+00
[10536,] 3701 615 -5.516498e-01
[10537,] 3701 778 -5.516498e-01
[10538,] 3701 3701 1.103300e+00
[10539,] 3702 615 -5.516498e-01
[10540,] 3702 778 -5.516498e-01
[10541,] 3702 3702 1.103300e+00
[10542,] 3703 615 -5.516498e-01
[10543,] 3703 778 -5.516498e-01
[10544,] 3703 3703 1.103300e+00
[10545,] 3704 615 -5.516498e-01
[10546,] 3704 778 -5.516498e-01
[10547,] 3704 3704 1.103300e+00
[10548,] 3705 615 -5.516498e-01
[10549,] 3705 778 -5.516498e-01
[10550,] 3705 3705 1.103300e+00
[10551,] 3706 168 -4.443962e-01
[10552,] 3706 614 -4.443962e-01
[10553,] 3706 3706 8.887924e-01
[10554,] 3707 168 -4.443962e-01
[10555,] 3707 614 -4.443962e-01
[10556,] 3707 3707 8.887924e-01
[10557,] 3708 168 -4.443962e-01
[10558,] 3708 614 -4.443962e-01
[10559,] 3708 3708 8.887924e-01
[10560,] 3709 168 -4.443962e-01
[10561,] 3709 614 -4.443962e-01
[10562,] 3709 3709 8.887924e-01
[10563,] 3710 168 -4.443962e-01
[10564,] 3710 614 -4.443962e-01
[10565,] 3710 3710 8.887924e-01
[10566,] 3711 168 -4.443962e-01
[10567,] 3711 614 -4.443962e-01
[10568,] 3711 3711 8.887924e-01
[10569,] 3712 67 -4.000000e-01
[10570,] 3712 169 -4.000000e-01
[10571,] 3712 3712 8.000000e-01
[10572,] 3713 651 -7.664671e-01
[10573,] 3713 791 -7.664671e-01
[10574,] 3713 3713 1.532934e+00
[10575,] 3714 651 -7.664671e-01
[10576,] 3714 791 -7.664671e-01
[10577,] 3714 3714 1.532934e+00
[10578,] 3715 651 -7.664671e-01
[10579,] 3715 791 -7.664671e-01
[10580,] 3715 3715 1.532934e+00
[10581,] 3716 651 -7.664671e-01
[10582,] 3716 791 -7.664671e-01
[10583,] 3716 3716 1.532934e+00
[10584,] 3717 651 -7.664671e-01
[10585,] 3717 791 -7.664671e-01
[10586,] 3717 3717 1.532934e+00
[10587,] 3718 651 -7.664671e-01
[10588,] 3718 791 -7.664671e-01
[10589,] 3718 3718 1.532934e+00
[10590,] 3719 651 -7.664671e-01
[10591,] 3719 791 -7.664671e-01
[10592,] 3719 3719 1.532934e+00
[10593,] 3720 651 -7.664671e-01
[10594,] 3720 791 -7.664671e-01
[10595,] 3720 3720 1.532934e+00
[10596,] 3721 67 -4.000000e-01
[10597,] 3721 170 -4.000000e-01
[10598,] 3721 3721 8.000000e-01
[10599,] 3722 67 -4.000000e-01
[10600,] 3722 170 -4.000000e-01
[10601,] 3722 3722 8.000000e-01
[10602,] 3723 67 -4.000000e-01
[10603,] 3723 170 -4.000000e-01
[10604,] 3723 3723 8.000000e-01
[10605,] 3724 171 -4.000000e-01
[10606,] 3724 575 -4.000000e-01
[10607,] 3724 3724 8.000000e-01
[10608,] 3725 172 -4.000000e-01
[10609,] 3725 578 -4.000000e-01
[10610,] 3725 3725 8.000000e-01
[10611,] 3726 172 -4.000000e-01
[10612,] 3726 578 -4.000000e-01
[10613,] 3726 3726 8.000000e-01
[10614,] 3727 173 -4.000000e-01
[10615,] 3727 273 -4.000000e-01
[10616,] 3727 3727 8.000000e-01
[10617,] 3728 619 -7.994535e-01
[10618,] 3728 792 -7.994535e-01
[10619,] 3728 3728 1.598907e+00
[10620,] 3729 619 -7.994535e-01
[10621,] 3729 792 -7.994535e-01
[10622,] 3729 3729 1.598907e+00
[10623,] 3730 619 -7.994535e-01
[10624,] 3730 792 -7.994535e-01
[10625,] 3730 3730 1.598907e+00
[10626,] 3731 619 -7.994535e-01
[10627,] 3731 792 -7.994535e-01
[10628,] 3731 3731 1.598907e+00
[10629,] 3732 619 -7.994535e-01
[10630,] 3732 792 -7.994535e-01
[10631,] 3732 3732 1.598907e+00
[10632,] 3733 619 -7.994535e-01
[10633,] 3733 792 -7.994535e-01
[10634,] 3733 3733 1.598907e+00
[10635,] 3734 619 -7.994535e-01
[10636,] 3734 792 -7.994535e-01
[10637,] 3734 3734 1.598907e+00
[10638,] 3735 619 -7.994535e-01
[10639,] 3735 792 -7.994535e-01
[10640,] 3735 3735 1.598907e+00
[10641,] 3736 619 -7.994535e-01
[10642,] 3736 792 -7.994535e-01
[10643,] 3736 3736 1.598907e+00
[10644,] 3737 619 -7.994535e-01
[10645,] 3737 792 -7.994535e-01
[10646,] 3737 3737 1.598907e+00
[10647,] 3738 619 -7.994535e-01
[10648,] 3738 792 -7.994535e-01
[10649,] 3738 3738 1.598907e+00
[10650,] 3739 619 -7.994535e-01
[10651,] 3739 792 -7.994535e-01
[10652,] 3739 3739 1.598907e+00
[10653,] 3740 619 -7.994535e-01
[10654,] 3740 792 -7.994535e-01
[10655,] 3740 3740 1.598907e+00
[10656,] 3741 619 -7.994535e-01
[10657,] 3741 792 -7.994535e-01
[10658,] 3741 3741 1.598907e+00
[10659,] 3742 619 -7.994535e-01
[10660,] 3742 792 -7.994535e-01
[10661,] 3742 3742 1.598907e+00
[10662,] 3743 619 -7.994535e-01
[10663,] 3743 792 -7.994535e-01
[10664,] 3743 3743 1.598907e+00
[10665,] 3744 619 -7.994535e-01
[10666,] 3744 792 -7.994535e-01
[10667,] 3744 3744 1.598907e+00
[10668,] 3745 619 -7.994535e-01
[10669,] 3745 792 -7.994535e-01
[10670,] 3745 3745 1.598907e+00
[10671,] 3746 174 -4.000000e-01
[10672,] 3746 576 -4.000000e-01
[10673,] 3746 3746 8.000000e-01
[10674,] 3747 651 -7.664671e-01
[10675,] 3747 793 -7.664671e-01
[10676,] 3747 3747 1.532934e+00
[10677,] 3748 651 -7.664671e-01
[10678,] 3748 793 -7.664671e-01
[10679,] 3748 3748 1.532934e+00
[10680,] 3749 651 -7.664671e-01
[10681,] 3749 793 -7.664671e-01
[10682,] 3749 3749 1.532934e+00
[10683,] 3750 651 -7.664671e-01
[10684,] 3750 793 -7.664671e-01
[10685,] 3750 3750 1.532934e+00
[10686,] 3751 651 -7.664671e-01
[10687,] 3751 793 -7.664671e-01
[10688,] 3751 3751 1.532934e+00
[10689,] 3752 651 -7.664671e-01
[10690,] 3752 793 -7.664671e-01
[10691,] 3752 3752 1.532934e+00
[10692,] 3753 614 -7.997267e-01
[10693,] 3753 794 -7.997267e-01
[10694,] 3753 3753 1.599453e+00
[10695,] 3754 614 -7.997267e-01
[10696,] 3754 794 -7.997267e-01
[10697,] 3754 3754 1.599453e+00
[10698,] 3755 614 -7.997267e-01
[10699,] 3755 794 -7.997267e-01
[10700,] 3755 3755 1.599453e+00
[10701,] 3756 614 -7.997267e-01
[10702,] 3756 794 -7.997267e-01
[10703,] 3756 3756 1.599453e+00
[10704,] 3757 614 -7.997267e-01
[10705,] 3757 794 -7.997267e-01
[10706,] 3757 3757 1.599453e+00
[10707,] 3758 614 -7.997267e-01
[10708,] 3758 794 -7.997267e-01
[10709,] 3758 3758 1.599453e+00
[10710,] 3759 614 -7.997267e-01
[10711,] 3759 794 -7.997267e-01
[10712,] 3759 3759 1.599453e+00
[10713,] 3760 615 -7.997267e-01
[10714,] 3760 795 -7.997267e-01
[10715,] 3760 3760 1.599453e+00
[10716,] 3761 615 -7.997267e-01
[10717,] 3761 795 -7.997267e-01
[10718,] 3761 3761 1.599453e+00
[10719,] 3762 615 -7.997267e-01
[10720,] 3762 795 -7.997267e-01
[10721,] 3762 3762 1.599453e+00
[10722,] 3763 615 -7.997267e-01
[10723,] 3763 795 -7.997267e-01
[10724,] 3763 3763 1.599453e+00
[10725,] 3764 615 -7.997267e-01
[10726,] 3764 795 -7.997267e-01
[10727,] 3764 3764 1.599453e+00
[10728,] 3765 615 -7.997267e-01
[10729,] 3765 795 -7.997267e-01
[10730,] 3765 3765 1.599453e+00
[10731,] 3766 615 -7.997267e-01
[10732,] 3766 795 -7.997267e-01
[10733,] 3766 3766 1.599453e+00
[10734,] 3767 615 -7.997267e-01
[10735,] 3767 795 -7.997267e-01
[10736,] 3767 3767 1.599453e+00
[10737,] 3768 615 -7.997267e-01
[10738,] 3768 795 -7.997267e-01
[10739,] 3768 3768 1.599453e+00
[10740,] 3769 615 -7.997267e-01
[10741,] 3769 795 -7.997267e-01
[10742,] 3769 3769 1.599453e+00
[10743,] 3770 615 -7.997267e-01
[10744,] 3770 795 -7.997267e-01
[10745,] 3770 3770 1.599453e+00
[10746,] 3771 615 -7.997267e-01
[10747,] 3771 795 -7.997267e-01
[10748,] 3771 3771 1.599453e+00
[10749,] 3772 615 -7.997267e-01
[10750,] 3772 795 -7.997267e-01
[10751,] 3772 3772 1.599453e+00
[10752,] 3773 615 -7.997267e-01
[10753,] 3773 795 -7.997267e-01
[10754,] 3773 3773 1.599453e+00
[10755,] 3774 615 -7.997267e-01
[10756,] 3774 795 -7.997267e-01
[10757,] 3774 3774 1.599453e+00
[10758,] 3775 615 -7.997267e-01
[10759,] 3775 795 -7.997267e-01
[10760,] 3775 3775 1.599453e+00
[10761,] 3776 615 -7.997267e-01
[10762,] 3776 795 -7.997267e-01
[10763,] 3776 3776 1.599453e+00
[10764,] 3777 615 -7.997267e-01
[10765,] 3777 795 -7.997267e-01
[10766,] 3777 3777 1.599453e+00
[10767,] 3778 615 -7.997267e-01
[10768,] 3778 795 -7.997267e-01
[10769,] 3778 3778 1.599453e+00
[10770,] 3779 615 -7.997267e-01
[10771,] 3779 795 -7.997267e-01
[10772,] 3779 3779 1.599453e+00
[10773,] 3780 615 -7.997267e-01
[10774,] 3780 795 -7.997267e-01
[10775,] 3780 3780 1.599453e+00
[10776,] 3781 175 -4.000000e-01
[10777,] 3781 577 -4.000000e-01
[10778,] 3781 3781 8.000000e-01
[10779,] 3782 175 -4.000000e-01
[10780,] 3782 577 -4.000000e-01
[10781,] 3782 3782 8.000000e-01
[10782,] 3783 176 -4.000000e-01
[10783,] 3783 575 -4.000000e-01
[10784,] 3783 3783 8.000000e-01
[10785,] 3784 177 -4.000000e-01
[10786,] 3784 575 -4.000000e-01
[10787,] 3784 3784 8.000000e-01
[10788,] 3785 177 -4.000000e-01
[10789,] 3785 575 -4.000000e-01
[10790,] 3785 3785 8.000000e-01
[10791,] 3786 177 -4.000000e-01
[10792,] 3786 575 -4.000000e-01
[10793,] 3786 3786 8.000000e-01
[10794,] 3787 651 -7.664671e-01
[10795,] 3787 797 -7.664671e-01
[10796,] 3787 3787 1.532934e+00
[10797,] 3788 651 -7.664671e-01
[10798,] 3788 797 -7.664671e-01
[10799,] 3788 3788 1.532934e+00
[10800,] 3789 651 -7.664671e-01
[10801,] 3789 797 -7.664671e-01
[10802,] 3789 3789 1.532934e+00
[10803,] 3790 651 -7.664671e-01
[10804,] 3790 797 -7.664671e-01
[10805,] 3790 3790 1.532934e+00
[10806,] 3791 651 -7.664671e-01
[10807,] 3791 797 -7.664671e-01
[10808,] 3791 3791 1.532934e+00
[10809,] 3792 651 -7.664671e-01
[10810,] 3792 797 -7.664671e-01
[10811,] 3792 3792 1.532934e+00
[10812,] 3793 651 -7.664671e-01
[10813,] 3793 797 -7.664671e-01
[10814,] 3793 3793 1.532934e+00
[10815,] 3794 651 -7.664671e-01
[10816,] 3794 797 -7.664671e-01
[10817,] 3794 3794 1.532934e+00
[10818,] 3795 651 -7.664671e-01
[10819,] 3795 797 -7.664671e-01
[10820,] 3795 3795 1.532934e+00
[10821,] 3796 651 -7.664671e-01
[10822,] 3796 797 -7.664671e-01
[10823,] 3796 3796 1.532934e+00
[10824,] 3797 651 -7.664671e-01
[10825,] 3797 797 -7.664671e-01
[10826,] 3797 3797 1.532934e+00
[10827,] 3798 651 -7.664671e-01
[10828,] 3798 798 -7.664671e-01
[10829,] 3798 3798 1.532934e+00
[10830,] 3799 651 -7.664671e-01
[10831,] 3799 798 -7.664671e-01
[10832,] 3799 3799 1.532934e+00
[10833,] 3800 651 -7.664671e-01
[10834,] 3800 798 -7.664671e-01
[10835,] 3800 3800 1.532934e+00
[10836,] 3801 651 -7.664671e-01
[10837,] 3801 798 -7.664671e-01
[10838,] 3801 3801 1.532934e+00
[10839,] 3802 651 -7.664671e-01
[10840,] 3802 798 -7.664671e-01
[10841,] 3802 3802 1.532934e+00
[10842,] 3803 651 -7.664671e-01
[10843,] 3803 798 -7.664671e-01
[10844,] 3803 3803 1.532934e+00
[10845,] 3804 651 -7.664671e-01
[10846,] 3804 798 -7.664671e-01
[10847,] 3804 3804 1.532934e+00
[10848,] 3805 651 -7.664671e-01
[10849,] 3805 798 -7.664671e-01
[10850,] 3805 3805 1.532934e+00
[10851,] 3806 651 -7.664671e-01
[10852,] 3806 798 -7.664671e-01
[10853,] 3806 3806 1.532934e+00
[10854,] 3807 651 -7.664671e-01
[10855,] 3807 798 -7.664671e-01
[10856,] 3807 3807 1.532934e+00
[10857,] 3808 651 -7.664671e-01
[10858,] 3808 798 -7.664671e-01
[10859,] 3808 3808 1.532934e+00
[10860,] 3809 651 -7.664671e-01
[10861,] 3809 798 -7.664671e-01
[10862,] 3809 3809 1.532934e+00
[10863,] 3810 651 -7.664671e-01
[10864,] 3810 798 -7.664671e-01
[10865,] 3810 3810 1.532934e+00
[10866,] 3811 651 -7.664671e-01
[10867,] 3811 799 -7.664671e-01
[10868,] 3811 3811 1.532934e+00
[10869,] 3812 651 -7.664671e-01
[10870,] 3812 799 -7.664671e-01
[10871,] 3812 3812 1.532934e+00
[10872,] 3813 651 -7.664671e-01
[10873,] 3813 799 -7.664671e-01
[10874,] 3813 3813 1.532934e+00
[10875,] 3814 651 -7.664671e-01
[10876,] 3814 799 -7.664671e-01
[10877,] 3814 3814 1.532934e+00
[10878,] 3815 651 -7.664671e-01
[10879,] 3815 799 -7.664671e-01
[10880,] 3815 3815 1.532934e+00
[10881,] 3816 651 -7.664671e-01
[10882,] 3816 799 -7.664671e-01
[10883,] 3816 3816 1.532934e+00
[10884,] 3817 651 -7.664671e-01
[10885,] 3817 799 -7.664671e-01
[10886,] 3817 3817 1.532934e+00
[10887,] 3818 651 -7.664671e-01
[10888,] 3818 799 -7.664671e-01
[10889,] 3818 3818 1.532934e+00
[10890,] 3819 651 -7.664671e-01
[10891,] 3819 799 -7.664671e-01
[10892,] 3819 3819 1.532934e+00
[10893,] 3820 651 -7.664671e-01
[10894,] 3820 799 -7.664671e-01
[10895,] 3820 3820 1.532934e+00
[10896,] 3821 651 -7.664671e-01
[10897,] 3821 799 -7.664671e-01
[10898,] 3821 3821 1.532934e+00
[10899,] 3822 651 -7.664671e-01
[10900,] 3822 799 -7.664671e-01
[10901,] 3822 3822 1.532934e+00
[10902,] 3823 651 -7.664671e-01
[10903,] 3823 799 -7.664671e-01
[10904,] 3823 3823 1.532934e+00
[10905,] 3824 651 -7.664671e-01
[10906,] 3824 799 -7.664671e-01
[10907,] 3824 3824 1.532934e+00
[10908,] 3825 651 -7.664671e-01
[10909,] 3825 799 -7.664671e-01
[10910,] 3825 3825 1.532934e+00
[10911,] 3826 651 -7.664671e-01
[10912,] 3826 799 -7.664671e-01
[10913,] 3826 3826 1.532934e+00
[10914,] 3827 651 -7.664671e-01
[10915,] 3827 799 -7.664671e-01
[10916,] 3827 3827 1.532934e+00
[10917,] 3828 651 -7.664671e-01
[10918,] 3828 799 -7.664671e-01
[10919,] 3828 3828 1.532934e+00
[10920,] 3829 651 -7.664671e-01
[10921,] 3829 799 -7.664671e-01
[10922,] 3829 3829 1.532934e+00
[10923,] 3830 651 -7.664671e-01
[10924,] 3830 800 -7.664671e-01
[10925,] 3830 3830 1.532934e+00
[10926,] 3831 651 -7.664671e-01
[10927,] 3831 800 -7.664671e-01
[10928,] 3831 3831 1.532934e+00
[10929,] 3832 651 -7.664671e-01
[10930,] 3832 800 -7.664671e-01
[10931,] 3832 3832 1.532934e+00
[10932,] 3833 651 -7.664671e-01
[10933,] 3833 800 -7.664671e-01
[10934,] 3833 3833 1.532934e+00
[10935,] 3834 651 -7.664671e-01
[10936,] 3834 800 -7.664671e-01
[10937,] 3834 3834 1.532934e+00
[10938,] 3835 651 -7.664671e-01
[10939,] 3835 800 -7.664671e-01
[10940,] 3835 3835 1.532934e+00
[10941,] 3836 651 -7.664671e-01
[10942,] 3836 800 -7.664671e-01
[10943,] 3836 3836 1.532934e+00
[10944,] 3837 651 -7.664671e-01
[10945,] 3837 800 -7.664671e-01
[10946,] 3837 3837 1.532934e+00
[10947,] 3838 651 -7.664671e-01
[10948,] 3838 800 -7.664671e-01
[10949,] 3838 3838 1.532934e+00
[10950,] 3839 651 -7.664671e-01
[10951,] 3839 800 -7.664671e-01
[10952,] 3839 3839 1.532934e+00
[10953,] 3840 651 -7.664671e-01
[10954,] 3840 800 -7.664671e-01
[10955,] 3840 3840 1.532934e+00
[10956,] 3841 651 -7.664671e-01
[10957,] 3841 800 -7.664671e-01
[10958,] 3841 3841 1.532934e+00
[10959,] 3842 651 -7.664671e-01
[10960,] 3842 800 -7.664671e-01
[10961,] 3842 3842 1.532934e+00
[10962,] 3843 651 -7.664671e-01
[10963,] 3843 800 -7.664671e-01
[10964,] 3843 3843 1.532934e+00
[10965,] 3844 95 -4.000000e-01
[10966,] 3844 178 -4.000000e-01
[10967,] 3844 3844 8.000000e-01
[10968,] 3845 95 -4.000000e-01
[10969,] 3845 178 -4.000000e-01
[10970,] 3845 3845 8.000000e-01
[10971,] 3846 95 -4.000000e-01
[10972,] 3846 178 -4.000000e-01
[10973,] 3846 3846 8.000000e-01
[10974,] 3847 95 -4.000000e-01
[10975,] 3847 178 -4.000000e-01
[10976,] 3847 3847 8.000000e-01
[10977,] 3848 651 -7.664671e-01
[10978,] 3848 801 -7.664671e-01
[10979,] 3848 3848 1.532934e+00
[10980,] 3849 651 -7.664671e-01
[10981,] 3849 801 -7.664671e-01
[10982,] 3849 3849 1.532934e+00
[10983,] 3850 651 -7.664671e-01
[10984,] 3850 801 -7.664671e-01
[10985,] 3850 3850 1.532934e+00
[10986,] 3851 651 -7.664671e-01
[10987,] 3851 801 -7.664671e-01
[10988,] 3851 3851 1.532934e+00
[10989,] 3852 95 -4.000000e-01
[10990,] 3852 179 -4.000000e-01
[10991,] 3852 3852 8.000000e-01
[10992,] 3853 95 -4.000000e-01
[10993,] 3853 179 -4.000000e-01
[10994,] 3853 3853 8.000000e-01
[10995,] 3854 96 -4.000000e-01
[10996,] 3854 180 -4.000000e-01
[10997,] 3854 3854 8.000000e-01
[10998,] 3855 651 -7.664671e-01
[10999,] 3855 802 -7.664671e-01
[11000,] 3855 3855 1.532934e+00
[11001,] 3856 651 -7.664671e-01
[11002,] 3856 802 -7.664671e-01
[11003,] 3856 3856 1.532934e+00
[11004,] 3857 651 -7.664671e-01
[11005,] 3857 802 -7.664671e-01
[11006,] 3857 3857 1.532934e+00
[11007,] 3858 651 -7.664671e-01
[11008,] 3858 802 -7.664671e-01
[11009,] 3858 3858 1.532934e+00
[11010,] 3859 651 -7.664671e-01
[11011,] 3859 802 -7.664671e-01
[11012,] 3859 3859 1.532934e+00
[11013,] 3860 651 -7.664671e-01
[11014,] 3860 802 -7.664671e-01
[11015,] 3860 3860 1.532934e+00
[11016,] 3861 651 -7.664671e-01
[11017,] 3861 802 -7.664671e-01
[11018,] 3861 3861 1.532934e+00
[11019,] 3862 651 -7.664671e-01
[11020,] 3862 802 -7.664671e-01
[11021,] 3862 3862 1.532934e+00
[11022,] 3863 651 -7.664671e-01
[11023,] 3863 802 -7.664671e-01
[11024,] 3863 3863 1.532934e+00
[11025,] 3864 651 -7.664671e-01
[11026,] 3864 802 -7.664671e-01
[11027,] 3864 3864 1.532934e+00
[11028,] 3865 651 -7.664671e-01
[11029,] 3865 802 -7.664671e-01
[11030,] 3865 3865 1.532934e+00
[11031,] 3866 651 -7.664671e-01
[11032,] 3866 802 -7.664671e-01
[11033,] 3866 3866 1.532934e+00
[11034,] 3867 651 -7.664671e-01
[11035,] 3867 802 -7.664671e-01
[11036,] 3867 3867 1.532934e+00
[11037,] 3868 651 -7.664671e-01
[11038,] 3868 802 -7.664671e-01
[11039,] 3868 3868 1.532934e+00
[11040,] 3869 651 -7.664671e-01
[11041,] 3869 802 -7.664671e-01
[11042,] 3869 3869 1.532934e+00
[11043,] 3870 651 -7.664671e-01
[11044,] 3870 802 -7.664671e-01
[11045,] 3870 3870 1.532934e+00
[11046,] 3871 614 -8.886237e-01
[11047,] 3871 789 -8.886237e-01
[11048,] 3871 3871 1.777247e+00
[11049,] 3872 614 -8.886237e-01
[11050,] 3872 789 -8.886237e-01
[11051,] 3872 3872 1.777247e+00
[11052,] 3873 614 -8.886237e-01
[11053,] 3873 789 -8.886237e-01
[11054,] 3873 3873 1.777247e+00
[11055,] 3874 614 -8.886237e-01
[11056,] 3874 789 -8.886237e-01
[11057,] 3874 3874 1.777247e+00
[11058,] 3875 614 -8.886237e-01
[11059,] 3875 789 -8.886237e-01
[11060,] 3875 3875 1.777247e+00
[11061,] 3876 614 -8.886237e-01
[11062,] 3876 789 -8.886237e-01
[11063,] 3876 3876 1.777247e+00
[11064,] 3877 614 -8.886237e-01
[11065,] 3877 789 -8.886237e-01
[11066,] 3877 3877 1.777247e+00
[11067,] 3878 614 -8.886237e-01
[11068,] 3878 789 -8.886237e-01
[11069,] 3878 3878 1.777247e+00
[11070,] 3879 614 -8.886237e-01
[11071,] 3879 789 -8.886237e-01
[11072,] 3879 3879 1.777247e+00
[11073,] 3880 614 -8.886237e-01
[11074,] 3880 789 -8.886237e-01
[11075,] 3880 3880 1.777247e+00
[11076,] 3881 614 -8.886237e-01
[11077,] 3881 789 -8.886237e-01
[11078,] 3881 3881 1.777247e+00
[11079,] 3882 614 -8.886237e-01
[11080,] 3882 789 -8.886237e-01
[11081,] 3882 3882 1.777247e+00
[11082,] 3883 651 -1.430168e+00
[11083,] 3883 790 -1.430168e+00
[11084,] 3883 3883 2.860335e+00
[11085,] 3884 614 -7.997267e-01
[11086,] 3884 780 -7.997267e-01
[11087,] 3884 3884 1.599453e+00
[11088,] 3885 614 -7.997267e-01
[11089,] 3885 780 -7.997267e-01
[11090,] 3885 3885 1.599453e+00
[11091,] 3886 614 -7.997267e-01
[11092,] 3886 780 -7.997267e-01
[11093,] 3886 3886 1.599453e+00
[11094,] 3887 614 -7.997267e-01
[11095,] 3887 780 -7.997267e-01
[11096,] 3887 3887 1.599453e+00
[11097,] 3888 614 -7.997267e-01
[11098,] 3888 780 -7.997267e-01
[11099,] 3888 3888 1.599453e+00
[11100,] 3889 614 -7.997267e-01
[11101,] 3889 780 -7.997267e-01
[11102,] 3889 3889 1.599453e+00
[11103,] 3890 614 -7.997267e-01
[11104,] 3890 780 -7.997267e-01
[11105,] 3890 3890 1.599453e+00
[11106,] 3891 614 -7.997267e-01
[11107,] 3891 780 -7.997267e-01
[11108,] 3891 3891 1.599453e+00
[11109,] 3892 614 -7.997267e-01
[11110,] 3892 780 -7.997267e-01
[11111,] 3892 3892 1.599453e+00
[11112,] 3893 614 -7.997267e-01
[11113,] 3893 780 -7.997267e-01
[11114,] 3893 3893 1.599453e+00
[11115,] 3894 614 -7.997267e-01
[11116,] 3894 780 -7.997267e-01
[11117,] 3894 3894 1.599453e+00
[11118,] 3895 614 -7.997267e-01
[11119,] 3895 780 -7.997267e-01
[11120,] 3895 3895 1.599453e+00
[11121,] 3896 651 -7.664671e-01
[11122,] 3896 781 -7.664671e-01
[11123,] 3896 3896 1.532934e+00
[11124,] 3897 651 -7.664671e-01
[11125,] 3897 781 -7.664671e-01
[11126,] 3897 3897 1.532934e+00
[11127,] 3898 651 -7.664671e-01
[11128,] 3898 781 -7.664671e-01
[11129,] 3898 3898 1.532934e+00
[11130,] 3899 651 -7.664671e-01
[11131,] 3899 781 -7.664671e-01
[11132,] 3899 3899 1.532934e+00
[11133,] 3900 651 -7.664671e-01
[11134,] 3900 781 -7.664671e-01
[11135,] 3900 3900 1.532934e+00
[11136,] 3901 651 -7.664671e-01
[11137,] 3901 781 -7.664671e-01
[11138,] 3901 3901 1.532934e+00
[11139,] 3902 651 -7.664671e-01
[11140,] 3902 781 -7.664671e-01
[11141,] 3902 3902 1.532934e+00
[11142,] 3903 651 -7.664671e-01
[11143,] 3903 781 -7.664671e-01
[11144,] 3903 3903 1.532934e+00
[11145,] 3904 651 -7.664671e-01
[11146,] 3904 781 -7.664671e-01
[11147,] 3904 3904 1.532934e+00
[11148,] 3905 651 -7.664671e-01
[11149,] 3905 781 -7.664671e-01
[11150,] 3905 3905 1.532934e+00
[11151,] 3906 651 -7.664671e-01
[11152,] 3906 781 -7.664671e-01
[11153,] 3906 3906 1.532934e+00
[11154,] 3907 651 -7.664671e-01
[11155,] 3907 781 -7.664671e-01
[11156,] 3907 3907 1.532934e+00
[11157,] 3908 651 -7.664671e-01
[11158,] 3908 781 -7.664671e-01
[11159,] 3908 3908 1.532934e+00
[11160,] 3909 651 -7.664671e-01
[11161,] 3909 781 -7.664671e-01
[11162,] 3909 3909 1.532934e+00
[11163,] 3910 33 -3.478261e-01
[11164,] 3910 181 -3.478261e-01
[11165,] 3910 3910 6.956522e-01
[11166,] 3911 182 -4.923077e-01
[11167,] 3911 612 -4.923077e-01
[11168,] 3911 3911 9.846154e-01
[11169,] 3912 183 -4.848485e-01
[11170,] 3912 622 -4.848485e-01
[11171,] 3912 3912 9.696970e-01
[11172,] 3913 183 -4.848485e-01
[11173,] 3913 622 -4.848485e-01
[11174,] 3913 3913 9.696970e-01
[11175,] 3914 93 -4.324324e-01
[11176,] 3914 716 -4.324324e-01
[11177,] 3914 3914 8.648649e-01
[11178,] 3915 93 -4.324324e-01
[11179,] 3915 718 -4.324324e-01
[11180,] 3915 3915 8.648649e-01
[11181,] 3916 93 -4.324324e-01
[11182,] 3916 718 -4.324324e-01
[11183,] 3916 3916 8.648649e-01
[11184,] 3917 93 -4.324324e-01
[11185,] 3917 718 -4.324324e-01
[11186,] 3917 3917 8.648649e-01
[11187,] 3918 93 -4.324324e-01
[11188,] 3918 718 -4.324324e-01
[11189,] 3918 3918 8.648649e-01
[11190,] 3919 93 -3.636364e-01
[11191,] 3919 184 -3.636364e-01
[11192,] 3919 3919 7.272727e-01
[11193,] 3920 93 -3.636364e-01
[11194,] 3920 185 -3.636364e-01
[11195,] 3920 3920 7.272727e-01
[11196,] 3921 93 -3.636364e-01
[11197,] 3921 186 -3.636364e-01
[11198,] 3921 3921 7.272727e-01
[11199,] 3922 93 -3.636364e-01
[11200,] 3922 187 -3.636364e-01
[11201,] 3922 3922 7.272727e-01
[11202,] 3923 93 -3.636364e-01
[11203,] 3923 188 -3.636364e-01
[11204,] 3923 3923 7.272727e-01
[11205,] 3924 93 -3.636364e-01
[11206,] 3924 189 -3.636364e-01
[11207,] 3924 3924 7.272727e-01
[11208,] 3925 651 -5.511302e-01
[11209,] 3925 803 -5.511302e-01
[11210,] 3925 3925 1.102260e+00
[11211,] 3926 651 -5.511302e-01
[11212,] 3926 803 -5.511302e-01
[11213,] 3926 3926 1.102260e+00
[11214,] 3927 651 -5.511302e-01
[11215,] 3927 803 -5.511302e-01
[11216,] 3927 3927 1.102260e+00
[11217,] 3928 651 -5.511302e-01
[11218,] 3928 803 -5.511302e-01
[11219,] 3928 3928 1.102260e+00
[11220,] 3929 651 -5.511302e-01
[11221,] 3929 803 -5.511302e-01
[11222,] 3929 3929 1.102260e+00
[11223,] 3930 651 -5.511302e-01
[11224,] 3930 803 -5.511302e-01
[11225,] 3930 3930 1.102260e+00
[11226,] 3931 651 -5.511302e-01
[11227,] 3931 803 -5.511302e-01
[11228,] 3931 3931 1.102260e+00
[11229,] 3932 190 -4.383562e-01
[11230,] 3932 651 -4.383562e-01
[11231,] 3932 3932 8.767123e-01
[11232,] 3933 190 -4.383562e-01
[11233,] 3933 651 -4.383562e-01
[11234,] 3933 3933 8.767123e-01
[11235,] 3934 190 -4.383562e-01
[11236,] 3934 651 -4.383562e-01
[11237,] 3934 3934 8.767123e-01
[11238,] 3935 190 -4.383562e-01
[11239,] 3935 651 -4.383562e-01
[11240,] 3935 3935 8.767123e-01
[11241,] 3936 190 -4.383562e-01
[11242,] 3936 651 -4.383562e-01
[11243,] 3936 3936 8.767123e-01
[11244,] 3937 190 -4.383562e-01
[11245,] 3937 651 -4.383562e-01
[11246,] 3937 3937 8.767123e-01
[11247,] 3938 190 -4.383562e-01
[11248,] 3938 651 -4.383562e-01
[11249,] 3938 3938 8.767123e-01
[11250,] 3939 190 -4.383562e-01
[11251,] 3939 651 -4.383562e-01
[11252,] 3939 3939 8.767123e-01
[11253,] 3940 190 -4.383562e-01
[11254,] 3940 651 -4.383562e-01
[11255,] 3940 3940 8.767123e-01
[11256,] 3941 190 -4.383562e-01
[11257,] 3941 651 -4.383562e-01
[11258,] 3941 3941 8.767123e-01
[11259,] 3942 190 -4.383562e-01
[11260,] 3942 651 -4.383562e-01
[11261,] 3942 3942 8.767123e-01
[11262,] 3943 190 -4.383562e-01
[11263,] 3943 651 -4.383562e-01
[11264,] 3943 3943 8.767123e-01
[11265,] 3944 190 -4.383562e-01
[11266,] 3944 651 -4.383562e-01
[11267,] 3944 3944 8.767123e-01
[11268,] 3945 191 -4.383562e-01
[11269,] 3945 651 -4.383562e-01
[11270,] 3945 3945 8.767123e-01
[11271,] 3946 191 -4.383562e-01
[11272,] 3946 651 -4.383562e-01
[11273,] 3946 3946 8.767123e-01
[11274,] 3947 191 -4.383562e-01
[11275,] 3947 651 -4.383562e-01
[11276,] 3947 3947 8.767123e-01
[11277,] 3948 191 -4.383562e-01
[11278,] 3948 651 -4.383562e-01
[11279,] 3948 3948 8.767123e-01
[11280,] 3949 191 -4.383562e-01
[11281,] 3949 651 -4.383562e-01
[11282,] 3949 3949 8.767123e-01
[11283,] 3950 191 -4.383562e-01
[11284,] 3950 651 -4.383562e-01
[11285,] 3950 3950 8.767123e-01
[11286,] 3951 192 -4.383562e-01
[11287,] 3951 651 -4.383562e-01
[11288,] 3951 3951 8.767123e-01
[11289,] 3952 192 -4.383562e-01
[11290,] 3952 651 -4.383562e-01
[11291,] 3952 3952 8.767123e-01
[11292,] 3953 192 -4.383562e-01
[11293,] 3953 651 -4.383562e-01
[11294,] 3953 3953 8.767123e-01
[11295,] 3954 192 -4.383562e-01
[11296,] 3954 651 -4.383562e-01
[11297,] 3954 3954 8.767123e-01
[11298,] 3955 192 -4.383562e-01
[11299,] 3955 651 -4.383562e-01
[11300,] 3955 3955 8.767123e-01
[11301,] 3956 192 -4.383562e-01
[11302,] 3956 651 -4.383562e-01
[11303,] 3956 3956 8.767123e-01
[11304,] 3957 193 -4.383562e-01
[11305,] 3957 651 -4.383562e-01
[11306,] 3957 3957 8.767123e-01
[11307,] 3958 193 -4.383562e-01
[11308,] 3958 651 -4.383562e-01
[11309,] 3958 3958 8.767123e-01
[11310,] 3959 651 -5.423729e-01
[11311,] 3959 719 -5.423729e-01
[11312,] 3959 3959 1.084746e+00
[11313,] 3960 651 -5.423729e-01
[11314,] 3960 719 -5.423729e-01
[11315,] 3960 3960 1.084746e+00
[11316,] 3961 651 -5.423729e-01
[11317,] 3961 719 -5.423729e-01
[11318,] 3961 3961 1.084746e+00
[11319,] 3962 651 -5.423729e-01
[11320,] 3962 719 -5.423729e-01
[11321,] 3962 3962 1.084746e+00
[11322,] 3963 651 -5.423729e-01
[11323,] 3963 719 -5.423729e-01
[11324,] 3963 3963 1.084746e+00
[11325,] 3964 651 -5.423729e-01
[11326,] 3964 719 -5.423729e-01
[11327,] 3964 3964 1.084746e+00
[11328,] 3965 194 -4.383562e-01
[11329,] 3965 651 -4.383562e-01
[11330,] 3965 3965 8.767123e-01
[11331,] 3966 194 -4.383562e-01
[11332,] 3966 651 -4.383562e-01
[11333,] 3966 3966 8.767123e-01
[11334,] 3967 194 -4.383562e-01
[11335,] 3967 651 -4.383562e-01
[11336,] 3967 3967 8.767123e-01
[11337,] 3968 194 -4.383562e-01
[11338,] 3968 651 -4.383562e-01
[11339,] 3968 3968 8.767123e-01
[11340,] 3969 194 -4.383562e-01
[11341,] 3969 651 -4.383562e-01
[11342,] 3969 3969 8.767123e-01
[11343,] 3970 195 -4.383562e-01
[11344,] 3970 651 -4.383562e-01
[11345,] 3970 3970 8.767123e-01
[11346,] 3971 196 -4.383562e-01
[11347,] 3971 651 -4.383562e-01
[11348,] 3971 3971 8.767123e-01
[11349,] 3972 196 -4.383562e-01
[11350,] 3972 651 -4.383562e-01
[11351,] 3972 3972 8.767123e-01
[11352,] 3973 196 -4.383562e-01
[11353,] 3973 651 -4.383562e-01
[11354,] 3973 3973 8.767123e-01
[11355,] 3974 196 -4.383562e-01
[11356,] 3974 651 -4.383562e-01
[11357,] 3974 3974 8.767123e-01
[11358,] 3975 196 -4.383562e-01
[11359,] 3975 651 -4.383562e-01
[11360,] 3975 3975 8.767123e-01
[11361,] 3976 196 -4.383562e-01
[11362,] 3976 651 -4.383562e-01
[11363,] 3976 3976 8.767123e-01
[11364,] 3977 196 -4.383562e-01
[11365,] 3977 651 -4.383562e-01
[11366,] 3977 3977 8.767123e-01
[11367,] 3978 196 -4.383562e-01
[11368,] 3978 651 -4.383562e-01
[11369,] 3978 3978 8.767123e-01
[11370,] 3979 197 -4.383562e-01
[11371,] 3979 651 -4.383562e-01
[11372,] 3979 3979 8.767123e-01
[11373,] 3980 197 -4.383562e-01
[11374,] 3980 651 -4.383562e-01
[11375,] 3980 3980 8.767123e-01
[11376,] 3981 197 -4.383562e-01
[11377,] 3981 651 -4.383562e-01
[11378,] 3981 3981 8.767123e-01
[11379,] 3982 198 -4.383562e-01
[11380,] 3982 651 -4.383562e-01
[11381,] 3982 3982 8.767123e-01
[11382,] 3983 198 -4.383562e-01
[11383,] 3983 651 -4.383562e-01
[11384,] 3983 3983 8.767123e-01
[11385,] 3984 199 -4.383562e-01
[11386,] 3984 651 -4.383562e-01
[11387,] 3984 3984 8.767123e-01
[11388,] 3985 199 -4.383562e-01
[11389,] 3985 651 -4.383562e-01
[11390,] 3985 3985 8.767123e-01
[11391,] 3986 199 -4.383562e-01
[11392,] 3986 651 -4.383562e-01
[11393,] 3986 3986 8.767123e-01
[11394,] 3987 199 -4.383562e-01
[11395,] 3987 651 -4.383562e-01
[11396,] 3987 3987 8.767123e-01
[11397,] 3988 199 -4.383562e-01
[11398,] 3988 651 -4.383562e-01
[11399,] 3988 3988 8.767123e-01
[11400,] 3989 199 -4.383562e-01
[11401,] 3989 651 -4.383562e-01
[11402,] 3989 3989 8.767123e-01
[11403,] 3990 199 -4.383562e-01
[11404,] 3990 651 -4.383562e-01
[11405,] 3990 3990 8.767123e-01
[11406,] 3991 199 -4.383562e-01
[11407,] 3991 651 -4.383562e-01
[11408,] 3991 3991 8.767123e-01
[11409,] 3992 199 -4.383562e-01
[11410,] 3992 651 -4.383562e-01
[11411,] 3992 3992 8.767123e-01
[11412,] 3993 200 -4.383562e-01
[11413,] 3993 651 -4.383562e-01
[11414,] 3993 3993 8.767123e-01
[11415,] 3994 200 -4.383562e-01
[11416,] 3994 651 -4.383562e-01
[11417,] 3994 3994 8.767123e-01
[11418,] 3995 186 -4.383562e-01
[11419,] 3995 651 -4.383562e-01
[11420,] 3995 3995 8.767123e-01
[11421,] 3996 186 -4.383562e-01
[11422,] 3996 651 -4.383562e-01
[11423,] 3996 3996 8.767123e-01
[11424,] 3997 201 -4.383562e-01
[11425,] 3997 651 -4.383562e-01
[11426,] 3997 3997 8.767123e-01
[11427,] 3998 201 -4.383562e-01
[11428,] 3998 651 -4.383562e-01
[11429,] 3998 3998 8.767123e-01
[11430,] 3999 202 -4.383562e-01
[11431,] 3999 651 -4.383562e-01
[11432,] 3999 3999 8.767123e-01
[11433,] 4000 202 -4.383562e-01
[11434,] 4000 651 -4.383562e-01
[11435,] 4000 4000 8.767123e-01
[11436,] 4001 202 -4.383562e-01
[11437,] 4001 651 -4.383562e-01
[11438,] 4001 4001 8.767123e-01
[11439,] 4002 202 -4.383562e-01
[11440,] 4002 651 -4.383562e-01
[11441,] 4002 4002 8.767123e-01
[11442,] 4003 202 -4.383562e-01
[11443,] 4003 651 -4.383562e-01
[11444,] 4003 4003 8.767123e-01
[11445,] 4004 202 -4.383562e-01
[11446,] 4004 651 -4.383562e-01
[11447,] 4004 4004 8.767123e-01
[11448,] 4005 202 -4.383562e-01
[11449,] 4005 651 -4.383562e-01
[11450,] 4005 4005 8.767123e-01
[11451,] 4006 202 -4.383562e-01
[11452,] 4006 651 -4.383562e-01
[11453,] 4006 4006 8.767123e-01
[11454,] 4007 202 -4.383562e-01
[11455,] 4007 651 -4.383562e-01
[11456,] 4007 4007 8.767123e-01
[11457,] 4008 202 -4.383562e-01
[11458,] 4008 651 -4.383562e-01
[11459,] 4008 4008 8.767123e-01
[11460,] 4009 202 -4.383562e-01
[11461,] 4009 651 -4.383562e-01
[11462,] 4009 4009 8.767123e-01
[11463,] 4010 202 -4.383562e-01
[11464,] 4010 651 -4.383562e-01
[11465,] 4010 4010 8.767123e-01
[11466,] 4011 202 -4.383562e-01
[11467,] 4011 651 -4.383562e-01
[11468,] 4011 4011 8.767123e-01
[11469,] 4012 202 -4.383562e-01
[11470,] 4012 651 -4.383562e-01
[11471,] 4012 4012 8.767123e-01
[11472,] 4013 202 -4.383562e-01
[11473,] 4013 651 -4.383562e-01
[11474,] 4013 4013 8.767123e-01
[11475,] 4014 202 -4.383562e-01
[11476,] 4014 651 -4.383562e-01
[11477,] 4014 4014 8.767123e-01
[11478,] 4015 202 -4.383562e-01
[11479,] 4015 651 -4.383562e-01
[11480,] 4015 4015 8.767123e-01
[11481,] 4016 202 -4.383562e-01
[11482,] 4016 651 -4.383562e-01
[11483,] 4016 4016 8.767123e-01
[11484,] 4017 202 -4.383562e-01
[11485,] 4017 651 -4.383562e-01
[11486,] 4017 4017 8.767123e-01
[11487,] 4018 202 -4.383562e-01
[11488,] 4018 651 -4.383562e-01
[11489,] 4018 4018 8.767123e-01
[11490,] 4019 202 -4.383562e-01
[11491,] 4019 651 -4.383562e-01
[11492,] 4019 4019 8.767123e-01
[11493,] 4020 202 -4.383562e-01
[11494,] 4020 651 -4.383562e-01
[11495,] 4020 4020 8.767123e-01
[11496,] 4021 203 -4.383562e-01
[11497,] 4021 651 -4.383562e-01
[11498,] 4021 4021 8.767123e-01
[11499,] 4022 203 -4.383562e-01
[11500,] 4022 651 -4.383562e-01
[11501,] 4022 4022 8.767123e-01
[11502,] 4023 203 -4.383562e-01
[11503,] 4023 651 -4.383562e-01
[11504,] 4023 4023 8.767123e-01
[11505,] 4024 203 -4.383562e-01
[11506,] 4024 651 -4.383562e-01
[11507,] 4024 4024 8.767123e-01
[11508,] 4025 203 -4.383562e-01
[11509,] 4025 651 -4.383562e-01
[11510,] 4025 4025 8.767123e-01
[11511,] 4026 203 -4.383562e-01
[11512,] 4026 651 -4.383562e-01
[11513,] 4026 4026 8.767123e-01
[11514,] 4027 203 -4.383562e-01
[11515,] 4027 651 -4.383562e-01
[11516,] 4027 4027 8.767123e-01
[11517,] 4028 203 -4.383562e-01
[11518,] 4028 651 -4.383562e-01
[11519,] 4028 4028 8.767123e-01
[11520,] 4029 203 -4.383562e-01
[11521,] 4029 651 -4.383562e-01
[11522,] 4029 4029 8.767123e-01
[11523,] 4030 203 -4.383562e-01
[11524,] 4030 651 -4.383562e-01
[11525,] 4030 4030 8.767123e-01
[11526,] 4031 203 -4.383562e-01
[11527,] 4031 651 -4.383562e-01
[11528,] 4031 4031 8.767123e-01
[11529,] 4032 203 -4.383562e-01
[11530,] 4032 651 -4.383562e-01
[11531,] 4032 4032 8.767123e-01
[11532,] 4033 203 -4.383562e-01
[11533,] 4033 651 -4.383562e-01
[11534,] 4033 4033 8.767123e-01
[11535,] 4034 203 -4.383562e-01
[11536,] 4034 651 -4.383562e-01
[11537,] 4034 4034 8.767123e-01
[11538,] 4035 203 -4.383562e-01
[11539,] 4035 651 -4.383562e-01
[11540,] 4035 4035 8.767123e-01
[11541,] 4036 203 -4.383562e-01
[11542,] 4036 651 -4.383562e-01
[11543,] 4036 4036 8.767123e-01
[11544,] 4037 203 -4.383562e-01
[11545,] 4037 651 -4.383562e-01
[11546,] 4037 4037 8.767123e-01
[11547,] 4038 203 -4.383562e-01
[11548,] 4038 651 -4.383562e-01
[11549,] 4038 4038 8.767123e-01
[11550,] 4039 203 -4.383562e-01
[11551,] 4039 651 -4.383562e-01
[11552,] 4039 4039 8.767123e-01
[11553,] 4040 204 -4.383562e-01
[11554,] 4040 651 -4.383562e-01
[11555,] 4040 4040 8.767123e-01
[11556,] 4041 204 -4.383562e-01
[11557,] 4041 651 -4.383562e-01
[11558,] 4041 4041 8.767123e-01
[11559,] 4042 204 -4.383562e-01
[11560,] 4042 651 -4.383562e-01
[11561,] 4042 4042 8.767123e-01
[11562,] 4043 204 -4.383562e-01
[11563,] 4043 651 -4.383562e-01
[11564,] 4043 4043 8.767123e-01
[11565,] 4044 204 -4.383562e-01
[11566,] 4044 651 -4.383562e-01
[11567,] 4044 4044 8.767123e-01
[11568,] 4045 204 -4.383562e-01
[11569,] 4045 651 -4.383562e-01
[11570,] 4045 4045 8.767123e-01
[11571,] 4046 205 -4.383562e-01
[11572,] 4046 651 -4.383562e-01
[11573,] 4046 4046 8.767123e-01
[11574,] 4047 205 -4.383562e-01
[11575,] 4047 651 -4.383562e-01
[11576,] 4047 4047 8.767123e-01
[11577,] 4048 205 -4.383562e-01
[11578,] 4048 651 -4.383562e-01
[11579,] 4048 4048 8.767123e-01
[11580,] 4049 206 -4.383562e-01
[11581,] 4049 651 -4.383562e-01
[11582,] 4049 4049 8.767123e-01
[11583,] 4050 206 -4.383562e-01
[11584,] 4050 651 -4.383562e-01
[11585,] 4050 4050 8.767123e-01
[11586,] 4051 206 -4.383562e-01
[11587,] 4051 651 -4.383562e-01
[11588,] 4051 4051 8.767123e-01
[11589,] 4052 206 -4.383562e-01
[11590,] 4052 651 -4.383562e-01
[11591,] 4052 4052 8.767123e-01
[11592,] 4053 206 -4.383562e-01
[11593,] 4053 651 -4.383562e-01
[11594,] 4053 4053 8.767123e-01
[11595,] 4054 206 -4.383562e-01
[11596,] 4054 651 -4.383562e-01
[11597,] 4054 4054 8.767123e-01
[11598,] 4055 207 -4.383562e-01
[11599,] 4055 651 -4.383562e-01
[11600,] 4055 4055 8.767123e-01
[11601,] 4056 207 -4.383562e-01
[11602,] 4056 651 -4.383562e-01
[11603,] 4056 4056 8.767123e-01
[11604,] 4057 207 -4.383562e-01
[11605,] 4057 651 -4.383562e-01
[11606,] 4057 4057 8.767123e-01
[11607,] 4058 207 -4.383562e-01
[11608,] 4058 651 -4.383562e-01
[11609,] 4058 4058 8.767123e-01
[11610,] 4059 207 -4.383562e-01
[11611,] 4059 651 -4.383562e-01
[11612,] 4059 4059 8.767123e-01
[11613,] 4060 207 -4.383562e-01
[11614,] 4060 651 -4.383562e-01
[11615,] 4060 4060 8.767123e-01
[11616,] 4061 207 -4.383562e-01
[11617,] 4061 651 -4.383562e-01
[11618,] 4061 4061 8.767123e-01
[11619,] 4062 207 -4.383562e-01
[11620,] 4062 651 -4.383562e-01
[11621,] 4062 4062 8.767123e-01
[11622,] 4063 207 -4.383562e-01
[11623,] 4063 651 -4.383562e-01
[11624,] 4063 4063 8.767123e-01
[11625,] 4064 208 -4.383562e-01
[11626,] 4064 651 -4.383562e-01
[11627,] 4064 4064 8.767123e-01
[11628,] 4065 208 -4.383562e-01
[11629,] 4065 651 -4.383562e-01
[11630,] 4065 4065 8.767123e-01
[11631,] 4066 208 -4.383562e-01
[11632,] 4066 651 -4.383562e-01
[11633,] 4066 4066 8.767123e-01
[11634,] 4067 209 -4.383562e-01
[11635,] 4067 651 -4.383562e-01
[11636,] 4067 4067 8.767123e-01
[11637,] 4068 209 -4.383562e-01
[11638,] 4068 651 -4.383562e-01
[11639,] 4068 4068 8.767123e-01
[11640,] 4069 209 -4.383562e-01
[11641,] 4069 651 -4.383562e-01
[11642,] 4069 4069 8.767123e-01
[11643,] 4070 210 -4.383562e-01
[11644,] 4070 651 -4.383562e-01
[11645,] 4070 4070 8.767123e-01
[11646,] 4071 211 -4.383562e-01
[11647,] 4071 651 -4.383562e-01
[11648,] 4071 4071 8.767123e-01
[11649,] 4072 212 -4.383562e-01
[11650,] 4072 651 -4.383562e-01
[11651,] 4072 4072 8.767123e-01
[11652,] 4073 212 -4.383562e-01
[11653,] 4073 651 -4.383562e-01
[11654,] 4073 4073 8.767123e-01
[11655,] 4074 212 -4.383562e-01
[11656,] 4074 651 -4.383562e-01
[11657,] 4074 4074 8.767123e-01
[11658,] 4075 212 -4.383562e-01
[11659,] 4075 651 -4.383562e-01
[11660,] 4075 4075 8.767123e-01
[11661,] 4076 212 -4.383562e-01
[11662,] 4076 651 -4.383562e-01
[11663,] 4076 4076 8.767123e-01
[11664,] 4077 212 -4.383562e-01
[11665,] 4077 651 -4.383562e-01
[11666,] 4077 4077 8.767123e-01
[11667,] 4078 212 -4.383562e-01
[11668,] 4078 651 -4.383562e-01
[11669,] 4078 4078 8.767123e-01
[11670,] 4079 212 -4.383562e-01
[11671,] 4079 651 -4.383562e-01
[11672,] 4079 4079 8.767123e-01
[11673,] 4080 212 -4.383562e-01
[11674,] 4080 651 -4.383562e-01
[11675,] 4080 4080 8.767123e-01
[11676,] 4081 213 -4.383562e-01
[11677,] 4081 651 -4.383562e-01
[11678,] 4081 4081 8.767123e-01
[11679,] 4082 213 -4.383562e-01
[11680,] 4082 651 -4.383562e-01
[11681,] 4082 4082 8.767123e-01
[11682,] 4083 213 -4.383562e-01
[11683,] 4083 651 -4.383562e-01
[11684,] 4083 4083 8.767123e-01
[11685,] 4084 213 -4.383562e-01
[11686,] 4084 651 -4.383562e-01
[11687,] 4084 4084 8.767123e-01
[11688,] 4085 213 -4.383562e-01
[11689,] 4085 651 -4.383562e-01
[11690,] 4085 4085 8.767123e-01
[11691,] 4086 213 -4.383562e-01
[11692,] 4086 651 -4.383562e-01
[11693,] 4086 4086 8.767123e-01
[11694,] 4087 213 -4.383562e-01
[11695,] 4087 651 -4.383562e-01
[11696,] 4087 4087 8.767123e-01
[11697,] 4088 214 -4.383562e-01
[11698,] 4088 651 -4.383562e-01
[11699,] 4088 4088 8.767123e-01
[11700,] 4089 214 -4.383562e-01
[11701,] 4089 651 -4.383562e-01
[11702,] 4089 4089 8.767123e-01
[11703,] 4090 214 -4.383562e-01
[11704,] 4090 651 -4.383562e-01
[11705,] 4090 4090 8.767123e-01
[11706,] 4091 215 -4.383562e-01
[11707,] 4091 651 -4.383562e-01
[11708,] 4091 4091 8.767123e-01
[11709,] 4092 215 -4.383562e-01
[11710,] 4092 651 -4.383562e-01
[11711,] 4092 4092 8.767123e-01
[11712,] 4093 216 -4.383562e-01
[11713,] 4093 651 -4.383562e-01
[11714,] 4093 4093 8.767123e-01
[11715,] 4094 216 -4.383562e-01
[11716,] 4094 651 -4.383562e-01
[11717,] 4094 4094 8.767123e-01
[11718,] 4095 216 -4.383562e-01
[11719,] 4095 651 -4.383562e-01
[11720,] 4095 4095 8.767123e-01
[11721,] 4096 216 -4.383562e-01
[11722,] 4096 651 -4.383562e-01
[11723,] 4096 4096 8.767123e-01
[11724,] 4097 216 -4.383562e-01
[11725,] 4097 651 -4.383562e-01
[11726,] 4097 4097 8.767123e-01
[11727,] 4098 216 -4.383562e-01
[11728,] 4098 651 -4.383562e-01
[11729,] 4098 4098 8.767123e-01
[11730,] 4099 217 -4.383562e-01
[11731,] 4099 651 -4.383562e-01
[11732,] 4099 4099 8.767123e-01
[11733,] 4100 217 -4.383562e-01
[11734,] 4100 651 -4.383562e-01
[11735,] 4100 4100 8.767123e-01
[11736,] 4101 217 -4.383562e-01
[11737,] 4101 651 -4.383562e-01
[11738,] 4101 4101 8.767123e-01
[11739,] 4102 217 -4.383562e-01
[11740,] 4102 651 -4.383562e-01
[11741,] 4102 4102 8.767123e-01
[11742,] 4103 218 -4.383562e-01
[11743,] 4103 651 -4.383562e-01
[11744,] 4103 4103 8.767123e-01
[11745,] 4104 219 -4.383562e-01
[11746,] 4104 651 -4.383562e-01
[11747,] 4104 4104 8.767123e-01
[11748,] 4105 219 -4.383562e-01
[11749,] 4105 651 -4.383562e-01
[11750,] 4105 4105 8.767123e-01
[11751,] 4106 219 -4.383562e-01
[11752,] 4106 651 -4.383562e-01
[11753,] 4106 4106 8.767123e-01
[11754,] 4107 188 -4.383562e-01
[11755,] 4107 651 -4.383562e-01
[11756,] 4107 4107 8.767123e-01
[11757,] 4108 188 -4.383562e-01
[11758,] 4108 651 -4.383562e-01
[11759,] 4108 4108 8.767123e-01
[11760,] 4109 188 -4.383562e-01
[11761,] 4109 651 -4.383562e-01
[11762,] 4109 4109 8.767123e-01
[11763,] 4110 188 -4.383562e-01
[11764,] 4110 651 -4.383562e-01
[11765,] 4110 4110 8.767123e-01
[11766,] 4111 188 -4.383562e-01
[11767,] 4111 651 -4.383562e-01
[11768,] 4111 4111 8.767123e-01
[11769,] 4112 188 -4.383562e-01
[11770,] 4112 651 -4.383562e-01
[11771,] 4112 4112 8.767123e-01
[11772,] 4113 188 -4.383562e-01
[11773,] 4113 651 -4.383562e-01
[11774,] 4113 4113 8.767123e-01
[11775,] 4114 188 -4.383562e-01
[11776,] 4114 651 -4.383562e-01
[11777,] 4114 4114 8.767123e-01
[11778,] 4115 188 -4.383562e-01
[11779,] 4115 651 -4.383562e-01
[11780,] 4115 4115 8.767123e-01
[11781,] 4116 188 -4.383562e-01
[11782,] 4116 651 -4.383562e-01
[11783,] 4116 4116 8.767123e-01
[11784,] 4117 188 -4.383562e-01
[11785,] 4117 651 -4.383562e-01
[11786,] 4117 4117 8.767123e-01
[11787,] 4118 188 -4.383562e-01
[11788,] 4118 651 -4.383562e-01
[11789,] 4118 4118 8.767123e-01
[11790,] 4119 188 -4.383562e-01
[11791,] 4119 651 -4.383562e-01
[11792,] 4119 4119 8.767123e-01
[11793,] 4120 188 -4.383562e-01
[11794,] 4120 651 -4.383562e-01
[11795,] 4120 4120 8.767123e-01
[11796,] 4121 188 -4.383562e-01
[11797,] 4121 651 -4.383562e-01
[11798,] 4121 4121 8.767123e-01
[11799,] 4122 188 -4.383562e-01
[11800,] 4122 651 -4.383562e-01
[11801,] 4122 4122 8.767123e-01
[11802,] 4123 188 -4.383562e-01
[11803,] 4123 651 -4.383562e-01
[11804,] 4123 4123 8.767123e-01
[11805,] 4124 188 -4.383562e-01
[11806,] 4124 651 -4.383562e-01
[11807,] 4124 4124 8.767123e-01
[11808,] 4125 188 -4.383562e-01
[11809,] 4125 651 -4.383562e-01
[11810,] 4125 4125 8.767123e-01
[11811,] 4126 188 -4.383562e-01
[11812,] 4126 651 -4.383562e-01
[11813,] 4126 4126 8.767123e-01
[11814,] 4127 188 -4.383562e-01
[11815,] 4127 651 -4.383562e-01
[11816,] 4127 4127 8.767123e-01
[11817,] 4128 188 -4.383562e-01
[11818,] 4128 651 -4.383562e-01
[11819,] 4128 4128 8.767123e-01
[11820,] 4129 188 -4.383562e-01
[11821,] 4129 651 -4.383562e-01
[11822,] 4129 4129 8.767123e-01
[11823,] 4130 188 -4.383562e-01
[11824,] 4130 651 -4.383562e-01
[11825,] 4130 4130 8.767123e-01
[11826,] 4131 188 -4.383562e-01
[11827,] 4131 651 -4.383562e-01
[11828,] 4131 4131 8.767123e-01
[11829,] 4132 188 -4.383562e-01
[11830,] 4132 651 -4.383562e-01
[11831,] 4132 4132 8.767123e-01
[11832,] 4133 188 -4.383562e-01
[11833,] 4133 651 -4.383562e-01
[11834,] 4133 4133 8.767123e-01
[11835,] 4134 188 -4.383562e-01
[11836,] 4134 651 -4.383562e-01
[11837,] 4134 4134 8.767123e-01
[11838,] 4135 188 -4.383562e-01
[11839,] 4135 651 -4.383562e-01
[11840,] 4135 4135 8.767123e-01
[11841,] 4136 188 -4.383562e-01
[11842,] 4136 651 -4.383562e-01
[11843,] 4136 4136 8.767123e-01
[11844,] 4137 188 -4.383562e-01
[11845,] 4137 651 -4.383562e-01
[11846,] 4137 4137 8.767123e-01
[11847,] 4138 188 -4.383562e-01
[11848,] 4138 651 -4.383562e-01
[11849,] 4138 4138 8.767123e-01
[11850,] 4139 220 -4.383562e-01
[11851,] 4139 651 -4.383562e-01
[11852,] 4139 4139 8.767123e-01
[11853,] 4140 220 -4.383562e-01
[11854,] 4140 651 -4.383562e-01
[11855,] 4140 4140 8.767123e-01
[11856,] 4141 221 -4.383562e-01
[11857,] 4141 651 -4.383562e-01
[11858,] 4141 4141 8.767123e-01
[11859,] 4142 221 -4.383562e-01
[11860,] 4142 651 -4.383562e-01
[11861,] 4142 4142 8.767123e-01
[11862,] 4143 221 -4.383562e-01
[11863,] 4143 651 -4.383562e-01
[11864,] 4143 4143 8.767123e-01
[11865,] 4144 221 -4.383562e-01
[11866,] 4144 651 -4.383562e-01
[11867,] 4144 4144 8.767123e-01
[11868,] 4145 222 -4.383562e-01
[11869,] 4145 651 -4.383562e-01
[11870,] 4145 4145 8.767123e-01
[11871,] 4146 222 -4.383562e-01
[11872,] 4146 651 -4.383562e-01
[11873,] 4146 4146 8.767123e-01
[11874,] 4147 222 -4.383562e-01
[11875,] 4147 651 -4.383562e-01
[11876,] 4147 4147 8.767123e-01
[11877,] 4148 222 -4.383562e-01
[11878,] 4148 651 -4.383562e-01
[11879,] 4148 4148 8.767123e-01
[11880,] 4149 222 -4.383562e-01
[11881,] 4149 651 -4.383562e-01
[11882,] 4149 4149 8.767123e-01
[11883,] 4150 222 -4.383562e-01
[11884,] 4150 651 -4.383562e-01
[11885,] 4150 4150 8.767123e-01
[11886,] 4151 222 -4.383562e-01
[11887,] 4151 651 -4.383562e-01
[11888,] 4151 4151 8.767123e-01
[11889,] 4152 222 -4.383562e-01
[11890,] 4152 651 -4.383562e-01
[11891,] 4152 4152 8.767123e-01
[11892,] 4153 222 -4.383562e-01
[11893,] 4153 651 -4.383562e-01
[11894,] 4153 4153 8.767123e-01
[11895,] 4154 222 -4.383562e-01
[11896,] 4154 651 -4.383562e-01
[11897,] 4154 4154 8.767123e-01
[11898,] 4155 222 -4.383562e-01
[11899,] 4155 651 -4.383562e-01
[11900,] 4155 4155 8.767123e-01
[11901,] 4156 222 -4.383562e-01
[11902,] 4156 651 -4.383562e-01
[11903,] 4156 4156 8.767123e-01
[11904,] 4157 223 -4.383562e-01
[11905,] 4157 651 -4.383562e-01
[11906,] 4157 4157 8.767123e-01
[11907,] 4158 223 -4.383562e-01
[11908,] 4158 651 -4.383562e-01
[11909,] 4158 4158 8.767123e-01
[11910,] 4159 223 -4.383562e-01
[11911,] 4159 651 -4.383562e-01
[11912,] 4159 4159 8.767123e-01
[11913,] 4160 223 -4.383562e-01
[11914,] 4160 651 -4.383562e-01
[11915,] 4160 4160 8.767123e-01
[11916,] 4161 223 -4.383562e-01
[11917,] 4161 651 -4.383562e-01
[11918,] 4161 4161 8.767123e-01
[11919,] 4162 223 -4.383562e-01
[11920,] 4162 651 -4.383562e-01
[11921,] 4162 4162 8.767123e-01
[11922,] 4163 223 -4.383562e-01
[11923,] 4163 651 -4.383562e-01
[11924,] 4163 4163 8.767123e-01
[11925,] 4164 223 -4.383562e-01
[11926,] 4164 651 -4.383562e-01
[11927,] 4164 4164 8.767123e-01
[11928,] 4165 223 -4.383562e-01
[11929,] 4165 651 -4.383562e-01
[11930,] 4165 4165 8.767123e-01
[11931,] 4166 223 -4.383562e-01
[11932,] 4166 651 -4.383562e-01
[11933,] 4166 4166 8.767123e-01
[11934,] 4167 223 -4.383562e-01
[11935,] 4167 651 -4.383562e-01
[11936,] 4167 4167 8.767123e-01
[11937,] 4168 223 -4.383562e-01
[11938,] 4168 651 -4.383562e-01
[11939,] 4168 4168 8.767123e-01
[11940,] 4169 223 -4.383562e-01
[11941,] 4169 651 -4.383562e-01
[11942,] 4169 4169 8.767123e-01
[11943,] 4170 223 -4.383562e-01
[11944,] 4170 651 -4.383562e-01
[11945,] 4170 4170 8.767123e-01
[11946,] 4171 223 -4.383562e-01
[11947,] 4171 651 -4.383562e-01
[11948,] 4171 4171 8.767123e-01
[11949,] 4172 223 -4.383562e-01
[11950,] 4172 651 -4.383562e-01
[11951,] 4172 4172 8.767123e-01
[11952,] 4173 224 -4.383562e-01
[11953,] 4173 651 -4.383562e-01
[11954,] 4173 4173 8.767123e-01
[11955,] 4174 224 -4.383562e-01
[11956,] 4174 651 -4.383562e-01
[11957,] 4174 4174 8.767123e-01
[11958,] 4175 225 -4.383562e-01
[11959,] 4175 651 -4.383562e-01
[11960,] 4175 4175 8.767123e-01
[11961,] 4176 225 -4.383562e-01
[11962,] 4176 651 -4.383562e-01
[11963,] 4176 4176 8.767123e-01
[11964,] 4177 226 -4.383562e-01
[11965,] 4177 651 -4.383562e-01
[11966,] 4177 4177 8.767123e-01
[11967,] 4178 226 -4.383562e-01
[11968,] 4178 651 -4.383562e-01
[11969,] 4178 4178 8.767123e-01
[11970,] 4179 226 -4.383562e-01
[11971,] 4179 651 -4.383562e-01
[11972,] 4179 4179 8.767123e-01
[11973,] 4180 226 -4.383562e-01
[11974,] 4180 651 -4.383562e-01
[11975,] 4180 4180 8.767123e-01
[11976,] 4181 226 -4.383562e-01
[11977,] 4181 651 -4.383562e-01
[11978,] 4181 4181 8.767123e-01
[11979,] 4182 226 -4.383562e-01
[11980,] 4182 651 -4.383562e-01
[11981,] 4182 4182 8.767123e-01
[11982,] 4183 226 -4.383562e-01
[11983,] 4183 651 -4.383562e-01
[11984,] 4183 4183 8.767123e-01
[11985,] 4184 226 -4.383562e-01
[11986,] 4184 651 -4.383562e-01
[11987,] 4184 4184 8.767123e-01
[11988,] 4185 227 -4.383562e-01
[11989,] 4185 651 -4.383562e-01
[11990,] 4185 4185 8.767123e-01
[11991,] 4186 227 -4.383562e-01
[11992,] 4186 651 -4.383562e-01
[11993,] 4186 4186 8.767123e-01
[11994,] 4187 227 -4.383562e-01
[11995,] 4187 651 -4.383562e-01
[11996,] 4187 4187 8.767123e-01
[11997,] 4188 227 -4.383562e-01
[11998,] 4188 651 -4.383562e-01
[11999,] 4188 4188 8.767123e-01
[12000,] 4189 227 -4.383562e-01
[12001,] 4189 651 -4.383562e-01
[12002,] 4189 4189 8.767123e-01
[12003,] 4190 227 -4.383562e-01
[12004,] 4190 651 -4.383562e-01
[12005,] 4190 4190 8.767123e-01
[12006,] 4191 227 -4.383562e-01
[12007,] 4191 651 -4.383562e-01
[12008,] 4191 4191 8.767123e-01
[12009,] 4192 228 -4.383562e-01
[12010,] 4192 651 -4.383562e-01
[12011,] 4192 4192 8.767123e-01
[12012,] 4193 228 -4.383562e-01
[12013,] 4193 651 -4.383562e-01
[12014,] 4193 4193 8.767123e-01
[12015,] 4194 189 -4.383562e-01
[12016,] 4194 651 -4.383562e-01
[12017,] 4194 4194 8.767123e-01
[12018,] 4195 189 -4.383562e-01
[12019,] 4195 651 -4.383562e-01
[12020,] 4195 4195 8.767123e-01
[12021,] 4196 189 -4.383562e-01
[12022,] 4196 651 -4.383562e-01
[12023,] 4196 4196 8.767123e-01
[12024,] 4197 189 -4.383562e-01
[12025,] 4197 651 -4.383562e-01
[12026,] 4197 4197 8.767123e-01
[12027,] 4198 189 -4.383562e-01
[12028,] 4198 651 -4.383562e-01
[12029,] 4198 4198 8.767123e-01
[12030,] 4199 189 -4.383562e-01
[12031,] 4199 651 -4.383562e-01
[12032,] 4199 4199 8.767123e-01
[12033,] 4200 189 -4.383562e-01
[12034,] 4200 651 -4.383562e-01
[12035,] 4200 4200 8.767123e-01
[12036,] 4201 189 -4.383562e-01
[12037,] 4201 651 -4.383562e-01
[12038,] 4201 4201 8.767123e-01
[12039,] 4202 189 -4.383562e-01
[12040,] 4202 651 -4.383562e-01
[12041,] 4202 4202 8.767123e-01
[12042,] 4203 189 -4.383562e-01
[12043,] 4203 651 -4.383562e-01
[12044,] 4203 4203 8.767123e-01
[12045,] 4204 189 -4.383562e-01
[12046,] 4204 651 -4.383562e-01
[12047,] 4204 4204 8.767123e-01
[12048,] 4205 229 -4.383562e-01
[12049,] 4205 651 -4.383562e-01
[12050,] 4205 4205 8.767123e-01
[12051,] 4206 229 -4.383562e-01
[12052,] 4206 651 -4.383562e-01
[12053,] 4206 4206 8.767123e-01
[12054,] 4207 229 -4.383562e-01
[12055,] 4207 651 -4.383562e-01
[12056,] 4207 4207 8.767123e-01
[12057,] 4208 229 -4.383562e-01
[12058,] 4208 651 -4.383562e-01
[12059,] 4208 4208 8.767123e-01
[12060,] 4209 229 -4.383562e-01
[12061,] 4209 651 -4.383562e-01
[12062,] 4209 4209 8.767123e-01
[12063,] 4210 229 -4.383562e-01
[12064,] 4210 651 -4.383562e-01
[12065,] 4210 4210 8.767123e-01
[12066,] 4211 229 -4.383562e-01
[12067,] 4211 651 -4.383562e-01
[12068,] 4211 4211 8.767123e-01
[12069,] 4212 229 -4.383562e-01
[12070,] 4212 651 -4.383562e-01
[12071,] 4212 4212 8.767123e-01
[12072,] 4213 229 -4.383562e-01
[12073,] 4213 651 -4.383562e-01
[12074,] 4213 4213 8.767123e-01
[12075,] 4214 229 -4.383562e-01
[12076,] 4214 651 -4.383562e-01
[12077,] 4214 4214 8.767123e-01
[12078,] 4215 229 -4.383562e-01
[12079,] 4215 651 -4.383562e-01
[12080,] 4215 4215 8.767123e-01
[12081,] 4216 229 -4.383562e-01
[12082,] 4216 651 -4.383562e-01
[12083,] 4216 4216 8.767123e-01
[12084,] 4217 229 -4.383562e-01
[12085,] 4217 651 -4.383562e-01
[12086,] 4217 4217 8.767123e-01
[12087,] 4218 229 -4.383562e-01
[12088,] 4218 651 -4.383562e-01
[12089,] 4218 4218 8.767123e-01
[12090,] 4219 229 -4.383562e-01
[12091,] 4219 651 -4.383562e-01
[12092,] 4219 4219 8.767123e-01
[12093,] 4220 229 -4.383562e-01
[12094,] 4220 651 -4.383562e-01
[12095,] 4220 4220 8.767123e-01
[12096,] 4221 230 -4.383562e-01
[12097,] 4221 651 -4.383562e-01
[12098,] 4221 4221 8.767123e-01
[12099,] 4222 231 -4.383562e-01
[12100,] 4222 651 -4.383562e-01
[12101,] 4222 4222 8.767123e-01
[12102,] 4223 231 -4.383562e-01
[12103,] 4223 651 -4.383562e-01
[12104,] 4223 4223 8.767123e-01
[12105,] 4224 231 -4.383562e-01
[12106,] 4224 651 -4.383562e-01
[12107,] 4224 4224 8.767123e-01
[12108,] 4225 231 -4.383562e-01
[12109,] 4225 651 -4.383562e-01
[12110,] 4225 4225 8.767123e-01
[12111,] 4226 231 -4.383562e-01
[12112,] 4226 651 -4.383562e-01
[12113,] 4226 4226 8.767123e-01
[12114,] 4227 231 -4.383562e-01
[12115,] 4227 651 -4.383562e-01
[12116,] 4227 4227 8.767123e-01
[12117,] 4228 231 -4.383562e-01
[12118,] 4228 651 -4.383562e-01
[12119,] 4228 4228 8.767123e-01
[12120,] 4229 231 -4.383562e-01
[12121,] 4229 651 -4.383562e-01
[12122,] 4229 4229 8.767123e-01
[12123,] 4230 231 -4.383562e-01
[12124,] 4230 651 -4.383562e-01
[12125,] 4230 4230 8.767123e-01
[12126,] 4231 231 -4.383562e-01
[12127,] 4231 651 -4.383562e-01
[12128,] 4231 4231 8.767123e-01
[12129,] 4232 231 -4.383562e-01
[12130,] 4232 651 -4.383562e-01
[12131,] 4232 4232 8.767123e-01
[12132,] 4233 231 -4.383562e-01
[12133,] 4233 651 -4.383562e-01
[12134,] 4233 4233 8.767123e-01
[12135,] 4234 231 -4.383562e-01
[12136,] 4234 651 -4.383562e-01
[12137,] 4234 4234 8.767123e-01
[12138,] 4235 231 -4.383562e-01
[12139,] 4235 651 -4.383562e-01
[12140,] 4235 4235 8.767123e-01
[12141,] 4236 231 -4.383562e-01
[12142,] 4236 651 -4.383562e-01
[12143,] 4236 4236 8.767123e-01
[12144,] 4237 231 -4.383562e-01
[12145,] 4237 651 -4.383562e-01
[12146,] 4237 4237 8.767123e-01
[12147,] 4238 231 -4.383562e-01
[12148,] 4238 651 -4.383562e-01
[12149,] 4238 4238 8.767123e-01
[12150,] 4239 232 -4.383562e-01
[12151,] 4239 651 -4.383562e-01
[12152,] 4239 4239 8.767123e-01
[12153,] 4240 233 -4.383562e-01
[12154,] 4240 651 -4.383562e-01
[12155,] 4240 4240 8.767123e-01
[12156,] 4241 233 -4.383562e-01
[12157,] 4241 651 -4.383562e-01
[12158,] 4241 4241 8.767123e-01
[12159,] 4242 233 -4.383562e-01
[12160,] 4242 651 -4.383562e-01
[12161,] 4242 4242 8.767123e-01
[12162,] 4243 233 -4.383562e-01
[12163,] 4243 651 -4.383562e-01
[12164,] 4243 4243 8.767123e-01
[12165,] 4244 233 -4.383562e-01
[12166,] 4244 651 -4.383562e-01
[12167,] 4244 4244 8.767123e-01
[12168,] 4245 233 -4.383562e-01
[12169,] 4245 651 -4.383562e-01
[12170,] 4245 4245 8.767123e-01
[12171,] 4246 233 -4.383562e-01
[12172,] 4246 651 -4.383562e-01
[12173,] 4246 4246 8.767123e-01
[12174,] 4247 233 -4.383562e-01
[12175,] 4247 651 -4.383562e-01
[12176,] 4247 4247 8.767123e-01
[12177,] 4248 233 -4.383562e-01
[12178,] 4248 651 -4.383562e-01
[12179,] 4248 4248 8.767123e-01
[12180,] 4249 233 -4.383562e-01
[12181,] 4249 651 -4.383562e-01
[12182,] 4249 4249 8.767123e-01
[12183,] 4250 233 -4.383562e-01
[12184,] 4250 651 -4.383562e-01
[12185,] 4250 4250 8.767123e-01
[12186,] 4251 233 -4.383562e-01
[12187,] 4251 651 -4.383562e-01
[12188,] 4251 4251 8.767123e-01
[12189,] 4252 234 -4.383562e-01
[12190,] 4252 651 -4.383562e-01
[12191,] 4252 4252 8.767123e-01
[12192,] 4253 235 -4.383562e-01
[12193,] 4253 651 -4.383562e-01
[12194,] 4253 4253 8.767123e-01
[12195,] 4254 235 -4.383562e-01
[12196,] 4254 651 -4.383562e-01
[12197,] 4254 4254 8.767123e-01
[12198,] 4255 235 -4.383562e-01
[12199,] 4255 651 -4.383562e-01
[12200,] 4255 4255 8.767123e-01
[12201,] 4256 579 -4.324324e-01
[12202,] 4256 716 -4.324324e-01
[12203,] 4256 4256 8.648649e-01
[12204,] 4257 693 -5.161290e-01
[12205,] 4257 716 -5.161290e-01
[12206,] 4257 4257 1.032258e+00
[12207,] 4258 693 -5.161290e-01
[12208,] 4258 716 -5.161290e-01
[12209,] 4258 4258 1.032258e+00
[12210,] 4259 693 -5.161290e-01
[12211,] 4259 718 -5.161290e-01
[12212,] 4259 4259 1.032258e+00
[12213,] 4260 693 -5.161290e-01
[12214,] 4260 718 -5.161290e-01
[12215,] 4260 4260 1.032258e+00
[12216,] 4261 693 -5.161290e-01
[12217,] 4261 718 -5.161290e-01
[12218,] 4261 4261 1.032258e+00
[12219,] 4262 44 -1.882353e+00
[12220,] 4262 610 -1.533579e+00
[12221,] 4262 4262 4.113480e+00
[12222,] 4263 236 -4.383562e-01
[12223,] 4263 420 1.920000e+00
[12224,] 4263 421 3.128889e+00
[12225,] 4263 430 2.240000e+00
[12226,] 4263 431 6.080000e+00
[12227,] 4263 526 4.160000e+00
[12228,] 4263 528 2.560000e+00
[12229,] 4263 529 4.160000e+00
[12230,] 4263 530 5.440000e+00
[12231,] 4263 531 5.688889e+00
[12232,] 4263 534 1.440000e+01
[12233,] 4263 535 8.640000e+00
[12234,] 4263 536 2.880000e+00
[12235,] 4263 612 -4.383562e-01
[12236,] 4263 4263 1.106165e+02
[12237,] 4264 392 9.463352e+00
[12238,] 4264 420 9.394495e-01
[12239,] 4264 430 3.915870e+00
[12240,] 4264 515 7.505417e+00
[12241,] 4264 516 6.526450e+00
[12242,] 4264 524 9.463352e+00
[12243,] 4264 533 3.589547e+00
[12244,] 4264 603 2.571062e+00
[12245,] 4264 610 -6.975477e-01
[12246,] 4264 4262 -6.975477e-01
[12247,] 4264 4264 1.623703e+02
[12248,] 4265 614 -1.999024e+00
[12249,] 4265 808 -1.999024e+00
[12250,] 4265 4265 5.998536e+00
[12251,] 4266 388 9.332411e+00
[12252,] 4266 419 9.997559e-01
[12253,] 4266 420 9.997559e-01
[12254,] 4266 421 7.999349e+00
[12255,] 4266 422 2.999593e+00
[12256,] 4266 423 2.666287e+00
[12257,] 4266 431 9.997559e-01
[12258,] 4266 496 1.999891e+00
[12259,] 4266 501 2.444312e+00
[12260,] 4266 503 1.999891e+00
[12261,] 4266 510 1.333225e+00
[12262,] 4266 513 2.666450e+00
[12263,] 4266 524 9.997559e-01
[12264,] 4266 604 2.999593e+00
[12265,] 4266 605 9.997559e-01
[12266,] 4266 4263 1.363081e+01
[12267,] 4266 4265 -2.000489e+00
[12268,] 4266 4266 1.594971e+03
[12269,] 4267 237 -1.000489e+00
[12270,] 4267 386 8.665256e+00
[12271,] 4267 388 1.299756e+01
[12272,] 4267 392 9.995120e-01
[12273,] 4267 399 9.995120e-01
[12274,] 4267 400 9.995120e-01
[12275,] 4267 403 9.995120e-01
[12276,] 4267 419 9.995120e-01
[12277,] 4267 421 9.995120e-01
[12278,] 4267 425 9.995120e-01
[12279,] 4267 426 1.999349e+00
[12280,] 4267 427 9.995120e-01
[12281,] 4267 429 5.998698e+00
[12282,] 4267 430 1.999024e+00
[12283,] 4267 431 4.331978e+00
[12284,] 4267 506 9.995120e-01
[12285,] 4267 510 2.999186e+00
[12286,] 4267 511 4.332628e+00
[12287,] 4267 512 2.332954e+00
[12288,] 4267 514 4.332628e+00
[12289,] 4267 515 1.399772e+01
[12290,] 4267 517 1.666395e+00
[12291,] 4267 518 1.999675e+00
[12292,] 4267 519 3.332791e+00
[12293,] 4267 524 9.995120e-01
[12294,] 4267 525 1.333116e+00
[12295,] 4267 526 1.233133e+01
[12296,] 4267 531 1.333084e+01
[12297,] 4267 532 5.332140e+00
[12298,] 4267 587 9.995120e-01
[12299,] 4267 588 9.995120e-01
[12300,] 4267 589 9.995120e-01
[12301,] 4267 592 8.998210e+00
[12302,] 4267 593 7.331815e+00
[12303,] 4267 597 6.665256e+00
[12304,] 4267 598 8.331652e+00
[12305,] 4267 599 9.995120e-01
[12306,] 4267 600 9.995120e-01
[12307,] 4267 601 9.995120e-01
[12308,] 4267 602 9.995120e-01
[12309,] 4267 603 2.332954e+00
[12310,] 4267 606 8.998535e+00
[12311,] 4267 876 2.750958e+01
[12312,] 4267 886 1.587597e+01
[12313,] 4267 889 2.120804e+01
[12314,] 4267 893 2.896378e+01
[12315,] 4267 993 1.587597e+01
[12316,] 4267 1466 1.587597e+01
[12317,] 4267 1662 1.587597e+01
[12318,] 4267 2305 1.587212e+01
[12319,] 4267 4263 7.968872e+00
[12320,] 4267 4264 2.944248e+01
[12321,] 4267 4266 1.365222e+03
[12322,] 4267 4267 1.937129e+03
[12323,] 4268 238 -1.882353e+00
[12324,] 4268 610 -1.533579e+00
[12325,] 4268 4268 4.113480e+00
[12326,] 4269 610 -6.975477e-01
[12327,] 4269 4268 -6.975477e-01
[12328,] 4269 4269 1.395095e+00
[12329,] 4270 239 -1.882353e+00
[12330,] 4270 607 -1.882353e+00
[12331,] 4270 4270 3.764706e+00
[12332,] 4271 240 -3.636364e-01
[12333,] 4271 580 -3.636364e-01
[12334,] 4271 4271 7.272727e-01
[12335,] 4272 241 -3.636364e-01
[12336,] 4272 581 -3.636364e-01
[12337,] 4272 4272 7.272727e-01
[12338,] 4273 242 -1.882353e+00
[12339,] 4273 610 -1.533579e+00
[12340,] 4273 4273 4.113480e+00
[12341,] 4274 610 -6.975477e-01
[12342,] 4274 4273 -6.975477e-01
[12343,] 4274 4274 1.395095e+00
[12344,] 4275 627 -9.450854e-01
[12345,] 4275 646 -9.450854e-01
[12346,] 4275 4275 1.890171e+00
[12347,] 4276 104 -1.777778e+00
[12348,] 4276 622 -1.777778e+00
[12349,] 4276 4276 3.555556e+00
[12350,] 4277 243 -1.882353e+00
[12351,] 4277 609 -1.882353e+00
[12352,] 4277 615 9.995120e-01
[12353,] 4277 619 9.990244e-01
[12354,] 4277 4277 5.763242e+00
[12355,] 4278 610 -2.095010e+01
[12356,] 4278 627 -2.133333e+01
[12357,] 4278 4278 4.304990e+01
[12358,] 4279 610 -7.664671e-01
[12359,] 4279 4278 -7.664671e-01
[12360,] 4279 4279 1.532934e+00
[12361,] 4280 582 -1.882353e+00
[12362,] 4280 608 -1.882353e+00
[12363,] 4280 4280 3.764706e+00
[12364,] 4281 244 -1.882353e+00
[12365,] 4281 651 -9.411765e-01
[12366,] 4281 4281 4.705882e+00
[12367,] 4282 244 -1.999024e+00
[12368,] 4282 614 -9.995120e-01
[12369,] 4282 4282 4.997560e+00
[12370,] 4283 245 -1.882353e+00
[12371,] 4283 651 -9.411765e-01
[12372,] 4283 4283 4.705882e+00
[12373,] 4284 245 -1.999024e+00
[12374,] 4284 614 -9.995120e-01
[12375,] 4284 4284 4.997560e+00
[12376,] 4285 615 -1.999024e+00
[12377,] 4285 767 -1.999024e+00
[12378,] 4285 4285 3.998048e+00
[12379,] 4286 651 -1.882353e+00
[12380,] 4286 768 -1.882353e+00
[12381,] 4286 4286 3.764706e+00
[12382,] 4287 615 -1.999024e+00
[12383,] 4287 769 -1.999024e+00
[12384,] 4287 4287 3.998048e+00
[12385,] 4288 615 -1.999024e+00
[12386,] 4288 770 -1.999024e+00
[12387,] 4288 4288 3.998048e+00
[12388,] 4289 615 -1.999024e+00
[12389,] 4289 771 -1.999024e+00
[12390,] 4289 4289 3.998048e+00
[12391,] 4290 615 -1.999024e+00
[12392,] 4290 772 -1.999024e+00
[12393,] 4290 4290 3.998048e+00
[12394,] 4291 615 -1.999024e+00
[12395,] 4291 773 -1.999024e+00
[12396,] 4291 4291 3.998048e+00
[12397,] 4292 615 -1.999024e+00
[12398,] 4292 774 -1.999024e+00
[12399,] 4292 4292 3.998048e+00
[12400,] 4293 615 -1.999024e+00
[12401,] 4293 775 -1.999024e+00
[12402,] 4293 4293 3.998048e+00
[12403,] 4294 651 -1.882353e+00
[12404,] 4294 776 -1.882353e+00
[12405,] 4294 4294 3.764706e+00
[12406,] 4295 615 -1.999024e+00
[12407,] 4295 779 -1.999024e+00
[12408,] 4295 4295 3.998048e+00
[12409,] 4296 651 -1.526232e-01
[12410,] 4296 4281 -1.882353e+00
[12411,] 4296 4296 5.494436e+00
[12412,] 4297 614 -1.462344e-03
[12413,] 4297 4282 -1.999024e+00
[12414,] 4297 4297 5.995609e+00
[12415,] 4298 651 -1.526232e-01
[12416,] 4298 4283 -1.882353e+00
[12417,] 4298 4298 5.494436e+00
[12418,] 4299 614 -1.462344e-03
[12419,] 4299 4284 -1.999024e+00
[12420,] 4299 4299 5.995609e+00
[12421,] 4300 246 -1.999024e+00
[12422,] 4300 614 -1.999024e+00
[12423,] 4300 615 9.995120e-01
[12424,] 4300 4300 4.997560e+00
[12425,] 4301 247 -1.999024e+00
[12426,] 4301 614 -1.999024e+00
[12427,] 4301 4301 3.998048e+00
[12428,] 4302 248 -1.999024e+00
[12429,] 4302 614 -1.999024e+00
[12430,] 4302 4302 3.998048e+00
[12431,] 4303 249 -1.999024e+00
[12432,] 4303 614 -1.999024e+00
[12433,] 4303 615 9.995120e-01
[12434,] 4303 4303 4.997560e+00
[12435,] 4304 619 -1.024000e+02
[12436,] 4304 846 -1.024000e+02
[12437,] 4304 4304 2.048000e+02
[12438,] 4305 250 -1.998049e+00
[12439,] 4305 619 -1.998049e+00
[12440,] 4305 4305 3.996098e+00
[12441,] 4306 583 -1.777778e+00
[12442,] 4306 622 -1.777778e+00
[12443,] 4306 4306 3.555556e+00
[12444,] 4307 619 -1.587597e+01
[12445,] 4307 733 -1.587597e+01
[12446,] 4307 4307 3.175194e+01
[12447,] 4308 651 -1.066667e+01
[12448,] 4308 733 -1.066667e+01
[12449,] 4308 4308 2.133333e+01
[12450,] 4309 92 -1.998049e+00
[12451,] 4309 619 -1.998049e+00
[12452,] 4309 651 9.411765e-01
[12453,] 4309 4309 4.937274e+00
[12454,] 4310 619 -7.968872e+00
[12455,] 4310 651 9.411765e-01
[12456,] 4310 693 -7.968872e+00
[12457,] 4310 4310 1.687892e+01
[12458,] 4311 651 -6.400000e+00
[12459,] 4311 693 -6.400000e+00
[12460,] 4311 4311 1.280000e+01
[12461,] 4312 93 -1.998049e+00
[12462,] 4312 619 -1.998049e+00
[12463,] 4312 4312 3.996098e+00
[12464,] 4313 619 -1.998049e+00
[12465,] 4313 4277 -1.998049e+00
[12466,] 4313 4313 3.996098e+00
[12467,] 4314 615 -1.999024e+00
[12468,] 4314 4277 -1.999024e+00
[12469,] 4314 4314 3.998048e+00
[12470,] 4315 168 -1.999024e+00
[12471,] 4315 614 -9.995120e-01
[12472,] 4315 4315 4.997560e+00
[12473,] 4316 615 -1.999024e+00
[12474,] 4316 4300 -1.999024e+00
[12475,] 4316 4316 3.998048e+00
[12476,] 4317 651 -1.882353e+00
[12477,] 4317 791 -1.882353e+00
[12478,] 4317 4317 3.764706e+00
[12479,] 4318 251 -1.878899e+00
[12480,] 4318 617 -1.878899e+00
[12481,] 4318 4318 8.024465e+00
[12482,] 4319 252 -1.878899e+00
[12483,] 4319 617 -1.878899e+00
[12484,] 4319 4319 3.757798e+00
[12485,] 4320 253 -1.882353e+00
[12486,] 4320 651 -1.882353e+00
[12487,] 4320 4320 3.764706e+00
[12488,] 4321 254 -1.999024e+00
[12489,] 4321 615 -1.999024e+00
[12490,] 4321 4321 5.064714e+00
[12491,] 4322 255 -1.882353e+00
[12492,] 4322 651 -1.882353e+00
[12493,] 4322 4322 3.764706e+00
[12494,] 4323 619 -1.998049e+00
[12495,] 4323 792 -1.998049e+00
[12496,] 4323 4323 3.996098e+00
[12497,] 4324 256 -1.882353e+00
[12498,] 4324 651 -1.882353e+00
[12499,] 4324 4324 3.764706e+00
[12500,] 4325 257 -1.999024e+00
[12501,] 4325 615 -1.999024e+00
[12502,] 4325 4325 6.131381e+00
[12503,] 4326 615 -1.999024e+00
[12504,] 4326 4303 -1.999024e+00
[12505,] 4326 4326 3.998048e+00
[12506,] 4327 651 -1.882353e+00
[12507,] 4327 793 -1.882353e+00
[12508,] 4327 4327 3.764706e+00
[12509,] 4328 614 -1.999024e+00
[12510,] 4328 794 -1.999024e+00
[12511,] 4328 4328 3.998048e+00
[12512,] 4329 615 -1.999024e+00
[12513,] 4329 795 -1.999024e+00
[12514,] 4329 4329 3.998048e+00
[12515,] 4330 651 -1.882353e+00
[12516,] 4330 797 -1.882353e+00
[12517,] 4330 4330 3.764706e+00
[12518,] 4331 258 -1.882353e+00
[12519,] 4331 651 -1.882353e+00
[12520,] 4331 4331 3.764706e+00
[12521,] 4332 651 -1.882353e+00
[12522,] 4332 4309 -1.882353e+00
[12523,] 4332 4332 3.764706e+00
[12524,] 4333 651 -1.882353e+00
[12525,] 4333 798 -1.882353e+00
[12526,] 4333 4333 3.764706e+00
[12527,] 4334 259 -1.882353e+00
[12528,] 4334 651 -1.882353e+00
[12529,] 4334 4334 3.764706e+00
[12530,] 4335 651 -1.882353e+00
[12531,] 4335 4310 -1.882353e+00
[12532,] 4335 4335 3.764706e+00
[12533,] 4336 260 -1.882353e+00
[12534,] 4336 651 -1.882353e+00
[12535,] 4336 4336 3.764706e+00
[12536,] 4337 651 -1.882353e+00
[12537,] 4337 799 -1.882353e+00
[12538,] 4337 4337 3.764706e+00
[12539,] 4338 261 -1.882353e+00
[12540,] 4338 651 -1.882353e+00
[12541,] 4338 4338 3.764706e+00
[12542,] 4339 651 -1.882353e+00
[12543,] 4339 800 -1.882353e+00
[12544,] 4339 4339 3.764706e+00
[12545,] 4340 651 -1.882353e+00
[12546,] 4340 801 -1.882353e+00
[12547,] 4340 4340 3.764706e+00
[12548,] 4341 651 -1.882353e+00
[12549,] 4341 802 -1.882353e+00
[12550,] 4341 4341 3.764706e+00
[12551,] 4342 614 -2.664932e+00
[12552,] 4342 789 -2.664932e+00
[12553,] 4342 4342 5.329863e+00
[12554,] 4343 651 -3.459459e+00
[12555,] 4343 790 -3.459459e+00
[12556,] 4343 4343 6.918919e+00
[12557,] 4344 651 -3.459459e+00
[12558,] 4344 4296 -3.459459e+00
[12559,] 4344 4344 6.918919e+00
[12560,] 4345 614 -3.995123e+00
[12561,] 4345 4297 -3.995123e+00
[12562,] 4345 4345 7.990246e+00
[12563,] 4346 651 -3.459459e+00
[12564,] 4346 4298 -3.459459e+00
[12565,] 4346 4346 6.918919e+00
[12566,] 4347 614 -3.995123e+00
[12567,] 4347 4299 -3.995123e+00
[12568,] 4347 4347 7.990246e+00
[12569,] 4348 262 -1.999024e+00
[12570,] 4348 614 -1.999024e+00
[12571,] 4348 615 9.995120e-01
[12572,] 4348 4348 4.997560e+00
[12573,] 4349 263 -1.999024e+00
[12574,] 4349 614 -1.999024e+00
[12575,] 4349 615 9.995120e-01
[12576,] 4349 4349 4.997560e+00
[12577,] 4350 264 -1.999024e+00
[12578,] 4350 614 -1.999024e+00
[12579,] 4350 615 9.995120e-01
[12580,] 4350 4350 4.997560e+00
[12581,] 4351 265 -1.999024e+00
[12582,] 4351 614 -1.999024e+00
[12583,] 4351 615 9.995120e-01
[12584,] 4351 4351 4.997560e+00
[12585,] 4352 266 -1.999024e+00
[12586,] 4352 614 -1.999024e+00
[12587,] 4352 615 9.995120e-01
[12588,] 4352 4352 4.997560e+00
[12589,] 4353 267 -1.999024e+00
[12590,] 4353 614 -1.999024e+00
[12591,] 4353 615 9.995120e-01
[12592,] 4353 4353 4.997560e+00
[12593,] 4354 262 -1.882353e+00
[12594,] 4354 617 9.394495e-01
[12595,] 4354 651 -9.411765e-01
[12596,] 4354 4354 5.645332e+00
[12597,] 4355 263 -1.882353e+00
[12598,] 4355 617 9.394495e-01
[12599,] 4355 651 -9.411765e-01
[12600,] 4355 4355 5.645332e+00
[12601,] 4356 264 -1.882353e+00
[12602,] 4356 617 9.394495e-01
[12603,] 4356 651 -9.411765e-01
[12604,] 4356 4356 5.645332e+00
[12605,] 4357 265 -1.882353e+00
[12606,] 4357 617 9.394495e-01
[12607,] 4357 651 -9.411765e-01
[12608,] 4357 4357 5.645332e+00
[12609,] 4358 266 -1.882353e+00
[12610,] 4358 617 9.394495e-01
[12611,] 4358 651 -9.411765e-01
[12612,] 4358 4358 5.645332e+00
[12613,] 4359 267 -1.882353e+00
[12614,] 4359 617 9.394495e-01
[12615,] 4359 651 -9.411765e-01
[12616,] 4359 4359 5.645332e+00
[12617,] 4360 268 -1.882353e+00
[12618,] 4360 651 -9.411765e-01
[12619,] 4360 4360 4.705882e+00
[12620,] 4361 269 -1.999024e+00
[12621,] 4361 614 -1.999024e+00
[12622,] 4361 615 9.995120e-01
[12623,] 4361 4361 4.997560e+00
[12624,] 4362 617 9.394495e-01
[12625,] 4362 651 -6.400000e+00
[12626,] 4362 831 -6.400000e+00
[12627,] 4362 4362 1.373945e+01
[12628,] 4363 614 -1.493823e+01
[12629,] 4363 622 -1.593774e+01
[12630,] 4363 4363 3.287500e+01
[12631,] 4364 615 -1.493823e+01
[12632,] 4364 622 -1.593774e+01
[12633,] 4364 4364 3.287500e+01
[12634,] 4365 270 -1.984496e+00
[12635,] 4365 688 -1.984496e+00
[12636,] 4365 4365 3.968992e+00
[12637,] 4366 271 -1.998049e+00
[12638,] 4366 612 9.411765e-01
[12639,] 4366 619 -1.998049e+00
[12640,] 4366 4366 4.937274e+00
[12641,] 4367 619 -3.150769e+01
[12642,] 4367 691 -3.150769e+01
[12643,] 4367 4367 6.301538e+01
[12644,] 4368 272 -1.882353e+00
[12645,] 4368 651 -9.411765e-01
[12646,] 4368 4368 4.705882e+00
[12647,] 4369 273 -1.882353e+00
[12648,] 4369 651 -9.411765e-01
[12649,] 4369 4369 4.705882e+00
[12650,] 4370 273 -1.878899e+00
[12651,] 4370 617 -1.878899e+00
[12652,] 4370 4370 3.757798e+00
[12653,] 4371 576 -1.939394e+00
[12654,] 4371 615 9.995120e-01
[12655,] 4371 689 -1.939394e+00
[12656,] 4371 4371 4.878300e+00
[12657,] 4372 617 9.394495e-01
[12658,] 4372 651 9.411765e-01
[12659,] 4372 689 -1.248780e+01
[12660,] 4372 721 -1.248780e+01
[12661,] 4372 4372 2.685624e+01
[12662,] 4373 274 -1.999024e+00
[12663,] 4373 614 -9.995120e-01
[12664,] 4373 4373 4.997560e+00
[12665,] 4374 274 -1.882353e+00
[12666,] 4374 651 -9.411765e-01
[12667,] 4374 4374 4.705882e+00
[12668,] 4375 614 -1.999024e+00
[12669,] 4375 780 -1.999024e+00
[12670,] 4375 4375 3.998048e+00
[12671,] 4376 651 -1.882353e+00
[12672,] 4376 781 -1.882353e+00
[12673,] 4376 4376 3.764706e+00
[12674,] 4377 168 -1.999024e+00
[12675,] 4377 614 -9.995120e-01
[12676,] 4377 4377 4.997560e+00
[12677,] 4378 168 -1.882353e+00
[12678,] 4378 651 -9.411765e-01
[12679,] 4378 4378 4.705882e+00
[12680,] 4379 275 -1.882353e+00
[12681,] 4379 651 -9.411765e-01
[12682,] 4379 4379 4.705882e+00
[12683,] 4380 276 -1.882353e+00
[12684,] 4380 651 -9.411765e-01
[12685,] 4380 4380 4.705882e+00
[12686,] 4381 277 -1.999024e+00
[12687,] 4381 614 -9.995120e-01
[12688,] 4381 4381 4.997560e+00
[12689,] 4382 614 -1.999024e+00
[12690,] 4382 4315 -1.999024e+00
[12691,] 4382 4382 3.998048e+00
[12692,] 4383 278 -1.999024e+00
[12693,] 4383 614 -1.999024e+00
[12694,] 4383 4383 5.064714e+00
[12695,] 4384 279 -1.882353e+00
[12696,] 4384 651 -9.411765e-01
[12697,] 4384 4384 4.705882e+00
[12698,] 4385 280 -1.882353e+00
[12699,] 4385 651 -9.411765e-01
[12700,] 4385 4385 4.705882e+00
[12701,] 4386 281 -1.878899e+00
[12702,] 4386 617 -2.867915e-01
[12703,] 4386 4386 5.349906e+00
[12704,] 4387 281 -1.882353e+00
[12705,] 4387 651 -9.411765e-01
[12706,] 4387 4387 4.705882e+00
[12707,] 4388 281 -1.999024e+00
[12708,] 4388 615 2.112091e+01
[12709,] 4388 4388 2.711798e+01
[12710,] 4389 281 -1.998049e+00
[12711,] 4389 619 8.866859e+00
[12712,] 4389 688 3.245048e+00
[12713,] 4389 4389 1.810605e+01
[12714,] 4390 282 -1.878899e+00
[12715,] 4390 617 -1.878899e+00
[12716,] 4390 4390 3.757798e+00
[12717,] 4391 283 -1.882353e+00
[12718,] 4391 651 -9.411765e-01
[12719,] 4391 4391 4.705882e+00
[12720,] 4392 283 -1.998049e+00
[12721,] 4392 617 2.381648e+01
[12722,] 4392 619 -9.990244e-01
[12723,] 4392 4392 2.881160e+01
[12724,] 4393 283 -1.999024e+00
[12725,] 4393 614 2.180154e+01
[12726,] 4393 4393 2.779861e+01
[12727,] 4394 283 -1.999024e+00
[12728,] 4394 615 3.371253e+01
[12729,] 4394 4394 3.970960e+01
[12730,] 4395 283 -1.878899e+00
[12731,] 4395 617 2.940915e+01
[12732,] 4395 4395 3.504584e+01
[12733,] 4396 283 -1.984496e+00
[12734,] 4396 688 1.378318e+00
[12735,] 4396 4396 7.331807e+00
[12736,] 4397 283 -1.882353e+00
[12737,] 4397 612 2.652952e+00
[12738,] 4397 4397 8.300011e+00
[12739,] 4398 615 -1.999024e+00
[12740,] 4398 4348 -1.999024e+00
[12741,] 4398 4398 3.998048e+00
[12742,] 4399 615 -1.999024e+00
[12743,] 4399 4349 -1.999024e+00
[12744,] 4399 4399 3.998048e+00
[12745,] 4400 615 -1.999024e+00
[12746,] 4400 4350 -1.999024e+00
[12747,] 4400 4400 3.998048e+00
[12748,] 4401 615 -1.999024e+00
[12749,] 4401 4351 -1.999024e+00
[12750,] 4401 4401 3.998048e+00
[12751,] 4402 615 -1.999024e+00
[12752,] 4402 4352 -1.999024e+00
[12753,] 4402 4402 3.998048e+00
[12754,] 4403 615 -1.999024e+00
[12755,] 4403 4353 -1.999024e+00
[12756,] 4403 4403 3.998048e+00
[12757,] 4404 651 -1.882353e+00
[12758,] 4404 4354 -1.882353e+00
[12759,] 4404 4404 3.764706e+00
[12760,] 4405 651 -1.882353e+00
[12761,] 4405 4355 -1.882353e+00
[12762,] 4405 4405 3.764706e+00
[12763,] 4406 651 -1.882353e+00
[12764,] 4406 4356 -1.882353e+00
[12765,] 4406 4406 3.764706e+00
[12766,] 4407 651 -1.882353e+00
[12767,] 4407 4357 -1.882353e+00
[12768,] 4407 4407 3.764706e+00
[12769,] 4408 651 -1.882353e+00
[12770,] 4408 4358 -1.882353e+00
[12771,] 4408 4408 3.764706e+00
[12772,] 4409 651 -1.882353e+00
[12773,] 4409 4359 -1.882353e+00
[12774,] 4409 4409 3.764706e+00
[12775,] 4410 617 -1.878899e+00
[12776,] 4410 4354 -1.878899e+00
[12777,] 4410 4410 4.824465e+00
[12778,] 4411 617 -1.878899e+00
[12779,] 4411 4355 -1.878899e+00
[12780,] 4411 4411 3.757798e+00
[12781,] 4412 617 -1.878899e+00
[12782,] 4412 4356 -1.878899e+00
[12783,] 4412 4412 3.757798e+00
[12784,] 4413 617 -1.878899e+00
[12785,] 4413 4357 -1.878899e+00
[12786,] 4413 4413 3.757798e+00
[12787,] 4414 617 -1.878899e+00
[12788,] 4414 4358 -1.878899e+00
[12789,] 4414 4414 4.824465e+00
[12790,] 4415 617 -1.878899e+00
[12791,] 4415 4359 -1.878899e+00
[12792,] 4415 4415 3.757798e+00
[12793,] 4416 284 -1.984496e+00
[12794,] 4416 688 -1.984496e+00
[12795,] 4416 4416 6.102326e+00
[12796,] 4417 651 -1.882353e+00
[12797,] 4417 4360 -1.882353e+00
[12798,] 4417 4417 3.764706e+00
[12799,] 4418 615 -1.999024e+00
[12800,] 4418 4361 -1.999024e+00
[12801,] 4418 4418 3.998048e+00
[12802,] 4419 285 -1.878899e+00
[12803,] 4419 617 -1.878899e+00
[12804,] 4419 4419 5.891131e+00
[12805,] 4420 286 -1.878899e+00
[12806,] 4420 617 -1.878899e+00
[12807,] 4420 4420 4.824465e+00
[12808,] 4421 617 -1.878899e+00
[12809,] 4421 4362 -1.878899e+00
[12810,] 4421 4421 3.757798e+00
[12811,] 4422 614 -1.999024e+00
[12812,] 4422 4363 -1.999024e+00
[12813,] 4422 4422 3.998048e+00
[12814,] 4423 615 -1.999024e+00
[12815,] 4423 4364 -1.999024e+00
[12816,] 4423 4423 3.998048e+00
[12817,] 4424 612 -1.882353e+00
[12818,] 4424 4366 -1.882353e+00
[12819,] 4424 4424 3.764706e+00
[12820,] 4425 287 -1.882353e+00
[12821,] 4425 651 -1.882353e+00
[12822,] 4425 4425 3.764706e+00
[12823,] 4426 287 -1.998049e+00
[12824,] 4426 619 -1.998049e+00
[12825,] 4426 4426 3.996098e+00
[12826,] 4427 287 -1.999024e+00
[12827,] 4427 614 -1.999024e+00
[12828,] 4427 4427 3.998048e+00
[12829,] 4428 287 -1.999024e+00
[12830,] 4428 615 -1.999024e+00
[12831,] 4428 4428 3.998048e+00
[12832,] 4429 287 -1.878899e+00
[12833,] 4429 617 -1.878899e+00
[12834,] 4429 4429 3.757798e+00
[12835,] 4430 287 -1.984496e+00
[12836,] 4430 688 -1.984496e+00
[12837,] 4430 4430 3.968992e+00
[12838,] 4431 288 -1.984496e+00
[12839,] 4431 688 -1.984496e+00
[12840,] 4431 4431 5.111849e+00
[12841,] 4432 651 -1.882353e+00
[12842,] 4432 4368 -1.882353e+00
[12843,] 4432 4432 3.764706e+00
[12844,] 4433 289 -1.878899e+00
[12845,] 4433 617 -1.878899e+00
[12846,] 4433 4433 8.329227e+00
[12847,] 4434 290 -1.878899e+00
[12848,] 4434 617 -1.878899e+00
[12849,] 4434 4434 5.891131e+00
[12850,] 4435 651 -1.882353e+00
[12851,] 4435 4369 -1.882353e+00
[12852,] 4435 4435 3.764706e+00
[12853,] 4436 291 -1.878899e+00
[12854,] 4436 617 -1.878899e+00
[12855,] 4436 4436 8.024465e+00
[12856,] 4437 292 -1.999024e+00
[12857,] 4437 615 -1.999024e+00
[12858,] 4437 4437 5.064714e+00
[12859,] 4438 293 -1.878899e+00
[12860,] 4438 617 -1.878899e+00
[12861,] 4438 4438 5.891131e+00
[12862,] 4439 615 -1.999024e+00
[12863,] 4439 4371 -1.999024e+00
[12864,] 4439 4439 3.998048e+00
[12865,] 4440 617 -1.878899e+00
[12866,] 4440 4372 -1.878899e+00
[12867,] 4440 4440 1.603046e+01
[12868,] 4441 651 -1.882353e+00
[12869,] 4441 4372 -1.882353e+00
[12870,] 4441 4441 4.831373e+00
[12871,] 4442 294 -1.984496e+00
[12872,] 4442 688 -1.984496e+00
[12873,] 4442 4442 3.968992e+00
[12874,] 4443 295 -1.984496e+00
[12875,] 4443 688 -1.984496e+00
[12876,] 4443 4443 5.035659e+00
[12877,] 4444 614 -1.999024e+00
[12878,] 4444 4373 -1.999024e+00
[12879,] 4444 4444 6.130860e+00
[12880,] 4445 651 -1.882353e+00
[12881,] 4445 4374 -1.882353e+00
[12882,] 4445 4445 3.764706e+00
[12883,] 4446 614 -1.999024e+00
[12884,] 4446 4377 -1.999024e+00
[12885,] 4446 4446 3.998048e+00
[12886,] 4447 651 -1.882353e+00
[12887,] 4447 4378 -1.882353e+00
[12888,] 4447 4447 3.764706e+00
[12889,] 4448 296 -1.878899e+00
[12890,] 4448 617 -1.878899e+00
[12891,] 4448 4448 3.757798e+00
[12892,] 4449 296 -1.984496e+00
[12893,] 4449 688 -1.984496e+00
[12894,] 4449 4449 3.968992e+00
[12895,] 4450 297 -1.998049e+00
[12896,] 4450 619 -1.998049e+00
[12897,] 4450 4450 3.996098e+00
[12898,] 4451 298 -1.998049e+00
[12899,] 4451 619 -1.998049e+00
[12900,] 4451 4451 3.996098e+00
[12901,] 4452 299 -1.999024e+00
[12902,] 4452 614 -1.999024e+00
[12903,] 4452 4452 3.998048e+00
[12904,] 4453 651 -1.882353e+00
[12905,] 4453 4379 -1.882353e+00
[12906,] 4453 4453 3.764706e+00
[12907,] 4454 300 -1.984496e+00
[12908,] 4454 688 -1.984496e+00
[12909,] 4454 4454 3.968992e+00
[12910,] 4455 301 -1.999024e+00
[12911,] 4455 614 -1.999024e+00
[12912,] 4455 4455 3.998048e+00
[12913,] 4456 301 -1.999024e+00
[12914,] 4456 615 -1.999024e+00
[12915,] 4456 4456 3.998048e+00
[12916,] 4457 301 -1.878899e+00
[12917,] 4457 617 -1.878899e+00
[12918,] 4457 4457 3.757798e+00
[12919,] 4458 301 -1.984496e+00
[12920,] 4458 688 -1.984496e+00
[12921,] 4458 4458 3.968992e+00
[12922,] 4459 651 -1.882353e+00
[12923,] 4459 4380 -1.882353e+00
[12924,] 4459 4459 3.764706e+00
[12925,] 4460 302 -1.984496e+00
[12926,] 4460 688 -1.984496e+00
[12927,] 4460 4460 3.968992e+00
[12928,] 4461 614 -1.999024e+00
[12929,] 4461 4381 -1.999024e+00
[12930,] 4461 4461 3.998048e+00
[12931,] 4462 651 -1.882353e+00
[12932,] 4462 4384 -1.882353e+00
[12933,] 4462 4462 3.764706e+00
[12934,] 4463 651 -1.882353e+00
[12935,] 4463 4385 -1.882353e+00
[12936,] 4463 4463 3.764706e+00
[12937,] 4464 303 -4.923077e-01
[12938,] 4464 611 1.121138e+00
[12939,] 4464 4464 2.598061e+00
[12940,] 4465 611 -1.075630e+00
[12941,] 4465 614 7.728302e+00
[12942,] 4465 619 7.699248e+00
[12943,] 4465 4464 -1.075630e+00
[12944,] 4465 4465 1.757881e+01
[12945,] 4466 611 -1.075630e+00
[12946,] 4466 614 7.728302e+00
[12947,] 4466 651 5.224490e+00
[12948,] 4466 4464 -1.075630e+00
[12949,] 4466 4466 1.510405e+01
[12950,] 4467 611 -1.075630e+00
[12951,] 4467 614 7.728302e+00
[12952,] 4467 619 7.699248e+00
[12953,] 4467 651 5.224490e+00
[12954,] 4467 4464 -1.075630e+00
[12955,] 4467 4467 2.280330e+01
[12956,] 4468 239 -4.383562e-01
[12957,] 4468 607 -4.383562e-01
[12958,] 4468 4468 8.767123e-01
[12959,] 4469 584 -1.882353e+00
[12960,] 4469 609 -1.882353e+00
[12961,] 4469 4469 3.764706e+00
[12962,] 4470 610 -5.284759e+00
[12963,] 4470 821 -6.400000e+00
[12964,] 4470 4470 1.391524e+01
[12965,] 4471 610 -7.664671e-01
[12966,] 4471 615 1.571952e+01
[12967,] 4471 617 1.794776e+01
[12968,] 4471 619 2.967243e+01
[12969,] 4471 651 7.683664e+00
[12970,] 4471 4470 -7.664671e-01
[12971,] 4471 4471 7.255631e+01
[12972,] 4472 610 -1.882353e+00
[12973,] 4472 732 -1.882353e+00
[12974,] 4472 4472 3.764706e+00
[12975,] 4473 610 -7.664671e-01
[12976,] 4473 615 7.728302e+00
[12977,] 4473 617 2.970172e+01
[12978,] 4473 4470 -7.664671e-01
[12979,] 4473 4473 3.896296e+01
[12980,] 4474 619 -1.539850e+01
[12981,] 4474 4465 -1.539850e+01
[12982,] 4474 4474 3.079699e+01
[12983,] 4475 614 -1.545660e+01
[12984,] 4475 4465 -1.545660e+01
[12985,] 4475 4475 3.091321e+01
[12986,] 4476 651 -1.044898e+01
[12987,] 4476 4466 -1.044898e+01
[12988,] 4476 4476 2.089796e+01
[12989,] 4477 614 -1.545660e+01
[12990,] 4477 4466 -1.545660e+01
[12991,] 4477 4477 3.091321e+01
[12992,] 4478 304 -1.882353e+00
[12993,] 4478 615 1.435754e+00
[12994,] 4478 651 -1.882353e+00
[12995,] 4478 4478 5.200460e+00
[12996,] 4479 305 -1.882353e+00
[12997,] 4479 651 -1.882353e+00
[12998,] 4479 4479 3.764706e+00
[12999,] 4480 306 -1.882353e+00
[13000,] 4480 615 4.102153e-01
[13001,] 4480 651 -1.882353e+00
[13002,] 4480 4480 4.174921e+00
[13003,] 4481 307 -1.882353e+00
[13004,] 4481 651 -1.882353e+00
[13005,] 4481 4481 3.764706e+00
[13006,] 4482 308 -1.882353e+00
[13007,] 4482 651 -1.882353e+00
[13008,] 4482 4482 3.764706e+00
[13009,] 4483 309 -1.882353e+00
[13010,] 4483 651 -1.882353e+00
[13011,] 4483 4483 3.764706e+00
[13012,] 4484 310 -1.882353e+00
[13013,] 4484 651 -1.882353e+00
[13014,] 4484 4484 3.764706e+00
[13015,] 4485 310 -1.998049e+00
[13016,] 4485 619 5.826617e+00
[13017,] 4485 4485 1.182076e+01
[13018,] 4486 311 -1.882353e+00
[13019,] 4486 651 -1.882353e+00
[13020,] 4486 4486 3.764706e+00
[13021,] 4487 311 -1.998049e+00
[13022,] 4487 619 2.084386e+00
[13023,] 4487 4487 8.078532e+00
[13024,] 4488 312 -1.882353e+00
[13025,] 4488 651 -1.882353e+00
[13026,] 4488 4488 3.764706e+00
[13027,] 4489 312 -1.998049e+00
[13028,] 4489 619 1.744183e+00
[13029,] 4489 4489 7.738329e+00
[13030,] 4490 313 -1.882353e+00
[13031,] 4490 651 -1.882353e+00
[13032,] 4490 4490 3.764706e+00
[13033,] 4491 313 -1.998049e+00
[13034,] 4491 619 -1.998049e+00
[13035,] 4491 4491 3.996098e+00
[13036,] 4492 314 -1.882353e+00
[13037,] 4492 651 -1.882353e+00
[13038,] 4492 4492 3.764706e+00
[13039,] 4493 314 -1.998049e+00
[13040,] 4493 619 4.806009e+00
[13041,] 4493 4493 1.080015e+01
[13042,] 4494 315 -1.882353e+00
[13043,] 4494 651 -1.882353e+00
[13044,] 4494 4494 3.764706e+00
[13045,] 4495 315 -1.998049e+00
[13046,] 4495 619 -1.998049e+00
[13047,] 4495 4495 3.996098e+00
[13048,] 4496 316 -1.882353e+00
[13049,] 4496 651 -1.882353e+00
[13050,] 4496 4496 3.764706e+00
[13051,] 4497 316 -1.998049e+00
[13052,] 4497 619 1.403980e+00
[13053,] 4497 4497 7.398126e+00
[13054,] 4498 317 -1.882353e+00
[13055,] 4498 651 -1.882353e+00
[13056,] 4498 4498 3.764706e+00
[13057,] 4499 318 -1.882353e+00
[13058,] 4499 651 -9.021360e-01
[13059,] 4499 4499 4.744923e+00
[13060,] 4500 319 -1.882353e+00
[13061,] 4500 651 -1.228875e+00
[13062,] 4500 4500 4.418184e+00
[13063,] 4501 320 -1.882353e+00
[13064,] 4501 651 -1.882353e+00
[13065,] 4501 4501 3.764706e+00
[13066,] 4502 321 -1.882353e+00
[13067,] 4502 651 -1.882353e+00
[13068,] 4502 4502 3.764706e+00
[13069,] 4503 322 -1.882353e+00
[13070,] 4503 651 -1.882353e+00
[13071,] 4503 4503 3.764706e+00
[13072,] 4504 323 -1.882353e+00
[13073,] 4504 651 3.018732e+00
[13074,] 4504 4504 8.665791e+00
[13075,] 4505 324 -1.882353e+00
[13076,] 4505 651 -1.882353e+00
[13077,] 4505 4505 3.764706e+00
[13078,] 4506 325 -1.882353e+00
[13079,] 4506 651 -1.882353e+00
[13080,] 4506 4506 3.764706e+00
[13081,] 4507 326 -1.882353e+00
[13082,] 4507 651 -1.882353e+00
[13083,] 4507 4507 3.764706e+00
[13084,] 4508 327 -1.882353e+00
[13085,] 4508 651 -1.882353e+00
[13086,] 4508 4508 3.764706e+00
[13087,] 4509 328 -1.882353e+00
[13088,] 4509 651 -1.882353e+00
[13089,] 4509 4509 3.764706e+00
[13090,] 4510 615 6.563445e+00
[13091,] 4510 651 -1.825654e+00
[13092,] 4510 828 -6.400000e+00
[13093,] 4510 4510 2.393779e+01
[13094,] 4511 617 -6.360248e+00
[13095,] 4511 828 -6.360248e+00
[13096,] 4511 4511 1.272050e+01
[13097,] 4512 329 -1.984496e+00
[13098,] 4512 688 -1.984496e+00
[13099,] 4512 4512 7.168992e+00
[13100,] 4513 330 -1.999024e+00
[13101,] 4513 614 -1.999024e+00
[13102,] 4513 615 6.399200e+00
[13103,] 4513 4513 1.039725e+01
[13104,] 4514 330 -1.998049e+00
[13105,] 4514 619 1.637291e+01
[13106,] 4514 4514 2.236705e+01
[13107,] 4515 330 -1.878899e+00
[13108,] 4515 617 6.931984e+00
[13109,] 4515 4515 1.256868e+01
[13110,] 4516 330 -1.984496e+00
[13111,] 4516 688 -1.984496e+00
[13112,] 4516 4516 3.968992e+00
[13113,] 4517 617 -6.360248e+00
[13114,] 4517 723 -6.360248e+00
[13115,] 4517 4517 1.272050e+01
[13116,] 4518 615 -8.230948e-01
[13117,] 4518 4473 -1.545660e+01
[13118,] 4518 4518 4.554672e+01
[13119,] 4519 617 1.356883e+01
[13120,] 4519 4473 -1.034343e+01
[13121,] 4519 4519 4.459913e+01
[13122,] 4520 651 -1.044898e+01
[13123,] 4520 4471 -1.044898e+01
[13124,] 4520 4520 2.421503e+01
[13125,] 4521 619 -1.539850e+01
[13126,] 4521 4471 -1.539850e+01
[13127,] 4521 4521 3.079699e+01
[13128,] 4522 615 -4.906865e+00
[13129,] 4522 4471 -1.545660e+01
[13130,] 4522 4522 4.146295e+01
[13131,] 4523 617 1.561845e+01
[13132,] 4523 4471 -1.034343e+01
[13133,] 4523 4523 4.664876e+01
[13134,] 4524 331 -1.882353e+00
[13135,] 4524 651 -5.753970e-01
[13136,] 4524 4524 5.071662e+00
[13137,] 4525 332 -1.878899e+00
[13138,] 4525 617 3.668694e+00
[13139,] 4525 4525 9.305391e+00
[13140,] 4526 333 -1.882353e+00
[13141,] 4526 651 -2.486580e-01
[13142,] 4526 4526 5.398401e+00
[13143,] 4527 333 -1.998049e+00
[13144,] 4527 619 3.785400e+00
[13145,] 4527 4527 9.779546e+00
[13146,] 4528 333 -1.878899e+00
[13147,] 4528 617 -1.878899e+00
[13148,] 4528 4528 3.757798e+00
[13149,] 4529 333 -1.984496e+00
[13150,] 4529 688 -1.984496e+00
[13151,] 4529 4529 3.968992e+00
[13152,] 4530 334 -1.882353e+00
[13153,] 4530 651 -1.882353e+00
[13154,] 4530 4530 3.764706e+00
[13155,] 4531 334 -1.999024e+00
[13156,] 4531 615 -1.999024e+00
[13157,] 4531 4531 3.998048e+00
[13158,] 4532 335 -1.882353e+00
[13159,] 4532 651 -1.882353e+00
[13160,] 4532 4532 3.764706e+00
[13161,] 4533 335 -1.999024e+00
[13162,] 4533 615 -1.999024e+00
[13163,] 4533 4533 3.998048e+00
[13164,] 4534 336 -1.882353e+00
[13165,] 4534 651 7.808101e-02
[13166,] 4534 4534 5.725140e+00
[13167,] 4535 336 -1.998049e+00
[13168,] 4535 619 7.235742e-01
[13169,] 4535 4535 6.717721e+00
[13170,] 4536 336 -1.999024e+00
[13171,] 4536 614 -1.999024e+00
[13172,] 4536 615 2.815648e+00
[13173,] 4536 4536 6.813696e+00
[13174,] 4537 617 -1.878899e+00
[13175,] 4537 4386 -1.878899e+00
[13176,] 4537 4537 3.757798e+00
[13177,] 4538 651 -1.882353e+00
[13178,] 4538 4387 -1.882353e+00
[13179,] 4538 4538 3.764706e+00
[13180,] 4539 615 -1.999024e+00
[13181,] 4539 4388 -1.999024e+00
[13182,] 4539 4539 3.998048e+00
[13183,] 4540 619 -1.998049e+00
[13184,] 4540 4389 -1.998049e+00
[13185,] 4540 4540 3.996098e+00
[13186,] 4541 688 -1.984496e+00
[13187,] 4541 4389 -1.984496e+00
[13188,] 4541 4541 3.968992e+00
[13189,] 4542 337 -1.878899e+00
[13190,] 4542 617 -1.878899e+00
[13191,] 4542 4542 3.757798e+00
[13192,] 4543 651 -1.882353e+00
[13193,] 4543 4391 -1.882353e+00
[13194,] 4543 4543 3.764706e+00
[13195,] 4544 619 -1.998049e+00
[13196,] 4544 4392 -1.998049e+00
[13197,] 4544 4544 6.128390e+00
[13198,] 4545 617 -1.878899e+00
[13199,] 4545 4392 -1.878899e+00
[13200,] 4545 4545 3.757798e+00
[13201,] 4546 614 -1.999024e+00
[13202,] 4546 4393 -1.999024e+00
[13203,] 4546 4546 3.998048e+00
[13204,] 4547 615 -1.999024e+00
[13205,] 4547 4394 -1.999024e+00
[13206,] 4547 4547 3.998048e+00
[13207,] 4548 617 -1.878899e+00
[13208,] 4548 4395 -1.878899e+00
[13209,] 4548 4548 3.757798e+00
[13210,] 4549 688 -1.984496e+00
[13211,] 4549 4396 -1.984496e+00
[13212,] 4549 4549 3.968992e+00
[13213,] 4550 612 -1.882353e+00
[13214,] 4550 4397 -1.882353e+00
[13215,] 4550 4550 3.764706e+00
[13216,] 4551 338 -1.878899e+00
[13217,] 4551 617 -1.878899e+00
[13218,] 4551 4551 3.757798e+00
[13219,] 4552 339 -1.882353e+00
[13220,] 4552 651 -1.882353e+00
[13221,] 4552 4552 3.764706e+00
[13222,] 4553 340 -1.882353e+00
[13223,] 4553 651 -1.882353e+00
[13224,] 4553 4553 3.764706e+00
[13225,] 4554 340 -1.998049e+00
[13226,] 4554 619 -1.998049e+00
[13227,] 4554 4554 3.996098e+00
[13228,] 4555 341 -1.882353e+00
[13229,] 4555 651 -1.882353e+00
[13230,] 4555 4555 3.764706e+00
[13231,] 4556 341 -1.998049e+00
[13232,] 4556 619 -1.998049e+00
[13233,] 4556 4556 3.996098e+00
[13234,] 4557 651 -1.044898e+01
[13235,] 4557 4467 -1.044898e+01
[13236,] 4557 4557 2.089796e+01
[13237,] 4558 619 -1.539850e+01
[13238,] 4558 4467 -1.539850e+01
[13239,] 4558 4558 3.079699e+01
[13240,] 4559 614 -1.545660e+01
[13241,] 4559 4467 -1.545660e+01
[13242,] 4559 4559 3.091321e+01
[13243,] 4560 585 -1.882353e+00
[13244,] 4560 607 -1.548585e+00
[13245,] 4560 4560 4.098474e+00
[13246,] 4561 607 -6.675359e-01
[13247,] 4561 4560 -6.675359e-01
[13248,] 4561 4561 1.335072e+00
[13249,] 4562 610 -6.037736e-01
[13250,] 4562 617 1.072936e+01
[13251,] 4562 821 -6.037736e-01
[13252,] 4562 4562 1.193691e+01
[13253,] 4563 9 -4.000000e-01
[13254,] 4563 342 -4.000000e-01
[13255,] 4563 347 8.000000e-01
[13256,] 4563 349 2.105263e-01
[13257,] 4563 350 2.105263e-01
[13258,] 4563 351 3.578947e+00
[13259,] 4563 353 8.000000e-01
[13260,] 4563 368 1.970732e+00
[13261,] 4563 370 8.000000e-01
[13262,] 4563 372 8.000000e-01
[13263,] 4563 373 8.000000e-01
[13264,] 4563 374 8.000000e-01
[13265,] 4563 375 8.000000e-01
[13266,] 4563 376 5.431579e+00
[13267,] 4563 378 8.000000e-01
[13268,] 4563 379 8.000000e-01
[13269,] 4563 380 8.000000e-01
[13270,] 4563 381 8.000000e-01
[13271,] 4563 382 8.000000e-01
[13272,] 4563 383 8.000000e-01
[13273,] 4563 385 4.897561e+00
[13274,] 4563 386 2.273684e+00
[13275,] 4563 387 2.905263e+00
[13276,] 4563 388 7.747368e+00
[13277,] 4563 389 8.000000e-01
[13278,] 4563 390 8.000000e-01
[13279,] 4563 391 8.000000e-01
[13280,] 4563 392 8.000000e-01
[13281,] 4563 393 2.484211e+00
[13282,] 4563 394 8.000000e-01
[13283,] 4563 395 3.115789e+00
[13284,] 4563 396 8.000000e-01
[13285,] 4563 397 1.723077e+00
[13286,] 4563 398 8.000000e-01
[13287,] 4563 401 8.000000e-01
[13288,] 4563 421 8.184615e+00
[13289,] 4563 477 1.170732e+00
[13290,] 4563 478 4.421053e+00
[13291,] 4563 488 1.684211e+00
[13292,] 4563 489 1.052632e+00
[13293,] 4563 491 1.263158e+00
[13294,] 4563 498 4.000000e+00
[13295,] 4563 499 2.947368e+00
[13296,] 4563 500 3.368421e+00
[13297,] 4563 502 2.105263e+00
[13298,] 4563 506 8.421053e-01
[13299,] 4563 507 9.230769e-01
[13300,] 4563 591 6.653659e+00
[13301,] 4563 651 5.110448e+00
[13302,] 4563 893 1.141622e+01
[13303,] 4563 4266 9.329083e+00
[13304,] 4563 4267 1.145790e+01
[13305,] 4563 4520 3.317073e+00
[13306,] 4563 4563 3.499521e+02
[13307,] 4564 25 -4.999390e-01
[13308,] 4564 614 -4.999390e-01
[13309,] 4564 689 5.024793e+00
[13310,] 4564 4263 1.684211e+00
[13311,] 4564 4267 4.887828e+00
[13312,] 4564 4563 4.750000e+00
[13313,] 4564 4564 1.734671e+01
[13314,] 4565 25 -4.999390e-01
[13315,] 4565 614 -4.999390e-01
[13316,] 4565 4263 2.666667e+00
[13317,] 4565 4267 3.992203e+00
[13318,] 4565 4565 7.658747e+00
[13319,] 4566 343 -1.882353e+00
[13320,] 4566 607 -1.499119e+00
[13321,] 4566 4566 4.147939e+00
[13322,] 4567 607 -7.664671e-01
[13323,] 4567 4266 7.742908e+00
[13324,] 4567 4563 4.701612e+00
[13325,] 4567 4566 -7.664671e-01
[13326,] 4567 4567 1.397745e+01
[13327,] 4568 99 -1.882353e+00
[13328,] 4568 610 -1.882353e+00
[13329,] 4568 617 9.394495e-01
[13330,] 4568 4568 4.704155e+00
[13331,] 4569 614 1.187387e+02
[13332,] 4569 617 -1.773160e+01
[13333,] 4569 4266 1.224650e+02
[13334,] 4569 4267 1.238690e+02
[13335,] 4569 4563 3.875118e+00
[13336,] 4569 4569 3.866794e+02
[13337,] 4570 651 -7.664671e-01
[13338,] 4570 689 6.243902e+00
[13339,] 4570 702 -7.664671e-01
[13340,] 4570 4563 6.248440e+00
[13341,] 4570 4570 1.402528e+01
[13342,] 4571 614 -7.997267e-01
[13343,] 4571 652 -7.997267e-01
[13344,] 4571 689 3.008522e+00
[13345,] 4571 4571 4.607975e+00
[13346,] 4572 614 -7.997267e-01
[13347,] 4572 652 -7.997267e-01
[13348,] 4572 689 7.111052e+00
[13349,] 4572 4563 3.354812e+00
[13350,] 4572 4572 1.206532e+01
[13351,] 4573 344 -4.383562e-01
[13352,] 4573 610 -4.383562e-01
[13353,] 4573 617 1.393558e+01
[13354,] 4573 4573 1.481229e+01
[13355,] 4574 242 -1.882353e+00
[13356,] 4574 610 -1.533579e+00
[13357,] 4574 4574 4.113480e+00
[13358,] 4575 610 -6.975477e-01
[13359,] 4575 617 2.202567e+01
[13360,] 4575 4574 -6.975477e-01
[13361,] 4575 4575 2.342077e+01
[13362,] 4576 345 -4.923077e-01
[13363,] 4576 610 -4.923077e-01
[13364,] 4576 617 8.212949e+00
[13365,] 4576 4576 9.197564e+00
[13366,] 4577 346 -4.155844e-01
[13367,] 4577 611 -4.155844e-01
[13368,] 4577 614 1.714565e+01
[13369,] 4577 619 1.015621e+00
[13370,] 4577 4577 1.899244e+01
[13371,] 4578 614 -1.999024e+00
[13372,] 4578 808 -1.999024e+00
[13373,] 4578 4578 3.998048e+00
[13374,] 4579 347 -1.600000e+00
[13375,] 4579 4563 6.788350e+00
[13376,] 4579 4579 1.158835e+01
[13377,] 4580 688 4.990253e-01
[13378,] 4580 689 -1.013918e+01
[13379,] 4580 4570 -1.248780e+01
[13380,] 4580 4580 2.782326e+01
[13381,] 4581 4563 -4.597499e+00
[13382,] 4581 4570 -5.278351e+00
[13383,] 4581 4581 1.123755e+01
[13384,] 4582 4563 -3.659574e+00
[13385,] 4582 4564 -4.000000e+00
[13386,] 4582 4582 8.340426e+00
[13387,] 4583 617 -1.773160e+01
[13388,] 4583 4583 1.773160e+01
[13389,] 4584 586 -1.882353e+00
[13390,] 4584 609 -1.882353e+00
[13391,] 4584 4584 3.764706e+00
[13392,] 4585 348 -1.882353e+00
[13393,] 4585 610 -1.533579e+00
[13394,] 4585 4585 4.113480e+00
[13395,] 4586 610 -6.975477e-01
[13396,] 4586 4563 3.966607e+00
[13397,] 4586 4585 -6.975477e-01
[13398,] 4586 4586 5.361702e+00
[13399,] 4587 614 -1.999024e+00
[13400,] 4587 808 -1.999024e+00
[13401,] 4587 4587 3.998048e+00
[13402,] 4588 349 -4.210526e-01
[13403,] 4588 4563 -4.210526e-01
[13404,] 4588 4588 8.421053e-01
[13405,] 4589 614 -1.999024e+00
[13406,] 4589 808 -1.999024e+00
[13407,] 4589 4589 3.998048e+00
[13408,] 4590 11 -3.953668e-01
[13409,] 4590 611 -3.953668e-01
[13410,] 4590 4590 7.907336e-01
[13411,] 4591 350 -4.210526e-01
[13412,] 4591 4563 -4.210526e-01
[13413,] 4591 4591 8.421053e-01
[13414,] 4592 688 -1.462857e+02
[13415,] 4592 4563 4.265556e+00
[13416,] 4592 4592 1.505513e+02
[13417,] 4593 99 -4.383562e-01
[13418,] 4593 610 -4.383562e-01
[13419,] 4593 4563 4.473118e+00
[13420,] 4593 4593 5.349831e+00
[13421,] 4594 4267 -2.340571e+02
[13422,] 4594 4569 -2.340571e+02
[13423,] 4594 4594 4.681143e+02
[13424,] 4595 351 -4.210526e-01
[13425,] 4595 4563 7.336523e+00
[13426,] 4595 4595 8.599681e+00
[13427,] 4596 352 -1.882353e+00
[13428,] 4596 610 -1.882353e+00
[13429,] 4596 4596 3.764706e+00
[13430,] 4597 7 -4.383562e-01
[13431,] 4597 609 -4.383562e-01
[13432,] 4597 4597 8.767123e-01
[13433,] 4598 9 -4.923077e-01
[13434,] 4598 609 -4.923077e-01
[13435,] 4598 4598 9.846154e-01
[13436,] 4599 610 -5.565217e-01
[13437,] 4599 627 -5.565217e-01
[13438,] 4599 4599 1.113043e+00
[13439,] 4600 350 -1.999024e+00
[13440,] 4600 614 -1.999024e+00
[13441,] 4600 4600 3.998048e+00
[13442,] 4601 587 -1.999024e+00
[13443,] 4601 4267 -1.999024e+00
[13444,] 4601 4601 3.998048e+00
[13445,] 4602 876 -3.175194e+01
[13446,] 4602 4267 -3.175194e+01
[13447,] 4602 4602 6.350388e+01
[13448,] 4603 588 -1.999024e+00
[13449,] 4603 4267 -1.999024e+00
[13450,] 4603 4603 3.998048e+00
[13451,] 4604 532 -1.999024e+00
[13452,] 4604 4267 -1.999024e+00
[13453,] 4604 4604 3.998048e+00
[13454,] 4605 889 -3.175194e+01
[13455,] 4605 4267 -3.175194e+01
[13456,] 4605 4605 6.350388e+01
[13457,] 4606 419 -1.999024e+00
[13458,] 4606 617 5.696192e+00
[13459,] 4606 4267 -1.999024e+00
[13460,] 4606 4606 9.694240e+00
[13461,] 4607 589 -1.999024e+00
[13462,] 4607 4267 -1.999024e+00
[13463,] 4607 4607 3.998048e+00
[13464,] 4608 4267 -7.984405e+00
[13465,] 4608 4563 -7.984405e+00
[13466,] 4608 4608 1.596881e+01
[13467,] 4609 349 -1.999024e+00
[13468,] 4609 614 -1.999024e+00
[13469,] 4609 4609 3.998048e+00
[13470,] 4610 349 -1.998049e+00
[13471,] 4610 619 -1.998049e+00
[13472,] 4610 4610 3.996098e+00
[13473,] 4611 353 -1.600000e+00
[13474,] 4611 4563 -1.600000e+00
[13475,] 4611 4611 3.200000e+00
[13476,] 4612 388 -1.999024e+00
[13477,] 4612 4267 -1.999024e+00
[13478,] 4612 4612 3.998048e+00
[13479,] 4613 4267 1.066111e+00
[13480,] 4613 4563 -7.750237e+00
[13481,] 4613 4569 -7.750237e+00
[13482,] 4613 4613 1.656658e+01
[13483,] 4614 4267 -2.132223e+00
[13484,] 4614 4613 -2.132223e+00
[13485,] 4614 4614 4.264446e+00
[13486,] 4615 590 -1.882353e+00
[13487,] 4615 611 -1.882353e+00
[13488,] 4615 4615 3.764706e+00
[13489,] 4616 610 -6.975477e-01
[13490,] 4616 4470 -6.975477e-01
[13491,] 4616 4616 1.395095e+00
[13492,] 4617 614 -6.668839e-01
[13493,] 4617 617 1.539847e+01
[13494,] 4617 808 -6.668839e-01
[13495,] 4617 4617 1.673224e+01
[13496,] 4618 651 -7.664671e-01
[13497,] 4618 702 -7.664671e-01
[13498,] 4618 4618 1.532934e+00
[13499,] 4619 610 -6.037736e-01
[13500,] 4619 617 1.458412e+01
[13501,] 4619 821 -6.037736e-01
[13502,] 4619 4563 4.500000e+00
[13503,] 4619 4619 2.029167e+01
[13504,] 4620 354 -1.999024e+00
[13505,] 4620 614 -1.271993e+00
[13506,] 4620 4620 4.725079e+00
[13507,] 4621 355 -1.999024e+00
[13508,] 4621 614 -1.635509e+00
[13509,] 4621 4621 4.361563e+00
[13510,] 4622 356 -1.999024e+00
[13511,] 4622 614 -5.449625e-01
[13512,] 4622 4622 5.452109e+00
[13513,] 4623 357 -1.998049e+00
[13514,] 4623 619 -1.810768e-01
[13515,] 4623 4623 5.813070e+00
[13516,] 4624 358 -1.999024e+00
[13517,] 4624 614 -1.999024e+00
[13518,] 4624 615 3.861549e+00
[13519,] 4624 4624 7.859597e+00
[13520,] 4625 617 -1.878899e+00
[13521,] 4625 4568 -1.878899e+00
[13522,] 4625 4625 3.757798e+00
[13523,] 4626 359 -1.878899e+00
[13524,] 4626 617 1.256061e+00
[13525,] 4626 4626 6.892759e+00
[13526,] 4627 360 -1.878899e+00
[13527,] 4627 617 4.042693e+00
[13528,] 4627 4627 9.679390e+00
[13529,] 4628 617 -2.766198e+01
[13530,] 4628 4617 -3.079694e+01
[13531,] 4628 4628 6.472883e+01
[13532,] 4629 617 3.790267e+00
[13533,] 4629 4562 -6.360248e+00
[13534,] 4629 4629 2.287101e+01
[13535,] 4630 361 -1.999024e+00
[13536,] 4630 614 -1.999024e+00
[13537,] 4630 615 5.516498e-01
[13538,] 4630 4630 4.549698e+00
[13539,] 4631 362 -1.999024e+00
[13540,] 4631 614 -1.999024e+00
[13541,] 4631 615 8.274747e-01
[13542,] 4631 4631 4.825523e+00
[13543,] 4632 363 -1.999024e+00
[13544,] 4632 614 -1.999024e+00
[13545,] 4632 615 8.274747e-01
[13546,] 4632 4632 4.825523e+00
[13547,] 4633 651 -6.400000e+00
[13548,] 4633 4563 -8.077670e-01
[13549,] 4633 4633 1.839223e+01
[13550,] 4634 385 -1.600000e+00
[13551,] 4634 617 3.815870e+00
[13552,] 4634 4563 5.856311e+00
[13553,] 4634 4634 1.447218e+01
[13554,] 4635 591 -1.600000e+00
[13555,] 4635 4563 -1.600000e+00
[13556,] 4635 4635 3.200000e+00
[13557,] 4636 370 -1.600000e+00
[13558,] 4636 4563 2.749515e+00
[13559,] 4636 4636 7.549515e+00
[13560,] 4637 364 -1.999024e+00
[13561,] 4637 614 -1.999024e+00
[13562,] 4637 615 4.964848e+00
[13563,] 4637 4637 8.962896e+00
[13564,] 4638 364 -1.878899e+00
[13565,] 4638 617 -1.878899e+00
[13566,] 4638 4563 4.956229e+00
[13567,] 4638 4638 8.714027e+00
[13568,] 4639 329 -1.878899e+00
[13569,] 4639 617 1.256061e+00
[13570,] 4639 4639 6.892759e+00
[13571,] 4640 330 -1.882353e+00
[13572,] 4640 651 -1.882353e+00
[13573,] 4640 4563 1.684211e+00
[13574,] 4640 4640 5.448916e+00
[13575,] 4641 365 -1.878899e+00
[13576,] 4641 617 1.484089e+01
[13577,] 4641 4641 2.047759e+01
[13578,] 4642 366 -1.999024e+00
[13579,] 4642 614 -1.999024e+00
[13580,] 4642 615 4.137374e+00
[13581,] 4642 4642 8.135422e+00
[13582,] 4643 367 -1.878899e+00
[13583,] 4643 617 3.694364e+00
[13584,] 4643 4643 9.331061e+00
[13585,] 4644 368 -1.600000e+00
[13586,] 4644 617 2.020167e+00
[13587,] 4644 4563 -4.660194e-02
[13588,] 4644 4644 6.773565e+00
[13589,] 4645 617 -2.008899e+00
[13590,] 4645 4573 -1.055670e+01
[13591,] 4645 4645 2.966120e+01
[13592,] 4646 369 -1.999024e+00
[13593,] 4646 614 -1.999024e+00
[13594,] 4646 615 1.930774e+00
[13595,] 4646 617 4.381686e-01
[13596,] 4646 4646 6.366991e+00
[13597,] 4647 617 1.045663e+01
[13598,] 4647 4575 -1.551515e+01
[13599,] 4647 4647 5.700208e+01
[13600,] 4648 370 -1.878899e+00
[13601,] 4648 617 9.077324e-01
[13602,] 4648 4648 6.544430e+00
[13603,] 4649 617 -4.836344e-01
[13604,] 4649 4576 -6.360248e+00
[13605,] 4649 4649 1.859711e+01
[13606,] 4650 614 -3.175194e+01
[13607,] 4650 619 1.333044e+00
[13608,] 4650 4577 -3.175194e+01
[13609,] 4650 4650 6.483692e+01
[13610,] 4651 371 -1.878899e+00
[13611,] 4651 617 -1.372544e-01
[13612,] 4651 4651 5.499443e+00
[13613,] 4652 370 -1.984496e+00
[13614,] 4652 688 5.474714e-01
[13615,] 4652 4652 6.500960e+00
[13616,] 4653 617 -6.360248e+00
[13617,] 4653 4619 -6.360248e+00
[13618,] 4653 4653 1.272050e+01
[13619,] 4654 4563 3.883495e-02
[13620,] 4654 4619 -4.000000e+00
[13621,] 4654 4654 1.203883e+01
[13622,] 4655 372 -1.600000e+00
[13623,] 4655 4563 3.060194e+00
[13624,] 4655 4655 7.860194e+00
[13625,] 4656 372 -1.878899e+00
[13626,] 4656 617 -1.878899e+00
[13627,] 4656 4656 3.757798e+00
[13628,] 4657 373 -1.600000e+00
[13629,] 4657 4563 8.854369e-01
[13630,] 4657 4657 5.685437e+00
[13631,] 4658 373 -1.878899e+00
[13632,] 4658 617 -1.878899e+00
[13633,] 4658 4658 3.757798e+00
[13634,] 4659 374 -1.600000e+00
[13635,] 4659 4563 3.370874e+00
[13636,] 4659 4659 8.170874e+00
[13637,] 4660 374 -1.878899e+00
[13638,] 4660 617 -1.878899e+00
[13639,] 4660 4660 3.757798e+00
[13640,] 4661 375 -1.600000e+00
[13641,] 4661 4563 -9.786408e-01
[13642,] 4661 4661 3.821359e+00
[13643,] 4662 375 -1.878899e+00
[13644,] 4662 617 -1.878899e+00
[13645,] 4662 4662 3.757798e+00
[13646,] 4663 376 -1.600000e+00
[13647,] 4663 4563 -1.600000e+00
[13648,] 4663 4663 3.200000e+00
[13649,] 4664 614 2.136672e+00
[13650,] 4664 617 -3.849624e+00
[13651,] 4664 4647 -3.849624e+00
[13652,] 4664 4664 9.835920e+00
[13653,] 4665 610 -6.975477e-01
[13654,] 4665 616 -6.975477e-01
[13655,] 4665 4665 1.395095e+00
[13656,] 4666 614 3.992203e+00
[13657,] 4666 619 -6.528530e-01
[13658,] 4666 637 -6.528530e-01
[13659,] 4666 4666 5.297909e+00
[13660,] 4667 377 -1.882353e+00
[13661,] 4667 610 -1.548585e+00
[13662,] 4667 4667 4.098474e+00
[13663,] 4668 345 -4.383562e-01
[13664,] 4668 610 -4.383562e-01
[13665,] 4668 4563 2.666667e+00
[13666,] 4668 4668 3.543379e+00
[13667,] 4669 378 -1.600000e+00
[13668,] 4669 4563 -3.368421e-01
[13669,] 4669 4669 4.463158e+00
[13670,] 4670 379 -1.600000e+00
[13671,] 4670 4563 1.768421e+00
[13672,] 4670 4670 6.568421e+00
[13673,] 4671 4266 -4.935666e-01
[13674,] 4671 4563 -7.992193e+00
[13675,] 4671 4671 2.348301e+01
[13676,] 4672 4266 -5.487646e+00
[13677,] 4672 4567 -1.548582e+01
[13678,] 4672 4672 4.096980e+01
[13679,] 4673 4266 -2.329409e+02
[13680,] 4673 4569 -2.409394e+02
[13681,] 4673 4673 4.898774e+02
[13682,] 4674 380 -1.600000e+00
[13683,] 4674 4563 -3.368421e-01
[13684,] 4674 4674 4.463158e+00
[13685,] 4675 381 -1.600000e+00
[13686,] 4675 4563 5.052632e-01
[13687,] 4675 4675 5.305263e+00
[13688,] 4676 382 -1.600000e+00
[13689,] 4676 4563 -3.368421e-01
[13690,] 4676 4676 4.463158e+00
[13691,] 4677 383 -1.999024e+00
[13692,] 4677 614 -9.993900e-01
[13693,] 4677 4677 4.997682e+00
[13694,] 4678 383 -1.600000e+00
[13695,] 4678 4563 3.452632e+00
[13696,] 4678 4678 8.252632e+00
[13697,] 4679 4563 3.984807e+00
[13698,] 4679 4567 -5.278351e+00
[13699,] 4679 4679 1.981986e+01
[13700,] 4680 384 -1.999024e+00
[13701,] 4680 614 -1.999024e+00
[13702,] 4680 4680 3.998048e+00
[13703,] 4681 385 -1.999024e+00
[13704,] 4681 614 -1.999024e+00
[13705,] 4681 4681 3.998048e+00
[13706,] 4682 386 -1.600000e+00
[13707,] 4682 4563 1.018947e+01
[13708,] 4682 4682 1.498947e+01
[13709,] 4683 614 -2.340571e+02
[13710,] 4683 4569 -2.340571e+02
[13711,] 4683 4683 4.681143e+02
[13712,] 4684 387 -1.600000e+00
[13713,] 4684 4563 4.715789e+00
[13714,] 4684 4684 9.515789e+00
[13715,] 4685 4563 1.403509e-01
[13716,] 4685 4593 -5.333333e+00
[13717,] 4685 4685 1.614035e+01
[13718,] 4686 388 -1.600000e+00
[13719,] 4686 4563 1.945263e+01
[13720,] 4686 4686 2.425263e+01
[13721,] 4687 4563 -6.360248e+00
[13722,] 4687 4586 -6.360248e+00
[13723,] 4687 4687 1.272050e+01
[13724,] 4688 389 -1.600000e+00
[13725,] 4688 4563 1.768421e+00
[13726,] 4688 4688 6.568421e+00
[13727,] 4689 390 -1.600000e+00
[13728,] 4689 4563 -1.600000e+00
[13729,] 4689 4689 3.200000e+00
[13730,] 4690 391 -1.600000e+00
[13731,] 4690 4563 -1.600000e+00
[13732,] 4690 4690 3.200000e+00
[13733,] 4691 392 -1.600000e+00
[13734,] 4691 4563 -1.600000e+00
[13735,] 4691 4691 3.200000e+00
[13736,] 4692 4563 -4.912281e+00
[13737,] 4692 4668 -5.333333e+00
[13738,] 4692 4692 1.108772e+01
[13739,] 4693 393 -1.600000e+00
[13740,] 4693 4563 5.557895e+00
[13741,] 4693 4693 1.035789e+01
[13742,] 4694 394 -1.600000e+00
[13743,] 4694 4563 3.452632e+00
[13744,] 4694 4694 8.252632e+00
[13745,] 4695 395 -1.600000e+00
[13746,] 4695 4563 2.189474e+00
[13747,] 4695 4695 6.989474e+00
[13748,] 4696 395 -1.999024e+00
[13749,] 4696 614 9.998779e-01
[13750,] 4696 4696 6.996950e+00
[13751,] 4697 610 -6.675359e-01
[13752,] 4697 4264 6.099717e+01
[13753,] 4697 4267 4.483380e+01
[13754,] 4697 4667 -6.675359e-01
[13755,] 4697 4697 1.071660e+02
[13756,] 4698 25 -4.383562e-01
[13757,] 4698 651 -4.383562e-01
[13758,] 4698 4264 5.278351e+00
[13759,] 4698 4267 7.968872e+00
[13760,] 4698 4698 1.412393e+01
[13761,] 4699 612 -7.664671e-01
[13762,] 4699 680 -7.664671e-01
[13763,] 4699 4563 2.639175e+00
[13764,] 4699 4699 4.172109e+00
[13765,] 4700 4563 1.030060e+01
[13766,] 4700 4699 -5.278351e+00
[13767,] 4700 4700 2.613565e+01
[13768,] 4701 614 -7.984405e+00
[13769,] 4701 4266 5.645761e+00
[13770,] 4701 4666 -7.984405e+00
[13771,] 4701 4701 2.161457e+01
[13772,] 4702 893 -6.400000e+00
[13773,] 4702 4563 -1.347368e+00
[13774,] 4702 4702 1.785263e+01
[13775,] 4703 396 -1.600000e+00
[13776,] 4703 4563 -1.600000e+00
[13777,] 4703 4703 3.200000e+00
[13778,] 4704 397 -1.600000e+00
[13779,] 4704 4563 -1.600000e+00
[13780,] 4704 4704 3.200000e+00
[13781,] 4705 398 -1.600000e+00
[13782,] 4705 4563 1.347368e+00
[13783,] 4705 4705 6.147368e+00
[13784,] 4706 506 -1.999024e+00
[13785,] 4706 4267 -1.999024e+00
[13786,] 4706 4706 3.998048e+00
[13787,] 4707 524 -1.999024e+00
[13788,] 4707 4267 -1.999024e+00
[13789,] 4707 4707 3.998048e+00
[13790,] 4708 592 -1.999024e+00
[13791,] 4708 4267 -1.999024e+00
[13792,] 4708 4708 3.998048e+00
[13793,] 4709 531 -1.999024e+00
[13794,] 4709 4267 -1.999024e+00
[13795,] 4709 4709 3.998048e+00
[13796,] 4710 886 -3.175194e+01
[13797,] 4710 4267 -3.175194e+01
[13798,] 4710 4710 6.350388e+01
[13799,] 4711 593 -1.999024e+00
[13800,] 4711 4267 -1.999024e+00
[13801,] 4711 4711 3.998048e+00
[13802,] 4712 430 -1.999024e+00
[13803,] 4712 4267 -1.999024e+00
[13804,] 4712 4712 3.998048e+00
[13805,] 4713 893 -3.175194e+01
[13806,] 4713 4267 -3.175194e+01
[13807,] 4713 4713 6.350388e+01
[13808,] 4714 617 1.957935e+00
[13809,] 4714 2305 -3.174425e+01
[13810,] 4714 4263 3.520000e+00
[13811,] 4714 4267 -3.174425e+01
[13812,] 4714 4714 6.896643e+01
[13813,] 4715 399 -1.999024e+00
[13814,] 4715 4267 -1.999024e+00
[13815,] 4715 4715 3.998048e+00
[13816,] 4716 400 -1.999024e+00
[13817,] 4716 4267 -1.999024e+00
[13818,] 4716 4716 3.998048e+00
[13819,] 4717 401 -1.600000e+00
[13820,] 4717 4563 -1.600000e+00
[13821,] 4717 4717 3.200000e+00
[13822,] 4718 594 -1.882353e+00
[13823,] 4718 1662 -1.882353e+00
[13824,] 4718 4718 3.764706e+00
[13825,] 4719 617 4.242192e+00
[13826,] 4719 1662 -3.175194e+01
[13827,] 4719 4267 -3.175194e+01
[13828,] 4719 4719 6.774607e+01
[13829,] 4720 272 -1.882353e+00
[13830,] 4720 617 2.190843e-01
[13831,] 4720 651 -1.882353e+00
[13832,] 4720 4720 3.983790e+00
[13833,] 4721 617 -4.381686e-01
[13834,] 4721 4264 2.128266e+01
[13835,] 4721 4720 -4.381686e-01
[13836,] 4721 4721 2.215900e+01
[13837,] 4722 33 -1.882353e+00
[13838,] 4722 610 -1.533579e+00
[13839,] 4722 4722 4.113480e+00
[13840,] 4723 610 -6.975477e-01
[13841,] 4723 4267 1.539850e+01
[13842,] 4723 4722 -6.975477e-01
[13843,] 4723 4723 1.679359e+01
[13844,] 4724 595 -4.383562e-01
[13845,] 4724 609 -4.383562e-01
[13846,] 4724 4724 8.767123e-01
[13847,] 4725 402 -1.777778e+00
[13848,] 4725 611 9.411765e-01
[13849,] 4725 622 -1.777778e+00
[13850,] 4725 4725 4.496732e+00
[13851,] 4726 611 -9.411765e-01
[13852,] 4726 4725 -1.882353e+00
[13853,] 4726 4726 4.705882e+00
[13854,] 4727 611 -1.526232e-01
[13855,] 4727 4726 -1.882353e+00
[13856,] 4727 4727 5.494436e+00
[13857,] 4728 611 -3.459459e+00
[13858,] 4728 4727 -3.459459e+00
[13859,] 4728 4728 6.918919e+00
[13860,] 4729 55 -1.882353e+00
[13861,] 4729 610 -1.882353e+00
[13862,] 4729 4729 3.764706e+00
[13863,] 4730 40 -1.777778e+00
[13864,] 4730 622 -1.777778e+00
[13865,] 4730 4730 3.555556e+00
[13866,] 4731 99 -1.777778e+00
[13867,] 4731 622 -1.777778e+00
[13868,] 4731 4731 3.555556e+00
[13869,] 4732 596 -1.882353e+00
[13870,] 4732 610 -1.882353e+00
[13871,] 4732 4732 3.764706e+00
[13872,] 4733 403 -1.999024e+00
[13873,] 4733 4267 -1.999024e+00
[13874,] 4733 4733 3.998048e+00
[13875,] 4734 4264 -2.068687e+01
[13876,] 4734 4697 -2.068687e+01
[13877,] 4734 4734 4.137374e+01
[13878,] 4735 4267 -6.113433e+01
[13879,] 4735 4697 -6.113433e+01
[13880,] 4735 4735 1.222687e+02
[13881,] 4736 4263 -9.080600e+00
[13882,] 4736 4267 -1.593774e+01
[13883,] 4736 4736 3.873263e+01
[13884,] 4737 4263 -1.596880e+01
[13885,] 4737 4266 -1.596880e+01
[13886,] 4737 4737 3.193761e+01
[13887,] 4738 531 -1.777778e+00
[13888,] 4738 4263 3.250794e+00
[13889,] 4738 4738 8.584127e+00
[13890,] 4739 421 -1.777778e+00
[13891,] 4739 4263 -4.063492e-01
[13892,] 4739 4739 4.926984e+00
[13893,] 4740 4263 -1.219048e+00
[13894,] 4740 4565 -5.333333e+00
[13895,] 4740 4740 1.478095e+01
[13896,] 4741 404 -1.998049e+00
[13897,] 4741 619 9.997556e-01
[13898,] 4741 4741 6.993902e+00
[13899,] 4742 405 -1.998049e+00
[13900,] 4742 619 9.997556e-01
[13901,] 4742 4742 6.993902e+00
[13902,] 4743 406 -1.998049e+00
[13903,] 4743 619 5.996096e+00
[13904,] 4743 4743 1.199024e+01
[13905,] 4744 407 -1.998049e+00
[13906,] 4744 619 4.497194e+00
[13907,] 4744 4744 1.049134e+01
[13908,] 4745 408 -1.998049e+00
[13909,] 4745 619 1.499390e+00
[13910,] 4745 4745 7.493536e+00
[13911,] 4746 409 -1.998049e+00
[13912,] 4746 619 2.498658e+00
[13913,] 4746 4746 8.492804e+00
[13914,] 4747 410 -1.998049e+00
[13915,] 4747 619 1.999024e+00
[13916,] 4747 4747 7.993170e+00
[13917,] 4748 411 -1.998049e+00
[13918,] 4748 619 1.999024e+00
[13919,] 4748 4748 7.993170e+00
[13920,] 4749 412 -1.998049e+00
[13921,] 4749 619 1.499390e+00
[13922,] 4749 4749 7.493536e+00
[13923,] 4750 413 -1.998049e+00
[13924,] 4750 619 3.997560e+00
[13925,] 4750 4750 9.991706e+00
[13926,] 4751 414 -1.998049e+00
[13927,] 4751 619 2.498658e+00
[13928,] 4751 4751 8.492804e+00
[13929,] 4752 415 -1.998049e+00
[13930,] 4752 619 3.997560e+00
[13931,] 4752 4752 9.991706e+00
[13932,] 4753 416 -1.998049e+00
[13933,] 4753 619 9.997556e-01
[13934,] 4753 4753 6.993902e+00
[13935,] 4754 417 -1.998049e+00
[13936,] 4754 619 5.001215e-01
[13937,] 4754 4754 6.494268e+00
[13938,] 4755 418 -1.998049e+00
[13939,] 4755 619 4.874479e-04
[13940,] 4755 4755 5.994634e+00
[13941,] 4756 510 -1.999024e+00
[13942,] 4756 4267 -1.999024e+00
[13943,] 4756 4756 3.998048e+00
[13944,] 4757 4264 -3.079699e+01
[13945,] 4757 4267 -3.079699e+01
[13946,] 4757 4757 6.159398e+01
[13947,] 4758 4266 -2.730444e+03
[13948,] 4758 4267 -2.730444e+03
[13949,] 4758 4758 5.460889e+03
[13950,] 4759 421 -1.999024e+00
[13951,] 4759 4267 -1.999024e+00
[13952,] 4759 4759 3.998048e+00
[13953,] 4760 617 1.631612e+00
[13954,] 4760 4267 -7.984405e+00
[13955,] 4760 4565 -7.984405e+00
[13956,] 4760 4760 1.760042e+01
[13957,] 4761 617 9.789675e-01
[13958,] 4761 4267 -1.593774e+01
[13959,] 4761 4698 -1.593774e+01
[13960,] 4761 4761 3.285445e+01
[13961,] 4762 597 -1.999024e+00
[13962,] 4762 4267 -1.999024e+00
[13963,] 4762 4762 3.998048e+00
[13964,] 4763 598 -1.999024e+00
[13965,] 4763 4267 -1.999024e+00
[13966,] 4763 4763 3.998048e+00
[13967,] 4764 431 -1.999024e+00
[13968,] 4764 4267 -1.999024e+00
[13969,] 4764 4764 3.998048e+00
[13970,] 4765 599 -1.999024e+00
[13971,] 4765 4267 -1.999024e+00
[13972,] 4765 4765 3.998048e+00
[13973,] 4766 4267 -3.079699e+01
[13974,] 4766 4723 -3.079699e+01
[13975,] 4766 4766 6.159398e+01
[13976,] 4767 392 -1.999024e+00
[13977,] 4767 4267 -1.999024e+00
[13978,] 4767 4767 3.998048e+00
[13979,] 4768 600 -1.999024e+00
[13980,] 4768 4267 -1.999024e+00
[13981,] 4768 4768 3.998048e+00
[13982,] 4769 601 -1.999024e+00
[13983,] 4769 4267 -1.999024e+00
[13984,] 4769 4769 3.998048e+00
[13985,] 4770 602 -1.999024e+00
[13986,] 4770 4267 -1.999024e+00
[13987,] 4770 4770 3.998048e+00
[13988,] 4771 419 -1.999512e+00
[13989,] 4771 4266 -1.999512e+00
[13990,] 4771 4771 3.999023e+00
[13991,] 4772 617 2.778295e+00
[13992,] 4772 4264 -1.055670e+01
[13993,] 4772 4698 -1.055670e+01
[13994,] 4772 4772 2.389170e+01
[13995,] 4773 603 -1.878899e+00
[13996,] 4773 4264 -1.878899e+00
[13997,] 4773 4773 3.757798e+00
[13998,] 4774 604 -1.999512e+00
[13999,] 4774 4266 -1.999512e+00
[14000,] 4774 4774 3.999023e+00
[14001,] 4775 605 -1.999512e+00
[14002,] 4775 4266 -1.999512e+00
[14003,] 4775 4775 3.999023e+00
[14004,] 4776 420 -1.999512e+00
[14005,] 4776 4266 -1.999512e+00
[14006,] 4776 4776 3.999023e+00
[14007,] 4777 431 -1.999512e+00
[14008,] 4777 4266 -1.999512e+00
[14009,] 4777 4777 3.999023e+00
[14010,] 4778 524 -1.999512e+00
[14011,] 4778 4266 -1.999512e+00
[14012,] 4778 4778 3.999023e+00
[14013,] 4779 420 -1.878899e+00
[14014,] 4779 4264 -1.878899e+00
[14015,] 4779 4779 3.757798e+00
[14016,] 4780 421 -1.600000e+00
[14017,] 4780 4563 -1.600000e+00
[14018,] 4780 4780 3.200000e+00
[14019,] 4781 388 -1.999512e+00
[14020,] 4781 4266 -1.999512e+00
[14021,] 4781 4781 3.999023e+00
[14022,] 4782 422 -1.999512e+00
[14023,] 4782 4266 -9.996948e-01
[14024,] 4782 4782 4.998840e+00
[14025,] 4783 423 -1.999512e+00
[14026,] 4783 4266 -9.996948e-01
[14027,] 4783 4783 4.998840e+00
[14028,] 4784 993 -3.175194e+01
[14029,] 4784 4267 -3.175194e+01
[14030,] 4784 4784 6.350388e+01
[14031,] 4785 1466 -3.175194e+01
[14032,] 4785 4267 -3.175194e+01
[14033,] 4785 4785 6.350388e+01
[14034,] 4786 388 -1.882353e+00
[14035,] 4786 1662 -1.882353e+00
[14036,] 4786 4786 3.764706e+00
[14037,] 4787 388 -1.882326e+00
[14038,] 4787 2305 -1.882326e+00
[14039,] 4787 4787 3.764652e+00
[14040,] 4788 594 -1.882326e+00
[14041,] 4788 617 6.200127e+00
[14042,] 4788 2305 -1.882326e+00
[14043,] 4788 4788 9.964779e+00
[14044,] 4789 424 -1.878899e+00
[14045,] 4789 617 -1.878899e+00
[14046,] 4789 4789 3.757798e+00
[14047,] 4790 425 -1.999024e+00
[14048,] 4790 4267 -1.999024e+00
[14049,] 4790 4790 3.998048e+00
[14050,] 4791 426 -1.999024e+00
[14051,] 4791 4263 1.600000e+00
[14052,] 4791 4267 -1.999024e+00
[14053,] 4791 4791 5.598048e+00
[14054,] 4792 427 -1.999024e+00
[14055,] 4792 4267 -1.999024e+00
[14056,] 4792 4792 3.998048e+00
[14057,] 4793 428 -1.878899e+00
[14058,] 4793 617 8.136937e+00
[14059,] 4793 4793 1.377363e+01
[14060,] 4794 429 -1.999024e+00
[14061,] 4794 4267 -1.999024e+00
[14062,] 4794 4794 3.998048e+00
[14063,] 4795 430 -1.999024e+00
[14064,] 4795 4267 -1.999024e+00
[14065,] 4795 4795 3.998048e+00
[14066,] 4796 431 -1.999024e+00
[14067,] 4796 4267 -1.999024e+00
[14068,] 4796 4796 3.998048e+00
[14069,] 4797 432 -1.032258e+00
[14070,] 4797 4797 1.032258e+00
[14071,] 4798 432 -1.032258e+00
[14072,] 4798 4798 1.032258e+00
[14073,] 4799 433 -1.032258e+00
[14074,] 4799 4799 1.032258e+00
[14075,] 4800 434 -1.066667e+00
[14076,] 4800 4800 1.066667e+00
[14077,] 4801 434 -1.066667e+00
[14078,] 4801 4801 1.066667e+00
[14079,] 4802 435 -1.066667e+00
[14080,] 4802 4802 1.066667e+00
[14081,] 4803 435 -1.066667e+00
[14082,] 4803 4803 1.066667e+00
[14083,] 4804 435 -1.066667e+00
[14084,] 4804 4804 1.066667e+00
[14085,] 4805 436 -1.066667e+00
[14086,] 4805 4805 1.066667e+00
[14087,] 4806 437 -1.066667e+00
[14088,] 4806 4806 1.066667e+00
[14089,] 4807 4318 -1.066667e+00
[14090,] 4807 4807 1.066667e+00
[14091,] 4808 4318 -1.066667e+00
[14092,] 4808 4808 1.066667e+00
[14093,] 4809 4318 -1.066667e+00
[14094,] 4809 4809 1.066667e+00
[14095,] 4810 4318 -1.066667e+00
[14096,] 4810 4810 1.066667e+00
[14097,] 4811 438 -1.066667e+00
[14098,] 4811 4811 1.066667e+00
[14099,] 4812 439 -1.066667e+00
[14100,] 4812 4812 1.066667e+00
[14101,] 4813 440 -1.066667e+00
[14102,] 4813 4813 1.066667e+00
[14103,] 4814 441 -1.066667e+00
[14104,] 4814 4814 1.066667e+00
[14105,] 4815 441 -1.066667e+00
[14106,] 4815 4815 1.066667e+00
[14107,] 4816 4321 -1.066667e+00
[14108,] 4816 4816 1.066667e+00
[14109,] 4817 442 -1.066667e+00
[14110,] 4817 4817 1.066667e+00
[14111,] 4818 443 -1.066667e+00
[14112,] 4818 4818 1.066667e+00
[14113,] 4819 443 -1.066667e+00
[14114,] 4819 4819 1.066667e+00
[14115,] 4820 444 -1.066667e+00
[14116,] 4820 4820 1.066667e+00
[14117,] 4821 444 -1.066667e+00
[14118,] 4821 4821 1.066667e+00
[14119,] 4822 445 -1.066667e+00
[14120,] 4822 4822 1.066667e+00
[14121,] 4823 445 -1.066667e+00
[14122,] 4823 4823 1.066667e+00
[14123,] 4824 4325 -1.066667e+00
[14124,] 4824 4824 1.066667e+00
[14125,] 4825 4325 -1.066667e+00
[14126,] 4825 4825 1.066667e+00
[14127,] 4826 446 -1.066667e+00
[14128,] 4826 4826 1.066667e+00
[14129,] 4827 446 -1.066667e+00
[14130,] 4827 4827 1.066667e+00
[14131,] 4828 446 -1.066667e+00
[14132,] 4828 4828 1.066667e+00
[14133,] 4829 446 -1.066667e+00
[14134,] 4829 4829 1.066667e+00
[14135,] 4830 446 -1.066667e+00
[14136,] 4830 4830 1.066667e+00
[14137,] 4831 447 -1.066667e+00
[14138,] 4831 4831 1.066667e+00
[14139,] 4832 447 -1.066667e+00
[14140,] 4832 4832 1.066667e+00
[14141,] 4833 447 -1.066667e+00
[14142,] 4833 4833 1.066667e+00
[14143,] 4834 448 -1.066667e+00
[14144,] 4834 4834 1.066667e+00
[14145,] 4835 448 -1.066667e+00
[14146,] 4835 4835 1.066667e+00
[14147,] 4836 449 -1.066667e+00
[14148,] 4836 4836 1.066667e+00
[14149,] 4837 450 -1.066667e+00
[14150,] 4837 4837 1.066667e+00
[14151,] 4838 451 -1.066667e+00
[14152,] 4838 4838 1.066667e+00
[14153,] 4839 451 -1.066667e+00
[14154,] 4839 4839 1.066667e+00
[14155,] 4840 452 -1.066667e+00
[14156,] 4840 4840 1.066667e+00
[14157,] 4841 453 -1.066667e+00
[14158,] 4841 4841 1.066667e+00
[14159,] 4842 454 -1.066667e+00
[14160,] 4842 4842 1.066667e+00
[14161,] 4843 4383 -1.066667e+00
[14162,] 4843 4843 1.066667e+00
[14163,] 4844 4410 -1.066667e+00
[14164,] 4844 4844 1.066667e+00
[14165,] 4845 4414 -1.066667e+00
[14166,] 4845 4845 1.066667e+00
[14167,] 4846 4416 -1.066667e+00
[14168,] 4846 4846 1.066667e+00
[14169,] 4847 4416 -1.066667e+00
[14170,] 4847 4847 1.066667e+00
[14171,] 4848 455 -1.066667e+00
[14172,] 4848 4848 1.066667e+00
[14173,] 4849 456 -1.066667e+00
[14174,] 4849 4849 1.066667e+00
[14175,] 4850 4419 -1.066667e+00
[14176,] 4850 4850 1.066667e+00
[14177,] 4851 4419 -1.066667e+00
[14178,] 4851 4851 1.066667e+00
[14179,] 4852 457 -1.066667e+00
[14180,] 4852 4852 1.066667e+00
[14181,] 4853 458 -1.066667e+00
[14182,] 4853 4853 1.066667e+00
[14183,] 4854 4420 -1.066667e+00
[14184,] 4854 4854 1.066667e+00
[14185,] 4855 459 -1.066667e+00
[14186,] 4855 4855 1.066667e+00
[14187,] 4856 460 -1.066667e+00
[14188,] 4856 4856 1.066667e+00
[14189,] 4857 460 -1.066667e+00
[14190,] 4857 4857 1.066667e+00
[14191,] 4858 461 -1.066667e+00
[14192,] 4858 4858 1.066667e+00
[14193,] 4859 462 -1.066667e+00
[14194,] 4859 4859 1.066667e+00
[14195,] 4860 463 -1.142857e+00
[14196,] 4860 4860 1.142857e+00
[14197,] 4861 463 -1.066667e+00
[14198,] 4861 4861 1.066667e+00
[14199,] 4862 463 -1.066667e+00
[14200,] 4862 4862 1.066667e+00
[14201,] 4863 4431 -1.142857e+00
[14202,] 4863 4863 1.142857e+00
[14203,] 4864 464 -1.066667e+00
[14204,] 4864 4864 1.066667e+00
[14205,] 4865 465 -1.142857e+00
[14206,] 4865 4865 1.142857e+00
[14207,] 4866 4433 -1.142857e+00
[14208,] 4866 4866 1.142857e+00
[14209,] 4867 4433 -1.142857e+00
[14210,] 4867 4867 1.142857e+00
[14211,] 4868 4433 -1.142857e+00
[14212,] 4868 4868 1.142857e+00
[14213,] 4869 4433 -1.142857e+00
[14214,] 4869 4869 1.142857e+00
[14215,] 4870 4434 -1.066667e+00
[14216,] 4870 4870 1.066667e+00
[14217,] 4871 4434 -1.066667e+00
[14218,] 4871 4871 1.066667e+00
[14219,] 4872 466 -1.066667e+00
[14220,] 4872 4872 1.066667e+00
[14221,] 4873 4436 -1.066667e+00
[14222,] 4873 4873 1.066667e+00
[14223,] 4874 4436 -1.066667e+00
[14224,] 4874 4874 1.066667e+00
[14225,] 4875 4436 -1.066667e+00
[14226,] 4875 4875 1.066667e+00
[14227,] 4876 4436 -1.066667e+00
[14228,] 4876 4876 1.066667e+00
[14229,] 4877 467 -1.066667e+00
[14230,] 4877 4877 1.066667e+00
[14231,] 4878 467 -1.066667e+00
[14232,] 4878 4878 1.066667e+00
[14233,] 4879 4437 -1.066667e+00
[14234,] 4879 4879 1.066667e+00
[14235,] 4880 4438 -1.066667e+00
[14236,] 4880 4880 1.066667e+00
[14237,] 4881 4438 -1.066667e+00
[14238,] 4881 4881 1.066667e+00
[14239,] 4882 468 -1.066667e+00
[14240,] 4882 4882 1.066667e+00
[14241,] 4883 4440 -1.534082e+00
[14242,] 4883 4883 1.534082e+00
[14243,] 4884 4440 -1.534082e+00
[14244,] 4884 4884 1.534082e+00
[14245,] 4885 4440 -1.534082e+00
[14246,] 4885 4885 1.534082e+00
[14247,] 4886 4440 -1.534082e+00
[14248,] 4886 4886 1.534082e+00
[14249,] 4887 4440 -1.534082e+00
[14250,] 4887 4887 1.534082e+00
[14251,] 4888 4440 -1.534082e+00
[14252,] 4888 4888 1.534082e+00
[14253,] 4889 4440 -1.534082e+00
[14254,] 4889 4889 1.534082e+00
[14255,] 4890 4440 -1.534082e+00
[14256,] 4890 4890 1.534082e+00
[14257,] 4891 4441 -1.066667e+00
[14258,] 4891 4891 1.066667e+00
[14259,] 4892 4443 -1.066667e+00
[14260,] 4892 4892 1.066667e+00
[14261,] 4893 4444 -2.132813e+00
[14262,] 4893 4893 2.132813e+00
[14263,] 4894 469 -1.066667e+00
[14264,] 4894 4894 1.066667e+00
[14265,] 4895 469 -1.066667e+00
[14266,] 4895 4895 1.066667e+00
[14267,] 4896 470 -1.066667e+00
[14268,] 4896 4896 1.066667e+00
[14269,] 4897 4512 -1.066667e+00
[14270,] 4897 4897 1.066667e+00
[14271,] 4898 4512 -1.066667e+00
[14272,] 4898 4898 1.066667e+00
[14273,] 4899 4512 -1.066667e+00
[14274,] 4899 4899 1.066667e+00
[14275,] 4900 4544 -2.132292e+00
[14276,] 4900 4900 2.132292e+00
[14277,] 4901 471 -1.066667e+00
[14278,] 4901 4901 1.066667e+00
[14279,] 4902 471 -1.066667e+00
[14280,] 4902 4902 1.066667e+00
[14281,] 4903 471 -1.066667e+00
[14282,] 4903 4903 1.066667e+00
[14283,] 4904 471 -1.066667e+00
[14284,] 4904 4904 1.066667e+00
[14285,] 4905 471 -1.066667e+00
[14286,] 4905 4905 1.066667e+00
[14287,] 4906 471 -1.066667e+00
[14288,] 4906 4906 1.066667e+00
[14289,] 4907 471 -1.066667e+00
[14290,] 4907 4907 1.066667e+00
[14291,] 4908 471 -1.066667e+00
[14292,] 4908 4908 1.066667e+00
[14293,] 4909 471 -1.066667e+00
[14294,] 4909 4909 1.066667e+00
[14295,] 4910 471 -1.066667e+00
[14296,] 4910 4910 1.066667e+00
[14297,] 4911 471 -1.066667e+00
[14298,] 4911 4911 1.066667e+00
[14299,] 4912 471 -1.066667e+00
[14300,] 4912 4912 1.066667e+00
[14301,] 4913 471 -1.066667e+00
[14302,] 4913 4913 1.066667e+00
[14303,] 4914 471 -1.066667e+00
[14304,] 4914 4914 1.066667e+00
[14305,] 4915 471 -1.066667e+00
[14306,] 4915 4915 1.066667e+00
[14307,] 4916 472 -1.066667e+00
[14308,] 4916 4916 1.066667e+00
[14309,] 4917 473 -2.000000e+00
[14310,] 4917 4917 2.000000e+00
[14311,] 4918 474 -2.000000e+00
[14312,] 4918 4918 2.000000e+00
[14313,] 4919 475 -2.000000e+00
[14314,] 4919 4919 2.000000e+00
[14315,] 4920 475 -2.000000e+00
[14316,] 4920 4920 2.000000e+00
[14317,] 4921 475 -2.000000e+00
[14318,] 4921 4921 2.000000e+00
[14319,] 4922 476 -2.000000e+00
[14320,] 4922 4922 2.000000e+00
[14321,] 4923 287 -4.102153e-01
[14322,] 4923 614 -4.102153e-01
[14323,] 4923 4923 8.204306e-01
[14324,] 4924 287 -4.102153e-01
[14325,] 4924 614 -4.102153e-01
[14326,] 4924 4924 8.204306e-01
[14327,] 4925 330 -4.102153e-01
[14328,] 4925 614 -4.102153e-01
[14329,] 4925 4925 8.204306e-01
[14330,] 4926 330 -4.102153e-01
[14331,] 4926 614 -4.102153e-01
[14332,] 4926 4926 8.204306e-01
[14333,] 4927 330 -4.102153e-01
[14334,] 4927 614 -4.102153e-01
[14335,] 4927 4927 8.204306e-01
[14336,] 4928 330 -4.102153e-01
[14337,] 4928 614 -4.102153e-01
[14338,] 4928 4928 8.204306e-01
[14339,] 4929 330 -4.102153e-01
[14340,] 4929 614 -4.102153e-01
[14341,] 4929 4929 8.204306e-01
[14342,] 4930 330 -4.102153e-01
[14343,] 4930 614 -4.102153e-01
[14344,] 4930 4930 8.204306e-01
[14345,] 4931 330 -4.102153e-01
[14346,] 4931 614 -4.102153e-01
[14347,] 4931 4931 8.204306e-01
[14348,] 4932 330 -4.102153e-01
[14349,] 4932 614 -4.102153e-01
[14350,] 4932 4932 8.204306e-01
[14351,] 4933 330 -4.102153e-01
[14352,] 4933 614 -4.102153e-01
[14353,] 4933 4933 8.204306e-01
[14354,] 4934 330 -4.102153e-01
[14355,] 4934 614 -4.102153e-01
[14356,] 4934 4934 8.204306e-01
[14357,] 4935 330 -4.102153e-01
[14358,] 4935 614 -4.102153e-01
[14359,] 4935 4935 8.204306e-01
[14360,] 4936 330 -4.102153e-01
[14361,] 4936 614 -4.102153e-01
[14362,] 4936 4936 8.204306e-01
[14363,] 4937 330 -4.102153e-01
[14364,] 4937 614 -4.102153e-01
[14365,] 4937 4937 8.204306e-01
[14366,] 4938 330 -4.102153e-01
[14367,] 4938 614 -4.102153e-01
[14368,] 4938 4938 8.204306e-01
[14369,] 4939 330 -4.102153e-01
[14370,] 4939 614 -4.102153e-01
[14371,] 4939 4939 8.204306e-01
[14372,] 4940 330 -4.102153e-01
[14373,] 4940 614 -4.102153e-01
[14374,] 4940 4940 8.204306e-01
[14375,] 4941 330 -4.102153e-01
[14376,] 4941 614 -4.102153e-01
[14377,] 4941 4941 8.204306e-01
[14378,] 4942 330 -4.101742e-01
[14379,] 4942 619 -4.101742e-01
[14380,] 4942 4942 8.203485e-01
[14381,] 4943 330 -4.101742e-01
[14382,] 4943 619 -4.101742e-01
[14383,] 4943 4943 8.203485e-01
[14384,] 4944 330 -4.101742e-01
[14385,] 4944 619 -4.101742e-01
[14386,] 4944 4944 8.203485e-01
[14387,] 4945 330 -4.101742e-01
[14388,] 4945 619 -4.101742e-01
[14389,] 4945 4945 8.203485e-01
[14390,] 4946 330 -4.101742e-01
[14391,] 4946 619 -4.101742e-01
[14392,] 4946 4946 8.203485e-01
[14393,] 4947 330 -4.101742e-01
[14394,] 4947 619 -4.101742e-01
[14395,] 4947 4947 8.203485e-01
[14396,] 4948 330 -4.101742e-01
[14397,] 4948 619 -4.101742e-01
[14398,] 4948 4948 8.203485e-01
[14399,] 4949 330 -4.101742e-01
[14400,] 4949 619 -4.101742e-01
[14401,] 4949 4949 8.203485e-01
[14402,] 4950 330 -4.101742e-01
[14403,] 4950 619 -4.101742e-01
[14404,] 4950 4950 8.203485e-01
[14405,] 4951 330 -4.101742e-01
[14406,] 4951 619 -4.101742e-01
[14407,] 4951 4951 8.203485e-01
[14408,] 4952 330 -4.101742e-01
[14409,] 4952 619 -4.101742e-01
[14410,] 4952 4952 8.203485e-01
[14411,] 4953 330 -4.101742e-01
[14412,] 4953 619 -4.101742e-01
[14413,] 4953 4953 8.203485e-01
[14414,] 4954 330 -4.101742e-01
[14415,] 4954 619 -4.101742e-01
[14416,] 4954 4954 8.203485e-01
[14417,] 4955 330 -4.101742e-01
[14418,] 4955 619 -4.101742e-01
[14419,] 4955 4955 8.203485e-01
[14420,] 4956 330 -4.101742e-01
[14421,] 4956 619 -4.101742e-01
[14422,] 4956 4956 8.203485e-01
[14423,] 4957 330 -4.101742e-01
[14424,] 4957 619 -4.101742e-01
[14425,] 4957 4957 8.203485e-01
[14426,] 4958 330 -4.101742e-01
[14427,] 4958 619 -4.101742e-01
[14428,] 4958 4958 8.203485e-01
[14429,] 4959 330 -4.101742e-01
[14430,] 4959 619 -4.101742e-01
[14431,] 4959 4959 8.203485e-01
[14432,] 4960 330 -4.101742e-01
[14433,] 4960 619 -4.101742e-01
[14434,] 4960 4960 8.203485e-01
[14435,] 4961 330 -4.101742e-01
[14436,] 4961 619 -4.101742e-01
[14437,] 4961 4961 8.203485e-01
[14438,] 4962 330 -4.101742e-01
[14439,] 4962 619 -4.101742e-01
[14440,] 4962 4962 8.203485e-01
[14441,] 4963 330 -4.101742e-01
[14442,] 4963 619 -4.101742e-01
[14443,] 4963 4963 8.203485e-01
[14444,] 4964 330 -4.101742e-01
[14445,] 4964 619 -4.101742e-01
[14446,] 4964 4964 8.203485e-01
[14447,] 4965 330 -4.101742e-01
[14448,] 4965 619 -4.101742e-01
[14449,] 4965 4965 8.203485e-01
[14450,] 4966 330 -4.101742e-01
[14451,] 4966 619 -4.101742e-01
[14452,] 4966 4966 8.203485e-01
[14453,] 4967 330 -4.101742e-01
[14454,] 4967 619 -4.101742e-01
[14455,] 4967 4967 8.203485e-01
[14456,] 4968 330 -4.101742e-01
[14457,] 4968 619 -4.101742e-01
[14458,] 4968 4968 8.203485e-01
[14459,] 4969 330 -4.101742e-01
[14460,] 4969 619 -4.101742e-01
[14461,] 4969 4969 8.203485e-01
[14462,] 4970 330 -4.101742e-01
[14463,] 4970 619 -4.101742e-01
[14464,] 4970 4970 8.203485e-01
[14465,] 4971 330 -4.101742e-01
[14466,] 4971 619 -4.101742e-01
[14467,] 4971 4971 8.203485e-01
[14468,] 4972 330 -4.101742e-01
[14469,] 4972 619 -4.101742e-01
[14470,] 4972 4972 8.203485e-01
[14471,] 4973 330 -4.101742e-01
[14472,] 4973 619 -4.101742e-01
[14473,] 4973 4973 8.203485e-01
[14474,] 4974 330 -4.101742e-01
[14475,] 4974 619 -4.101742e-01
[14476,] 4974 4974 8.203485e-01
[14477,] 4975 330 -4.101742e-01
[14478,] 4975 619 -4.101742e-01
[14479,] 4975 4975 8.203485e-01
[14480,] 4976 330 -4.101742e-01
[14481,] 4976 619 -4.101742e-01
[14482,] 4976 4976 8.203485e-01
[14483,] 4977 330 -4.101742e-01
[14484,] 4977 619 -4.101742e-01
[14485,] 4977 4977 8.203485e-01
[14486,] 4978 330 -4.101742e-01
[14487,] 4978 619 -4.101742e-01
[14488,] 4978 4978 8.203485e-01
[14489,] 4979 330 -4.101742e-01
[14490,] 4979 619 -4.101742e-01
[14491,] 4979 4979 8.203485e-01
[14492,] 4980 330 -4.101742e-01
[14493,] 4980 619 -4.101742e-01
[14494,] 4980 4980 8.203485e-01
[14495,] 4981 330 -4.101742e-01
[14496,] 4981 619 -4.101742e-01
[14497,] 4981 4981 8.203485e-01
[14498,] 4982 330 -4.101742e-01
[14499,] 4982 619 -4.101742e-01
[14500,] 4982 4982 8.203485e-01
[14501,] 4983 330 -4.101742e-01
[14502,] 4983 619 -4.101742e-01
[14503,] 4983 4983 8.203485e-01
[14504,] 4984 330 -4.101742e-01
[14505,] 4984 619 -4.101742e-01
[14506,] 4984 4984 8.203485e-01
[14507,] 4985 330 -4.101742e-01
[14508,] 4985 619 -4.101742e-01
[14509,] 4985 4985 8.203485e-01
[14510,] 4986 330 -4.101742e-01
[14511,] 4986 619 -4.101742e-01
[14512,] 4986 4986 8.203485e-01
[14513,] 4987 330 -4.101742e-01
[14514,] 4987 619 -4.101742e-01
[14515,] 4987 4987 8.203485e-01
[14516,] 4988 330 -4.101742e-01
[14517,] 4988 619 -4.101742e-01
[14518,] 4988 4988 8.203485e-01
[14519,] 4989 330 -4.101742e-01
[14520,] 4989 619 -4.101742e-01
[14521,] 4989 4989 8.203485e-01
[14522,] 4990 330 -4.101742e-01
[14523,] 4990 619 -4.101742e-01
[14524,] 4990 4990 8.203485e-01
[14525,] 4991 330 -4.101742e-01
[14526,] 4991 619 -4.101742e-01
[14527,] 4991 4991 8.203485e-01
[14528,] 4992 330 -4.101742e-01
[14529,] 4992 619 -4.101742e-01
[14530,] 4992 4992 8.203485e-01
[14531,] 4993 330 -4.101742e-01
[14532,] 4993 619 -4.101742e-01
[14533,] 4993 4993 8.203485e-01
[14534,] 4994 330 -4.101742e-01
[14535,] 4994 619 -4.101742e-01
[14536,] 4994 4994 8.203485e-01
[14537,] 4995 330 -4.101742e-01
[14538,] 4995 619 -4.101742e-01
[14539,] 4995 4995 8.203485e-01
[14540,] 4996 330 -4.101742e-01
[14541,] 4996 619 -4.101742e-01
[14542,] 4996 4996 8.203485e-01
[14543,] 4997 330 -4.101742e-01
[14544,] 4997 619 -4.101742e-01
[14545,] 4997 4997 8.203485e-01
[14546,] 4998 330 -4.101742e-01
[14547,] 4998 619 -4.101742e-01
[14548,] 4998 4998 8.203485e-01
[14549,] 4999 330 -4.101742e-01
[14550,] 4999 619 -4.101742e-01
[14551,] 4999 4999 8.203485e-01
[14552,] 5000 330 -4.101742e-01
[14553,] 5000 619 -4.101742e-01
[14554,] 5000 5000 8.203485e-01
[14555,] 5001 330 -4.101742e-01
[14556,] 5001 619 -4.101742e-01
[14557,] 5001 5001 8.203485e-01
[14558,] 5002 330 -4.101742e-01
[14559,] 5002 619 -4.101742e-01
[14560,] 5002 5002 8.203485e-01
[14561,] 5003 330 -4.101742e-01
[14562,] 5003 619 -4.101742e-01
[14563,] 5003 5003 8.203485e-01
[14564,] 5004 330 -4.101742e-01
[14565,] 5004 619 -4.101742e-01
[14566,] 5004 5004 8.203485e-01
[14567,] 5005 330 -4.101742e-01
[14568,] 5005 619 -4.101742e-01
[14569,] 5005 5005 8.203485e-01
[14570,] 5006 330 -4.101742e-01
[14571,] 5006 619 -4.101742e-01
[14572,] 5006 5006 8.203485e-01
[14573,] 5007 330 -4.101742e-01
[14574,] 5007 619 -4.101742e-01
[14575,] 5007 5007 8.203485e-01
[14576,] 5008 330 -4.101742e-01
[14577,] 5008 619 -4.101742e-01
[14578,] 5008 5008 8.203485e-01
[14579,] 5009 330 -4.101742e-01
[14580,] 5009 619 -4.101742e-01
[14581,] 5009 5009 8.203485e-01
[14582,] 5010 330 -4.101742e-01
[14583,] 5010 619 -4.101742e-01
[14584,] 5010 5010 8.203485e-01
[14585,] 5011 330 -4.101742e-01
[14586,] 5011 619 -4.101742e-01
[14587,] 5011 5011 8.203485e-01
[14588,] 5012 330 -4.101742e-01
[14589,] 5012 619 -4.101742e-01
[14590,] 5012 5012 8.203485e-01
[14591,] 5013 330 -4.101742e-01
[14592,] 5013 619 -4.101742e-01
[14593,] 5013 5013 8.203485e-01
[14594,] 5014 330 -4.101742e-01
[14595,] 5014 619 -4.101742e-01
[14596,] 5014 5014 8.203485e-01
[14597,] 5015 330 -4.101742e-01
[14598,] 5015 619 -4.101742e-01
[14599,] 5015 5015 8.203485e-01
[14600,] 5016 330 -4.101742e-01
[14601,] 5016 619 -4.101742e-01
[14602,] 5016 5016 8.203485e-01
[14603,] 5017 330 -4.101742e-01
[14604,] 5017 619 -4.101742e-01
[14605,] 5017 5017 8.203485e-01
[14606,] 5018 330 -4.101742e-01
[14607,] 5018 619 -4.101742e-01
[14608,] 5018 5018 8.203485e-01
[14609,] 5019 330 -4.049031e-01
[14610,] 5019 617 -4.049031e-01
[14611,] 5019 5019 8.098062e-01
[14612,] 5020 330 -4.049031e-01
[14613,] 5020 617 -4.049031e-01
[14614,] 5020 5020 8.098062e-01
[14615,] 5021 330 -4.049031e-01
[14616,] 5021 617 -4.049031e-01
[14617,] 5021 5021 8.098062e-01
[14618,] 5022 330 -4.049031e-01
[14619,] 5022 617 -4.049031e-01
[14620,] 5022 5022 8.098062e-01
[14621,] 5023 330 -4.049031e-01
[14622,] 5023 617 -4.049031e-01
[14623,] 5023 5023 8.098062e-01
[14624,] 5024 330 -4.049031e-01
[14625,] 5024 617 -4.049031e-01
[14626,] 5024 5024 8.098062e-01
[14627,] 5025 330 -4.049031e-01
[14628,] 5025 617 -4.049031e-01
[14629,] 5025 5025 8.098062e-01
[14630,] 5026 330 -4.049031e-01
[14631,] 5026 617 -4.049031e-01
[14632,] 5026 5026 8.098062e-01
[14633,] 5027 330 -4.049031e-01
[14634,] 5027 617 -4.049031e-01
[14635,] 5027 5027 8.098062e-01
[14636,] 5028 330 -4.049031e-01
[14637,] 5028 617 -4.049031e-01
[14638,] 5028 5028 8.098062e-01
[14639,] 5029 330 -4.049031e-01
[14640,] 5029 617 -4.049031e-01
[14641,] 5029 5029 8.098062e-01
[14642,] 5030 330 -4.049031e-01
[14643,] 5030 617 -4.049031e-01
[14644,] 5030 5030 8.098062e-01
[14645,] 5031 330 -4.049031e-01
[14646,] 5031 617 -4.049031e-01
[14647,] 5031 5031 8.098062e-01
[14648,] 5032 330 -4.049031e-01
[14649,] 5032 617 -4.049031e-01
[14650,] 5032 5032 8.098062e-01
[14651,] 5033 330 -4.049031e-01
[14652,] 5033 617 -4.049031e-01
[14653,] 5033 5033 8.098062e-01
[14654,] 5034 330 -4.049031e-01
[14655,] 5034 617 -4.049031e-01
[14656,] 5034 5034 8.098062e-01
[14657,] 5035 330 -4.049031e-01
[14658,] 5035 617 -4.049031e-01
[14659,] 5035 5035 8.098062e-01
[14660,] 5036 330 -4.049031e-01
[14661,] 5036 617 -4.049031e-01
[14662,] 5036 5036 8.098062e-01
[14663,] 5037 330 -4.049031e-01
[14664,] 5037 617 -4.049031e-01
[14665,] 5037 5037 8.098062e-01
[14666,] 5038 330 -4.049031e-01
[14667,] 5038 617 -4.049031e-01
[14668,] 5038 5038 8.098062e-01
[14669,] 5039 330 -4.049031e-01
[14670,] 5039 617 -4.049031e-01
[14671,] 5039 5039 8.098062e-01
[14672,] 5040 330 -4.049031e-01
[14673,] 5040 617 -4.049031e-01
[14674,] 5040 5040 8.098062e-01
[14675,] 5041 330 -4.049031e-01
[14676,] 5041 617 -4.049031e-01
[14677,] 5041 5041 8.098062e-01
[14678,] 5042 330 -4.049031e-01
[14679,] 5042 617 -4.049031e-01
[14680,] 5042 5042 8.098062e-01
[14681,] 5043 330 -4.049031e-01
[14682,] 5043 617 -4.049031e-01
[14683,] 5043 5043 8.098062e-01
[14684,] 5044 330 -4.049031e-01
[14685,] 5044 617 -4.049031e-01
[14686,] 5044 5044 8.098062e-01
[14687,] 5045 330 -4.049031e-01
[14688,] 5045 617 -4.049031e-01
[14689,] 5045 5045 8.098062e-01
[14690,] 5046 330 -4.049031e-01
[14691,] 5046 617 -4.049031e-01
[14692,] 5046 5046 8.098062e-01
[14693,] 5047 330 -4.049031e-01
[14694,] 5047 617 -4.049031e-01
[14695,] 5047 5047 8.098062e-01
[14696,] 5048 330 -4.049031e-01
[14697,] 5048 617 -4.049031e-01
[14698,] 5048 5048 8.098062e-01
[14699,] 5049 330 -4.049031e-01
[14700,] 5049 617 -4.049031e-01
[14701,] 5049 5049 8.098062e-01
[14702,] 5050 330 -4.049031e-01
[14703,] 5050 617 -4.049031e-01
[14704,] 5050 5050 8.098062e-01
[14705,] 5051 330 -4.049031e-01
[14706,] 5051 617 -4.049031e-01
[14707,] 5051 5051 8.098062e-01
[14708,] 5052 330 -4.049031e-01
[14709,] 5052 617 -4.049031e-01
[14710,] 5052 5052 8.098062e-01
[14711,] 5053 330 -4.049031e-01
[14712,] 5053 617 -4.049031e-01
[14713,] 5053 5053 8.098062e-01
[14714,] 5054 330 -4.049031e-01
[14715,] 5054 617 -4.049031e-01
[14716,] 5054 5054 8.098062e-01
[14717,] 5055 330 -4.049031e-01
[14718,] 5055 617 -4.049031e-01
[14719,] 5055 5055 8.098062e-01
[14720,] 5056 330 -4.049031e-01
[14721,] 5056 617 -4.049031e-01
[14722,] 5056 5056 8.098062e-01
[14723,] 5057 330 -4.049031e-01
[14724,] 5057 617 -4.049031e-01
[14725,] 5057 5057 8.098062e-01
[14726,] 5058 330 -4.049031e-01
[14727,] 5058 617 -4.049031e-01
[14728,] 5058 5058 8.098062e-01
[14729,] 5059 330 -4.049031e-01
[14730,] 5059 617 -4.049031e-01
[14731,] 5059 5059 8.098062e-01
[14732,] 5060 330 -4.049031e-01
[14733,] 5060 617 -4.049031e-01
[14734,] 5060 5060 8.098062e-01
[14735,] 5061 330 -4.049031e-01
[14736,] 5061 617 -4.049031e-01
[14737,] 5061 5061 8.098062e-01
[14738,] 5062 330 -4.049031e-01
[14739,] 5062 617 -4.049031e-01
[14740,] 5062 5062 8.098062e-01
[14741,] 5063 330 -4.049031e-01
[14742,] 5063 617 -4.049031e-01
[14743,] 5063 5063 8.098062e-01
[14744,] 5064 330 -4.049031e-01
[14745,] 5064 617 -4.049031e-01
[14746,] 5064 5064 8.098062e-01
[14747,] 5065 330 -4.049031e-01
[14748,] 5065 617 -4.049031e-01
[14749,] 5065 5065 8.098062e-01
[14750,] 5066 330 -4.049031e-01
[14751,] 5066 617 -4.049031e-01
[14752,] 5066 5066 8.098062e-01
[14753,] 5067 330 -4.049031e-01
[14754,] 5067 617 -4.049031e-01
[14755,] 5067 5067 8.098062e-01
[14756,] 5068 330 -4.049031e-01
[14757,] 5068 617 -4.049031e-01
[14758,] 5068 5068 8.098062e-01
[14759,] 5069 330 -4.049031e-01
[14760,] 5069 617 -4.049031e-01
[14761,] 5069 5069 8.098062e-01
[14762,] 5070 330 -4.049031e-01
[14763,] 5070 617 -4.049031e-01
[14764,] 5070 5070 8.098062e-01
[14765,] 5071 330 -4.049031e-01
[14766,] 5071 617 -4.049031e-01
[14767,] 5071 5071 8.098062e-01
[14768,] 5072 330 -4.049031e-01
[14769,] 5072 617 -4.049031e-01
[14770,] 5072 5072 8.098062e-01
[14771,] 5073 330 -4.049031e-01
[14772,] 5073 617 -4.049031e-01
[14773,] 5073 5073 8.098062e-01
[14774,] 5074 330 -4.049031e-01
[14775,] 5074 617 -4.049031e-01
[14776,] 5074 5074 8.098062e-01
[14777,] 5075 330 -4.049031e-01
[14778,] 5075 617 -4.049031e-01
[14779,] 5075 5075 8.098062e-01
[14780,] 5076 330 -4.049031e-01
[14781,] 5076 617 -4.049031e-01
[14782,] 5076 5076 8.098062e-01
[14783,] 5077 330 -4.049031e-01
[14784,] 5077 617 -4.049031e-01
[14785,] 5077 5077 8.098062e-01
[14786,] 5078 330 -4.049031e-01
[14787,] 5078 617 -4.049031e-01
[14788,] 5078 5078 8.098062e-01
[14789,] 5079 330 -4.049031e-01
[14790,] 5079 617 -4.049031e-01
[14791,] 5079 5079 8.098062e-01
[14792,] 5080 330 -4.049031e-01
[14793,] 5080 617 -4.049031e-01
[14794,] 5080 5080 8.098062e-01
[14795,] 5081 330 -4.049031e-01
[14796,] 5081 617 -4.049031e-01
[14797,] 5081 5081 8.098062e-01
[14798,] 5082 330 -4.096000e-01
[14799,] 5082 688 -4.096000e-01
[14800,] 5082 5082 8.192000e-01
[14801,] 5083 330 -4.096000e-01
[14802,] 5083 688 -4.096000e-01
[14803,] 5083 5083 8.192000e-01
[14804,] 5084 330 -4.096000e-01
[14805,] 5084 688 -4.096000e-01
[14806,] 5084 5084 8.192000e-01
[14807,] 5085 330 -4.096000e-01
[14808,] 5085 688 -4.096000e-01
[14809,] 5085 5085 8.192000e-01
[14810,] 5086 330 -4.096000e-01
[14811,] 5086 688 -4.096000e-01
[14812,] 5086 5086 8.192000e-01
[14813,] 5087 330 -4.096000e-01
[14814,] 5087 688 -4.096000e-01
[14815,] 5087 5087 8.192000e-01
[14816,] 5088 330 -4.096000e-01
[14817,] 5088 688 -4.096000e-01
[14818,] 5088 5088 8.192000e-01
[14819,] 5089 330 -4.096000e-01
[14820,] 5089 688 -4.096000e-01
[14821,] 5089 5089 8.192000e-01
[14822,] 5090 330 -4.096000e-01
[14823,] 5090 688 -4.096000e-01
[14824,] 5090 5090 8.192000e-01
[14825,] 5091 330 -4.096000e-01
[14826,] 5091 688 -4.096000e-01
[14827,] 5091 5091 8.192000e-01
[14828,] 5092 330 -4.096000e-01
[14829,] 5092 688 -4.096000e-01
[14830,] 5092 5092 8.192000e-01
[14831,] 5093 330 -4.096000e-01
[14832,] 5093 688 -4.096000e-01
[14833,] 5093 5093 8.192000e-01
[14834,] 5094 330 -4.096000e-01
[14835,] 5094 688 -4.096000e-01
[14836,] 5094 5094 8.192000e-01
[14837,] 5095 330 -4.096000e-01
[14838,] 5095 688 -4.096000e-01
[14839,] 5095 5095 8.192000e-01
[14840,] 5096 330 -4.096000e-01
[14841,] 5096 688 -4.096000e-01
[14842,] 5096 5096 8.192000e-01
[14843,] 5097 330 -4.096000e-01
[14844,] 5097 688 -4.096000e-01
[14845,] 5097 5097 8.192000e-01
[14846,] 5098 330 -4.096000e-01
[14847,] 5098 688 -4.096000e-01
[14848,] 5098 5098 8.192000e-01
[14849,] 5099 330 -4.096000e-01
[14850,] 5099 688 -4.096000e-01
[14851,] 5099 5099 8.192000e-01
[14852,] 5100 330 -4.096000e-01
[14853,] 5100 688 -4.096000e-01
[14854,] 5100 5100 8.192000e-01
[14855,] 5101 330 -4.096000e-01
[14856,] 5101 688 -4.096000e-01
[14857,] 5101 5101 8.192000e-01
[14858,] 5102 330 -4.096000e-01
[14859,] 5102 688 -4.096000e-01
[14860,] 5102 5102 8.192000e-01
[14861,] 5103 330 -4.096000e-01
[14862,] 5103 688 -4.096000e-01
[14863,] 5103 5103 8.192000e-01
[14864,] 5104 330 -4.096000e-01
[14865,] 5104 688 -4.096000e-01
[14866,] 5104 5104 8.192000e-01
[14867,] 5105 617 -1.022084e+00
[14868,] 5105 4473 -1.022084e+00
[14869,] 5105 5105 2.044167e+00
[14870,] 5106 617 -1.022084e+00
[14871,] 5106 4473 -1.022084e+00
[14872,] 5106 5106 2.044167e+00
[14873,] 5107 617 -1.022084e+00
[14874,] 5107 4473 -1.022084e+00
[14875,] 5107 5107 2.044167e+00
[14876,] 5108 617 -1.022084e+00
[14877,] 5108 4473 -1.022084e+00
[14878,] 5108 5108 2.044167e+00
[14879,] 5109 617 -1.022084e+00
[14880,] 5109 4473 -1.022084e+00
[14881,] 5109 5109 2.044167e+00
[14882,] 5110 617 -1.022084e+00
[14883,] 5110 4473 -1.022084e+00
[14884,] 5110 5110 2.044167e+00
[14885,] 5111 617 -1.022084e+00
[14886,] 5111 4473 -1.022084e+00
[14887,] 5111 5111 2.044167e+00
[14888,] 5112 617 -1.022084e+00
[14889,] 5112 4473 -1.022084e+00
[14890,] 5112 5112 2.044167e+00
[14891,] 5113 617 -1.022084e+00
[14892,] 5113 4473 -1.022084e+00
[14893,] 5113 5113 2.044167e+00
[14894,] 5114 617 -1.022084e+00
[14895,] 5114 4473 -1.022084e+00
[14896,] 5114 5114 2.044167e+00
[14897,] 5115 617 -1.022084e+00
[14898,] 5115 4473 -1.022084e+00
[14899,] 5115 5115 2.044167e+00
[14900,] 5116 617 -1.022084e+00
[14901,] 5116 4473 -1.022084e+00
[14902,] 5116 5116 2.044167e+00
[14903,] 5117 617 -1.022084e+00
[14904,] 5117 4473 -1.022084e+00
[14905,] 5117 5117 2.044167e+00
[14906,] 5118 617 -1.022084e+00
[14907,] 5118 4473 -1.022084e+00
[14908,] 5118 5118 2.044167e+00
[14909,] 5119 617 -1.022084e+00
[14910,] 5119 4473 -1.022084e+00
[14911,] 5119 5119 2.044167e+00
[14912,] 5120 617 -1.022084e+00
[14913,] 5120 4473 -1.022084e+00
[14914,] 5120 5120 2.044167e+00
[14915,] 5121 617 -1.022084e+00
[14916,] 5121 4473 -1.022084e+00
[14917,] 5121 5121 2.044167e+00
[14918,] 5122 617 -1.022084e+00
[14919,] 5122 4473 -1.022084e+00
[14920,] 5122 5122 2.044167e+00
[14921,] 5123 617 -1.022084e+00
[14922,] 5123 4473 -1.022084e+00
[14923,] 5123 5123 2.044167e+00
[14924,] 5124 617 -1.022084e+00
[14925,] 5124 4473 -1.022084e+00
[14926,] 5124 5124 2.044167e+00
[14927,] 5125 617 -1.022084e+00
[14928,] 5125 4473 -1.022084e+00
[14929,] 5125 5125 2.044167e+00
[14930,] 5126 617 -1.022084e+00
[14931,] 5126 4473 -1.022084e+00
[14932,] 5126 5126 2.044167e+00
[14933,] 5127 617 -1.022084e+00
[14934,] 5127 4473 -1.022084e+00
[14935,] 5127 5127 2.044167e+00
[14936,] 5128 617 -1.022084e+00
[14937,] 5128 4473 -1.022084e+00
[14938,] 5128 5128 2.044167e+00
[14939,] 5129 617 -1.022084e+00
[14940,] 5129 4473 -1.022084e+00
[14941,] 5129 5129 2.044167e+00
[14942,] 5130 617 -1.022084e+00
[14943,] 5130 4473 -1.022084e+00
[14944,] 5130 5130 2.044167e+00
[14945,] 5131 617 -1.022084e+00
[14946,] 5131 4473 -1.022084e+00
[14947,] 5131 5131 2.044167e+00
[14948,] 5132 617 -1.022084e+00
[14949,] 5132 4473 -1.022084e+00
[14950,] 5132 5132 2.044167e+00
[14951,] 5133 617 -1.022084e+00
[14952,] 5133 4473 -1.022084e+00
[14953,] 5133 5133 2.044167e+00
[14954,] 5134 617 -1.022084e+00
[14955,] 5134 4473 -1.022084e+00
[14956,] 5134 5134 2.044167e+00
[14957,] 5135 617 -1.022084e+00
[14958,] 5135 4473 -1.022084e+00
[14959,] 5135 5135 2.044167e+00
[14960,] 5136 617 -1.022084e+00
[14961,] 5136 4473 -1.022084e+00
[14962,] 5136 5136 2.044167e+00
[14963,] 5137 617 -1.022084e+00
[14964,] 5137 4473 -1.022084e+00
[14965,] 5137 5137 2.044167e+00
[14966,] 5138 617 -1.022084e+00
[14967,] 5138 4473 -1.022084e+00
[14968,] 5138 5138 2.044167e+00
[14969,] 5139 617 -1.022084e+00
[14970,] 5139 4473 -1.022084e+00
[14971,] 5139 5139 2.044167e+00
[14972,] 5140 617 -1.022084e+00
[14973,] 5140 4473 -1.022084e+00
[14974,] 5140 5140 2.044167e+00
[14975,] 5141 617 -1.022084e+00
[14976,] 5141 4473 -1.022084e+00
[14977,] 5141 5141 2.044167e+00
[14978,] 5142 617 -1.022084e+00
[14979,] 5142 4473 -1.022084e+00
[14980,] 5142 5142 2.044167e+00
[14981,] 5143 617 -1.022084e+00
[14982,] 5143 4473 -1.022084e+00
[14983,] 5143 5143 2.044167e+00
[14984,] 5144 617 -1.022084e+00
[14985,] 5144 4473 -1.022084e+00
[14986,] 5144 5144 2.044167e+00
[14987,] 5145 617 -1.022084e+00
[14988,] 5145 4473 -1.022084e+00
[14989,] 5145 5145 2.044167e+00
[14990,] 5146 617 -1.022084e+00
[14991,] 5146 4473 -1.022084e+00
[14992,] 5146 5146 2.044167e+00
[14993,] 5147 617 -1.022084e+00
[14994,] 5147 4473 -1.022084e+00
[14995,] 5147 5147 2.044167e+00
[14996,] 5148 617 -1.022084e+00
[14997,] 5148 4473 -1.022084e+00
[14998,] 5148 5148 2.044167e+00
[14999,] 5149 617 -1.022084e+00
[15000,] 5149 4473 -1.022084e+00
[15001,] 5149 5149 2.044167e+00
[15002,] 5150 617 -1.022084e+00
[15003,] 5150 4473 -1.022084e+00
[15004,] 5150 5150 2.044167e+00
[15005,] 5151 617 -1.022084e+00
[15006,] 5151 4473 -1.022084e+00
[15007,] 5151 5151 2.044167e+00
[15008,] 5152 617 -1.022084e+00
[15009,] 5152 4473 -1.022084e+00
[15010,] 5152 5152 2.044167e+00
[15011,] 5153 651 -4.918348e-01
[15012,] 5153 4471 -4.918348e-01
[15013,] 5153 5153 9.836695e-01
[15014,] 5154 651 -4.918348e-01
[15015,] 5154 4471 -4.918348e-01
[15016,] 5154 5154 9.836695e-01
[15017,] 5155 651 -4.918348e-01
[15018,] 5155 4471 -4.918348e-01
[15019,] 5155 5155 9.836695e-01
[15020,] 5156 651 -4.918348e-01
[15021,] 5156 4471 -4.918348e-01
[15022,] 5156 5156 9.836695e-01
[15023,] 5157 651 -4.918348e-01
[15024,] 5157 4471 -4.918348e-01
[15025,] 5157 5157 9.836695e-01
[15026,] 5158 651 -4.918348e-01
[15027,] 5158 4471 -4.918348e-01
[15028,] 5158 5158 9.836695e-01
[15029,] 5159 651 -4.918348e-01
[15030,] 5159 4471 -4.918348e-01
[15031,] 5159 5159 9.836695e-01
[15032,] 5160 651 -4.918348e-01
[15033,] 5160 4471 -4.918348e-01
[15034,] 5160 5160 9.836695e-01
[15035,] 5161 651 -4.918348e-01
[15036,] 5161 4471 -4.918348e-01
[15037,] 5161 5161 9.836695e-01
[15038,] 5162 651 -4.918348e-01
[15039,] 5162 4471 -4.918348e-01
[15040,] 5162 5162 9.836695e-01
[15041,] 5163 619 -4.993904e-01
[15042,] 5163 4471 -4.993904e-01
[15043,] 5163 5163 9.987808e-01
[15044,] 5164 619 -4.993904e-01
[15045,] 5164 4471 -4.993904e-01
[15046,] 5164 5164 9.987808e-01
[15047,] 5165 619 -4.993904e-01
[15048,] 5165 4471 -4.993904e-01
[15049,] 5165 5165 9.987808e-01
[15050,] 5166 619 -4.993904e-01
[15051,] 5166 4471 -4.993904e-01
[15052,] 5166 5166 9.987808e-01
[15053,] 5167 619 -4.993904e-01
[15054,] 5167 4471 -4.993904e-01
[15055,] 5167 5167 9.987808e-01
[15056,] 5168 619 -4.993904e-01
[15057,] 5168 4471 -4.993904e-01
[15058,] 5168 5168 9.987808e-01
[15059,] 5169 619 -4.993904e-01
[15060,] 5169 4471 -4.993904e-01
[15061,] 5169 5169 9.987808e-01
[15062,] 5170 619 -4.993904e-01
[15063,] 5170 4471 -4.993904e-01
[15064,] 5170 5170 9.987808e-01
[15065,] 5171 619 -4.993904e-01
[15066,] 5171 4471 -4.993904e-01
[15067,] 5171 5171 9.987808e-01
[15068,] 5172 619 -4.993904e-01
[15069,] 5172 4471 -4.993904e-01
[15070,] 5172 5172 9.987808e-01
[15071,] 5173 619 -4.993904e-01
[15072,] 5173 4471 -4.993904e-01
[15073,] 5173 5173 9.987808e-01
[15074,] 5174 619 -4.993904e-01
[15075,] 5174 4471 -4.993904e-01
[15076,] 5174 5174 9.987808e-01
[15077,] 5175 619 -4.993904e-01
[15078,] 5175 4471 -4.993904e-01
[15079,] 5175 5175 9.987808e-01
[15080,] 5176 619 -4.993904e-01
[15081,] 5176 4471 -4.993904e-01
[15082,] 5176 5176 9.987808e-01
[15083,] 5177 619 -4.993904e-01
[15084,] 5177 4471 -4.993904e-01
[15085,] 5177 5177 9.987808e-01
[15086,] 5178 619 -4.993904e-01
[15087,] 5178 4471 -4.993904e-01
[15088,] 5178 5178 9.987808e-01
[15089,] 5179 619 -4.993904e-01
[15090,] 5179 4471 -4.993904e-01
[15091,] 5179 5179 9.987808e-01
[15092,] 5180 619 -4.993904e-01
[15093,] 5180 4471 -4.993904e-01
[15094,] 5180 5180 9.987808e-01
[15095,] 5181 619 -4.993904e-01
[15096,] 5181 4471 -4.993904e-01
[15097,] 5181 5181 9.987808e-01
[15098,] 5182 619 -4.993904e-01
[15099,] 5182 4471 -4.993904e-01
[15100,] 5182 5182 9.987808e-01
[15101,] 5183 619 -4.993904e-01
[15102,] 5183 4471 -4.993904e-01
[15103,] 5183 5183 9.987808e-01
[15104,] 5184 619 -4.993904e-01
[15105,] 5184 4471 -4.993904e-01
[15106,] 5184 5184 9.987808e-01
[15107,] 5185 619 -4.993904e-01
[15108,] 5185 4471 -4.993904e-01
[15109,] 5185 5185 9.987808e-01
[15110,] 5186 619 -4.993904e-01
[15111,] 5186 4471 -4.993904e-01
[15112,] 5186 5186 9.987808e-01
[15113,] 5187 619 -4.993904e-01
[15114,] 5187 4471 -4.993904e-01
[15115,] 5187 5187 9.987808e-01
[15116,] 5188 619 -4.993904e-01
[15117,] 5188 4471 -4.993904e-01
[15118,] 5188 5188 9.987808e-01
[15119,] 5189 619 -4.993904e-01
[15120,] 5189 4471 -4.993904e-01
[15121,] 5189 5189 9.987808e-01
[15122,] 5190 619 -4.993904e-01
[15123,] 5190 4471 -4.993904e-01
[15124,] 5190 5190 9.987808e-01
[15125,] 5191 619 -4.993904e-01
[15126,] 5191 4471 -4.993904e-01
[15127,] 5191 5191 9.987808e-01
[15128,] 5192 619 -4.993904e-01
[15129,] 5192 4471 -4.993904e-01
[15130,] 5192 5192 9.987808e-01
[15131,] 5193 619 -4.993904e-01
[15132,] 5193 4471 -4.993904e-01
[15133,] 5193 5193 9.987808e-01
[15134,] 5194 619 -4.993904e-01
[15135,] 5194 4471 -4.993904e-01
[15136,] 5194 5194 9.987808e-01
[15137,] 5195 619 -4.993904e-01
[15138,] 5195 4471 -4.993904e-01
[15139,] 5195 5195 9.987808e-01
[15140,] 5196 619 -4.993904e-01
[15141,] 5196 4471 -4.993904e-01
[15142,] 5196 5196 9.987808e-01
[15143,] 5197 619 -4.993904e-01
[15144,] 5197 4471 -4.993904e-01
[15145,] 5197 5197 9.987808e-01
[15146,] 5198 619 -4.993904e-01
[15147,] 5198 4471 -4.993904e-01
[15148,] 5198 5198 9.987808e-01
[15149,] 5199 619 -4.993904e-01
[15150,] 5199 4471 -4.993904e-01
[15151,] 5199 5199 9.987808e-01
[15152,] 5200 619 -4.993904e-01
[15153,] 5200 4471 -4.993904e-01
[15154,] 5200 5200 9.987808e-01
[15155,] 5201 619 -4.993904e-01
[15156,] 5201 4471 -4.993904e-01
[15157,] 5201 5201 9.987808e-01
[15158,] 5202 619 -4.993904e-01
[15159,] 5202 4471 -4.993904e-01
[15160,] 5202 5202 9.987808e-01
[15161,] 5203 619 -4.993904e-01
[15162,] 5203 4471 -4.993904e-01
[15163,] 5203 5203 9.987808e-01
[15164,] 5204 619 -4.993904e-01
[15165,] 5204 4471 -4.993904e-01
[15166,] 5204 5204 9.987808e-01
[15167,] 5205 619 -4.993904e-01
[15168,] 5205 4471 -4.993904e-01
[15169,] 5205 5205 9.987808e-01
[15170,] 5206 619 -4.993904e-01
[15171,] 5206 4471 -4.993904e-01
[15172,] 5206 5206 9.987808e-01
[15173,] 5207 619 -4.993904e-01
[15174,] 5207 4471 -4.993904e-01
[15175,] 5207 5207 9.987808e-01
[15176,] 5208 619 -4.993904e-01
[15177,] 5208 4471 -4.993904e-01
[15178,] 5208 5208 9.987808e-01
[15179,] 5209 619 -4.993904e-01
[15180,] 5209 4471 -4.993904e-01
[15181,] 5209 5209 9.987808e-01
[15182,] 5210 619 -4.993904e-01
[15183,] 5210 4471 -4.993904e-01
[15184,] 5210 5210 9.987808e-01
[15185,] 5211 619 -4.993904e-01
[15186,] 5211 4471 -4.993904e-01
[15187,] 5211 5211 9.987808e-01
[15188,] 5212 619 -4.993904e-01
[15189,] 5212 4471 -4.993904e-01
[15190,] 5212 5212 9.987808e-01
[15191,] 5213 619 -4.993904e-01
[15192,] 5213 4471 -4.993904e-01
[15193,] 5213 5213 9.987808e-01
[15194,] 5214 619 -4.993904e-01
[15195,] 5214 4471 -4.993904e-01
[15196,] 5214 5214 9.987808e-01
[15197,] 5215 619 -4.993904e-01
[15198,] 5215 4471 -4.993904e-01
[15199,] 5215 5215 9.987808e-01
[15200,] 5216 619 -4.993904e-01
[15201,] 5216 4471 -4.993904e-01
[15202,] 5216 5216 9.987808e-01
[15203,] 5217 619 -4.993904e-01
[15204,] 5217 4471 -4.993904e-01
[15205,] 5217 5217 9.987808e-01
[15206,] 5218 619 -4.993904e-01
[15207,] 5218 4471 -4.993904e-01
[15208,] 5218 5218 9.987808e-01
[15209,] 5219 619 -4.993904e-01
[15210,] 5219 4471 -4.993904e-01
[15211,] 5219 5219 9.987808e-01
[15212,] 5220 619 -4.993904e-01
[15213,] 5220 4471 -4.993904e-01
[15214,] 5220 5220 9.987808e-01
[15215,] 5221 619 -4.993904e-01
[15216,] 5221 4471 -4.993904e-01
[15217,] 5221 5221 9.987808e-01
[15218,] 5222 619 -4.993904e-01
[15219,] 5222 4471 -4.993904e-01
[15220,] 5222 5222 9.987808e-01
[15221,] 5223 619 -4.993904e-01
[15222,] 5223 4471 -4.993904e-01
[15223,] 5223 5223 9.987808e-01
[15224,] 5224 619 -4.993904e-01
[15225,] 5224 4471 -4.993904e-01
[15226,] 5224 5224 9.987808e-01
[15227,] 5225 619 -4.993904e-01
[15228,] 5225 4471 -4.993904e-01
[15229,] 5225 5225 9.987808e-01
[15230,] 5226 619 -4.993904e-01
[15231,] 5226 4471 -4.993904e-01
[15232,] 5226 5226 9.987808e-01
[15233,] 5227 619 -4.993904e-01
[15234,] 5227 4471 -4.993904e-01
[15235,] 5227 5227 9.987808e-01
[15236,] 5228 619 -4.993904e-01
[15237,] 5228 4471 -4.993904e-01
[15238,] 5228 5228 9.987808e-01
[15239,] 5229 619 -4.993904e-01
[15240,] 5229 4471 -4.993904e-01
[15241,] 5229 5229 9.987808e-01
[15242,] 5230 619 -4.993904e-01
[15243,] 5230 4471 -4.993904e-01
[15244,] 5230 5230 9.987808e-01
[15245,] 5231 619 -4.993904e-01
[15246,] 5231 4471 -4.993904e-01
[15247,] 5231 5231 9.987808e-01
[15248,] 5232 619 -4.993904e-01
[15249,] 5232 4471 -4.993904e-01
[15250,] 5232 5232 9.987808e-01
[15251,] 5233 619 -4.993904e-01
[15252,] 5233 4471 -4.993904e-01
[15253,] 5233 5233 9.987808e-01
[15254,] 5234 619 -4.993904e-01
[15255,] 5234 4471 -4.993904e-01
[15256,] 5234 5234 9.987808e-01
[15257,] 5235 619 -4.993904e-01
[15258,] 5235 4471 -4.993904e-01
[15259,] 5235 5235 9.987808e-01
[15260,] 5236 619 -4.993904e-01
[15261,] 5236 4471 -4.993904e-01
[15262,] 5236 5236 9.987808e-01
[15263,] 5237 619 -4.993904e-01
[15264,] 5237 4471 -4.993904e-01
[15265,] 5237 5237 9.987808e-01
[15266,] 5238 619 -4.993904e-01
[15267,] 5238 4471 -4.993904e-01
[15268,] 5238 5238 9.987808e-01
[15269,] 5239 619 -4.993904e-01
[15270,] 5239 4471 -4.993904e-01
[15271,] 5239 5239 9.987808e-01
[15272,] 5240 619 -4.993904e-01
[15273,] 5240 4471 -4.993904e-01
[15274,] 5240 5240 9.987808e-01
[15275,] 5241 619 -4.993904e-01
[15276,] 5241 4471 -4.993904e-01
[15277,] 5241 5241 9.987808e-01
[15278,] 5242 619 -4.993904e-01
[15279,] 5242 4471 -4.993904e-01
[15280,] 5242 5242 9.987808e-01
[15281,] 5243 619 -4.993904e-01
[15282,] 5243 4471 -4.993904e-01
[15283,] 5243 5243 9.987808e-01
[15284,] 5244 619 -4.993904e-01
[15285,] 5244 4471 -4.993904e-01
[15286,] 5244 5244 9.987808e-01
[15287,] 5245 619 -4.993904e-01
[15288,] 5245 4471 -4.993904e-01
[15289,] 5245 5245 9.987808e-01
[15290,] 5246 619 -4.993904e-01
[15291,] 5246 4471 -4.993904e-01
[15292,] 5246 5246 9.987808e-01
[15293,] 5247 619 -4.993904e-01
[15294,] 5247 4471 -4.993904e-01
[15295,] 5247 5247 9.987808e-01
[15296,] 5248 619 -4.993904e-01
[15297,] 5248 4471 -4.993904e-01
[15298,] 5248 5248 9.987808e-01
[15299,] 5249 619 -4.993904e-01
[15300,] 5249 4471 -4.993904e-01
[15301,] 5249 5249 9.987808e-01
[15302,] 5250 619 -4.993904e-01
[15303,] 5250 4471 -4.993904e-01
[15304,] 5250 5250 9.987808e-01
[15305,] 5251 615 -4.994513e-01
[15306,] 5251 4471 -4.994513e-01
[15307,] 5251 5251 9.989026e-01
[15308,] 5252 615 -4.994513e-01
[15309,] 5252 4471 -4.994513e-01
[15310,] 5252 5252 9.989026e-01
[15311,] 5253 615 -4.994513e-01
[15312,] 5253 4471 -4.994513e-01
[15313,] 5253 5253 9.989026e-01
[15314,] 5254 615 -4.994513e-01
[15315,] 5254 4471 -4.994513e-01
[15316,] 5254 5254 9.989026e-01
[15317,] 5255 615 -4.994513e-01
[15318,] 5255 4471 -4.994513e-01
[15319,] 5255 5255 9.989026e-01
[15320,] 5256 615 -4.994513e-01
[15321,] 5256 4471 -4.994513e-01
[15322,] 5256 5256 9.989026e-01
[15323,] 5257 615 -4.994513e-01
[15324,] 5257 4471 -4.994513e-01
[15325,] 5257 5257 9.989026e-01
[15326,] 5258 615 -4.994513e-01
[15327,] 5258 4471 -4.994513e-01
[15328,] 5258 5258 9.989026e-01
[15329,] 5259 615 -4.994513e-01
[15330,] 5259 4471 -4.994513e-01
[15331,] 5259 5259 9.989026e-01
[15332,] 5260 615 -4.994513e-01
[15333,] 5260 4471 -4.994513e-01
[15334,] 5260 5260 9.989026e-01
[15335,] 5261 615 -4.994513e-01
[15336,] 5261 4471 -4.994513e-01
[15337,] 5261 5261 9.989026e-01
[15338,] 5262 615 -4.994513e-01
[15339,] 5262 4471 -4.994513e-01
[15340,] 5262 5262 9.989026e-01
[15341,] 5263 615 -4.994513e-01
[15342,] 5263 4471 -4.994513e-01
[15343,] 5263 5263 9.989026e-01
[15344,] 5264 615 -4.994513e-01
[15345,] 5264 4471 -4.994513e-01
[15346,] 5264 5264 9.989026e-01
[15347,] 5265 615 -4.994513e-01
[15348,] 5265 4471 -4.994513e-01
[15349,] 5265 5265 9.989026e-01
[15350,] 5266 615 -4.994513e-01
[15351,] 5266 4471 -4.994513e-01
[15352,] 5266 5266 9.989026e-01
[15353,] 5267 615 -4.994513e-01
[15354,] 5267 4471 -4.994513e-01
[15355,] 5267 5267 9.989026e-01
[15356,] 5268 615 -4.994513e-01
[15357,] 5268 4471 -4.994513e-01
[15358,] 5268 5268 9.989026e-01
[15359,] 5269 615 -4.994513e-01
[15360,] 5269 4471 -4.994513e-01
[15361,] 5269 5269 9.989026e-01
[15362,] 5270 615 -4.994513e-01
[15363,] 5270 4471 -4.994513e-01
[15364,] 5270 5270 9.989026e-01
[15365,] 5271 615 -4.994513e-01
[15366,] 5271 4471 -4.994513e-01
[15367,] 5271 5271 9.989026e-01
[15368,] 5272 615 -4.994513e-01
[15369,] 5272 4471 -4.994513e-01
[15370,] 5272 5272 9.989026e-01
[15371,] 5273 615 -4.994513e-01
[15372,] 5273 4471 -4.994513e-01
[15373,] 5273 5273 9.989026e-01
[15374,] 5274 615 -4.994513e-01
[15375,] 5274 4471 -4.994513e-01
[15376,] 5274 5274 9.989026e-01
[15377,] 5275 615 -4.994513e-01
[15378,] 5275 4471 -4.994513e-01
[15379,] 5275 5275 9.989026e-01
[15380,] 5276 615 -4.994513e-01
[15381,] 5276 4471 -4.994513e-01
[15382,] 5276 5276 9.989026e-01
[15383,] 5277 615 -4.994513e-01
[15384,] 5277 4471 -4.994513e-01
[15385,] 5277 5277 9.989026e-01
[15386,] 5278 615 -4.994513e-01
[15387,] 5278 4471 -4.994513e-01
[15388,] 5278 5278 9.989026e-01
[15389,] 5279 615 -4.994513e-01
[15390,] 5279 4471 -4.994513e-01
[15391,] 5279 5279 9.989026e-01
[15392,] 5280 615 -4.994513e-01
[15393,] 5280 4471 -4.994513e-01
[15394,] 5280 5280 9.989026e-01
[15395,] 5281 615 -4.994513e-01
[15396,] 5281 4471 -4.994513e-01
[15397,] 5281 5281 9.989026e-01
[15398,] 5282 615 -4.994513e-01
[15399,] 5282 4471 -4.994513e-01
[15400,] 5282 5282 9.989026e-01
[15401,] 5283 617 -1.022084e+00
[15402,] 5283 4471 -1.022084e+00
[15403,] 5283 5283 2.044167e+00
[15404,] 5284 617 -1.022084e+00
[15405,] 5284 4471 -1.022084e+00
[15406,] 5284 5284 2.044167e+00
[15407,] 5285 617 -1.022084e+00
[15408,] 5285 4471 -1.022084e+00
[15409,] 5285 5285 2.044167e+00
[15410,] 5286 617 -1.022084e+00
[15411,] 5286 4471 -1.022084e+00
[15412,] 5286 5286 2.044167e+00
[15413,] 5287 617 -1.022084e+00
[15414,] 5287 4471 -1.022084e+00
[15415,] 5287 5287 2.044167e+00
[15416,] 5288 617 -1.022084e+00
[15417,] 5288 4471 -1.022084e+00
[15418,] 5288 5288 2.044167e+00
[15419,] 5289 617 -1.022084e+00
[15420,] 5289 4471 -1.022084e+00
[15421,] 5289 5289 2.044167e+00
[15422,] 5290 617 -1.022084e+00
[15423,] 5290 4471 -1.022084e+00
[15424,] 5290 5290 2.044167e+00
[15425,] 5291 617 -1.022084e+00
[15426,] 5291 4471 -1.022084e+00
[15427,] 5291 5291 2.044167e+00
[15428,] 5292 617 -1.022084e+00
[15429,] 5292 4471 -1.022084e+00
[15430,] 5292 5292 2.044167e+00
[15431,] 5293 617 -1.022084e+00
[15432,] 5293 4471 -1.022084e+00
[15433,] 5293 5293 2.044167e+00
[15434,] 5294 617 -1.022084e+00
[15435,] 5294 4471 -1.022084e+00
[15436,] 5294 5294 2.044167e+00
[15437,] 5295 617 -1.022084e+00
[15438,] 5295 4471 -1.022084e+00
[15439,] 5295 5295 2.044167e+00
[15440,] 5296 617 -1.022084e+00
[15441,] 5296 4471 -1.022084e+00
[15442,] 5296 5296 2.044167e+00
[15443,] 5297 617 -1.022084e+00
[15444,] 5297 4471 -1.022084e+00
[15445,] 5297 5297 2.044167e+00
[15446,] 5298 617 -1.022084e+00
[15447,] 5298 4471 -1.022084e+00
[15448,] 5298 5298 2.044167e+00
[15449,] 5299 617 -1.022084e+00
[15450,] 5299 4471 -1.022084e+00
[15451,] 5299 5299 2.044167e+00
[15452,] 5300 617 -1.022084e+00
[15453,] 5300 4471 -1.022084e+00
[15454,] 5300 5300 2.044167e+00
[15455,] 5301 617 -1.022084e+00
[15456,] 5301 4471 -1.022084e+00
[15457,] 5301 5301 2.044167e+00
[15458,] 5302 617 -1.022084e+00
[15459,] 5302 4471 -1.022084e+00
[15460,] 5302 5302 2.044167e+00
[15461,] 5303 617 -1.022084e+00
[15462,] 5303 4471 -1.022084e+00
[15463,] 5303 5303 2.044167e+00
[15464,] 5304 617 -1.022084e+00
[15465,] 5304 4471 -1.022084e+00
[15466,] 5304 5304 2.044167e+00
[15467,] 5305 617 -1.022084e+00
[15468,] 5305 4471 -1.022084e+00
[15469,] 5305 5305 2.044167e+00
[15470,] 5306 617 -1.022084e+00
[15471,] 5306 4471 -1.022084e+00
[15472,] 5306 5306 2.044167e+00
[15473,] 5307 617 -1.022084e+00
[15474,] 5307 4471 -1.022084e+00
[15475,] 5307 5307 2.044167e+00
[15476,] 5308 332 -4.049031e-01
[15477,] 5308 617 -4.049031e-01
[15478,] 5308 5308 8.098062e-01
[15479,] 5309 332 -4.049031e-01
[15480,] 5309 617 -4.049031e-01
[15481,] 5309 5309 8.098062e-01
[15482,] 5310 332 -4.049031e-01
[15483,] 5310 617 -4.049031e-01
[15484,] 5310 5310 8.098062e-01
[15485,] 5311 332 -4.049031e-01
[15486,] 5311 617 -4.049031e-01
[15487,] 5311 5311 8.098062e-01
[15488,] 5312 332 -4.049031e-01
[15489,] 5312 617 -4.049031e-01
[15490,] 5312 5312 8.098062e-01
[15491,] 5313 332 -4.049031e-01
[15492,] 5313 617 -4.049031e-01
[15493,] 5313 5313 8.098062e-01
[15494,] 5314 332 -4.049031e-01
[15495,] 5314 617 -4.049031e-01
[15496,] 5314 5314 8.098062e-01
[15497,] 5315 332 -4.049031e-01
[15498,] 5315 617 -4.049031e-01
[15499,] 5315 5315 8.098062e-01
[15500,] 5316 332 -4.049031e-01
[15501,] 5316 617 -4.049031e-01
[15502,] 5316 5316 8.098062e-01
[15503,] 5317 332 -4.049031e-01
[15504,] 5317 617 -4.049031e-01
[15505,] 5317 5317 8.098062e-01
[15506,] 5318 332 -4.049031e-01
[15507,] 5318 617 -4.049031e-01
[15508,] 5318 5318 8.098062e-01
[15509,] 5319 332 -4.049031e-01
[15510,] 5319 617 -4.049031e-01
[15511,] 5319 5319 8.098062e-01
[15512,] 5320 332 -4.049031e-01
[15513,] 5320 617 -4.049031e-01
[15514,] 5320 5320 8.098062e-01
[15515,] 5321 332 -4.049031e-01
[15516,] 5321 617 -4.049031e-01
[15517,] 5321 5321 8.098062e-01
[15518,] 5322 332 -4.049031e-01
[15519,] 5322 617 -4.049031e-01
[15520,] 5322 5322 8.098062e-01
[15521,] 5323 332 -4.049031e-01
[15522,] 5323 617 -4.049031e-01
[15523,] 5323 5323 8.098062e-01
[15524,] 5324 332 -4.049031e-01
[15525,] 5324 617 -4.049031e-01
[15526,] 5324 5324 8.098062e-01
[15527,] 5325 332 -4.049031e-01
[15528,] 5325 617 -4.049031e-01
[15529,] 5325 5325 8.098062e-01
[15530,] 5326 332 -4.049031e-01
[15531,] 5326 617 -4.049031e-01
[15532,] 5326 5326 8.098062e-01
[15533,] 5327 332 -4.049031e-01
[15534,] 5327 617 -4.049031e-01
[15535,] 5327 5327 8.098062e-01
[15536,] 5328 332 -4.049031e-01
[15537,] 5328 617 -4.049031e-01
[15538,] 5328 5328 8.098062e-01
[15539,] 5329 333 -4.050633e-01
[15540,] 5329 651 -4.050633e-01
[15541,] 5329 5329 8.101266e-01
[15542,] 5330 333 -4.050633e-01
[15543,] 5330 651 -4.050633e-01
[15544,] 5330 5330 8.101266e-01
[15545,] 5331 333 -4.050633e-01
[15546,] 5331 651 -4.050633e-01
[15547,] 5331 5331 8.101266e-01
[15548,] 5332 333 -4.050633e-01
[15549,] 5332 651 -4.050633e-01
[15550,] 5332 5332 8.101266e-01
[15551,] 5333 333 -4.101742e-01
[15552,] 5333 619 -4.101742e-01
[15553,] 5333 5333 8.203485e-01
[15554,] 5334 333 -4.101742e-01
[15555,] 5334 619 -4.101742e-01
[15556,] 5334 5334 8.203485e-01
[15557,] 5335 333 -4.101742e-01
[15558,] 5335 619 -4.101742e-01
[15559,] 5335 5335 8.203485e-01
[15560,] 5336 333 -4.101742e-01
[15561,] 5336 619 -4.101742e-01
[15562,] 5336 5336 8.203485e-01
[15563,] 5337 333 -4.101742e-01
[15564,] 5337 619 -4.101742e-01
[15565,] 5337 5337 8.203485e-01
[15566,] 5338 333 -4.101742e-01
[15567,] 5338 619 -4.101742e-01
[15568,] 5338 5338 8.203485e-01
[15569,] 5339 333 -4.101742e-01
[15570,] 5339 619 -4.101742e-01
[15571,] 5339 5339 8.203485e-01
[15572,] 5340 333 -4.101742e-01
[15573,] 5340 619 -4.101742e-01
[15574,] 5340 5340 8.203485e-01
[15575,] 5341 333 -4.101742e-01
[15576,] 5341 619 -4.101742e-01
[15577,] 5341 5341 8.203485e-01
[15578,] 5342 333 -4.101742e-01
[15579,] 5342 619 -4.101742e-01
[15580,] 5342 5342 8.203485e-01
[15581,] 5343 333 -4.101742e-01
[15582,] 5343 619 -4.101742e-01
[15583,] 5343 5343 8.203485e-01
[15584,] 5344 333 -4.101742e-01
[15585,] 5344 619 -4.101742e-01
[15586,] 5344 5344 8.203485e-01
[15587,] 5345 333 -4.101742e-01
[15588,] 5345 619 -4.101742e-01
[15589,] 5345 5345 8.203485e-01
[15590,] 5346 333 -4.101742e-01
[15591,] 5346 619 -4.101742e-01
[15592,] 5346 5346 8.203485e-01
[15593,] 5347 333 -4.101742e-01
[15594,] 5347 619 -4.101742e-01
[15595,] 5347 5347 8.203485e-01
[15596,] 5348 333 -4.101742e-01
[15597,] 5348 619 -4.101742e-01
[15598,] 5348 5348 8.203485e-01
[15599,] 5349 333 -4.101742e-01
[15600,] 5349 619 -4.101742e-01
[15601,] 5349 5349 8.203485e-01
[15602,] 5350 333 -4.101742e-01
[15603,] 5350 619 -4.101742e-01
[15604,] 5350 5350 8.203485e-01
[15605,] 5351 333 -4.101742e-01
[15606,] 5351 619 -4.101742e-01
[15607,] 5351 5351 8.203485e-01
[15608,] 5352 333 -4.101742e-01
[15609,] 5352 619 -4.101742e-01
[15610,] 5352 5352 8.203485e-01
[15611,] 5353 333 -4.101742e-01
[15612,] 5353 619 -4.101742e-01
[15613,] 5353 5353 8.203485e-01
[15614,] 5354 333 -4.101742e-01
[15615,] 5354 619 -4.101742e-01
[15616,] 5354 5354 8.203485e-01
[15617,] 5355 333 -4.101742e-01
[15618,] 5355 619 -4.101742e-01
[15619,] 5355 5355 8.203485e-01
[15620,] 5356 333 -4.101742e-01
[15621,] 5356 619 -4.101742e-01
[15622,] 5356 5356 8.203485e-01
[15623,] 5357 333 -4.101742e-01
[15624,] 5357 619 -4.101742e-01
[15625,] 5357 5357 8.203485e-01
[15626,] 5358 333 -4.101742e-01
[15627,] 5358 619 -4.101742e-01
[15628,] 5358 5358 8.203485e-01
[15629,] 5359 333 -4.101742e-01
[15630,] 5359 619 -4.101742e-01
[15631,] 5359 5359 8.203485e-01
[15632,] 5360 333 -4.101742e-01
[15633,] 5360 619 -4.101742e-01
[15634,] 5360 5360 8.203485e-01
[15635,] 5361 333 -4.101742e-01
[15636,] 5361 619 -4.101742e-01
[15637,] 5361 5361 8.203485e-01
[15638,] 5362 333 -4.101742e-01
[15639,] 5362 619 -4.101742e-01
[15640,] 5362 5362 8.203485e-01
[15641,] 5363 333 -4.101742e-01
[15642,] 5363 619 -4.101742e-01
[15643,] 5363 5363 8.203485e-01
[15644,] 5364 333 -4.101742e-01
[15645,] 5364 619 -4.101742e-01
[15646,] 5364 5364 8.203485e-01
[15647,] 5365 333 -4.101742e-01
[15648,] 5365 619 -4.101742e-01
[15649,] 5365 5365 8.203485e-01
[15650,] 5366 333 -4.101742e-01
[15651,] 5366 619 -4.101742e-01
[15652,] 5366 5366 8.203485e-01
[15653,] 5367 333 -4.101742e-01
[15654,] 5367 619 -4.101742e-01
[15655,] 5367 5367 8.203485e-01
[15656,] 5368 333 -4.101742e-01
[15657,] 5368 619 -4.101742e-01
[15658,] 5368 5368 8.203485e-01
[15659,] 5369 333 -4.101742e-01
[15660,] 5369 619 -4.101742e-01
[15661,] 5369 5369 8.203485e-01
[15662,] 5370 333 -4.049031e-01
[15663,] 5370 617 -4.049031e-01
[15664,] 5370 5370 8.098062e-01
[15665,] 5371 333 -4.049031e-01
[15666,] 5371 617 -4.049031e-01
[15667,] 5371 5371 8.098062e-01
[15668,] 5372 333 -4.049031e-01
[15669,] 5372 617 -4.049031e-01
[15670,] 5372 5372 8.098062e-01
[15671,] 5373 333 -4.049031e-01
[15672,] 5373 617 -4.049031e-01
[15673,] 5373 5373 8.098062e-01
[15674,] 5374 333 -4.049031e-01
[15675,] 5374 617 -4.049031e-01
[15676,] 5374 5374 8.098062e-01
[15677,] 5375 333 -4.049031e-01
[15678,] 5375 617 -4.049031e-01
[15679,] 5375 5375 8.098062e-01
[15680,] 5376 333 -4.049031e-01
[15681,] 5376 617 -4.049031e-01
[15682,] 5376 5376 8.098062e-01
[15683,] 5377 333 -4.049031e-01
[15684,] 5377 617 -4.049031e-01
[15685,] 5377 5377 8.098062e-01
[15686,] 5378 333 -4.049031e-01
[15687,] 5378 617 -4.049031e-01
[15688,] 5378 5378 8.098062e-01
[15689,] 5379 333 -4.049031e-01
[15690,] 5379 617 -4.049031e-01
[15691,] 5379 5379 8.098062e-01
[15692,] 5380 333 -4.049031e-01
[15693,] 5380 617 -4.049031e-01
[15694,] 5380 5380 8.098062e-01
[15695,] 5381 333 -4.049031e-01
[15696,] 5381 617 -4.049031e-01
[15697,] 5381 5381 8.098062e-01
[15698,] 5382 333 -4.049031e-01
[15699,] 5382 617 -4.049031e-01
[15700,] 5382 5382 8.098062e-01
[15701,] 5383 333 -4.049031e-01
[15702,] 5383 617 -4.049031e-01
[15703,] 5383 5383 8.098062e-01
[15704,] 5384 333 -4.049031e-01
[15705,] 5384 617 -4.049031e-01
[15706,] 5384 5384 8.098062e-01
[15707,] 5385 333 -4.049031e-01
[15708,] 5385 617 -4.049031e-01
[15709,] 5385 5385 8.098062e-01
[15710,] 5386 333 -4.049031e-01
[15711,] 5386 617 -4.049031e-01
[15712,] 5386 5386 8.098062e-01
[15713,] 5387 333 -4.049031e-01
[15714,] 5387 617 -4.049031e-01
[15715,] 5387 5387 8.098062e-01
[15716,] 5388 333 -4.049031e-01
[15717,] 5388 617 -4.049031e-01
[15718,] 5388 5388 8.098062e-01
[15719,] 5389 333 -4.049031e-01
[15720,] 5389 617 -4.049031e-01
[15721,] 5389 5389 8.098062e-01
[15722,] 5390 333 -4.049031e-01
[15723,] 5390 617 -4.049031e-01
[15724,] 5390 5390 8.098062e-01
[15725,] 5391 333 -4.049031e-01
[15726,] 5391 617 -4.049031e-01
[15727,] 5391 5391 8.098062e-01
[15728,] 5392 333 -4.049031e-01
[15729,] 5392 617 -4.049031e-01
[15730,] 5392 5392 8.098062e-01
[15731,] 5393 333 -4.049031e-01
[15732,] 5393 617 -4.049031e-01
[15733,] 5393 5393 8.098062e-01
[15734,] 5394 333 -4.049031e-01
[15735,] 5394 617 -4.049031e-01
[15736,] 5394 5394 8.098062e-01
[15737,] 5395 333 -4.096000e-01
[15738,] 5395 688 -4.096000e-01
[15739,] 5395 5395 8.192000e-01
[15740,] 5396 333 -4.096000e-01
[15741,] 5396 688 -4.096000e-01
[15742,] 5396 5396 8.192000e-01
[15743,] 5397 333 -4.096000e-01
[15744,] 5397 688 -4.096000e-01
[15745,] 5397 5397 8.192000e-01
[15746,] 5398 333 -4.096000e-01
[15747,] 5398 688 -4.096000e-01
[15748,] 5398 5398 8.192000e-01
[15749,] 5399 333 -4.096000e-01
[15750,] 5399 688 -4.096000e-01
[15751,] 5399 5399 8.192000e-01
[15752,] 5400 333 -4.096000e-01
[15753,] 5400 688 -4.096000e-01
[15754,] 5400 5400 8.192000e-01
[15755,] 5401 333 -4.096000e-01
[15756,] 5401 688 -4.096000e-01
[15757,] 5401 5401 8.192000e-01
[15758,] 5402 333 -4.096000e-01
[15759,] 5402 688 -4.096000e-01
[15760,] 5402 5402 8.192000e-01
[15761,] 5403 333 -4.096000e-01
[15762,] 5403 688 -4.096000e-01
[15763,] 5403 5403 8.192000e-01
[15764,] 5404 333 -4.096000e-01
[15765,] 5404 688 -4.096000e-01
[15766,] 5404 5404 8.192000e-01
[15767,] 5405 333 -4.096000e-01
[15768,] 5405 688 -4.096000e-01
[15769,] 5405 5405 8.192000e-01
[15770,] 5406 333 -4.096000e-01
[15771,] 5406 688 -4.096000e-01
[15772,] 5406 5406 8.192000e-01
[15773,] 5407 333 -4.096000e-01
[15774,] 5407 688 -4.096000e-01
[15775,] 5407 5407 8.192000e-01
[15776,] 5408 333 -4.096000e-01
[15777,] 5408 688 -4.096000e-01
[15778,] 5408 5408 8.192000e-01
[15779,] 5409 333 -4.096000e-01
[15780,] 5409 688 -4.096000e-01
[15781,] 5409 5409 8.192000e-01
[15782,] 5410 333 -4.096000e-01
[15783,] 5410 688 -4.096000e-01
[15784,] 5410 5410 8.192000e-01
[15785,] 5411 333 -4.096000e-01
[15786,] 5411 688 -4.096000e-01
[15787,] 5411 5411 8.192000e-01
[15788,] 5412 335 -4.050633e-01
[15789,] 5412 651 -4.050633e-01
[15790,] 5412 5412 8.101266e-01
[15791,] 5413 335 -4.050633e-01
[15792,] 5413 651 -4.050633e-01
[15793,] 5413 5413 8.101266e-01
[15794,] 5414 335 -4.050633e-01
[15795,] 5414 651 -4.050633e-01
[15796,] 5414 5414 8.101266e-01
[15797,] 5415 335 -4.050633e-01
[15798,] 5415 651 -4.050633e-01
[15799,] 5415 5415 8.101266e-01
[15800,] 5416 335 -4.050633e-01
[15801,] 5416 651 -4.050633e-01
[15802,] 5416 5416 8.101266e-01
[15803,] 5417 335 -4.050633e-01
[15804,] 5417 651 -4.050633e-01
[15805,] 5417 5417 8.101266e-01
[15806,] 5418 335 -4.102153e-01
[15807,] 5418 615 -4.102153e-01
[15808,] 5418 5418 8.204306e-01
[15809,] 5419 335 -4.102153e-01
[15810,] 5419 615 -4.102153e-01
[15811,] 5419 5419 8.204306e-01
[15812,] 5420 335 -4.102153e-01
[15813,] 5420 615 -4.102153e-01
[15814,] 5420 5420 8.204306e-01
[15815,] 5421 335 -4.102153e-01
[15816,] 5421 615 -4.102153e-01
[15817,] 5421 5421 8.204306e-01
[15818,] 5422 335 -4.102153e-01
[15819,] 5422 615 -4.102153e-01
[15820,] 5422 5422 8.204306e-01
[15821,] 5423 335 -4.102153e-01
[15822,] 5423 615 -4.102153e-01
[15823,] 5423 5423 8.204306e-01
[15824,] 5424 335 -4.102153e-01
[15825,] 5424 615 -4.102153e-01
[15826,] 5424 5424 8.204306e-01
[15827,] 5425 335 -4.102153e-01
[15828,] 5425 615 -4.102153e-01
[15829,] 5425 5425 8.204306e-01
[15830,] 5426 335 -4.102153e-01
[15831,] 5426 615 -4.102153e-01
[15832,] 5426 5426 8.204306e-01
[15833,] 5427 335 -4.102153e-01
[15834,] 5427 615 -4.102153e-01
[15835,] 5427 5427 8.204306e-01
[15836,] 5428 335 -4.102153e-01
[15837,] 5428 615 -4.102153e-01
[15838,] 5428 5428 8.204306e-01
[15839,] 5429 335 -4.102153e-01
[15840,] 5429 615 -4.102153e-01
[15841,] 5429 5429 8.204306e-01
[15842,] 5430 335 -4.102153e-01
[15843,] 5430 615 -4.102153e-01
[15844,] 5430 5430 8.204306e-01
[15845,] 5431 335 -4.102153e-01
[15846,] 5431 615 -4.102153e-01
[15847,] 5431 5431 8.204306e-01
[15848,] 5432 617 -6.526580e-01
[15849,] 5432 4386 -6.526580e-01
[15850,] 5432 5432 1.305316e+00
[15851,] 5433 617 -6.526580e-01
[15852,] 5433 4386 -6.526580e-01
[15853,] 5433 5433 1.305316e+00
[15854,] 5434 615 -6.806283e-01
[15855,] 5434 4388 -6.806283e-01
[15856,] 5434 5434 1.361257e+00
[15857,] 5435 615 -6.806283e-01
[15858,] 5435 4388 -6.806283e-01
[15859,] 5435 5435 1.361257e+00
[15860,] 5436 615 -6.806283e-01
[15861,] 5436 4388 -6.806283e-01
[15862,] 5436 5436 1.361257e+00
[15863,] 5437 615 -6.806283e-01
[15864,] 5437 4388 -6.806283e-01
[15865,] 5437 5437 1.361257e+00
[15866,] 5438 615 -6.806283e-01
[15867,] 5438 4388 -6.806283e-01
[15868,] 5438 5438 1.361257e+00
[15869,] 5439 615 -6.806283e-01
[15870,] 5439 4388 -6.806283e-01
[15871,] 5439 5439 1.361257e+00
[15872,] 5440 615 -6.806283e-01
[15873,] 5440 4388 -6.806283e-01
[15874,] 5440 5440 1.361257e+00
[15875,] 5441 615 -6.806283e-01
[15876,] 5441 4388 -6.806283e-01
[15877,] 5441 5441 1.361257e+00
[15878,] 5442 615 -6.806283e-01
[15879,] 5442 4388 -6.806283e-01
[15880,] 5442 5442 1.361257e+00
[15881,] 5443 615 -6.806283e-01
[15882,] 5443 4388 -6.806283e-01
[15883,] 5443 5443 1.361257e+00
[15884,] 5444 615 -6.806283e-01
[15885,] 5444 4388 -6.806283e-01
[15886,] 5444 5444 1.361257e+00
[15887,] 5445 615 -6.806283e-01
[15888,] 5445 4388 -6.806283e-01
[15889,] 5445 5445 1.361257e+00
[15890,] 5446 615 -6.806283e-01
[15891,] 5446 4388 -6.806283e-01
[15892,] 5446 5446 1.361257e+00
[15893,] 5447 615 -6.806283e-01
[15894,] 5447 4388 -6.806283e-01
[15895,] 5447 5447 1.361257e+00
[15896,] 5448 615 -6.806283e-01
[15897,] 5448 4388 -6.806283e-01
[15898,] 5448 5448 1.361257e+00
[15899,] 5449 615 -6.806283e-01
[15900,] 5449 4388 -6.806283e-01
[15901,] 5449 5449 1.361257e+00
[15902,] 5450 615 -6.806283e-01
[15903,] 5450 4388 -6.806283e-01
[15904,] 5450 5450 1.361257e+00
[15905,] 5451 615 -6.806283e-01
[15906,] 5451 4388 -6.806283e-01
[15907,] 5451 5451 1.361257e+00
[15908,] 5452 615 -6.806283e-01
[15909,] 5452 4388 -6.806283e-01
[15910,] 5452 5452 1.361257e+00
[15911,] 5453 615 -6.806283e-01
[15912,] 5453 4388 -6.806283e-01
[15913,] 5453 5453 1.361257e+00
[15914,] 5454 615 -6.806283e-01
[15915,] 5454 4388 -6.806283e-01
[15916,] 5454 5454 1.361257e+00
[15917,] 5455 615 -6.806283e-01
[15918,] 5455 4388 -6.806283e-01
[15919,] 5455 5455 1.361257e+00
[15920,] 5456 615 -6.806283e-01
[15921,] 5456 4388 -6.806283e-01
[15922,] 5456 5456 1.361257e+00
[15923,] 5457 615 -6.806283e-01
[15924,] 5457 4388 -6.806283e-01
[15925,] 5457 5457 1.361257e+00
[15926,] 5458 615 -6.806283e-01
[15927,] 5458 4388 -6.806283e-01
[15928,] 5458 5458 1.361257e+00
[15929,] 5459 615 -6.806283e-01
[15930,] 5459 4388 -6.806283e-01
[15931,] 5459 5459 1.361257e+00
[15932,] 5460 615 -6.806283e-01
[15933,] 5460 4388 -6.806283e-01
[15934,] 5460 5460 1.361257e+00
[15935,] 5461 615 -6.806283e-01
[15936,] 5461 4388 -6.806283e-01
[15937,] 5461 5461 1.361257e+00
[15938,] 5462 615 -6.806283e-01
[15939,] 5462 4388 -6.806283e-01
[15940,] 5462 5462 1.361257e+00
[15941,] 5463 615 -6.806283e-01
[15942,] 5463 4388 -6.806283e-01
[15943,] 5463 5463 1.361257e+00
[15944,] 5464 615 -6.806283e-01
[15945,] 5464 4388 -6.806283e-01
[15946,] 5464 5464 1.361257e+00
[15947,] 5465 615 -6.806283e-01
[15948,] 5465 4388 -6.806283e-01
[15949,] 5465 5465 1.361257e+00
[15950,] 5466 615 -6.806283e-01
[15951,] 5466 4388 -6.806283e-01
[15952,] 5466 5466 1.361257e+00
[15953,] 5467 615 -6.806283e-01
[15954,] 5467 4388 -6.806283e-01
[15955,] 5467 5467 1.361257e+00
[15956,] 5468 615 -6.806283e-01
[15957,] 5468 4388 -6.806283e-01
[15958,] 5468 5468 1.361257e+00
[15959,] 5469 615 -6.806283e-01
[15960,] 5469 4388 -6.806283e-01
[15961,] 5469 5469 1.361257e+00
[15962,] 5470 615 -6.806283e-01
[15963,] 5470 4388 -6.806283e-01
[15964,] 5470 5470 1.361257e+00
[15965,] 5471 615 -6.806283e-01
[15966,] 5471 4388 -6.806283e-01
[15967,] 5471 5471 1.361257e+00
[15968,] 5472 615 -6.806283e-01
[15969,] 5472 4388 -6.806283e-01
[15970,] 5472 5472 1.361257e+00
[15971,] 5473 615 -6.806283e-01
[15972,] 5473 4388 -6.806283e-01
[15973,] 5473 5473 1.361257e+00
[15974,] 5474 615 -6.806283e-01
[15975,] 5474 4388 -6.806283e-01
[15976,] 5474 5474 1.361257e+00
[15977,] 5475 615 -6.806283e-01
[15978,] 5475 4388 -6.806283e-01
[15979,] 5475 5475 1.361257e+00
[15980,] 5476 615 -6.806283e-01
[15981,] 5476 4388 -6.806283e-01
[15982,] 5476 5476 1.361257e+00
[15983,] 5477 615 -6.806283e-01
[15984,] 5477 4388 -6.806283e-01
[15985,] 5477 5477 1.361257e+00
[15986,] 5478 615 -6.806283e-01
[15987,] 5478 4388 -6.806283e-01
[15988,] 5478 5478 1.361257e+00
[15989,] 5479 615 -6.806283e-01
[15990,] 5479 4388 -6.806283e-01
[15991,] 5479 5479 1.361257e+00
[15992,] 5480 615 -6.806283e-01
[15993,] 5480 4388 -6.806283e-01
[15994,] 5480 5480 1.361257e+00
[15995,] 5481 615 -6.806283e-01
[15996,] 5481 4388 -6.806283e-01
[15997,] 5481 5481 1.361257e+00
[15998,] 5482 615 -6.806283e-01
[15999,] 5482 4388 -6.806283e-01
[16000,] 5482 5482 1.361257e+00
[16001,] 5483 615 -6.806283e-01
[16002,] 5483 4388 -6.806283e-01
[16003,] 5483 5483 1.361257e+00
[16004,] 5484 615 -6.806283e-01
[16005,] 5484 4388 -6.806283e-01
[16006,] 5484 5484 1.361257e+00
[16007,] 5485 615 -6.806283e-01
[16008,] 5485 4388 -6.806283e-01
[16009,] 5485 5485 1.361257e+00
[16010,] 5486 615 -6.806283e-01
[16011,] 5486 4388 -6.806283e-01
[16012,] 5486 5486 1.361257e+00
[16013,] 5487 615 -6.806283e-01
[16014,] 5487 4388 -6.806283e-01
[16015,] 5487 5487 1.361257e+00
[16016,] 5488 615 -6.806283e-01
[16017,] 5488 4388 -6.806283e-01
[16018,] 5488 5488 1.361257e+00
[16019,] 5489 615 -6.806283e-01
[16020,] 5489 4388 -6.806283e-01
[16021,] 5489 5489 1.361257e+00
[16022,] 5490 615 -6.806283e-01
[16023,] 5490 4388 -6.806283e-01
[16024,] 5490 5490 1.361257e+00
[16025,] 5491 615 -6.806283e-01
[16026,] 5491 4388 -6.806283e-01
[16027,] 5491 5491 1.361257e+00
[16028,] 5492 615 -6.806283e-01
[16029,] 5492 4388 -6.806283e-01
[16030,] 5492 5492 1.361257e+00
[16031,] 5493 615 -6.806283e-01
[16032,] 5493 4388 -6.806283e-01
[16033,] 5493 5493 1.361257e+00
[16034,] 5494 615 -6.806283e-01
[16035,] 5494 4388 -6.806283e-01
[16036,] 5494 5494 1.361257e+00
[16037,] 5495 615 -6.806283e-01
[16038,] 5495 4388 -6.806283e-01
[16039,] 5495 5495 1.361257e+00
[16040,] 5496 615 -6.806283e-01
[16041,] 5496 4388 -6.806283e-01
[16042,] 5496 5496 1.361257e+00
[16043,] 5497 615 -6.806283e-01
[16044,] 5497 4388 -6.806283e-01
[16045,] 5497 5497 1.361257e+00
[16046,] 5498 615 -6.806283e-01
[16047,] 5498 4388 -6.806283e-01
[16048,] 5498 5498 1.361257e+00
[16049,] 5499 619 -6.804057e-01
[16050,] 5499 4389 -6.804057e-01
[16051,] 5499 5499 1.360811e+00
[16052,] 5500 619 -6.804057e-01
[16053,] 5500 4389 -6.804057e-01
[16054,] 5500 5500 1.360811e+00
[16055,] 5501 619 -6.804057e-01
[16056,] 5501 4389 -6.804057e-01
[16057,] 5501 5501 1.360811e+00
[16058,] 5502 619 -6.804057e-01
[16059,] 5502 4389 -6.804057e-01
[16060,] 5502 5502 1.360811e+00
[16061,] 5503 619 -6.804057e-01
[16062,] 5503 4389 -6.804057e-01
[16063,] 5503 5503 1.360811e+00
[16064,] 5504 619 -6.804057e-01
[16065,] 5504 4389 -6.804057e-01
[16066,] 5504 5504 1.360811e+00
[16067,] 5505 619 -6.804057e-01
[16068,] 5505 4389 -6.804057e-01
[16069,] 5505 5505 1.360811e+00
[16070,] 5506 619 -6.804057e-01
[16071,] 5506 4389 -6.804057e-01
[16072,] 5506 5506 1.360811e+00
[16073,] 5507 619 -6.804057e-01
[16074,] 5507 4389 -6.804057e-01
[16075,] 5507 5507 1.360811e+00
[16076,] 5508 619 -6.804057e-01
[16077,] 5508 4389 -6.804057e-01
[16078,] 5508 5508 1.360811e+00
[16079,] 5509 619 -6.804057e-01
[16080,] 5509 4389 -6.804057e-01
[16081,] 5509 5509 1.360811e+00
[16082,] 5510 619 -6.804057e-01
[16083,] 5510 4389 -6.804057e-01
[16084,] 5510 5510 1.360811e+00
[16085,] 5511 619 -6.804057e-01
[16086,] 5511 4389 -6.804057e-01
[16087,] 5511 5511 1.360811e+00
[16088,] 5512 619 -6.804057e-01
[16089,] 5512 4389 -6.804057e-01
[16090,] 5512 5512 1.360811e+00
[16091,] 5513 619 -6.804057e-01
[16092,] 5513 4389 -6.804057e-01
[16093,] 5513 5513 1.360811e+00
[16094,] 5514 619 -6.804057e-01
[16095,] 5514 4389 -6.804057e-01
[16096,] 5514 5514 1.360811e+00
[16097,] 5515 619 -6.804057e-01
[16098,] 5515 4389 -6.804057e-01
[16099,] 5515 5515 1.360811e+00
[16100,] 5516 619 -6.804057e-01
[16101,] 5516 4389 -6.804057e-01
[16102,] 5516 5516 1.360811e+00
[16103,] 5517 619 -6.804057e-01
[16104,] 5517 4389 -6.804057e-01
[16105,] 5517 5517 1.360811e+00
[16106,] 5518 619 -6.804057e-01
[16107,] 5518 4389 -6.804057e-01
[16108,] 5518 5518 1.360811e+00
[16109,] 5519 619 -6.804057e-01
[16110,] 5519 4389 -6.804057e-01
[16111,] 5519 5519 1.360811e+00
[16112,] 5520 619 -6.804057e-01
[16113,] 5520 4389 -6.804057e-01
[16114,] 5520 5520 1.360811e+00
[16115,] 5521 619 -6.804057e-01
[16116,] 5521 4389 -6.804057e-01
[16117,] 5521 5521 1.360811e+00
[16118,] 5522 619 -6.804057e-01
[16119,] 5522 4389 -6.804057e-01
[16120,] 5522 5522 1.360811e+00
[16121,] 5523 619 -6.804057e-01
[16122,] 5523 4389 -6.804057e-01
[16123,] 5523 5523 1.360811e+00
[16124,] 5524 619 -6.804057e-01
[16125,] 5524 4389 -6.804057e-01
[16126,] 5524 5524 1.360811e+00
[16127,] 5525 619 -6.804057e-01
[16128,] 5525 4389 -6.804057e-01
[16129,] 5525 5525 1.360811e+00
[16130,] 5526 619 -6.804057e-01
[16131,] 5526 4389 -6.804057e-01
[16132,] 5526 5526 1.360811e+00
[16133,] 5527 619 -6.804057e-01
[16134,] 5527 4389 -6.804057e-01
[16135,] 5527 5527 1.360811e+00
[16136,] 5528 688 -4.096000e-01
[16137,] 5528 4389 -4.096000e-01
[16138,] 5528 5528 8.192000e-01
[16139,] 5529 688 -4.096000e-01
[16140,] 5529 4389 -4.096000e-01
[16141,] 5529 5529 8.192000e-01
[16142,] 5530 688 -4.096000e-01
[16143,] 5530 4389 -4.096000e-01
[16144,] 5530 5530 8.192000e-01
[16145,] 5531 688 -4.096000e-01
[16146,] 5531 4389 -4.096000e-01
[16147,] 5531 5531 8.192000e-01
[16148,] 5532 688 -4.096000e-01
[16149,] 5532 4389 -4.096000e-01
[16150,] 5532 5532 8.192000e-01
[16151,] 5533 688 -4.096000e-01
[16152,] 5533 4389 -4.096000e-01
[16153,] 5533 5533 8.192000e-01
[16154,] 5534 688 -4.096000e-01
[16155,] 5534 4389 -4.096000e-01
[16156,] 5534 5534 8.192000e-01
[16157,] 5535 688 -4.096000e-01
[16158,] 5535 4389 -4.096000e-01
[16159,] 5535 5535 8.192000e-01
[16160,] 5536 688 -4.096000e-01
[16161,] 5536 4389 -4.096000e-01
[16162,] 5536 5536 8.192000e-01
[16163,] 5537 688 -4.096000e-01
[16164,] 5537 4389 -4.096000e-01
[16165,] 5537 5537 8.192000e-01
[16166,] 5538 688 -4.096000e-01
[16167,] 5538 4389 -4.096000e-01
[16168,] 5538 5538 8.192000e-01
[16169,] 5539 617 -4.049031e-01
[16170,] 5539 4392 -4.049031e-01
[16171,] 5539 5539 8.098062e-01
[16172,] 5540 617 -4.049031e-01
[16173,] 5540 4392 -4.049031e-01
[16174,] 5540 5540 8.098062e-01
[16175,] 5541 617 -4.049031e-01
[16176,] 5541 4392 -4.049031e-01
[16177,] 5541 5541 8.098062e-01
[16178,] 5542 617 -4.049031e-01
[16179,] 5542 4392 -4.049031e-01
[16180,] 5542 5542 8.098062e-01
[16181,] 5543 617 -4.049031e-01
[16182,] 5543 4392 -4.049031e-01
[16183,] 5543 5543 8.098062e-01
[16184,] 5544 617 -4.049031e-01
[16185,] 5544 4392 -4.049031e-01
[16186,] 5544 5544 8.098062e-01
[16187,] 5545 617 -4.049031e-01
[16188,] 5545 4392 -4.049031e-01
[16189,] 5545 5545 8.098062e-01
[16190,] 5546 617 -4.049031e-01
[16191,] 5546 4392 -4.049031e-01
[16192,] 5546 5546 8.098062e-01
[16193,] 5547 617 -4.049031e-01
[16194,] 5547 4392 -4.049031e-01
[16195,] 5547 5547 8.098062e-01
[16196,] 5548 617 -4.049031e-01
[16197,] 5548 4392 -4.049031e-01
[16198,] 5548 5548 8.098062e-01
[16199,] 5549 617 -4.049031e-01
[16200,] 5549 4392 -4.049031e-01
[16201,] 5549 5549 8.098062e-01
[16202,] 5550 617 -4.049031e-01
[16203,] 5550 4392 -4.049031e-01
[16204,] 5550 5550 8.098062e-01
[16205,] 5551 617 -4.049031e-01
[16206,] 5551 4392 -4.049031e-01
[16207,] 5551 5551 8.098062e-01
[16208,] 5552 617 -4.049031e-01
[16209,] 5552 4392 -4.049031e-01
[16210,] 5552 5552 8.098062e-01
[16211,] 5553 617 -4.049031e-01
[16212,] 5553 4392 -4.049031e-01
[16213,] 5553 5553 8.098062e-01
[16214,] 5554 617 -4.049031e-01
[16215,] 5554 4392 -4.049031e-01
[16216,] 5554 5554 8.098062e-01
[16217,] 5555 617 -4.049031e-01
[16218,] 5555 4392 -4.049031e-01
[16219,] 5555 5555 8.098062e-01
[16220,] 5556 617 -4.049031e-01
[16221,] 5556 4392 -4.049031e-01
[16222,] 5556 5556 8.098062e-01
[16223,] 5557 617 -4.049031e-01
[16224,] 5557 4392 -4.049031e-01
[16225,] 5557 5557 8.098062e-01
[16226,] 5558 617 -4.049031e-01
[16227,] 5558 4392 -4.049031e-01
[16228,] 5558 5558 8.098062e-01
[16229,] 5559 617 -4.049031e-01
[16230,] 5559 4392 -4.049031e-01
[16231,] 5559 5559 8.098062e-01
[16232,] 5560 617 -4.049031e-01
[16233,] 5560 4392 -4.049031e-01
[16234,] 5560 5560 8.098062e-01
[16235,] 5561 617 -4.049031e-01
[16236,] 5561 4392 -4.049031e-01
[16237,] 5561 5561 8.098062e-01
[16238,] 5562 617 -4.049031e-01
[16239,] 5562 4392 -4.049031e-01
[16240,] 5562 5562 8.098062e-01
[16241,] 5563 617 -4.049031e-01
[16242,] 5563 4392 -4.049031e-01
[16243,] 5563 5563 8.098062e-01
[16244,] 5564 617 -4.049031e-01
[16245,] 5564 4392 -4.049031e-01
[16246,] 5564 5564 8.098062e-01
[16247,] 5565 617 -4.049031e-01
[16248,] 5565 4392 -4.049031e-01
[16249,] 5565 5565 8.098062e-01
[16250,] 5566 617 -4.049031e-01
[16251,] 5566 4392 -4.049031e-01
[16252,] 5566 5566 8.098062e-01
[16253,] 5567 617 -4.049031e-01
[16254,] 5567 4392 -4.049031e-01
[16255,] 5567 5567 8.098062e-01
[16256,] 5568 617 -4.049031e-01
[16257,] 5568 4392 -4.049031e-01
[16258,] 5568 5568 8.098062e-01
[16259,] 5569 617 -4.049031e-01
[16260,] 5569 4392 -4.049031e-01
[16261,] 5569 5569 8.098062e-01
[16262,] 5570 617 -4.049031e-01
[16263,] 5570 4392 -4.049031e-01
[16264,] 5570 5570 8.098062e-01
[16265,] 5571 617 -4.049031e-01
[16266,] 5571 4392 -4.049031e-01
[16267,] 5571 5571 8.098062e-01
[16268,] 5572 617 -4.049031e-01
[16269,] 5572 4392 -4.049031e-01
[16270,] 5572 5572 8.098062e-01
[16271,] 5573 617 -4.049031e-01
[16272,] 5573 4392 -4.049031e-01
[16273,] 5573 5573 8.098062e-01
[16274,] 5574 617 -4.049031e-01
[16275,] 5574 4392 -4.049031e-01
[16276,] 5574 5574 8.098062e-01
[16277,] 5575 617 -4.049031e-01
[16278,] 5575 4392 -4.049031e-01
[16279,] 5575 5575 8.098062e-01
[16280,] 5576 617 -4.049031e-01
[16281,] 5576 4392 -4.049031e-01
[16282,] 5576 5576 8.098062e-01
[16283,] 5577 617 -4.049031e-01
[16284,] 5577 4392 -4.049031e-01
[16285,] 5577 5577 8.098062e-01
[16286,] 5578 617 -4.049031e-01
[16287,] 5578 4392 -4.049031e-01
[16288,] 5578 5578 8.098062e-01
[16289,] 5579 617 -4.049031e-01
[16290,] 5579 4392 -4.049031e-01
[16291,] 5579 5579 8.098062e-01
[16292,] 5580 617 -4.049031e-01
[16293,] 5580 4392 -4.049031e-01
[16294,] 5580 5580 8.098062e-01
[16295,] 5581 617 -4.049031e-01
[16296,] 5581 4392 -4.049031e-01
[16297,] 5581 5581 8.098062e-01
[16298,] 5582 617 -4.049031e-01
[16299,] 5582 4392 -4.049031e-01
[16300,] 5582 5582 8.098062e-01
[16301,] 5583 617 -4.049031e-01
[16302,] 5583 4392 -4.049031e-01
[16303,] 5583 5583 8.098062e-01
[16304,] 5584 617 -4.049031e-01
[16305,] 5584 4392 -4.049031e-01
[16306,] 5584 5584 8.098062e-01
[16307,] 5585 617 -4.049031e-01
[16308,] 5585 4392 -4.049031e-01
[16309,] 5585 5585 8.098062e-01
[16310,] 5586 617 -4.049031e-01
[16311,] 5586 4392 -4.049031e-01
[16312,] 5586 5586 8.098062e-01
[16313,] 5587 617 -4.049031e-01
[16314,] 5587 4392 -4.049031e-01
[16315,] 5587 5587 8.098062e-01
[16316,] 5588 617 -4.049031e-01
[16317,] 5588 4392 -4.049031e-01
[16318,] 5588 5588 8.098062e-01
[16319,] 5589 617 -4.049031e-01
[16320,] 5589 4392 -4.049031e-01
[16321,] 5589 5589 8.098062e-01
[16322,] 5590 617 -4.049031e-01
[16323,] 5590 4392 -4.049031e-01
[16324,] 5590 5590 8.098062e-01
[16325,] 5591 617 -4.049031e-01
[16326,] 5591 4392 -4.049031e-01
[16327,] 5591 5591 8.098062e-01
[16328,] 5592 617 -4.049031e-01
[16329,] 5592 4392 -4.049031e-01
[16330,] 5592 5592 8.098062e-01
[16331,] 5593 617 -4.049031e-01
[16332,] 5593 4392 -4.049031e-01
[16333,] 5593 5593 8.098062e-01
[16334,] 5594 617 -4.049031e-01
[16335,] 5594 4392 -4.049031e-01
[16336,] 5594 5594 8.098062e-01
[16337,] 5595 617 -4.049031e-01
[16338,] 5595 4392 -4.049031e-01
[16339,] 5595 5595 8.098062e-01
[16340,] 5596 617 -4.049031e-01
[16341,] 5596 4392 -4.049031e-01
[16342,] 5596 5596 8.098062e-01
[16343,] 5597 617 -4.049031e-01
[16344,] 5597 4392 -4.049031e-01
[16345,] 5597 5597 8.098062e-01
[16346,] 5598 617 -4.049031e-01
[16347,] 5598 4392 -4.049031e-01
[16348,] 5598 5598 8.098062e-01
[16349,] 5599 617 -4.049031e-01
[16350,] 5599 4392 -4.049031e-01
[16351,] 5599 5599 8.098062e-01
[16352,] 5600 617 -4.049031e-01
[16353,] 5600 4392 -4.049031e-01
[16354,] 5600 5600 8.098062e-01
[16355,] 5601 617 -4.049031e-01
[16356,] 5601 4392 -4.049031e-01
[16357,] 5601 5601 8.098062e-01
[16358,] 5602 617 -4.049031e-01
[16359,] 5602 4392 -4.049031e-01
[16360,] 5602 5602 8.098062e-01
[16361,] 5603 617 -4.049031e-01
[16362,] 5603 4392 -4.049031e-01
[16363,] 5603 5603 8.098062e-01
[16364,] 5604 617 -4.049031e-01
[16365,] 5604 4392 -4.049031e-01
[16366,] 5604 5604 8.098062e-01
[16367,] 5605 617 -4.049031e-01
[16368,] 5605 4392 -4.049031e-01
[16369,] 5605 5605 8.098062e-01
[16370,] 5606 617 -4.049031e-01
[16371,] 5606 4392 -4.049031e-01
[16372,] 5606 5606 8.098062e-01
[16373,] 5607 617 -4.049031e-01
[16374,] 5607 4392 -4.049031e-01
[16375,] 5607 5607 8.098062e-01
[16376,] 5608 617 -4.049031e-01
[16377,] 5608 4392 -4.049031e-01
[16378,] 5608 5608 8.098062e-01
[16379,] 5609 617 -4.049031e-01
[16380,] 5609 4392 -4.049031e-01
[16381,] 5609 5609 8.098062e-01
[16382,] 5610 617 -4.049031e-01
[16383,] 5610 4392 -4.049031e-01
[16384,] 5610 5610 8.098062e-01
[16385,] 5611 617 -4.049031e-01
[16386,] 5611 4392 -4.049031e-01
[16387,] 5611 5611 8.098062e-01
[16388,] 5612 617 -4.049031e-01
[16389,] 5612 4392 -4.049031e-01
[16390,] 5612 5612 8.098062e-01
[16391,] 5613 617 -4.049031e-01
[16392,] 5613 4392 -4.049031e-01
[16393,] 5613 5613 8.098062e-01
[16394,] 5614 617 -4.049031e-01
[16395,] 5614 4392 -4.049031e-01
[16396,] 5614 5614 8.098062e-01
[16397,] 5615 617 -4.049031e-01
[16398,] 5615 4392 -4.049031e-01
[16399,] 5615 5615 8.098062e-01
[16400,] 5616 617 -4.049031e-01
[16401,] 5616 4392 -4.049031e-01
[16402,] 5616 5616 8.098062e-01
[16403,] 5617 617 -4.049031e-01
[16404,] 5617 4392 -4.049031e-01
[16405,] 5617 5617 8.098062e-01
[16406,] 5618 617 -4.049031e-01
[16407,] 5618 4392 -4.049031e-01
[16408,] 5618 5618 8.098062e-01
[16409,] 5619 617 -4.049031e-01
[16410,] 5619 4392 -4.049031e-01
[16411,] 5619 5619 8.098062e-01
[16412,] 5620 617 -4.049031e-01
[16413,] 5620 4392 -4.049031e-01
[16414,] 5620 5620 8.098062e-01
[16415,] 5621 617 -4.049031e-01
[16416,] 5621 4392 -4.049031e-01
[16417,] 5621 5621 8.098062e-01
[16418,] 5622 617 -4.049031e-01
[16419,] 5622 4392 -4.049031e-01
[16420,] 5622 5622 8.098062e-01
[16421,] 5623 617 -4.049031e-01
[16422,] 5623 4392 -4.049031e-01
[16423,] 5623 5623 8.098062e-01
[16424,] 5624 617 -4.049031e-01
[16425,] 5624 4392 -4.049031e-01
[16426,] 5624 5624 8.098062e-01
[16427,] 5625 617 -4.049031e-01
[16428,] 5625 4392 -4.049031e-01
[16429,] 5625 5625 8.098062e-01
[16430,] 5626 617 -4.049031e-01
[16431,] 5626 4392 -4.049031e-01
[16432,] 5626 5626 8.098062e-01
[16433,] 5627 617 -4.049031e-01
[16434,] 5627 4392 -4.049031e-01
[16435,] 5627 5627 8.098062e-01
[16436,] 5628 617 -4.049031e-01
[16437,] 5628 4392 -4.049031e-01
[16438,] 5628 5628 8.098062e-01
[16439,] 5629 617 -4.049031e-01
[16440,] 5629 4392 -4.049031e-01
[16441,] 5629 5629 8.098062e-01
[16442,] 5630 617 -4.049031e-01
[16443,] 5630 4392 -4.049031e-01
[16444,] 5630 5630 8.098062e-01
[16445,] 5631 617 -4.049031e-01
[16446,] 5631 4392 -4.049031e-01
[16447,] 5631 5631 8.098062e-01
[16448,] 5632 617 -4.049031e-01
[16449,] 5632 4392 -4.049031e-01
[16450,] 5632 5632 8.098062e-01
[16451,] 5633 617 -4.049031e-01
[16452,] 5633 4392 -4.049031e-01
[16453,] 5633 5633 8.098062e-01
[16454,] 5634 617 -4.049031e-01
[16455,] 5634 4392 -4.049031e-01
[16456,] 5634 5634 8.098062e-01
[16457,] 5635 617 -4.049031e-01
[16458,] 5635 4392 -4.049031e-01
[16459,] 5635 5635 8.098062e-01
[16460,] 5636 617 -4.049031e-01
[16461,] 5636 4392 -4.049031e-01
[16462,] 5636 5636 8.098062e-01
[16463,] 5637 617 -4.049031e-01
[16464,] 5637 4392 -4.049031e-01
[16465,] 5637 5637 8.098062e-01
[16466,] 5638 617 -4.049031e-01
[16467,] 5638 4392 -4.049031e-01
[16468,] 5638 5638 8.098062e-01
[16469,] 5639 617 -4.049031e-01
[16470,] 5639 4392 -4.049031e-01
[16471,] 5639 5639 8.098062e-01
[16472,] 5640 617 -4.049031e-01
[16473,] 5640 4392 -4.049031e-01
[16474,] 5640 5640 8.098062e-01
[16475,] 5641 617 -4.049031e-01
[16476,] 5641 4392 -4.049031e-01
[16477,] 5641 5641 8.098062e-01
[16478,] 5642 617 -4.049031e-01
[16479,] 5642 4392 -4.049031e-01
[16480,] 5642 5642 8.098062e-01
[16481,] 5643 617 -4.049031e-01
[16482,] 5643 4392 -4.049031e-01
[16483,] 5643 5643 8.098062e-01
[16484,] 5644 617 -4.049031e-01
[16485,] 5644 4392 -4.049031e-01
[16486,] 5644 5644 8.098062e-01
[16487,] 5645 617 -4.049031e-01
[16488,] 5645 4392 -4.049031e-01
[16489,] 5645 5645 8.098062e-01
[16490,] 5646 617 -4.049031e-01
[16491,] 5646 4392 -4.049031e-01
[16492,] 5646 5646 8.098062e-01
[16493,] 5647 617 -4.049031e-01
[16494,] 5647 4392 -4.049031e-01
[16495,] 5647 5647 8.098062e-01
[16496,] 5648 617 -4.049031e-01
[16497,] 5648 4392 -4.049031e-01
[16498,] 5648 5648 8.098062e-01
[16499,] 5649 617 -4.049031e-01
[16500,] 5649 4392 -4.049031e-01
[16501,] 5649 5649 8.098062e-01
[16502,] 5650 617 -4.049031e-01
[16503,] 5650 4392 -4.049031e-01
[16504,] 5650 5650 8.098062e-01
[16505,] 5651 617 -4.049031e-01
[16506,] 5651 4392 -4.049031e-01
[16507,] 5651 5651 8.098062e-01
[16508,] 5652 614 -6.806283e-01
[16509,] 5652 4393 -6.806283e-01
[16510,] 5652 5652 1.361257e+00
[16511,] 5653 614 -6.806283e-01
[16512,] 5653 4393 -6.806283e-01
[16513,] 5653 5653 1.361257e+00
[16514,] 5654 614 -6.806283e-01
[16515,] 5654 4393 -6.806283e-01
[16516,] 5654 5654 1.361257e+00
[16517,] 5655 614 -6.806283e-01
[16518,] 5655 4393 -6.806283e-01
[16519,] 5655 5655 1.361257e+00
[16520,] 5656 614 -6.806283e-01
[16521,] 5656 4393 -6.806283e-01
[16522,] 5656 5656 1.361257e+00
[16523,] 5657 614 -6.806283e-01
[16524,] 5657 4393 -6.806283e-01
[16525,] 5657 5657 1.361257e+00
[16526,] 5658 614 -6.806283e-01
[16527,] 5658 4393 -6.806283e-01
[16528,] 5658 5658 1.361257e+00
[16529,] 5659 614 -6.806283e-01
[16530,] 5659 4393 -6.806283e-01
[16531,] 5659 5659 1.361257e+00
[16532,] 5660 614 -6.806283e-01
[16533,] 5660 4393 -6.806283e-01
[16534,] 5660 5660 1.361257e+00
[16535,] 5661 614 -6.806283e-01
[16536,] 5661 4393 -6.806283e-01
[16537,] 5661 5661 1.361257e+00
[16538,] 5662 614 -6.806283e-01
[16539,] 5662 4393 -6.806283e-01
[16540,] 5662 5662 1.361257e+00
[16541,] 5663 614 -6.806283e-01
[16542,] 5663 4393 -6.806283e-01
[16543,] 5663 5663 1.361257e+00
[16544,] 5664 614 -6.806283e-01
[16545,] 5664 4393 -6.806283e-01
[16546,] 5664 5664 1.361257e+00
[16547,] 5665 614 -6.806283e-01
[16548,] 5665 4393 -6.806283e-01
[16549,] 5665 5665 1.361257e+00
[16550,] 5666 614 -6.806283e-01
[16551,] 5666 4393 -6.806283e-01
[16552,] 5666 5666 1.361257e+00
[16553,] 5667 614 -6.806283e-01
[16554,] 5667 4393 -6.806283e-01
[16555,] 5667 5667 1.361257e+00
[16556,] 5668 614 -6.806283e-01
[16557,] 5668 4393 -6.806283e-01
[16558,] 5668 5668 1.361257e+00
[16559,] 5669 614 -6.806283e-01
[16560,] 5669 4393 -6.806283e-01
[16561,] 5669 5669 1.361257e+00
[16562,] 5670 614 -6.806283e-01
[16563,] 5670 4393 -6.806283e-01
[16564,] 5670 5670 1.361257e+00
[16565,] 5671 614 -6.806283e-01
[16566,] 5671 4393 -6.806283e-01
[16567,] 5671 5671 1.361257e+00
[16568,] 5672 614 -6.806283e-01
[16569,] 5672 4393 -6.806283e-01
[16570,] 5672 5672 1.361257e+00
[16571,] 5673 614 -6.806283e-01
[16572,] 5673 4393 -6.806283e-01
[16573,] 5673 5673 1.361257e+00
[16574,] 5674 614 -6.806283e-01
[16575,] 5674 4393 -6.806283e-01
[16576,] 5674 5674 1.361257e+00
[16577,] 5675 614 -6.806283e-01
[16578,] 5675 4393 -6.806283e-01
[16579,] 5675 5675 1.361257e+00
[16580,] 5676 614 -6.806283e-01
[16581,] 5676 4393 -6.806283e-01
[16582,] 5676 5676 1.361257e+00
[16583,] 5677 614 -6.806283e-01
[16584,] 5677 4393 -6.806283e-01
[16585,] 5677 5677 1.361257e+00
[16586,] 5678 614 -6.806283e-01
[16587,] 5678 4393 -6.806283e-01
[16588,] 5678 5678 1.361257e+00
[16589,] 5679 614 -6.806283e-01
[16590,] 5679 4393 -6.806283e-01
[16591,] 5679 5679 1.361257e+00
[16592,] 5680 614 -6.806283e-01
[16593,] 5680 4393 -6.806283e-01
[16594,] 5680 5680 1.361257e+00
[16595,] 5681 614 -6.806283e-01
[16596,] 5681 4393 -6.806283e-01
[16597,] 5681 5681 1.361257e+00
[16598,] 5682 614 -6.806283e-01
[16599,] 5682 4393 -6.806283e-01
[16600,] 5682 5682 1.361257e+00
[16601,] 5683 614 -6.806283e-01
[16602,] 5683 4393 -6.806283e-01
[16603,] 5683 5683 1.361257e+00
[16604,] 5684 614 -6.806283e-01
[16605,] 5684 4393 -6.806283e-01
[16606,] 5684 5684 1.361257e+00
[16607,] 5685 614 -6.806283e-01
[16608,] 5685 4393 -6.806283e-01
[16609,] 5685 5685 1.361257e+00
[16610,] 5686 614 -6.806283e-01
[16611,] 5686 4393 -6.806283e-01
[16612,] 5686 5686 1.361257e+00
[16613,] 5687 614 -6.806283e-01
[16614,] 5687 4393 -6.806283e-01
[16615,] 5687 5687 1.361257e+00
[16616,] 5688 614 -6.806283e-01
[16617,] 5688 4393 -6.806283e-01
[16618,] 5688 5688 1.361257e+00
[16619,] 5689 614 -6.806283e-01
[16620,] 5689 4393 -6.806283e-01
[16621,] 5689 5689 1.361257e+00
[16622,] 5690 614 -6.806283e-01
[16623,] 5690 4393 -6.806283e-01
[16624,] 5690 5690 1.361257e+00
[16625,] 5691 614 -6.806283e-01
[16626,] 5691 4393 -6.806283e-01
[16627,] 5691 5691 1.361257e+00
[16628,] 5692 614 -6.806283e-01
[16629,] 5692 4393 -6.806283e-01
[16630,] 5692 5692 1.361257e+00
[16631,] 5693 614 -6.806283e-01
[16632,] 5693 4393 -6.806283e-01
[16633,] 5693 5693 1.361257e+00
[16634,] 5694 614 -6.806283e-01
[16635,] 5694 4393 -6.806283e-01
[16636,] 5694 5694 1.361257e+00
[16637,] 5695 614 -6.806283e-01
[16638,] 5695 4393 -6.806283e-01
[16639,] 5695 5695 1.361257e+00
[16640,] 5696 614 -6.806283e-01
[16641,] 5696 4393 -6.806283e-01
[16642,] 5696 5696 1.361257e+00
[16643,] 5697 614 -6.806283e-01
[16644,] 5697 4393 -6.806283e-01
[16645,] 5697 5697 1.361257e+00
[16646,] 5698 614 -6.806283e-01
[16647,] 5698 4393 -6.806283e-01
[16648,] 5698 5698 1.361257e+00
[16649,] 5699 614 -6.806283e-01
[16650,] 5699 4393 -6.806283e-01
[16651,] 5699 5699 1.361257e+00
[16652,] 5700 614 -6.806283e-01
[16653,] 5700 4393 -6.806283e-01
[16654,] 5700 5700 1.361257e+00
[16655,] 5701 614 -6.806283e-01
[16656,] 5701 4393 -6.806283e-01
[16657,] 5701 5701 1.361257e+00
[16658,] 5702 614 -6.806283e-01
[16659,] 5702 4393 -6.806283e-01
[16660,] 5702 5702 1.361257e+00
[16661,] 5703 614 -6.806283e-01
[16662,] 5703 4393 -6.806283e-01
[16663,] 5703 5703 1.361257e+00
[16664,] 5704 614 -6.806283e-01
[16665,] 5704 4393 -6.806283e-01
[16666,] 5704 5704 1.361257e+00
[16667,] 5705 614 -6.806283e-01
[16668,] 5705 4393 -6.806283e-01
[16669,] 5705 5705 1.361257e+00
[16670,] 5706 614 -6.806283e-01
[16671,] 5706 4393 -6.806283e-01
[16672,] 5706 5706 1.361257e+00
[16673,] 5707 614 -6.806283e-01
[16674,] 5707 4393 -6.806283e-01
[16675,] 5707 5707 1.361257e+00
[16676,] 5708 614 -6.806283e-01
[16677,] 5708 4393 -6.806283e-01
[16678,] 5708 5708 1.361257e+00
[16679,] 5709 614 -6.806283e-01
[16680,] 5709 4393 -6.806283e-01
[16681,] 5709 5709 1.361257e+00
[16682,] 5710 614 -6.806283e-01
[16683,] 5710 4393 -6.806283e-01
[16684,] 5710 5710 1.361257e+00
[16685,] 5711 614 -6.806283e-01
[16686,] 5711 4393 -6.806283e-01
[16687,] 5711 5711 1.361257e+00
[16688,] 5712 614 -6.806283e-01
[16689,] 5712 4393 -6.806283e-01
[16690,] 5712 5712 1.361257e+00
[16691,] 5713 614 -6.806283e-01
[16692,] 5713 4393 -6.806283e-01
[16693,] 5713 5713 1.361257e+00
[16694,] 5714 614 -6.806283e-01
[16695,] 5714 4393 -6.806283e-01
[16696,] 5714 5714 1.361257e+00
[16697,] 5715 614 -6.806283e-01
[16698,] 5715 4393 -6.806283e-01
[16699,] 5715 5715 1.361257e+00
[16700,] 5716 614 -6.806283e-01
[16701,] 5716 4393 -6.806283e-01
[16702,] 5716 5716 1.361257e+00
[16703,] 5717 614 -6.806283e-01
[16704,] 5717 4393 -6.806283e-01
[16705,] 5717 5717 1.361257e+00
[16706,] 5718 614 -6.806283e-01
[16707,] 5718 4393 -6.806283e-01
[16708,] 5718 5718 1.361257e+00
[16709,] 5719 615 -6.806283e-01
[16710,] 5719 4394 -6.806283e-01
[16711,] 5719 5719 1.361257e+00
[16712,] 5720 615 -6.806283e-01
[16713,] 5720 4394 -6.806283e-01
[16714,] 5720 5720 1.361257e+00
[16715,] 5721 615 -6.806283e-01
[16716,] 5721 4394 -6.806283e-01
[16717,] 5721 5721 1.361257e+00
[16718,] 5722 615 -6.806283e-01
[16719,] 5722 4394 -6.806283e-01
[16720,] 5722 5722 1.361257e+00
[16721,] 5723 615 -6.806283e-01
[16722,] 5723 4394 -6.806283e-01
[16723,] 5723 5723 1.361257e+00
[16724,] 5724 615 -6.806283e-01
[16725,] 5724 4394 -6.806283e-01
[16726,] 5724 5724 1.361257e+00
[16727,] 5725 615 -6.806283e-01
[16728,] 5725 4394 -6.806283e-01
[16729,] 5725 5725 1.361257e+00
[16730,] 5726 615 -6.806283e-01
[16731,] 5726 4394 -6.806283e-01
[16732,] 5726 5726 1.361257e+00
[16733,] 5727 615 -6.806283e-01
[16734,] 5727 4394 -6.806283e-01
[16735,] 5727 5727 1.361257e+00
[16736,] 5728 615 -6.806283e-01
[16737,] 5728 4394 -6.806283e-01
[16738,] 5728 5728 1.361257e+00
[16739,] 5729 615 -6.806283e-01
[16740,] 5729 4394 -6.806283e-01
[16741,] 5729 5729 1.361257e+00
[16742,] 5730 615 -6.806283e-01
[16743,] 5730 4394 -6.806283e-01
[16744,] 5730 5730 1.361257e+00
[16745,] 5731 615 -6.806283e-01
[16746,] 5731 4394 -6.806283e-01
[16747,] 5731 5731 1.361257e+00
[16748,] 5732 615 -6.806283e-01
[16749,] 5732 4394 -6.806283e-01
[16750,] 5732 5732 1.361257e+00
[16751,] 5733 615 -6.806283e-01
[16752,] 5733 4394 -6.806283e-01
[16753,] 5733 5733 1.361257e+00
[16754,] 5734 615 -6.806283e-01
[16755,] 5734 4394 -6.806283e-01
[16756,] 5734 5734 1.361257e+00
[16757,] 5735 615 -6.806283e-01
[16758,] 5735 4394 -6.806283e-01
[16759,] 5735 5735 1.361257e+00
[16760,] 5736 615 -6.806283e-01
[16761,] 5736 4394 -6.806283e-01
[16762,] 5736 5736 1.361257e+00
[16763,] 5737 615 -6.806283e-01
[16764,] 5737 4394 -6.806283e-01
[16765,] 5737 5737 1.361257e+00
[16766,] 5738 615 -6.806283e-01
[16767,] 5738 4394 -6.806283e-01
[16768,] 5738 5738 1.361257e+00
[16769,] 5739 615 -6.806283e-01
[16770,] 5739 4394 -6.806283e-01
[16771,] 5739 5739 1.361257e+00
[16772,] 5740 615 -6.806283e-01
[16773,] 5740 4394 -6.806283e-01
[16774,] 5740 5740 1.361257e+00
[16775,] 5741 615 -6.806283e-01
[16776,] 5741 4394 -6.806283e-01
[16777,] 5741 5741 1.361257e+00
[16778,] 5742 615 -6.806283e-01
[16779,] 5742 4394 -6.806283e-01
[16780,] 5742 5742 1.361257e+00
[16781,] 5743 615 -6.806283e-01
[16782,] 5743 4394 -6.806283e-01
[16783,] 5743 5743 1.361257e+00
[16784,] 5744 615 -6.806283e-01
[16785,] 5744 4394 -6.806283e-01
[16786,] 5744 5744 1.361257e+00
[16787,] 5745 615 -6.806283e-01
[16788,] 5745 4394 -6.806283e-01
[16789,] 5745 5745 1.361257e+00
[16790,] 5746 615 -6.806283e-01
[16791,] 5746 4394 -6.806283e-01
[16792,] 5746 5746 1.361257e+00
[16793,] 5747 615 -6.806283e-01
[16794,] 5747 4394 -6.806283e-01
[16795,] 5747 5747 1.361257e+00
[16796,] 5748 615 -6.806283e-01
[16797,] 5748 4394 -6.806283e-01
[16798,] 5748 5748 1.361257e+00
[16799,] 5749 615 -6.806283e-01
[16800,] 5749 4394 -6.806283e-01
[16801,] 5749 5749 1.361257e+00
[16802,] 5750 615 -6.806283e-01
[16803,] 5750 4394 -6.806283e-01
[16804,] 5750 5750 1.361257e+00
[16805,] 5751 615 -6.806283e-01
[16806,] 5751 4394 -6.806283e-01
[16807,] 5751 5751 1.361257e+00
[16808,] 5752 615 -6.806283e-01
[16809,] 5752 4394 -6.806283e-01
[16810,] 5752 5752 1.361257e+00
[16811,] 5753 615 -6.806283e-01
[16812,] 5753 4394 -6.806283e-01
[16813,] 5753 5753 1.361257e+00
[16814,] 5754 615 -6.806283e-01
[16815,] 5754 4394 -6.806283e-01
[16816,] 5754 5754 1.361257e+00
[16817,] 5755 615 -6.806283e-01
[16818,] 5755 4394 -6.806283e-01
[16819,] 5755 5755 1.361257e+00
[16820,] 5756 615 -6.806283e-01
[16821,] 5756 4394 -6.806283e-01
[16822,] 5756 5756 1.361257e+00
[16823,] 5757 615 -6.806283e-01
[16824,] 5757 4394 -6.806283e-01
[16825,] 5757 5757 1.361257e+00
[16826,] 5758 615 -6.806283e-01
[16827,] 5758 4394 -6.806283e-01
[16828,] 5758 5758 1.361257e+00
[16829,] 5759 615 -6.806283e-01
[16830,] 5759 4394 -6.806283e-01
[16831,] 5759 5759 1.361257e+00
[16832,] 5760 615 -6.806283e-01
[16833,] 5760 4394 -6.806283e-01
[16834,] 5760 5760 1.361257e+00
[16835,] 5761 615 -6.806283e-01
[16836,] 5761 4394 -6.806283e-01
[16837,] 5761 5761 1.361257e+00
[16838,] 5762 615 -6.806283e-01
[16839,] 5762 4394 -6.806283e-01
[16840,] 5762 5762 1.361257e+00
[16841,] 5763 615 -6.806283e-01
[16842,] 5763 4394 -6.806283e-01
[16843,] 5763 5763 1.361257e+00
[16844,] 5764 615 -6.806283e-01
[16845,] 5764 4394 -6.806283e-01
[16846,] 5764 5764 1.361257e+00
[16847,] 5765 615 -6.806283e-01
[16848,] 5765 4394 -6.806283e-01
[16849,] 5765 5765 1.361257e+00
[16850,] 5766 615 -6.806283e-01
[16851,] 5766 4394 -6.806283e-01
[16852,] 5766 5766 1.361257e+00
[16853,] 5767 615 -6.806283e-01
[16854,] 5767 4394 -6.806283e-01
[16855,] 5767 5767 1.361257e+00
[16856,] 5768 615 -6.806283e-01
[16857,] 5768 4394 -6.806283e-01
[16858,] 5768 5768 1.361257e+00
[16859,] 5769 615 -6.806283e-01
[16860,] 5769 4394 -6.806283e-01
[16861,] 5769 5769 1.361257e+00
[16862,] 5770 615 -6.806283e-01
[16863,] 5770 4394 -6.806283e-01
[16864,] 5770 5770 1.361257e+00
[16865,] 5771 615 -6.806283e-01
[16866,] 5771 4394 -6.806283e-01
[16867,] 5771 5771 1.361257e+00
[16868,] 5772 615 -6.806283e-01
[16869,] 5772 4394 -6.806283e-01
[16870,] 5772 5772 1.361257e+00
[16871,] 5773 615 -6.806283e-01
[16872,] 5773 4394 -6.806283e-01
[16873,] 5773 5773 1.361257e+00
[16874,] 5774 615 -6.806283e-01
[16875,] 5774 4394 -6.806283e-01
[16876,] 5774 5774 1.361257e+00
[16877,] 5775 615 -6.806283e-01
[16878,] 5775 4394 -6.806283e-01
[16879,] 5775 5775 1.361257e+00
[16880,] 5776 615 -6.806283e-01
[16881,] 5776 4394 -6.806283e-01
[16882,] 5776 5776 1.361257e+00
[16883,] 5777 615 -6.806283e-01
[16884,] 5777 4394 -6.806283e-01
[16885,] 5777 5777 1.361257e+00
[16886,] 5778 615 -6.806283e-01
[16887,] 5778 4394 -6.806283e-01
[16888,] 5778 5778 1.361257e+00
[16889,] 5779 615 -6.806283e-01
[16890,] 5779 4394 -6.806283e-01
[16891,] 5779 5779 1.361257e+00
[16892,] 5780 615 -6.806283e-01
[16893,] 5780 4394 -6.806283e-01
[16894,] 5780 5780 1.361257e+00
[16895,] 5781 615 -6.806283e-01
[16896,] 5781 4394 -6.806283e-01
[16897,] 5781 5781 1.361257e+00
[16898,] 5782 615 -6.806283e-01
[16899,] 5782 4394 -6.806283e-01
[16900,] 5782 5782 1.361257e+00
[16901,] 5783 615 -6.806283e-01
[16902,] 5783 4394 -6.806283e-01
[16903,] 5783 5783 1.361257e+00
[16904,] 5784 615 -6.806283e-01
[16905,] 5784 4394 -6.806283e-01
[16906,] 5784 5784 1.361257e+00
[16907,] 5785 615 -6.806283e-01
[16908,] 5785 4394 -6.806283e-01
[16909,] 5785 5785 1.361257e+00
[16910,] 5786 615 -6.806283e-01
[16911,] 5786 4394 -6.806283e-01
[16912,] 5786 5786 1.361257e+00
[16913,] 5787 615 -6.806283e-01
[16914,] 5787 4394 -6.806283e-01
[16915,] 5787 5787 1.361257e+00
[16916,] 5788 615 -6.806283e-01
[16917,] 5788 4394 -6.806283e-01
[16918,] 5788 5788 1.361257e+00
[16919,] 5789 615 -6.806283e-01
[16920,] 5789 4394 -6.806283e-01
[16921,] 5789 5789 1.361257e+00
[16922,] 5790 615 -6.806283e-01
[16923,] 5790 4394 -6.806283e-01
[16924,] 5790 5790 1.361257e+00
[16925,] 5791 615 -6.806283e-01
[16926,] 5791 4394 -6.806283e-01
[16927,] 5791 5791 1.361257e+00
[16928,] 5792 615 -6.806283e-01
[16929,] 5792 4394 -6.806283e-01
[16930,] 5792 5792 1.361257e+00
[16931,] 5793 615 -6.806283e-01
[16932,] 5793 4394 -6.806283e-01
[16933,] 5793 5793 1.361257e+00
[16934,] 5794 615 -6.806283e-01
[16935,] 5794 4394 -6.806283e-01
[16936,] 5794 5794 1.361257e+00
[16937,] 5795 615 -6.806283e-01
[16938,] 5795 4394 -6.806283e-01
[16939,] 5795 5795 1.361257e+00
[16940,] 5796 615 -6.806283e-01
[16941,] 5796 4394 -6.806283e-01
[16942,] 5796 5796 1.361257e+00
[16943,] 5797 615 -6.806283e-01
[16944,] 5797 4394 -6.806283e-01
[16945,] 5797 5797 1.361257e+00
[16946,] 5798 615 -6.806283e-01
[16947,] 5798 4394 -6.806283e-01
[16948,] 5798 5798 1.361257e+00
[16949,] 5799 615 -6.806283e-01
[16950,] 5799 4394 -6.806283e-01
[16951,] 5799 5799 1.361257e+00
[16952,] 5800 615 -6.806283e-01
[16953,] 5800 4394 -6.806283e-01
[16954,] 5800 5800 1.361257e+00
[16955,] 5801 615 -6.806283e-01
[16956,] 5801 4394 -6.806283e-01
[16957,] 5801 5801 1.361257e+00
[16958,] 5802 615 -6.806283e-01
[16959,] 5802 4394 -6.806283e-01
[16960,] 5802 5802 1.361257e+00
[16961,] 5803 615 -6.806283e-01
[16962,] 5803 4394 -6.806283e-01
[16963,] 5803 5803 1.361257e+00
[16964,] 5804 615 -6.806283e-01
[16965,] 5804 4394 -6.806283e-01
[16966,] 5804 5804 1.361257e+00
[16967,] 5805 615 -6.806283e-01
[16968,] 5805 4394 -6.806283e-01
[16969,] 5805 5805 1.361257e+00
[16970,] 5806 615 -6.806283e-01
[16971,] 5806 4394 -6.806283e-01
[16972,] 5806 5806 1.361257e+00
[16973,] 5807 615 -6.806283e-01
[16974,] 5807 4394 -6.806283e-01
[16975,] 5807 5807 1.361257e+00
[16976,] 5808 615 -6.806283e-01
[16977,] 5808 4394 -6.806283e-01
[16978,] 5808 5808 1.361257e+00
[16979,] 5809 615 -6.806283e-01
[16980,] 5809 4394 -6.806283e-01
[16981,] 5809 5809 1.361257e+00
[16982,] 5810 615 -6.806283e-01
[16983,] 5810 4394 -6.806283e-01
[16984,] 5810 5810 1.361257e+00
[16985,] 5811 615 -6.806283e-01
[16986,] 5811 4394 -6.806283e-01
[16987,] 5811 5811 1.361257e+00
[16988,] 5812 615 -6.806283e-01
[16989,] 5812 4394 -6.806283e-01
[16990,] 5812 5812 1.361257e+00
[16991,] 5813 615 -6.806283e-01
[16992,] 5813 4394 -6.806283e-01
[16993,] 5813 5813 1.361257e+00
[16994,] 5814 615 -6.806283e-01
[16995,] 5814 4394 -6.806283e-01
[16996,] 5814 5814 1.361257e+00
[16997,] 5815 615 -6.806283e-01
[16998,] 5815 4394 -6.806283e-01
[16999,] 5815 5815 1.361257e+00
[17000,] 5816 615 -6.806283e-01
[17001,] 5816 4394 -6.806283e-01
[17002,] 5816 5816 1.361257e+00
[17003,] 5817 615 -6.806283e-01
[17004,] 5817 4394 -6.806283e-01
[17005,] 5817 5817 1.361257e+00
[17006,] 5818 615 -6.806283e-01
[17007,] 5818 4394 -6.806283e-01
[17008,] 5818 5818 1.361257e+00
[17009,] 5819 615 -6.806283e-01
[17010,] 5819 4394 -6.806283e-01
[17011,] 5819 5819 1.361257e+00
[17012,] 5820 615 -6.806283e-01
[17013,] 5820 4394 -6.806283e-01
[17014,] 5820 5820 1.361257e+00
[17015,] 5821 617 -6.526580e-01
[17016,] 5821 4395 -6.526580e-01
[17017,] 5821 5821 1.305316e+00
[17018,] 5822 617 -6.526580e-01
[17019,] 5822 4395 -6.526580e-01
[17020,] 5822 5822 1.305316e+00
[17021,] 5823 617 -6.526580e-01
[17022,] 5823 4395 -6.526580e-01
[17023,] 5823 5823 1.305316e+00
[17024,] 5824 617 -6.526580e-01
[17025,] 5824 4395 -6.526580e-01
[17026,] 5824 5824 1.305316e+00
[17027,] 5825 617 -6.526580e-01
[17028,] 5825 4395 -6.526580e-01
[17029,] 5825 5825 1.305316e+00
[17030,] 5826 617 -6.526580e-01
[17031,] 5826 4395 -6.526580e-01
[17032,] 5826 5826 1.305316e+00
[17033,] 5827 617 -6.526580e-01
[17034,] 5827 4395 -6.526580e-01
[17035,] 5827 5827 1.305316e+00
[17036,] 5828 617 -6.526580e-01
[17037,] 5828 4395 -6.526580e-01
[17038,] 5828 5828 1.305316e+00
[17039,] 5829 617 -6.526580e-01
[17040,] 5829 4395 -6.526580e-01
[17041,] 5829 5829 1.305316e+00
[17042,] 5830 617 -6.526580e-01
[17043,] 5830 4395 -6.526580e-01
[17044,] 5830 5830 1.305316e+00
[17045,] 5831 617 -6.526580e-01
[17046,] 5831 4395 -6.526580e-01
[17047,] 5831 5831 1.305316e+00
[17048,] 5832 617 -6.526580e-01
[17049,] 5832 4395 -6.526580e-01
[17050,] 5832 5832 1.305316e+00
[17051,] 5833 617 -6.526580e-01
[17052,] 5833 4395 -6.526580e-01
[17053,] 5833 5833 1.305316e+00
[17054,] 5834 617 -6.526580e-01
[17055,] 5834 4395 -6.526580e-01
[17056,] 5834 5834 1.305316e+00
[17057,] 5835 617 -6.526580e-01
[17058,] 5835 4395 -6.526580e-01
[17059,] 5835 5835 1.305316e+00
[17060,] 5836 617 -6.526580e-01
[17061,] 5836 4395 -6.526580e-01
[17062,] 5836 5836 1.305316e+00
[17063,] 5837 617 -6.526580e-01
[17064,] 5837 4395 -6.526580e-01
[17065,] 5837 5837 1.305316e+00
[17066,] 5838 617 -6.526580e-01
[17067,] 5838 4395 -6.526580e-01
[17068,] 5838 5838 1.305316e+00
[17069,] 5839 617 -6.526580e-01
[17070,] 5839 4395 -6.526580e-01
[17071,] 5839 5839 1.305316e+00
[17072,] 5840 617 -6.526580e-01
[17073,] 5840 4395 -6.526580e-01
[17074,] 5840 5840 1.305316e+00
[17075,] 5841 617 -6.526580e-01
[17076,] 5841 4395 -6.526580e-01
[17077,] 5841 5841 1.305316e+00
[17078,] 5842 617 -6.526580e-01
[17079,] 5842 4395 -6.526580e-01
[17080,] 5842 5842 1.305316e+00
[17081,] 5843 617 -6.526580e-01
[17082,] 5843 4395 -6.526580e-01
[17083,] 5843 5843 1.305316e+00
[17084,] 5844 617 -6.526580e-01
[17085,] 5844 4395 -6.526580e-01
[17086,] 5844 5844 1.305316e+00
[17087,] 5845 617 -6.526580e-01
[17088,] 5845 4395 -6.526580e-01
[17089,] 5845 5845 1.305316e+00
[17090,] 5846 617 -6.526580e-01
[17091,] 5846 4395 -6.526580e-01
[17092,] 5846 5846 1.305316e+00
[17093,] 5847 617 -6.526580e-01
[17094,] 5847 4395 -6.526580e-01
[17095,] 5847 5847 1.305316e+00
[17096,] 5848 617 -6.526580e-01
[17097,] 5848 4395 -6.526580e-01
[17098,] 5848 5848 1.305316e+00
[17099,] 5849 617 -6.526580e-01
[17100,] 5849 4395 -6.526580e-01
[17101,] 5849 5849 1.305316e+00
[17102,] 5850 617 -6.526580e-01
[17103,] 5850 4395 -6.526580e-01
[17104,] 5850 5850 1.305316e+00
[17105,] 5851 617 -6.526580e-01
[17106,] 5851 4395 -6.526580e-01
[17107,] 5851 5851 1.305316e+00
[17108,] 5852 617 -6.526580e-01
[17109,] 5852 4395 -6.526580e-01
[17110,] 5852 5852 1.305316e+00
[17111,] 5853 617 -6.526580e-01
[17112,] 5853 4395 -6.526580e-01
[17113,] 5853 5853 1.305316e+00
[17114,] 5854 617 -6.526580e-01
[17115,] 5854 4395 -6.526580e-01
[17116,] 5854 5854 1.305316e+00
[17117,] 5855 617 -6.526580e-01
[17118,] 5855 4395 -6.526580e-01
[17119,] 5855 5855 1.305316e+00
[17120,] 5856 617 -6.526580e-01
[17121,] 5856 4395 -6.526580e-01
[17122,] 5856 5856 1.305316e+00
[17123,] 5857 617 -6.526580e-01
[17124,] 5857 4395 -6.526580e-01
[17125,] 5857 5857 1.305316e+00
[17126,] 5858 617 -6.526580e-01
[17127,] 5858 4395 -6.526580e-01
[17128,] 5858 5858 1.305316e+00
[17129,] 5859 617 -6.526580e-01
[17130,] 5859 4395 -6.526580e-01
[17131,] 5859 5859 1.305316e+00
[17132,] 5860 617 -6.526580e-01
[17133,] 5860 4395 -6.526580e-01
[17134,] 5860 5860 1.305316e+00
[17135,] 5861 617 -6.526580e-01
[17136,] 5861 4395 -6.526580e-01
[17137,] 5861 5861 1.305316e+00
[17138,] 5862 617 -6.526580e-01
[17139,] 5862 4395 -6.526580e-01
[17140,] 5862 5862 1.305316e+00
[17141,] 5863 617 -6.526580e-01
[17142,] 5863 4395 -6.526580e-01
[17143,] 5863 5863 1.305316e+00
[17144,] 5864 617 -6.526580e-01
[17145,] 5864 4395 -6.526580e-01
[17146,] 5864 5864 1.305316e+00
[17147,] 5865 617 -6.526580e-01
[17148,] 5865 4395 -6.526580e-01
[17149,] 5865 5865 1.305316e+00
[17150,] 5866 617 -6.526580e-01
[17151,] 5866 4395 -6.526580e-01
[17152,] 5866 5866 1.305316e+00
[17153,] 5867 617 -6.526580e-01
[17154,] 5867 4395 -6.526580e-01
[17155,] 5867 5867 1.305316e+00
[17156,] 5868 617 -6.526580e-01
[17157,] 5868 4395 -6.526580e-01
[17158,] 5868 5868 1.305316e+00
[17159,] 5869 617 -6.526580e-01
[17160,] 5869 4395 -6.526580e-01
[17161,] 5869 5869 1.305316e+00
[17162,] 5870 617 -6.526580e-01
[17163,] 5870 4395 -6.526580e-01
[17164,] 5870 5870 1.305316e+00
[17165,] 5871 617 -6.526580e-01
[17166,] 5871 4395 -6.526580e-01
[17167,] 5871 5871 1.305316e+00
[17168,] 5872 617 -6.526580e-01
[17169,] 5872 4395 -6.526580e-01
[17170,] 5872 5872 1.305316e+00
[17171,] 5873 617 -6.526580e-01
[17172,] 5873 4395 -6.526580e-01
[17173,] 5873 5873 1.305316e+00
[17174,] 5874 617 -6.526580e-01
[17175,] 5874 4395 -6.526580e-01
[17176,] 5874 5874 1.305316e+00
[17177,] 5875 617 -6.526580e-01
[17178,] 5875 4395 -6.526580e-01
[17179,] 5875 5875 1.305316e+00
[17180,] 5876 617 -6.526580e-01
[17181,] 5876 4395 -6.526580e-01
[17182,] 5876 5876 1.305316e+00
[17183,] 5877 617 -6.526580e-01
[17184,] 5877 4395 -6.526580e-01
[17185,] 5877 5877 1.305316e+00
[17186,] 5878 617 -6.526580e-01
[17187,] 5878 4395 -6.526580e-01
[17188,] 5878 5878 1.305316e+00
[17189,] 5879 617 -6.526580e-01
[17190,] 5879 4395 -6.526580e-01
[17191,] 5879 5879 1.305316e+00
[17192,] 5880 617 -6.526580e-01
[17193,] 5880 4395 -6.526580e-01
[17194,] 5880 5880 1.305316e+00
[17195,] 5881 617 -6.526580e-01
[17196,] 5881 4395 -6.526580e-01
[17197,] 5881 5881 1.305316e+00
[17198,] 5882 617 -6.526580e-01
[17199,] 5882 4395 -6.526580e-01
[17200,] 5882 5882 1.305316e+00
[17201,] 5883 617 -6.526580e-01
[17202,] 5883 4395 -6.526580e-01
[17203,] 5883 5883 1.305316e+00
[17204,] 5884 617 -6.526580e-01
[17205,] 5884 4395 -6.526580e-01
[17206,] 5884 5884 1.305316e+00
[17207,] 5885 617 -6.526580e-01
[17208,] 5885 4395 -6.526580e-01
[17209,] 5885 5885 1.305316e+00
[17210,] 5886 617 -6.526580e-01
[17211,] 5886 4395 -6.526580e-01
[17212,] 5886 5886 1.305316e+00
[17213,] 5887 617 -6.526580e-01
[17214,] 5887 4395 -6.526580e-01
[17215,] 5887 5887 1.305316e+00
[17216,] 5888 617 -6.526580e-01
[17217,] 5888 4395 -6.526580e-01
[17218,] 5888 5888 1.305316e+00
[17219,] 5889 617 -6.526580e-01
[17220,] 5889 4395 -6.526580e-01
[17221,] 5889 5889 1.305316e+00
[17222,] 5890 617 -6.526580e-01
[17223,] 5890 4395 -6.526580e-01
[17224,] 5890 5890 1.305316e+00
[17225,] 5891 617 -6.526580e-01
[17226,] 5891 4395 -6.526580e-01
[17227,] 5891 5891 1.305316e+00
[17228,] 5892 617 -6.526580e-01
[17229,] 5892 4395 -6.526580e-01
[17230,] 5892 5892 1.305316e+00
[17231,] 5893 617 -6.526580e-01
[17232,] 5893 4395 -6.526580e-01
[17233,] 5893 5893 1.305316e+00
[17234,] 5894 617 -6.526580e-01
[17235,] 5894 4395 -6.526580e-01
[17236,] 5894 5894 1.305316e+00
[17237,] 5895 617 -6.526580e-01
[17238,] 5895 4395 -6.526580e-01
[17239,] 5895 5895 1.305316e+00
[17240,] 5896 617 -6.526580e-01
[17241,] 5896 4395 -6.526580e-01
[17242,] 5896 5896 1.305316e+00
[17243,] 5897 617 -6.526580e-01
[17244,] 5897 4395 -6.526580e-01
[17245,] 5897 5897 1.305316e+00
[17246,] 5898 617 -6.526580e-01
[17247,] 5898 4395 -6.526580e-01
[17248,] 5898 5898 1.305316e+00
[17249,] 5899 617 -6.526580e-01
[17250,] 5899 4395 -6.526580e-01
[17251,] 5899 5899 1.305316e+00
[17252,] 5900 617 -6.526580e-01
[17253,] 5900 4395 -6.526580e-01
[17254,] 5900 5900 1.305316e+00
[17255,] 5901 617 -6.526580e-01
[17256,] 5901 4395 -6.526580e-01
[17257,] 5901 5901 1.305316e+00
[17258,] 5902 617 -6.526580e-01
[17259,] 5902 4395 -6.526580e-01
[17260,] 5902 5902 1.305316e+00
[17261,] 5903 617 -6.526580e-01
[17262,] 5903 4395 -6.526580e-01
[17263,] 5903 5903 1.305316e+00
[17264,] 5904 617 -6.526580e-01
[17265,] 5904 4395 -6.526580e-01
[17266,] 5904 5904 1.305316e+00
[17267,] 5905 617 -6.526580e-01
[17268,] 5905 4395 -6.526580e-01
[17269,] 5905 5905 1.305316e+00
[17270,] 5906 617 -6.526580e-01
[17271,] 5906 4395 -6.526580e-01
[17272,] 5906 5906 1.305316e+00
[17273,] 5907 617 -6.526580e-01
[17274,] 5907 4395 -6.526580e-01
[17275,] 5907 5907 1.305316e+00
[17276,] 5908 617 -6.526580e-01
[17277,] 5908 4395 -6.526580e-01
[17278,] 5908 5908 1.305316e+00
[17279,] 5909 617 -6.526580e-01
[17280,] 5909 4395 -6.526580e-01
[17281,] 5909 5909 1.305316e+00
[17282,] 5910 617 -6.526580e-01
[17283,] 5910 4395 -6.526580e-01
[17284,] 5910 5910 1.305316e+00
[17285,] 5911 617 -6.526580e-01
[17286,] 5911 4395 -6.526580e-01
[17287,] 5911 5911 1.305316e+00
[17288,] 5912 617 -6.526580e-01
[17289,] 5912 4395 -6.526580e-01
[17290,] 5912 5912 1.305316e+00
[17291,] 5913 617 -6.526580e-01
[17292,] 5913 4395 -6.526580e-01
[17293,] 5913 5913 1.305316e+00
[17294,] 5914 688 -6.773047e-01
[17295,] 5914 4396 -6.773047e-01
[17296,] 5914 5914 1.354609e+00
[17297,] 5915 688 -6.773047e-01
[17298,] 5915 4396 -6.773047e-01
[17299,] 5915 5915 1.354609e+00
[17300,] 5916 688 -6.773047e-01
[17301,] 5916 4396 -6.773047e-01
[17302,] 5916 5916 1.354609e+00
[17303,] 5917 688 -6.773047e-01
[17304,] 5917 4396 -6.773047e-01
[17305,] 5917 5917 1.354609e+00
[17306,] 5918 688 -6.773047e-01
[17307,] 5918 4396 -6.773047e-01
[17308,] 5918 5918 1.354609e+00
[17309,] 5919 688 -6.773047e-01
[17310,] 5919 4396 -6.773047e-01
[17311,] 5919 5919 1.354609e+00
[17312,] 5920 688 -6.773047e-01
[17313,] 5920 4396 -6.773047e-01
[17314,] 5920 5920 1.354609e+00
[17315,] 5921 612 -6.534780e-01
[17316,] 5921 4397 -6.534780e-01
[17317,] 5921 5921 1.306956e+00
[17318,] 5922 612 -6.534780e-01
[17319,] 5922 4397 -6.534780e-01
[17320,] 5922 5922 1.306956e+00
[17321,] 5923 612 -6.534780e-01
[17322,] 5923 4397 -6.534780e-01
[17323,] 5923 5923 1.306956e+00
[17324,] 5924 612 -6.534780e-01
[17325,] 5924 4397 -6.534780e-01
[17326,] 5924 5924 1.306956e+00
[17327,] 5925 612 -6.534780e-01
[17328,] 5925 4397 -6.534780e-01
[17329,] 5925 5925 1.306956e+00
[17330,] 5926 612 -6.534780e-01
[17331,] 5926 4397 -6.534780e-01
[17332,] 5926 5926 1.306956e+00
[17333,] 5927 612 -6.534780e-01
[17334,] 5927 4397 -6.534780e-01
[17335,] 5927 5927 1.306956e+00
[17336,] 5928 612 -6.534780e-01
[17337,] 5928 4397 -6.534780e-01
[17338,] 5928 5928 1.306956e+00
[17339,] 5929 612 -6.534780e-01
[17340,] 5929 4397 -6.534780e-01
[17341,] 5929 5929 1.306956e+00
[17342,] 5930 612 -6.534780e-01
[17343,] 5930 4397 -6.534780e-01
[17344,] 5930 5930 1.306956e+00
[17345,] 5931 612 -6.534780e-01
[17346,] 5931 4397 -6.534780e-01
[17347,] 5931 5931 1.306956e+00
[17348,] 5932 338 -4.049031e-01
[17349,] 5932 617 -4.049031e-01
[17350,] 5932 5932 8.098062e-01
[17351,] 5933 338 -4.049031e-01
[17352,] 5933 617 -4.049031e-01
[17353,] 5933 5933 8.098062e-01
[17354,] 5934 338 -4.049031e-01
[17355,] 5934 617 -4.049031e-01
[17356,] 5934 5934 8.098062e-01
[17357,] 5935 338 -4.049031e-01
[17358,] 5935 617 -4.049031e-01
[17359,] 5935 5935 8.098062e-01
[17360,] 5936 338 -4.049031e-01
[17361,] 5936 617 -4.049031e-01
[17362,] 5936 5936 8.098062e-01
[17363,] 5937 338 -4.049031e-01
[17364,] 5937 617 -4.049031e-01
[17365,] 5937 5937 8.098062e-01
[17366,] 5938 338 -4.049031e-01
[17367,] 5938 617 -4.049031e-01
[17368,] 5938 5938 8.098062e-01
[17369,] 5939 338 -4.049031e-01
[17370,] 5939 617 -4.049031e-01
[17371,] 5939 5939 8.098062e-01
[17372,] 5940 338 -4.049031e-01
[17373,] 5940 617 -4.049031e-01
[17374,] 5940 5940 8.098062e-01
[17375,] 5941 338 -4.049031e-01
[17376,] 5941 617 -4.049031e-01
[17377,] 5941 5941 8.098062e-01
[17378,] 5942 338 -4.049031e-01
[17379,] 5942 617 -4.049031e-01
[17380,] 5942 5942 8.098062e-01
[17381,] 5943 338 -4.049031e-01
[17382,] 5943 617 -4.049031e-01
[17383,] 5943 5943 8.098062e-01
[17384,] 5944 338 -4.049031e-01
[17385,] 5944 617 -4.049031e-01
[17386,] 5944 5944 8.098062e-01
[17387,] 5945 338 -4.049031e-01
[17388,] 5945 617 -4.049031e-01
[17389,] 5945 5945 8.098062e-01
[17390,] 5946 338 -4.049031e-01
[17391,] 5946 617 -4.049031e-01
[17392,] 5946 5946 8.098062e-01
[17393,] 5947 338 -4.049031e-01
[17394,] 5947 617 -4.049031e-01
[17395,] 5947 5947 8.098062e-01
[17396,] 5948 338 -4.049031e-01
[17397,] 5948 617 -4.049031e-01
[17398,] 5948 5948 8.098062e-01
[17399,] 5949 338 -4.049031e-01
[17400,] 5949 617 -4.049031e-01
[17401,] 5949 5949 8.098062e-01
[17402,] 5950 338 -4.049031e-01
[17403,] 5950 617 -4.049031e-01
[17404,] 5950 5950 8.098062e-01
[17405,] 5951 338 -4.049031e-01
[17406,] 5951 617 -4.049031e-01
[17407,] 5951 5951 8.098062e-01
[17408,] 5952 338 -4.049031e-01
[17409,] 5952 617 -4.049031e-01
[17410,] 5952 5952 8.098062e-01
[17411,] 5953 338 -4.049031e-01
[17412,] 5953 617 -4.049031e-01
[17413,] 5953 5953 8.098062e-01
[17414,] 5954 338 -4.049031e-01
[17415,] 5954 617 -4.049031e-01
[17416,] 5954 5954 8.098062e-01
[17417,] 5955 338 -4.049031e-01
[17418,] 5955 617 -4.049031e-01
[17419,] 5955 5955 8.098062e-01
[17420,] 5956 338 -4.049031e-01
[17421,] 5956 617 -4.049031e-01
[17422,] 5956 5956 8.098062e-01
[17423,] 5957 338 -4.049031e-01
[17424,] 5957 617 -4.049031e-01
[17425,] 5957 5957 8.098062e-01
[17426,] 5958 338 -4.049031e-01
[17427,] 5958 617 -4.049031e-01
[17428,] 5958 5958 8.098062e-01
[17429,] 5959 338 -4.049031e-01
[17430,] 5959 617 -4.049031e-01
[17431,] 5959 5959 8.098062e-01
[17432,] 5960 338 -4.049031e-01
[17433,] 5960 617 -4.049031e-01
[17434,] 5960 5960 8.098062e-01
[17435,] 5961 338 -4.049031e-01
[17436,] 5961 617 -4.049031e-01
[17437,] 5961 5961 8.098062e-01
[17438,] 5962 338 -4.049031e-01
[17439,] 5962 617 -4.049031e-01
[17440,] 5962 5962 8.098062e-01
[17441,] 5963 338 -4.049031e-01
[17442,] 5963 617 -4.049031e-01
[17443,] 5963 5963 8.098062e-01
[17444,] 5964 338 -4.049031e-01
[17445,] 5964 617 -4.049031e-01
[17446,] 5964 5964 8.098062e-01
[17447,] 5965 338 -4.049031e-01
[17448,] 5965 617 -4.049031e-01
[17449,] 5965 5965 8.098062e-01
[17450,] 5966 338 -4.049031e-01
[17451,] 5966 617 -4.049031e-01
[17452,] 5966 5966 8.098062e-01
[17453,] 5967 338 -4.049031e-01
[17454,] 5967 617 -4.049031e-01
[17455,] 5967 5967 8.098062e-01
[17456,] 5968 338 -4.049031e-01
[17457,] 5968 617 -4.049031e-01
[17458,] 5968 5968 8.098062e-01
[17459,] 5969 338 -4.049031e-01
[17460,] 5969 617 -4.049031e-01
[17461,] 5969 5969 8.098062e-01
[17462,] 5970 338 -4.049031e-01
[17463,] 5970 617 -4.049031e-01
[17464,] 5970 5970 8.098062e-01
[17465,] 5971 338 -4.049031e-01
[17466,] 5971 617 -4.049031e-01
[17467,] 5971 5971 8.098062e-01
[17468,] 5972 338 -4.049031e-01
[17469,] 5972 617 -4.049031e-01
[17470,] 5972 5972 8.098062e-01
[17471,] 5973 338 -4.049031e-01
[17472,] 5973 617 -4.049031e-01
[17473,] 5973 5973 8.098062e-01
[17474,] 5974 338 -4.049031e-01
[17475,] 5974 617 -4.049031e-01
[17476,] 5974 5974 8.098062e-01
[17477,] 5975 338 -4.049031e-01
[17478,] 5975 617 -4.049031e-01
[17479,] 5975 5975 8.098062e-01
[17480,] 5976 338 -4.049031e-01
[17481,] 5976 617 -4.049031e-01
[17482,] 5976 5976 8.098062e-01
[17483,] 5977 338 -4.049031e-01
[17484,] 5977 617 -4.049031e-01
[17485,] 5977 5977 8.098062e-01
[17486,] 5978 338 -4.049031e-01
[17487,] 5978 617 -4.049031e-01
[17488,] 5978 5978 8.098062e-01
[17489,] 5979 338 -4.049031e-01
[17490,] 5979 617 -4.049031e-01
[17491,] 5979 5979 8.098062e-01
[17492,] 5980 338 -4.049031e-01
[17493,] 5980 617 -4.049031e-01
[17494,] 5980 5980 8.098062e-01
[17495,] 5981 338 -4.049031e-01
[17496,] 5981 617 -4.049031e-01
[17497,] 5981 5981 8.098062e-01
[17498,] 5982 338 -4.049031e-01
[17499,] 5982 617 -4.049031e-01
[17500,] 5982 5982 8.098062e-01
[17501,] 5983 338 -4.049031e-01
[17502,] 5983 617 -4.049031e-01
[17503,] 5983 5983 8.098062e-01
[17504,] 5984 338 -4.049031e-01
[17505,] 5984 617 -4.049031e-01
[17506,] 5984 5984 8.098062e-01
[17507,] 5985 357 -4.101742e-01
[17508,] 5985 619 -4.101742e-01
[17509,] 5985 5985 8.203485e-01
[17510,] 5986 357 -4.101742e-01
[17511,] 5986 619 -4.101742e-01
[17512,] 5986 5986 8.203485e-01
[17513,] 5987 357 -4.101742e-01
[17514,] 5987 619 -4.101742e-01
[17515,] 5987 5987 8.203485e-01
[17516,] 5988 357 -4.101742e-01
[17517,] 5988 619 -4.101742e-01
[17518,] 5988 5988 8.203485e-01
[17519,] 5989 357 -4.101742e-01
[17520,] 5989 619 -4.101742e-01
[17521,] 5989 5989 8.203485e-01
[17522,] 5990 357 -4.101742e-01
[17523,] 5990 619 -4.101742e-01
[17524,] 5990 5990 8.203485e-01
[17525,] 5991 357 -4.101742e-01
[17526,] 5991 619 -4.101742e-01
[17527,] 5991 5991 8.203485e-01
[17528,] 5992 357 -4.101742e-01
[17529,] 5992 619 -4.101742e-01
[17530,] 5992 5992 8.203485e-01
[17531,] 5993 357 -4.101742e-01
[17532,] 5993 619 -4.101742e-01
[17533,] 5993 5993 8.203485e-01
[17534,] 5994 357 -4.101742e-01
[17535,] 5994 619 -4.101742e-01
[17536,] 5994 5994 8.203485e-01
[17537,] 5995 357 -4.101742e-01
[17538,] 5995 619 -4.101742e-01
[17539,] 5995 5995 8.203485e-01
[17540,] 5996 357 -4.101742e-01
[17541,] 5996 619 -4.101742e-01
[17542,] 5996 5996 8.203485e-01
[17543,] 5997 357 -4.101742e-01
[17544,] 5997 619 -4.101742e-01
[17545,] 5997 5997 8.203485e-01
[17546,] 5998 357 -4.101742e-01
[17547,] 5998 619 -4.101742e-01
[17548,] 5998 5998 8.203485e-01
[17549,] 5999 357 -4.101742e-01
[17550,] 5999 619 -4.101742e-01
[17551,] 5999 5999 8.203485e-01
[17552,] 6000 358 -4.102153e-01
[17553,] 6000 614 -4.102153e-01
[17554,] 6000 6000 8.204306e-01
[17555,] 6001 358 -4.102153e-01
[17556,] 6001 614 -4.102153e-01
[17557,] 6001 6001 8.204306e-01
[17558,] 6002 358 -4.102153e-01
[17559,] 6002 614 -4.102153e-01
[17560,] 6002 6002 8.204306e-01
[17561,] 6003 358 -4.102153e-01
[17562,] 6003 614 -4.102153e-01
[17563,] 6003 6003 8.204306e-01
[17564,] 6004 358 -4.102153e-01
[17565,] 6004 614 -4.102153e-01
[17566,] 6004 6004 8.204306e-01
[17567,] 6005 358 -4.102153e-01
[17568,] 6005 614 -4.102153e-01
[17569,] 6005 6005 8.204306e-01
[17570,] 6006 617 -7.189749e-01
[17571,] 6006 4562 -7.189749e-01
[17572,] 6006 6006 1.437950e+00
[17573,] 6007 617 -7.189749e-01
[17574,] 6007 4562 -7.189749e-01
[17575,] 6007 6007 1.437950e+00
[17576,] 6008 617 -7.189749e-01
[17577,] 6008 4562 -7.189749e-01
[17578,] 6008 6008 1.437950e+00
[17579,] 6009 617 -7.189749e-01
[17580,] 6009 4562 -7.189749e-01
[17581,] 6009 6009 1.437950e+00
[17582,] 6010 617 -7.189749e-01
[17583,] 6010 4562 -7.189749e-01
[17584,] 6010 6010 1.437950e+00
[17585,] 6011 617 -7.189749e-01
[17586,] 6011 4562 -7.189749e-01
[17587,] 6011 6011 1.437950e+00
[17588,] 6012 617 -7.189749e-01
[17589,] 6012 4562 -7.189749e-01
[17590,] 6012 6012 1.437950e+00
[17591,] 6013 617 -7.189749e-01
[17592,] 6013 4562 -7.189749e-01
[17593,] 6013 6013 1.437950e+00
[17594,] 6014 617 -7.189749e-01
[17595,] 6014 4562 -7.189749e-01
[17596,] 6014 6014 1.437950e+00
[17597,] 6015 617 -7.189749e-01
[17598,] 6015 4562 -7.189749e-01
[17599,] 6015 6015 1.437950e+00
[17600,] 6016 617 -7.189749e-01
[17601,] 6016 4562 -7.189749e-01
[17602,] 6016 6016 1.437950e+00
[17603,] 6017 617 -7.189749e-01
[17604,] 6017 4562 -7.189749e-01
[17605,] 6017 6017 1.437950e+00
[17606,] 6018 617 -7.189749e-01
[17607,] 6018 4562 -7.189749e-01
[17608,] 6018 6018 1.437950e+00
[17609,] 6019 617 -7.189749e-01
[17610,] 6019 4562 -7.189749e-01
[17611,] 6019 6019 1.437950e+00
[17612,] 6020 617 -7.189749e-01
[17613,] 6020 4562 -7.189749e-01
[17614,] 6020 6020 1.437950e+00
[17615,] 6021 617 -7.189749e-01
[17616,] 6021 4562 -7.189749e-01
[17617,] 6021 6021 1.437950e+00
[17618,] 6022 617 -7.189749e-01
[17619,] 6022 4562 -7.189749e-01
[17620,] 6022 6022 1.437950e+00
[17621,] 6023 617 -7.189749e-01
[17622,] 6023 4562 -7.189749e-01
[17623,] 6023 6023 1.437950e+00
[17624,] 6024 617 -7.189749e-01
[17625,] 6024 4562 -7.189749e-01
[17626,] 6024 6024 1.437950e+00
[17627,] 6025 617 -7.189749e-01
[17628,] 6025 4562 -7.189749e-01
[17629,] 6025 6025 1.437950e+00
[17630,] 6026 617 -7.189749e-01
[17631,] 6026 4562 -7.189749e-01
[17632,] 6026 6026 1.437950e+00
[17633,] 6027 361 -4.102153e-01
[17634,] 6027 614 -4.102153e-01
[17635,] 6027 6027 8.204306e-01
[17636,] 6028 361 -4.102153e-01
[17637,] 6028 614 -4.102153e-01
[17638,] 6028 6028 8.204306e-01
[17639,] 6029 361 -4.102153e-01
[17640,] 6029 614 -4.102153e-01
[17641,] 6029 6029 8.204306e-01
[17642,] 6030 361 -4.102153e-01
[17643,] 6030 614 -4.102153e-01
[17644,] 6030 6030 8.204306e-01
[17645,] 6031 361 -4.102153e-01
[17646,] 6031 614 -4.102153e-01
[17647,] 6031 6031 8.204306e-01
[17648,] 6032 362 -4.102153e-01
[17649,] 6032 614 -4.102153e-01
[17650,] 6032 6032 8.204306e-01
[17651,] 6033 362 -4.102153e-01
[17652,] 6033 614 -4.102153e-01
[17653,] 6033 6033 8.204306e-01
[17654,] 6034 362 -4.102153e-01
[17655,] 6034 614 -4.102153e-01
[17656,] 6034 6034 8.204306e-01
[17657,] 6035 362 -4.102153e-01
[17658,] 6035 614 -4.102153e-01
[17659,] 6035 6035 8.204306e-01
[17660,] 6036 362 -4.102153e-01
[17661,] 6036 614 -4.102153e-01
[17662,] 6036 6036 8.204306e-01
[17663,] 6037 651 -4.776119e-01
[17664,] 6037 4563 -4.776119e-01
[17665,] 6037 6037 9.552239e-01
[17666,] 6038 651 -4.776119e-01
[17667,] 6038 4563 -4.776119e-01
[17668,] 6038 6038 9.552239e-01
[17669,] 6039 651 -4.776119e-01
[17670,] 6039 4563 -4.776119e-01
[17671,] 6039 6039 9.552239e-01
[17672,] 6040 651 -4.776119e-01
[17673,] 6040 4563 -4.776119e-01
[17674,] 6040 6040 9.552239e-01
[17675,] 6041 651 -4.776119e-01
[17676,] 6041 4563 -4.776119e-01
[17677,] 6041 6041 9.552239e-01
[17678,] 6042 651 -4.776119e-01
[17679,] 6042 4563 -4.776119e-01
[17680,] 6042 6042 9.552239e-01
[17681,] 6043 651 -4.776119e-01
[17682,] 6043 4563 -4.776119e-01
[17683,] 6043 6043 9.552239e-01
[17684,] 6044 651 -4.776119e-01
[17685,] 6044 4563 -4.776119e-01
[17686,] 6044 6044 9.552239e-01
[17687,] 6045 385 -3.902439e-01
[17688,] 6045 4563 -3.902439e-01
[17689,] 6045 6045 7.804878e-01
[17690,] 6046 385 -3.902439e-01
[17691,] 6046 4563 -3.902439e-01
[17692,] 6046 6046 7.804878e-01
[17693,] 6047 385 -3.902439e-01
[17694,] 6047 4563 -3.902439e-01
[17695,] 6047 6047 7.804878e-01
[17696,] 6048 385 -3.902439e-01
[17697,] 6048 4563 -3.902439e-01
[17698,] 6048 6048 7.804878e-01
[17699,] 6049 385 -3.902439e-01
[17700,] 6049 4563 -3.902439e-01
[17701,] 6049 6049 7.804878e-01
[17702,] 6050 385 -3.902439e-01
[17703,] 6050 4563 -3.902439e-01
[17704,] 6050 6050 7.804878e-01
[17705,] 6051 385 -3.902439e-01
[17706,] 6051 4563 -3.902439e-01
[17707,] 6051 6051 7.804878e-01
[17708,] 6052 385 -3.902439e-01
[17709,] 6052 4563 -3.902439e-01
[17710,] 6052 6052 7.804878e-01
[17711,] 6053 385 -3.902439e-01
[17712,] 6053 4563 -3.902439e-01
[17713,] 6053 6053 7.804878e-01
[17714,] 6054 385 -3.902439e-01
[17715,] 6054 4563 -3.902439e-01
[17716,] 6054 6054 7.804878e-01
[17717,] 6055 385 -3.902439e-01
[17718,] 6055 4563 -3.902439e-01
[17719,] 6055 6055 7.804878e-01
[17720,] 6056 385 -3.902439e-01
[17721,] 6056 4563 -3.902439e-01
[17722,] 6056 6056 7.804878e-01
[17723,] 6057 385 -3.902439e-01
[17724,] 6057 4563 -3.902439e-01
[17725,] 6057 6057 7.804878e-01
[17726,] 6058 385 -3.902439e-01
[17727,] 6058 4563 -3.902439e-01
[17728,] 6058 6058 7.804878e-01
[17729,] 6059 385 -3.902439e-01
[17730,] 6059 4563 -3.902439e-01
[17731,] 6059 6059 7.804878e-01
[17732,] 6060 385 -3.902439e-01
[17733,] 6060 4563 -3.902439e-01
[17734,] 6060 6060 7.804878e-01
[17735,] 6061 385 -3.902439e-01
[17736,] 6061 4563 -3.902439e-01
[17737,] 6061 6061 7.804878e-01
[17738,] 6062 385 -3.902439e-01
[17739,] 6062 4563 -3.902439e-01
[17740,] 6062 6062 7.804878e-01
[17741,] 6063 385 -3.902439e-01
[17742,] 6063 4563 -3.902439e-01
[17743,] 6063 6063 7.804878e-01
[17744,] 6064 385 -3.902439e-01
[17745,] 6064 4563 -3.902439e-01
[17746,] 6064 6064 7.804878e-01
[17747,] 6065 385 -3.902439e-01
[17748,] 6065 4563 -3.902439e-01
[17749,] 6065 6065 7.804878e-01
[17750,] 6066 591 -3.902439e-01
[17751,] 6066 4563 -3.902439e-01
[17752,] 6066 6066 7.804878e-01
[17753,] 6067 591 -3.902439e-01
[17754,] 6067 4563 -3.902439e-01
[17755,] 6067 6067 7.804878e-01
[17756,] 6068 591 -3.902439e-01
[17757,] 6068 4563 -3.902439e-01
[17758,] 6068 6068 7.804878e-01
[17759,] 6069 591 -3.902439e-01
[17760,] 6069 4563 -3.902439e-01
[17761,] 6069 6069 7.804878e-01
[17762,] 6070 591 -3.902439e-01
[17763,] 6070 4563 -3.902439e-01
[17764,] 6070 6070 7.804878e-01
[17765,] 6071 591 -3.902439e-01
[17766,] 6071 4563 -3.902439e-01
[17767,] 6071 6071 7.804878e-01
[17768,] 6072 591 -3.902439e-01
[17769,] 6072 4563 -3.902439e-01
[17770,] 6072 6072 7.804878e-01
[17771,] 6073 591 -3.902439e-01
[17772,] 6073 4563 -3.902439e-01
[17773,] 6073 6073 7.804878e-01
[17774,] 6074 591 -3.902439e-01
[17775,] 6074 4563 -3.902439e-01
[17776,] 6074 6074 7.804878e-01
[17777,] 6075 591 -3.902439e-01
[17778,] 6075 4563 -3.902439e-01
[17779,] 6075 6075 7.804878e-01
[17780,] 6076 591 -3.902439e-01
[17781,] 6076 4563 -3.902439e-01
[17782,] 6076 6076 7.804878e-01
[17783,] 6077 591 -3.902439e-01
[17784,] 6077 4563 -3.902439e-01
[17785,] 6077 6077 7.804878e-01
[17786,] 6078 591 -3.902439e-01
[17787,] 6078 4563 -3.902439e-01
[17788,] 6078 6078 7.804878e-01
[17789,] 6079 591 -3.902439e-01
[17790,] 6079 4563 -3.902439e-01
[17791,] 6079 6079 7.804878e-01
[17792,] 6080 591 -3.902439e-01
[17793,] 6080 4563 -3.902439e-01
[17794,] 6080 6080 7.804878e-01
[17795,] 6081 591 -3.902439e-01
[17796,] 6081 4563 -3.902439e-01
[17797,] 6081 6081 7.804878e-01
[17798,] 6082 591 -3.902439e-01
[17799,] 6082 4563 -3.902439e-01
[17800,] 6082 6082 7.804878e-01
[17801,] 6083 591 -3.902439e-01
[17802,] 6083 4563 -3.902439e-01
[17803,] 6083 6083 7.804878e-01
[17804,] 6084 591 -3.902439e-01
[17805,] 6084 4563 -3.902439e-01
[17806,] 6084 6084 7.804878e-01
[17807,] 6085 591 -3.902439e-01
[17808,] 6085 4563 -3.902439e-01
[17809,] 6085 6085 7.804878e-01
[17810,] 6086 591 -3.902439e-01
[17811,] 6086 4563 -3.902439e-01
[17812,] 6086 6086 7.804878e-01
[17813,] 6087 591 -3.902439e-01
[17814,] 6087 4563 -3.902439e-01
[17815,] 6087 6087 7.804878e-01
[17816,] 6088 591 -3.902439e-01
[17817,] 6088 4563 -3.902439e-01
[17818,] 6088 6088 7.804878e-01
[17819,] 6089 591 -3.902439e-01
[17820,] 6089 4563 -3.902439e-01
[17821,] 6089 6089 7.804878e-01
[17822,] 6090 591 -3.902439e-01
[17823,] 6090 4563 -3.902439e-01
[17824,] 6090 6090 7.804878e-01
[17825,] 6091 591 -3.902439e-01
[17826,] 6091 4563 -3.902439e-01
[17827,] 6091 6091 7.804878e-01
[17828,] 6092 591 -3.902439e-01
[17829,] 6092 4563 -3.902439e-01
[17830,] 6092 6092 7.804878e-01
[17831,] 6093 591 -3.902439e-01
[17832,] 6093 4563 -3.902439e-01
[17833,] 6093 6093 7.804878e-01
[17834,] 6094 591 -3.902439e-01
[17835,] 6094 4563 -3.902439e-01
[17836,] 6094 6094 7.804878e-01
[17837,] 6095 591 -3.902439e-01
[17838,] 6095 4563 -3.902439e-01
[17839,] 6095 6095 7.804878e-01
[17840,] 6096 364 -4.102153e-01
[17841,] 6096 614 -4.102153e-01
[17842,] 6096 6096 8.204306e-01
[17843,] 6097 364 -4.102153e-01
[17844,] 6097 614 -4.102153e-01
[17845,] 6097 6097 8.204306e-01
[17846,] 6098 364 -4.102153e-01
[17847,] 6098 614 -4.102153e-01
[17848,] 6098 6098 8.204306e-01
[17849,] 6099 364 -4.102153e-01
[17850,] 6099 614 -4.102153e-01
[17851,] 6099 6099 8.204306e-01
[17852,] 6100 364 -4.102153e-01
[17853,] 6100 614 -4.102153e-01
[17854,] 6100 6100 8.204306e-01
[17855,] 6101 364 -4.102153e-01
[17856,] 6101 614 -4.102153e-01
[17857,] 6101 6101 8.204306e-01
[17858,] 6102 364 -4.102153e-01
[17859,] 6102 614 -4.102153e-01
[17860,] 6102 6102 8.204306e-01
[17861,] 6103 364 -4.102153e-01
[17862,] 6103 614 -4.102153e-01
[17863,] 6103 6103 8.204306e-01
[17864,] 6104 364 -4.102153e-01
[17865,] 6104 614 -4.102153e-01
[17866,] 6104 6104 8.204306e-01
[17867,] 6105 364 -4.102153e-01
[17868,] 6105 614 -4.102153e-01
[17869,] 6105 6105 8.204306e-01
[17870,] 6106 364 -4.102153e-01
[17871,] 6106 614 -4.102153e-01
[17872,] 6106 6106 8.204306e-01
[17873,] 6107 364 -4.102153e-01
[17874,] 6107 614 -4.102153e-01
[17875,] 6107 6107 8.204306e-01
[17876,] 6108 364 -4.102153e-01
[17877,] 6108 614 -4.102153e-01
[17878,] 6108 6108 8.204306e-01
[17879,] 6109 364 -4.102153e-01
[17880,] 6109 614 -4.102153e-01
[17881,] 6109 6109 8.204306e-01
[17882,] 6110 364 -4.102153e-01
[17883,] 6110 614 -4.102153e-01
[17884,] 6110 6110 8.204306e-01
[17885,] 6111 364 -4.102153e-01
[17886,] 6111 614 -4.102153e-01
[17887,] 6111 6111 8.204306e-01
[17888,] 6112 364 -4.102153e-01
[17889,] 6112 614 -4.102153e-01
[17890,] 6112 6112 8.204306e-01
[17891,] 6113 364 -4.102153e-01
[17892,] 6113 614 -4.102153e-01
[17893,] 6113 6113 8.204306e-01
[17894,] 6114 364 -4.102153e-01
[17895,] 6114 614 -4.102153e-01
[17896,] 6114 6114 8.204306e-01
[17897,] 6115 364 -4.049031e-01
[17898,] 6115 617 -4.049031e-01
[17899,] 6115 6115 8.098062e-01
[17900,] 6116 364 -4.049031e-01
[17901,] 6116 617 -4.049031e-01
[17902,] 6116 6116 8.098062e-01
[17903,] 6117 364 -4.049031e-01
[17904,] 6117 617 -4.049031e-01
[17905,] 6117 6117 8.098062e-01
[17906,] 6118 364 -4.049031e-01
[17907,] 6118 617 -4.049031e-01
[17908,] 6118 6118 8.098062e-01
[17909,] 6119 364 -4.049031e-01
[17910,] 6119 617 -4.049031e-01
[17911,] 6119 6119 8.098062e-01
[17912,] 6120 364 -4.049031e-01
[17913,] 6120 617 -4.049031e-01
[17914,] 6120 6120 8.098062e-01
[17915,] 6121 364 -4.049031e-01
[17916,] 6121 617 -4.049031e-01
[17917,] 6121 6121 8.098062e-01
[17918,] 6122 364 -4.049031e-01
[17919,] 6122 617 -4.049031e-01
[17920,] 6122 6122 8.098062e-01
[17921,] 6123 364 -4.049031e-01
[17922,] 6123 617 -4.049031e-01
[17923,] 6123 6123 8.098062e-01
[17924,] 6124 330 -4.050633e-01
[17925,] 6124 651 -4.050633e-01
[17926,] 6124 6124 8.101266e-01
[17927,] 6125 330 -4.050633e-01
[17928,] 6125 651 -4.050633e-01
[17929,] 6125 6125 8.101266e-01
[17930,] 6126 330 -4.050633e-01
[17931,] 6126 651 -4.050633e-01
[17932,] 6126 6126 8.101266e-01
[17933,] 6127 330 -4.050633e-01
[17934,] 6127 651 -4.050633e-01
[17935,] 6127 6127 8.101266e-01
[17936,] 6128 330 -4.050633e-01
[17937,] 6128 651 -4.050633e-01
[17938,] 6128 6128 8.101266e-01
[17939,] 6129 368 -3.902439e-01
[17940,] 6129 4563 -3.902439e-01
[17941,] 6129 6129 7.804878e-01
[17942,] 6130 368 -3.902439e-01
[17943,] 6130 4563 -3.902439e-01
[17944,] 6130 6130 7.804878e-01
[17945,] 6131 368 -3.902439e-01
[17946,] 6131 4563 -3.902439e-01
[17947,] 6131 6131 7.804878e-01
[17948,] 6132 368 -3.902439e-01
[17949,] 6132 4563 -3.902439e-01
[17950,] 6132 6132 7.804878e-01
[17951,] 6133 368 -3.902439e-01
[17952,] 6133 4563 -3.902439e-01
[17953,] 6133 6133 7.804878e-01
[17954,] 6134 368 -3.902439e-01
[17955,] 6134 4563 -3.902439e-01
[17956,] 6134 6134 7.804878e-01
[17957,] 6135 617 -7.528028e-01
[17958,] 6135 4573 -7.528028e-01
[17959,] 6135 6135 1.505606e+00
[17960,] 6136 617 -7.528028e-01
[17961,] 6136 4573 -7.528028e-01
[17962,] 6136 6136 1.505606e+00
[17963,] 6137 617 -7.528028e-01
[17964,] 6137 4573 -7.528028e-01
[17965,] 6137 6137 1.505606e+00
[17966,] 6138 617 -7.528028e-01
[17967,] 6138 4573 -7.528028e-01
[17968,] 6138 6138 1.505606e+00
[17969,] 6139 617 -7.528028e-01
[17970,] 6139 4573 -7.528028e-01
[17971,] 6139 6139 1.505606e+00
[17972,] 6140 617 -7.528028e-01
[17973,] 6140 4573 -7.528028e-01
[17974,] 6140 6140 1.505606e+00
[17975,] 6141 617 -7.528028e-01
[17976,] 6141 4573 -7.528028e-01
[17977,] 6141 6141 1.505606e+00
[17978,] 6142 617 -7.528028e-01
[17979,] 6142 4573 -7.528028e-01
[17980,] 6142 6142 1.505606e+00
[17981,] 6143 617 -7.528028e-01
[17982,] 6143 4573 -7.528028e-01
[17983,] 6143 6143 1.505606e+00
[17984,] 6144 617 -7.528028e-01
[17985,] 6144 4573 -7.528028e-01
[17986,] 6144 6144 1.505606e+00
[17987,] 6145 617 -7.528028e-01
[17988,] 6145 4573 -7.528028e-01
[17989,] 6145 6145 1.505606e+00
[17990,] 6146 617 -7.528028e-01
[17991,] 6146 4573 -7.528028e-01
[17992,] 6146 6146 1.505606e+00
[17993,] 6147 617 -7.528028e-01
[17994,] 6147 4573 -7.528028e-01
[17995,] 6147 6147 1.505606e+00
[17996,] 6148 617 -7.528028e-01
[17997,] 6148 4573 -7.528028e-01
[17998,] 6148 6148 1.505606e+00
[17999,] 6149 617 -7.528028e-01
[18000,] 6149 4573 -7.528028e-01
[18001,] 6149 6149 1.505606e+00
[18002,] 6150 617 -7.528028e-01
[18003,] 6150 4573 -7.528028e-01
[18004,] 6150 6150 1.505606e+00
[18005,] 6151 617 -7.528028e-01
[18006,] 6151 4573 -7.528028e-01
[18007,] 6151 6151 1.505606e+00
[18008,] 6152 617 -7.528028e-01
[18009,] 6152 4573 -7.528028e-01
[18010,] 6152 6152 1.505606e+00
[18011,] 6153 617 -7.528028e-01
[18012,] 6153 4573 -7.528028e-01
[18013,] 6153 6153 1.505606e+00
[18014,] 6154 617 -7.528028e-01
[18015,] 6154 4573 -7.528028e-01
[18016,] 6154 6154 1.505606e+00
[18017,] 6155 617 -7.528028e-01
[18018,] 6155 4573 -7.528028e-01
[18019,] 6155 6155 1.505606e+00
[18020,] 6156 617 -7.528028e-01
[18021,] 6156 4573 -7.528028e-01
[18022,] 6156 6156 1.505606e+00
[18023,] 6157 617 -7.528028e-01
[18024,] 6157 4573 -7.528028e-01
[18025,] 6157 6157 1.505606e+00
[18026,] 6158 369 -4.102153e-01
[18027,] 6158 614 -4.102153e-01
[18028,] 6158 6158 8.204306e-01
[18029,] 6159 369 -4.102153e-01
[18030,] 6159 614 -4.102153e-01
[18031,] 6159 6159 8.204306e-01
[18032,] 6160 369 -4.102153e-01
[18033,] 6160 614 -4.102153e-01
[18034,] 6160 6160 8.204306e-01
[18035,] 6161 369 -4.102153e-01
[18036,] 6161 614 -4.102153e-01
[18037,] 6161 6161 8.204306e-01
[18038,] 6162 617 -1.056896e+00
[18039,] 6162 4575 -1.056896e+00
[18040,] 6162 6162 2.113792e+00
[18041,] 6163 617 -1.056896e+00
[18042,] 6163 4575 -1.056896e+00
[18043,] 6163 6163 2.113792e+00
[18044,] 6164 617 -1.056896e+00
[18045,] 6164 4575 -1.056896e+00
[18046,] 6164 6164 2.113792e+00
[18047,] 6165 617 -1.056896e+00
[18048,] 6165 4575 -1.056896e+00
[18049,] 6165 6165 2.113792e+00
[18050,] 6166 617 -1.056896e+00
[18051,] 6166 4575 -1.056896e+00
[18052,] 6166 6166 2.113792e+00
[18053,] 6167 617 -1.056896e+00
[18054,] 6167 4575 -1.056896e+00
[18055,] 6167 6167 2.113792e+00
[18056,] 6168 617 -1.056896e+00
[18057,] 6168 4575 -1.056896e+00
[18058,] 6168 6168 2.113792e+00
[18059,] 6169 617 -1.056896e+00
[18060,] 6169 4575 -1.056896e+00
[18061,] 6169 6169 2.113792e+00
[18062,] 6170 617 -1.056896e+00
[18063,] 6170 4575 -1.056896e+00
[18064,] 6170 6170 2.113792e+00
[18065,] 6171 617 -1.056896e+00
[18066,] 6171 4575 -1.056896e+00
[18067,] 6171 6171 2.113792e+00
[18068,] 6172 617 -1.056896e+00
[18069,] 6172 4575 -1.056896e+00
[18070,] 6172 6172 2.113792e+00
[18071,] 6173 617 -1.056896e+00
[18072,] 6173 4575 -1.056896e+00
[18073,] 6173 6173 2.113792e+00
[18074,] 6174 617 -1.056896e+00
[18075,] 6174 4575 -1.056896e+00
[18076,] 6174 6174 2.113792e+00
[18077,] 6175 617 -1.056896e+00
[18078,] 6175 4575 -1.056896e+00
[18079,] 6175 6175 2.113792e+00
[18080,] 6176 617 -1.056896e+00
[18081,] 6176 4575 -1.056896e+00
[18082,] 6176 6176 2.113792e+00
[18083,] 6177 617 -1.056896e+00
[18084,] 6177 4575 -1.056896e+00
[18085,] 6177 6177 2.113792e+00
[18086,] 6178 617 -1.056896e+00
[18087,] 6178 4575 -1.056896e+00
[18088,] 6178 6178 2.113792e+00
[18089,] 6179 617 -1.056896e+00
[18090,] 6179 4575 -1.056896e+00
[18091,] 6179 6179 2.113792e+00
[18092,] 6180 617 -1.056896e+00
[18093,] 6180 4575 -1.056896e+00
[18094,] 6180 6180 2.113792e+00
[18095,] 6181 617 -1.056896e+00
[18096,] 6181 4575 -1.056896e+00
[18097,] 6181 6181 2.113792e+00
[18098,] 6182 617 -1.056896e+00
[18099,] 6182 4575 -1.056896e+00
[18100,] 6182 6182 2.113792e+00
[18101,] 6183 617 -1.056896e+00
[18102,] 6183 4575 -1.056896e+00
[18103,] 6183 6183 2.113792e+00
[18104,] 6184 617 -1.056896e+00
[18105,] 6184 4575 -1.056896e+00
[18106,] 6184 6184 2.113792e+00
[18107,] 6185 617 -1.056896e+00
[18108,] 6185 4575 -1.056896e+00
[18109,] 6185 6185 2.113792e+00
[18110,] 6186 617 -1.056896e+00
[18111,] 6186 4575 -1.056896e+00
[18112,] 6186 6186 2.113792e+00
[18113,] 6187 617 -1.056896e+00
[18114,] 6187 4575 -1.056896e+00
[18115,] 6187 6187 2.113792e+00
[18116,] 6188 617 -1.056896e+00
[18117,] 6188 4575 -1.056896e+00
[18118,] 6188 6188 2.113792e+00
[18119,] 6189 617 -7.189749e-01
[18120,] 6189 4576 -7.189749e-01
[18121,] 6189 6189 1.437950e+00
[18122,] 6190 617 -7.189749e-01
[18123,] 6190 4576 -7.189749e-01
[18124,] 6190 6190 1.437950e+00
[18125,] 6191 617 -7.189749e-01
[18126,] 6191 4576 -7.189749e-01
[18127,] 6191 6191 1.437950e+00
[18128,] 6192 617 -7.189749e-01
[18129,] 6192 4576 -7.189749e-01
[18130,] 6192 6192 1.437950e+00
[18131,] 6193 617 -7.189749e-01
[18132,] 6193 4576 -7.189749e-01
[18133,] 6193 6193 1.437950e+00
[18134,] 6194 617 -7.189749e-01
[18135,] 6194 4576 -7.189749e-01
[18136,] 6194 6194 1.437950e+00
[18137,] 6195 617 -7.189749e-01
[18138,] 6195 4576 -7.189749e-01
[18139,] 6195 6195 1.437950e+00
[18140,] 6196 617 -7.189749e-01
[18141,] 6196 4576 -7.189749e-01
[18142,] 6196 6196 1.437950e+00
[18143,] 6197 617 -7.189749e-01
[18144,] 6197 4576 -7.189749e-01
[18145,] 6197 6197 1.437950e+00
[18146,] 6198 617 -7.189749e-01
[18147,] 6198 4576 -7.189749e-01
[18148,] 6198 6198 1.437950e+00
[18149,] 6199 617 -7.189749e-01
[18150,] 6199 4576 -7.189749e-01
[18151,] 6199 6199 1.437950e+00
[18152,] 6200 617 -7.189749e-01
[18153,] 6200 4576 -7.189749e-01
[18154,] 6200 6200 1.437950e+00
[18155,] 6201 617 -7.189749e-01
[18156,] 6201 4576 -7.189749e-01
[18157,] 6201 6201 1.437950e+00
[18158,] 6202 617 -7.189749e-01
[18159,] 6202 4576 -7.189749e-01
[18160,] 6202 6202 1.437950e+00
[18161,] 6203 619 -5.078106e-01
[18162,] 6203 4577 -5.078106e-01
[18163,] 6203 6203 1.015621e+00
[18164,] 6204 619 -5.078106e-01
[18165,] 6204 4577 -5.078106e-01
[18166,] 6204 6204 1.015621e+00
[18167,] 6205 619 -5.078106e-01
[18168,] 6205 4577 -5.078106e-01
[18169,] 6205 6205 1.015621e+00
[18170,] 6206 619 -5.078106e-01
[18171,] 6206 4577 -5.078106e-01
[18172,] 6206 6206 1.015621e+00
[18173,] 6207 614 -5.078735e-01
[18174,] 6207 4577 -5.078735e-01
[18175,] 6207 6207 1.015747e+00
[18176,] 6208 614 -5.078735e-01
[18177,] 6208 4577 -5.078735e-01
[18178,] 6208 6208 1.015747e+00
[18179,] 6209 614 -5.078735e-01
[18180,] 6209 4577 -5.078735e-01
[18181,] 6209 6209 1.015747e+00
[18182,] 6210 614 -5.078735e-01
[18183,] 6210 4577 -5.078735e-01
[18184,] 6210 6210 1.015747e+00
[18185,] 6211 614 -5.078735e-01
[18186,] 6211 4577 -5.078735e-01
[18187,] 6211 6211 1.015747e+00
[18188,] 6212 615 -4.102153e-01
[18189,] 6212 4478 -4.102153e-01
[18190,] 6212 6212 8.204306e-01
[18191,] 6213 615 -4.102153e-01
[18192,] 6213 4478 -4.102153e-01
[18193,] 6213 6213 8.204306e-01
[18194,] 6214 615 -4.102153e-01
[18195,] 6214 4478 -4.102153e-01
[18196,] 6214 6214 8.204306e-01
[18197,] 6215 615 -4.102153e-01
[18198,] 6215 4478 -4.102153e-01
[18199,] 6215 6215 8.204306e-01
[18200,] 6216 615 -4.102153e-01
[18201,] 6216 4478 -4.102153e-01
[18202,] 6216 6216 8.204306e-01
[18203,] 6217 615 -4.102153e-01
[18204,] 6217 4478 -4.102153e-01
[18205,] 6217 6217 8.204306e-01
[18206,] 6218 615 -4.102153e-01
[18207,] 6218 4478 -4.102153e-01
[18208,] 6218 6218 8.204306e-01
[18209,] 6219 615 -4.102153e-01
[18210,] 6219 4480 -4.102153e-01
[18211,] 6219 6219 8.204306e-01
[18212,] 6220 615 -4.102153e-01
[18213,] 6220 4480 -4.102153e-01
[18214,] 6220 6220 8.204306e-01
[18215,] 6221 619 -6.804057e-01
[18216,] 6221 4485 -6.804057e-01
[18217,] 6221 6221 1.360811e+00
[18218,] 6222 619 -6.804057e-01
[18219,] 6222 4485 -6.804057e-01
[18220,] 6222 6222 1.360811e+00
[18221,] 6223 619 -6.804057e-01
[18222,] 6223 4485 -6.804057e-01
[18223,] 6223 6223 1.360811e+00
[18224,] 6224 619 -6.804057e-01
[18225,] 6224 4485 -6.804057e-01
[18226,] 6224 6224 1.360811e+00
[18227,] 6225 619 -6.804057e-01
[18228,] 6225 4485 -6.804057e-01
[18229,] 6225 6225 1.360811e+00
[18230,] 6226 619 -6.804057e-01
[18231,] 6226 4485 -6.804057e-01
[18232,] 6226 6226 1.360811e+00
[18233,] 6227 619 -6.804057e-01
[18234,] 6227 4485 -6.804057e-01
[18235,] 6227 6227 1.360811e+00
[18236,] 6228 619 -6.804057e-01
[18237,] 6228 4485 -6.804057e-01
[18238,] 6228 6228 1.360811e+00
[18239,] 6229 619 -6.804057e-01
[18240,] 6229 4485 -6.804057e-01
[18241,] 6229 6229 1.360811e+00
[18242,] 6230 619 -6.804057e-01
[18243,] 6230 4485 -6.804057e-01
[18244,] 6230 6230 1.360811e+00
[18245,] 6231 619 -6.804057e-01
[18246,] 6231 4485 -6.804057e-01
[18247,] 6231 6231 1.360811e+00
[18248,] 6232 619 -6.804057e-01
[18249,] 6232 4485 -6.804057e-01
[18250,] 6232 6232 1.360811e+00
[18251,] 6233 619 -6.804057e-01
[18252,] 6233 4485 -6.804057e-01
[18253,] 6233 6233 1.360811e+00
[18254,] 6234 619 -6.804057e-01
[18255,] 6234 4485 -6.804057e-01
[18256,] 6234 6234 1.360811e+00
[18257,] 6235 619 -6.804057e-01
[18258,] 6235 4485 -6.804057e-01
[18259,] 6235 6235 1.360811e+00
[18260,] 6236 619 -6.804057e-01
[18261,] 6236 4485 -6.804057e-01
[18262,] 6236 6236 1.360811e+00
[18263,] 6237 619 -6.804057e-01
[18264,] 6237 4485 -6.804057e-01
[18265,] 6237 6237 1.360811e+00
[18266,] 6238 619 -6.804057e-01
[18267,] 6238 4485 -6.804057e-01
[18268,] 6238 6238 1.360811e+00
[18269,] 6239 619 -6.804057e-01
[18270,] 6239 4485 -6.804057e-01
[18271,] 6239 6239 1.360811e+00
[18272,] 6240 619 -6.804057e-01
[18273,] 6240 4485 -6.804057e-01
[18274,] 6240 6240 1.360811e+00
[18275,] 6241 619 -6.804057e-01
[18276,] 6241 4485 -6.804057e-01
[18277,] 6241 6241 1.360811e+00
[18278,] 6242 619 -6.804057e-01
[18279,] 6242 4485 -6.804057e-01
[18280,] 6242 6242 1.360811e+00
[18281,] 6243 619 -6.804057e-01
[18282,] 6243 4485 -6.804057e-01
[18283,] 6243 6243 1.360811e+00
[18284,] 6244 619 -6.804057e-01
[18285,] 6244 4487 -6.804057e-01
[18286,] 6244 6244 1.360811e+00
[18287,] 6245 619 -6.804057e-01
[18288,] 6245 4487 -6.804057e-01
[18289,] 6245 6245 1.360811e+00
[18290,] 6246 619 -6.804057e-01
[18291,] 6246 4487 -6.804057e-01
[18292,] 6246 6246 1.360811e+00
[18293,] 6247 619 -6.804057e-01
[18294,] 6247 4487 -6.804057e-01
[18295,] 6247 6247 1.360811e+00
[18296,] 6248 619 -6.804057e-01
[18297,] 6248 4487 -6.804057e-01
[18298,] 6248 6248 1.360811e+00
[18299,] 6249 619 -6.804057e-01
[18300,] 6249 4487 -6.804057e-01
[18301,] 6249 6249 1.360811e+00
[18302,] 6250 619 -6.804057e-01
[18303,] 6250 4487 -6.804057e-01
[18304,] 6250 6250 1.360811e+00
[18305,] 6251 619 -6.804057e-01
[18306,] 6251 4487 -6.804057e-01
[18307,] 6251 6251 1.360811e+00
[18308,] 6252 619 -6.804057e-01
[18309,] 6252 4487 -6.804057e-01
[18310,] 6252 6252 1.360811e+00
[18311,] 6253 619 -6.804057e-01
[18312,] 6253 4487 -6.804057e-01
[18313,] 6253 6253 1.360811e+00
[18314,] 6254 619 -6.804057e-01
[18315,] 6254 4487 -6.804057e-01
[18316,] 6254 6254 1.360811e+00
[18317,] 6255 619 -6.804057e-01
[18318,] 6255 4487 -6.804057e-01
[18319,] 6255 6255 1.360811e+00
[18320,] 6256 619 -6.804057e-01
[18321,] 6256 4489 -6.804057e-01
[18322,] 6256 6256 1.360811e+00
[18323,] 6257 619 -6.804057e-01
[18324,] 6257 4489 -6.804057e-01
[18325,] 6257 6257 1.360811e+00
[18326,] 6258 619 -6.804057e-01
[18327,] 6258 4489 -6.804057e-01
[18328,] 6258 6258 1.360811e+00
[18329,] 6259 619 -6.804057e-01
[18330,] 6259 4489 -6.804057e-01
[18331,] 6259 6259 1.360811e+00
[18332,] 6260 619 -6.804057e-01
[18333,] 6260 4489 -6.804057e-01
[18334,] 6260 6260 1.360811e+00
[18335,] 6261 619 -6.804057e-01
[18336,] 6261 4489 -6.804057e-01
[18337,] 6261 6261 1.360811e+00
[18338,] 6262 619 -6.804057e-01
[18339,] 6262 4489 -6.804057e-01
[18340,] 6262 6262 1.360811e+00
[18341,] 6263 619 -6.804057e-01
[18342,] 6263 4489 -6.804057e-01
[18343,] 6263 6263 1.360811e+00
[18344,] 6264 619 -6.804057e-01
[18345,] 6264 4489 -6.804057e-01
[18346,] 6264 6264 1.360811e+00
[18347,] 6265 619 -6.804057e-01
[18348,] 6265 4489 -6.804057e-01
[18349,] 6265 6265 1.360811e+00
[18350,] 6266 619 -6.804057e-01
[18351,] 6266 4489 -6.804057e-01
[18352,] 6266 6266 1.360811e+00
[18353,] 6267 619 -6.804057e-01
[18354,] 6267 4493 -6.804057e-01
[18355,] 6267 6267 1.360811e+00
[18356,] 6268 619 -6.804057e-01
[18357,] 6268 4493 -6.804057e-01
[18358,] 6268 6268 1.360811e+00
[18359,] 6269 619 -6.804057e-01
[18360,] 6269 4493 -6.804057e-01
[18361,] 6269 6269 1.360811e+00
[18362,] 6270 619 -6.804057e-01
[18363,] 6270 4493 -6.804057e-01
[18364,] 6270 6270 1.360811e+00
[18365,] 6271 619 -6.804057e-01
[18366,] 6271 4493 -6.804057e-01
[18367,] 6271 6271 1.360811e+00
[18368,] 6272 619 -6.804057e-01
[18369,] 6272 4493 -6.804057e-01
[18370,] 6272 6272 1.360811e+00
[18371,] 6273 619 -6.804057e-01
[18372,] 6273 4493 -6.804057e-01
[18373,] 6273 6273 1.360811e+00
[18374,] 6274 619 -6.804057e-01
[18375,] 6274 4493 -6.804057e-01
[18376,] 6274 6274 1.360811e+00
[18377,] 6275 619 -6.804057e-01
[18378,] 6275 4493 -6.804057e-01
[18379,] 6275 6275 1.360811e+00
[18380,] 6276 619 -6.804057e-01
[18381,] 6276 4493 -6.804057e-01
[18382,] 6276 6276 1.360811e+00
[18383,] 6277 619 -6.804057e-01
[18384,] 6277 4493 -6.804057e-01
[18385,] 6277 6277 1.360811e+00
[18386,] 6278 619 -6.804057e-01
[18387,] 6278 4493 -6.804057e-01
[18388,] 6278 6278 1.360811e+00
[18389,] 6279 619 -6.804057e-01
[18390,] 6279 4493 -6.804057e-01
[18391,] 6279 6279 1.360811e+00
[18392,] 6280 619 -6.804057e-01
[18393,] 6280 4493 -6.804057e-01
[18394,] 6280 6280 1.360811e+00
[18395,] 6281 619 -6.804057e-01
[18396,] 6281 4493 -6.804057e-01
[18397,] 6281 6281 1.360811e+00
[18398,] 6282 619 -6.804057e-01
[18399,] 6282 4493 -6.804057e-01
[18400,] 6282 6282 1.360811e+00
[18401,] 6283 619 -6.804057e-01
[18402,] 6283 4493 -6.804057e-01
[18403,] 6283 6283 1.360811e+00
[18404,] 6284 619 -6.804057e-01
[18405,] 6284 4493 -6.804057e-01
[18406,] 6284 6284 1.360811e+00
[18407,] 6285 619 -6.804057e-01
[18408,] 6285 4493 -6.804057e-01
[18409,] 6285 6285 1.360811e+00
[18410,] 6286 619 -6.804057e-01
[18411,] 6286 4493 -6.804057e-01
[18412,] 6286 6286 1.360811e+00
[18413,] 6287 619 -6.804057e-01
[18414,] 6287 4497 -6.804057e-01
[18415,] 6287 6287 1.360811e+00
[18416,] 6288 619 -6.804057e-01
[18417,] 6288 4497 -6.804057e-01
[18418,] 6288 6288 1.360811e+00
[18419,] 6289 619 -6.804057e-01
[18420,] 6289 4497 -6.804057e-01
[18421,] 6289 6289 1.360811e+00
[18422,] 6290 619 -6.804057e-01
[18423,] 6290 4497 -6.804057e-01
[18424,] 6290 6290 1.360811e+00
[18425,] 6291 619 -6.804057e-01
[18426,] 6291 4497 -6.804057e-01
[18427,] 6291 6291 1.360811e+00
[18428,] 6292 619 -6.804057e-01
[18429,] 6292 4497 -6.804057e-01
[18430,] 6292 6292 1.360811e+00
[18431,] 6293 619 -6.804057e-01
[18432,] 6293 4497 -6.804057e-01
[18433,] 6293 6293 1.360811e+00
[18434,] 6294 619 -6.804057e-01
[18435,] 6294 4497 -6.804057e-01
[18436,] 6294 6294 1.360811e+00
[18437,] 6295 619 -6.804057e-01
[18438,] 6295 4497 -6.804057e-01
[18439,] 6295 6295 1.360811e+00
[18440,] 6296 619 -6.804057e-01
[18441,] 6296 4497 -6.804057e-01
[18442,] 6296 6296 1.360811e+00
[18443,] 6297 651 -6.534780e-01
[18444,] 6297 4499 -6.534780e-01
[18445,] 6297 6297 1.306956e+00
[18446,] 6298 651 -6.534780e-01
[18447,] 6298 4499 -6.534780e-01
[18448,] 6298 6298 1.306956e+00
[18449,] 6299 651 -6.534780e-01
[18450,] 6299 4499 -6.534780e-01
[18451,] 6299 6299 1.306956e+00
[18452,] 6300 651 -6.534780e-01
[18453,] 6300 4500 -6.534780e-01
[18454,] 6300 6300 1.306956e+00
[18455,] 6301 651 -6.534780e-01
[18456,] 6301 4500 -6.534780e-01
[18457,] 6301 6301 1.306956e+00
[18458,] 6302 651 -6.534780e-01
[18459,] 6302 4504 -6.534780e-01
[18460,] 6302 6302 1.306956e+00
[18461,] 6303 651 -6.534780e-01
[18462,] 6303 4504 -6.534780e-01
[18463,] 6303 6303 1.306956e+00
[18464,] 6304 651 -6.534780e-01
[18465,] 6304 4504 -6.534780e-01
[18466,] 6304 6304 1.306956e+00
[18467,] 6305 651 -6.534780e-01
[18468,] 6305 4504 -6.534780e-01
[18469,] 6305 6305 1.306956e+00
[18470,] 6306 651 -6.534780e-01
[18471,] 6306 4504 -6.534780e-01
[18472,] 6306 6306 1.306956e+00
[18473,] 6307 651 -6.534780e-01
[18474,] 6307 4504 -6.534780e-01
[18475,] 6307 6307 1.306956e+00
[18476,] 6308 651 -6.534780e-01
[18477,] 6308 4504 -6.534780e-01
[18478,] 6308 6308 1.306956e+00
[18479,] 6309 651 -6.534780e-01
[18480,] 6309 4504 -6.534780e-01
[18481,] 6309 6309 1.306956e+00
[18482,] 6310 651 -6.534780e-01
[18483,] 6310 4504 -6.534780e-01
[18484,] 6310 6310 1.306956e+00
[18485,] 6311 651 -6.534780e-01
[18486,] 6311 4504 -6.534780e-01
[18487,] 6311 6311 1.306956e+00
[18488,] 6312 651 -6.534780e-01
[18489,] 6312 4504 -6.534780e-01
[18490,] 6312 6312 1.306956e+00
[18491,] 6313 651 -6.534780e-01
[18492,] 6313 4504 -6.534780e-01
[18493,] 6313 6313 1.306956e+00
[18494,] 6314 651 -6.534780e-01
[18495,] 6314 4504 -6.534780e-01
[18496,] 6314 6314 1.306956e+00
[18497,] 6315 651 -6.534780e-01
[18498,] 6315 4504 -6.534780e-01
[18499,] 6315 6315 1.306956e+00
[18500,] 6316 651 -6.534780e-01
[18501,] 6316 4504 -6.534780e-01
[18502,] 6316 6316 1.306956e+00
[18503,] 6317 651 -6.534780e-01
[18504,] 6317 4510 -6.534780e-01
[18505,] 6317 6317 1.306956e+00
[18506,] 6318 651 -6.534780e-01
[18507,] 6318 4510 -6.534780e-01
[18508,] 6318 6318 1.306956e+00
[18509,] 6319 651 -6.534780e-01
[18510,] 6319 4510 -6.534780e-01
[18511,] 6319 6319 1.306956e+00
[18512,] 6320 651 -6.534780e-01
[18513,] 6320 4510 -6.534780e-01
[18514,] 6320 6320 1.306956e+00
[18515,] 6321 651 -6.534780e-01
[18516,] 6321 4510 -6.534780e-01
[18517,] 6321 6321 1.306956e+00
[18518,] 6322 651 -6.534780e-01
[18519,] 6322 4510 -6.534780e-01
[18520,] 6322 6322 1.306956e+00
[18521,] 6323 651 -6.534780e-01
[18522,] 6323 4510 -6.534780e-01
[18523,] 6323 6323 1.306956e+00
[18524,] 6324 651 -6.534780e-01
[18525,] 6324 4510 -6.534780e-01
[18526,] 6324 6324 1.306956e+00
[18527,] 6325 651 -6.534780e-01
[18528,] 6325 4510 -6.534780e-01
[18529,] 6325 6325 1.306956e+00
[18530,] 6326 651 -6.534780e-01
[18531,] 6326 4510 -6.534780e-01
[18532,] 6326 6326 1.306956e+00
[18533,] 6327 651 -6.534780e-01
[18534,] 6327 4510 -6.534780e-01
[18535,] 6327 6327 1.306956e+00
[18536,] 6328 651 -6.534780e-01
[18537,] 6328 4510 -6.534780e-01
[18538,] 6328 6328 1.306956e+00
[18539,] 6329 651 -6.534780e-01
[18540,] 6329 4510 -6.534780e-01
[18541,] 6329 6329 1.306956e+00
[18542,] 6330 651 -6.534780e-01
[18543,] 6330 4510 -6.534780e-01
[18544,] 6330 6330 1.306956e+00
[18545,] 6331 615 -4.102153e-01
[18546,] 6331 4510 -4.102153e-01
[18547,] 6331 6331 8.204306e-01
[18548,] 6332 615 -4.102153e-01
[18549,] 6332 4510 -4.102153e-01
[18550,] 6332 6332 8.204306e-01
[18551,] 6333 615 -4.102153e-01
[18552,] 6333 4510 -4.102153e-01
[18553,] 6333 6333 8.204306e-01
[18554,] 6334 615 -4.102153e-01
[18555,] 6334 4510 -4.102153e-01
[18556,] 6334 6334 8.204306e-01
[18557,] 6335 615 -4.102153e-01
[18558,] 6335 4510 -4.102153e-01
[18559,] 6335 6335 8.204306e-01
[18560,] 6336 615 -4.102153e-01
[18561,] 6336 4510 -4.102153e-01
[18562,] 6336 6336 8.204306e-01
[18563,] 6337 615 -4.102153e-01
[18564,] 6337 4510 -4.102153e-01
[18565,] 6337 6337 8.204306e-01
[18566,] 6338 615 -4.102153e-01
[18567,] 6338 4510 -4.102153e-01
[18568,] 6338 6338 8.204306e-01
[18569,] 6339 615 -4.102153e-01
[18570,] 6339 4510 -4.102153e-01
[18571,] 6339 6339 8.204306e-01
[18572,] 6340 615 -4.102153e-01
[18573,] 6340 4510 -4.102153e-01
[18574,] 6340 6340 8.204306e-01
[18575,] 6341 615 -4.102153e-01
[18576,] 6341 4510 -4.102153e-01
[18577,] 6341 6341 8.204306e-01
[18578,] 6342 615 -4.102153e-01
[18579,] 6342 4510 -4.102153e-01
[18580,] 6342 6342 8.204306e-01
[18581,] 6343 615 -4.102153e-01
[18582,] 6343 4510 -4.102153e-01
[18583,] 6343 6343 8.204306e-01
[18584,] 6344 615 -4.102153e-01
[18585,] 6344 4510 -4.102153e-01
[18586,] 6344 6344 8.204306e-01
[18587,] 6345 615 -4.102153e-01
[18588,] 6345 4510 -4.102153e-01
[18589,] 6345 6345 8.204306e-01
[18590,] 6346 615 -4.102153e-01
[18591,] 6346 4510 -4.102153e-01
[18592,] 6346 6346 8.204306e-01
[18593,] 6347 615 -4.102153e-01
[18594,] 6347 4510 -4.102153e-01
[18595,] 6347 6347 8.204306e-01
[18596,] 6348 615 -4.102153e-01
[18597,] 6348 4510 -4.102153e-01
[18598,] 6348 6348 8.204306e-01
[18599,] 6349 615 -4.102153e-01
[18600,] 6349 4510 -4.102153e-01
[18601,] 6349 6349 8.204306e-01
[18602,] 6350 615 -4.102153e-01
[18603,] 6350 4510 -4.102153e-01
[18604,] 6350 6350 8.204306e-01
[18605,] 6351 615 -4.102153e-01
[18606,] 6351 4510 -4.102153e-01
[18607,] 6351 6351 8.204306e-01
[18608,] 6352 615 -4.102153e-01
[18609,] 6352 4510 -4.102153e-01
[18610,] 6352 6352 8.204306e-01
[18611,] 6353 615 -4.102153e-01
[18612,] 6353 4510 -4.102153e-01
[18613,] 6353 6353 8.204306e-01
[18614,] 6354 615 -4.102153e-01
[18615,] 6354 4510 -4.102153e-01
[18616,] 6354 6354 8.204306e-01
[18617,] 6355 615 -4.102153e-01
[18618,] 6355 4510 -4.102153e-01
[18619,] 6355 6355 8.204306e-01
[18620,] 6356 615 -4.102153e-01
[18621,] 6356 4510 -4.102153e-01
[18622,] 6356 6356 8.204306e-01
[18623,] 6357 615 -4.102153e-01
[18624,] 6357 4510 -4.102153e-01
[18625,] 6357 6357 8.204306e-01
[18626,] 6358 615 -4.102153e-01
[18627,] 6358 4510 -4.102153e-01
[18628,] 6358 6358 8.204306e-01
[18629,] 6359 615 -4.102153e-01
[18630,] 6359 4510 -4.102153e-01
[18631,] 6359 6359 8.204306e-01
[18632,] 6360 615 -4.102153e-01
[18633,] 6360 4510 -4.102153e-01
[18634,] 6360 6360 8.204306e-01
[18635,] 6361 615 -4.102153e-01
[18636,] 6361 4510 -4.102153e-01
[18637,] 6361 6361 8.204306e-01
[18638,] 6362 615 -4.102153e-01
[18639,] 6362 4510 -4.102153e-01
[18640,] 6362 6362 8.204306e-01
[18641,] 6363 615 -5.119360e-01
[18642,] 6363 4513 -5.119360e-01
[18643,] 6363 6363 1.023872e+00
[18644,] 6364 615 -5.119360e-01
[18645,] 6364 4513 -5.119360e-01
[18646,] 6364 6364 1.023872e+00
[18647,] 6365 615 -5.119360e-01
[18648,] 6365 4513 -5.119360e-01
[18649,] 6365 6365 1.023872e+00
[18650,] 6366 615 -5.119360e-01
[18651,] 6366 4513 -5.119360e-01
[18652,] 6366 6366 1.023872e+00
[18653,] 6367 615 -5.119360e-01
[18654,] 6367 4513 -5.119360e-01
[18655,] 6367 6367 1.023872e+00
[18656,] 6368 615 -5.119360e-01
[18657,] 6368 4513 -5.119360e-01
[18658,] 6368 6368 1.023872e+00
[18659,] 6369 615 -5.119360e-01
[18660,] 6369 4513 -5.119360e-01
[18661,] 6369 6369 1.023872e+00
[18662,] 6370 615 -5.119360e-01
[18663,] 6370 4513 -5.119360e-01
[18664,] 6370 6370 1.023872e+00
[18665,] 6371 615 -5.119360e-01
[18666,] 6371 4513 -5.119360e-01
[18667,] 6371 6371 1.023872e+00
[18668,] 6372 615 -5.119360e-01
[18669,] 6372 4513 -5.119360e-01
[18670,] 6372 6372 1.023872e+00
[18671,] 6373 615 -5.119360e-01
[18672,] 6373 4513 -5.119360e-01
[18673,] 6373 6373 1.023872e+00
[18674,] 6374 615 -5.119360e-01
[18675,] 6374 4513 -5.119360e-01
[18676,] 6374 6374 1.023872e+00
[18677,] 6375 615 -5.119360e-01
[18678,] 6375 4513 -5.119360e-01
[18679,] 6375 6375 1.023872e+00
[18680,] 6376 615 -5.119360e-01
[18681,] 6376 4513 -5.119360e-01
[18682,] 6376 6376 1.023872e+00
[18683,] 6377 615 -5.119360e-01
[18684,] 6377 4513 -5.119360e-01
[18685,] 6377 6377 1.023872e+00
[18686,] 6378 615 -5.119360e-01
[18687,] 6378 4513 -5.119360e-01
[18688,] 6378 6378 1.023872e+00
[18689,] 6379 615 -5.119360e-01
[18690,] 6379 4513 -5.119360e-01
[18691,] 6379 6379 1.023872e+00
[18692,] 6380 615 -5.119360e-01
[18693,] 6380 4513 -5.119360e-01
[18694,] 6380 6380 1.023872e+00
[18695,] 6381 615 -5.119360e-01
[18696,] 6381 4513 -5.119360e-01
[18697,] 6381 6381 1.023872e+00
[18698,] 6382 615 -5.119360e-01
[18699,] 6382 4513 -5.119360e-01
[18700,] 6382 6382 1.023872e+00
[18701,] 6383 615 -5.119360e-01
[18702,] 6383 4513 -5.119360e-01
[18703,] 6383 6383 1.023872e+00
[18704,] 6384 615 -5.119360e-01
[18705,] 6384 4513 -5.119360e-01
[18706,] 6384 6384 1.023872e+00
[18707,] 6385 615 -5.119360e-01
[18708,] 6385 4513 -5.119360e-01
[18709,] 6385 6385 1.023872e+00
[18710,] 6386 615 -5.119360e-01
[18711,] 6386 4513 -5.119360e-01
[18712,] 6386 6386 1.023872e+00
[18713,] 6387 615 -5.119360e-01
[18714,] 6387 4513 -5.119360e-01
[18715,] 6387 6387 1.023872e+00
[18716,] 6388 619 -6.804057e-01
[18717,] 6388 4514 -6.804057e-01
[18718,] 6388 6388 1.360811e+00
[18719,] 6389 619 -6.804057e-01
[18720,] 6389 4514 -6.804057e-01
[18721,] 6389 6389 1.360811e+00
[18722,] 6390 619 -6.804057e-01
[18723,] 6390 4514 -6.804057e-01
[18724,] 6390 6390 1.360811e+00
[18725,] 6391 619 -6.804057e-01
[18726,] 6391 4514 -6.804057e-01
[18727,] 6391 6391 1.360811e+00
[18728,] 6392 619 -6.804057e-01
[18729,] 6392 4514 -6.804057e-01
[18730,] 6392 6392 1.360811e+00
[18731,] 6393 619 -6.804057e-01
[18732,] 6393 4514 -6.804057e-01
[18733,] 6393 6393 1.360811e+00
[18734,] 6394 619 -6.804057e-01
[18735,] 6394 4514 -6.804057e-01
[18736,] 6394 6394 1.360811e+00
[18737,] 6395 619 -6.804057e-01
[18738,] 6395 4514 -6.804057e-01
[18739,] 6395 6395 1.360811e+00
[18740,] 6396 619 -6.804057e-01
[18741,] 6396 4514 -6.804057e-01
[18742,] 6396 6396 1.360811e+00
[18743,] 6397 619 -6.804057e-01
[18744,] 6397 4514 -6.804057e-01
[18745,] 6397 6397 1.360811e+00
[18746,] 6398 619 -6.804057e-01
[18747,] 6398 4514 -6.804057e-01
[18748,] 6398 6398 1.360811e+00
[18749,] 6399 619 -6.804057e-01
[18750,] 6399 4514 -6.804057e-01
[18751,] 6399 6399 1.360811e+00
[18752,] 6400 619 -6.804057e-01
[18753,] 6400 4514 -6.804057e-01
[18754,] 6400 6400 1.360811e+00
[18755,] 6401 619 -6.804057e-01
[18756,] 6401 4514 -6.804057e-01
[18757,] 6401 6401 1.360811e+00
[18758,] 6402 619 -6.804057e-01
[18759,] 6402 4514 -6.804057e-01
[18760,] 6402 6402 1.360811e+00
[18761,] 6403 619 -6.804057e-01
[18762,] 6403 4514 -6.804057e-01
[18763,] 6403 6403 1.360811e+00
[18764,] 6404 619 -6.804057e-01
[18765,] 6404 4514 -6.804057e-01
[18766,] 6404 6404 1.360811e+00
[18767,] 6405 619 -6.804057e-01
[18768,] 6405 4514 -6.804057e-01
[18769,] 6405 6405 1.360811e+00
[18770,] 6406 619 -6.804057e-01
[18771,] 6406 4514 -6.804057e-01
[18772,] 6406 6406 1.360811e+00
[18773,] 6407 619 -6.804057e-01
[18774,] 6407 4514 -6.804057e-01
[18775,] 6407 6407 1.360811e+00
[18776,] 6408 619 -6.804057e-01
[18777,] 6408 4514 -6.804057e-01
[18778,] 6408 6408 1.360811e+00
[18779,] 6409 619 -6.804057e-01
[18780,] 6409 4514 -6.804057e-01
[18781,] 6409 6409 1.360811e+00
[18782,] 6410 619 -6.804057e-01
[18783,] 6410 4514 -6.804057e-01
[18784,] 6410 6410 1.360811e+00
[18785,] 6411 619 -6.804057e-01
[18786,] 6411 4514 -6.804057e-01
[18787,] 6411 6411 1.360811e+00
[18788,] 6412 619 -6.804057e-01
[18789,] 6412 4514 -6.804057e-01
[18790,] 6412 6412 1.360811e+00
[18791,] 6413 619 -6.804057e-01
[18792,] 6413 4514 -6.804057e-01
[18793,] 6413 6413 1.360811e+00
[18794,] 6414 619 -6.804057e-01
[18795,] 6414 4514 -6.804057e-01
[18796,] 6414 6414 1.360811e+00
[18797,] 6415 619 -6.804057e-01
[18798,] 6415 4514 -6.804057e-01
[18799,] 6415 6415 1.360811e+00
[18800,] 6416 619 -6.804057e-01
[18801,] 6416 4514 -6.804057e-01
[18802,] 6416 6416 1.360811e+00
[18803,] 6417 619 -6.804057e-01
[18804,] 6417 4514 -6.804057e-01
[18805,] 6417 6417 1.360811e+00
[18806,] 6418 619 -6.804057e-01
[18807,] 6418 4514 -6.804057e-01
[18808,] 6418 6418 1.360811e+00
[18809,] 6419 619 -6.804057e-01
[18810,] 6419 4514 -6.804057e-01
[18811,] 6419 6419 1.360811e+00
[18812,] 6420 619 -6.804057e-01
[18813,] 6420 4514 -6.804057e-01
[18814,] 6420 6420 1.360811e+00
[18815,] 6421 619 -6.804057e-01
[18816,] 6421 4514 -6.804057e-01
[18817,] 6421 6421 1.360811e+00
[18818,] 6422 619 -6.804057e-01
[18819,] 6422 4514 -6.804057e-01
[18820,] 6422 6422 1.360811e+00
[18821,] 6423 619 -6.804057e-01
[18822,] 6423 4514 -6.804057e-01
[18823,] 6423 6423 1.360811e+00
[18824,] 6424 619 -6.804057e-01
[18825,] 6424 4514 -6.804057e-01
[18826,] 6424 6424 1.360811e+00
[18827,] 6425 619 -6.804057e-01
[18828,] 6425 4514 -6.804057e-01
[18829,] 6425 6425 1.360811e+00
[18830,] 6426 619 -6.804057e-01
[18831,] 6426 4514 -6.804057e-01
[18832,] 6426 6426 1.360811e+00
[18833,] 6427 619 -6.804057e-01
[18834,] 6427 4514 -6.804057e-01
[18835,] 6427 6427 1.360811e+00
[18836,] 6428 619 -6.804057e-01
[18837,] 6428 4514 -6.804057e-01
[18838,] 6428 6428 1.360811e+00
[18839,] 6429 619 -6.804057e-01
[18840,] 6429 4514 -6.804057e-01
[18841,] 6429 6429 1.360811e+00
[18842,] 6430 619 -6.804057e-01
[18843,] 6430 4514 -6.804057e-01
[18844,] 6430 6430 1.360811e+00
[18845,] 6431 619 -6.804057e-01
[18846,] 6431 4514 -6.804057e-01
[18847,] 6431 6431 1.360811e+00
[18848,] 6432 619 -6.804057e-01
[18849,] 6432 4514 -6.804057e-01
[18850,] 6432 6432 1.360811e+00
[18851,] 6433 619 -6.804057e-01
[18852,] 6433 4514 -6.804057e-01
[18853,] 6433 6433 1.360811e+00
[18854,] 6434 619 -6.804057e-01
[18855,] 6434 4514 -6.804057e-01
[18856,] 6434 6434 1.360811e+00
[18857,] 6435 619 -6.804057e-01
[18858,] 6435 4514 -6.804057e-01
[18859,] 6435 6435 1.360811e+00
[18860,] 6436 619 -6.804057e-01
[18861,] 6436 4514 -6.804057e-01
[18862,] 6436 6436 1.360811e+00
[18863,] 6437 619 -6.804057e-01
[18864,] 6437 4514 -6.804057e-01
[18865,] 6437 6437 1.360811e+00
[18866,] 6438 619 -6.804057e-01
[18867,] 6438 4514 -6.804057e-01
[18868,] 6438 6438 1.360811e+00
[18869,] 6439 619 -6.804057e-01
[18870,] 6439 4514 -6.804057e-01
[18871,] 6439 6439 1.360811e+00
[18872,] 6440 619 -6.804057e-01
[18873,] 6440 4514 -6.804057e-01
[18874,] 6440 6440 1.360811e+00
[18875,] 6441 619 -6.804057e-01
[18876,] 6441 4514 -6.804057e-01
[18877,] 6441 6441 1.360811e+00
[18878,] 6442 617 -6.526580e-01
[18879,] 6442 4515 -6.526580e-01
[18880,] 6442 6442 1.305316e+00
[18881,] 6443 617 -6.526580e-01
[18882,] 6443 4515 -6.526580e-01
[18883,] 6443 6443 1.305316e+00
[18884,] 6444 617 -6.526580e-01
[18885,] 6444 4515 -6.526580e-01
[18886,] 6444 6444 1.305316e+00
[18887,] 6445 617 -6.526580e-01
[18888,] 6445 4515 -6.526580e-01
[18889,] 6445 6445 1.305316e+00
[18890,] 6446 617 -6.526580e-01
[18891,] 6446 4515 -6.526580e-01
[18892,] 6446 6446 1.305316e+00
[18893,] 6447 617 -6.526580e-01
[18894,] 6447 4515 -6.526580e-01
[18895,] 6447 6447 1.305316e+00
[18896,] 6448 617 -6.526580e-01
[18897,] 6448 4515 -6.526580e-01
[18898,] 6448 6448 1.305316e+00
[18899,] 6449 617 -6.526580e-01
[18900,] 6449 4515 -6.526580e-01
[18901,] 6449 6449 1.305316e+00
[18902,] 6450 617 -6.526580e-01
[18903,] 6450 4515 -6.526580e-01
[18904,] 6450 6450 1.305316e+00
[18905,] 6451 617 -6.526580e-01
[18906,] 6451 4515 -6.526580e-01
[18907,] 6451 6451 1.305316e+00
[18908,] 6452 617 -6.526580e-01
[18909,] 6452 4515 -6.526580e-01
[18910,] 6452 6452 1.305316e+00
[18911,] 6453 617 -6.526580e-01
[18912,] 6453 4515 -6.526580e-01
[18913,] 6453 6453 1.305316e+00
[18914,] 6454 617 -6.526580e-01
[18915,] 6454 4515 -6.526580e-01
[18916,] 6454 6454 1.305316e+00
[18917,] 6455 617 -6.526580e-01
[18918,] 6455 4515 -6.526580e-01
[18919,] 6455 6455 1.305316e+00
[18920,] 6456 617 -6.526580e-01
[18921,] 6456 4515 -6.526580e-01
[18922,] 6456 6456 1.305316e+00
[18923,] 6457 617 -6.526580e-01
[18924,] 6457 4515 -6.526580e-01
[18925,] 6457 6457 1.305316e+00
[18926,] 6458 617 -6.526580e-01
[18927,] 6458 4515 -6.526580e-01
[18928,] 6458 6458 1.305316e+00
[18929,] 6459 617 -6.526580e-01
[18930,] 6459 4515 -6.526580e-01
[18931,] 6459 6459 1.305316e+00
[18932,] 6460 617 -6.526580e-01
[18933,] 6460 4515 -6.526580e-01
[18934,] 6460 6460 1.305316e+00
[18935,] 6461 617 -6.526580e-01
[18936,] 6461 4515 -6.526580e-01
[18937,] 6461 6461 1.305316e+00
[18938,] 6462 617 -6.526580e-01
[18939,] 6462 4515 -6.526580e-01
[18940,] 6462 6462 1.305316e+00
[18941,] 6463 617 -6.526580e-01
[18942,] 6463 4515 -6.526580e-01
[18943,] 6463 6463 1.305316e+00
[18944,] 6464 617 -6.526580e-01
[18945,] 6464 4515 -6.526580e-01
[18946,] 6464 6464 1.305316e+00
[18947,] 6465 617 -6.526580e-01
[18948,] 6465 4515 -6.526580e-01
[18949,] 6465 6465 1.305316e+00
[18950,] 6466 617 -6.526580e-01
[18951,] 6466 4515 -6.526580e-01
[18952,] 6466 6466 1.305316e+00
[18953,] 6467 617 -6.526580e-01
[18954,] 6467 4515 -6.526580e-01
[18955,] 6467 6467 1.305316e+00
[18956,] 6468 617 -6.526580e-01
[18957,] 6468 4515 -6.526580e-01
[18958,] 6468 6468 1.305316e+00
[18959,] 6469 615 -6.806283e-01
[18960,] 6469 4518 -6.806283e-01
[18961,] 6469 6469 1.361257e+00
[18962,] 6470 615 -6.806283e-01
[18963,] 6470 4518 -6.806283e-01
[18964,] 6470 6470 1.361257e+00
[18965,] 6471 615 -6.806283e-01
[18966,] 6471 4518 -6.806283e-01
[18967,] 6471 6471 1.361257e+00
[18968,] 6472 615 -6.806283e-01
[18969,] 6472 4518 -6.806283e-01
[18970,] 6472 6472 1.361257e+00
[18971,] 6473 615 -6.806283e-01
[18972,] 6473 4518 -6.806283e-01
[18973,] 6473 6473 1.361257e+00
[18974,] 6474 615 -6.806283e-01
[18975,] 6474 4518 -6.806283e-01
[18976,] 6474 6474 1.361257e+00
[18977,] 6475 615 -6.806283e-01
[18978,] 6475 4518 -6.806283e-01
[18979,] 6475 6475 1.361257e+00
[18980,] 6476 615 -6.806283e-01
[18981,] 6476 4518 -6.806283e-01
[18982,] 6476 6476 1.361257e+00
[18983,] 6477 615 -6.806283e-01
[18984,] 6477 4518 -6.806283e-01
[18985,] 6477 6477 1.361257e+00
[18986,] 6478 615 -6.806283e-01
[18987,] 6478 4518 -6.806283e-01
[18988,] 6478 6478 1.361257e+00
[18989,] 6479 615 -6.806283e-01
[18990,] 6479 4518 -6.806283e-01
[18991,] 6479 6479 1.361257e+00
[18992,] 6480 615 -6.806283e-01
[18993,] 6480 4518 -6.806283e-01
[18994,] 6480 6480 1.361257e+00
[18995,] 6481 615 -6.806283e-01
[18996,] 6481 4518 -6.806283e-01
[18997,] 6481 6481 1.361257e+00
[18998,] 6482 615 -6.806283e-01
[18999,] 6482 4518 -6.806283e-01
[19000,] 6482 6482 1.361257e+00
[19001,] 6483 615 -6.806283e-01
[19002,] 6483 4518 -6.806283e-01
[19003,] 6483 6483 1.361257e+00
[19004,] 6484 615 -6.806283e-01
[19005,] 6484 4518 -6.806283e-01
[19006,] 6484 6484 1.361257e+00
[19007,] 6485 615 -6.806283e-01
[19008,] 6485 4518 -6.806283e-01
[19009,] 6485 6485 1.361257e+00
[19010,] 6486 615 -6.806283e-01
[19011,] 6486 4518 -6.806283e-01
[19012,] 6486 6486 1.361257e+00
[19013,] 6487 615 -6.806283e-01
[19014,] 6487 4518 -6.806283e-01
[19015,] 6487 6487 1.361257e+00
[19016,] 6488 615 -6.806283e-01
[19017,] 6488 4518 -6.806283e-01
[19018,] 6488 6488 1.361257e+00
[19019,] 6489 615 -6.806283e-01
[19020,] 6489 4518 -6.806283e-01
[19021,] 6489 6489 1.361257e+00
[19022,] 6490 615 -6.806283e-01
[19023,] 6490 4518 -6.806283e-01
[19024,] 6490 6490 1.361257e+00
[19025,] 6491 615 -6.806283e-01
[19026,] 6491 4518 -6.806283e-01
[19027,] 6491 6491 1.361257e+00
[19028,] 6492 615 -6.806283e-01
[19029,] 6492 4518 -6.806283e-01
[19030,] 6492 6492 1.361257e+00
[19031,] 6493 615 -6.806283e-01
[19032,] 6493 4518 -6.806283e-01
[19033,] 6493 6493 1.361257e+00
[19034,] 6494 615 -6.806283e-01
[19035,] 6494 4518 -6.806283e-01
[19036,] 6494 6494 1.361257e+00
[19037,] 6495 615 -6.806283e-01
[19038,] 6495 4518 -6.806283e-01
[19039,] 6495 6495 1.361257e+00
[19040,] 6496 615 -6.806283e-01
[19041,] 6496 4518 -6.806283e-01
[19042,] 6496 6496 1.361257e+00
[19043,] 6497 615 -6.806283e-01
[19044,] 6497 4518 -6.806283e-01
[19045,] 6497 6497 1.361257e+00
[19046,] 6498 615 -6.806283e-01
[19047,] 6498 4518 -6.806283e-01
[19048,] 6498 6498 1.361257e+00
[19049,] 6499 615 -6.806283e-01
[19050,] 6499 4518 -6.806283e-01
[19051,] 6499 6499 1.361257e+00
[19052,] 6500 615 -6.806283e-01
[19053,] 6500 4518 -6.806283e-01
[19054,] 6500 6500 1.361257e+00
[19055,] 6501 615 -6.806283e-01
[19056,] 6501 4518 -6.806283e-01
[19057,] 6501 6501 1.361257e+00
[19058,] 6502 615 -6.806283e-01
[19059,] 6502 4518 -6.806283e-01
[19060,] 6502 6502 1.361257e+00
[19061,] 6503 615 -6.806283e-01
[19062,] 6503 4518 -6.806283e-01
[19063,] 6503 6503 1.361257e+00
[19064,] 6504 615 -6.806283e-01
[19065,] 6504 4518 -6.806283e-01
[19066,] 6504 6504 1.361257e+00
[19067,] 6505 615 -6.806283e-01
[19068,] 6505 4518 -6.806283e-01
[19069,] 6505 6505 1.361257e+00
[19070,] 6506 615 -6.806283e-01
[19071,] 6506 4518 -6.806283e-01
[19072,] 6506 6506 1.361257e+00
[19073,] 6507 615 -6.806283e-01
[19074,] 6507 4518 -6.806283e-01
[19075,] 6507 6507 1.361257e+00
[19076,] 6508 615 -6.806283e-01
[19077,] 6508 4518 -6.806283e-01
[19078,] 6508 6508 1.361257e+00
[19079,] 6509 615 -6.806283e-01
[19080,] 6509 4518 -6.806283e-01
[19081,] 6509 6509 1.361257e+00
[19082,] 6510 615 -6.806283e-01
[19083,] 6510 4518 -6.806283e-01
[19084,] 6510 6510 1.361257e+00
[19085,] 6511 615 -6.806283e-01
[19086,] 6511 4518 -6.806283e-01
[19087,] 6511 6511 1.361257e+00
[19088,] 6512 617 -1.366415e+00
[19089,] 6512 4519 -1.366415e+00
[19090,] 6512 6512 2.732830e+00
[19091,] 6513 617 -1.366415e+00
[19092,] 6513 4519 -1.366415e+00
[19093,] 6513 6513 2.732830e+00
[19094,] 6514 617 -1.366415e+00
[19095,] 6514 4519 -1.366415e+00
[19096,] 6514 6514 2.732830e+00
[19097,] 6515 617 -1.366415e+00
[19098,] 6515 4519 -1.366415e+00
[19099,] 6515 6515 2.732830e+00
[19100,] 6516 617 -1.366415e+00
[19101,] 6516 4519 -1.366415e+00
[19102,] 6516 6516 2.732830e+00
[19103,] 6517 617 -1.366415e+00
[19104,] 6517 4519 -1.366415e+00
[19105,] 6517 6517 2.732830e+00
[19106,] 6518 617 -1.366415e+00
[19107,] 6518 4519 -1.366415e+00
[19108,] 6518 6518 2.732830e+00
[19109,] 6519 617 -1.366415e+00
[19110,] 6519 4519 -1.366415e+00
[19111,] 6519 6519 2.732830e+00
[19112,] 6520 617 -1.366415e+00
[19113,] 6520 4519 -1.366415e+00
[19114,] 6520 6520 2.732830e+00
[19115,] 6521 617 -1.366415e+00
[19116,] 6521 4519 -1.366415e+00
[19117,] 6521 6521 2.732830e+00
[19118,] 6522 617 -1.366415e+00
[19119,] 6522 4519 -1.366415e+00
[19120,] 6522 6522 2.732830e+00
[19121,] 6523 617 -1.366415e+00
[19122,] 6523 4519 -1.366415e+00
[19123,] 6523 6523 2.732830e+00
[19124,] 6524 617 -1.366415e+00
[19125,] 6524 4519 -1.366415e+00
[19126,] 6524 6524 2.732830e+00
[19127,] 6525 617 -1.366415e+00
[19128,] 6525 4519 -1.366415e+00
[19129,] 6525 6525 2.732830e+00
[19130,] 6526 617 -1.366415e+00
[19131,] 6526 4519 -1.366415e+00
[19132,] 6526 6526 2.732830e+00
[19133,] 6527 617 -1.366415e+00
[19134,] 6527 4519 -1.366415e+00
[19135,] 6527 6527 2.732830e+00
[19136,] 6528 617 -1.366415e+00
[19137,] 6528 4519 -1.366415e+00
[19138,] 6528 6528 2.732830e+00
[19139,] 6529 617 -1.366415e+00
[19140,] 6529 4519 -1.366415e+00
[19141,] 6529 6529 2.732830e+00
[19142,] 6530 617 -1.366415e+00
[19143,] 6530 4519 -1.366415e+00
[19144,] 6530 6530 2.732830e+00
[19145,] 6531 617 -1.366415e+00
[19146,] 6531 4519 -1.366415e+00
[19147,] 6531 6531 2.732830e+00
[19148,] 6532 617 -1.366415e+00
[19149,] 6532 4519 -1.366415e+00
[19150,] 6532 6532 2.732830e+00
[19151,] 6533 617 -1.366415e+00
[19152,] 6533 4519 -1.366415e+00
[19153,] 6533 6533 2.732830e+00
[19154,] 6534 617 -1.366415e+00
[19155,] 6534 4519 -1.366415e+00
[19156,] 6534 6534 2.732830e+00
[19157,] 6535 617 -1.366415e+00
[19158,] 6535 4519 -1.366415e+00
[19159,] 6535 6535 2.732830e+00
[19160,] 6536 617 -1.366415e+00
[19161,] 6536 4519 -1.366415e+00
[19162,] 6536 6536 2.732830e+00
[19163,] 6537 617 -1.366415e+00
[19164,] 6537 4519 -1.366415e+00
[19165,] 6537 6537 2.732830e+00
[19166,] 6538 617 -1.366415e+00
[19167,] 6538 4519 -1.366415e+00
[19168,] 6538 6538 2.732830e+00
[19169,] 6539 617 -1.366415e+00
[19170,] 6539 4519 -1.366415e+00
[19171,] 6539 6539 2.732830e+00
[19172,] 6540 617 -1.366415e+00
[19173,] 6540 4519 -1.366415e+00
[19174,] 6540 6540 2.732830e+00
[19175,] 6541 617 -1.366415e+00
[19176,] 6541 4519 -1.366415e+00
[19177,] 6541 6541 2.732830e+00
[19178,] 6542 617 -1.366415e+00
[19179,] 6542 4519 -1.366415e+00
[19180,] 6542 6542 2.732830e+00
[19181,] 6543 617 -1.366415e+00
[19182,] 6543 4519 -1.366415e+00
[19183,] 6543 6543 2.732830e+00
[19184,] 6544 617 -1.366415e+00
[19185,] 6544 4519 -1.366415e+00
[19186,] 6544 6544 2.732830e+00
[19187,] 6545 617 -1.366415e+00
[19188,] 6545 4519 -1.366415e+00
[19189,] 6545 6545 2.732830e+00
[19190,] 6546 617 -1.366415e+00
[19191,] 6546 4519 -1.366415e+00
[19192,] 6546 6546 2.732830e+00
[19193,] 6547 4520 -3.902439e-01
[19194,] 6547 4563 -3.902439e-01
[19195,] 6547 6547 7.804878e-01
[19196,] 6548 4520 -3.902439e-01
[19197,] 6548 4563 -3.902439e-01
[19198,] 6548 6548 7.804878e-01
[19199,] 6549 4520 -3.902439e-01
[19200,] 6549 4563 -3.902439e-01
[19201,] 6549 6549 7.804878e-01
[19202,] 6550 4520 -3.902439e-01
[19203,] 6550 4563 -3.902439e-01
[19204,] 6550 6550 7.804878e-01
[19205,] 6551 4520 -3.902439e-01
[19206,] 6551 4563 -3.902439e-01
[19207,] 6551 6551 7.804878e-01
[19208,] 6552 4520 -3.902439e-01
[19209,] 6552 4563 -3.902439e-01
[19210,] 6552 6552 7.804878e-01
[19211,] 6553 4520 -3.902439e-01
[19212,] 6553 4563 -3.902439e-01
[19213,] 6553 6553 7.804878e-01
[19214,] 6554 4520 -3.902439e-01
[19215,] 6554 4563 -3.902439e-01
[19216,] 6554 6554 7.804878e-01
[19217,] 6555 4520 -3.902439e-01
[19218,] 6555 4563 -3.902439e-01
[19219,] 6555 6555 7.804878e-01
[19220,] 6556 4520 -3.902439e-01
[19221,] 6556 4563 -3.902439e-01
[19222,] 6556 6556 7.804878e-01
[19223,] 6557 4520 -3.902439e-01
[19224,] 6557 4563 -3.902439e-01
[19225,] 6557 6557 7.804878e-01
[19226,] 6558 4520 -3.902439e-01
[19227,] 6558 4563 -3.902439e-01
[19228,] 6558 6558 7.804878e-01
[19229,] 6559 4520 -3.902439e-01
[19230,] 6559 4563 -3.902439e-01
[19231,] 6559 6559 7.804878e-01
[19232,] 6560 4520 -3.902439e-01
[19233,] 6560 4563 -3.902439e-01
[19234,] 6560 6560 7.804878e-01
[19235,] 6561 4520 -3.902439e-01
[19236,] 6561 4563 -3.902439e-01
[19237,] 6561 6561 7.804878e-01
[19238,] 6562 4520 -3.902439e-01
[19239,] 6562 4563 -3.902439e-01
[19240,] 6562 6562 7.804878e-01
[19241,] 6563 4520 -3.902439e-01
[19242,] 6563 4563 -3.902439e-01
[19243,] 6563 6563 7.804878e-01
[19244,] 6564 615 -6.806283e-01
[19245,] 6564 4522 -6.806283e-01
[19246,] 6564 6564 1.361257e+00
[19247,] 6565 615 -6.806283e-01
[19248,] 6565 4522 -6.806283e-01
[19249,] 6565 6565 1.361257e+00
[19250,] 6566 615 -6.806283e-01
[19251,] 6566 4522 -6.806283e-01
[19252,] 6566 6566 1.361257e+00
[19253,] 6567 615 -6.806283e-01
[19254,] 6567 4522 -6.806283e-01
[19255,] 6567 6567 1.361257e+00
[19256,] 6568 615 -6.806283e-01
[19257,] 6568 4522 -6.806283e-01
[19258,] 6568 6568 1.361257e+00
[19259,] 6569 615 -6.806283e-01
[19260,] 6569 4522 -6.806283e-01
[19261,] 6569 6569 1.361257e+00
[19262,] 6570 615 -6.806283e-01
[19263,] 6570 4522 -6.806283e-01
[19264,] 6570 6570 1.361257e+00
[19265,] 6571 615 -6.806283e-01
[19266,] 6571 4522 -6.806283e-01
[19267,] 6571 6571 1.361257e+00
[19268,] 6572 615 -6.806283e-01
[19269,] 6572 4522 -6.806283e-01
[19270,] 6572 6572 1.361257e+00
[19271,] 6573 615 -6.806283e-01
[19272,] 6573 4522 -6.806283e-01
[19273,] 6573 6573 1.361257e+00
[19274,] 6574 615 -6.806283e-01
[19275,] 6574 4522 -6.806283e-01
[19276,] 6574 6574 1.361257e+00
[19277,] 6575 615 -6.806283e-01
[19278,] 6575 4522 -6.806283e-01
[19279,] 6575 6575 1.361257e+00
[19280,] 6576 615 -6.806283e-01
[19281,] 6576 4522 -6.806283e-01
[19282,] 6576 6576 1.361257e+00
[19283,] 6577 615 -6.806283e-01
[19284,] 6577 4522 -6.806283e-01
[19285,] 6577 6577 1.361257e+00
[19286,] 6578 615 -6.806283e-01
[19287,] 6578 4522 -6.806283e-01
[19288,] 6578 6578 1.361257e+00
[19289,] 6579 615 -6.806283e-01
[19290,] 6579 4522 -6.806283e-01
[19291,] 6579 6579 1.361257e+00
[19292,] 6580 615 -6.806283e-01
[19293,] 6580 4522 -6.806283e-01
[19294,] 6580 6580 1.361257e+00
[19295,] 6581 615 -6.806283e-01
[19296,] 6581 4522 -6.806283e-01
[19297,] 6581 6581 1.361257e+00
[19298,] 6582 615 -6.806283e-01
[19299,] 6582 4522 -6.806283e-01
[19300,] 6582 6582 1.361257e+00
[19301,] 6583 615 -6.806283e-01
[19302,] 6583 4522 -6.806283e-01
[19303,] 6583 6583 1.361257e+00
[19304,] 6584 615 -6.806283e-01
[19305,] 6584 4522 -6.806283e-01
[19306,] 6584 6584 1.361257e+00
[19307,] 6585 615 -6.806283e-01
[19308,] 6585 4522 -6.806283e-01
[19309,] 6585 6585 1.361257e+00
[19310,] 6586 615 -6.806283e-01
[19311,] 6586 4522 -6.806283e-01
[19312,] 6586 6586 1.361257e+00
[19313,] 6587 615 -6.806283e-01
[19314,] 6587 4522 -6.806283e-01
[19315,] 6587 6587 1.361257e+00
[19316,] 6588 615 -6.806283e-01
[19317,] 6588 4522 -6.806283e-01
[19318,] 6588 6588 1.361257e+00
[19319,] 6589 615 -6.806283e-01
[19320,] 6589 4522 -6.806283e-01
[19321,] 6589 6589 1.361257e+00
[19322,] 6590 615 -6.806283e-01
[19323,] 6590 4522 -6.806283e-01
[19324,] 6590 6590 1.361257e+00
[19325,] 6591 615 -6.806283e-01
[19326,] 6591 4522 -6.806283e-01
[19327,] 6591 6591 1.361257e+00
[19328,] 6592 615 -6.806283e-01
[19329,] 6592 4522 -6.806283e-01
[19330,] 6592 6592 1.361257e+00
[19331,] 6593 615 -6.806283e-01
[19332,] 6593 4522 -6.806283e-01
[19333,] 6593 6593 1.361257e+00
[19334,] 6594 615 -6.806283e-01
[19335,] 6594 4522 -6.806283e-01
[19336,] 6594 6594 1.361257e+00
[19337,] 6595 617 -1.366415e+00
[19338,] 6595 4523 -1.366415e+00
[19339,] 6595 6595 2.732830e+00
[19340,] 6596 617 -1.366415e+00
[19341,] 6596 4523 -1.366415e+00
[19342,] 6596 6596 2.732830e+00
[19343,] 6597 617 -1.366415e+00
[19344,] 6597 4523 -1.366415e+00
[19345,] 6597 6597 2.732830e+00
[19346,] 6598 617 -1.366415e+00
[19347,] 6598 4523 -1.366415e+00
[19348,] 6598 6598 2.732830e+00
[19349,] 6599 617 -1.366415e+00
[19350,] 6599 4523 -1.366415e+00
[19351,] 6599 6599 2.732830e+00
[19352,] 6600 617 -1.366415e+00
[19353,] 6600 4523 -1.366415e+00
[19354,] 6600 6600 2.732830e+00
[19355,] 6601 617 -1.366415e+00
[19356,] 6601 4523 -1.366415e+00
[19357,] 6601 6601 2.732830e+00
[19358,] 6602 617 -1.366415e+00
[19359,] 6602 4523 -1.366415e+00
[19360,] 6602 6602 2.732830e+00
[19361,] 6603 617 -1.366415e+00
[19362,] 6603 4523 -1.366415e+00
[19363,] 6603 6603 2.732830e+00
[19364,] 6604 617 -1.366415e+00
[19365,] 6604 4523 -1.366415e+00
[19366,] 6604 6604 2.732830e+00
[19367,] 6605 617 -1.366415e+00
[19368,] 6605 4523 -1.366415e+00
[19369,] 6605 6605 2.732830e+00
[19370,] 6606 617 -1.366415e+00
[19371,] 6606 4523 -1.366415e+00
[19372,] 6606 6606 2.732830e+00
[19373,] 6607 617 -1.366415e+00
[19374,] 6607 4523 -1.366415e+00
[19375,] 6607 6607 2.732830e+00
[19376,] 6608 617 -1.366415e+00
[19377,] 6608 4523 -1.366415e+00
[19378,] 6608 6608 2.732830e+00
[19379,] 6609 617 -1.366415e+00
[19380,] 6609 4523 -1.366415e+00
[19381,] 6609 6609 2.732830e+00
[19382,] 6610 617 -1.366415e+00
[19383,] 6610 4523 -1.366415e+00
[19384,] 6610 6610 2.732830e+00
[19385,] 6611 617 -1.366415e+00
[19386,] 6611 4523 -1.366415e+00
[19387,] 6611 6611 2.732830e+00
[19388,] 6612 617 -1.366415e+00
[19389,] 6612 4523 -1.366415e+00
[19390,] 6612 6612 2.732830e+00
[19391,] 6613 617 -1.366415e+00
[19392,] 6613 4523 -1.366415e+00
[19393,] 6613 6613 2.732830e+00
[19394,] 6614 617 -1.366415e+00
[19395,] 6614 4523 -1.366415e+00
[19396,] 6614 6614 2.732830e+00
[19397,] 6615 617 -1.366415e+00
[19398,] 6615 4523 -1.366415e+00
[19399,] 6615 6615 2.732830e+00
[19400,] 6616 617 -1.366415e+00
[19401,] 6616 4523 -1.366415e+00
[19402,] 6616 6616 2.732830e+00
[19403,] 6617 617 -1.366415e+00
[19404,] 6617 4523 -1.366415e+00
[19405,] 6617 6617 2.732830e+00
[19406,] 6618 617 -1.366415e+00
[19407,] 6618 4523 -1.366415e+00
[19408,] 6618 6618 2.732830e+00
[19409,] 6619 617 -1.366415e+00
[19410,] 6619 4523 -1.366415e+00
[19411,] 6619 6619 2.732830e+00
[19412,] 6620 617 -1.366415e+00
[19413,] 6620 4523 -1.366415e+00
[19414,] 6620 6620 2.732830e+00
[19415,] 6621 617 -1.366415e+00
[19416,] 6621 4523 -1.366415e+00
[19417,] 6621 6621 2.732830e+00
[19418,] 6622 617 -1.366415e+00
[19419,] 6622 4523 -1.366415e+00
[19420,] 6622 6622 2.732830e+00
[19421,] 6623 617 -1.366415e+00
[19422,] 6623 4523 -1.366415e+00
[19423,] 6623 6623 2.732830e+00
[19424,] 6624 617 -1.366415e+00
[19425,] 6624 4523 -1.366415e+00
[19426,] 6624 6624 2.732830e+00
[19427,] 6625 617 -1.366415e+00
[19428,] 6625 4523 -1.366415e+00
[19429,] 6625 6625 2.732830e+00
[19430,] 6626 617 -1.366415e+00
[19431,] 6626 4523 -1.366415e+00
[19432,] 6626 6626 2.732830e+00
[19433,] 6627 617 -1.366415e+00
[19434,] 6627 4523 -1.366415e+00
[19435,] 6627 6627 2.732830e+00
[19436,] 6628 617 -1.366415e+00
[19437,] 6628 4523 -1.366415e+00
[19438,] 6628 6628 2.732830e+00
[19439,] 6629 617 -1.366415e+00
[19440,] 6629 4523 -1.366415e+00
[19441,] 6629 6629 2.732830e+00
[19442,] 6630 617 -1.366415e+00
[19443,] 6630 4523 -1.366415e+00
[19444,] 6630 6630 2.732830e+00
[19445,] 6631 617 -1.366415e+00
[19446,] 6631 4523 -1.366415e+00
[19447,] 6631 6631 2.732830e+00
[19448,] 6632 617 -1.366415e+00
[19449,] 6632 4523 -1.366415e+00
[19450,] 6632 6632 2.732830e+00
[19451,] 6633 651 -6.534780e-01
[19452,] 6633 4524 -6.534780e-01
[19453,] 6633 6633 1.306956e+00
[19454,] 6634 651 -6.534780e-01
[19455,] 6634 4524 -6.534780e-01
[19456,] 6634 6634 1.306956e+00
[19457,] 6635 651 -6.534780e-01
[19458,] 6635 4524 -6.534780e-01
[19459,] 6635 6635 1.306956e+00
[19460,] 6636 651 -6.534780e-01
[19461,] 6636 4524 -6.534780e-01
[19462,] 6636 6636 1.306956e+00
[19463,] 6637 617 -6.526580e-01
[19464,] 6637 4525 -6.526580e-01
[19465,] 6637 6637 1.305316e+00
[19466,] 6638 617 -6.526580e-01
[19467,] 6638 4525 -6.526580e-01
[19468,] 6638 6638 1.305316e+00
[19469,] 6639 617 -6.526580e-01
[19470,] 6639 4525 -6.526580e-01
[19471,] 6639 6639 1.305316e+00
[19472,] 6640 617 -6.526580e-01
[19473,] 6640 4525 -6.526580e-01
[19474,] 6640 6640 1.305316e+00
[19475,] 6641 617 -6.526580e-01
[19476,] 6641 4525 -6.526580e-01
[19477,] 6641 6641 1.305316e+00
[19478,] 6642 617 -6.526580e-01
[19479,] 6642 4525 -6.526580e-01
[19480,] 6642 6642 1.305316e+00
[19481,] 6643 617 -6.526580e-01
[19482,] 6643 4525 -6.526580e-01
[19483,] 6643 6643 1.305316e+00
[19484,] 6644 617 -6.526580e-01
[19485,] 6644 4525 -6.526580e-01
[19486,] 6644 6644 1.305316e+00
[19487,] 6645 617 -6.526580e-01
[19488,] 6645 4525 -6.526580e-01
[19489,] 6645 6645 1.305316e+00
[19490,] 6646 617 -6.526580e-01
[19491,] 6646 4525 -6.526580e-01
[19492,] 6646 6646 1.305316e+00
[19493,] 6647 617 -6.526580e-01
[19494,] 6647 4525 -6.526580e-01
[19495,] 6647 6647 1.305316e+00
[19496,] 6648 617 -6.526580e-01
[19497,] 6648 4525 -6.526580e-01
[19498,] 6648 6648 1.305316e+00
[19499,] 6649 617 -6.526580e-01
[19500,] 6649 4525 -6.526580e-01
[19501,] 6649 6649 1.305316e+00
[19502,] 6650 617 -6.526580e-01
[19503,] 6650 4525 -6.526580e-01
[19504,] 6650 6650 1.305316e+00
[19505,] 6651 617 -6.526580e-01
[19506,] 6651 4525 -6.526580e-01
[19507,] 6651 6651 1.305316e+00
[19508,] 6652 617 -6.526580e-01
[19509,] 6652 4525 -6.526580e-01
[19510,] 6652 6652 1.305316e+00
[19511,] 6653 617 -6.526580e-01
[19512,] 6653 4525 -6.526580e-01
[19513,] 6653 6653 1.305316e+00
[19514,] 6654 651 -6.534780e-01
[19515,] 6654 4526 -6.534780e-01
[19516,] 6654 6654 1.306956e+00
[19517,] 6655 651 -6.534780e-01
[19518,] 6655 4526 -6.534780e-01
[19519,] 6655 6655 1.306956e+00
[19520,] 6656 651 -6.534780e-01
[19521,] 6656 4526 -6.534780e-01
[19522,] 6656 6656 1.306956e+00
[19523,] 6657 651 -6.534780e-01
[19524,] 6657 4526 -6.534780e-01
[19525,] 6657 6657 1.306956e+00
[19526,] 6658 651 -6.534780e-01
[19527,] 6658 4526 -6.534780e-01
[19528,] 6658 6658 1.306956e+00
[19529,] 6659 619 -6.804057e-01
[19530,] 6659 4527 -6.804057e-01
[19531,] 6659 6659 1.360811e+00
[19532,] 6660 619 -6.804057e-01
[19533,] 6660 4527 -6.804057e-01
[19534,] 6660 6660 1.360811e+00
[19535,] 6661 619 -6.804057e-01
[19536,] 6661 4527 -6.804057e-01
[19537,] 6661 6661 1.360811e+00
[19538,] 6662 619 -6.804057e-01
[19539,] 6662 4527 -6.804057e-01
[19540,] 6662 6662 1.360811e+00
[19541,] 6663 619 -6.804057e-01
[19542,] 6663 4527 -6.804057e-01
[19543,] 6663 6663 1.360811e+00
[19544,] 6664 619 -6.804057e-01
[19545,] 6664 4527 -6.804057e-01
[19546,] 6664 6664 1.360811e+00
[19547,] 6665 619 -6.804057e-01
[19548,] 6665 4527 -6.804057e-01
[19549,] 6665 6665 1.360811e+00
[19550,] 6666 619 -6.804057e-01
[19551,] 6666 4527 -6.804057e-01
[19552,] 6666 6666 1.360811e+00
[19553,] 6667 619 -6.804057e-01
[19554,] 6667 4527 -6.804057e-01
[19555,] 6667 6667 1.360811e+00
[19556,] 6668 619 -6.804057e-01
[19557,] 6668 4527 -6.804057e-01
[19558,] 6668 6668 1.360811e+00
[19559,] 6669 619 -6.804057e-01
[19560,] 6669 4527 -6.804057e-01
[19561,] 6669 6669 1.360811e+00
[19562,] 6670 619 -6.804057e-01
[19563,] 6670 4527 -6.804057e-01
[19564,] 6670 6670 1.360811e+00
[19565,] 6671 619 -6.804057e-01
[19566,] 6671 4527 -6.804057e-01
[19567,] 6671 6671 1.360811e+00
[19568,] 6672 619 -6.804057e-01
[19569,] 6672 4527 -6.804057e-01
[19570,] 6672 6672 1.360811e+00
[19571,] 6673 619 -6.804057e-01
[19572,] 6673 4527 -6.804057e-01
[19573,] 6673 6673 1.360811e+00
[19574,] 6674 619 -6.804057e-01
[19575,] 6674 4527 -6.804057e-01
[19576,] 6674 6674 1.360811e+00
[19577,] 6675 619 -6.804057e-01
[19578,] 6675 4527 -6.804057e-01
[19579,] 6675 6675 1.360811e+00
[19580,] 6676 477 -3.902439e-01
[19581,] 6676 4563 -3.902439e-01
[19582,] 6676 6676 7.804878e-01
[19583,] 6677 477 -3.902439e-01
[19584,] 6677 4563 -3.902439e-01
[19585,] 6677 6677 7.804878e-01
[19586,] 6678 477 -3.902439e-01
[19587,] 6678 4563 -3.902439e-01
[19588,] 6678 6678 7.804878e-01
[19589,] 6679 477 -3.902439e-01
[19590,] 6679 4563 -3.902439e-01
[19591,] 6679 6679 7.804878e-01
[19592,] 6680 477 -3.902439e-01
[19593,] 6680 4563 -3.902439e-01
[19594,] 6680 6680 7.804878e-01
[19595,] 6681 477 -3.902439e-01
[19596,] 6681 4563 -3.902439e-01
[19597,] 6681 6681 7.804878e-01
[19598,] 6682 651 -6.534780e-01
[19599,] 6682 4534 -6.534780e-01
[19600,] 6682 6682 1.306956e+00
[19601,] 6683 651 -6.534780e-01
[19602,] 6683 4534 -6.534780e-01
[19603,] 6683 6683 1.306956e+00
[19604,] 6684 651 -6.534780e-01
[19605,] 6684 4534 -6.534780e-01
[19606,] 6684 6684 1.306956e+00
[19607,] 6685 651 -6.534780e-01
[19608,] 6685 4534 -6.534780e-01
[19609,] 6685 6685 1.306956e+00
[19610,] 6686 651 -6.534780e-01
[19611,] 6686 4534 -6.534780e-01
[19612,] 6686 6686 1.306956e+00
[19613,] 6687 651 -6.534780e-01
[19614,] 6687 4534 -6.534780e-01
[19615,] 6687 6687 1.306956e+00
[19616,] 6688 619 -6.804057e-01
[19617,] 6688 4535 -6.804057e-01
[19618,] 6688 6688 1.360811e+00
[19619,] 6689 619 -6.804057e-01
[19620,] 6689 4535 -6.804057e-01
[19621,] 6689 6689 1.360811e+00
[19622,] 6690 619 -6.804057e-01
[19623,] 6690 4535 -6.804057e-01
[19624,] 6690 6690 1.360811e+00
[19625,] 6691 619 -6.804057e-01
[19626,] 6691 4535 -6.804057e-01
[19627,] 6691 6691 1.360811e+00
[19628,] 6692 619 -6.804057e-01
[19629,] 6692 4535 -6.804057e-01
[19630,] 6692 6692 1.360811e+00
[19631,] 6693 619 -6.804057e-01
[19632,] 6693 4535 -6.804057e-01
[19633,] 6693 6693 1.360811e+00
[19634,] 6694 619 -6.804057e-01
[19635,] 6694 4535 -6.804057e-01
[19636,] 6694 6694 1.360811e+00
[19637,] 6695 619 -6.804057e-01
[19638,] 6695 4535 -6.804057e-01
[19639,] 6695 6695 1.360811e+00
[19640,] 6696 615 -5.119360e-01
[19641,] 6696 4536 -5.119360e-01
[19642,] 6696 6696 1.023872e+00
[19643,] 6697 615 -5.119360e-01
[19644,] 6697 4536 -5.119360e-01
[19645,] 6697 6697 1.023872e+00
[19646,] 6698 615 -5.119360e-01
[19647,] 6698 4536 -5.119360e-01
[19648,] 6698 6698 1.023872e+00
[19649,] 6699 615 -5.119360e-01
[19650,] 6699 4536 -5.119360e-01
[19651,] 6699 6699 1.023872e+00
[19652,] 6700 615 -5.119360e-01
[19653,] 6700 4536 -5.119360e-01
[19654,] 6700 6700 1.023872e+00
[19655,] 6701 615 -5.119360e-01
[19656,] 6701 4536 -5.119360e-01
[19657,] 6701 6701 1.023872e+00
[19658,] 6702 615 -5.119360e-01
[19659,] 6702 4536 -5.119360e-01
[19660,] 6702 6702 1.023872e+00
[19661,] 6703 615 -5.119360e-01
[19662,] 6703 4536 -5.119360e-01
[19663,] 6703 6703 1.023872e+00
[19664,] 6704 615 -5.119360e-01
[19665,] 6704 4536 -5.119360e-01
[19666,] 6704 6704 1.023872e+00
[19667,] 6705 615 -5.119360e-01
[19668,] 6705 4536 -5.119360e-01
[19669,] 6705 6705 1.023872e+00
[19670,] 6706 615 -5.119360e-01
[19671,] 6706 4536 -5.119360e-01
[19672,] 6706 6706 1.023872e+00
[19673,] 6707 4563 -5.156093e-01
[19674,] 6707 4570 -5.156093e-01
[19675,] 6707 6707 1.031219e+00
[19676,] 6708 4563 -5.156093e-01
[19677,] 6708 4570 -5.156093e-01
[19678,] 6708 6708 1.031219e+00
[19679,] 6709 4563 -5.156093e-01
[19680,] 6709 4570 -5.156093e-01
[19681,] 6709 6709 1.031219e+00
[19682,] 6710 4563 -5.156093e-01
[19683,] 6710 4570 -5.156093e-01
[19684,] 6710 6710 1.031219e+00
[19685,] 6711 4563 -5.156093e-01
[19686,] 6711 4570 -5.156093e-01
[19687,] 6711 6711 1.031219e+00
[19688,] 6712 4563 -5.156093e-01
[19689,] 6712 4570 -5.156093e-01
[19690,] 6712 6712 1.031219e+00
[19691,] 6713 4563 -5.156093e-01
[19692,] 6713 4570 -5.156093e-01
[19693,] 6713 6713 1.031219e+00
[19694,] 6714 4563 -5.156093e-01
[19695,] 6714 4570 -5.156093e-01
[19696,] 6714 6714 1.031219e+00
[19697,] 6715 4563 -5.156093e-01
[19698,] 6715 4570 -5.156093e-01
[19699,] 6715 6715 1.031219e+00
[19700,] 6716 4563 -5.156093e-01
[19701,] 6716 4570 -5.156093e-01
[19702,] 6716 6716 1.031219e+00
[19703,] 6717 4563 -5.156093e-01
[19704,] 6717 4570 -5.156093e-01
[19705,] 6717 6717 1.031219e+00
[19706,] 6718 4563 -5.156093e-01
[19707,] 6718 4570 -5.156093e-01
[19708,] 6718 6718 1.031219e+00
[19709,] 6719 4563 -5.156093e-01
[19710,] 6719 4570 -5.156093e-01
[19711,] 6719 6719 1.031219e+00
[19712,] 6720 4563 -5.156093e-01
[19713,] 6720 4570 -5.156093e-01
[19714,] 6720 6720 1.031219e+00
[19715,] 6721 689 -5.470040e-01
[19716,] 6721 4572 -5.470040e-01
[19717,] 6721 6721 1.094008e+00
[19718,] 6722 689 -5.470040e-01
[19719,] 6722 4572 -5.470040e-01
[19720,] 6722 6722 1.094008e+00
[19721,] 6723 689 -5.470040e-01
[19722,] 6723 4572 -5.470040e-01
[19723,] 6723 6723 1.094008e+00
[19724,] 6724 689 -5.470040e-01
[19725,] 6724 4572 -5.470040e-01
[19726,] 6724 6724 1.094008e+00
[19727,] 6725 689 -5.470040e-01
[19728,] 6725 4572 -5.470040e-01
[19729,] 6725 6725 1.094008e+00
[19730,] 6726 689 -5.470040e-01
[19731,] 6726 4572 -5.470040e-01
[19732,] 6726 6726 1.094008e+00
[19733,] 6727 689 -5.470040e-01
[19734,] 6727 4572 -5.470040e-01
[19735,] 6727 6727 1.094008e+00
[19736,] 6728 689 -5.470040e-01
[19737,] 6728 4572 -5.470040e-01
[19738,] 6728 6728 1.094008e+00
[19739,] 6729 689 -5.470040e-01
[19740,] 6729 4572 -5.470040e-01
[19741,] 6729 6729 1.094008e+00
[19742,] 6730 689 -5.470040e-01
[19743,] 6730 4572 -5.470040e-01
[19744,] 6730 6730 1.094008e+00
[19745,] 6731 689 -5.470040e-01
[19746,] 6731 4572 -5.470040e-01
[19747,] 6731 6731 1.094008e+00
[19748,] 6732 689 -5.470040e-01
[19749,] 6732 4572 -5.470040e-01
[19750,] 6732 6732 1.094008e+00
[19751,] 6733 689 -5.470040e-01
[19752,] 6733 4572 -5.470040e-01
[19753,] 6733 6733 1.094008e+00
[19754,] 6734 689 -5.470040e-01
[19755,] 6734 4572 -5.470040e-01
[19756,] 6734 6734 1.094008e+00
[19757,] 6735 689 -5.470040e-01
[19758,] 6735 4572 -5.470040e-01
[19759,] 6735 6735 1.094008e+00
[19760,] 6736 689 -5.470040e-01
[19761,] 6736 4572 -5.470040e-01
[19762,] 6736 6736 1.094008e+00
[19763,] 6737 689 -5.470040e-01
[19764,] 6737 4572 -5.470040e-01
[19765,] 6737 6737 1.094008e+00
[19766,] 6738 689 -5.470040e-01
[19767,] 6738 4572 -5.470040e-01
[19768,] 6738 6738 1.094008e+00
[19769,] 6739 689 -5.470040e-01
[19770,] 6739 4572 -5.470040e-01
[19771,] 6739 6739 1.094008e+00
[19772,] 6740 689 -5.470040e-01
[19773,] 6740 4572 -5.470040e-01
[19774,] 6740 6740 1.094008e+00
[19775,] 6741 689 -5.470040e-01
[19776,] 6741 4572 -5.470040e-01
[19777,] 6741 6741 1.094008e+00
[19778,] 6742 689 -5.470040e-01
[19779,] 6742 4572 -5.470040e-01
[19780,] 6742 6742 1.094008e+00
[19781,] 6743 689 -5.470040e-01
[19782,] 6743 4572 -5.470040e-01
[19783,] 6743 6743 1.094008e+00
[19784,] 6744 689 -5.470040e-01
[19785,] 6744 4572 -5.470040e-01
[19786,] 6744 6744 1.094008e+00
[19787,] 6745 689 -5.470040e-01
[19788,] 6745 4572 -5.470040e-01
[19789,] 6745 6745 1.094008e+00
[19790,] 6746 689 -5.470040e-01
[19791,] 6746 4572 -5.470040e-01
[19792,] 6746 6746 1.094008e+00
[19793,] 6747 4563 -5.161250e-01
[19794,] 6747 4572 -5.161250e-01
[19795,] 6747 6747 1.032250e+00
[19796,] 6748 4563 -5.161250e-01
[19797,] 6748 4572 -5.161250e-01
[19798,] 6748 6748 1.032250e+00
[19799,] 6749 4563 -5.161250e-01
[19800,] 6749 4572 -5.161250e-01
[19801,] 6749 6749 1.032250e+00
[19802,] 6750 4563 -5.161250e-01
[19803,] 6750 4572 -5.161250e-01
[19804,] 6750 6750 1.032250e+00
[19805,] 6751 4563 -5.161250e-01
[19806,] 6751 4572 -5.161250e-01
[19807,] 6751 6751 1.032250e+00
[19808,] 6752 4563 -5.161250e-01
[19809,] 6752 4572 -5.161250e-01
[19810,] 6752 6752 1.032250e+00
[19811,] 6753 4563 -5.161250e-01
[19812,] 6753 4572 -5.161250e-01
[19813,] 6753 6753 1.032250e+00
[19814,] 6754 4563 -5.161250e-01
[19815,] 6754 4572 -5.161250e-01
[19816,] 6754 6754 1.032250e+00
[19817,] 6755 4563 -5.161250e-01
[19818,] 6755 4572 -5.161250e-01
[19819,] 6755 6755 1.032250e+00
[19820,] 6756 4563 -5.161250e-01
[19821,] 6756 4572 -5.161250e-01
[19822,] 6756 6756 1.032250e+00
[19823,] 6757 4563 -5.161250e-01
[19824,] 6757 4572 -5.161250e-01
[19825,] 6757 6757 1.032250e+00
[19826,] 6758 4563 -5.161250e-01
[19827,] 6758 4572 -5.161250e-01
[19828,] 6758 6758 1.032250e+00
[19829,] 6759 4563 -5.161250e-01
[19830,] 6759 4572 -5.161250e-01
[19831,] 6759 6759 1.032250e+00
[19832,] 6760 689 -5.289256e-01
[19833,] 6760 4564 -5.289256e-01
[19834,] 6760 6760 1.057851e+00
[19835,] 6761 689 -5.289256e-01
[19836,] 6761 4564 -5.289256e-01
[19837,] 6761 6761 1.057851e+00
[19838,] 6762 689 -5.289256e-01
[19839,] 6762 4564 -5.289256e-01
[19840,] 6762 6762 1.057851e+00
[19841,] 6763 689 -5.289256e-01
[19842,] 6763 4564 -5.289256e-01
[19843,] 6763 6763 1.057851e+00
[19844,] 6764 689 -5.289256e-01
[19845,] 6764 4564 -5.289256e-01
[19846,] 6764 6764 1.057851e+00
[19847,] 6765 689 -5.289256e-01
[19848,] 6765 4564 -5.289256e-01
[19849,] 6765 6765 1.057851e+00
[19850,] 6766 689 -5.289256e-01
[19851,] 6766 4564 -5.289256e-01
[19852,] 6766 6766 1.057851e+00
[19853,] 6767 689 -5.289256e-01
[19854,] 6767 4564 -5.289256e-01
[19855,] 6767 6767 1.057851e+00
[19856,] 6768 689 -5.289256e-01
[19857,] 6768 4564 -5.289256e-01
[19858,] 6768 6768 1.057851e+00
[19859,] 6769 689 -5.289256e-01
[19860,] 6769 4564 -5.289256e-01
[19861,] 6769 6769 1.057851e+00
[19862,] 6770 689 -5.289256e-01
[19863,] 6770 4564 -5.289256e-01
[19864,] 6770 6770 1.057851e+00
[19865,] 6771 689 -5.289256e-01
[19866,] 6771 4564 -5.289256e-01
[19867,] 6771 6771 1.057851e+00
[19868,] 6772 689 -5.289256e-01
[19869,] 6772 4564 -5.289256e-01
[19870,] 6772 6772 1.057851e+00
[19871,] 6773 689 -5.289256e-01
[19872,] 6773 4564 -5.289256e-01
[19873,] 6773 6773 1.057851e+00
[19874,] 6774 689 -5.289256e-01
[19875,] 6774 4564 -5.289256e-01
[19876,] 6774 6774 1.057851e+00
[19877,] 6775 689 -5.289256e-01
[19878,] 6775 4564 -5.289256e-01
[19879,] 6775 6775 1.057851e+00
[19880,] 6776 689 -5.289256e-01
[19881,] 6776 4564 -5.289256e-01
[19882,] 6776 6776 1.057851e+00
[19883,] 6777 689 -5.289256e-01
[19884,] 6777 4564 -5.289256e-01
[19885,] 6777 6777 1.057851e+00
[19886,] 6778 689 -5.289256e-01
[19887,] 6778 4564 -5.289256e-01
[19888,] 6778 6778 1.057851e+00
[19889,] 6779 4563 -5.000000e-01
[19890,] 6779 4564 -5.000000e-01
[19891,] 6779 6779 1.000000e+00
[19892,] 6780 4563 -5.000000e-01
[19893,] 6780 4564 -5.000000e-01
[19894,] 6780 6780 1.000000e+00
[19895,] 6781 4563 -5.000000e-01
[19896,] 6781 4564 -5.000000e-01
[19897,] 6781 6781 1.000000e+00
[19898,] 6782 4563 -5.000000e-01
[19899,] 6782 4564 -5.000000e-01
[19900,] 6782 6782 1.000000e+00
[19901,] 6783 4563 -5.000000e-01
[19902,] 6783 4564 -5.000000e-01
[19903,] 6783 6783 1.000000e+00
[19904,] 6784 4563 -5.000000e-01
[19905,] 6784 4564 -5.000000e-01
[19906,] 6784 6784 1.000000e+00
[19907,] 6785 4563 -5.000000e-01
[19908,] 6785 4564 -5.000000e-01
[19909,] 6785 6785 1.000000e+00
[19910,] 6786 4563 -5.000000e-01
[19911,] 6786 4564 -5.000000e-01
[19912,] 6786 6786 1.000000e+00
[19913,] 6787 4563 -5.000000e-01
[19914,] 6787 4564 -5.000000e-01
[19915,] 6787 6787 1.000000e+00
[19916,] 6788 4563 -5.000000e-01
[19917,] 6788 4564 -5.000000e-01
[19918,] 6788 6788 1.000000e+00
[19919,] 6789 4563 -5.000000e-01
[19920,] 6789 4564 -5.000000e-01
[19921,] 6789 6789 1.000000e+00
[19922,] 6790 689 -5.470040e-01
[19923,] 6790 4571 -5.470040e-01
[19924,] 6790 6790 1.094008e+00
[19925,] 6791 689 -5.470040e-01
[19926,] 6791 4571 -5.470040e-01
[19927,] 6791 6791 1.094008e+00
[19928,] 6792 689 -5.470040e-01
[19929,] 6792 4571 -5.470040e-01
[19930,] 6792 6792 1.094008e+00
[19931,] 6793 689 -5.470040e-01
[19932,] 6793 4571 -5.470040e-01
[19933,] 6793 6793 1.094008e+00
[19934,] 6794 689 -5.470040e-01
[19935,] 6794 4571 -5.470040e-01
[19936,] 6794 6794 1.094008e+00
[19937,] 6795 689 -5.470040e-01
[19938,] 6795 4571 -5.470040e-01
[19939,] 6795 6795 1.094008e+00
[19940,] 6796 689 -5.470040e-01
[19941,] 6796 4571 -5.470040e-01
[19942,] 6796 6796 1.094008e+00
[19943,] 6797 689 -5.470040e-01
[19944,] 6797 4571 -5.470040e-01
[19945,] 6797 6797 1.094008e+00
[19946,] 6798 689 -5.470040e-01
[19947,] 6798 4571 -5.470040e-01
[19948,] 6798 6798 1.094008e+00
[19949,] 6799 689 -5.470040e-01
[19950,] 6799 4571 -5.470040e-01
[19951,] 6799 6799 1.094008e+00
[19952,] 6800 689 -5.470040e-01
[19953,] 6800 4571 -5.470040e-01
[19954,] 6800 6800 1.094008e+00
[19955,] 6801 688 -4.990253e-01
[19956,] 6801 4580 -4.990253e-01
[19957,] 6801 6801 9.980507e-01
[19958,] 6802 688 -4.990253e-01
[19959,] 6802 4580 -4.990253e-01
[19960,] 6802 6802 9.980507e-01
[19961,] 6803 689 -7.828746e-01
[19962,] 6803 4580 -7.828746e-01
[19963,] 6803 6803 1.565749e+00
[19964,] 6804 689 -7.828746e-01
[19965,] 6804 4580 -7.828746e-01
[19966,] 6804 6804 1.565749e+00
[19967,] 6805 689 -7.828746e-01
[19968,] 6805 4580 -7.828746e-01
[19969,] 6805 6805 1.565749e+00
[19970,] 6806 689 -7.828746e-01
[19971,] 6806 4580 -7.828746e-01
[19972,] 6806 6806 1.565749e+00
[19973,] 6807 689 -7.828746e-01
[19974,] 6807 4580 -7.828746e-01
[19975,] 6807 6807 1.565749e+00
[19976,] 6808 689 -7.828746e-01
[19977,] 6808 4580 -7.828746e-01
[19978,] 6808 6808 1.565749e+00
[19979,] 6809 4563 -6.808511e-01
[19980,] 6809 4581 -6.808511e-01
[19981,] 6809 6809 1.361702e+00
[19982,] 6810 4563 -6.808511e-01
[19983,] 6810 4581 -6.808511e-01
[19984,] 6810 6810 1.361702e+00
[19985,] 6811 4563 -6.808511e-01
[19986,] 6811 4582 -6.808511e-01
[19987,] 6811 6811 1.361702e+00
[19988,] 6812 617 -7.864823e-01
[19989,] 6812 4619 -7.864823e-01
[19990,] 6812 6812 1.572965e+00
[19991,] 6813 617 -7.864823e-01
[19992,] 6813 4619 -7.864823e-01
[19993,] 6813 6813 1.572965e+00
[19994,] 6814 617 -7.864823e-01
[19995,] 6814 4619 -7.864823e-01
[19996,] 6814 6814 1.572965e+00
[19997,] 6815 617 -7.864823e-01
[19998,] 6815 4619 -7.864823e-01
[19999,] 6815 6815 1.572965e+00
[20000,] 6816 617 -7.864823e-01
[20001,] 6816 4619 -7.864823e-01
[20002,] 6816 6816 1.572965e+00
[20003,] 6817 617 -7.864823e-01
[20004,] 6817 4619 -7.864823e-01
[20005,] 6817 6817 1.572965e+00
[20006,] 6818 617 -7.864823e-01
[20007,] 6818 4619 -7.864823e-01
[20008,] 6818 6818 1.572965e+00
[20009,] 6819 617 -7.864823e-01
[20010,] 6819 4619 -7.864823e-01
[20011,] 6819 6819 1.572965e+00
[20012,] 6820 617 -7.864823e-01
[20013,] 6820 4619 -7.864823e-01
[20014,] 6820 6820 1.572965e+00
[20015,] 6821 617 -7.864823e-01
[20016,] 6821 4619 -7.864823e-01
[20017,] 6821 6821 1.572965e+00
[20018,] 6822 617 -7.864823e-01
[20019,] 6822 4619 -7.864823e-01
[20020,] 6822 6822 1.572965e+00
[20021,] 6823 617 -7.864823e-01
[20022,] 6823 4619 -7.864823e-01
[20023,] 6823 6823 1.572965e+00
[20024,] 6824 617 -7.864823e-01
[20025,] 6824 4619 -7.864823e-01
[20026,] 6824 6824 1.572965e+00
[20027,] 6825 617 -7.864823e-01
[20028,] 6825 4619 -7.864823e-01
[20029,] 6825 6825 1.572965e+00
[20030,] 6826 617 -7.864823e-01
[20031,] 6826 4619 -7.864823e-01
[20032,] 6826 6826 1.572965e+00
[20033,] 6827 617 -7.864823e-01
[20034,] 6827 4619 -7.864823e-01
[20035,] 6827 6827 1.572965e+00
[20036,] 6828 617 -7.864823e-01
[20037,] 6828 4619 -7.864823e-01
[20038,] 6828 6828 1.572965e+00
[20039,] 6829 617 -7.864823e-01
[20040,] 6829 4619 -7.864823e-01
[20041,] 6829 6829 1.572965e+00
[20042,] 6830 617 -7.864823e-01
[20043,] 6830 4619 -7.864823e-01
[20044,] 6830 6830 1.572965e+00
[20045,] 6831 617 -7.864823e-01
[20046,] 6831 4619 -7.864823e-01
[20047,] 6831 6831 1.572965e+00
[20048,] 6832 617 -7.864823e-01
[20049,] 6832 4619 -7.864823e-01
[20050,] 6832 6832 1.572965e+00
[20051,] 6833 617 -7.864823e-01
[20052,] 6833 4619 -7.864823e-01
[20053,] 6833 6833 1.572965e+00
[20054,] 6834 617 -7.864823e-01
[20055,] 6834 4619 -7.864823e-01
[20056,] 6834 6834 1.572965e+00
[20057,] 6835 617 -7.864823e-01
[20058,] 6835 4619 -7.864823e-01
[20059,] 6835 6835 1.572965e+00
[20060,] 6836 617 -7.864823e-01
[20061,] 6836 4619 -7.864823e-01
[20062,] 6836 6836 1.572965e+00
[20063,] 6837 617 -7.864823e-01
[20064,] 6837 4619 -7.864823e-01
[20065,] 6837 6837 1.572965e+00
[20066,] 6838 617 -7.864823e-01
[20067,] 6838 4619 -7.864823e-01
[20068,] 6838 6838 1.572965e+00
[20069,] 6839 617 -7.864823e-01
[20070,] 6839 4619 -7.864823e-01
[20071,] 6839 6839 1.572965e+00
[20072,] 6840 617 -7.864823e-01
[20073,] 6840 4619 -7.864823e-01
[20074,] 6840 6840 1.572965e+00
[20075,] 6841 4563 -5.000000e-01
[20076,] 6841 4619 -5.000000e-01
[20077,] 6841 6841 1.000000e+00
[20078,] 6842 4563 -5.000000e-01
[20079,] 6842 4619 -5.000000e-01
[20080,] 6842 6842 1.000000e+00
[20081,] 6843 4563 -5.000000e-01
[20082,] 6843 4619 -5.000000e-01
[20083,] 6843 6843 1.000000e+00
[20084,] 6844 4563 -5.000000e-01
[20085,] 6844 4619 -5.000000e-01
[20086,] 6844 6844 1.000000e+00
[20087,] 6845 4563 -5.000000e-01
[20088,] 6845 4619 -5.000000e-01
[20089,] 6845 6845 1.000000e+00
[20090,] 6846 4563 -5.000000e-01
[20091,] 6846 4619 -5.000000e-01
[20092,] 6846 6846 1.000000e+00
[20093,] 6847 4563 -5.000000e-01
[20094,] 6847 4619 -5.000000e-01
[20095,] 6847 6847 1.000000e+00
[20096,] 6848 4563 -5.000000e-01
[20097,] 6848 4619 -5.000000e-01
[20098,] 6848 6848 1.000000e+00
[20099,] 6849 4563 -5.000000e-01
[20100,] 6849 4619 -5.000000e-01
[20101,] 6849 6849 1.000000e+00
[20102,] 6850 4563 -5.000000e-01
[20103,] 6850 4619 -5.000000e-01
[20104,] 6850 6850 1.000000e+00
[20105,] 6851 614 -7.270307e-01
[20106,] 6851 4620 -7.270307e-01
[20107,] 6851 6851 1.454061e+00
[20108,] 6852 614 -7.270307e-01
[20109,] 6852 4620 -7.270307e-01
[20110,] 6852 6852 1.454061e+00
[20111,] 6853 614 -7.270307e-01
[20112,] 6853 4621 -7.270307e-01
[20113,] 6853 6853 1.454061e+00
[20114,] 6854 614 -7.270307e-01
[20115,] 6854 4622 -7.270307e-01
[20116,] 6854 6854 1.454061e+00
[20117,] 6855 614 -7.270307e-01
[20118,] 6855 4622 -7.270307e-01
[20119,] 6855 6855 1.454061e+00
[20120,] 6856 614 -7.270307e-01
[20121,] 6856 4622 -7.270307e-01
[20122,] 6856 6856 1.454061e+00
[20123,] 6857 614 -7.270307e-01
[20124,] 6857 4622 -7.270307e-01
[20125,] 6857 6857 1.454061e+00
[20126,] 6858 619 -7.267888e-01
[20127,] 6858 4623 -7.267888e-01
[20128,] 6858 6858 1.453578e+00
[20129,] 6859 619 -7.267888e-01
[20130,] 6859 4623 -7.267888e-01
[20131,] 6859 6859 1.453578e+00
[20132,] 6860 619 -7.267888e-01
[20133,] 6860 4623 -7.267888e-01
[20134,] 6860 6860 1.453578e+00
[20135,] 6861 619 -7.267888e-01
[20136,] 6861 4623 -7.267888e-01
[20137,] 6861 6861 1.453578e+00
[20138,] 6862 619 -7.267888e-01
[20139,] 6862 4623 -7.267888e-01
[20140,] 6862 6862 1.453578e+00
[20141,] 6863 615 -5.516498e-01
[20142,] 6863 4624 -5.516498e-01
[20143,] 6863 6863 1.103300e+00
[20144,] 6864 615 -5.516498e-01
[20145,] 6864 4624 -5.516498e-01
[20146,] 6864 6864 1.103300e+00
[20147,] 6865 615 -5.516498e-01
[20148,] 6865 4624 -5.516498e-01
[20149,] 6865 6865 1.103300e+00
[20150,] 6866 615 -5.516498e-01
[20151,] 6866 4624 -5.516498e-01
[20152,] 6866 6866 1.103300e+00
[20153,] 6867 615 -5.516498e-01
[20154,] 6867 4624 -5.516498e-01
[20155,] 6867 6867 1.103300e+00
[20156,] 6868 615 -5.516498e-01
[20157,] 6868 4624 -5.516498e-01
[20158,] 6868 6868 1.103300e+00
[20159,] 6869 615 -5.516498e-01
[20160,] 6869 4624 -5.516498e-01
[20161,] 6869 6869 1.103300e+00
[20162,] 6870 615 -5.516498e-01
[20163,] 6870 4624 -5.516498e-01
[20164,] 6870 6870 1.103300e+00
[20165,] 6871 615 -5.516498e-01
[20166,] 6871 4624 -5.516498e-01
[20167,] 6871 6871 1.103300e+00
[20168,] 6872 615 -5.516498e-01
[20169,] 6872 4624 -5.516498e-01
[20170,] 6872 6872 1.103300e+00
[20171,] 6873 615 -5.516498e-01
[20172,] 6873 4624 -5.516498e-01
[20173,] 6873 6873 1.103300e+00
[20174,] 6874 615 -5.516498e-01
[20175,] 6874 4624 -5.516498e-01
[20176,] 6874 6874 1.103300e+00
[20177,] 6875 615 -5.516498e-01
[20178,] 6875 4624 -5.516498e-01
[20179,] 6875 6875 1.103300e+00
[20180,] 6876 615 -5.516498e-01
[20181,] 6876 4624 -5.516498e-01
[20182,] 6876 6876 1.103300e+00
[20183,] 6877 376 -4.210526e-01
[20184,] 6877 4563 -4.210526e-01
[20185,] 6877 6877 8.421053e-01
[20186,] 6878 376 -4.210526e-01
[20187,] 6878 4563 -4.210526e-01
[20188,] 6878 6878 8.421053e-01
[20189,] 6879 376 -4.210526e-01
[20190,] 6879 4563 -4.210526e-01
[20191,] 6879 6879 8.421053e-01
[20192,] 6880 376 -4.210526e-01
[20193,] 6880 4563 -4.210526e-01
[20194,] 6880 6880 8.421053e-01
[20195,] 6881 376 -4.210526e-01
[20196,] 6881 4563 -4.210526e-01
[20197,] 6881 6881 8.421053e-01
[20198,] 6882 376 -4.210526e-01
[20199,] 6882 4563 -4.210526e-01
[20200,] 6882 6882 8.421053e-01
[20201,] 6883 376 -4.210526e-01
[20202,] 6883 4563 -4.210526e-01
[20203,] 6883 6883 8.421053e-01
[20204,] 6884 376 -4.210526e-01
[20205,] 6884 4563 -4.210526e-01
[20206,] 6884 6884 8.421053e-01
[20207,] 6885 376 -4.210526e-01
[20208,] 6885 4563 -4.210526e-01
[20209,] 6885 6885 8.421053e-01
[20210,] 6886 376 -4.210526e-01
[20211,] 6886 4563 -4.210526e-01
[20212,] 6886 6886 8.421053e-01
[20213,] 6887 376 -4.210526e-01
[20214,] 6887 4563 -4.210526e-01
[20215,] 6887 6887 8.421053e-01
[20216,] 6888 376 -4.210526e-01
[20217,] 6888 4563 -4.210526e-01
[20218,] 6888 6888 8.421053e-01
[20219,] 6889 376 -4.210526e-01
[20220,] 6889 4563 -4.210526e-01
[20221,] 6889 6889 8.421053e-01
[20222,] 6890 376 -4.210526e-01
[20223,] 6890 4563 -4.210526e-01
[20224,] 6890 6890 8.421053e-01
[20225,] 6891 376 -4.210526e-01
[20226,] 6891 4563 -4.210526e-01
[20227,] 6891 6891 8.421053e-01
[20228,] 6892 376 -4.210526e-01
[20229,] 6892 4563 -4.210526e-01
[20230,] 6892 6892 8.421053e-01
[20231,] 6893 376 -4.210526e-01
[20232,] 6893 4563 -4.210526e-01
[20233,] 6893 6893 8.421053e-01
[20234,] 6894 376 -4.210526e-01
[20235,] 6894 4563 -4.210526e-01
[20236,] 6894 6894 8.421053e-01
[20237,] 6895 376 -4.210526e-01
[20238,] 6895 4563 -4.210526e-01
[20239,] 6895 6895 8.421053e-01
[20240,] 6896 376 -4.210526e-01
[20241,] 6896 4563 -4.210526e-01
[20242,] 6896 6896 8.421053e-01
[20243,] 6897 376 -4.210526e-01
[20244,] 6897 4563 -4.210526e-01
[20245,] 6897 6897 8.421053e-01
[20246,] 6898 376 -4.210526e-01
[20247,] 6898 4563 -4.210526e-01
[20248,] 6898 6898 8.421053e-01
[20249,] 6899 617 -6.966579e-01
[20250,] 6899 4626 -6.966579e-01
[20251,] 6899 6899 1.393316e+00
[20252,] 6900 617 -6.966579e-01
[20253,] 6900 4626 -6.966579e-01
[20254,] 6900 6900 1.393316e+00
[20255,] 6901 617 -6.966579e-01
[20256,] 6901 4626 -6.966579e-01
[20257,] 6901 6901 1.393316e+00
[20258,] 6902 617 -6.966579e-01
[20259,] 6902 4626 -6.966579e-01
[20260,] 6902 6902 1.393316e+00
[20261,] 6903 617 -6.966579e-01
[20262,] 6903 4626 -6.966579e-01
[20263,] 6903 6903 1.393316e+00
[20264,] 6904 617 -6.966579e-01
[20265,] 6904 4626 -6.966579e-01
[20266,] 6904 6904 1.393316e+00
[20267,] 6905 617 -6.966579e-01
[20268,] 6905 4626 -6.966579e-01
[20269,] 6905 6905 1.393316e+00
[20270,] 6906 617 -6.966579e-01
[20271,] 6906 4626 -6.966579e-01
[20272,] 6906 6906 1.393316e+00
[20273,] 6907 617 -6.966579e-01
[20274,] 6907 4626 -6.966579e-01
[20275,] 6907 6907 1.393316e+00
[20276,] 6908 478 -4.210526e-01
[20277,] 6908 4563 -4.210526e-01
[20278,] 6908 6908 8.421053e-01
[20279,] 6909 478 -4.210526e-01
[20280,] 6909 4563 -4.210526e-01
[20281,] 6909 6909 8.421053e-01
[20282,] 6910 478 -4.210526e-01
[20283,] 6910 4563 -4.210526e-01
[20284,] 6910 6910 8.421053e-01
[20285,] 6911 478 -4.210526e-01
[20286,] 6911 4563 -4.210526e-01
[20287,] 6911 6911 8.421053e-01
[20288,] 6912 478 -4.210526e-01
[20289,] 6912 4563 -4.210526e-01
[20290,] 6912 6912 8.421053e-01
[20291,] 6913 478 -4.210526e-01
[20292,] 6913 4563 -4.210526e-01
[20293,] 6913 6913 8.421053e-01
[20294,] 6914 478 -4.210526e-01
[20295,] 6914 4563 -4.210526e-01
[20296,] 6914 6914 8.421053e-01
[20297,] 6915 478 -4.210526e-01
[20298,] 6915 4563 -4.210526e-01
[20299,] 6915 6915 8.421053e-01
[20300,] 6916 478 -4.210526e-01
[20301,] 6916 4563 -4.210526e-01
[20302,] 6916 6916 8.421053e-01
[20303,] 6917 478 -4.210526e-01
[20304,] 6917 4563 -4.210526e-01
[20305,] 6917 6917 8.421053e-01
[20306,] 6918 478 -4.210526e-01
[20307,] 6918 4563 -4.210526e-01
[20308,] 6918 6918 8.421053e-01
[20309,] 6919 478 -4.210526e-01
[20310,] 6919 4563 -4.210526e-01
[20311,] 6919 6919 8.421053e-01
[20312,] 6920 478 -4.210526e-01
[20313,] 6920 4563 -4.210526e-01
[20314,] 6920 6920 8.421053e-01
[20315,] 6921 478 -4.210526e-01
[20316,] 6921 4563 -4.210526e-01
[20317,] 6921 6921 8.421053e-01
[20318,] 6922 478 -4.210526e-01
[20319,] 6922 4563 -4.210526e-01
[20320,] 6922 6922 8.421053e-01
[20321,] 6923 478 -4.210526e-01
[20322,] 6923 4563 -4.210526e-01
[20323,] 6923 6923 8.421053e-01
[20324,] 6924 478 -4.210526e-01
[20325,] 6924 4563 -4.210526e-01
[20326,] 6924 6924 8.421053e-01
[20327,] 6925 478 -4.210526e-01
[20328,] 6925 4563 -4.210526e-01
[20329,] 6925 6925 8.421053e-01
[20330,] 6926 478 -4.210526e-01
[20331,] 6926 4563 -4.210526e-01
[20332,] 6926 6926 8.421053e-01
[20333,] 6927 478 -4.210526e-01
[20334,] 6927 4563 -4.210526e-01
[20335,] 6927 6927 8.421053e-01
[20336,] 6928 478 -4.210526e-01
[20337,] 6928 4563 -4.210526e-01
[20338,] 6928 6928 8.421053e-01
[20339,] 6929 479 -4.381686e-01
[20340,] 6929 617 -4.381686e-01
[20341,] 6929 6929 8.763372e-01
[20342,] 6930 479 -4.381686e-01
[20343,] 6930 617 -4.381686e-01
[20344,] 6930 6930 8.763372e-01
[20345,] 6931 479 -4.381686e-01
[20346,] 6931 617 -4.381686e-01
[20347,] 6931 6931 8.763372e-01
[20348,] 6932 479 -4.381686e-01
[20349,] 6932 617 -4.381686e-01
[20350,] 6932 6932 8.763372e-01
[20351,] 6933 479 -4.381686e-01
[20352,] 6933 617 -4.381686e-01
[20353,] 6933 6933 8.763372e-01
[20354,] 6934 479 -4.381686e-01
[20355,] 6934 617 -4.381686e-01
[20356,] 6934 6934 8.763372e-01
[20357,] 6935 479 -4.381686e-01
[20358,] 6935 617 -4.381686e-01
[20359,] 6935 6935 8.763372e-01
[20360,] 6936 479 -4.381686e-01
[20361,] 6936 617 -4.381686e-01
[20362,] 6936 6936 8.763372e-01
[20363,] 6937 479 -4.381686e-01
[20364,] 6937 617 -4.381686e-01
[20365,] 6937 6937 8.763372e-01
[20366,] 6938 617 -6.966579e-01
[20367,] 6938 4627 -6.966579e-01
[20368,] 6938 6938 1.393316e+00
[20369,] 6939 617 -6.966579e-01
[20370,] 6939 4627 -6.966579e-01
[20371,] 6939 6939 1.393316e+00
[20372,] 6940 617 -6.966579e-01
[20373,] 6940 4627 -6.966579e-01
[20374,] 6940 6940 1.393316e+00
[20375,] 6941 617 -6.966579e-01
[20376,] 6941 4627 -6.966579e-01
[20377,] 6941 6941 1.393316e+00
[20378,] 6942 617 -6.966579e-01
[20379,] 6942 4627 -6.966579e-01
[20380,] 6942 6942 1.393316e+00
[20381,] 6943 617 -6.966579e-01
[20382,] 6943 4627 -6.966579e-01
[20383,] 6943 6943 1.393316e+00
[20384,] 6944 617 -6.966579e-01
[20385,] 6944 4627 -6.966579e-01
[20386,] 6944 6944 1.393316e+00
[20387,] 6945 617 -6.966579e-01
[20388,] 6945 4627 -6.966579e-01
[20389,] 6945 6945 1.393316e+00
[20390,] 6946 617 -6.966579e-01
[20391,] 6946 4627 -6.966579e-01
[20392,] 6946 6946 1.393316e+00
[20393,] 6947 617 -6.966579e-01
[20394,] 6947 4627 -6.966579e-01
[20395,] 6947 6947 1.393316e+00
[20396,] 6948 617 -6.966579e-01
[20397,] 6948 4627 -6.966579e-01
[20398,] 6948 6948 1.393316e+00
[20399,] 6949 617 -6.966579e-01
[20400,] 6949 4627 -6.966579e-01
[20401,] 6949 6949 1.393316e+00
[20402,] 6950 617 -6.966579e-01
[20403,] 6950 4627 -6.966579e-01
[20404,] 6950 6950 1.393316e+00
[20405,] 6951 617 -6.966579e-01
[20406,] 6951 4627 -6.966579e-01
[20407,] 6951 6951 1.393316e+00
[20408,] 6952 617 -6.966579e-01
[20409,] 6952 4627 -6.966579e-01
[20410,] 6952 6952 1.393316e+00
[20411,] 6953 617 -6.966579e-01
[20412,] 6953 4627 -6.966579e-01
[20413,] 6953 6953 1.393316e+00
[20414,] 6954 617 -6.966579e-01
[20415,] 6954 4627 -6.966579e-01
[20416,] 6954 6954 1.393316e+00
[20417,] 6955 480 -4.436742e-01
[20418,] 6955 688 -4.436742e-01
[20419,] 6955 6955 8.873484e-01
[20420,] 6956 480 -4.436742e-01
[20421,] 6956 688 -4.436742e-01
[20422,] 6956 6956 8.873484e-01
[20423,] 6957 480 -4.436742e-01
[20424,] 6957 688 -4.436742e-01
[20425,] 6957 6957 8.873484e-01
[20426,] 6958 480 -4.436742e-01
[20427,] 6958 688 -4.436742e-01
[20428,] 6958 6958 8.873484e-01
[20429,] 6959 480 -4.436742e-01
[20430,] 6959 688 -4.436742e-01
[20431,] 6959 6959 8.873484e-01
[20432,] 6960 480 -4.436742e-01
[20433,] 6960 688 -4.436742e-01
[20434,] 6960 6960 8.873484e-01
[20435,] 6961 480 -4.436742e-01
[20436,] 6961 688 -4.436742e-01
[20437,] 6961 6961 8.873484e-01
[20438,] 6962 480 -4.436742e-01
[20439,] 6962 688 -4.436742e-01
[20440,] 6962 6962 8.873484e-01
[20441,] 6963 480 -4.436742e-01
[20442,] 6963 688 -4.436742e-01
[20443,] 6963 6963 8.873484e-01
[20444,] 6964 480 -4.436742e-01
[20445,] 6964 688 -4.436742e-01
[20446,] 6964 6964 8.873484e-01
[20447,] 6965 480 -4.436742e-01
[20448,] 6965 688 -4.436742e-01
[20449,] 6965 6965 8.873484e-01
[20450,] 6966 481 -4.443962e-01
[20451,] 6966 614 -4.443962e-01
[20452,] 6966 6966 8.887924e-01
[20453,] 6967 481 -4.443962e-01
[20454,] 6967 614 -4.443962e-01
[20455,] 6967 6967 8.887924e-01
[20456,] 6968 481 -4.443962e-01
[20457,] 6968 614 -4.443962e-01
[20458,] 6968 6968 8.887924e-01
[20459,] 6969 481 -4.443962e-01
[20460,] 6969 614 -4.443962e-01
[20461,] 6969 6969 8.887924e-01
[20462,] 6970 617 -6.966579e-01
[20463,] 6970 4628 -6.966579e-01
[20464,] 6970 6970 1.393316e+00
[20465,] 6971 617 -6.966579e-01
[20466,] 6971 4628 -6.966579e-01
[20467,] 6971 6971 1.393316e+00
[20468,] 6972 617 -6.966579e-01
[20469,] 6972 4628 -6.966579e-01
[20470,] 6972 6972 1.393316e+00
[20471,] 6973 617 -6.966579e-01
[20472,] 6973 4628 -6.966579e-01
[20473,] 6973 6973 1.393316e+00
[20474,] 6974 617 -6.966579e-01
[20475,] 6974 4628 -6.966579e-01
[20476,] 6974 6974 1.393316e+00
[20477,] 6975 617 -6.966579e-01
[20478,] 6975 4628 -6.966579e-01
[20479,] 6975 6975 1.393316e+00
[20480,] 6976 617 -6.966579e-01
[20481,] 6976 4628 -6.966579e-01
[20482,] 6976 6976 1.393316e+00
[20483,] 6977 617 -6.966579e-01
[20484,] 6977 4628 -6.966579e-01
[20485,] 6977 6977 1.393316e+00
[20486,] 6978 617 -6.966579e-01
[20487,] 6978 4628 -6.966579e-01
[20488,] 6978 6978 1.393316e+00
[20489,] 6979 482 -4.436742e-01
[20490,] 6979 688 -4.436742e-01
[20491,] 6979 6979 8.873484e-01
[20492,] 6980 482 -4.436742e-01
[20493,] 6980 688 -4.436742e-01
[20494,] 6980 6980 8.873484e-01
[20495,] 6981 482 -4.436742e-01
[20496,] 6981 688 -4.436742e-01
[20497,] 6981 6981 8.873484e-01
[20498,] 6982 482 -4.436742e-01
[20499,] 6982 688 -4.436742e-01
[20500,] 6982 6982 8.873484e-01
[20501,] 6983 482 -4.436742e-01
[20502,] 6983 688 -4.436742e-01
[20503,] 6983 6983 8.873484e-01
[20504,] 6984 482 -4.436742e-01
[20505,] 6984 688 -4.436742e-01
[20506,] 6984 6984 8.873484e-01
[20507,] 6985 482 -4.436742e-01
[20508,] 6985 688 -4.436742e-01
[20509,] 6985 6985 8.873484e-01
[20510,] 6986 482 -4.436742e-01
[20511,] 6986 688 -4.436742e-01
[20512,] 6986 6986 8.873484e-01
[20513,] 6987 482 -4.436742e-01
[20514,] 6987 688 -4.436742e-01
[20515,] 6987 6987 8.873484e-01
[20516,] 6988 483 -4.443962e-01
[20517,] 6988 615 -4.443962e-01
[20518,] 6988 6988 8.887924e-01
[20519,] 6989 483 -4.443962e-01
[20520,] 6989 615 -4.443962e-01
[20521,] 6989 6989 8.887924e-01
[20522,] 6990 483 -4.443962e-01
[20523,] 6990 615 -4.443962e-01
[20524,] 6990 6990 8.887924e-01
[20525,] 6991 483 -4.443962e-01
[20526,] 6991 615 -4.443962e-01
[20527,] 6991 6991 8.887924e-01
[20528,] 6992 483 -4.443962e-01
[20529,] 6992 615 -4.443962e-01
[20530,] 6992 6992 8.887924e-01
[20531,] 6993 483 -4.443962e-01
[20532,] 6993 615 -4.443962e-01
[20533,] 6993 6993 8.887924e-01
[20534,] 6994 483 -4.443962e-01
[20535,] 6994 615 -4.443962e-01
[20536,] 6994 6994 8.887924e-01
[20537,] 6995 483 -4.443962e-01
[20538,] 6995 615 -4.443962e-01
[20539,] 6995 6995 8.887924e-01
[20540,] 6996 617 -1.068475e+00
[20541,] 6996 4629 -1.068475e+00
[20542,] 6996 6996 2.136951e+00
[20543,] 6997 617 -1.068475e+00
[20544,] 6997 4629 -1.068475e+00
[20545,] 6997 6997 2.136951e+00
[20546,] 6998 617 -1.068475e+00
[20547,] 6998 4629 -1.068475e+00
[20548,] 6998 6998 2.136951e+00
[20549,] 6999 617 -1.068475e+00
[20550,] 6999 4629 -1.068475e+00
[20551,] 6999 6999 2.136951e+00
[20552,] 7000 617 -1.068475e+00
[20553,] 7000 4629 -1.068475e+00
[20554,] 7000 7000 2.136951e+00
[20555,] 7001 617 -1.068475e+00
[20556,] 7001 4629 -1.068475e+00
[20557,] 7001 7001 2.136951e+00
[20558,] 7002 617 -1.068475e+00
[20559,] 7002 4629 -1.068475e+00
[20560,] 7002 7002 2.136951e+00
[20561,] 7003 617 -1.068475e+00
[20562,] 7003 4629 -1.068475e+00
[20563,] 7003 7003 2.136951e+00
[20564,] 7004 617 -1.068475e+00
[20565,] 7004 4629 -1.068475e+00
[20566,] 7004 7004 2.136951e+00
[20567,] 7005 617 -1.068475e+00
[20568,] 7005 4629 -1.068475e+00
[20569,] 7005 7005 2.136951e+00
[20570,] 7006 617 -1.068475e+00
[20571,] 7006 4629 -1.068475e+00
[20572,] 7006 7006 2.136951e+00
[20573,] 7007 617 -1.068475e+00
[20574,] 7007 4629 -1.068475e+00
[20575,] 7007 7007 2.136951e+00
[20576,] 7008 617 -1.068475e+00
[20577,] 7008 4629 -1.068475e+00
[20578,] 7008 7008 2.136951e+00
[20579,] 7009 617 -1.068475e+00
[20580,] 7009 4629 -1.068475e+00
[20581,] 7009 7009 2.136951e+00
[20582,] 7010 617 -1.068475e+00
[20583,] 7010 4629 -1.068475e+00
[20584,] 7010 7010 2.136951e+00
[20585,] 7011 617 -1.068475e+00
[20586,] 7011 4629 -1.068475e+00
[20587,] 7011 7011 2.136951e+00
[20588,] 7012 617 -1.068475e+00
[20589,] 7012 4629 -1.068475e+00
[20590,] 7012 7012 2.136951e+00
[20591,] 7013 617 -1.068475e+00
[20592,] 7013 4629 -1.068475e+00
[20593,] 7013 7013 2.136951e+00
[20594,] 7014 617 -1.068475e+00
[20595,] 7014 4629 -1.068475e+00
[20596,] 7014 7014 2.136951e+00
[20597,] 7015 484 -4.381686e-01
[20598,] 7015 617 -4.381686e-01
[20599,] 7015 7015 8.763372e-01
[20600,] 7016 484 -4.381686e-01
[20601,] 7016 617 -4.381686e-01
[20602,] 7016 7016 8.763372e-01
[20603,] 7017 484 -4.381686e-01
[20604,] 7017 617 -4.381686e-01
[20605,] 7017 7017 8.763372e-01
[20606,] 7018 484 -4.381686e-01
[20607,] 7018 617 -4.381686e-01
[20608,] 7018 7018 8.763372e-01
[20609,] 7019 615 -5.516498e-01
[20610,] 7019 4630 -5.516498e-01
[20611,] 7019 7019 1.103300e+00
[20612,] 7020 615 -5.516498e-01
[20613,] 7020 4630 -5.516498e-01
[20614,] 7020 7020 1.103300e+00
[20615,] 7021 485 -4.381686e-01
[20616,] 7021 617 -4.381686e-01
[20617,] 7021 7021 8.763372e-01
[20618,] 7022 485 -4.381686e-01
[20619,] 7022 617 -4.381686e-01
[20620,] 7022 7022 8.763372e-01
[20621,] 7023 485 -4.381686e-01
[20622,] 7023 617 -4.381686e-01
[20623,] 7023 7023 8.763372e-01
[20624,] 7024 485 -4.381686e-01
[20625,] 7024 617 -4.381686e-01
[20626,] 7024 7024 8.763372e-01
[20627,] 7025 485 -4.381686e-01
[20628,] 7025 617 -4.381686e-01
[20629,] 7025 7025 8.763372e-01
[20630,] 7026 615 -5.516498e-01
[20631,] 7026 4631 -5.516498e-01
[20632,] 7026 7026 1.103300e+00
[20633,] 7027 615 -5.516498e-01
[20634,] 7027 4631 -5.516498e-01
[20635,] 7027 7027 1.103300e+00
[20636,] 7028 615 -5.516498e-01
[20637,] 7028 4631 -5.516498e-01
[20638,] 7028 7028 1.103300e+00
[20639,] 7029 615 -5.516498e-01
[20640,] 7029 4632 -5.516498e-01
[20641,] 7029 7029 1.103300e+00
[20642,] 7030 615 -5.516498e-01
[20643,] 7030 4632 -5.516498e-01
[20644,] 7030 7030 1.103300e+00
[20645,] 7031 615 -5.516498e-01
[20646,] 7031 4632 -5.516498e-01
[20647,] 7031 7031 1.103300e+00
[20648,] 7032 4563 -6.213592e-01
[20649,] 7032 4633 -6.213592e-01
[20650,] 7032 7032 1.242718e+00
[20651,] 7033 4563 -6.213592e-01
[20652,] 7033 4633 -6.213592e-01
[20653,] 7033 7033 1.242718e+00
[20654,] 7034 4563 -6.213592e-01
[20655,] 7034 4633 -6.213592e-01
[20656,] 7034 7034 1.242718e+00
[20657,] 7035 4563 -6.213592e-01
[20658,] 7035 4633 -6.213592e-01
[20659,] 7035 7035 1.242718e+00
[20660,] 7036 4563 -6.213592e-01
[20661,] 7036 4633 -6.213592e-01
[20662,] 7036 7036 1.242718e+00
[20663,] 7037 4563 -6.213592e-01
[20664,] 7037 4633 -6.213592e-01
[20665,] 7037 7037 1.242718e+00
[20666,] 7038 4563 -6.213592e-01
[20667,] 7038 4633 -6.213592e-01
[20668,] 7038 7038 1.242718e+00
[20669,] 7039 4563 -6.213592e-01
[20670,] 7039 4633 -6.213592e-01
[20671,] 7039 7039 1.242718e+00
[20672,] 7040 4563 -6.213592e-01
[20673,] 7040 4633 -6.213592e-01
[20674,] 7040 7040 1.242718e+00
[20675,] 7041 4563 -6.213592e-01
[20676,] 7041 4633 -6.213592e-01
[20677,] 7041 7041 1.242718e+00
[20678,] 7042 4563 -6.213592e-01
[20679,] 7042 4633 -6.213592e-01
[20680,] 7042 7042 1.242718e+00
[20681,] 7043 4563 -6.213592e-01
[20682,] 7043 4633 -6.213592e-01
[20683,] 7043 7043 1.242718e+00
[20684,] 7044 4563 -6.213592e-01
[20685,] 7044 4633 -6.213592e-01
[20686,] 7044 7044 1.242718e+00
[20687,] 7045 4563 -6.213592e-01
[20688,] 7045 4633 -6.213592e-01
[20689,] 7045 7045 1.242718e+00
[20690,] 7046 4563 -6.213592e-01
[20691,] 7046 4633 -6.213592e-01
[20692,] 7046 7046 1.242718e+00
[20693,] 7047 4563 -6.213592e-01
[20694,] 7047 4633 -6.213592e-01
[20695,] 7047 7047 1.242718e+00
[20696,] 7048 4563 -6.213592e-01
[20697,] 7048 4633 -6.213592e-01
[20698,] 7048 7048 1.242718e+00
[20699,] 7049 4563 -6.213592e-01
[20700,] 7049 4633 -6.213592e-01
[20701,] 7049 7049 1.242718e+00
[20702,] 7050 617 -4.489259e-01
[20703,] 7050 4634 -4.489259e-01
[20704,] 7050 7050 8.978518e-01
[20705,] 7051 617 -4.489259e-01
[20706,] 7051 4634 -4.489259e-01
[20707,] 7051 7051 8.978518e-01
[20708,] 7052 617 -4.489259e-01
[20709,] 7052 4634 -4.489259e-01
[20710,] 7052 7052 8.978518e-01
[20711,] 7053 617 -4.489259e-01
[20712,] 7053 4634 -4.489259e-01
[20713,] 7053 7053 8.978518e-01
[20714,] 7054 617 -4.489259e-01
[20715,] 7054 4634 -4.489259e-01
[20716,] 7054 7054 8.978518e-01
[20717,] 7055 617 -4.489259e-01
[20718,] 7055 4634 -4.489259e-01
[20719,] 7055 7055 8.978518e-01
[20720,] 7056 617 -4.489259e-01
[20721,] 7056 4634 -4.489259e-01
[20722,] 7056 7056 8.978518e-01
[20723,] 7057 617 -4.489259e-01
[20724,] 7057 4634 -4.489259e-01
[20725,] 7057 7057 8.978518e-01
[20726,] 7058 617 -4.489259e-01
[20727,] 7058 4634 -4.489259e-01
[20728,] 7058 7058 8.978518e-01
[20729,] 7059 617 -4.489259e-01
[20730,] 7059 4634 -4.489259e-01
[20731,] 7059 7059 8.978518e-01
[20732,] 7060 617 -4.489259e-01
[20733,] 7060 4634 -4.489259e-01
[20734,] 7060 7060 8.978518e-01
[20735,] 7061 617 -4.489259e-01
[20736,] 7061 4634 -4.489259e-01
[20737,] 7061 7061 8.978518e-01
[20738,] 7062 617 -4.489259e-01
[20739,] 7062 4634 -4.489259e-01
[20740,] 7062 7062 8.978518e-01
[20741,] 7063 617 -4.489259e-01
[20742,] 7063 4634 -4.489259e-01
[20743,] 7063 7063 8.978518e-01
[20744,] 7064 617 -4.489259e-01
[20745,] 7064 4634 -4.489259e-01
[20746,] 7064 7064 8.978518e-01
[20747,] 7065 617 -4.489259e-01
[20748,] 7065 4634 -4.489259e-01
[20749,] 7065 7065 8.978518e-01
[20750,] 7066 617 -4.489259e-01
[20751,] 7066 4634 -4.489259e-01
[20752,] 7066 7066 8.978518e-01
[20753,] 7067 4563 -6.213592e-01
[20754,] 7067 4634 -6.213592e-01
[20755,] 7067 7067 1.242718e+00
[20756,] 7068 4563 -6.213592e-01
[20757,] 7068 4634 -6.213592e-01
[20758,] 7068 7068 1.242718e+00
[20759,] 7069 4563 -6.213592e-01
[20760,] 7069 4634 -6.213592e-01
[20761,] 7069 7069 1.242718e+00
[20762,] 7070 4563 -6.213592e-01
[20763,] 7070 4634 -6.213592e-01
[20764,] 7070 7070 1.242718e+00
[20765,] 7071 4563 -6.213592e-01
[20766,] 7071 4634 -6.213592e-01
[20767,] 7071 7071 1.242718e+00
[20768,] 7072 4563 -6.213592e-01
[20769,] 7072 4634 -6.213592e-01
[20770,] 7072 7072 1.242718e+00
[20771,] 7073 4563 -6.213592e-01
[20772,] 7073 4634 -6.213592e-01
[20773,] 7073 7073 1.242718e+00
[20774,] 7074 4563 -6.213592e-01
[20775,] 7074 4634 -6.213592e-01
[20776,] 7074 7074 1.242718e+00
[20777,] 7075 4563 -6.213592e-01
[20778,] 7075 4634 -6.213592e-01
[20779,] 7075 7075 1.242718e+00
[20780,] 7076 4563 -6.213592e-01
[20781,] 7076 4634 -6.213592e-01
[20782,] 7076 7076 1.242718e+00
[20783,] 7077 4563 -6.213592e-01
[20784,] 7077 4634 -6.213592e-01
[20785,] 7077 7077 1.242718e+00
[20786,] 7078 4563 -6.213592e-01
[20787,] 7078 4634 -6.213592e-01
[20788,] 7078 7078 1.242718e+00
[20789,] 7079 4563 -6.213592e-01
[20790,] 7079 4634 -6.213592e-01
[20791,] 7079 7079 1.242718e+00
[20792,] 7080 4563 -6.213592e-01
[20793,] 7080 4634 -6.213592e-01
[20794,] 7080 7080 1.242718e+00
[20795,] 7081 4563 -6.213592e-01
[20796,] 7081 4634 -6.213592e-01
[20797,] 7081 7081 1.242718e+00
[20798,] 7082 4563 -6.213592e-01
[20799,] 7082 4634 -6.213592e-01
[20800,] 7082 7082 1.242718e+00
[20801,] 7083 4563 -6.213592e-01
[20802,] 7083 4634 -6.213592e-01
[20803,] 7083 7083 1.242718e+00
[20804,] 7084 4563 -6.213592e-01
[20805,] 7084 4634 -6.213592e-01
[20806,] 7084 7084 1.242718e+00
[20807,] 7085 4563 -6.213592e-01
[20808,] 7085 4634 -6.213592e-01
[20809,] 7085 7085 1.242718e+00
[20810,] 7086 4563 -6.213592e-01
[20811,] 7086 4634 -6.213592e-01
[20812,] 7086 7086 1.242718e+00
[20813,] 7087 4563 -6.213592e-01
[20814,] 7087 4634 -6.213592e-01
[20815,] 7087 7087 1.242718e+00
[20816,] 7088 4563 -6.213592e-01
[20817,] 7088 4634 -6.213592e-01
[20818,] 7088 7088 1.242718e+00
[20819,] 7089 4563 -6.213592e-01
[20820,] 7089 4634 -6.213592e-01
[20821,] 7089 7089 1.242718e+00
[20822,] 7090 4563 -6.213592e-01
[20823,] 7090 4634 -6.213592e-01
[20824,] 7090 7090 1.242718e+00
[20825,] 7091 4563 -6.213592e-01
[20826,] 7091 4636 -6.213592e-01
[20827,] 7091 7091 1.242718e+00
[20828,] 7092 4563 -6.213592e-01
[20829,] 7092 4636 -6.213592e-01
[20830,] 7092 7092 1.242718e+00
[20831,] 7093 4563 -6.213592e-01
[20832,] 7093 4636 -6.213592e-01
[20833,] 7093 7093 1.242718e+00
[20834,] 7094 4563 -6.213592e-01
[20835,] 7094 4636 -6.213592e-01
[20836,] 7094 7094 1.242718e+00
[20837,] 7095 4563 -6.213592e-01
[20838,] 7095 4636 -6.213592e-01
[20839,] 7095 7095 1.242718e+00
[20840,] 7096 4563 -6.213592e-01
[20841,] 7096 4636 -6.213592e-01
[20842,] 7096 7096 1.242718e+00
[20843,] 7097 4563 -6.213592e-01
[20844,] 7097 4636 -6.213592e-01
[20845,] 7097 7097 1.242718e+00
[20846,] 7098 4563 -6.213592e-01
[20847,] 7098 4636 -6.213592e-01
[20848,] 7098 7098 1.242718e+00
[20849,] 7099 4563 -6.213592e-01
[20850,] 7099 4636 -6.213592e-01
[20851,] 7099 7099 1.242718e+00
[20852,] 7100 4563 -6.213592e-01
[20853,] 7100 4636 -6.213592e-01
[20854,] 7100 7100 1.242718e+00
[20855,] 7101 4563 -6.213592e-01
[20856,] 7101 4636 -6.213592e-01
[20857,] 7101 7101 1.242718e+00
[20858,] 7102 4563 -6.213592e-01
[20859,] 7102 4636 -6.213592e-01
[20860,] 7102 7102 1.242718e+00
[20861,] 7103 4563 -6.213592e-01
[20862,] 7103 4636 -6.213592e-01
[20863,] 7103 7103 1.242718e+00
[20864,] 7104 4563 -6.213592e-01
[20865,] 7104 4636 -6.213592e-01
[20866,] 7104 7104 1.242718e+00
[20867,] 7105 615 -5.516498e-01
[20868,] 7105 4637 -5.516498e-01
[20869,] 7105 7105 1.103300e+00
[20870,] 7106 615 -5.516498e-01
[20871,] 7106 4637 -5.516498e-01
[20872,] 7106 7106 1.103300e+00
[20873,] 7107 615 -5.516498e-01
[20874,] 7107 4637 -5.516498e-01
[20875,] 7107 7107 1.103300e+00
[20876,] 7108 615 -5.516498e-01
[20877,] 7108 4637 -5.516498e-01
[20878,] 7108 7108 1.103300e+00
[20879,] 7109 615 -5.516498e-01
[20880,] 7109 4637 -5.516498e-01
[20881,] 7109 7109 1.103300e+00
[20882,] 7110 615 -5.516498e-01
[20883,] 7110 4637 -5.516498e-01
[20884,] 7110 7110 1.103300e+00
[20885,] 7111 615 -5.516498e-01
[20886,] 7111 4637 -5.516498e-01
[20887,] 7111 7111 1.103300e+00
[20888,] 7112 615 -5.516498e-01
[20889,] 7112 4637 -5.516498e-01
[20890,] 7112 7112 1.103300e+00
[20891,] 7113 615 -5.516498e-01
[20892,] 7113 4637 -5.516498e-01
[20893,] 7113 7113 1.103300e+00
[20894,] 7114 615 -5.516498e-01
[20895,] 7114 4637 -5.516498e-01
[20896,] 7114 7114 1.103300e+00
[20897,] 7115 615 -5.516498e-01
[20898,] 7115 4637 -5.516498e-01
[20899,] 7115 7115 1.103300e+00
[20900,] 7116 615 -5.516498e-01
[20901,] 7116 4637 -5.516498e-01
[20902,] 7116 7116 1.103300e+00
[20903,] 7117 615 -5.516498e-01
[20904,] 7117 4637 -5.516498e-01
[20905,] 7117 7117 1.103300e+00
[20906,] 7118 615 -5.516498e-01
[20907,] 7118 4637 -5.516498e-01
[20908,] 7118 7118 1.103300e+00
[20909,] 7119 615 -5.516498e-01
[20910,] 7119 4637 -5.516498e-01
[20911,] 7119 7119 1.103300e+00
[20912,] 7120 615 -5.516498e-01
[20913,] 7120 4637 -5.516498e-01
[20914,] 7120 7120 1.103300e+00
[20915,] 7121 615 -5.516498e-01
[20916,] 7121 4637 -5.516498e-01
[20917,] 7121 7121 1.103300e+00
[20918,] 7122 615 -5.516498e-01
[20919,] 7122 4637 -5.516498e-01
[20920,] 7122 7122 1.103300e+00
[20921,] 7123 4563 -4.309764e-01
[20922,] 7123 4638 -4.309764e-01
[20923,] 7123 7123 8.619529e-01
[20924,] 7124 4563 -4.309764e-01
[20925,] 7124 4638 -4.309764e-01
[20926,] 7124 7124 8.619529e-01
[20927,] 7125 4563 -4.309764e-01
[20928,] 7125 4638 -4.309764e-01
[20929,] 7125 7125 8.619529e-01
[20930,] 7126 4563 -4.309764e-01
[20931,] 7126 4638 -4.309764e-01
[20932,] 7126 7126 8.619529e-01
[20933,] 7127 4563 -4.309764e-01
[20934,] 7127 4638 -4.309764e-01
[20935,] 7127 7127 8.619529e-01
[20936,] 7128 4563 -4.309764e-01
[20937,] 7128 4638 -4.309764e-01
[20938,] 7128 7128 8.619529e-01
[20939,] 7129 4563 -4.309764e-01
[20940,] 7129 4638 -4.309764e-01
[20941,] 7129 7129 8.619529e-01
[20942,] 7130 4563 -4.309764e-01
[20943,] 7130 4638 -4.309764e-01
[20944,] 7130 7130 8.619529e-01
[20945,] 7131 4563 -4.309764e-01
[20946,] 7131 4638 -4.309764e-01
[20947,] 7131 7131 8.619529e-01
[20948,] 7132 4563 -4.309764e-01
[20949,] 7132 4638 -4.309764e-01
[20950,] 7132 7132 8.619529e-01
[20951,] 7133 4563 -4.309764e-01
[20952,] 7133 4638 -4.309764e-01
[20953,] 7133 7133 8.619529e-01
[20954,] 7134 4563 -4.309764e-01
[20955,] 7134 4638 -4.309764e-01
[20956,] 7134 7134 8.619529e-01
[20957,] 7135 4563 -4.309764e-01
[20958,] 7135 4638 -4.309764e-01
[20959,] 7135 7135 8.619529e-01
[20960,] 7136 4563 -4.309764e-01
[20961,] 7136 4638 -4.309764e-01
[20962,] 7136 7136 8.619529e-01
[20963,] 7137 4563 -4.309764e-01
[20964,] 7137 4638 -4.309764e-01
[20965,] 7137 7137 8.619529e-01
[20966,] 7138 4563 -4.309764e-01
[20967,] 7138 4638 -4.309764e-01
[20968,] 7138 7138 8.619529e-01
[20969,] 7139 4563 -4.309764e-01
[20970,] 7139 4638 -4.309764e-01
[20971,] 7139 7139 8.619529e-01
[20972,] 7140 4563 -4.309764e-01
[20973,] 7140 4638 -4.309764e-01
[20974,] 7140 7140 8.619529e-01
[20975,] 7141 4563 -4.309764e-01
[20976,] 7141 4638 -4.309764e-01
[20977,] 7141 7141 8.619529e-01
[20978,] 7142 4563 -4.309764e-01
[20979,] 7142 4638 -4.309764e-01
[20980,] 7142 7142 8.619529e-01
[20981,] 7143 4563 -4.309764e-01
[20982,] 7143 4638 -4.309764e-01
[20983,] 7143 7143 8.619529e-01
[20984,] 7144 4563 -4.309764e-01
[20985,] 7144 4638 -4.309764e-01
[20986,] 7144 7144 8.619529e-01
[20987,] 7145 4563 -4.309764e-01
[20988,] 7145 4638 -4.309764e-01
[20989,] 7145 7145 8.619529e-01
[20990,] 7146 486 -4.381686e-01
[20991,] 7146 617 -4.381686e-01
[20992,] 7146 7146 8.763372e-01
[20993,] 7147 486 -4.381686e-01
[20994,] 7147 617 -4.381686e-01
[20995,] 7147 7147 8.763372e-01
[20996,] 7148 486 -4.381686e-01
[20997,] 7148 617 -4.381686e-01
[20998,] 7148 7148 8.763372e-01
[20999,] 7149 486 -4.381686e-01
[21000,] 7149 617 -4.381686e-01
[21001,] 7149 7149 8.763372e-01
[21002,] 7150 486 -4.381686e-01
[21003,] 7150 617 -4.381686e-01
[21004,] 7150 7150 8.763372e-01
[21005,] 7151 486 -4.381686e-01
[21006,] 7151 617 -4.381686e-01
[21007,] 7151 7151 8.763372e-01
[21008,] 7152 486 -4.381686e-01
[21009,] 7152 617 -4.381686e-01
[21010,] 7152 7152 8.763372e-01
[21011,] 7153 486 -4.381686e-01
[21012,] 7153 617 -4.381686e-01
[21013,] 7153 7153 8.763372e-01
[21014,] 7154 486 -4.381686e-01
[21015,] 7154 617 -4.381686e-01
[21016,] 7154 7154 8.763372e-01
[21017,] 7155 486 -4.381686e-01
[21018,] 7155 617 -4.381686e-01
[21019,] 7155 7155 8.763372e-01
[21020,] 7156 486 -4.381686e-01
[21021,] 7156 617 -4.381686e-01
[21022,] 7156 7156 8.763372e-01
[21023,] 7157 486 -4.381686e-01
[21024,] 7157 617 -4.381686e-01
[21025,] 7157 7157 8.763372e-01
[21026,] 7158 486 -4.381686e-01
[21027,] 7158 617 -4.381686e-01
[21028,] 7158 7158 8.763372e-01
[21029,] 7159 486 -4.381686e-01
[21030,] 7159 617 -4.381686e-01
[21031,] 7159 7159 8.763372e-01
[21032,] 7160 486 -4.381686e-01
[21033,] 7160 617 -4.381686e-01
[21034,] 7160 7160 8.763372e-01
[21035,] 7161 486 -4.381686e-01
[21036,] 7161 617 -4.381686e-01
[21037,] 7161 7161 8.763372e-01
[21038,] 7162 486 -4.381686e-01
[21039,] 7162 617 -4.381686e-01
[21040,] 7162 7162 8.763372e-01
[21041,] 7163 486 -4.381686e-01
[21042,] 7163 617 -4.381686e-01
[21043,] 7163 7163 8.763372e-01
[21044,] 7164 486 -4.381686e-01
[21045,] 7164 617 -4.381686e-01
[21046,] 7164 7164 8.763372e-01
[21047,] 7165 486 -4.381686e-01
[21048,] 7165 617 -4.381686e-01
[21049,] 7165 7165 8.763372e-01
[21050,] 7166 486 -4.381686e-01
[21051,] 7166 617 -4.381686e-01
[21052,] 7166 7166 8.763372e-01
[21053,] 7167 486 -4.381686e-01
[21054,] 7167 617 -4.381686e-01
[21055,] 7167 7167 8.763372e-01
[21056,] 7168 486 -4.381686e-01
[21057,] 7168 617 -4.381686e-01
[21058,] 7168 7168 8.763372e-01
[21059,] 7169 486 -4.381686e-01
[21060,] 7169 617 -4.381686e-01
[21061,] 7169 7169 8.763372e-01
[21062,] 7170 486 -4.381686e-01
[21063,] 7170 617 -4.381686e-01
[21064,] 7170 7170 8.763372e-01
[21065,] 7171 486 -4.381686e-01
[21066,] 7171 617 -4.381686e-01
[21067,] 7171 7171 8.763372e-01
[21068,] 7172 486 -4.381686e-01
[21069,] 7172 617 -4.381686e-01
[21070,] 7172 7172 8.763372e-01
[21071,] 7173 486 -4.381686e-01
[21072,] 7173 617 -4.381686e-01
[21073,] 7173 7173 8.763372e-01
[21074,] 7174 486 -4.381686e-01
[21075,] 7174 617 -4.381686e-01
[21076,] 7174 7174 8.763372e-01
[21077,] 7175 486 -4.381686e-01
[21078,] 7175 617 -4.381686e-01
[21079,] 7175 7175 8.763372e-01
[21080,] 7176 486 -4.381686e-01
[21081,] 7176 617 -4.381686e-01
[21082,] 7176 7176 8.763372e-01
[21083,] 7177 487 -4.381686e-01
[21084,] 7177 617 -4.381686e-01
[21085,] 7177 7177 8.763372e-01
[21086,] 7178 487 -4.381686e-01
[21087,] 7178 617 -4.381686e-01
[21088,] 7178 7178 8.763372e-01
[21089,] 7179 487 -4.381686e-01
[21090,] 7179 617 -4.381686e-01
[21091,] 7179 7179 8.763372e-01
[21092,] 7180 487 -4.381686e-01
[21093,] 7180 617 -4.381686e-01
[21094,] 7180 7180 8.763372e-01
[21095,] 7181 487 -4.381686e-01
[21096,] 7181 617 -4.381686e-01
[21097,] 7181 7181 8.763372e-01
[21098,] 7182 487 -4.381686e-01
[21099,] 7182 617 -4.381686e-01
[21100,] 7182 7182 8.763372e-01
[21101,] 7183 487 -4.381686e-01
[21102,] 7183 617 -4.381686e-01
[21103,] 7183 7183 8.763372e-01
[21104,] 7184 487 -4.381686e-01
[21105,] 7184 617 -4.381686e-01
[21106,] 7184 7184 8.763372e-01
[21107,] 7185 487 -4.381686e-01
[21108,] 7185 617 -4.381686e-01
[21109,] 7185 7185 8.763372e-01
[21110,] 7186 487 -4.381686e-01
[21111,] 7186 617 -4.381686e-01
[21112,] 7186 7186 8.763372e-01
[21113,] 7187 487 -4.381686e-01
[21114,] 7187 617 -4.381686e-01
[21115,] 7187 7187 8.763372e-01
[21116,] 7188 487 -4.381686e-01
[21117,] 7188 617 -4.381686e-01
[21118,] 7188 7188 8.763372e-01
[21119,] 7189 487 -4.381686e-01
[21120,] 7189 617 -4.381686e-01
[21121,] 7189 7189 8.763372e-01
[21122,] 7190 487 -4.381686e-01
[21123,] 7190 617 -4.381686e-01
[21124,] 7190 7190 8.763372e-01
[21125,] 7191 487 -4.381686e-01
[21126,] 7191 617 -4.381686e-01
[21127,] 7191 7191 8.763372e-01
[21128,] 7192 487 -4.381686e-01
[21129,] 7192 617 -4.381686e-01
[21130,] 7192 7192 8.763372e-01
[21131,] 7193 487 -4.381686e-01
[21132,] 7193 617 -4.381686e-01
[21133,] 7193 7193 8.763372e-01
[21134,] 7194 487 -4.381686e-01
[21135,] 7194 617 -4.381686e-01
[21136,] 7194 7194 8.763372e-01
[21137,] 7195 487 -4.381686e-01
[21138,] 7195 617 -4.381686e-01
[21139,] 7195 7195 8.763372e-01
[21140,] 7196 487 -4.381686e-01
[21141,] 7196 617 -4.381686e-01
[21142,] 7196 7196 8.763372e-01
[21143,] 7197 487 -4.381686e-01
[21144,] 7197 617 -4.381686e-01
[21145,] 7197 7197 8.763372e-01
[21146,] 7198 487 -4.381686e-01
[21147,] 7198 617 -4.381686e-01
[21148,] 7198 7198 8.763372e-01
[21149,] 7199 487 -4.381686e-01
[21150,] 7199 617 -4.381686e-01
[21151,] 7199 7199 8.763372e-01
[21152,] 7200 617 -6.966579e-01
[21153,] 7200 4639 -6.966579e-01
[21154,] 7200 7200 1.393316e+00
[21155,] 7201 617 -6.966579e-01
[21156,] 7201 4639 -6.966579e-01
[21157,] 7201 7201 1.393316e+00
[21158,] 7202 617 -6.966579e-01
[21159,] 7202 4639 -6.966579e-01
[21160,] 7202 7202 1.393316e+00
[21161,] 7203 617 -6.966579e-01
[21162,] 7203 4639 -6.966579e-01
[21163,] 7203 7203 1.393316e+00
[21164,] 7204 617 -6.966579e-01
[21165,] 7204 4639 -6.966579e-01
[21166,] 7204 7204 1.393316e+00
[21167,] 7205 617 -6.966579e-01
[21168,] 7205 4639 -6.966579e-01
[21169,] 7205 7205 1.393316e+00
[21170,] 7206 617 -6.966579e-01
[21171,] 7206 4639 -6.966579e-01
[21172,] 7206 7206 1.393316e+00
[21173,] 7207 617 -6.966579e-01
[21174,] 7207 4639 -6.966579e-01
[21175,] 7207 7207 1.393316e+00
[21176,] 7208 617 -6.966579e-01
[21177,] 7208 4639 -6.966579e-01
[21178,] 7208 7208 1.393316e+00
[21179,] 7209 4563 -4.210526e-01
[21180,] 7209 4640 -4.210526e-01
[21181,] 7209 7209 8.421053e-01
[21182,] 7210 4563 -4.210526e-01
[21183,] 7210 4640 -4.210526e-01
[21184,] 7210 7210 8.421053e-01
[21185,] 7211 4563 -4.210526e-01
[21186,] 7211 4640 -4.210526e-01
[21187,] 7211 7211 8.421053e-01
[21188,] 7212 4563 -4.210526e-01
[21189,] 7212 4640 -4.210526e-01
[21190,] 7212 7212 8.421053e-01
[21191,] 7213 4563 -4.210526e-01
[21192,] 7213 4640 -4.210526e-01
[21193,] 7213 7213 8.421053e-01
[21194,] 7214 4563 -4.210526e-01
[21195,] 7214 4640 -4.210526e-01
[21196,] 7214 7214 8.421053e-01
[21197,] 7215 4563 -4.210526e-01
[21198,] 7215 4640 -4.210526e-01
[21199,] 7215 7215 8.421053e-01
[21200,] 7216 4563 -4.210526e-01
[21201,] 7216 4640 -4.210526e-01
[21202,] 7216 7216 8.421053e-01
[21203,] 7217 488 -4.210526e-01
[21204,] 7217 4563 -4.210526e-01
[21205,] 7217 7217 8.421053e-01
[21206,] 7218 488 -4.210526e-01
[21207,] 7218 4563 -4.210526e-01
[21208,] 7218 7218 8.421053e-01
[21209,] 7219 488 -4.210526e-01
[21210,] 7219 4563 -4.210526e-01
[21211,] 7219 7219 8.421053e-01
[21212,] 7220 488 -4.210526e-01
[21213,] 7220 4563 -4.210526e-01
[21214,] 7220 7220 8.421053e-01
[21215,] 7221 488 -4.210526e-01
[21216,] 7221 4563 -4.210526e-01
[21217,] 7221 7221 8.421053e-01
[21218,] 7222 488 -4.210526e-01
[21219,] 7222 4563 -4.210526e-01
[21220,] 7222 7222 8.421053e-01
[21221,] 7223 488 -4.210526e-01
[21222,] 7223 4563 -4.210526e-01
[21223,] 7223 7223 8.421053e-01
[21224,] 7224 488 -4.210526e-01
[21225,] 7224 4563 -4.210526e-01
[21226,] 7224 7224 8.421053e-01
[21227,] 7225 489 -4.210526e-01
[21228,] 7225 4563 -4.210526e-01
[21229,] 7225 7225 8.421053e-01
[21230,] 7226 489 -4.210526e-01
[21231,] 7226 4563 -4.210526e-01
[21232,] 7226 7226 8.421053e-01
[21233,] 7227 489 -4.210526e-01
[21234,] 7227 4563 -4.210526e-01
[21235,] 7227 7227 8.421053e-01
[21236,] 7228 489 -4.210526e-01
[21237,] 7228 4563 -4.210526e-01
[21238,] 7228 7228 8.421053e-01
[21239,] 7229 489 -4.210526e-01
[21240,] 7229 4563 -4.210526e-01
[21241,] 7229 7229 8.421053e-01
[21242,] 7230 490 -4.381686e-01
[21243,] 7230 617 -4.381686e-01
[21244,] 7230 7230 8.763372e-01
[21245,] 7231 490 -4.381686e-01
[21246,] 7231 617 -4.381686e-01
[21247,] 7231 7231 8.763372e-01
[21248,] 7232 490 -4.381686e-01
[21249,] 7232 617 -4.381686e-01
[21250,] 7232 7232 8.763372e-01
[21251,] 7233 490 -4.381686e-01
[21252,] 7233 617 -4.381686e-01
[21253,] 7233 7233 8.763372e-01
[21254,] 7234 490 -4.381686e-01
[21255,] 7234 617 -4.381686e-01
[21256,] 7234 7234 8.763372e-01
[21257,] 7235 490 -4.381686e-01
[21258,] 7235 617 -4.381686e-01
[21259,] 7235 7235 8.763372e-01
[21260,] 7236 490 -4.381686e-01
[21261,] 7236 617 -4.381686e-01
[21262,] 7236 7236 8.763372e-01
[21263,] 7237 490 -4.381686e-01
[21264,] 7237 617 -4.381686e-01
[21265,] 7237 7237 8.763372e-01
[21266,] 7238 490 -4.381686e-01
[21267,] 7238 617 -4.381686e-01
[21268,] 7238 7238 8.763372e-01
[21269,] 7239 491 -4.210526e-01
[21270,] 7239 4563 -4.210526e-01
[21271,] 7239 7239 8.421053e-01
[21272,] 7240 491 -4.210526e-01
[21273,] 7240 4563 -4.210526e-01
[21274,] 7240 7240 8.421053e-01
[21275,] 7241 491 -4.210526e-01
[21276,] 7241 4563 -4.210526e-01
[21277,] 7241 7241 8.421053e-01
[21278,] 7242 491 -4.210526e-01
[21279,] 7242 4563 -4.210526e-01
[21280,] 7242 7242 8.421053e-01
[21281,] 7243 491 -4.210526e-01
[21282,] 7243 4563 -4.210526e-01
[21283,] 7243 7243 8.421053e-01
[21284,] 7244 491 -4.210526e-01
[21285,] 7244 4563 -4.210526e-01
[21286,] 7244 7244 8.421053e-01
[21287,] 7245 617 -6.966579e-01
[21288,] 7245 4641 -6.966579e-01
[21289,] 7245 7245 1.393316e+00
[21290,] 7246 617 -6.966579e-01
[21291,] 7246 4641 -6.966579e-01
[21292,] 7246 7246 1.393316e+00
[21293,] 7247 617 -6.966579e-01
[21294,] 7247 4641 -6.966579e-01
[21295,] 7247 7247 1.393316e+00
[21296,] 7248 617 -6.966579e-01
[21297,] 7248 4641 -6.966579e-01
[21298,] 7248 7248 1.393316e+00
[21299,] 7249 617 -6.966579e-01
[21300,] 7249 4641 -6.966579e-01
[21301,] 7249 7249 1.393316e+00
[21302,] 7250 617 -6.966579e-01
[21303,] 7250 4641 -6.966579e-01
[21304,] 7250 7250 1.393316e+00
[21305,] 7251 617 -6.966579e-01
[21306,] 7251 4641 -6.966579e-01
[21307,] 7251 7251 1.393316e+00
[21308,] 7252 617 -6.966579e-01
[21309,] 7252 4641 -6.966579e-01
[21310,] 7252 7252 1.393316e+00
[21311,] 7253 617 -6.966579e-01
[21312,] 7253 4641 -6.966579e-01
[21313,] 7253 7253 1.393316e+00
[21314,] 7254 617 -6.966579e-01
[21315,] 7254 4641 -6.966579e-01
[21316,] 7254 7254 1.393316e+00
[21317,] 7255 617 -6.966579e-01
[21318,] 7255 4641 -6.966579e-01
[21319,] 7255 7255 1.393316e+00
[21320,] 7256 617 -6.966579e-01
[21321,] 7256 4641 -6.966579e-01
[21322,] 7256 7256 1.393316e+00
[21323,] 7257 617 -6.966579e-01
[21324,] 7257 4641 -6.966579e-01
[21325,] 7257 7257 1.393316e+00
[21326,] 7258 617 -6.966579e-01
[21327,] 7258 4641 -6.966579e-01
[21328,] 7258 7258 1.393316e+00
[21329,] 7259 617 -6.966579e-01
[21330,] 7259 4641 -6.966579e-01
[21331,] 7259 7259 1.393316e+00
[21332,] 7260 617 -6.966579e-01
[21333,] 7260 4641 -6.966579e-01
[21334,] 7260 7260 1.393316e+00
[21335,] 7261 617 -6.966579e-01
[21336,] 7261 4641 -6.966579e-01
[21337,] 7261 7261 1.393316e+00
[21338,] 7262 617 -6.966579e-01
[21339,] 7262 4641 -6.966579e-01
[21340,] 7262 7262 1.393316e+00
[21341,] 7263 617 -6.966579e-01
[21342,] 7263 4641 -6.966579e-01
[21343,] 7263 7263 1.393316e+00
[21344,] 7264 617 -6.966579e-01
[21345,] 7264 4641 -6.966579e-01
[21346,] 7264 7264 1.393316e+00
[21347,] 7265 617 -6.966579e-01
[21348,] 7265 4641 -6.966579e-01
[21349,] 7265 7265 1.393316e+00
[21350,] 7266 617 -6.966579e-01
[21351,] 7266 4641 -6.966579e-01
[21352,] 7266 7266 1.393316e+00
[21353,] 7267 617 -6.966579e-01
[21354,] 7267 4641 -6.966579e-01
[21355,] 7267 7267 1.393316e+00
[21356,] 7268 617 -6.966579e-01
[21357,] 7268 4641 -6.966579e-01
[21358,] 7268 7268 1.393316e+00
[21359,] 7269 617 -6.966579e-01
[21360,] 7269 4641 -6.966579e-01
[21361,] 7269 7269 1.393316e+00
[21362,] 7270 617 -6.966579e-01
[21363,] 7270 4641 -6.966579e-01
[21364,] 7270 7270 1.393316e+00
[21365,] 7271 617 -6.966579e-01
[21366,] 7271 4641 -6.966579e-01
[21367,] 7271 7271 1.393316e+00
[21368,] 7272 617 -6.966579e-01
[21369,] 7272 4641 -6.966579e-01
[21370,] 7272 7272 1.393316e+00
[21371,] 7273 617 -6.966579e-01
[21372,] 7273 4641 -6.966579e-01
[21373,] 7273 7273 1.393316e+00
[21374,] 7274 617 -6.966579e-01
[21375,] 7274 4641 -6.966579e-01
[21376,] 7274 7274 1.393316e+00
[21377,] 7275 617 -6.966579e-01
[21378,] 7275 4641 -6.966579e-01
[21379,] 7275 7275 1.393316e+00
[21380,] 7276 617 -6.966579e-01
[21381,] 7276 4641 -6.966579e-01
[21382,] 7276 7276 1.393316e+00
[21383,] 7277 617 -6.966579e-01
[21384,] 7277 4641 -6.966579e-01
[21385,] 7277 7277 1.393316e+00
[21386,] 7278 617 -6.966579e-01
[21387,] 7278 4641 -6.966579e-01
[21388,] 7278 7278 1.393316e+00
[21389,] 7279 617 -6.966579e-01
[21390,] 7279 4641 -6.966579e-01
[21391,] 7279 7279 1.393316e+00
[21392,] 7280 617 -6.966579e-01
[21393,] 7280 4641 -6.966579e-01
[21394,] 7280 7280 1.393316e+00
[21395,] 7281 617 -6.966579e-01
[21396,] 7281 4641 -6.966579e-01
[21397,] 7281 7281 1.393316e+00
[21398,] 7282 617 -6.966579e-01
[21399,] 7282 4641 -6.966579e-01
[21400,] 7282 7282 1.393316e+00
[21401,] 7283 617 -6.966579e-01
[21402,] 7283 4641 -6.966579e-01
[21403,] 7283 7283 1.393316e+00
[21404,] 7284 617 -6.966579e-01
[21405,] 7284 4641 -6.966579e-01
[21406,] 7284 7284 1.393316e+00
[21407,] 7285 617 -6.966579e-01
[21408,] 7285 4641 -6.966579e-01
[21409,] 7285 7285 1.393316e+00
[21410,] 7286 617 -6.966579e-01
[21411,] 7286 4641 -6.966579e-01
[21412,] 7286 7286 1.393316e+00
[21413,] 7287 617 -6.966579e-01
[21414,] 7287 4641 -6.966579e-01
[21415,] 7287 7287 1.393316e+00
[21416,] 7288 617 -6.966579e-01
[21417,] 7288 4641 -6.966579e-01
[21418,] 7288 7288 1.393316e+00
[21419,] 7289 617 -6.966579e-01
[21420,] 7289 4641 -6.966579e-01
[21421,] 7289 7289 1.393316e+00
[21422,] 7290 617 -6.966579e-01
[21423,] 7290 4641 -6.966579e-01
[21424,] 7290 7290 1.393316e+00
[21425,] 7291 617 -6.966579e-01
[21426,] 7291 4641 -6.966579e-01
[21427,] 7291 7291 1.393316e+00
[21428,] 7292 617 -6.966579e-01
[21429,] 7292 4641 -6.966579e-01
[21430,] 7292 7292 1.393316e+00
[21431,] 7293 615 -5.516498e-01
[21432,] 7293 4642 -5.516498e-01
[21433,] 7293 7293 1.103300e+00
[21434,] 7294 615 -5.516498e-01
[21435,] 7294 4642 -5.516498e-01
[21436,] 7294 7294 1.103300e+00
[21437,] 7295 615 -5.516498e-01
[21438,] 7295 4642 -5.516498e-01
[21439,] 7295 7295 1.103300e+00
[21440,] 7296 615 -5.516498e-01
[21441,] 7296 4642 -5.516498e-01
[21442,] 7296 7296 1.103300e+00
[21443,] 7297 615 -5.516498e-01
[21444,] 7297 4642 -5.516498e-01
[21445,] 7297 7297 1.103300e+00
[21446,] 7298 615 -5.516498e-01
[21447,] 7298 4642 -5.516498e-01
[21448,] 7298 7298 1.103300e+00
[21449,] 7299 615 -5.516498e-01
[21450,] 7299 4642 -5.516498e-01
[21451,] 7299 7299 1.103300e+00
[21452,] 7300 615 -5.516498e-01
[21453,] 7300 4642 -5.516498e-01
[21454,] 7300 7300 1.103300e+00
[21455,] 7301 615 -5.516498e-01
[21456,] 7301 4642 -5.516498e-01
[21457,] 7301 7301 1.103300e+00
[21458,] 7302 615 -5.516498e-01
[21459,] 7302 4642 -5.516498e-01
[21460,] 7302 7302 1.103300e+00
[21461,] 7303 615 -5.516498e-01
[21462,] 7303 4642 -5.516498e-01
[21463,] 7303 7303 1.103300e+00
[21464,] 7304 615 -5.516498e-01
[21465,] 7304 4642 -5.516498e-01
[21466,] 7304 7304 1.103300e+00
[21467,] 7305 615 -5.516498e-01
[21468,] 7305 4642 -5.516498e-01
[21469,] 7305 7305 1.103300e+00
[21470,] 7306 615 -5.516498e-01
[21471,] 7306 4642 -5.516498e-01
[21472,] 7306 7306 1.103300e+00
[21473,] 7307 615 -5.516498e-01
[21474,] 7307 4642 -5.516498e-01
[21475,] 7307 7307 1.103300e+00
[21476,] 7308 617 -6.966579e-01
[21477,] 7308 4643 -6.966579e-01
[21478,] 7308 7308 1.393316e+00
[21479,] 7309 617 -6.966579e-01
[21480,] 7309 4643 -6.966579e-01
[21481,] 7309 7309 1.393316e+00
[21482,] 7310 617 -6.966579e-01
[21483,] 7310 4643 -6.966579e-01
[21484,] 7310 7310 1.393316e+00
[21485,] 7311 617 -6.966579e-01
[21486,] 7311 4643 -6.966579e-01
[21487,] 7311 7311 1.393316e+00
[21488,] 7312 617 -6.966579e-01
[21489,] 7312 4643 -6.966579e-01
[21490,] 7312 7312 1.393316e+00
[21491,] 7313 617 -6.966579e-01
[21492,] 7313 4643 -6.966579e-01
[21493,] 7313 7313 1.393316e+00
[21494,] 7314 617 -6.966579e-01
[21495,] 7314 4643 -6.966579e-01
[21496,] 7314 7314 1.393316e+00
[21497,] 7315 617 -6.966579e-01
[21498,] 7315 4643 -6.966579e-01
[21499,] 7315 7315 1.393316e+00
[21500,] 7316 617 -6.966579e-01
[21501,] 7316 4643 -6.966579e-01
[21502,] 7316 7316 1.393316e+00
[21503,] 7317 617 -6.966579e-01
[21504,] 7317 4643 -6.966579e-01
[21505,] 7317 7317 1.393316e+00
[21506,] 7318 617 -6.966579e-01
[21507,] 7318 4643 -6.966579e-01
[21508,] 7318 7318 1.393316e+00
[21509,] 7319 617 -6.966579e-01
[21510,] 7319 4643 -6.966579e-01
[21511,] 7319 7319 1.393316e+00
[21512,] 7320 617 -6.966579e-01
[21513,] 7320 4643 -6.966579e-01
[21514,] 7320 7320 1.393316e+00
[21515,] 7321 617 -6.966579e-01
[21516,] 7321 4643 -6.966579e-01
[21517,] 7321 7321 1.393316e+00
[21518,] 7322 617 -6.966579e-01
[21519,] 7322 4643 -6.966579e-01
[21520,] 7322 7322 1.393316e+00
[21521,] 7323 617 -6.966579e-01
[21522,] 7323 4643 -6.966579e-01
[21523,] 7323 7323 1.393316e+00
[21524,] 7324 4563 -6.213592e-01
[21525,] 7324 4644 -6.213592e-01
[21526,] 7324 7324 1.242718e+00
[21527,] 7325 4563 -6.213592e-01
[21528,] 7325 4644 -6.213592e-01
[21529,] 7325 7325 1.242718e+00
[21530,] 7326 4563 -6.213592e-01
[21531,] 7326 4644 -6.213592e-01
[21532,] 7326 7326 1.242718e+00
[21533,] 7327 4563 -6.213592e-01
[21534,] 7327 4644 -6.213592e-01
[21535,] 7327 7327 1.242718e+00
[21536,] 7328 4563 -6.213592e-01
[21537,] 7328 4644 -6.213592e-01
[21538,] 7328 7328 1.242718e+00
[21539,] 7329 617 -4.489259e-01
[21540,] 7329 4644 -4.489259e-01
[21541,] 7329 7329 8.978518e-01
[21542,] 7330 617 -4.489259e-01
[21543,] 7330 4644 -4.489259e-01
[21544,] 7330 7330 8.978518e-01
[21545,] 7331 617 -4.489259e-01
[21546,] 7331 4644 -4.489259e-01
[21547,] 7331 7331 8.978518e-01
[21548,] 7332 617 -4.489259e-01
[21549,] 7332 4644 -4.489259e-01
[21550,] 7332 7332 8.978518e-01
[21551,] 7333 617 -4.489259e-01
[21552,] 7333 4644 -4.489259e-01
[21553,] 7333 7333 8.978518e-01
[21554,] 7334 617 -4.489259e-01
[21555,] 7334 4644 -4.489259e-01
[21556,] 7334 7334 8.978518e-01
[21557,] 7335 617 -4.489259e-01
[21558,] 7335 4644 -4.489259e-01
[21559,] 7335 7335 8.978518e-01
[21560,] 7336 617 -4.489259e-01
[21561,] 7336 4644 -4.489259e-01
[21562,] 7336 7336 8.978518e-01
[21563,] 7337 617 -4.489259e-01
[21564,] 7337 4644 -4.489259e-01
[21565,] 7337 7337 8.978518e-01
[21566,] 7338 492 -4.381686e-01
[21567,] 7338 617 -4.381686e-01
[21568,] 7338 7338 8.763372e-01
[21569,] 7339 492 -4.381686e-01
[21570,] 7339 617 -4.381686e-01
[21571,] 7339 7339 8.763372e-01
[21572,] 7340 492 -4.381686e-01
[21573,] 7340 617 -4.381686e-01
[21574,] 7340 7340 8.763372e-01
[21575,] 7341 492 -4.381686e-01
[21576,] 7341 617 -4.381686e-01
[21577,] 7341 7341 8.763372e-01
[21578,] 7342 492 -4.381686e-01
[21579,] 7342 617 -4.381686e-01
[21580,] 7342 7342 8.763372e-01
[21581,] 7343 617 -1.068475e+00
[21582,] 7343 4645 -1.068475e+00
[21583,] 7343 7343 2.136951e+00
[21584,] 7344 617 -1.068475e+00
[21585,] 7344 4645 -1.068475e+00
[21586,] 7344 7344 2.136951e+00
[21587,] 7345 617 -1.068475e+00
[21588,] 7345 4645 -1.068475e+00
[21589,] 7345 7345 2.136951e+00
[21590,] 7346 617 -1.068475e+00
[21591,] 7346 4645 -1.068475e+00
[21592,] 7346 7346 2.136951e+00
[21593,] 7347 617 -1.068475e+00
[21594,] 7347 4645 -1.068475e+00
[21595,] 7347 7347 2.136951e+00
[21596,] 7348 617 -1.068475e+00
[21597,] 7348 4645 -1.068475e+00
[21598,] 7348 7348 2.136951e+00
[21599,] 7349 617 -1.068475e+00
[21600,] 7349 4645 -1.068475e+00
[21601,] 7349 7349 2.136951e+00
[21602,] 7350 617 -1.068475e+00
[21603,] 7350 4645 -1.068475e+00
[21604,] 7350 7350 2.136951e+00
[21605,] 7351 617 -1.068475e+00
[21606,] 7351 4645 -1.068475e+00
[21607,] 7351 7351 2.136951e+00
[21608,] 7352 617 -1.068475e+00
[21609,] 7352 4645 -1.068475e+00
[21610,] 7352 7352 2.136951e+00
[21611,] 7353 617 -1.068475e+00
[21612,] 7353 4645 -1.068475e+00
[21613,] 7353 7353 2.136951e+00
[21614,] 7354 617 -1.068475e+00
[21615,] 7354 4645 -1.068475e+00
[21616,] 7354 7354 2.136951e+00
[21617,] 7355 617 -1.068475e+00
[21618,] 7355 4645 -1.068475e+00
[21619,] 7355 7355 2.136951e+00
[21620,] 7356 617 -1.068475e+00
[21621,] 7356 4645 -1.068475e+00
[21622,] 7356 7356 2.136951e+00
[21623,] 7357 617 -1.068475e+00
[21624,] 7357 4645 -1.068475e+00
[21625,] 7357 7357 2.136951e+00
[21626,] 7358 617 -1.068475e+00
[21627,] 7358 4645 -1.068475e+00
[21628,] 7358 7358 2.136951e+00
[21629,] 7359 617 -4.381686e-01
[21630,] 7359 4646 -4.381686e-01
[21631,] 7359 7359 8.763372e-01
[21632,] 7360 617 -4.381686e-01
[21633,] 7360 4646 -4.381686e-01
[21634,] 7360 7360 8.763372e-01
[21635,] 7361 615 -5.516498e-01
[21636,] 7361 4646 -5.516498e-01
[21637,] 7361 7361 1.103300e+00
[21638,] 7362 615 -5.516498e-01
[21639,] 7362 4646 -5.516498e-01
[21640,] 7362 7362 1.103300e+00
[21641,] 7363 615 -5.516498e-01
[21642,] 7363 4646 -5.516498e-01
[21643,] 7363 7363 1.103300e+00
[21644,] 7364 615 -5.516498e-01
[21645,] 7364 4646 -5.516498e-01
[21646,] 7364 7364 1.103300e+00
[21647,] 7365 615 -5.516498e-01
[21648,] 7365 4646 -5.516498e-01
[21649,] 7365 7365 1.103300e+00
[21650,] 7366 615 -5.516498e-01
[21651,] 7366 4646 -5.516498e-01
[21652,] 7366 7366 1.103300e+00
[21653,] 7367 615 -5.516498e-01
[21654,] 7367 4646 -5.516498e-01
[21655,] 7367 7367 1.103300e+00
[21656,] 7368 493 -4.436742e-01
[21657,] 7368 688 -4.436742e-01
[21658,] 7368 7368 8.873484e-01
[21659,] 7369 493 -4.436742e-01
[21660,] 7369 688 -4.436742e-01
[21661,] 7369 7369 8.873484e-01
[21662,] 7370 493 -4.436742e-01
[21663,] 7370 688 -4.436742e-01
[21664,] 7370 7370 8.873484e-01
[21665,] 7371 494 -4.381686e-01
[21666,] 7371 617 -4.381686e-01
[21667,] 7371 7371 8.763372e-01
[21668,] 7372 494 -4.381686e-01
[21669,] 7372 617 -4.381686e-01
[21670,] 7372 7372 8.763372e-01
[21671,] 7373 494 -4.381686e-01
[21672,] 7373 617 -4.381686e-01
[21673,] 7373 7373 8.763372e-01
[21674,] 7374 494 -4.381686e-01
[21675,] 7374 617 -4.381686e-01
[21676,] 7374 7374 8.763372e-01
[21677,] 7375 494 -4.381686e-01
[21678,] 7375 617 -4.381686e-01
[21679,] 7375 7375 8.763372e-01
[21680,] 7376 494 -4.381686e-01
[21681,] 7376 617 -4.381686e-01
[21682,] 7376 7376 8.763372e-01
[21683,] 7377 494 -4.381686e-01
[21684,] 7377 617 -4.381686e-01
[21685,] 7377 7377 8.763372e-01
[21686,] 7378 494 -4.381686e-01
[21687,] 7378 617 -4.381686e-01
[21688,] 7378 7378 8.763372e-01
[21689,] 7379 494 -4.381686e-01
[21690,] 7379 617 -4.381686e-01
[21691,] 7379 7379 8.763372e-01
[21692,] 7380 494 -4.381686e-01
[21693,] 7380 617 -4.381686e-01
[21694,] 7380 7380 8.763372e-01
[21695,] 7381 494 -4.381686e-01
[21696,] 7381 617 -4.381686e-01
[21697,] 7381 7381 8.763372e-01
[21698,] 7382 494 -4.381686e-01
[21699,] 7382 617 -4.381686e-01
[21700,] 7382 7382 8.763372e-01
[21701,] 7383 494 -4.381686e-01
[21702,] 7383 617 -4.381686e-01
[21703,] 7383 7383 8.763372e-01
[21704,] 7384 494 -4.381686e-01
[21705,] 7384 617 -4.381686e-01
[21706,] 7384 7384 8.763372e-01
[21707,] 7385 494 -4.381686e-01
[21708,] 7385 617 -4.381686e-01
[21709,] 7385 7385 8.763372e-01
[21710,] 7386 494 -4.381686e-01
[21711,] 7386 617 -4.381686e-01
[21712,] 7386 7386 8.763372e-01
[21713,] 7387 494 -4.381686e-01
[21714,] 7387 617 -4.381686e-01
[21715,] 7387 7387 8.763372e-01
[21716,] 7388 494 -4.381686e-01
[21717,] 7388 617 -4.381686e-01
[21718,] 7388 7388 8.763372e-01
[21719,] 7389 494 -4.381686e-01
[21720,] 7389 617 -4.381686e-01
[21721,] 7389 7389 8.763372e-01
[21722,] 7390 494 -4.381686e-01
[21723,] 7390 617 -4.381686e-01
[21724,] 7390 7390 8.763372e-01
[21725,] 7391 494 -4.381686e-01
[21726,] 7391 617 -4.381686e-01
[21727,] 7391 7391 8.763372e-01
[21728,] 7392 494 -4.381686e-01
[21729,] 7392 617 -4.381686e-01
[21730,] 7392 7392 8.763372e-01
[21731,] 7393 494 -4.381686e-01
[21732,] 7393 617 -4.381686e-01
[21733,] 7393 7393 8.763372e-01
[21734,] 7394 494 -4.381686e-01
[21735,] 7394 617 -4.381686e-01
[21736,] 7394 7394 8.763372e-01
[21737,] 7395 494 -4.381686e-01
[21738,] 7395 617 -4.381686e-01
[21739,] 7395 7395 8.763372e-01
[21740,] 7396 494 -4.381686e-01
[21741,] 7396 617 -4.381686e-01
[21742,] 7396 7396 8.763372e-01
[21743,] 7397 494 -4.381686e-01
[21744,] 7397 617 -4.381686e-01
[21745,] 7397 7397 8.763372e-01
[21746,] 7398 494 -4.381686e-01
[21747,] 7398 617 -4.381686e-01
[21748,] 7398 7398 8.763372e-01
[21749,] 7399 494 -4.381686e-01
[21750,] 7399 617 -4.381686e-01
[21751,] 7399 7399 8.763372e-01
[21752,] 7400 494 -4.381686e-01
[21753,] 7400 617 -4.381686e-01
[21754,] 7400 7400 8.763372e-01
[21755,] 7401 494 -4.381686e-01
[21756,] 7401 617 -4.381686e-01
[21757,] 7401 7401 8.763372e-01
[21758,] 7402 494 -4.381686e-01
[21759,] 7402 617 -4.381686e-01
[21760,] 7402 7402 8.763372e-01
[21761,] 7403 494 -4.381686e-01
[21762,] 7403 617 -4.381686e-01
[21763,] 7403 7403 8.763372e-01
[21764,] 7404 494 -4.381686e-01
[21765,] 7404 617 -4.381686e-01
[21766,] 7404 7404 8.763372e-01
[21767,] 7405 494 -4.381686e-01
[21768,] 7405 617 -4.381686e-01
[21769,] 7405 7405 8.763372e-01
[21770,] 7406 494 -4.381686e-01
[21771,] 7406 617 -4.381686e-01
[21772,] 7406 7406 8.763372e-01
[21773,] 7407 494 -4.381686e-01
[21774,] 7407 617 -4.381686e-01
[21775,] 7407 7407 8.763372e-01
[21776,] 7408 494 -4.381686e-01
[21777,] 7408 617 -4.381686e-01
[21778,] 7408 7408 8.763372e-01
[21779,] 7409 494 -4.381686e-01
[21780,] 7409 617 -4.381686e-01
[21781,] 7409 7409 8.763372e-01
[21782,] 7410 494 -4.381686e-01
[21783,] 7410 617 -4.381686e-01
[21784,] 7410 7410 8.763372e-01
[21785,] 7411 494 -4.381686e-01
[21786,] 7411 617 -4.381686e-01
[21787,] 7411 7411 8.763372e-01
[21788,] 7412 494 -4.381686e-01
[21789,] 7412 617 -4.381686e-01
[21790,] 7412 7412 8.763372e-01
[21791,] 7413 494 -4.381686e-01
[21792,] 7413 617 -4.381686e-01
[21793,] 7413 7413 8.763372e-01
[21794,] 7414 494 -4.381686e-01
[21795,] 7414 617 -4.381686e-01
[21796,] 7414 7414 8.763372e-01
[21797,] 7415 494 -4.381686e-01
[21798,] 7415 617 -4.381686e-01
[21799,] 7415 7415 8.763372e-01
[21800,] 7416 494 -4.381686e-01
[21801,] 7416 617 -4.381686e-01
[21802,] 7416 7416 8.763372e-01
[21803,] 7417 494 -4.381686e-01
[21804,] 7417 617 -4.381686e-01
[21805,] 7417 7417 8.763372e-01
[21806,] 7418 494 -4.381686e-01
[21807,] 7418 617 -4.381686e-01
[21808,] 7418 7418 8.763372e-01
[21809,] 7419 494 -4.381686e-01
[21810,] 7419 617 -4.381686e-01
[21811,] 7419 7419 8.763372e-01
[21812,] 7420 494 -4.381686e-01
[21813,] 7420 617 -4.381686e-01
[21814,] 7420 7420 8.763372e-01
[21815,] 7421 494 -4.381686e-01
[21816,] 7421 617 -4.381686e-01
[21817,] 7421 7421 8.763372e-01
[21818,] 7422 494 -4.381686e-01
[21819,] 7422 617 -4.381686e-01
[21820,] 7422 7422 8.763372e-01
[21821,] 7423 494 -4.381686e-01
[21822,] 7423 617 -4.381686e-01
[21823,] 7423 7423 8.763372e-01
[21824,] 7424 494 -4.381686e-01
[21825,] 7424 617 -4.381686e-01
[21826,] 7424 7424 8.763372e-01
[21827,] 7425 494 -4.381686e-01
[21828,] 7425 617 -4.381686e-01
[21829,] 7425 7425 8.763372e-01
[21830,] 7426 494 -4.381686e-01
[21831,] 7426 617 -4.381686e-01
[21832,] 7426 7426 8.763372e-01
[21833,] 7427 494 -4.381686e-01
[21834,] 7427 617 -4.381686e-01
[21835,] 7427 7427 8.763372e-01
[21836,] 7428 494 -4.381686e-01
[21837,] 7428 617 -4.381686e-01
[21838,] 7428 7428 8.763372e-01
[21839,] 7429 494 -4.381686e-01
[21840,] 7429 617 -4.381686e-01
[21841,] 7429 7429 8.763372e-01
[21842,] 7430 617 -1.457392e+00
[21843,] 7430 4647 -1.457392e+00
[21844,] 7430 7430 2.914784e+00
[21845,] 7431 617 -1.457392e+00
[21846,] 7431 4647 -1.457392e+00
[21847,] 7431 7431 2.914784e+00
[21848,] 7432 617 -1.457392e+00
[21849,] 7432 4647 -1.457392e+00
[21850,] 7432 7432 2.914784e+00
[21851,] 7433 617 -1.457392e+00
[21852,] 7433 4647 -1.457392e+00
[21853,] 7433 7433 2.914784e+00
[21854,] 7434 617 -1.457392e+00
[21855,] 7434 4647 -1.457392e+00
[21856,] 7434 7434 2.914784e+00
[21857,] 7435 617 -1.457392e+00
[21858,] 7435 4647 -1.457392e+00
[21859,] 7435 7435 2.914784e+00
[21860,] 7436 617 -1.457392e+00
[21861,] 7436 4647 -1.457392e+00
[21862,] 7436 7436 2.914784e+00
[21863,] 7437 617 -1.457392e+00
[21864,] 7437 4647 -1.457392e+00
[21865,] 7437 7437 2.914784e+00
[21866,] 7438 617 -1.457392e+00
[21867,] 7438 4647 -1.457392e+00
[21868,] 7438 7438 2.914784e+00
[21869,] 7439 617 -1.457392e+00
[21870,] 7439 4647 -1.457392e+00
[21871,] 7439 7439 2.914784e+00
[21872,] 7440 617 -1.457392e+00
[21873,] 7440 4647 -1.457392e+00
[21874,] 7440 7440 2.914784e+00
[21875,] 7441 617 -1.457392e+00
[21876,] 7441 4647 -1.457392e+00
[21877,] 7441 7441 2.914784e+00
[21878,] 7442 617 -1.457392e+00
[21879,] 7442 4647 -1.457392e+00
[21880,] 7442 7442 2.914784e+00
[21881,] 7443 617 -1.457392e+00
[21882,] 7443 4647 -1.457392e+00
[21883,] 7443 7443 2.914784e+00
[21884,] 7444 617 -1.457392e+00
[21885,] 7444 4647 -1.457392e+00
[21886,] 7444 7444 2.914784e+00
[21887,] 7445 617 -1.457392e+00
[21888,] 7445 4647 -1.457392e+00
[21889,] 7445 7445 2.914784e+00
[21890,] 7446 617 -1.457392e+00
[21891,] 7446 4647 -1.457392e+00
[21892,] 7446 7446 2.914784e+00
[21893,] 7447 617 -1.457392e+00
[21894,] 7447 4647 -1.457392e+00
[21895,] 7447 7447 2.914784e+00
[21896,] 7448 617 -1.457392e+00
[21897,] 7448 4647 -1.457392e+00
[21898,] 7448 7448 2.914784e+00
[21899,] 7449 617 -1.457392e+00
[21900,] 7449 4647 -1.457392e+00
[21901,] 7449 7449 2.914784e+00
[21902,] 7450 617 -1.457392e+00
[21903,] 7450 4647 -1.457392e+00
[21904,] 7450 7450 2.914784e+00
[21905,] 7451 617 -1.457392e+00
[21906,] 7451 4647 -1.457392e+00
[21907,] 7451 7451 2.914784e+00
[21908,] 7452 617 -1.457392e+00
[21909,] 7452 4647 -1.457392e+00
[21910,] 7452 7452 2.914784e+00
[21911,] 7453 617 -1.457392e+00
[21912,] 7453 4647 -1.457392e+00
[21913,] 7453 7453 2.914784e+00
[21914,] 7454 617 -1.457392e+00
[21915,] 7454 4647 -1.457392e+00
[21916,] 7454 7454 2.914784e+00
[21917,] 7455 617 -1.457392e+00
[21918,] 7455 4647 -1.457392e+00
[21919,] 7455 7455 2.914784e+00
[21920,] 7456 617 -1.457392e+00
[21921,] 7456 4647 -1.457392e+00
[21922,] 7456 7456 2.914784e+00
[21923,] 7457 617 -1.457392e+00
[21924,] 7457 4647 -1.457392e+00
[21925,] 7457 7457 2.914784e+00
[21926,] 7458 617 -1.457392e+00
[21927,] 7458 4647 -1.457392e+00
[21928,] 7458 7458 2.914784e+00
[21929,] 7459 617 -1.457392e+00
[21930,] 7459 4647 -1.457392e+00
[21931,] 7459 7459 2.914784e+00
[21932,] 7460 617 -1.457392e+00
[21933,] 7460 4647 -1.457392e+00
[21934,] 7460 7460 2.914784e+00
[21935,] 7461 617 -1.457392e+00
[21936,] 7461 4647 -1.457392e+00
[21937,] 7461 7461 2.914784e+00
[21938,] 7462 617 -1.457392e+00
[21939,] 7462 4647 -1.457392e+00
[21940,] 7462 7462 2.914784e+00
[21941,] 7463 617 -6.966579e-01
[21942,] 7463 4648 -6.966579e-01
[21943,] 7463 7463 1.393316e+00
[21944,] 7464 617 -6.966579e-01
[21945,] 7464 4648 -6.966579e-01
[21946,] 7464 7464 1.393316e+00
[21947,] 7465 617 -6.966579e-01
[21948,] 7465 4648 -6.966579e-01
[21949,] 7465 7465 1.393316e+00
[21950,] 7466 617 -6.966579e-01
[21951,] 7466 4648 -6.966579e-01
[21952,] 7466 7466 1.393316e+00
[21953,] 7467 617 -6.966579e-01
[21954,] 7467 4648 -6.966579e-01
[21955,] 7467 7467 1.393316e+00
[21956,] 7468 617 -6.966579e-01
[21957,] 7468 4648 -6.966579e-01
[21958,] 7468 7468 1.393316e+00
[21959,] 7469 617 -6.966579e-01
[21960,] 7469 4648 -6.966579e-01
[21961,] 7469 7469 1.393316e+00
[21962,] 7470 617 -6.966579e-01
[21963,] 7470 4648 -6.966579e-01
[21964,] 7470 7470 1.393316e+00
[21965,] 7471 617 -1.068475e+00
[21966,] 7471 4649 -1.068475e+00
[21967,] 7471 7471 2.136951e+00
[21968,] 7472 617 -1.068475e+00
[21969,] 7472 4649 -1.068475e+00
[21970,] 7472 7472 2.136951e+00
[21971,] 7473 617 -1.068475e+00
[21972,] 7473 4649 -1.068475e+00
[21973,] 7473 7473 2.136951e+00
[21974,] 7474 617 -1.068475e+00
[21975,] 7474 4649 -1.068475e+00
[21976,] 7474 7474 2.136951e+00
[21977,] 7475 617 -1.068475e+00
[21978,] 7475 4649 -1.068475e+00
[21979,] 7475 7475 2.136951e+00
[21980,] 7476 617 -1.068475e+00
[21981,] 7476 4649 -1.068475e+00
[21982,] 7476 7476 2.136951e+00
[21983,] 7477 617 -1.068475e+00
[21984,] 7477 4649 -1.068475e+00
[21985,] 7477 7477 2.136951e+00
[21986,] 7478 617 -1.068475e+00
[21987,] 7478 4649 -1.068475e+00
[21988,] 7478 7478 2.136951e+00
[21989,] 7479 617 -1.068475e+00
[21990,] 7479 4649 -1.068475e+00
[21991,] 7479 7479 2.136951e+00
[21992,] 7480 617 -1.068475e+00
[21993,] 7480 4649 -1.068475e+00
[21994,] 7480 7480 2.136951e+00
[21995,] 7481 617 -1.068475e+00
[21996,] 7481 4649 -1.068475e+00
[21997,] 7481 7481 2.136951e+00
[21998,] 7482 495 -4.443480e-01
[21999,] 7482 619 -4.443480e-01
[22000,] 7482 7482 8.886960e-01
[22001,] 7483 495 -4.443480e-01
[22002,] 7483 619 -4.443480e-01
[22003,] 7483 7483 8.886960e-01
[22004,] 7484 495 -4.443480e-01
[22005,] 7484 619 -4.443480e-01
[22006,] 7484 7484 8.886960e-01
[22007,] 7485 495 -4.443480e-01
[22008,] 7485 619 -4.443480e-01
[22009,] 7485 7485 8.886960e-01
[22010,] 7486 495 -4.443480e-01
[22011,] 7486 619 -4.443480e-01
[22012,] 7486 7486 8.886960e-01
[22013,] 7487 619 -4.443480e-01
[22014,] 7487 4650 -4.443480e-01
[22015,] 7487 7487 8.886960e-01
[22016,] 7488 619 -4.443480e-01
[22017,] 7488 4650 -4.443480e-01
[22018,] 7488 7488 8.886960e-01
[22019,] 7489 619 -4.443480e-01
[22020,] 7489 4650 -4.443480e-01
[22021,] 7489 7489 8.886960e-01
[22022,] 7490 619 -4.443480e-01
[22023,] 7490 4650 -4.443480e-01
[22024,] 7490 7490 8.886960e-01
[22025,] 7491 619 -4.443480e-01
[22026,] 7491 4650 -4.443480e-01
[22027,] 7491 7491 8.886960e-01
[22028,] 7492 619 -4.443480e-01
[22029,] 7492 4650 -4.443480e-01
[22030,] 7492 7492 8.886960e-01
[22031,] 7493 617 -6.966579e-01
[22032,] 7493 4651 -6.966579e-01
[22033,] 7493 7493 1.393316e+00
[22034,] 7494 617 -6.966579e-01
[22035,] 7494 4651 -6.966579e-01
[22036,] 7494 7494 1.393316e+00
[22037,] 7495 617 -6.966579e-01
[22038,] 7495 4651 -6.966579e-01
[22039,] 7495 7495 1.393316e+00
[22040,] 7496 617 -6.966579e-01
[22041,] 7496 4651 -6.966579e-01
[22042,] 7496 7496 1.393316e+00
[22043,] 7497 617 -6.966579e-01
[22044,] 7497 4651 -6.966579e-01
[22045,] 7497 7497 1.393316e+00
[22046,] 7498 688 -7.234193e-01
[22047,] 7498 4652 -7.234193e-01
[22048,] 7498 7498 1.446839e+00
[22049,] 7499 688 -7.234193e-01
[22050,] 7499 4652 -7.234193e-01
[22051,] 7499 7499 1.446839e+00
[22052,] 7500 688 -7.234193e-01
[22053,] 7500 4652 -7.234193e-01
[22054,] 7500 7500 1.446839e+00
[22055,] 7501 688 -7.234193e-01
[22056,] 7501 4652 -7.234193e-01
[22057,] 7501 7501 1.446839e+00
[22058,] 7502 688 -7.234193e-01
[22059,] 7502 4652 -7.234193e-01
[22060,] 7502 7502 1.446839e+00
[22061,] 7503 688 -7.234193e-01
[22062,] 7503 4652 -7.234193e-01
[22063,] 7503 7503 1.446839e+00
[22064,] 7504 688 -7.234193e-01
[22065,] 7504 4652 -7.234193e-01
[22066,] 7504 7504 1.446839e+00
[22067,] 7505 388 -4.210526e-01
[22068,] 7505 4563 -4.210526e-01
[22069,] 7505 7505 8.421053e-01
[22070,] 7506 388 -4.210526e-01
[22071,] 7506 4563 -4.210526e-01
[22072,] 7506 7506 8.421053e-01
[22073,] 7507 388 -4.210526e-01
[22074,] 7507 4563 -4.210526e-01
[22075,] 7507 7507 8.421053e-01
[22076,] 7508 388 -4.210526e-01
[22077,] 7508 4563 -4.210526e-01
[22078,] 7508 7508 8.421053e-01
[22079,] 7509 388 -4.210526e-01
[22080,] 7509 4563 -4.210526e-01
[22081,] 7509 7509 8.421053e-01
[22082,] 7510 388 -4.210526e-01
[22083,] 7510 4563 -4.210526e-01
[22084,] 7510 7510 8.421053e-01
[22085,] 7511 388 -4.210526e-01
[22086,] 7511 4563 -4.210526e-01
[22087,] 7511 7511 8.421053e-01
[22088,] 7512 388 -4.210526e-01
[22089,] 7512 4563 -4.210526e-01
[22090,] 7512 7512 8.421053e-01
[22091,] 7513 388 -4.210526e-01
[22092,] 7513 4563 -4.210526e-01
[22093,] 7513 7513 8.421053e-01
[22094,] 7514 388 -4.210526e-01
[22095,] 7514 4563 -4.210526e-01
[22096,] 7514 7514 8.421053e-01
[22097,] 7515 388 -4.210526e-01
[22098,] 7515 4563 -4.210526e-01
[22099,] 7515 7515 8.421053e-01
[22100,] 7516 388 -4.210526e-01
[22101,] 7516 4563 -4.210526e-01
[22102,] 7516 7516 8.421053e-01
[22103,] 7517 388 -4.210526e-01
[22104,] 7517 4563 -4.210526e-01
[22105,] 7517 7517 8.421053e-01
[22106,] 7518 388 -4.210526e-01
[22107,] 7518 4563 -4.210526e-01
[22108,] 7518 7518 8.421053e-01
[22109,] 7519 388 -4.210526e-01
[22110,] 7519 4563 -4.210526e-01
[22111,] 7519 7519 8.421053e-01
[22112,] 7520 388 -4.210526e-01
[22113,] 7520 4563 -4.210526e-01
[22114,] 7520 7520 8.421053e-01
[22115,] 7521 388 -4.210526e-01
[22116,] 7521 4563 -4.210526e-01
[22117,] 7521 7521 8.421053e-01
[22118,] 7522 388 -4.210526e-01
[22119,] 7522 4563 -4.210526e-01
[22120,] 7522 7522 8.421053e-01
[22121,] 7523 388 -4.210526e-01
[22122,] 7523 4563 -4.210526e-01
[22123,] 7523 7523 8.421053e-01
[22124,] 7524 388 -4.210526e-01
[22125,] 7524 4563 -4.210526e-01
[22126,] 7524 7524 8.421053e-01
[22127,] 7525 388 -4.210526e-01
[22128,] 7525 4563 -4.210526e-01
[22129,] 7525 7525 8.421053e-01
[22130,] 7526 388 -4.210526e-01
[22131,] 7526 4563 -4.210526e-01
[22132,] 7526 7526 8.421053e-01
[22133,] 7527 388 -4.210526e-01
[22134,] 7527 4563 -4.210526e-01
[22135,] 7527 7527 8.421053e-01
[22136,] 7528 388 -4.210526e-01
[22137,] 7528 4563 -4.210526e-01
[22138,] 7528 7528 8.421053e-01
[22139,] 7529 388 -4.210526e-01
[22140,] 7529 4563 -4.210526e-01
[22141,] 7529 7529 8.421053e-01
[22142,] 7530 388 -4.210526e-01
[22143,] 7530 4563 -4.210526e-01
[22144,] 7530 7530 8.421053e-01
[22145,] 7531 388 -4.210526e-01
[22146,] 7531 4563 -4.210526e-01
[22147,] 7531 7531 8.421053e-01
[22148,] 7532 388 -4.210526e-01
[22149,] 7532 4563 -4.210526e-01
[22150,] 7532 7532 8.421053e-01
[22151,] 7533 388 -4.210526e-01
[22152,] 7533 4563 -4.210526e-01
[22153,] 7533 7533 8.421053e-01
[22154,] 7534 388 -4.210526e-01
[22155,] 7534 4563 -4.210526e-01
[22156,] 7534 7534 8.421053e-01
[22157,] 7535 388 -4.210526e-01
[22158,] 7535 4563 -4.210526e-01
[22159,] 7535 7535 8.421053e-01
[22160,] 7536 388 -4.210526e-01
[22161,] 7536 4563 -4.210526e-01
[22162,] 7536 7536 8.421053e-01
[22163,] 7537 388 -4.210526e-01
[22164,] 7537 4563 -4.210526e-01
[22165,] 7537 7537 8.421053e-01
[22166,] 7538 395 -4.210526e-01
[22167,] 7538 4563 -4.210526e-01
[22168,] 7538 7538 8.421053e-01
[22169,] 7539 395 -4.210526e-01
[22170,] 7539 4563 -4.210526e-01
[22171,] 7539 7539 8.421053e-01
[22172,] 7540 395 -4.210526e-01
[22173,] 7540 4563 -4.210526e-01
[22174,] 7540 7540 8.421053e-01
[22175,] 7541 395 -4.210526e-01
[22176,] 7541 4563 -4.210526e-01
[22177,] 7541 7541 8.421053e-01
[22178,] 7542 395 -4.210526e-01
[22179,] 7542 4563 -4.210526e-01
[22180,] 7542 7542 8.421053e-01
[22181,] 7543 395 -4.210526e-01
[22182,] 7543 4563 -4.210526e-01
[22183,] 7543 7543 8.421053e-01
[22184,] 7544 395 -4.210526e-01
[22185,] 7544 4563 -4.210526e-01
[22186,] 7544 7544 8.421053e-01
[22187,] 7545 395 -4.210526e-01
[22188,] 7545 4563 -4.210526e-01
[22189,] 7545 7545 8.421053e-01
[22190,] 7546 395 -4.210526e-01
[22191,] 7546 4563 -4.210526e-01
[22192,] 7546 7546 8.421053e-01
[22193,] 7547 395 -4.210526e-01
[22194,] 7547 4563 -4.210526e-01
[22195,] 7547 7547 8.421053e-01
[22196,] 7548 395 -4.210526e-01
[22197,] 7548 4563 -4.210526e-01
[22198,] 7548 7548 8.421053e-01
[22199,] 7549 4563 -6.213592e-01
[22200,] 7549 4654 -6.213592e-01
[22201,] 7549 7549 1.242718e+00
[22202,] 7550 4563 -6.213592e-01
[22203,] 7550 4654 -6.213592e-01
[22204,] 7550 7550 1.242718e+00
[22205,] 7551 4563 -6.213592e-01
[22206,] 7551 4654 -6.213592e-01
[22207,] 7551 7551 1.242718e+00
[22208,] 7552 4563 -6.213592e-01
[22209,] 7552 4654 -6.213592e-01
[22210,] 7552 7552 1.242718e+00
[22211,] 7553 4563 -6.213592e-01
[22212,] 7553 4654 -6.213592e-01
[22213,] 7553 7553 1.242718e+00
[22214,] 7554 4563 -6.213592e-01
[22215,] 7554 4654 -6.213592e-01
[22216,] 7554 7554 1.242718e+00
[22217,] 7555 4563 -6.213592e-01
[22218,] 7555 4654 -6.213592e-01
[22219,] 7555 7555 1.242718e+00
[22220,] 7556 4563 -6.213592e-01
[22221,] 7556 4654 -6.213592e-01
[22222,] 7556 7556 1.242718e+00
[22223,] 7557 4563 -6.213592e-01
[22224,] 7557 4654 -6.213592e-01
[22225,] 7557 7557 1.242718e+00
[22226,] 7558 4563 -6.213592e-01
[22227,] 7558 4654 -6.213592e-01
[22228,] 7558 7558 1.242718e+00
[22229,] 7559 4563 -6.213592e-01
[22230,] 7559 4654 -6.213592e-01
[22231,] 7559 7559 1.242718e+00
[22232,] 7560 4563 -6.213592e-01
[22233,] 7560 4654 -6.213592e-01
[22234,] 7560 7560 1.242718e+00
[22235,] 7561 4563 -6.213592e-01
[22236,] 7561 4654 -6.213592e-01
[22237,] 7561 7561 1.242718e+00
[22238,] 7562 4563 -6.213592e-01
[22239,] 7562 4655 -6.213592e-01
[22240,] 7562 7562 1.242718e+00
[22241,] 7563 4563 -6.213592e-01
[22242,] 7563 4655 -6.213592e-01
[22243,] 7563 7563 1.242718e+00
[22244,] 7564 4563 -6.213592e-01
[22245,] 7564 4655 -6.213592e-01
[22246,] 7564 7564 1.242718e+00
[22247,] 7565 4563 -6.213592e-01
[22248,] 7565 4655 -6.213592e-01
[22249,] 7565 7565 1.242718e+00
[22250,] 7566 4563 -6.213592e-01
[22251,] 7566 4655 -6.213592e-01
[22252,] 7566 7566 1.242718e+00
[22253,] 7567 4563 -6.213592e-01
[22254,] 7567 4655 -6.213592e-01
[22255,] 7567 7567 1.242718e+00
[22256,] 7568 4563 -6.213592e-01
[22257,] 7568 4655 -6.213592e-01
[22258,] 7568 7568 1.242718e+00
[22259,] 7569 4563 -6.213592e-01
[22260,] 7569 4655 -6.213592e-01
[22261,] 7569 7569 1.242718e+00
[22262,] 7570 4563 -6.213592e-01
[22263,] 7570 4655 -6.213592e-01
[22264,] 7570 7570 1.242718e+00
[22265,] 7571 4563 -6.213592e-01
[22266,] 7571 4655 -6.213592e-01
[22267,] 7571 7571 1.242718e+00
[22268,] 7572 4563 -6.213592e-01
[22269,] 7572 4655 -6.213592e-01
[22270,] 7572 7572 1.242718e+00
[22271,] 7573 4563 -6.213592e-01
[22272,] 7573 4655 -6.213592e-01
[22273,] 7573 7573 1.242718e+00
[22274,] 7574 4563 -6.213592e-01
[22275,] 7574 4655 -6.213592e-01
[22276,] 7574 7574 1.242718e+00
[22277,] 7575 4563 -6.213592e-01
[22278,] 7575 4655 -6.213592e-01
[22279,] 7575 7575 1.242718e+00
[22280,] 7576 4563 -6.213592e-01
[22281,] 7576 4655 -6.213592e-01
[22282,] 7576 7576 1.242718e+00
[22283,] 7577 4563 -6.213592e-01
[22284,] 7577 4657 -6.213592e-01
[22285,] 7577 7577 1.242718e+00
[22286,] 7578 4563 -6.213592e-01
[22287,] 7578 4657 -6.213592e-01
[22288,] 7578 7578 1.242718e+00
[22289,] 7579 4563 -6.213592e-01
[22290,] 7579 4657 -6.213592e-01
[22291,] 7579 7579 1.242718e+00
[22292,] 7580 4563 -6.213592e-01
[22293,] 7580 4657 -6.213592e-01
[22294,] 7580 7580 1.242718e+00
[22295,] 7581 4563 -6.213592e-01
[22296,] 7581 4657 -6.213592e-01
[22297,] 7581 7581 1.242718e+00
[22298,] 7582 4563 -6.213592e-01
[22299,] 7582 4657 -6.213592e-01
[22300,] 7582 7582 1.242718e+00
[22301,] 7583 4563 -6.213592e-01
[22302,] 7583 4657 -6.213592e-01
[22303,] 7583 7583 1.242718e+00
[22304,] 7584 4563 -6.213592e-01
[22305,] 7584 4657 -6.213592e-01
[22306,] 7584 7584 1.242718e+00
[22307,] 7585 4563 -6.213592e-01
[22308,] 7585 4659 -6.213592e-01
[22309,] 7585 7585 1.242718e+00
[22310,] 7586 4563 -6.213592e-01
[22311,] 7586 4659 -6.213592e-01
[22312,] 7586 7586 1.242718e+00
[22313,] 7587 4563 -6.213592e-01
[22314,] 7587 4659 -6.213592e-01
[22315,] 7587 7587 1.242718e+00
[22316,] 7588 4563 -6.213592e-01
[22317,] 7588 4659 -6.213592e-01
[22318,] 7588 7588 1.242718e+00
[22319,] 7589 4563 -6.213592e-01
[22320,] 7589 4659 -6.213592e-01
[22321,] 7589 7589 1.242718e+00
[22322,] 7590 4563 -6.213592e-01
[22323,] 7590 4659 -6.213592e-01
[22324,] 7590 7590 1.242718e+00
[22325,] 7591 4563 -6.213592e-01
[22326,] 7591 4659 -6.213592e-01
[22327,] 7591 7591 1.242718e+00
[22328,] 7592 4563 -6.213592e-01
[22329,] 7592 4659 -6.213592e-01
[22330,] 7592 7592 1.242718e+00
[22331,] 7593 4563 -6.213592e-01
[22332,] 7593 4659 -6.213592e-01
[22333,] 7593 7593 1.242718e+00
[22334,] 7594 4563 -6.213592e-01
[22335,] 7594 4659 -6.213592e-01
[22336,] 7594 7594 1.242718e+00
[22337,] 7595 4563 -6.213592e-01
[22338,] 7595 4659 -6.213592e-01
[22339,] 7595 7595 1.242718e+00
[22340,] 7596 4563 -6.213592e-01
[22341,] 7596 4659 -6.213592e-01
[22342,] 7596 7596 1.242718e+00
[22343,] 7597 4563 -6.213592e-01
[22344,] 7597 4659 -6.213592e-01
[22345,] 7597 7597 1.242718e+00
[22346,] 7598 4563 -6.213592e-01
[22347,] 7598 4659 -6.213592e-01
[22348,] 7598 7598 1.242718e+00
[22349,] 7599 4563 -6.213592e-01
[22350,] 7599 4659 -6.213592e-01
[22351,] 7599 7599 1.242718e+00
[22352,] 7600 4563 -6.213592e-01
[22353,] 7600 4659 -6.213592e-01
[22354,] 7600 7600 1.242718e+00
[22355,] 7601 4563 -6.213592e-01
[22356,] 7601 4661 -6.213592e-01
[22357,] 7601 7601 1.242718e+00
[22358,] 7602 4563 -6.213592e-01
[22359,] 7602 4661 -6.213592e-01
[22360,] 7602 7602 1.242718e+00
[22361,] 7603 614 -5.341680e-01
[22362,] 7603 4664 -5.341680e-01
[22363,] 7603 7603 1.068336e+00
[22364,] 7604 614 -5.341680e-01
[22365,] 7604 4664 -5.341680e-01
[22366,] 7604 7604 1.068336e+00
[22367,] 7605 614 -5.341680e-01
[22368,] 7605 4664 -5.341680e-01
[22369,] 7605 7605 1.068336e+00
[22370,] 7606 614 -5.341680e-01
[22371,] 7606 4664 -5.341680e-01
[22372,] 7606 7606 1.068336e+00
[22373,] 7607 614 -5.341680e-01
[22374,] 7607 4664 -5.341680e-01
[22375,] 7607 7607 1.068336e+00
[22376,] 7608 614 -5.341680e-01
[22377,] 7608 4664 -5.341680e-01
[22378,] 7608 7608 1.068336e+00
[22379,] 7609 614 -5.341680e-01
[22380,] 7609 4664 -5.341680e-01
[22381,] 7609 7609 1.068336e+00
[22382,] 7610 614 -5.341680e-01
[22383,] 7610 4664 -5.341680e-01
[22384,] 7610 7610 1.068336e+00
[22385,] 7611 496 -4.444203e-01
[22386,] 7611 4266 -4.444203e-01
[22387,] 7611 7611 8.888407e-01
[22388,] 7612 496 -4.444203e-01
[22389,] 7612 4266 -4.444203e-01
[22390,] 7612 7612 8.888407e-01
[22391,] 7613 496 -4.444203e-01
[22392,] 7613 4266 -4.444203e-01
[22393,] 7613 7613 8.888407e-01
[22394,] 7614 496 -4.444203e-01
[22395,] 7614 4266 -4.444203e-01
[22396,] 7614 7614 8.888407e-01
[22397,] 7615 496 -4.444203e-01
[22398,] 7615 4266 -4.444203e-01
[22399,] 7615 7615 8.888407e-01
[22400,] 7616 496 -4.444203e-01
[22401,] 7616 4266 -4.444203e-01
[22402,] 7616 7616 8.888407e-01
[22403,] 7617 496 -4.444203e-01
[22404,] 7617 4266 -4.444203e-01
[22405,] 7617 7617 8.888407e-01
[22406,] 7618 496 -4.444203e-01
[22407,] 7618 4266 -4.444203e-01
[22408,] 7618 7618 8.888407e-01
[22409,] 7619 496 -4.444203e-01
[22410,] 7619 4266 -4.444203e-01
[22411,] 7619 7619 8.888407e-01
[22412,] 7620 497 -4.443962e-01
[22413,] 7620 614 -4.443962e-01
[22414,] 7620 7620 8.887924e-01
[22415,] 7621 497 -4.443962e-01
[22416,] 7621 614 -4.443962e-01
[22417,] 7621 7621 8.887924e-01
[22418,] 7622 497 -4.443962e-01
[22419,] 7622 614 -4.443962e-01
[22420,] 7622 7622 8.887924e-01
[22421,] 7623 497 -4.443962e-01
[22422,] 7623 614 -4.443962e-01
[22423,] 7623 7623 8.887924e-01
[22424,] 7624 497 -4.443962e-01
[22425,] 7624 614 -4.443962e-01
[22426,] 7624 7624 8.887924e-01
[22427,] 7625 497 -4.443962e-01
[22428,] 7625 614 -4.443962e-01
[22429,] 7625 7625 8.887924e-01
[22430,] 7626 497 -4.443962e-01
[22431,] 7626 614 -4.443962e-01
[22432,] 7626 7626 8.887924e-01
[22433,] 7627 497 -4.443962e-01
[22434,] 7627 614 -4.443962e-01
[22435,] 7627 7627 8.887924e-01
[22436,] 7628 497 -4.443962e-01
[22437,] 7628 614 -4.443962e-01
[22438,] 7628 7628 8.887924e-01
[22439,] 7629 395 -4.443962e-01
[22440,] 7629 614 -4.443962e-01
[22441,] 7629 7629 8.887924e-01
[22442,] 7630 498 -4.210526e-01
[22443,] 7630 4563 -4.210526e-01
[22444,] 7630 7630 8.421053e-01
[22445,] 7631 4267 -5.700369e-01
[22446,] 7631 4569 -5.700369e-01
[22447,] 7631 7631 1.140074e+00
[22448,] 7632 498 -4.210526e-01
[22449,] 7632 4563 -4.210526e-01
[22450,] 7632 7632 8.421053e-01
[22451,] 7633 4267 -5.700369e-01
[22452,] 7633 4569 -5.700369e-01
[22453,] 7633 7633 1.140074e+00
[22454,] 7634 386 -4.210526e-01
[22455,] 7634 4563 -4.210526e-01
[22456,] 7634 7634 8.421053e-01
[22457,] 7635 499 -4.210526e-01
[22458,] 7635 4563 -4.210526e-01
[22459,] 7635 7635 8.421053e-01
[22460,] 7636 500 -4.210526e-01
[22461,] 7636 4563 -4.210526e-01
[22462,] 7636 7636 8.421053e-01
[22463,] 7637 393 -4.210526e-01
[22464,] 7637 4563 -4.210526e-01
[22465,] 7637 7637 8.421053e-01
[22466,] 7638 501 -4.444203e-01
[22467,] 7638 4266 -4.444203e-01
[22468,] 7638 7638 8.888407e-01
[22469,] 7639 351 -4.210526e-01
[22470,] 7639 4563 -4.210526e-01
[22471,] 7639 7639 8.421053e-01
[22472,] 7640 4563 -5.331945e-01
[22473,] 7640 4592 -5.331945e-01
[22474,] 7640 7640 1.066389e+00
[22475,] 7641 502 -4.210526e-01
[22476,] 7641 4563 -4.210526e-01
[22477,] 7641 7641 8.421053e-01
[22478,] 7642 4563 -5.331945e-01
[22479,] 7642 4592 -5.331945e-01
[22480,] 7642 7642 1.066389e+00
[22481,] 7643 614 -5.700369e-01
[22482,] 7643 4569 -5.700369e-01
[22483,] 7643 7643 1.140074e+00
[22484,] 7644 4563 -5.331945e-01
[22485,] 7644 4592 -5.331945e-01
[22486,] 7644 7644 1.066389e+00
[22487,] 7645 4266 -5.332986e-01
[22488,] 7645 4563 -5.332986e-01
[22489,] 7645 7645 1.066597e+00
[22490,] 7646 4563 -5.161290e-01
[22491,] 7646 4593 -5.161290e-01
[22492,] 7646 7646 1.032258e+00
[22493,] 7647 4266 -5.332986e-01
[22494,] 7647 4563 -5.332986e-01
[22495,] 7647 7647 1.066597e+00
[22496,] 7648 499 -4.210526e-01
[22497,] 7648 4563 -4.210526e-01
[22498,] 7648 7648 8.421053e-01
[22499,] 7649 387 -4.210526e-01
[22500,] 7649 4563 -4.210526e-01
[22501,] 7649 7649 8.421053e-01
[22502,] 7650 500 -4.210526e-01
[22503,] 7650 4563 -4.210526e-01
[22504,] 7650 7650 8.421053e-01
[22505,] 7651 4563 -9.696970e-01
[22506,] 7651 4595 -9.696970e-01
[22507,] 7651 7651 1.939394e+00
[22508,] 7652 503 -4.444203e-01
[22509,] 7652 4266 -4.444203e-01
[22510,] 7652 7652 8.888407e-01
[22511,] 7653 4563 -5.161290e-01
[22512,] 7653 4593 -5.161290e-01
[22513,] 7653 7653 1.032258e+00
[22514,] 7654 386 -4.210526e-01
[22515,] 7654 4563 -4.210526e-01
[22516,] 7654 7654 8.421053e-01
[22517,] 7655 4563 -5.331945e-01
[22518,] 7655 4592 -5.331945e-01
[22519,] 7655 7655 1.066389e+00
[22520,] 7656 395 -4.443962e-01
[22521,] 7656 614 -4.443962e-01
[22522,] 7656 7656 8.887924e-01
[22523,] 7657 4266 -5.700765e-01
[22524,] 7657 4569 -5.700765e-01
[22525,] 7657 7657 1.140153e+00
[22526,] 7658 502 -4.210526e-01
[22527,] 7658 4563 -4.210526e-01
[22528,] 7658 7658 8.421053e-01
[22529,] 7659 4267 -5.700369e-01
[22530,] 7659 4569 -5.700369e-01
[22531,] 7659 7659 1.140074e+00
[22532,] 7660 4267 -5.700369e-01
[22533,] 7660 4569 -5.700369e-01
[22534,] 7660 7660 1.140074e+00
[22535,] 7661 4267 -5.700369e-01
[22536,] 7661 4569 -5.700369e-01
[22537,] 7661 7661 1.140074e+00
[22538,] 7662 386 -4.210526e-01
[22539,] 7662 4563 -4.210526e-01
[22540,] 7662 7662 8.421053e-01
[22541,] 7663 502 -4.210526e-01
[22542,] 7663 4563 -4.210526e-01
[22543,] 7663 7663 8.421053e-01
[22544,] 7664 502 -4.210526e-01
[22545,] 7664 4563 -4.210526e-01
[22546,] 7664 7664 8.421053e-01
[22547,] 7665 387 -4.210526e-01
[22548,] 7665 4563 -4.210526e-01
[22549,] 7665 7665 8.421053e-01
[22550,] 7666 4266 -5.700765e-01
[22551,] 7666 4569 -5.700765e-01
[22552,] 7666 7666 1.140153e+00
[22553,] 7667 500 -4.210526e-01
[22554,] 7667 4563 -4.210526e-01
[22555,] 7667 7667 8.421053e-01
[22556,] 7668 351 -4.210526e-01
[22557,] 7668 4563 -4.210526e-01
[22558,] 7668 7668 8.421053e-01
[22559,] 7669 504 -4.443962e-01
[22560,] 7669 614 -4.443962e-01
[22561,] 7669 7669 8.887924e-01
[22562,] 7670 499 -4.210526e-01
[22563,] 7670 4563 -4.210526e-01
[22564,] 7670 7670 8.421053e-01
[22565,] 7671 503 -4.444203e-01
[22566,] 7671 4266 -4.444203e-01
[22567,] 7671 7671 8.888407e-01
[22568,] 7672 4266 -5.332986e-01
[22569,] 7672 4563 -5.332986e-01
[22570,] 7672 7672 1.066597e+00
[22571,] 7673 500 -4.210526e-01
[22572,] 7673 4563 -4.210526e-01
[22573,] 7673 7673 8.421053e-01
[22574,] 7674 4563 -6.213592e-01
[22575,] 7674 4579 -6.213592e-01
[22576,] 7674 7674 1.242718e+00
[22577,] 7675 498 -4.210526e-01
[22578,] 7675 4563 -4.210526e-01
[22579,] 7675 7675 8.421053e-01
[22580,] 7676 498 -4.210526e-01
[22581,] 7676 4563 -4.210526e-01
[22582,] 7676 7676 8.421053e-01
[22583,] 7677 4563 -6.213592e-01
[22584,] 7677 4579 -6.213592e-01
[22585,] 7677 7677 1.242718e+00
[22586,] 7678 4563 -9.696970e-01
[22587,] 7678 4595 -9.696970e-01
[22588,] 7678 7678 1.939394e+00
[22589,] 7679 4267 -5.332639e-01
[22590,] 7679 4563 -5.332639e-01
[22591,] 7679 7679 1.066528e+00
[22592,] 7680 395 -4.443962e-01
[22593,] 7680 614 -4.443962e-01
[22594,] 7680 7680 8.887924e-01
[22595,] 7681 4267 -5.700369e-01
[22596,] 7681 4569 -5.700369e-01
[22597,] 7681 7681 1.140074e+00
[22598,] 7682 351 -4.210526e-01
[22599,] 7682 4563 -4.210526e-01
[22600,] 7682 7682 8.421053e-01
[22601,] 7683 4563 -5.156093e-01
[22602,] 7683 4567 -5.156093e-01
[22603,] 7683 7683 1.031219e+00
[22604,] 7684 393 -4.443962e-01
[22605,] 7684 614 -4.443962e-01
[22606,] 7684 7684 8.887924e-01
[22607,] 7685 4267 -5.332639e-01
[22608,] 7685 4563 -5.332639e-01
[22609,] 7685 7685 1.066528e+00
[22610,] 7686 4563 -5.331945e-01
[22611,] 7686 4592 -5.331945e-01
[22612,] 7686 7686 1.066389e+00
[22613,] 7687 505 -4.443962e-01
[22614,] 7687 614 -4.443962e-01
[22615,] 7687 7687 8.887924e-01
[22616,] 7688 395 -4.443962e-01
[22617,] 7688 614 -4.443962e-01
[22618,] 7688 7688 8.887924e-01
[22619,] 7689 506 -4.443962e-01
[22620,] 7689 614 -4.443962e-01
[22621,] 7689 7689 8.887924e-01
[22622,] 7690 4267 -5.332639e-01
[22623,] 7690 4563 -5.332639e-01
[22624,] 7690 7690 1.066528e+00
[22625,] 7691 386 -4.210526e-01
[22626,] 7691 4563 -4.210526e-01
[22627,] 7691 7691 8.421053e-01
[22628,] 7692 501 -4.444203e-01
[22629,] 7692 4266 -4.444203e-01
[22630,] 7692 7692 8.888407e-01
[22631,] 7693 499 -4.210526e-01
[22632,] 7693 4563 -4.210526e-01
[22633,] 7693 7693 8.421053e-01
[22634,] 7694 4267 -5.332639e-01
[22635,] 7694 4563 -5.332639e-01
[22636,] 7694 7694 1.066528e+00
[22637,] 7695 393 -4.443962e-01
[22638,] 7695 614 -4.443962e-01
[22639,] 7695 7695 8.887924e-01
[22640,] 7696 4267 -5.332639e-01
[22641,] 7696 4563 -5.332639e-01
[22642,] 7696 7696 1.066528e+00
[22643,] 7697 506 -4.443962e-01
[22644,] 7697 614 -4.443962e-01
[22645,] 7697 7697 8.887924e-01
[22646,] 7698 4267 -5.332639e-01
[22647,] 7698 4563 -5.332639e-01
[22648,] 7698 7698 1.066528e+00
[22649,] 7699 351 -4.210526e-01
[22650,] 7699 4563 -4.210526e-01
[22651,] 7699 7699 8.421053e-01
[22652,] 7700 4267 -5.332639e-01
[22653,] 7700 4563 -5.332639e-01
[22654,] 7700 7700 1.066528e+00
[22655,] 7701 502 -4.210526e-01
[22656,] 7701 4563 -4.210526e-01
[22657,] 7701 7701 8.421053e-01
[22658,] 7702 506 -4.210526e-01
[22659,] 7702 4563 -4.210526e-01
[22660,] 7702 7702 8.421053e-01
[22661,] 7703 386 -4.210526e-01
[22662,] 7703 4563 -4.210526e-01
[22663,] 7703 7703 8.421053e-01
[22664,] 7704 500 -4.210526e-01
[22665,] 7704 4563 -4.210526e-01
[22666,] 7704 7704 8.421053e-01
[22667,] 7705 502 -4.210526e-01
[22668,] 7705 4563 -4.210526e-01
[22669,] 7705 7705 8.421053e-01
[22670,] 7706 498 -4.210526e-01
[22671,] 7706 4563 -4.210526e-01
[22672,] 7706 7706 8.421053e-01
[22673,] 7707 4267 -5.700369e-01
[22674,] 7707 4569 -5.700369e-01
[22675,] 7707 7707 1.140074e+00
[22676,] 7708 4267 -5.700369e-01
[22677,] 7708 4569 -5.700369e-01
[22678,] 7708 7708 1.140074e+00
[22679,] 7709 4266 -5.332986e-01
[22680,] 7709 4563 -5.332986e-01
[22681,] 7709 7709 1.066597e+00
[22682,] 7710 4267 -5.700369e-01
[22683,] 7710 4569 -5.700369e-01
[22684,] 7710 7710 1.140074e+00
[22685,] 7711 499 -4.210526e-01
[22686,] 7711 4563 -4.210526e-01
[22687,] 7711 7711 8.421053e-01
[22688,] 7712 4266 -5.700765e-01
[22689,] 7712 4569 -5.700765e-01
[22690,] 7712 7712 1.140153e+00
[22691,] 7713 499 -4.210526e-01
[22692,] 7713 4563 -4.210526e-01
[22693,] 7713 7713 8.421053e-01
[22694,] 7714 4267 -5.700369e-01
[22695,] 7714 4569 -5.700369e-01
[22696,] 7714 7714 1.140074e+00
[22697,] 7715 4266 -5.700765e-01
[22698,] 7715 4569 -5.700765e-01
[22699,] 7715 7715 1.140153e+00
[22700,] 7716 4266 -5.332986e-01
[22701,] 7716 4563 -5.332986e-01
[22702,] 7716 7716 1.066597e+00
[22703,] 7717 4563 -5.331945e-01
[22704,] 7717 4592 -5.331945e-01
[22705,] 7717 7717 1.066389e+00
[22706,] 7718 502 -4.210526e-01
[22707,] 7718 4563 -4.210526e-01
[22708,] 7718 7718 8.421053e-01
[22709,] 7719 4563 -5.161290e-01
[22710,] 7719 4593 -5.161290e-01
[22711,] 7719 7719 1.032258e+00
[22712,] 7720 4563 -6.213592e-01
[22713,] 7720 4579 -6.213592e-01
[22714,] 7720 7720 1.242718e+00
[22715,] 7721 386 -4.210526e-01
[22716,] 7721 4563 -4.210526e-01
[22717,] 7721 7721 8.421053e-01
[22718,] 7722 4267 -5.332639e-01
[22719,] 7722 4563 -5.332639e-01
[22720,] 7722 7722 1.066528e+00
[22721,] 7723 500 -4.210526e-01
[22722,] 7723 4563 -4.210526e-01
[22723,] 7723 7723 8.421053e-01
[22724,] 7724 4563 -5.331945e-01
[22725,] 7724 4592 -5.331945e-01
[22726,] 7724 7724 1.066389e+00
[22727,] 7725 4563 -6.213592e-01
[22728,] 7725 4579 -6.213592e-01
[22729,] 7725 7725 1.242718e+00
[22730,] 7726 387 -4.210526e-01
[22731,] 7726 4563 -4.210526e-01
[22732,] 7726 7726 8.421053e-01
[22733,] 7727 4267 -5.700369e-01
[22734,] 7727 4569 -5.700369e-01
[22735,] 7727 7727 1.140074e+00
[22736,] 7728 503 -4.444203e-01
[22737,] 7728 4266 -4.444203e-01
[22738,] 7728 7728 8.888407e-01
[22739,] 7729 4267 -5.332639e-01
[22740,] 7729 4563 -5.332639e-01
[22741,] 7729 7729 1.066528e+00
[22742,] 7730 351 -4.210526e-01
[22743,] 7730 4563 -4.210526e-01
[22744,] 7730 7730 8.421053e-01
[22745,] 7731 499 -4.210526e-01
[22746,] 7731 4563 -4.210526e-01
[22747,] 7731 7731 8.421053e-01
[22748,] 7732 4563 -6.213592e-01
[22749,] 7732 4579 -6.213592e-01
[22750,] 7732 7732 1.242718e+00
[22751,] 7733 499 -4.210526e-01
[22752,] 7733 4563 -4.210526e-01
[22753,] 7733 7733 8.421053e-01
[22754,] 7734 4266 -5.700765e-01
[22755,] 7734 4569 -5.700765e-01
[22756,] 7734 7734 1.140153e+00
[22757,] 7735 505 -4.443962e-01
[22758,] 7735 614 -4.443962e-01
[22759,] 7735 7735 8.887924e-01
[22760,] 7736 4563 -9.696970e-01
[22761,] 7736 4595 -9.696970e-01
[22762,] 7736 7736 1.939394e+00
[22763,] 7737 500 -4.210526e-01
[22764,] 7737 4563 -4.210526e-01
[22765,] 7737 7737 8.421053e-01
[22766,] 7738 501 -4.444203e-01
[22767,] 7738 4266 -4.444203e-01
[22768,] 7738 7738 8.888407e-01
[22769,] 7739 503 -4.444203e-01
[22770,] 7739 4266 -4.444203e-01
[22771,] 7739 7739 8.888407e-01
[22772,] 7740 4563 -9.696970e-01
[22773,] 7740 4595 -9.696970e-01
[22774,] 7740 7740 1.939394e+00
[22775,] 7741 4267 -5.700369e-01
[22776,] 7741 4569 -5.700369e-01
[22777,] 7741 7741 1.140074e+00
[22778,] 7742 498 -4.210526e-01
[22779,] 7742 4563 -4.210526e-01
[22780,] 7742 7742 8.421053e-01
[22781,] 7743 4267 -5.700369e-01
[22782,] 7743 4569 -5.700369e-01
[22783,] 7743 7743 1.140074e+00
[22784,] 7744 4267 -5.700369e-01
[22785,] 7744 4569 -5.700369e-01
[22786,] 7744 7744 1.140074e+00
[22787,] 7745 505 -4.443962e-01
[22788,] 7745 614 -4.443962e-01
[22789,] 7745 7745 8.887924e-01
[22790,] 7746 498 -4.210526e-01
[22791,] 7746 4563 -4.210526e-01
[22792,] 7746 7746 8.421053e-01
[22793,] 7747 4267 -5.332639e-01
[22794,] 7747 4563 -5.332639e-01
[22795,] 7747 7747 1.066528e+00
[22796,] 7748 4563 -6.213592e-01
[22797,] 7748 4579 -6.213592e-01
[22798,] 7748 7748 1.242718e+00
[22799,] 7749 500 -4.210526e-01
[22800,] 7749 4563 -4.210526e-01
[22801,] 7749 7749 8.421053e-01
[22802,] 7750 4563 -6.213592e-01
[22803,] 7750 4579 -6.213592e-01
[22804,] 7750 7750 1.242718e+00
[22805,] 7751 4267 -5.332639e-01
[22806,] 7751 4563 -5.332639e-01
[22807,] 7751 7751 1.066528e+00
[22808,] 7752 498 -4.210526e-01
[22809,] 7752 4563 -4.210526e-01
[22810,] 7752 7752 8.421053e-01
[22811,] 7753 614 -5.700369e-01
[22812,] 7753 4569 -5.700369e-01
[22813,] 7753 7753 1.140074e+00
[22814,] 7754 351 -4.210526e-01
[22815,] 7754 4563 -4.210526e-01
[22816,] 7754 7754 8.421053e-01
[22817,] 7755 4563 -9.696970e-01
[22818,] 7755 4595 -9.696970e-01
[22819,] 7755 7755 1.939394e+00
[22820,] 7756 505 -4.443962e-01
[22821,] 7756 614 -4.443962e-01
[22822,] 7756 7756 8.887924e-01
[22823,] 7757 4563 -5.161290e-01
[22824,] 7757 4593 -5.161290e-01
[22825,] 7757 7757 1.032258e+00
[22826,] 7758 4563 -9.696970e-01
[22827,] 7758 4595 -9.696970e-01
[22828,] 7758 7758 1.939394e+00
[22829,] 7759 4266 -5.332986e-01
[22830,] 7759 4563 -5.332986e-01
[22831,] 7759 7759 1.066597e+00
[22832,] 7760 498 -4.210526e-01
[22833,] 7760 4563 -4.210526e-01
[22834,] 7760 7760 8.421053e-01
[22835,] 7761 501 -4.444203e-01
[22836,] 7761 4266 -4.444203e-01
[22837,] 7761 7761 8.888407e-01
[22838,] 7762 4563 -5.161290e-01
[22839,] 7762 4593 -5.161290e-01
[22840,] 7762 7762 1.032258e+00
[22841,] 7763 4563 -5.243216e-01
[22842,] 7763 4586 -5.243216e-01
[22843,] 7763 7763 1.048643e+00
[22844,] 7764 4563 -5.156093e-01
[22845,] 7764 4567 -5.156093e-01
[22846,] 7764 7764 1.031219e+00
[22847,] 7765 4563 -6.213592e-01
[22848,] 7765 4579 -6.213592e-01
[22849,] 7765 7765 1.242718e+00
[22850,] 7766 4563 -6.213592e-01
[22851,] 7766 4579 -6.213592e-01
[22852,] 7766 7766 1.242718e+00
[22853,] 7767 4563 -6.213592e-01
[22854,] 7767 4579 -6.213592e-01
[22855,] 7767 7767 1.242718e+00
[22856,] 7768 4563 -9.696970e-01
[22857,] 7768 4595 -9.696970e-01
[22858,] 7768 7768 1.939394e+00
[22859,] 7769 506 -4.443962e-01
[22860,] 7769 614 -4.443962e-01
[22861,] 7769 7769 8.887924e-01
[22862,] 7770 506 -4.443962e-01
[22863,] 7770 614 -4.443962e-01
[22864,] 7770 7770 8.887924e-01
[22865,] 7771 4563 -5.331945e-01
[22866,] 7771 4592 -5.331945e-01
[22867,] 7771 7771 1.066389e+00
[22868,] 7772 501 -4.444203e-01
[22869,] 7772 4266 -4.444203e-01
[22870,] 7772 7772 8.888407e-01
[22871,] 7773 393 -4.210526e-01
[22872,] 7773 4563 -4.210526e-01
[22873,] 7773 7773 8.421053e-01
[22874,] 7774 4563 -5.243216e-01
[22875,] 7774 4586 -5.243216e-01
[22876,] 7774 7774 1.048643e+00
[22877,] 7775 498 -4.210526e-01
[22878,] 7775 4563 -4.210526e-01
[22879,] 7775 7775 8.421053e-01
[22880,] 7776 4267 -5.332639e-01
[22881,] 7776 4563 -5.332639e-01
[22882,] 7776 7776 1.066528e+00
[22883,] 7777 506 -4.443962e-01
[22884,] 7777 614 -4.443962e-01
[22885,] 7777 7777 8.887924e-01
[22886,] 7778 4267 -5.332639e-01
[22887,] 7778 4563 -5.332639e-01
[22888,] 7778 7778 1.066528e+00
[22889,] 7779 4563 -5.331945e-01
[22890,] 7779 4592 -5.331945e-01
[22891,] 7779 7779 1.066389e+00
[22892,] 7780 4267 -5.700369e-01
[22893,] 7780 4569 -5.700369e-01
[22894,] 7780 7780 1.140074e+00
[22895,] 7781 505 -4.443962e-01
[22896,] 7781 614 -4.443962e-01
[22897,] 7781 7781 8.887924e-01
[22898,] 7782 498 -4.210526e-01
[22899,] 7782 4563 -4.210526e-01
[22900,] 7782 7782 8.421053e-01
[22901,] 7783 505 -4.443962e-01
[22902,] 7783 614 -4.443962e-01
[22903,] 7783 7783 8.887924e-01
[22904,] 7784 4267 -5.700369e-01
[22905,] 7784 4569 -5.700369e-01
[22906,] 7784 7784 1.140074e+00
[22907,] 7785 395 -4.443962e-01
[22908,] 7785 614 -4.443962e-01
[22909,] 7785 7785 8.887924e-01
[22910,] 7786 502 -4.210526e-01
[22911,] 7786 4563 -4.210526e-01
[22912,] 7786 7786 8.421053e-01
[22913,] 7787 500 -4.210526e-01
[22914,] 7787 4563 -4.210526e-01
[22915,] 7787 7787 8.421053e-01
[22916,] 7788 506 -4.443962e-01
[22917,] 7788 614 -4.443962e-01
[22918,] 7788 7788 8.887924e-01
[22919,] 7789 4267 -5.332639e-01
[22920,] 7789 4563 -5.332639e-01
[22921,] 7789 7789 1.066528e+00
[22922,] 7790 506 -4.210526e-01
[22923,] 7790 4563 -4.210526e-01
[22924,] 7790 7790 8.421053e-01
[22925,] 7791 4266 -5.332986e-01
[22926,] 7791 4563 -5.332986e-01
[22927,] 7791 7791 1.066597e+00
[22928,] 7792 351 -4.210526e-01
[22929,] 7792 4563 -4.210526e-01
[22930,] 7792 7792 8.421053e-01
[22931,] 7793 4563 -6.213592e-01
[22932,] 7793 4579 -6.213592e-01
[22933,] 7793 7793 1.242718e+00
[22934,] 7794 505 -4.443962e-01
[22935,] 7794 614 -4.443962e-01
[22936,] 7794 7794 8.887924e-01
[22937,] 7795 4563 -6.213592e-01
[22938,] 7795 4579 -6.213592e-01
[22939,] 7795 7795 1.242718e+00
[22940,] 7796 4266 -5.332986e-01
[22941,] 7796 4563 -5.332986e-01
[22942,] 7796 7796 1.066597e+00
[22943,] 7797 4266 -5.700765e-01
[22944,] 7797 4569 -5.700765e-01
[22945,] 7797 7797 1.140153e+00
[22946,] 7798 4563 -5.331945e-01
[22947,] 7798 4592 -5.331945e-01
[22948,] 7798 7798 1.066389e+00
[22949,] 7799 387 -4.210526e-01
[22950,] 7799 4563 -4.210526e-01
[22951,] 7799 7799 8.421053e-01
[22952,] 7800 4563 -9.696970e-01
[22953,] 7800 4595 -9.696970e-01
[22954,] 7800 7800 1.939394e+00
[22955,] 7801 498 -4.210526e-01
[22956,] 7801 4563 -4.210526e-01
[22957,] 7801 7801 8.421053e-01
[22958,] 7802 4563 -6.213592e-01
[22959,] 7802 4579 -6.213592e-01
[22960,] 7802 7802 1.242718e+00
[22961,] 7803 503 -4.444203e-01
[22962,] 7803 4266 -4.444203e-01
[22963,] 7803 7803 8.888407e-01
[22964,] 7804 498 -4.210526e-01
[22965,] 7804 4563 -4.210526e-01
[22966,] 7804 7804 8.421053e-01
[22967,] 7805 499 -4.210526e-01
[22968,] 7805 4563 -4.210526e-01
[22969,] 7805 7805 8.421053e-01
[22970,] 7806 4563 -5.156093e-01
[22971,] 7806 4567 -5.156093e-01
[22972,] 7806 7806 1.031219e+00
[22973,] 7807 4266 -5.332986e-01
[22974,] 7807 4563 -5.332986e-01
[22975,] 7807 7807 1.066597e+00
[22976,] 7808 499 -4.210526e-01
[22977,] 7808 4563 -4.210526e-01
[22978,] 7808 7808 8.421053e-01
[22979,] 7809 4563 -6.213592e-01
[22980,] 7809 4579 -6.213592e-01
[22981,] 7809 7809 1.242718e+00
[22982,] 7810 4267 -5.332639e-01
[22983,] 7810 4563 -5.332639e-01
[22984,] 7810 7810 1.066528e+00
[22985,] 7811 500 -4.210526e-01
[22986,] 7811 4563 -4.210526e-01
[22987,] 7811 7811 8.421053e-01
[22988,] 7812 4563 -6.213592e-01
[22989,] 7812 4579 -6.213592e-01
[22990,] 7812 7812 1.242718e+00
[22991,] 7813 502 -4.210526e-01
[22992,] 7813 4563 -4.210526e-01
[22993,] 7813 7813 8.421053e-01
[22994,] 7814 4563 -6.213592e-01
[22995,] 7814 4579 -6.213592e-01
[22996,] 7814 7814 1.242718e+00
[22997,] 7815 501 -4.444203e-01
[22998,] 7815 4266 -4.444203e-01
[22999,] 7815 7815 8.888407e-01
[23000,] 7816 4267 -5.332639e-01
[23001,] 7816 4563 -5.332639e-01
[23002,] 7816 7816 1.066528e+00
[23003,] 7817 502 -4.210526e-01
[23004,] 7817 4563 -4.210526e-01
[23005,] 7817 7817 8.421053e-01
[23006,] 7818 501 -4.444203e-01
[23007,] 7818 4266 -4.444203e-01
[23008,] 7818 7818 8.888407e-01
[23009,] 7819 386 -4.210526e-01
[23010,] 7819 4563 -4.210526e-01
[23011,] 7819 7819 8.421053e-01
[23012,] 7820 4266 -5.332986e-01
[23013,] 7820 4563 -5.332986e-01
[23014,] 7820 7820 1.066597e+00
[23015,] 7821 4563 -9.696970e-01
[23016,] 7821 4595 -9.696970e-01
[23017,] 7821 7821 1.939394e+00
[23018,] 7822 498 -4.210526e-01
[23019,] 7822 4563 -4.210526e-01
[23020,] 7822 7822 8.421053e-01
[23021,] 7823 4563 -5.156093e-01
[23022,] 7823 4567 -5.156093e-01
[23023,] 7823 7823 1.031219e+00
[23024,] 7824 387 -4.210526e-01
[23025,] 7824 4563 -4.210526e-01
[23026,] 7824 7824 8.421053e-01
[23027,] 7825 4563 -5.331945e-01
[23028,] 7825 4592 -5.331945e-01
[23029,] 7825 7825 1.066389e+00
[23030,] 7826 498 -4.210526e-01
[23031,] 7826 4563 -4.210526e-01
[23032,] 7826 7826 8.421053e-01
[23033,] 7827 503 -4.444203e-01
[23034,] 7827 4266 -4.444203e-01
[23035,] 7827 7827 8.888407e-01
[23036,] 7828 499 -4.210526e-01
[23037,] 7828 4563 -4.210526e-01
[23038,] 7828 7828 8.421053e-01
[23039,] 7829 351 -4.210526e-01
[23040,] 7829 4563 -4.210526e-01
[23041,] 7829 7829 8.421053e-01
[23042,] 7830 503 -4.444203e-01
[23043,] 7830 4266 -4.444203e-01
[23044,] 7830 7830 8.888407e-01
[23045,] 7831 4267 -5.332639e-01
[23046,] 7831 4563 -5.332639e-01
[23047,] 7831 7831 1.066528e+00
[23048,] 7832 4267 -5.700369e-01
[23049,] 7832 4569 -5.700369e-01
[23050,] 7832 7832 1.140074e+00
[23051,] 7833 4267 -5.700369e-01
[23052,] 7833 4569 -5.700369e-01
[23053,] 7833 7833 1.140074e+00
[23054,] 7834 498 -4.210526e-01
[23055,] 7834 4563 -4.210526e-01
[23056,] 7834 7834 8.421053e-01
[23057,] 7835 4563 -9.696970e-01
[23058,] 7835 4595 -9.696970e-01
[23059,] 7835 7835 1.939394e+00
[23060,] 7836 498 -4.210526e-01
[23061,] 7836 4563 -4.210526e-01
[23062,] 7836 7836 8.421053e-01
[23063,] 7837 4266 -5.332986e-01
[23064,] 7837 4563 -5.332986e-01
[23065,] 7837 7837 1.066597e+00
[23066,] 7838 614 -5.700369e-01
[23067,] 7838 4569 -5.700369e-01
[23068,] 7838 7838 1.140074e+00
[23069,] 7839 351 -4.210526e-01
[23070,] 7839 4563 -4.210526e-01
[23071,] 7839 7839 8.421053e-01
[23072,] 7840 4266 -5.332986e-01
[23073,] 7840 4563 -5.332986e-01
[23074,] 7840 7840 1.066597e+00
[23075,] 7841 351 -4.210526e-01
[23076,] 7841 4563 -4.210526e-01
[23077,] 7841 7841 8.421053e-01
[23078,] 7842 505 -4.443962e-01
[23079,] 7842 614 -4.443962e-01
[23080,] 7842 7842 8.887924e-01
[23081,] 7843 4563 -9.696970e-01
[23082,] 7843 4595 -9.696970e-01
[23083,] 7843 7843 1.939394e+00
[23084,] 7844 4266 -5.700765e-01
[23085,] 7844 4569 -5.700765e-01
[23086,] 7844 7844 1.140153e+00
[23087,] 7845 4563 -9.696970e-01
[23088,] 7845 4595 -9.696970e-01
[23089,] 7845 7845 1.939394e+00
[23090,] 7846 506 -4.443962e-01
[23091,] 7846 614 -4.443962e-01
[23092,] 7846 7846 8.887924e-01
[23093,] 7847 4267 -5.332639e-01
[23094,] 7847 4563 -5.332639e-01
[23095,] 7847 7847 1.066528e+00
[23096,] 7848 4267 -5.332639e-01
[23097,] 7848 4563 -5.332639e-01
[23098,] 7848 7848 1.066528e+00
[23099,] 7849 351 -4.210526e-01
[23100,] 7849 4563 -4.210526e-01
[23101,] 7849 7849 8.421053e-01
[23102,] 7850 4563 -9.696970e-01
[23103,] 7850 4595 -9.696970e-01
[23104,] 7850 7850 1.939394e+00
[23105,] 7851 4266 -5.332986e-01
[23106,] 7851 4563 -5.332986e-01
[23107,] 7851 7851 1.066597e+00
[23108,] 7852 393 -4.210526e-01
[23109,] 7852 4563 -4.210526e-01
[23110,] 7852 7852 8.421053e-01
[23111,] 7853 4266 -5.332986e-01
[23112,] 7853 4563 -5.332986e-01
[23113,] 7853 7853 1.066597e+00
[23114,] 7854 4563 -5.331945e-01
[23115,] 7854 4592 -5.331945e-01
[23116,] 7854 7854 1.066389e+00
[23117,] 7855 506 -4.443962e-01
[23118,] 7855 614 -4.443962e-01
[23119,] 7855 7855 8.887924e-01
[23120,] 7856 351 -4.210526e-01
[23121,] 7856 4563 -4.210526e-01
[23122,] 7856 7856 8.421053e-01
[23123,] 7857 393 -4.443962e-01
[23124,] 7857 614 -4.443962e-01
[23125,] 7857 7857 8.887924e-01
[23126,] 7858 4266 -5.332986e-01
[23127,] 7858 4563 -5.332986e-01
[23128,] 7858 7858 1.066597e+00
[23129,] 7859 4267 -5.332639e-01
[23130,] 7859 4563 -5.332639e-01
[23131,] 7859 7859 1.066528e+00
[23132,] 7860 504 -4.443962e-01
[23133,] 7860 614 -4.443962e-01
[23134,] 7860 7860 8.887924e-01
[23135,] 7861 4563 -6.213592e-01
[23136,] 7861 4579 -6.213592e-01
[23137,] 7861 7861 1.242718e+00
[23138,] 7862 505 -4.443962e-01
[23139,] 7862 614 -4.443962e-01
[23140,] 7862 7862 8.887924e-01
[23141,] 7863 614 -5.700369e-01
[23142,] 7863 4569 -5.700369e-01
[23143,] 7863 7863 1.140074e+00
[23144,] 7864 4563 -9.696970e-01
[23145,] 7864 4595 -9.696970e-01
[23146,] 7864 7864 1.939394e+00
[23147,] 7865 4267 -5.332639e-01
[23148,] 7865 4563 -5.332639e-01
[23149,] 7865 7865 1.066528e+00
[23150,] 7866 614 -5.700369e-01
[23151,] 7866 4569 -5.700369e-01
[23152,] 7866 7866 1.140074e+00
[23153,] 7867 500 -4.210526e-01
[23154,] 7867 4563 -4.210526e-01
[23155,] 7867 7867 8.421053e-01
[23156,] 7868 4563 -6.213592e-01
[23157,] 7868 4579 -6.213592e-01
[23158,] 7868 7868 1.242718e+00
[23159,] 7869 4266 -5.332986e-01
[23160,] 7869 4563 -5.332986e-01
[23161,] 7869 7869 1.066597e+00
[23162,] 7870 501 -4.444203e-01
[23163,] 7870 4266 -4.444203e-01
[23164,] 7870 7870 8.888407e-01
[23165,] 7871 4266 -5.332986e-01
[23166,] 7871 4563 -5.332986e-01
[23167,] 7871 7871 1.066597e+00
[23168,] 7872 395 -4.443962e-01
[23169,] 7872 614 -4.443962e-01
[23170,] 7872 7872 8.887924e-01
[23171,] 7873 4267 -5.332639e-01
[23172,] 7873 4563 -5.332639e-01
[23173,] 7873 7873 1.066528e+00
[23174,] 7874 387 -4.210526e-01
[23175,] 7874 4563 -4.210526e-01
[23176,] 7874 7874 8.421053e-01
[23177,] 7875 4266 -5.332986e-01
[23178,] 7875 4563 -5.332986e-01
[23179,] 7875 7875 1.066597e+00
[23180,] 7876 500 -4.210526e-01
[23181,] 7876 4563 -4.210526e-01
[23182,] 7876 7876 8.421053e-01
[23183,] 7877 500 -4.210526e-01
[23184,] 7877 4563 -4.210526e-01
[23185,] 7877 7877 8.421053e-01
[23186,] 7878 4563 -5.156093e-01
[23187,] 7878 4567 -5.156093e-01
[23188,] 7878 7878 1.031219e+00
[23189,] 7879 4563 -6.213592e-01
[23190,] 7879 4579 -6.213592e-01
[23191,] 7879 7879 1.242718e+00
[23192,] 7880 505 -4.443962e-01
[23193,] 7880 614 -4.443962e-01
[23194,] 7880 7880 8.887924e-01
[23195,] 7881 500 -4.210526e-01
[23196,] 7881 4563 -4.210526e-01
[23197,] 7881 7881 8.421053e-01
[23198,] 7882 4267 -5.332639e-01
[23199,] 7882 4563 -5.332639e-01
[23200,] 7882 7882 1.066528e+00
[23201,] 7883 499 -4.210526e-01
[23202,] 7883 4563 -4.210526e-01
[23203,] 7883 7883 8.421053e-01
[23204,] 7884 614 -5.700369e-01
[23205,] 7884 4569 -5.700369e-01
[23206,] 7884 7884 1.140074e+00
[23207,] 7885 4267 -5.700369e-01
[23208,] 7885 4569 -5.700369e-01
[23209,] 7885 7885 1.140074e+00
[23210,] 7886 351 -4.210526e-01
[23211,] 7886 4563 -4.210526e-01
[23212,] 7886 7886 8.421053e-01
[23213,] 7887 387 -4.210526e-01
[23214,] 7887 4563 -4.210526e-01
[23215,] 7887 7887 8.421053e-01
[23216,] 7888 498 -4.210526e-01
[23217,] 7888 4563 -4.210526e-01
[23218,] 7888 7888 8.421053e-01
[23219,] 7889 393 -4.210526e-01
[23220,] 7889 4563 -4.210526e-01
[23221,] 7889 7889 8.421053e-01
[23222,] 7890 4267 -5.332639e-01
[23223,] 7890 4563 -5.332639e-01
[23224,] 7890 7890 1.066528e+00
[23225,] 7891 393 -4.210526e-01
[23226,] 7891 4563 -4.210526e-01
[23227,] 7891 7891 8.421053e-01
[23228,] 7892 393 -4.443962e-01
[23229,] 7892 614 -4.443962e-01
[23230,] 7892 7892 8.887924e-01
[23231,] 7893 4563 -6.213592e-01
[23232,] 7893 4579 -6.213592e-01
[23233,] 7893 7893 1.242718e+00
[23234,] 7894 4563 -5.331945e-01
[23235,] 7894 4592 -5.331945e-01
[23236,] 7894 7894 1.066389e+00
[23237,] 7895 505 -4.443962e-01
[23238,] 7895 614 -4.443962e-01
[23239,] 7895 7895 8.887924e-01
[23240,] 7896 505 -4.443962e-01
[23241,] 7896 614 -4.443962e-01
[23242,] 7896 7896 8.887924e-01
[23243,] 7897 395 -4.443962e-01
[23244,] 7897 614 -4.443962e-01
[23245,] 7897 7897 8.887924e-01
[23246,] 7898 387 -4.210526e-01
[23247,] 7898 4563 -4.210526e-01
[23248,] 7898 7898 8.421053e-01
[23249,] 7899 506 -4.210526e-01
[23250,] 7899 4563 -4.210526e-01
[23251,] 7899 7899 8.421053e-01
[23252,] 7900 4267 -5.332639e-01
[23253,] 7900 4563 -5.332639e-01
[23254,] 7900 7900 1.066528e+00
[23255,] 7901 4563 -9.696970e-01
[23256,] 7901 4595 -9.696970e-01
[23257,] 7901 7901 1.939394e+00
[23258,] 7902 499 -4.210526e-01
[23259,] 7902 4563 -4.210526e-01
[23260,] 7902 7902 8.421053e-01
[23261,] 7903 4563 -5.156093e-01
[23262,] 7903 4567 -5.156093e-01
[23263,] 7903 7903 1.031219e+00
[23264,] 7904 4563 -5.161290e-01
[23265,] 7904 4593 -5.161290e-01
[23266,] 7904 7904 1.032258e+00
[23267,] 7905 4267 -5.332639e-01
[23268,] 7905 4563 -5.332639e-01
[23269,] 7905 7905 1.066528e+00
[23270,] 7906 501 -4.444203e-01
[23271,] 7906 4266 -4.444203e-01
[23272,] 7906 7906 8.888407e-01
[23273,] 7907 395 -4.443962e-01
[23274,] 7907 614 -4.443962e-01
[23275,] 7907 7907 8.887924e-01
[23276,] 7908 503 -4.444203e-01
[23277,] 7908 4266 -4.444203e-01
[23278,] 7908 7908 8.888407e-01
[23279,] 7909 351 -4.210526e-01
[23280,] 7909 4563 -4.210526e-01
[23281,] 7909 7909 8.421053e-01
[23282,] 7910 4563 -5.243216e-01
[23283,] 7910 4586 -5.243216e-01
[23284,] 7910 7910 1.048643e+00
[23285,] 7911 4563 -5.331945e-01
[23286,] 7911 4592 -5.331945e-01
[23287,] 7911 7911 1.066389e+00
[23288,] 7912 4267 -5.700369e-01
[23289,] 7912 4569 -5.700369e-01
[23290,] 7912 7912 1.140074e+00
[23291,] 7913 501 -4.444203e-01
[23292,] 7913 4266 -4.444203e-01
[23293,] 7913 7913 8.888407e-01
[23294,] 7914 4563 -6.213592e-01
[23295,] 7914 4579 -6.213592e-01
[23296,] 7914 7914 1.242718e+00
[23297,] 7915 4267 -5.700369e-01
[23298,] 7915 4569 -5.700369e-01
[23299,] 7915 7915 1.140074e+00
[23300,] 7916 4563 -6.213592e-01
[23301,] 7916 4579 -6.213592e-01
[23302,] 7916 7916 1.242718e+00
[23303,] 7917 4266 -5.332986e-01
[23304,] 7917 4563 -5.332986e-01
[23305,] 7917 7917 1.066597e+00
[23306,] 7918 503 -4.444203e-01
[23307,] 7918 4266 -4.444203e-01
[23308,] 7918 7918 8.888407e-01
[23309,] 7919 393 -4.210526e-01
[23310,] 7919 4563 -4.210526e-01
[23311,] 7919 7919 8.421053e-01
[23312,] 7920 500 -4.210526e-01
[23313,] 7920 4563 -4.210526e-01
[23314,] 7920 7920 8.421053e-01
[23315,] 7921 4563 -5.331945e-01
[23316,] 7921 4592 -5.331945e-01
[23317,] 7921 7921 1.066389e+00
[23318,] 7922 351 -4.210526e-01
[23319,] 7922 4563 -4.210526e-01
[23320,] 7922 7922 8.421053e-01
[23321,] 7923 4563 -5.156093e-01
[23322,] 7923 4567 -5.156093e-01
[23323,] 7923 7923 1.031219e+00
[23324,] 7924 393 -4.210526e-01
[23325,] 7924 4563 -4.210526e-01
[23326,] 7924 7924 8.421053e-01
[23327,] 7925 498 -4.210526e-01
[23328,] 7925 4563 -4.210526e-01
[23329,] 7925 7925 8.421053e-01
[23330,] 7926 505 -4.443962e-01
[23331,] 7926 614 -4.443962e-01
[23332,] 7926 7926 8.887924e-01
[23333,] 7927 4563 -6.213592e-01
[23334,] 7927 4579 -6.213592e-01
[23335,] 7927 7927 1.242718e+00
[23336,] 7928 4563 -5.331945e-01
[23337,] 7928 4592 -5.331945e-01
[23338,] 7928 7928 1.066389e+00
[23339,] 7929 499 -4.210526e-01
[23340,] 7929 4563 -4.210526e-01
[23341,] 7929 7929 8.421053e-01
[23342,] 7930 4563 -6.213592e-01
[23343,] 7930 4579 -6.213592e-01
[23344,] 7930 7930 1.242718e+00
[23345,] 7931 393 -4.210526e-01
[23346,] 7931 4563 -4.210526e-01
[23347,] 7931 7931 8.421053e-01
[23348,] 7932 387 -4.210526e-01
[23349,] 7932 4563 -4.210526e-01
[23350,] 7932 7932 8.421053e-01
[23351,] 7933 501 -4.444203e-01
[23352,] 7933 4266 -4.444203e-01
[23353,] 7933 7933 8.888407e-01
[23354,] 7934 504 -4.443962e-01
[23355,] 7934 614 -4.443962e-01
[23356,] 7934 7934 8.887924e-01
[23357,] 7935 4267 -5.700369e-01
[23358,] 7935 4569 -5.700369e-01
[23359,] 7935 7935 1.140074e+00
[23360,] 7936 395 -4.443962e-01
[23361,] 7936 614 -4.443962e-01
[23362,] 7936 7936 8.887924e-01
[23363,] 7937 4267 -5.700369e-01
[23364,] 7937 4569 -5.700369e-01
[23365,] 7937 7937 1.140074e+00
[23366,] 7938 500 -4.210526e-01
[23367,] 7938 4563 -4.210526e-01
[23368,] 7938 7938 8.421053e-01
[23369,] 7939 4267 -5.700369e-01
[23370,] 7939 4569 -5.700369e-01
[23371,] 7939 7939 1.140074e+00
[23372,] 7940 506 -4.210526e-01
[23373,] 7940 4563 -4.210526e-01
[23374,] 7940 7940 8.421053e-01
[23375,] 7941 387 -4.210526e-01
[23376,] 7941 4563 -4.210526e-01
[23377,] 7941 7941 8.421053e-01
[23378,] 7942 4563 -6.213592e-01
[23379,] 7942 4579 -6.213592e-01
[23380,] 7942 7942 1.242718e+00
[23381,] 7943 4563 -9.696970e-01
[23382,] 7943 4595 -9.696970e-01
[23383,] 7943 7943 1.939394e+00
[23384,] 7944 351 -4.210526e-01
[23385,] 7944 4563 -4.210526e-01
[23386,] 7944 7944 8.421053e-01
[23387,] 7945 395 -4.443962e-01
[23388,] 7945 614 -4.443962e-01
[23389,] 7945 7945 8.887924e-01
[23390,] 7946 4267 -5.332639e-01
[23391,] 7946 4563 -5.332639e-01
[23392,] 7946 7946 1.066528e+00
[23393,] 7947 4267 -5.332639e-01
[23394,] 7947 4563 -5.332639e-01
[23395,] 7947 7947 1.066528e+00
[23396,] 7948 4563 -5.156093e-01
[23397,] 7948 4567 -5.156093e-01
[23398,] 7948 7948 1.031219e+00
[23399,] 7949 4563 -6.213592e-01
[23400,] 7949 4579 -6.213592e-01
[23401,] 7949 7949 1.242718e+00
[23402,] 7950 4563 -6.213592e-01
[23403,] 7950 4579 -6.213592e-01
[23404,] 7950 7950 1.242718e+00
[23405,] 7951 4266 -5.332986e-01
[23406,] 7951 4563 -5.332986e-01
[23407,] 7951 7951 1.066597e+00
[23408,] 7952 4563 -5.161290e-01
[23409,] 7952 4593 -5.161290e-01
[23410,] 7952 7952 1.032258e+00
[23411,] 7953 617 -4.381686e-01
[23412,] 7953 4606 -4.381686e-01
[23413,] 7953 7953 8.763372e-01
[23414,] 7954 617 -4.381686e-01
[23415,] 7954 4606 -4.381686e-01
[23416,] 7954 7954 8.763372e-01
[23417,] 7955 617 -4.381686e-01
[23418,] 7955 4606 -4.381686e-01
[23419,] 7955 7955 8.763372e-01
[23420,] 7956 617 -4.381686e-01
[23421,] 7956 4606 -4.381686e-01
[23422,] 7956 7956 8.763372e-01
[23423,] 7957 617 -4.381686e-01
[23424,] 7957 4606 -4.381686e-01
[23425,] 7957 7957 8.763372e-01
[23426,] 7958 617 -4.381686e-01
[23427,] 7958 4606 -4.381686e-01
[23428,] 7958 7958 8.763372e-01
[23429,] 7959 617 -4.381686e-01
[23430,] 7959 4606 -4.381686e-01
[23431,] 7959 7959 8.763372e-01
[23432,] 7960 617 -4.381686e-01
[23433,] 7960 4606 -4.381686e-01
[23434,] 7960 7960 8.763372e-01
[23435,] 7961 617 -4.381686e-01
[23436,] 7961 4606 -4.381686e-01
[23437,] 7961 7961 8.763372e-01
[23438,] 7962 617 -4.381686e-01
[23439,] 7962 4606 -4.381686e-01
[23440,] 7962 7962 8.763372e-01
[23441,] 7963 617 -4.381686e-01
[23442,] 7963 4606 -4.381686e-01
[23443,] 7963 7963 8.763372e-01
[23444,] 7964 617 -4.381686e-01
[23445,] 7964 4606 -4.381686e-01
[23446,] 7964 7964 8.763372e-01
[23447,] 7965 617 -4.381686e-01
[23448,] 7965 4606 -4.381686e-01
[23449,] 7965 7965 8.763372e-01
[23450,] 7966 617 -4.381686e-01
[23451,] 7966 4606 -4.381686e-01
[23452,] 7966 7966 8.763372e-01
[23453,] 7967 617 -4.381686e-01
[23454,] 7967 4606 -4.381686e-01
[23455,] 7967 7967 8.763372e-01
[23456,] 7968 617 -4.381686e-01
[23457,] 7968 4606 -4.381686e-01
[23458,] 7968 7968 8.763372e-01
[23459,] 7969 617 -4.381686e-01
[23460,] 7969 4606 -4.381686e-01
[23461,] 7969 7969 8.763372e-01
[23462,] 7970 617 -4.381686e-01
[23463,] 7970 4606 -4.381686e-01
[23464,] 7970 7970 8.763372e-01
[23465,] 7971 617 -4.381686e-01
[23466,] 7971 4606 -4.381686e-01
[23467,] 7971 7971 8.763372e-01
[23468,] 7972 617 -4.381686e-01
[23469,] 7972 4606 -4.381686e-01
[23470,] 7972 7972 8.763372e-01
[23471,] 7973 617 -4.381686e-01
[23472,] 7973 4606 -4.381686e-01
[23473,] 7973 7973 8.763372e-01
[23474,] 7974 617 -4.381686e-01
[23475,] 7974 4606 -4.381686e-01
[23476,] 7974 7974 8.763372e-01
[23477,] 7975 617 -4.381686e-01
[23478,] 7975 4606 -4.381686e-01
[23479,] 7975 7975 8.763372e-01
[23480,] 7976 617 -4.381686e-01
[23481,] 7976 4606 -4.381686e-01
[23482,] 7976 7976 8.763372e-01
[23483,] 7977 617 -4.381686e-01
[23484,] 7977 4606 -4.381686e-01
[23485,] 7977 7977 8.763372e-01
[23486,] 7978 617 -4.381686e-01
[23487,] 7978 4606 -4.381686e-01
[23488,] 7978 7978 8.763372e-01
[23489,] 7979 893 -8.648649e-01
[23490,] 7979 4563 -8.648649e-01
[23491,] 7979 7979 1.729730e+00
[23492,] 7980 893 -8.648649e-01
[23493,] 7980 4563 -8.648649e-01
[23494,] 7980 7980 1.729730e+00
[23495,] 7981 893 -8.648649e-01
[23496,] 7981 4563 -8.648649e-01
[23497,] 7981 7981 1.729730e+00
[23498,] 7982 893 -8.648649e-01
[23499,] 7982 4563 -8.648649e-01
[23500,] 7982 7982 1.729730e+00
[23501,] 7983 893 -8.648649e-01
[23502,] 7983 4563 -8.648649e-01
[23503,] 7983 7983 1.729730e+00
[23504,] 7984 893 -8.648649e-01
[23505,] 7984 4563 -8.648649e-01
[23506,] 7984 7984 1.729730e+00
[23507,] 7985 893 -8.648649e-01
[23508,] 7985 4563 -8.648649e-01
[23509,] 7985 7985 1.729730e+00
[23510,] 7986 893 -8.648649e-01
[23511,] 7986 4563 -8.648649e-01
[23512,] 7986 7986 1.729730e+00
[23513,] 7987 893 -8.648649e-01
[23514,] 7987 4563 -8.648649e-01
[23515,] 7987 7987 1.729730e+00
[23516,] 7988 893 -8.648649e-01
[23517,] 7988 4563 -8.648649e-01
[23518,] 7988 7988 1.729730e+00
[23519,] 7989 893 -8.648649e-01
[23520,] 7989 4563 -8.648649e-01
[23521,] 7989 7989 1.729730e+00
[23522,] 7990 893 -8.648649e-01
[23523,] 7990 4563 -8.648649e-01
[23524,] 7990 7990 1.729730e+00
[23525,] 7991 397 -6.153846e-01
[23526,] 7991 4563 -6.153846e-01
[23527,] 7991 7991 1.230769e+00
[23528,] 7992 397 -6.153846e-01
[23529,] 7992 4563 -6.153846e-01
[23530,] 7992 7992 1.230769e+00
[23531,] 7993 397 -6.153846e-01
[23532,] 7993 4563 -6.153846e-01
[23533,] 7993 7993 1.230769e+00
[23534,] 7994 4563 -8.421053e-01
[23535,] 7994 4669 -8.421053e-01
[23536,] 7994 7994 1.684211e+00
[23537,] 7995 4563 -8.421053e-01
[23538,] 7995 4669 -8.421053e-01
[23539,] 7995 7995 1.684211e+00
[23540,] 7996 4563 -8.421053e-01
[23541,] 7996 4669 -8.421053e-01
[23542,] 7996 7996 1.684211e+00
[23543,] 7997 4563 -8.421053e-01
[23544,] 7997 4670 -8.421053e-01
[23545,] 7997 7997 1.684211e+00
[23546,] 7998 4563 -8.421053e-01
[23547,] 7998 4670 -8.421053e-01
[23548,] 7998 7998 1.684211e+00
[23549,] 7999 4563 -8.421053e-01
[23550,] 7999 4670 -8.421053e-01
[23551,] 7999 7999 1.684211e+00
[23552,] 8000 4563 -8.421053e-01
[23553,] 8000 4670 -8.421053e-01
[23554,] 8000 8000 1.684211e+00
[23555,] 8001 4563 -8.421053e-01
[23556,] 8001 4670 -8.421053e-01
[23557,] 8001 8001 1.684211e+00
[23558,] 8002 4563 -8.421053e-01
[23559,] 8002 4670 -8.421053e-01
[23560,] 8002 8002 1.684211e+00
[23561,] 8003 4563 -8.421053e-01
[23562,] 8003 4670 -8.421053e-01
[23563,] 8003 8003 1.684211e+00
[23564,] 8004 4563 -8.421053e-01
[23565,] 8004 4670 -8.421053e-01
[23566,] 8004 8004 1.684211e+00
[23567,] 8005 4266 -9.998169e-01
[23568,] 8005 4671 -9.998169e-01
[23569,] 8005 8005 1.999634e+00
[23570,] 8006 4266 -9.998169e-01
[23571,] 8006 4671 -9.998169e-01
[23572,] 8006 8006 1.999634e+00
[23573,] 8007 4266 -9.998169e-01
[23574,] 8007 4671 -9.998169e-01
[23575,] 8007 8007 1.999634e+00
[23576,] 8008 4266 -9.998169e-01
[23577,] 8008 4671 -9.998169e-01
[23578,] 8008 8008 1.999634e+00
[23579,] 8009 4266 -9.998169e-01
[23580,] 8009 4671 -9.998169e-01
[23581,] 8009 8009 1.999634e+00
[23582,] 8010 4266 -9.998169e-01
[23583,] 8010 4671 -9.998169e-01
[23584,] 8010 8010 1.999634e+00
[23585,] 8011 4266 -9.998169e-01
[23586,] 8011 4671 -9.998169e-01
[23587,] 8011 8011 1.999634e+00
[23588,] 8012 4266 -9.998169e-01
[23589,] 8012 4671 -9.998169e-01
[23590,] 8012 8012 1.999634e+00
[23591,] 8013 4266 -9.998169e-01
[23592,] 8013 4671 -9.998169e-01
[23593,] 8013 8013 1.999634e+00
[23594,] 8014 4266 -9.998169e-01
[23595,] 8014 4671 -9.998169e-01
[23596,] 8014 8014 1.999634e+00
[23597,] 8015 4266 -9.998169e-01
[23598,] 8015 4671 -9.998169e-01
[23599,] 8015 8015 1.999634e+00
[23600,] 8016 4266 -9.998169e-01
[23601,] 8016 4671 -9.998169e-01
[23602,] 8016 8016 1.999634e+00
[23603,] 8017 4266 -9.998169e-01
[23604,] 8017 4671 -9.998169e-01
[23605,] 8017 8017 1.999634e+00
[23606,] 8018 4266 -9.998169e-01
[23607,] 8018 4671 -9.998169e-01
[23608,] 8018 8018 1.999634e+00
[23609,] 8019 4266 -9.998169e-01
[23610,] 8019 4671 -9.998169e-01
[23611,] 8019 8019 1.999634e+00
[23612,] 8020 4266 -9.998169e-01
[23613,] 8020 4672 -9.998169e-01
[23614,] 8020 8020 1.999634e+00
[23615,] 8021 4266 -9.998169e-01
[23616,] 8021 4672 -9.998169e-01
[23617,] 8021 8021 1.999634e+00
[23618,] 8022 4266 -9.998169e-01
[23619,] 8022 4672 -9.998169e-01
[23620,] 8022 8022 1.999634e+00
[23621,] 8023 4266 -9.998169e-01
[23622,] 8023 4672 -9.998169e-01
[23623,] 8023 8023 1.999634e+00
[23624,] 8024 4266 -9.998169e-01
[23625,] 8024 4672 -9.998169e-01
[23626,] 8024 8024 1.999634e+00
[23627,] 8025 4266 -9.998169e-01
[23628,] 8025 4672 -9.998169e-01
[23629,] 8025 8025 1.999634e+00
[23630,] 8026 4266 -9.998169e-01
[23631,] 8026 4672 -9.998169e-01
[23632,] 8026 8026 1.999634e+00
[23633,] 8027 4266 -9.998169e-01
[23634,] 8027 4672 -9.998169e-01
[23635,] 8027 8027 1.999634e+00
[23636,] 8028 4266 -9.998169e-01
[23637,] 8028 4672 -9.998169e-01
[23638,] 8028 8028 1.999634e+00
[23639,] 8029 4266 -9.998169e-01
[23640,] 8029 4672 -9.998169e-01
[23641,] 8029 8029 1.999634e+00
[23642,] 8030 4266 -9.998169e-01
[23643,] 8030 4672 -9.998169e-01
[23644,] 8030 8030 1.999634e+00
[23645,] 8031 4266 -9.998169e-01
[23646,] 8031 4672 -9.998169e-01
[23647,] 8031 8031 1.999634e+00
[23648,] 8032 4266 -9.998169e-01
[23649,] 8032 4672 -9.998169e-01
[23650,] 8032 8032 1.999634e+00
[23651,] 8033 4266 -9.998169e-01
[23652,] 8033 4672 -9.998169e-01
[23653,] 8033 8033 1.999634e+00
[23654,] 8034 4266 -9.998169e-01
[23655,] 8034 4672 -9.998169e-01
[23656,] 8034 8034 1.999634e+00
[23657,] 8035 4266 -9.998169e-01
[23658,] 8035 4672 -9.998169e-01
[23659,] 8035 8035 1.999634e+00
[23660,] 8036 4266 -9.998169e-01
[23661,] 8036 4672 -9.998169e-01
[23662,] 8036 8036 1.999634e+00
[23663,] 8037 4266 -9.998169e-01
[23664,] 8037 4672 -9.998169e-01
[23665,] 8037 8037 1.999634e+00
[23666,] 8038 4266 -9.998169e-01
[23667,] 8038 4672 -9.998169e-01
[23668,] 8038 8038 1.999634e+00
[23669,] 8039 4266 -9.998169e-01
[23670,] 8039 4672 -9.998169e-01
[23671,] 8039 8039 1.999634e+00
[23672,] 8040 4266 -9.998169e-01
[23673,] 8040 4673 -9.998169e-01
[23674,] 8040 8040 1.999634e+00
[23675,] 8041 4266 -9.998169e-01
[23676,] 8041 4673 -9.998169e-01
[23677,] 8041 8041 1.999634e+00
[23678,] 8042 4266 -9.998169e-01
[23679,] 8042 4673 -9.998169e-01
[23680,] 8042 8042 1.999634e+00
[23681,] 8043 4266 -9.998169e-01
[23682,] 8043 4673 -9.998169e-01
[23683,] 8043 8043 1.999634e+00
[23684,] 8044 4266 -9.998169e-01
[23685,] 8044 4673 -9.998169e-01
[23686,] 8044 8044 1.999634e+00
[23687,] 8045 4266 -9.998169e-01
[23688,] 8045 4673 -9.998169e-01
[23689,] 8045 8045 1.999634e+00
[23690,] 8046 4266 -9.998169e-01
[23691,] 8046 4673 -9.998169e-01
[23692,] 8046 8046 1.999634e+00
[23693,] 8047 4266 -9.998169e-01
[23694,] 8047 4673 -9.998169e-01
[23695,] 8047 8047 1.999634e+00
[23696,] 8048 4266 -9.998169e-01
[23697,] 8048 4673 -9.998169e-01
[23698,] 8048 8048 1.999634e+00
[23699,] 8049 4266 -9.998169e-01
[23700,] 8049 4673 -9.998169e-01
[23701,] 8049 8049 1.999634e+00
[23702,] 8050 4266 -9.998169e-01
[23703,] 8050 4673 -9.998169e-01
[23704,] 8050 8050 1.999634e+00
[23705,] 8051 4266 -9.998169e-01
[23706,] 8051 4673 -9.998169e-01
[23707,] 8051 8051 1.999634e+00
[23708,] 8052 4266 -9.998169e-01
[23709,] 8052 4673 -9.998169e-01
[23710,] 8052 8052 1.999634e+00
[23711,] 8053 4266 -9.998169e-01
[23712,] 8053 4673 -9.998169e-01
[23713,] 8053 8053 1.999634e+00
[23714,] 8054 4266 -9.998169e-01
[23715,] 8054 4673 -9.998169e-01
[23716,] 8054 8054 1.999634e+00
[23717,] 8055 4266 -9.998169e-01
[23718,] 8055 4673 -9.998169e-01
[23719,] 8055 8055 1.999634e+00
[23720,] 8056 4563 -8.421053e-01
[23721,] 8056 4674 -8.421053e-01
[23722,] 8056 8056 1.684211e+00
[23723,] 8057 4563 -8.421053e-01
[23724,] 8057 4674 -8.421053e-01
[23725,] 8057 8057 1.684211e+00
[23726,] 8058 4563 -8.421053e-01
[23727,] 8058 4674 -8.421053e-01
[23728,] 8058 8058 1.684211e+00
[23729,] 8059 4563 -8.421053e-01
[23730,] 8059 4675 -8.421053e-01
[23731,] 8059 8059 1.684211e+00
[23732,] 8060 4563 -8.421053e-01
[23733,] 8060 4675 -8.421053e-01
[23734,] 8060 8060 1.684211e+00
[23735,] 8061 4563 -8.421053e-01
[23736,] 8061 4675 -8.421053e-01
[23737,] 8061 8061 1.684211e+00
[23738,] 8062 4563 -8.421053e-01
[23739,] 8062 4675 -8.421053e-01
[23740,] 8062 8062 1.684211e+00
[23741,] 8063 4563 -8.421053e-01
[23742,] 8063 4675 -8.421053e-01
[23743,] 8063 8063 1.684211e+00
[23744,] 8064 4563 -8.421053e-01
[23745,] 8064 4676 -8.421053e-01
[23746,] 8064 8064 1.684211e+00
[23747,] 8065 4563 -8.421053e-01
[23748,] 8065 4676 -8.421053e-01
[23749,] 8065 8065 1.684211e+00
[23750,] 8066 4563 -8.421053e-01
[23751,] 8066 4676 -8.421053e-01
[23752,] 8066 8066 1.684211e+00
[23753,] 8067 614 -9.996339e-01
[23754,] 8067 4677 -9.996339e-01
[23755,] 8067 8067 1.999268e+00
[23756,] 8068 614 -9.996339e-01
[23757,] 8068 4677 -9.996339e-01
[23758,] 8068 8068 1.999268e+00
[23759,] 8069 4563 -8.421053e-01
[23760,] 8069 4678 -8.421053e-01
[23761,] 8069 8069 1.684211e+00
[23762,] 8070 4563 -8.421053e-01
[23763,] 8070 4678 -8.421053e-01
[23764,] 8070 8070 1.684211e+00
[23765,] 8071 4563 -8.421053e-01
[23766,] 8071 4678 -8.421053e-01
[23767,] 8071 8071 1.684211e+00
[23768,] 8072 4563 -8.421053e-01
[23769,] 8072 4678 -8.421053e-01
[23770,] 8072 8072 1.684211e+00
[23771,] 8073 4563 -8.421053e-01
[23772,] 8073 4678 -8.421053e-01
[23773,] 8073 8073 1.684211e+00
[23774,] 8074 4563 -8.421053e-01
[23775,] 8074 4678 -8.421053e-01
[23776,] 8074 8074 1.684211e+00
[23777,] 8075 4563 -8.421053e-01
[23778,] 8075 4678 -8.421053e-01
[23779,] 8075 8075 1.684211e+00
[23780,] 8076 4563 -8.421053e-01
[23781,] 8076 4678 -8.421053e-01
[23782,] 8076 8076 1.684211e+00
[23783,] 8077 4563 -8.421053e-01
[23784,] 8077 4678 -8.421053e-01
[23785,] 8077 8077 1.684211e+00
[23786,] 8078 4563 -8.421053e-01
[23787,] 8078 4678 -8.421053e-01
[23788,] 8078 8078 1.684211e+00
[23789,] 8079 4563 -8.421053e-01
[23790,] 8079 4678 -8.421053e-01
[23791,] 8079 8079 1.684211e+00
[23792,] 8080 4563 -8.421053e-01
[23793,] 8080 4678 -8.421053e-01
[23794,] 8080 8080 1.684211e+00
[23795,] 8081 4563 -8.421053e-01
[23796,] 8081 4679 -8.421053e-01
[23797,] 8081 8081 1.684211e+00
[23798,] 8082 4563 -8.421053e-01
[23799,] 8082 4679 -8.421053e-01
[23800,] 8082 8082 1.684211e+00
[23801,] 8083 4563 -8.421053e-01
[23802,] 8083 4679 -8.421053e-01
[23803,] 8083 8083 1.684211e+00
[23804,] 8084 4563 -8.421053e-01
[23805,] 8084 4679 -8.421053e-01
[23806,] 8084 8084 1.684211e+00
[23807,] 8085 4563 -8.421053e-01
[23808,] 8085 4679 -8.421053e-01
[23809,] 8085 8085 1.684211e+00
[23810,] 8086 4563 -8.421053e-01
[23811,] 8086 4679 -8.421053e-01
[23812,] 8086 8086 1.684211e+00
[23813,] 8087 4563 -8.421053e-01
[23814,] 8087 4679 -8.421053e-01
[23815,] 8087 8087 1.684211e+00
[23816,] 8088 4563 -8.421053e-01
[23817,] 8088 4679 -8.421053e-01
[23818,] 8088 8088 1.684211e+00
[23819,] 8089 4563 -8.421053e-01
[23820,] 8089 4679 -8.421053e-01
[23821,] 8089 8089 1.684211e+00
[23822,] 8090 4563 -8.421053e-01
[23823,] 8090 4679 -8.421053e-01
[23824,] 8090 8090 1.684211e+00
[23825,] 8091 4563 -8.421053e-01
[23826,] 8091 4679 -8.421053e-01
[23827,] 8091 8091 1.684211e+00
[23828,] 8092 4563 -8.421053e-01
[23829,] 8092 4679 -8.421053e-01
[23830,] 8092 8092 1.684211e+00
[23831,] 8093 4563 -8.421053e-01
[23832,] 8093 4679 -8.421053e-01
[23833,] 8093 8093 1.684211e+00
[23834,] 8094 4563 -8.421053e-01
[23835,] 8094 4679 -8.421053e-01
[23836,] 8094 8094 1.684211e+00
[23837,] 8095 4563 -8.421053e-01
[23838,] 8095 4679 -8.421053e-01
[23839,] 8095 8095 1.684211e+00
[23840,] 8096 4563 -8.421053e-01
[23841,] 8096 4679 -8.421053e-01
[23842,] 8096 8096 1.684211e+00
[23843,] 8097 4563 -8.421053e-01
[23844,] 8097 4679 -8.421053e-01
[23845,] 8097 8097 1.684211e+00
[23846,] 8098 4563 -8.421053e-01
[23847,] 8098 4679 -8.421053e-01
[23848,] 8098 8098 1.684211e+00
[23849,] 8099 4563 -8.421053e-01
[23850,] 8099 4679 -8.421053e-01
[23851,] 8099 8099 1.684211e+00
[23852,] 8100 4563 -8.421053e-01
[23853,] 8100 4679 -8.421053e-01
[23854,] 8100 8100 1.684211e+00
[23855,] 8101 4563 -8.421053e-01
[23856,] 8101 4679 -8.421053e-01
[23857,] 8101 8101 1.684211e+00
[23858,] 8102 4563 -8.421053e-01
[23859,] 8102 4679 -8.421053e-01
[23860,] 8102 8102 1.684211e+00
[23861,] 8103 4563 -8.421053e-01
[23862,] 8103 4682 -8.421053e-01
[23863,] 8103 8103 1.684211e+00
[23864,] 8104 4563 -8.421053e-01
[23865,] 8104 4682 -8.421053e-01
[23866,] 8104 8104 1.684211e+00
[23867,] 8105 4563 -8.421053e-01
[23868,] 8105 4682 -8.421053e-01
[23869,] 8105 8105 1.684211e+00
[23870,] 8106 4563 -8.421053e-01
[23871,] 8106 4682 -8.421053e-01
[23872,] 8106 8106 1.684211e+00
[23873,] 8107 4563 -8.421053e-01
[23874,] 8107 4682 -8.421053e-01
[23875,] 8107 8107 1.684211e+00
[23876,] 8108 4563 -8.421053e-01
[23877,] 8108 4682 -8.421053e-01
[23878,] 8108 8108 1.684211e+00
[23879,] 8109 4563 -8.421053e-01
[23880,] 8109 4682 -8.421053e-01
[23881,] 8109 8109 1.684211e+00
[23882,] 8110 4563 -8.421053e-01
[23883,] 8110 4682 -8.421053e-01
[23884,] 8110 8110 1.684211e+00
[23885,] 8111 4563 -8.421053e-01
[23886,] 8111 4682 -8.421053e-01
[23887,] 8111 8111 1.684211e+00
[23888,] 8112 4563 -8.421053e-01
[23889,] 8112 4682 -8.421053e-01
[23890,] 8112 8112 1.684211e+00
[23891,] 8113 4563 -8.421053e-01
[23892,] 8113 4682 -8.421053e-01
[23893,] 8113 8113 1.684211e+00
[23894,] 8114 4563 -8.421053e-01
[23895,] 8114 4682 -8.421053e-01
[23896,] 8114 8114 1.684211e+00
[23897,] 8115 4563 -8.421053e-01
[23898,] 8115 4682 -8.421053e-01
[23899,] 8115 8115 1.684211e+00
[23900,] 8116 4563 -8.421053e-01
[23901,] 8116 4682 -8.421053e-01
[23902,] 8116 8116 1.684211e+00
[23903,] 8117 4563 -8.421053e-01
[23904,] 8117 4682 -8.421053e-01
[23905,] 8117 8117 1.684211e+00
[23906,] 8118 4563 -8.421053e-01
[23907,] 8118 4682 -8.421053e-01
[23908,] 8118 8118 1.684211e+00
[23909,] 8119 4563 -8.421053e-01
[23910,] 8119 4682 -8.421053e-01
[23911,] 8119 8119 1.684211e+00
[23912,] 8120 4563 -8.421053e-01
[23913,] 8120 4682 -8.421053e-01
[23914,] 8120 8120 1.684211e+00
[23915,] 8121 4563 -8.421053e-01
[23916,] 8121 4682 -8.421053e-01
[23917,] 8121 8121 1.684211e+00
[23918,] 8122 4563 -8.421053e-01
[23919,] 8122 4682 -8.421053e-01
[23920,] 8122 8122 1.684211e+00
[23921,] 8123 4563 -8.421053e-01
[23922,] 8123 4682 -8.421053e-01
[23923,] 8123 8123 1.684211e+00
[23924,] 8124 4563 -8.421053e-01
[23925,] 8124 4682 -8.421053e-01
[23926,] 8124 8124 1.684211e+00
[23927,] 8125 4563 -8.421053e-01
[23928,] 8125 4682 -8.421053e-01
[23929,] 8125 8125 1.684211e+00
[23930,] 8126 4563 -8.421053e-01
[23931,] 8126 4682 -8.421053e-01
[23932,] 8126 8126 1.684211e+00
[23933,] 8127 4563 -8.421053e-01
[23934,] 8127 4682 -8.421053e-01
[23935,] 8127 8127 1.684211e+00
[23936,] 8128 4563 -8.421053e-01
[23937,] 8128 4682 -8.421053e-01
[23938,] 8128 8128 1.684211e+00
[23939,] 8129 4563 -8.421053e-01
[23940,] 8129 4682 -8.421053e-01
[23941,] 8129 8129 1.684211e+00
[23942,] 8130 4563 -8.421053e-01
[23943,] 8130 4682 -8.421053e-01
[23944,] 8130 8130 1.684211e+00
[23945,] 8131 4563 -8.421053e-01
[23946,] 8131 4684 -8.421053e-01
[23947,] 8131 8131 1.684211e+00
[23948,] 8132 4563 -8.421053e-01
[23949,] 8132 4684 -8.421053e-01
[23950,] 8132 8132 1.684211e+00
[23951,] 8133 4563 -8.421053e-01
[23952,] 8133 4684 -8.421053e-01
[23953,] 8133 8133 1.684211e+00
[23954,] 8134 4563 -8.421053e-01
[23955,] 8134 4684 -8.421053e-01
[23956,] 8134 8134 1.684211e+00
[23957,] 8135 4563 -8.421053e-01
[23958,] 8135 4684 -8.421053e-01
[23959,] 8135 8135 1.684211e+00
[23960,] 8136 4563 -8.421053e-01
[23961,] 8136 4684 -8.421053e-01
[23962,] 8136 8136 1.684211e+00
[23963,] 8137 4563 -8.421053e-01
[23964,] 8137 4684 -8.421053e-01
[23965,] 8137 8137 1.684211e+00
[23966,] 8138 4563 -8.421053e-01
[23967,] 8138 4684 -8.421053e-01
[23968,] 8138 8138 1.684211e+00
[23969,] 8139 4563 -8.421053e-01
[23970,] 8139 4684 -8.421053e-01
[23971,] 8139 8139 1.684211e+00
[23972,] 8140 4563 -8.421053e-01
[23973,] 8140 4684 -8.421053e-01
[23974,] 8140 8140 1.684211e+00
[23975,] 8141 4563 -8.421053e-01
[23976,] 8141 4684 -8.421053e-01
[23977,] 8141 8141 1.684211e+00
[23978,] 8142 4563 -8.421053e-01
[23979,] 8142 4684 -8.421053e-01
[23980,] 8142 8142 1.684211e+00
[23981,] 8143 4563 -8.421053e-01
[23982,] 8143 4684 -8.421053e-01
[23983,] 8143 8143 1.684211e+00
[23984,] 8144 4563 -8.421053e-01
[23985,] 8144 4684 -8.421053e-01
[23986,] 8144 8144 1.684211e+00
[23987,] 8145 4563 -8.421053e-01
[23988,] 8145 4684 -8.421053e-01
[23989,] 8145 8145 1.684211e+00
[23990,] 8146 4563 -8.421053e-01
[23991,] 8146 4685 -8.421053e-01
[23992,] 8146 8146 1.684211e+00
[23993,] 8147 4563 -8.421053e-01
[23994,] 8147 4685 -8.421053e-01
[23995,] 8147 8147 1.684211e+00
[23996,] 8148 4563 -8.421053e-01
[23997,] 8148 4685 -8.421053e-01
[23998,] 8148 8148 1.684211e+00
[23999,] 8149 4563 -8.421053e-01
[24000,] 8149 4685 -8.421053e-01
[24001,] 8149 8149 1.684211e+00
[24002,] 8150 4563 -8.421053e-01
[24003,] 8150 4685 -8.421053e-01
[24004,] 8150 8150 1.684211e+00
[24005,] 8151 4563 -8.421053e-01
[24006,] 8151 4685 -8.421053e-01
[24007,] 8151 8151 1.684211e+00
[24008,] 8152 4563 -8.421053e-01
[24009,] 8152 4685 -8.421053e-01
[24010,] 8152 8152 1.684211e+00
[24011,] 8153 4563 -8.421053e-01
[24012,] 8153 4685 -8.421053e-01
[24013,] 8153 8153 1.684211e+00
[24014,] 8154 4563 -8.421053e-01
[24015,] 8154 4685 -8.421053e-01
[24016,] 8154 8154 1.684211e+00
[24017,] 8155 4563 -8.421053e-01
[24018,] 8155 4685 -8.421053e-01
[24019,] 8155 8155 1.684211e+00
[24020,] 8156 4563 -8.421053e-01
[24021,] 8156 4685 -8.421053e-01
[24022,] 8156 8156 1.684211e+00
[24023,] 8157 4563 -8.421053e-01
[24024,] 8157 4685 -8.421053e-01
[24025,] 8157 8157 1.684211e+00
[24026,] 8158 4563 -8.421053e-01
[24027,] 8158 4685 -8.421053e-01
[24028,] 8158 8158 1.684211e+00
[24029,] 8159 4563 -8.421053e-01
[24030,] 8159 4686 -8.421053e-01
[24031,] 8159 8159 1.684211e+00
[24032,] 8160 4563 -8.421053e-01
[24033,] 8160 4686 -8.421053e-01
[24034,] 8160 8160 1.684211e+00
[24035,] 8161 4563 -8.421053e-01
[24036,] 8161 4686 -8.421053e-01
[24037,] 8161 8161 1.684211e+00
[24038,] 8162 4563 -8.421053e-01
[24039,] 8162 4686 -8.421053e-01
[24040,] 8162 8162 1.684211e+00
[24041,] 8163 4563 -8.421053e-01
[24042,] 8163 4686 -8.421053e-01
[24043,] 8163 8163 1.684211e+00
[24044,] 8164 4563 -8.421053e-01
[24045,] 8164 4686 -8.421053e-01
[24046,] 8164 8164 1.684211e+00
[24047,] 8165 4563 -8.421053e-01
[24048,] 8165 4686 -8.421053e-01
[24049,] 8165 8165 1.684211e+00
[24050,] 8166 4563 -8.421053e-01
[24051,] 8166 4686 -8.421053e-01
[24052,] 8166 8166 1.684211e+00
[24053,] 8167 4563 -8.421053e-01
[24054,] 8167 4686 -8.421053e-01
[24055,] 8167 8167 1.684211e+00
[24056,] 8168 4563 -8.421053e-01
[24057,] 8168 4686 -8.421053e-01
[24058,] 8168 8168 1.684211e+00
[24059,] 8169 4563 -8.421053e-01
[24060,] 8169 4686 -8.421053e-01
[24061,] 8169 8169 1.684211e+00
[24062,] 8170 4563 -8.421053e-01
[24063,] 8170 4686 -8.421053e-01
[24064,] 8170 8170 1.684211e+00
[24065,] 8171 4563 -8.421053e-01
[24066,] 8171 4686 -8.421053e-01
[24067,] 8171 8171 1.684211e+00
[24068,] 8172 4563 -8.421053e-01
[24069,] 8172 4686 -8.421053e-01
[24070,] 8172 8172 1.684211e+00
[24071,] 8173 4563 -8.421053e-01
[24072,] 8173 4686 -8.421053e-01
[24073,] 8173 8173 1.684211e+00
[24074,] 8174 4563 -8.421053e-01
[24075,] 8174 4686 -8.421053e-01
[24076,] 8174 8174 1.684211e+00
[24077,] 8175 4563 -8.421053e-01
[24078,] 8175 4686 -8.421053e-01
[24079,] 8175 8175 1.684211e+00
[24080,] 8176 4563 -8.421053e-01
[24081,] 8176 4686 -8.421053e-01
[24082,] 8176 8176 1.684211e+00
[24083,] 8177 4563 -8.421053e-01
[24084,] 8177 4686 -8.421053e-01
[24085,] 8177 8177 1.684211e+00
[24086,] 8178 4563 -8.421053e-01
[24087,] 8178 4686 -8.421053e-01
[24088,] 8178 8178 1.684211e+00
[24089,] 8179 4563 -8.421053e-01
[24090,] 8179 4686 -8.421053e-01
[24091,] 8179 8179 1.684211e+00
[24092,] 8180 4563 -8.421053e-01
[24093,] 8180 4686 -8.421053e-01
[24094,] 8180 8180 1.684211e+00
[24095,] 8181 4563 -8.421053e-01
[24096,] 8181 4686 -8.421053e-01
[24097,] 8181 8181 1.684211e+00
[24098,] 8182 4563 -8.421053e-01
[24099,] 8182 4686 -8.421053e-01
[24100,] 8182 8182 1.684211e+00
[24101,] 8183 4563 -8.421053e-01
[24102,] 8183 4686 -8.421053e-01
[24103,] 8183 8183 1.684211e+00
[24104,] 8184 4563 -8.421053e-01
[24105,] 8184 4686 -8.421053e-01
[24106,] 8184 8184 1.684211e+00
[24107,] 8185 4563 -8.421053e-01
[24108,] 8185 4686 -8.421053e-01
[24109,] 8185 8185 1.684211e+00
[24110,] 8186 4563 -8.421053e-01
[24111,] 8186 4686 -8.421053e-01
[24112,] 8186 8186 1.684211e+00
[24113,] 8187 4563 -8.421053e-01
[24114,] 8187 4686 -8.421053e-01
[24115,] 8187 8187 1.684211e+00
[24116,] 8188 4563 -8.421053e-01
[24117,] 8188 4686 -8.421053e-01
[24118,] 8188 8188 1.684211e+00
[24119,] 8189 4563 -8.421053e-01
[24120,] 8189 4686 -8.421053e-01
[24121,] 8189 8189 1.684211e+00
[24122,] 8190 4563 -8.421053e-01
[24123,] 8190 4686 -8.421053e-01
[24124,] 8190 8190 1.684211e+00
[24125,] 8191 4563 -8.421053e-01
[24126,] 8191 4686 -8.421053e-01
[24127,] 8191 8191 1.684211e+00
[24128,] 8192 4563 -8.421053e-01
[24129,] 8192 4686 -8.421053e-01
[24130,] 8192 8192 1.684211e+00
[24131,] 8193 4563 -8.421053e-01
[24132,] 8193 4686 -8.421053e-01
[24133,] 8193 8193 1.684211e+00
[24134,] 8194 4563 -8.421053e-01
[24135,] 8194 4686 -8.421053e-01
[24136,] 8194 8194 1.684211e+00
[24137,] 8195 4563 -8.421053e-01
[24138,] 8195 4686 -8.421053e-01
[24139,] 8195 8195 1.684211e+00
[24140,] 8196 4563 -8.421053e-01
[24141,] 8196 4686 -8.421053e-01
[24142,] 8196 8196 1.684211e+00
[24143,] 8197 4563 -8.421053e-01
[24144,] 8197 4686 -8.421053e-01
[24145,] 8197 8197 1.684211e+00
[24146,] 8198 4563 -8.421053e-01
[24147,] 8198 4686 -8.421053e-01
[24148,] 8198 8198 1.684211e+00
[24149,] 8199 4563 -8.421053e-01
[24150,] 8199 4686 -8.421053e-01
[24151,] 8199 8199 1.684211e+00
[24152,] 8200 4563 -8.421053e-01
[24153,] 8200 4686 -8.421053e-01
[24154,] 8200 8200 1.684211e+00
[24155,] 8201 4563 -8.421053e-01
[24156,] 8201 4686 -8.421053e-01
[24157,] 8201 8201 1.684211e+00
[24158,] 8202 4563 -8.421053e-01
[24159,] 8202 4686 -8.421053e-01
[24160,] 8202 8202 1.684211e+00
[24161,] 8203 4563 -8.421053e-01
[24162,] 8203 4686 -8.421053e-01
[24163,] 8203 8203 1.684211e+00
[24164,] 8204 4563 -8.421053e-01
[24165,] 8204 4686 -8.421053e-01
[24166,] 8204 8204 1.684211e+00
[24167,] 8205 4563 -8.421053e-01
[24168,] 8205 4686 -8.421053e-01
[24169,] 8205 8205 1.684211e+00
[24170,] 8206 4563 -8.421053e-01
[24171,] 8206 4686 -8.421053e-01
[24172,] 8206 8206 1.684211e+00
[24173,] 8207 4563 -8.421053e-01
[24174,] 8207 4686 -8.421053e-01
[24175,] 8207 8207 1.684211e+00
[24176,] 8208 4563 -8.421053e-01
[24177,] 8208 4686 -8.421053e-01
[24178,] 8208 8208 1.684211e+00
[24179,] 8209 4563 -8.421053e-01
[24180,] 8209 4688 -8.421053e-01
[24181,] 8209 8209 1.684211e+00
[24182,] 8210 4563 -8.421053e-01
[24183,] 8210 4688 -8.421053e-01
[24184,] 8210 8210 1.684211e+00
[24185,] 8211 4563 -8.421053e-01
[24186,] 8211 4688 -8.421053e-01
[24187,] 8211 8211 1.684211e+00
[24188,] 8212 4563 -8.421053e-01
[24189,] 8212 4688 -8.421053e-01
[24190,] 8212 8212 1.684211e+00
[24191,] 8213 4563 -8.421053e-01
[24192,] 8213 4688 -8.421053e-01
[24193,] 8213 8213 1.684211e+00
[24194,] 8214 4563 -8.421053e-01
[24195,] 8214 4688 -8.421053e-01
[24196,] 8214 8214 1.684211e+00
[24197,] 8215 4563 -8.421053e-01
[24198,] 8215 4688 -8.421053e-01
[24199,] 8215 8215 1.684211e+00
[24200,] 8216 4563 -8.421053e-01
[24201,] 8216 4688 -8.421053e-01
[24202,] 8216 8216 1.684211e+00
[24203,] 8217 507 -6.153846e-01
[24204,] 8217 4563 -6.153846e-01
[24205,] 8217 8217 1.230769e+00
[24206,] 8218 507 -6.153846e-01
[24207,] 8218 4563 -6.153846e-01
[24208,] 8218 8218 1.230769e+00
[24209,] 8219 507 -6.153846e-01
[24210,] 8219 4563 -6.153846e-01
[24211,] 8219 8219 1.230769e+00
[24212,] 8220 508 -6.649351e-01
[24213,] 8220 688 -6.649351e-01
[24214,] 8220 8220 1.329870e+00
[24215,] 8221 508 -6.649351e-01
[24216,] 8221 688 -6.649351e-01
[24217,] 8221 8221 1.329870e+00
[24218,] 8222 508 -6.649351e-01
[24219,] 8222 688 -6.649351e-01
[24220,] 8222 8222 1.329870e+00
[24221,] 8223 508 -6.649351e-01
[24222,] 8223 688 -6.649351e-01
[24223,] 8223 8223 1.329870e+00
[24224,] 8224 508 -6.649351e-01
[24225,] 8224 688 -6.649351e-01
[24226,] 8224 8224 1.329870e+00
[24227,] 8225 508 -6.649351e-01
[24228,] 8225 688 -6.649351e-01
[24229,] 8225 8225 1.329870e+00
[24230,] 8226 508 -6.649351e-01
[24231,] 8226 688 -6.649351e-01
[24232,] 8226 8226 1.329870e+00
[24233,] 8227 508 -6.649351e-01
[24234,] 8227 688 -6.649351e-01
[24235,] 8227 8227 1.329870e+00
[24236,] 8228 508 -6.649351e-01
[24237,] 8228 688 -6.649351e-01
[24238,] 8228 8228 1.329870e+00
[24239,] 8229 508 -6.649351e-01
[24240,] 8229 688 -6.649351e-01
[24241,] 8229 8229 1.329870e+00
[24242,] 8230 508 -6.649351e-01
[24243,] 8230 688 -6.649351e-01
[24244,] 8230 8230 1.329870e+00
[24245,] 8231 508 -6.649351e-01
[24246,] 8231 688 -6.649351e-01
[24247,] 8231 8231 1.329870e+00
[24248,] 8232 508 -6.649351e-01
[24249,] 8232 688 -6.649351e-01
[24250,] 8232 8232 1.329870e+00
[24251,] 8233 508 -6.649351e-01
[24252,] 8233 688 -6.649351e-01
[24253,] 8233 8233 1.329870e+00
[24254,] 8234 508 -6.649351e-01
[24255,] 8234 688 -6.649351e-01
[24256,] 8234 8234 1.329870e+00
[24257,] 8235 508 -6.649351e-01
[24258,] 8235 688 -6.649351e-01
[24259,] 8235 8235 1.329870e+00
[24260,] 8236 508 -6.649351e-01
[24261,] 8236 688 -6.649351e-01
[24262,] 8236 8236 1.329870e+00
[24263,] 8237 508 -6.649351e-01
[24264,] 8237 688 -6.649351e-01
[24265,] 8237 8237 1.329870e+00
[24266,] 8238 508 -6.649351e-01
[24267,] 8238 688 -6.649351e-01
[24268,] 8238 8238 1.329870e+00
[24269,] 8239 508 -6.649351e-01
[24270,] 8239 688 -6.649351e-01
[24271,] 8239 8239 1.329870e+00
[24272,] 8240 508 -6.649351e-01
[24273,] 8240 688 -6.649351e-01
[24274,] 8240 8240 1.329870e+00
[24275,] 8241 508 -6.649351e-01
[24276,] 8241 688 -6.649351e-01
[24277,] 8241 8241 1.329870e+00
[24278,] 8242 508 -6.649351e-01
[24279,] 8242 688 -6.649351e-01
[24280,] 8242 8242 1.329870e+00
[24281,] 8243 508 -6.649351e-01
[24282,] 8243 688 -6.649351e-01
[24283,] 8243 8243 1.329870e+00
[24284,] 8244 508 -6.649351e-01
[24285,] 8244 688 -6.649351e-01
[24286,] 8244 8244 1.329870e+00
[24287,] 8245 509 -6.649351e-01
[24288,] 8245 688 -6.649351e-01
[24289,] 8245 8245 1.329870e+00
[24290,] 8246 509 -6.649351e-01
[24291,] 8246 688 -6.649351e-01
[24292,] 8246 8246 1.329870e+00
[24293,] 8247 509 -6.649351e-01
[24294,] 8247 688 -6.649351e-01
[24295,] 8247 8247 1.329870e+00
[24296,] 8248 509 -6.649351e-01
[24297,] 8248 688 -6.649351e-01
[24298,] 8248 8248 1.329870e+00
[24299,] 8249 509 -6.649351e-01
[24300,] 8249 688 -6.649351e-01
[24301,] 8249 8249 1.329870e+00
[24302,] 8250 509 -6.649351e-01
[24303,] 8250 688 -6.649351e-01
[24304,] 8250 8250 1.329870e+00
[24305,] 8251 509 -6.649351e-01
[24306,] 8251 688 -6.649351e-01
[24307,] 8251 8251 1.329870e+00
[24308,] 8252 509 -6.649351e-01
[24309,] 8252 688 -6.649351e-01
[24310,] 8252 8252 1.329870e+00
[24311,] 8253 509 -6.649351e-01
[24312,] 8253 688 -6.649351e-01
[24313,] 8253 8253 1.329870e+00
[24314,] 8254 509 -6.649351e-01
[24315,] 8254 688 -6.649351e-01
[24316,] 8254 8254 1.329870e+00
[24317,] 8255 509 -6.649351e-01
[24318,] 8255 688 -6.649351e-01
[24319,] 8255 8255 1.329870e+00
[24320,] 8256 509 -6.649351e-01
[24321,] 8256 688 -6.649351e-01
[24322,] 8256 8256 1.329870e+00
[24323,] 8257 509 -6.649351e-01
[24324,] 8257 688 -6.649351e-01
[24325,] 8257 8257 1.329870e+00
[24326,] 8258 509 -6.649351e-01
[24327,] 8258 688 -6.649351e-01
[24328,] 8258 8258 1.329870e+00
[24329,] 8259 4563 -8.421053e-01
[24330,] 8259 4692 -8.421053e-01
[24331,] 8259 8259 1.684211e+00
[24332,] 8260 4563 -8.421053e-01
[24333,] 8260 4693 -8.421053e-01
[24334,] 8260 8260 1.684211e+00
[24335,] 8261 4563 -8.421053e-01
[24336,] 8261 4693 -8.421053e-01
[24337,] 8261 8261 1.684211e+00
[24338,] 8262 4563 -8.421053e-01
[24339,] 8262 4693 -8.421053e-01
[24340,] 8262 8262 1.684211e+00
[24341,] 8263 4563 -8.421053e-01
[24342,] 8263 4693 -8.421053e-01
[24343,] 8263 8263 1.684211e+00
[24344,] 8264 4563 -8.421053e-01
[24345,] 8264 4693 -8.421053e-01
[24346,] 8264 8264 1.684211e+00
[24347,] 8265 4563 -8.421053e-01
[24348,] 8265 4693 -8.421053e-01
[24349,] 8265 8265 1.684211e+00
[24350,] 8266 4563 -8.421053e-01
[24351,] 8266 4693 -8.421053e-01
[24352,] 8266 8266 1.684211e+00
[24353,] 8267 4563 -8.421053e-01
[24354,] 8267 4693 -8.421053e-01
[24355,] 8267 8267 1.684211e+00
[24356,] 8268 4563 -8.421053e-01
[24357,] 8268 4693 -8.421053e-01
[24358,] 8268 8268 1.684211e+00
[24359,] 8269 4563 -8.421053e-01
[24360,] 8269 4693 -8.421053e-01
[24361,] 8269 8269 1.684211e+00
[24362,] 8270 4563 -8.421053e-01
[24363,] 8270 4693 -8.421053e-01
[24364,] 8270 8270 1.684211e+00
[24365,] 8271 4563 -8.421053e-01
[24366,] 8271 4693 -8.421053e-01
[24367,] 8271 8271 1.684211e+00
[24368,] 8272 4563 -8.421053e-01
[24369,] 8272 4693 -8.421053e-01
[24370,] 8272 8272 1.684211e+00
[24371,] 8273 4563 -8.421053e-01
[24372,] 8273 4693 -8.421053e-01
[24373,] 8273 8273 1.684211e+00
[24374,] 8274 4563 -8.421053e-01
[24375,] 8274 4693 -8.421053e-01
[24376,] 8274 8274 1.684211e+00
[24377,] 8275 4563 -8.421053e-01
[24378,] 8275 4693 -8.421053e-01
[24379,] 8275 8275 1.684211e+00
[24380,] 8276 4563 -8.421053e-01
[24381,] 8276 4693 -8.421053e-01
[24382,] 8276 8276 1.684211e+00
[24383,] 8277 4563 -8.421053e-01
[24384,] 8277 4694 -8.421053e-01
[24385,] 8277 8277 1.684211e+00
[24386,] 8278 4563 -8.421053e-01
[24387,] 8278 4694 -8.421053e-01
[24388,] 8278 8278 1.684211e+00
[24389,] 8279 4563 -8.421053e-01
[24390,] 8279 4694 -8.421053e-01
[24391,] 8279 8279 1.684211e+00
[24392,] 8280 4563 -8.421053e-01
[24393,] 8280 4694 -8.421053e-01
[24394,] 8280 8280 1.684211e+00
[24395,] 8281 4563 -8.421053e-01
[24396,] 8281 4694 -8.421053e-01
[24397,] 8281 8281 1.684211e+00
[24398,] 8282 4563 -8.421053e-01
[24399,] 8282 4694 -8.421053e-01
[24400,] 8282 8282 1.684211e+00
[24401,] 8283 4563 -8.421053e-01
[24402,] 8283 4694 -8.421053e-01
[24403,] 8283 8283 1.684211e+00
[24404,] 8284 4563 -8.421053e-01
[24405,] 8284 4694 -8.421053e-01
[24406,] 8284 8284 1.684211e+00
[24407,] 8285 4563 -8.421053e-01
[24408,] 8285 4694 -8.421053e-01
[24409,] 8285 8285 1.684211e+00
[24410,] 8286 4563 -8.421053e-01
[24411,] 8286 4694 -8.421053e-01
[24412,] 8286 8286 1.684211e+00
[24413,] 8287 4563 -8.421053e-01
[24414,] 8287 4694 -8.421053e-01
[24415,] 8287 8287 1.684211e+00
[24416,] 8288 4563 -8.421053e-01
[24417,] 8288 4694 -8.421053e-01
[24418,] 8288 8288 1.684211e+00
[24419,] 8289 4563 -8.421053e-01
[24420,] 8289 4695 -8.421053e-01
[24421,] 8289 8289 1.684211e+00
[24422,] 8290 4563 -8.421053e-01
[24423,] 8290 4695 -8.421053e-01
[24424,] 8290 8290 1.684211e+00
[24425,] 8291 4563 -8.421053e-01
[24426,] 8291 4695 -8.421053e-01
[24427,] 8291 8291 1.684211e+00
[24428,] 8292 4563 -8.421053e-01
[24429,] 8292 4695 -8.421053e-01
[24430,] 8292 8292 1.684211e+00
[24431,] 8293 4563 -8.421053e-01
[24432,] 8293 4695 -8.421053e-01
[24433,] 8293 8293 1.684211e+00
[24434,] 8294 4563 -8.421053e-01
[24435,] 8294 4695 -8.421053e-01
[24436,] 8294 8294 1.684211e+00
[24437,] 8295 4563 -8.421053e-01
[24438,] 8295 4695 -8.421053e-01
[24439,] 8295 8295 1.684211e+00
[24440,] 8296 4563 -8.421053e-01
[24441,] 8296 4695 -8.421053e-01
[24442,] 8296 8296 1.684211e+00
[24443,] 8297 4563 -8.421053e-01
[24444,] 8297 4695 -8.421053e-01
[24445,] 8297 8297 1.684211e+00
[24446,] 8298 614 -9.996339e-01
[24447,] 8298 4696 -9.996339e-01
[24448,] 8298 8298 1.999268e+00
[24449,] 8299 614 -9.996339e-01
[24450,] 8299 4696 -9.996339e-01
[24451,] 8299 8299 1.999268e+00
[24452,] 8300 614 -9.996339e-01
[24453,] 8300 4696 -9.996339e-01
[24454,] 8300 8300 1.999268e+00
[24455,] 8301 614 -9.996339e-01
[24456,] 8301 4696 -9.996339e-01
[24457,] 8301 8301 1.999268e+00
[24458,] 8302 614 -9.996339e-01
[24459,] 8302 4696 -9.996339e-01
[24460,] 8302 8302 1.999268e+00
[24461,] 8303 614 -9.996339e-01
[24462,] 8303 4696 -9.996339e-01
[24463,] 8303 8303 1.999268e+00
[24464,] 8304 4264 -1.986421e+00
[24465,] 8304 4697 -1.986421e+00
[24466,] 8304 8304 3.972842e+00
[24467,] 8305 4264 -1.986421e+00
[24468,] 8305 4697 -1.986421e+00
[24469,] 8305 8305 3.972842e+00
[24470,] 8306 4264 -1.986421e+00
[24471,] 8306 4697 -1.986421e+00
[24472,] 8306 8306 3.972842e+00
[24473,] 8307 4264 -1.986421e+00
[24474,] 8307 4697 -1.986421e+00
[24475,] 8307 8307 3.972842e+00
[24476,] 8308 4264 -1.986421e+00
[24477,] 8308 4697 -1.986421e+00
[24478,] 8308 8308 3.972842e+00
[24479,] 8309 4264 -1.986421e+00
[24480,] 8309 4697 -1.986421e+00
[24481,] 8309 8309 3.972842e+00
[24482,] 8310 4264 -1.986421e+00
[24483,] 8310 4697 -1.986421e+00
[24484,] 8310 8310 3.972842e+00
[24485,] 8311 4264 -1.986421e+00
[24486,] 8311 4697 -1.986421e+00
[24487,] 8311 8311 3.972842e+00
[24488,] 8312 4264 -1.986421e+00
[24489,] 8312 4697 -1.986421e+00
[24490,] 8312 8312 3.972842e+00
[24491,] 8313 4264 -1.986421e+00
[24492,] 8313 4697 -1.986421e+00
[24493,] 8313 8313 3.972842e+00
[24494,] 8314 4264 -1.986421e+00
[24495,] 8314 4697 -1.986421e+00
[24496,] 8314 8314 3.972842e+00
[24497,] 8315 4264 -1.986421e+00
[24498,] 8315 4697 -1.986421e+00
[24499,] 8315 8315 3.972842e+00
[24500,] 8316 4264 -1.986421e+00
[24501,] 8316 4697 -1.986421e+00
[24502,] 8316 8316 3.972842e+00
[24503,] 8317 4264 -1.986421e+00
[24504,] 8317 4697 -1.986421e+00
[24505,] 8317 8317 3.972842e+00
[24506,] 8318 4264 -1.986421e+00
[24507,] 8318 4697 -1.986421e+00
[24508,] 8318 8318 3.972842e+00
[24509,] 8319 4264 -1.986421e+00
[24510,] 8319 4697 -1.986421e+00
[24511,] 8319 8319 3.972842e+00
[24512,] 8320 4264 -1.986421e+00
[24513,] 8320 4697 -1.986421e+00
[24514,] 8320 8320 3.972842e+00
[24515,] 8321 4264 -1.986421e+00
[24516,] 8321 4697 -1.986421e+00
[24517,] 8321 8321 3.972842e+00
[24518,] 8322 4264 -1.986421e+00
[24519,] 8322 4697 -1.986421e+00
[24520,] 8322 8322 3.972842e+00
[24521,] 8323 4264 -1.986421e+00
[24522,] 8323 4697 -1.986421e+00
[24523,] 8323 8323 3.972842e+00
[24524,] 8324 4264 -1.986421e+00
[24525,] 8324 4697 -1.986421e+00
[24526,] 8324 8324 3.972842e+00
[24527,] 8325 4264 -1.986421e+00
[24528,] 8325 4697 -1.986421e+00
[24529,] 8325 8325 3.972842e+00
[24530,] 8326 4264 -1.986421e+00
[24531,] 8326 4697 -1.986421e+00
[24532,] 8326 8326 3.972842e+00
[24533,] 8327 4264 -1.986421e+00
[24534,] 8327 4697 -1.986421e+00
[24535,] 8327 8327 3.972842e+00
[24536,] 8328 4264 -1.986421e+00
[24537,] 8328 4697 -1.986421e+00
[24538,] 8328 8328 3.972842e+00
[24539,] 8329 4264 -1.986421e+00
[24540,] 8329 4697 -1.986421e+00
[24541,] 8329 8329 3.972842e+00
[24542,] 8330 4264 -1.986421e+00
[24543,] 8330 4697 -1.986421e+00
[24544,] 8330 8330 3.972842e+00
[24545,] 8331 4264 -1.986421e+00
[24546,] 8331 4697 -1.986421e+00
[24547,] 8331 8331 3.972842e+00
[24548,] 8332 4264 -1.986421e+00
[24549,] 8332 4697 -1.986421e+00
[24550,] 8332 8332 3.972842e+00
[24551,] 8333 4264 -1.986421e+00
[24552,] 8333 4697 -1.986421e+00
[24553,] 8333 8333 3.972842e+00
[24554,] 8334 4264 -1.986421e+00
[24555,] 8334 4697 -1.986421e+00
[24556,] 8334 8334 3.972842e+00
[24557,] 8335 4264 -1.986421e+00
[24558,] 8335 4697 -1.986421e+00
[24559,] 8335 8335 3.972842e+00
[24560,] 8336 4264 -1.986421e+00
[24561,] 8336 4697 -1.986421e+00
[24562,] 8336 8336 3.972842e+00
[24563,] 8337 4264 -1.986421e+00
[24564,] 8337 4697 -1.986421e+00
[24565,] 8337 8337 3.972842e+00
[24566,] 8338 4264 -1.986421e+00
[24567,] 8338 4697 -1.986421e+00
[24568,] 8338 8338 3.972842e+00
[24569,] 8339 4264 -1.986421e+00
[24570,] 8339 4697 -1.986421e+00
[24571,] 8339 8339 3.972842e+00
[24572,] 8340 4264 -1.986421e+00
[24573,] 8340 4697 -1.986421e+00
[24574,] 8340 8340 3.972842e+00
[24575,] 8341 4264 -1.986421e+00
[24576,] 8341 4697 -1.986421e+00
[24577,] 8341 8341 3.972842e+00
[24578,] 8342 4264 -1.986421e+00
[24579,] 8342 4697 -1.986421e+00
[24580,] 8342 8342 3.972842e+00
[24581,] 8343 4264 -1.986421e+00
[24582,] 8343 4697 -1.986421e+00
[24583,] 8343 8343 3.972842e+00
[24584,] 8344 4264 -1.986421e+00
[24585,] 8344 4697 -1.986421e+00
[24586,] 8344 8344 3.972842e+00
[24587,] 8345 4264 -1.986421e+00
[24588,] 8345 4697 -1.986421e+00
[24589,] 8345 8345 3.972842e+00
[24590,] 8346 4264 -1.986421e+00
[24591,] 8346 4697 -1.986421e+00
[24592,] 8346 8346 3.972842e+00
[24593,] 8347 4264 -1.986421e+00
[24594,] 8347 4697 -1.986421e+00
[24595,] 8347 8347 3.972842e+00
[24596,] 8348 4264 -1.986421e+00
[24597,] 8348 4697 -1.986421e+00
[24598,] 8348 8348 3.972842e+00
[24599,] 8349 4264 -1.986421e+00
[24600,] 8349 4697 -1.986421e+00
[24601,] 8349 8349 3.972842e+00
[24602,] 8350 4264 -1.986421e+00
[24603,] 8350 4697 -1.986421e+00
[24604,] 8350 8350 3.972842e+00
[24605,] 8351 4264 -1.986421e+00
[24606,] 8351 4697 -1.986421e+00
[24607,] 8351 8351 3.972842e+00
[24608,] 8352 4264 -1.986421e+00
[24609,] 8352 4697 -1.986421e+00
[24610,] 8352 8352 3.972842e+00
[24611,] 8353 4264 -1.986421e+00
[24612,] 8353 4697 -1.986421e+00
[24613,] 8353 8353 3.972842e+00
[24614,] 8354 4264 -1.986421e+00
[24615,] 8354 4697 -1.986421e+00
[24616,] 8354 8354 3.972842e+00
[24617,] 8355 4267 -9.839058e-01
[24618,] 8355 4697 -9.839058e-01
[24619,] 8355 8355 1.967812e+00
[24620,] 8356 4267 -9.839058e-01
[24621,] 8356 4697 -9.839058e-01
[24622,] 8356 8356 1.967812e+00
[24623,] 8357 4267 -9.839058e-01
[24624,] 8357 4697 -9.839058e-01
[24625,] 8357 8357 1.967812e+00
[24626,] 8358 4267 -9.839058e-01
[24627,] 8358 4697 -9.839058e-01
[24628,] 8358 8358 1.967812e+00
[24629,] 8359 4267 -9.839058e-01
[24630,] 8359 4697 -9.839058e-01
[24631,] 8359 8359 1.967812e+00
[24632,] 8360 4267 -9.839058e-01
[24633,] 8360 4697 -9.839058e-01
[24634,] 8360 8360 1.967812e+00
[24635,] 8361 4267 -9.839058e-01
[24636,] 8361 4697 -9.839058e-01
[24637,] 8361 8361 1.967812e+00
[24638,] 8362 4267 -9.839058e-01
[24639,] 8362 4697 -9.839058e-01
[24640,] 8362 8362 1.967812e+00
[24641,] 8363 4267 -9.839058e-01
[24642,] 8363 4697 -9.839058e-01
[24643,] 8363 8363 1.967812e+00
[24644,] 8364 4267 -9.839058e-01
[24645,] 8364 4697 -9.839058e-01
[24646,] 8364 8364 1.967812e+00
[24647,] 8365 4267 -9.839058e-01
[24648,] 8365 4697 -9.839058e-01
[24649,] 8365 8365 1.967812e+00
[24650,] 8366 4267 -9.839058e-01
[24651,] 8366 4697 -9.839058e-01
[24652,] 8366 8366 1.967812e+00
[24653,] 8367 4267 -9.839058e-01
[24654,] 8367 4697 -9.839058e-01
[24655,] 8367 8367 1.967812e+00
[24656,] 8368 4267 -9.839058e-01
[24657,] 8368 4697 -9.839058e-01
[24658,] 8368 8368 1.967812e+00
[24659,] 8369 4267 -9.839058e-01
[24660,] 8369 4697 -9.839058e-01
[24661,] 8369 8369 1.967812e+00
[24662,] 8370 4267 -9.839058e-01
[24663,] 8370 4697 -9.839058e-01
[24664,] 8370 8370 1.967812e+00
[24665,] 8371 4267 -9.839058e-01
[24666,] 8371 4697 -9.839058e-01
[24667,] 8371 8371 1.967812e+00
[24668,] 8372 4267 -9.839058e-01
[24669,] 8372 4697 -9.839058e-01
[24670,] 8372 8372 1.967812e+00
[24671,] 8373 4267 -9.839058e-01
[24672,] 8373 4697 -9.839058e-01
[24673,] 8373 8373 1.967812e+00
[24674,] 8374 4267 -9.839058e-01
[24675,] 8374 4697 -9.839058e-01
[24676,] 8374 8374 1.967812e+00
[24677,] 8375 4267 -9.839058e-01
[24678,] 8375 4697 -9.839058e-01
[24679,] 8375 8375 1.967812e+00
[24680,] 8376 4267 -9.839058e-01
[24681,] 8376 4697 -9.839058e-01
[24682,] 8376 8376 1.967812e+00
[24683,] 8377 4267 -9.839058e-01
[24684,] 8377 4697 -9.839058e-01
[24685,] 8377 8377 1.967812e+00
[24686,] 8378 4267 -9.839058e-01
[24687,] 8378 4697 -9.839058e-01
[24688,] 8378 8378 1.967812e+00
[24689,] 8379 4267 -9.839058e-01
[24690,] 8379 4697 -9.839058e-01
[24691,] 8379 8379 1.967812e+00
[24692,] 8380 4267 -9.839058e-01
[24693,] 8380 4697 -9.839058e-01
[24694,] 8380 8380 1.967812e+00
[24695,] 8381 4267 -9.839058e-01
[24696,] 8381 4697 -9.839058e-01
[24697,] 8381 8381 1.967812e+00
[24698,] 8382 4267 -9.839058e-01
[24699,] 8382 4697 -9.839058e-01
[24700,] 8382 8382 1.967812e+00
[24701,] 8383 4267 -9.839058e-01
[24702,] 8383 4697 -9.839058e-01
[24703,] 8383 8383 1.967812e+00
[24704,] 8384 4263 -9.410683e-01
[24705,] 8384 4266 -9.410683e-01
[24706,] 8384 8384 1.882137e+00
[24707,] 8385 4263 -9.410683e-01
[24708,] 8385 4266 -9.410683e-01
[24709,] 8385 8385 1.882137e+00
[24710,] 8386 4263 -9.410683e-01
[24711,] 8386 4266 -9.410683e-01
[24712,] 8386 8386 1.882137e+00
[24713,] 8387 4263 -9.410683e-01
[24714,] 8387 4266 -9.410683e-01
[24715,] 8387 8387 1.882137e+00
[24716,] 8388 4263 -9.410683e-01
[24717,] 8388 4266 -9.410683e-01
[24718,] 8388 8388 1.882137e+00
[24719,] 8389 4263 -9.410683e-01
[24720,] 8389 4266 -9.410683e-01
[24721,] 8389 8389 1.882137e+00
[24722,] 8390 4263 -9.410683e-01
[24723,] 8390 4266 -9.410683e-01
[24724,] 8390 8390 1.882137e+00
[24725,] 8391 4263 -9.410683e-01
[24726,] 8391 4266 -9.410683e-01
[24727,] 8391 8391 1.882137e+00
[24728,] 8392 4263 -9.410683e-01
[24729,] 8392 4266 -9.410683e-01
[24730,] 8392 8392 1.882137e+00
[24731,] 8393 4263 -9.410683e-01
[24732,] 8393 4266 -9.410683e-01
[24733,] 8393 8393 1.882137e+00
[24734,] 8394 4263 -9.410683e-01
[24735,] 8394 4266 -9.410683e-01
[24736,] 8394 8394 1.882137e+00
[24737,] 8395 4263 -9.410683e-01
[24738,] 8395 4266 -9.410683e-01
[24739,] 8395 8395 1.882137e+00
[24740,] 8396 531 -6.400000e-01
[24741,] 8396 4263 -6.400000e-01
[24742,] 8396 8396 1.280000e+00
[24743,] 8397 531 -6.400000e-01
[24744,] 8397 4263 -6.400000e-01
[24745,] 8397 8397 1.280000e+00
[24746,] 8398 531 -6.400000e-01
[24747,] 8398 4263 -6.400000e-01
[24748,] 8398 8398 1.280000e+00
[24749,] 8399 531 -6.400000e-01
[24750,] 8399 4263 -6.400000e-01
[24751,] 8399 8399 1.280000e+00
[24752,] 8400 531 -6.400000e-01
[24753,] 8400 4263 -6.400000e-01
[24754,] 8400 8400 1.280000e+00
[24755,] 8401 531 -6.400000e-01
[24756,] 8401 4263 -6.400000e-01
[24757,] 8401 8401 1.280000e+00
[24758,] 8402 531 -6.400000e-01
[24759,] 8402 4263 -6.400000e-01
[24760,] 8402 8402 1.280000e+00
[24761,] 8403 531 -6.400000e-01
[24762,] 8403 4263 -6.400000e-01
[24763,] 8403 8403 1.280000e+00
[24764,] 8404 531 -6.400000e-01
[24765,] 8404 4263 -6.400000e-01
[24766,] 8404 8404 1.280000e+00
[24767,] 8405 531 -6.400000e-01
[24768,] 8405 4263 -6.400000e-01
[24769,] 8405 8405 1.280000e+00
[24770,] 8406 531 -6.400000e-01
[24771,] 8406 4263 -6.400000e-01
[24772,] 8406 8406 1.280000e+00
[24773,] 8407 531 -6.400000e-01
[24774,] 8407 4263 -6.400000e-01
[24775,] 8407 8407 1.280000e+00
[24776,] 8408 531 -6.400000e-01
[24777,] 8408 4263 -6.400000e-01
[24778,] 8408 8408 1.280000e+00
[24779,] 8409 531 -6.400000e-01
[24780,] 8409 4263 -6.400000e-01
[24781,] 8409 8409 1.280000e+00
[24782,] 8410 531 -6.400000e-01
[24783,] 8410 4263 -6.400000e-01
[24784,] 8410 8410 1.280000e+00
[24785,] 8411 420 -6.400000e-01
[24786,] 8411 4263 -6.400000e-01
[24787,] 8411 8411 1.280000e+00
[24788,] 8412 420 -6.400000e-01
[24789,] 8412 4263 -6.400000e-01
[24790,] 8412 8412 1.280000e+00
[24791,] 8413 420 -6.400000e-01
[24792,] 8413 4263 -6.400000e-01
[24793,] 8413 8413 1.280000e+00
[24794,] 8414 420 -6.400000e-01
[24795,] 8414 4263 -6.400000e-01
[24796,] 8414 8414 1.280000e+00
[24797,] 8415 420 -6.400000e-01
[24798,] 8415 4263 -6.400000e-01
[24799,] 8415 8415 1.280000e+00
[24800,] 8416 420 -6.400000e-01
[24801,] 8416 4263 -6.400000e-01
[24802,] 8416 8416 1.280000e+00
[24803,] 8417 421 -6.400000e-01
[24804,] 8417 4263 -6.400000e-01
[24805,] 8417 8417 1.280000e+00
[24806,] 8418 421 -6.400000e-01
[24807,] 8418 4263 -6.400000e-01
[24808,] 8418 8418 1.280000e+00
[24809,] 8419 421 -6.400000e-01
[24810,] 8419 4263 -6.400000e-01
[24811,] 8419 8419 1.280000e+00
[24812,] 8420 421 -6.400000e-01
[24813,] 8420 4263 -6.400000e-01
[24814,] 8420 8420 1.280000e+00
[24815,] 8421 421 -6.400000e-01
[24816,] 8421 4263 -6.400000e-01
[24817,] 8421 8421 1.280000e+00
[24818,] 8422 421 -6.400000e-01
[24819,] 8422 4263 -6.400000e-01
[24820,] 8422 8422 1.280000e+00
[24821,] 8423 421 -6.400000e-01
[24822,] 8423 4263 -6.400000e-01
[24823,] 8423 8423 1.280000e+00
[24824,] 8424 4263 -8.421053e-01
[24825,] 8424 4564 -8.421053e-01
[24826,] 8424 8424 1.684211e+00
[24827,] 8425 4263 -8.421053e-01
[24828,] 8425 4564 -8.421053e-01
[24829,] 8425 8425 1.684211e+00
[24830,] 8426 4263 -8.421053e-01
[24831,] 8426 4564 -8.421053e-01
[24832,] 8426 8426 1.684211e+00
[24833,] 8427 4263 -8.421053e-01
[24834,] 8427 4564 -8.421053e-01
[24835,] 8427 8427 1.684211e+00
[24836,] 8428 510 -6.665582e-01
[24837,] 8428 4267 -6.665582e-01
[24838,] 8428 8428 1.333116e+00
[24839,] 8429 510 -6.665582e-01
[24840,] 8429 4267 -6.665582e-01
[24841,] 8429 8429 1.333116e+00
[24842,] 8430 510 -6.665582e-01
[24843,] 8430 4267 -6.665582e-01
[24844,] 8430 8430 1.333116e+00
[24845,] 8431 510 -6.665582e-01
[24846,] 8431 4267 -6.665582e-01
[24847,] 8431 8431 1.333116e+00
[24848,] 8432 510 -6.665582e-01
[24849,] 8432 4267 -6.665582e-01
[24850,] 8432 8432 1.333116e+00
[24851,] 8433 510 -6.665582e-01
[24852,] 8433 4267 -6.665582e-01
[24853,] 8433 8433 1.333116e+00
[24854,] 8434 4264 -9.685505e-01
[24855,] 8434 4267 -9.685505e-01
[24856,] 8434 8434 1.937101e+00
[24857,] 8435 4264 -9.685505e-01
[24858,] 8435 4267 -9.685505e-01
[24859,] 8435 8435 1.937101e+00
[24860,] 8436 4264 -9.685505e-01
[24861,] 8436 4267 -9.685505e-01
[24862,] 8436 8436 1.937101e+00
[24863,] 8437 4264 -9.685505e-01
[24864,] 8437 4267 -9.685505e-01
[24865,] 8437 8437 1.937101e+00
[24866,] 8438 4264 -9.685505e-01
[24867,] 8438 4267 -9.685505e-01
[24868,] 8438 8438 1.937101e+00
[24869,] 8439 4264 -9.685505e-01
[24870,] 8439 4267 -9.685505e-01
[24871,] 8439 8439 1.937101e+00
[24872,] 8440 4264 -9.685505e-01
[24873,] 8440 4267 -9.685505e-01
[24874,] 8440 8440 1.937101e+00
[24875,] 8441 4264 -9.685505e-01
[24876,] 8441 4267 -9.685505e-01
[24877,] 8441 8441 1.937101e+00
[24878,] 8442 4264 -9.685505e-01
[24879,] 8442 4267 -9.685505e-01
[24880,] 8442 8442 1.937101e+00
[24881,] 8443 4264 -9.685505e-01
[24882,] 8443 4267 -9.685505e-01
[24883,] 8443 8443 1.937101e+00
[24884,] 8444 4264 -9.685505e-01
[24885,] 8444 4267 -9.685505e-01
[24886,] 8444 8444 1.937101e+00
[24887,] 8445 4264 -9.685505e-01
[24888,] 8445 4267 -9.685505e-01
[24889,] 8445 8445 1.937101e+00
[24890,] 8446 4264 -9.685505e-01
[24891,] 8446 4267 -9.685505e-01
[24892,] 8446 8446 1.937101e+00
[24893,] 8447 4264 -9.685505e-01
[24894,] 8447 4267 -9.685505e-01
[24895,] 8447 8447 1.937101e+00
[24896,] 8448 4264 -9.685505e-01
[24897,] 8448 4267 -9.685505e-01
[24898,] 8448 8448 1.937101e+00
[24899,] 8449 4264 -9.685505e-01
[24900,] 8449 4267 -9.685505e-01
[24901,] 8449 8449 1.937101e+00
[24902,] 8450 4264 -9.685505e-01
[24903,] 8450 4267 -9.685505e-01
[24904,] 8450 8450 1.937101e+00
[24905,] 8451 4264 -9.685505e-01
[24906,] 8451 4267 -9.685505e-01
[24907,] 8451 8451 1.937101e+00
[24908,] 8452 4264 -9.685505e-01
[24909,] 8452 4267 -9.685505e-01
[24910,] 8452 8452 1.937101e+00
[24911,] 8453 4264 -9.685505e-01
[24912,] 8453 4267 -9.685505e-01
[24913,] 8453 8453 1.937101e+00
[24914,] 8454 4264 -9.685505e-01
[24915,] 8454 4267 -9.685505e-01
[24916,] 8454 8454 1.937101e+00
[24917,] 8455 4264 -9.685505e-01
[24918,] 8455 4267 -9.685505e-01
[24919,] 8455 8455 1.937101e+00
[24920,] 8456 4264 -9.685505e-01
[24921,] 8456 4267 -9.685505e-01
[24922,] 8456 8456 1.937101e+00
[24923,] 8457 4264 -9.685505e-01
[24924,] 8457 4267 -9.685505e-01
[24925,] 8457 8457 1.937101e+00
[24926,] 8458 4264 -9.685505e-01
[24927,] 8458 4267 -9.685505e-01
[24928,] 8458 8458 1.937101e+00
[24929,] 8459 4264 -9.685505e-01
[24930,] 8459 4267 -9.685505e-01
[24931,] 8459 8459 1.937101e+00
[24932,] 8460 4264 -9.685505e-01
[24933,] 8460 4267 -9.685505e-01
[24934,] 8460 8460 1.937101e+00
[24935,] 8461 4264 -9.685505e-01
[24936,] 8461 4267 -9.685505e-01
[24937,] 8461 8461 1.937101e+00
[24938,] 8462 4264 -9.685505e-01
[24939,] 8462 4267 -9.685505e-01
[24940,] 8462 8462 1.937101e+00
[24941,] 8463 4267 -8.886960e-01
[24942,] 8463 4564 -8.886960e-01
[24943,] 8463 8463 1.777392e+00
[24944,] 8464 4267 -8.886960e-01
[24945,] 8464 4564 -8.886960e-01
[24946,] 8464 8464 1.777392e+00
[24947,] 8465 4267 -8.886960e-01
[24948,] 8465 4564 -8.886960e-01
[24949,] 8465 8465 1.777392e+00
[24950,] 8466 4267 -8.886960e-01
[24951,] 8466 4564 -8.886960e-01
[24952,] 8466 8466 1.777392e+00
[24953,] 8467 4267 -8.886960e-01
[24954,] 8467 4564 -8.886960e-01
[24955,] 8467 8467 1.777392e+00
[24956,] 8468 4267 -8.886960e-01
[24957,] 8468 4564 -8.886960e-01
[24958,] 8468 8468 1.777392e+00
[24959,] 8469 4267 -8.886960e-01
[24960,] 8469 4564 -8.886960e-01
[24961,] 8469 8469 1.777392e+00
[24962,] 8470 4267 -8.886960e-01
[24963,] 8470 4564 -8.886960e-01
[24964,] 8470 8470 1.777392e+00
[24965,] 8471 4267 -8.886960e-01
[24966,] 8471 4564 -8.886960e-01
[24967,] 8471 8471 1.777392e+00
[24968,] 8472 4267 -8.886960e-01
[24969,] 8472 4564 -8.886960e-01
[24970,] 8472 8472 1.777392e+00
[24971,] 8473 4267 -8.886960e-01
[24972,] 8473 4564 -8.886960e-01
[24973,] 8473 8473 1.777392e+00
[24974,] 8474 606 -6.665582e-01
[24975,] 8474 4267 -6.665582e-01
[24976,] 8474 8474 1.333116e+00
[24977,] 8475 606 -6.665582e-01
[24978,] 8475 4267 -6.665582e-01
[24979,] 8475 8475 1.333116e+00
[24980,] 8476 606 -6.665582e-01
[24981,] 8476 4267 -6.665582e-01
[24982,] 8476 8476 1.333116e+00
[24983,] 8477 606 -6.665582e-01
[24984,] 8477 4267 -6.665582e-01
[24985,] 8477 8477 1.333116e+00
[24986,] 8478 606 -6.665582e-01
[24987,] 8478 4267 -6.665582e-01
[24988,] 8478 8478 1.333116e+00
[24989,] 8479 606 -6.665582e-01
[24990,] 8479 4267 -6.665582e-01
[24991,] 8479 8479 1.333116e+00
[24992,] 8480 606 -6.665582e-01
[24993,] 8480 4267 -6.665582e-01
[24994,] 8480 8480 1.333116e+00
[24995,] 8481 606 -6.665582e-01
[24996,] 8481 4267 -6.665582e-01
[24997,] 8481 8481 1.333116e+00
[24998,] 8482 606 -6.665582e-01
[24999,] 8482 4267 -6.665582e-01
[25000,] 8482 8482 1.333116e+00
[25001,] 8483 606 -6.665582e-01
[25002,] 8483 4267 -6.665582e-01
[25003,] 8483 8483 1.333116e+00
[25004,] 8484 606 -6.665582e-01
[25005,] 8484 4267 -6.665582e-01
[25006,] 8484 8484 1.333116e+00
[25007,] 8485 606 -6.665582e-01
[25008,] 8485 4267 -6.665582e-01
[25009,] 8485 8485 1.333116e+00
[25010,] 8486 606 -6.665582e-01
[25011,] 8486 4267 -6.665582e-01
[25012,] 8486 8486 1.333116e+00
[25013,] 8487 606 -6.665582e-01
[25014,] 8487 4267 -6.665582e-01
[25015,] 8487 8487 1.333116e+00
[25016,] 8488 606 -6.665582e-01
[25017,] 8488 4267 -6.665582e-01
[25018,] 8488 8488 1.333116e+00
[25019,] 8489 606 -6.665582e-01
[25020,] 8489 4267 -6.665582e-01
[25021,] 8489 8489 1.333116e+00
[25022,] 8490 606 -6.665582e-01
[25023,] 8490 4267 -6.665582e-01
[25024,] 8490 8490 1.333116e+00
[25025,] 8491 606 -6.665582e-01
[25026,] 8491 4267 -6.665582e-01
[25027,] 8491 8491 1.333116e+00
[25028,] 8492 606 -6.665582e-01
[25029,] 8492 4267 -6.665582e-01
[25030,] 8492 8492 1.333116e+00
[25031,] 8493 606 -6.665582e-01
[25032,] 8493 4267 -6.665582e-01
[25033,] 8493 8493 1.333116e+00
[25034,] 8494 606 -6.665582e-01
[25035,] 8494 4267 -6.665582e-01
[25036,] 8494 8494 1.333116e+00
[25037,] 8495 606 -6.665582e-01
[25038,] 8495 4267 -6.665582e-01
[25039,] 8495 8495 1.333116e+00
[25040,] 8496 606 -6.665582e-01
[25041,] 8496 4267 -6.665582e-01
[25042,] 8496 8496 1.333116e+00
[25043,] 8497 606 -6.665582e-01
[25044,] 8497 4267 -6.665582e-01
[25045,] 8497 8497 1.333116e+00
[25046,] 8498 606 -6.665582e-01
[25047,] 8498 4267 -6.665582e-01
[25048,] 8498 8498 1.333116e+00
[25049,] 8499 606 -6.665582e-01
[25050,] 8499 4267 -6.665582e-01
[25051,] 8499 8499 1.333116e+00
[25052,] 8500 606 -6.665582e-01
[25053,] 8500 4267 -6.665582e-01
[25054,] 8500 8500 1.333116e+00
[25055,] 8501 876 -9.694675e-01
[25056,] 8501 4267 -9.694675e-01
[25057,] 8501 8501 1.938935e+00
[25058,] 8502 876 -9.694675e-01
[25059,] 8502 4267 -9.694675e-01
[25060,] 8502 8502 1.938935e+00
[25061,] 8503 876 -9.694675e-01
[25062,] 8503 4267 -9.694675e-01
[25063,] 8503 8503 1.938935e+00
[25064,] 8504 876 -9.694675e-01
[25065,] 8504 4267 -9.694675e-01
[25066,] 8504 8504 1.938935e+00
[25067,] 8505 876 -9.694675e-01
[25068,] 8505 4267 -9.694675e-01
[25069,] 8505 8505 1.938935e+00
[25070,] 8506 876 -9.694675e-01
[25071,] 8506 4267 -9.694675e-01
[25072,] 8506 8506 1.938935e+00
[25073,] 8507 876 -9.694675e-01
[25074,] 8507 4267 -9.694675e-01
[25075,] 8507 8507 1.938935e+00
[25076,] 8508 876 -9.694675e-01
[25077,] 8508 4267 -9.694675e-01
[25078,] 8508 8508 1.938935e+00
[25079,] 8509 876 -9.694675e-01
[25080,] 8509 4267 -9.694675e-01
[25081,] 8509 8509 1.938935e+00
[25082,] 8510 876 -9.694675e-01
[25083,] 8510 4267 -9.694675e-01
[25084,] 8510 8510 1.938935e+00
[25085,] 8511 876 -9.694675e-01
[25086,] 8511 4267 -9.694675e-01
[25087,] 8511 8511 1.938935e+00
[25088,] 8512 876 -9.694675e-01
[25089,] 8512 4267 -9.694675e-01
[25090,] 8512 8512 1.938935e+00
[25091,] 8513 876 -9.694675e-01
[25092,] 8513 4267 -9.694675e-01
[25093,] 8513 8513 1.938935e+00
[25094,] 8514 876 -9.694675e-01
[25095,] 8514 4267 -9.694675e-01
[25096,] 8514 8514 1.938935e+00
[25097,] 8515 876 -9.694675e-01
[25098,] 8515 4267 -9.694675e-01
[25099,] 8515 8515 1.938935e+00
[25100,] 8516 876 -9.694675e-01
[25101,] 8516 4267 -9.694675e-01
[25102,] 8516 8516 1.938935e+00
[25103,] 8517 876 -9.694675e-01
[25104,] 8517 4267 -9.694675e-01
[25105,] 8517 8517 1.938935e+00
[25106,] 8518 876 -9.694675e-01
[25107,] 8518 4267 -9.694675e-01
[25108,] 8518 8518 1.938935e+00
[25109,] 8519 876 -9.694675e-01
[25110,] 8519 4267 -9.694675e-01
[25111,] 8519 8519 1.938935e+00
[25112,] 8520 876 -9.694675e-01
[25113,] 8520 4267 -9.694675e-01
[25114,] 8520 8520 1.938935e+00
[25115,] 8521 876 -9.694675e-01
[25116,] 8521 4267 -9.694675e-01
[25117,] 8521 8521 1.938935e+00
[25118,] 8522 876 -9.694675e-01
[25119,] 8522 4267 -9.694675e-01
[25120,] 8522 8522 1.938935e+00
[25121,] 8523 876 -9.694675e-01
[25122,] 8523 4267 -9.694675e-01
[25123,] 8523 8523 1.938935e+00
[25124,] 8524 876 -9.694675e-01
[25125,] 8524 4267 -9.694675e-01
[25126,] 8524 8524 1.938935e+00
[25127,] 8525 603 -6.665582e-01
[25128,] 8525 4267 -6.665582e-01
[25129,] 8525 8525 1.333116e+00
[25130,] 8526 603 -6.665582e-01
[25131,] 8526 4267 -6.665582e-01
[25132,] 8526 8526 1.333116e+00
[25133,] 8527 603 -6.665582e-01
[25134,] 8527 4267 -6.665582e-01
[25135,] 8527 8527 1.333116e+00
[25136,] 8528 603 -6.665582e-01
[25137,] 8528 4267 -6.665582e-01
[25138,] 8528 8528 1.333116e+00
[25139,] 8529 603 -6.665582e-01
[25140,] 8529 4267 -6.665582e-01
[25141,] 8529 8529 1.333116e+00
[25142,] 8530 603 -6.665582e-01
[25143,] 8530 4267 -6.665582e-01
[25144,] 8530 8530 1.333116e+00
[25145,] 8531 603 -6.665582e-01
[25146,] 8531 4267 -6.665582e-01
[25147,] 8531 8531 1.333116e+00
[25148,] 8532 597 -6.665582e-01
[25149,] 8532 4267 -6.665582e-01
[25150,] 8532 8532 1.333116e+00
[25151,] 8533 597 -6.665582e-01
[25152,] 8533 4267 -6.665582e-01
[25153,] 8533 8533 1.333116e+00
[25154,] 8534 597 -6.665582e-01
[25155,] 8534 4267 -6.665582e-01
[25156,] 8534 8534 1.333116e+00
[25157,] 8535 597 -6.665582e-01
[25158,] 8535 4267 -6.665582e-01
[25159,] 8535 8535 1.333116e+00
[25160,] 8536 597 -6.665582e-01
[25161,] 8536 4267 -6.665582e-01
[25162,] 8536 8536 1.333116e+00
[25163,] 8537 597 -6.665582e-01
[25164,] 8537 4267 -6.665582e-01
[25165,] 8537 8537 1.333116e+00
[25166,] 8538 597 -6.665582e-01
[25167,] 8538 4267 -6.665582e-01
[25168,] 8538 8538 1.333116e+00
[25169,] 8539 597 -6.665582e-01
[25170,] 8539 4267 -6.665582e-01
[25171,] 8539 8539 1.333116e+00
[25172,] 8540 597 -6.665582e-01
[25173,] 8540 4267 -6.665582e-01
[25174,] 8540 8540 1.333116e+00
[25175,] 8541 597 -6.665582e-01
[25176,] 8541 4267 -6.665582e-01
[25177,] 8541 8541 1.333116e+00
[25178,] 8542 597 -6.665582e-01
[25179,] 8542 4267 -6.665582e-01
[25180,] 8542 8542 1.333116e+00
[25181,] 8543 597 -6.665582e-01
[25182,] 8543 4267 -6.665582e-01
[25183,] 8543 8543 1.333116e+00
[25184,] 8544 597 -6.665582e-01
[25185,] 8544 4267 -6.665582e-01
[25186,] 8544 8544 1.333116e+00
[25187,] 8545 597 -6.665582e-01
[25188,] 8545 4267 -6.665582e-01
[25189,] 8545 8545 1.333116e+00
[25190,] 8546 597 -6.665582e-01
[25191,] 8546 4267 -6.665582e-01
[25192,] 8546 8546 1.333116e+00
[25193,] 8547 597 -6.665582e-01
[25194,] 8547 4267 -6.665582e-01
[25195,] 8547 8547 1.333116e+00
[25196,] 8548 597 -6.665582e-01
[25197,] 8548 4267 -6.665582e-01
[25198,] 8548 8548 1.333116e+00
[25199,] 8549 598 -6.665582e-01
[25200,] 8549 4267 -6.665582e-01
[25201,] 8549 8549 1.333116e+00
[25202,] 8550 598 -6.665582e-01
[25203,] 8550 4267 -6.665582e-01
[25204,] 8550 8550 1.333116e+00
[25205,] 8551 598 -6.665582e-01
[25206,] 8551 4267 -6.665582e-01
[25207,] 8551 8551 1.333116e+00
[25208,] 8552 598 -6.665582e-01
[25209,] 8552 4267 -6.665582e-01
[25210,] 8552 8552 1.333116e+00
[25211,] 8553 598 -6.665582e-01
[25212,] 8553 4267 -6.665582e-01
[25213,] 8553 8553 1.333116e+00
[25214,] 8554 598 -6.665582e-01
[25215,] 8554 4267 -6.665582e-01
[25216,] 8554 8554 1.333116e+00
[25217,] 8555 598 -6.665582e-01
[25218,] 8555 4267 -6.665582e-01
[25219,] 8555 8555 1.333116e+00
[25220,] 8556 598 -6.665582e-01
[25221,] 8556 4267 -6.665582e-01
[25222,] 8556 8556 1.333116e+00
[25223,] 8557 598 -6.665582e-01
[25224,] 8557 4267 -6.665582e-01
[25225,] 8557 8557 1.333116e+00
[25226,] 8558 598 -6.665582e-01
[25227,] 8558 4267 -6.665582e-01
[25228,] 8558 8558 1.333116e+00
[25229,] 8559 598 -6.665582e-01
[25230,] 8559 4267 -6.665582e-01
[25231,] 8559 8559 1.333116e+00
[25232,] 8560 598 -6.665582e-01
[25233,] 8560 4267 -6.665582e-01
[25234,] 8560 8560 1.333116e+00
[25235,] 8561 598 -6.665582e-01
[25236,] 8561 4267 -6.665582e-01
[25237,] 8561 8561 1.333116e+00
[25238,] 8562 598 -6.665582e-01
[25239,] 8562 4267 -6.665582e-01
[25240,] 8562 8562 1.333116e+00
[25241,] 8563 598 -6.665582e-01
[25242,] 8563 4267 -6.665582e-01
[25243,] 8563 8563 1.333116e+00
[25244,] 8564 598 -6.665582e-01
[25245,] 8564 4267 -6.665582e-01
[25246,] 8564 8564 1.333116e+00
[25247,] 8565 598 -6.665582e-01
[25248,] 8565 4267 -6.665582e-01
[25249,] 8565 8565 1.333116e+00
[25250,] 8566 598 -6.665582e-01
[25251,] 8566 4267 -6.665582e-01
[25252,] 8566 8566 1.333116e+00
[25253,] 8567 598 -6.665582e-01
[25254,] 8567 4267 -6.665582e-01
[25255,] 8567 8567 1.333116e+00
[25256,] 8568 598 -6.665582e-01
[25257,] 8568 4267 -6.665582e-01
[25258,] 8568 8568 1.333116e+00
[25259,] 8569 598 -6.665582e-01
[25260,] 8569 4267 -6.665582e-01
[25261,] 8569 8569 1.333116e+00
[25262,] 8570 598 -6.665582e-01
[25263,] 8570 4267 -6.665582e-01
[25264,] 8570 8570 1.333116e+00
[25265,] 8571 592 -6.665582e-01
[25266,] 8571 4267 -6.665582e-01
[25267,] 8571 8571 1.333116e+00
[25268,] 8572 592 -6.665582e-01
[25269,] 8572 4267 -6.665582e-01
[25270,] 8572 8572 1.333116e+00
[25271,] 8573 592 -6.665582e-01
[25272,] 8573 4267 -6.665582e-01
[25273,] 8573 8573 1.333116e+00
[25274,] 8574 592 -6.665582e-01
[25275,] 8574 4267 -6.665582e-01
[25276,] 8574 8574 1.333116e+00
[25277,] 8575 592 -6.665582e-01
[25278,] 8575 4267 -6.665582e-01
[25279,] 8575 8575 1.333116e+00
[25280,] 8576 592 -6.665582e-01
[25281,] 8576 4267 -6.665582e-01
[25282,] 8576 8576 1.333116e+00
[25283,] 8577 592 -6.665582e-01
[25284,] 8577 4267 -6.665582e-01
[25285,] 8577 8577 1.333116e+00
[25286,] 8578 592 -6.665582e-01
[25287,] 8578 4267 -6.665582e-01
[25288,] 8578 8578 1.333116e+00
[25289,] 8579 592 -6.665582e-01
[25290,] 8579 4267 -6.665582e-01
[25291,] 8579 8579 1.333116e+00
[25292,] 8580 592 -6.665582e-01
[25293,] 8580 4267 -6.665582e-01
[25294,] 8580 8580 1.333116e+00
[25295,] 8581 592 -6.665582e-01
[25296,] 8581 4267 -6.665582e-01
[25297,] 8581 8581 1.333116e+00
[25298,] 8582 592 -6.665582e-01
[25299,] 8582 4267 -6.665582e-01
[25300,] 8582 8582 1.333116e+00
[25301,] 8583 592 -6.665582e-01
[25302,] 8583 4267 -6.665582e-01
[25303,] 8583 8583 1.333116e+00
[25304,] 8584 592 -6.665582e-01
[25305,] 8584 4267 -6.665582e-01
[25306,] 8584 8584 1.333116e+00
[25307,] 8585 592 -6.665582e-01
[25308,] 8585 4267 -6.665582e-01
[25309,] 8585 8585 1.333116e+00
[25310,] 8586 592 -6.665582e-01
[25311,] 8586 4267 -6.665582e-01
[25312,] 8586 8586 1.333116e+00
[25313,] 8587 592 -6.665582e-01
[25314,] 8587 4267 -6.665582e-01
[25315,] 8587 8587 1.333116e+00
[25316,] 8588 592 -6.665582e-01
[25317,] 8588 4267 -6.665582e-01
[25318,] 8588 8588 1.333116e+00
[25319,] 8589 592 -6.665582e-01
[25320,] 8589 4267 -6.665582e-01
[25321,] 8589 8589 1.333116e+00
[25322,] 8590 592 -6.665582e-01
[25323,] 8590 4267 -6.665582e-01
[25324,] 8590 8590 1.333116e+00
[25325,] 8591 592 -6.665582e-01
[25326,] 8591 4267 -6.665582e-01
[25327,] 8591 8591 1.333116e+00
[25328,] 8592 592 -6.665582e-01
[25329,] 8592 4267 -6.665582e-01
[25330,] 8592 8592 1.333116e+00
[25331,] 8593 592 -6.665582e-01
[25332,] 8593 4267 -6.665582e-01
[25333,] 8593 8593 1.333116e+00
[25334,] 8594 592 -6.665582e-01
[25335,] 8594 4267 -6.665582e-01
[25336,] 8594 8594 1.333116e+00
[25337,] 8595 531 -6.665582e-01
[25338,] 8595 4267 -6.665582e-01
[25339,] 8595 8595 1.333116e+00
[25340,] 8596 531 -6.665582e-01
[25341,] 8596 4267 -6.665582e-01
[25342,] 8596 8596 1.333116e+00
[25343,] 8597 531 -6.665582e-01
[25344,] 8597 4267 -6.665582e-01
[25345,] 8597 8597 1.333116e+00
[25346,] 8598 531 -6.665582e-01
[25347,] 8598 4267 -6.665582e-01
[25348,] 8598 8598 1.333116e+00
[25349,] 8599 531 -6.665582e-01
[25350,] 8599 4267 -6.665582e-01
[25351,] 8599 8599 1.333116e+00
[25352,] 8600 531 -6.665582e-01
[25353,] 8600 4267 -6.665582e-01
[25354,] 8600 8600 1.333116e+00
[25355,] 8601 531 -6.665582e-01
[25356,] 8601 4267 -6.665582e-01
[25357,] 8601 8601 1.333116e+00
[25358,] 8602 531 -6.665582e-01
[25359,] 8602 4267 -6.665582e-01
[25360,] 8602 8602 1.333116e+00
[25361,] 8603 531 -6.665582e-01
[25362,] 8603 4267 -6.665582e-01
[25363,] 8603 8603 1.333116e+00
[25364,] 8604 531 -6.665582e-01
[25365,] 8604 4267 -6.665582e-01
[25366,] 8604 8604 1.333116e+00
[25367,] 8605 531 -6.665582e-01
[25368,] 8605 4267 -6.665582e-01
[25369,] 8605 8605 1.333116e+00
[25370,] 8606 531 -6.665582e-01
[25371,] 8606 4267 -6.665582e-01
[25372,] 8606 8606 1.333116e+00
[25373,] 8607 531 -6.665582e-01
[25374,] 8607 4267 -6.665582e-01
[25375,] 8607 8607 1.333116e+00
[25376,] 8608 531 -6.665582e-01
[25377,] 8608 4267 -6.665582e-01
[25378,] 8608 8608 1.333116e+00
[25379,] 8609 531 -6.665582e-01
[25380,] 8609 4267 -6.665582e-01
[25381,] 8609 8609 1.333116e+00
[25382,] 8610 531 -6.665582e-01
[25383,] 8610 4267 -6.665582e-01
[25384,] 8610 8610 1.333116e+00
[25385,] 8611 531 -6.665582e-01
[25386,] 8611 4267 -6.665582e-01
[25387,] 8611 8611 1.333116e+00
[25388,] 8612 531 -6.665582e-01
[25389,] 8612 4267 -6.665582e-01
[25390,] 8612 8612 1.333116e+00
[25391,] 8613 531 -6.665582e-01
[25392,] 8613 4267 -6.665582e-01
[25393,] 8613 8613 1.333116e+00
[25394,] 8614 531 -6.665582e-01
[25395,] 8614 4267 -6.665582e-01
[25396,] 8614 8614 1.333116e+00
[25397,] 8615 531 -6.665582e-01
[25398,] 8615 4267 -6.665582e-01
[25399,] 8615 8615 1.333116e+00
[25400,] 8616 531 -6.665582e-01
[25401,] 8616 4267 -6.665582e-01
[25402,] 8616 8616 1.333116e+00
[25403,] 8617 531 -6.665582e-01
[25404,] 8617 4267 -6.665582e-01
[25405,] 8617 8617 1.333116e+00
[25406,] 8618 531 -6.665582e-01
[25407,] 8618 4267 -6.665582e-01
[25408,] 8618 8618 1.333116e+00
[25409,] 8619 531 -6.665582e-01
[25410,] 8619 4267 -6.665582e-01
[25411,] 8619 8619 1.333116e+00
[25412,] 8620 531 -6.665582e-01
[25413,] 8620 4267 -6.665582e-01
[25414,] 8620 8620 1.333116e+00
[25415,] 8621 531 -6.665582e-01
[25416,] 8621 4267 -6.665582e-01
[25417,] 8621 8621 1.333116e+00
[25418,] 8622 531 -6.665582e-01
[25419,] 8622 4267 -6.665582e-01
[25420,] 8622 8622 1.333116e+00
[25421,] 8623 531 -6.665582e-01
[25422,] 8623 4267 -6.665582e-01
[25423,] 8623 8623 1.333116e+00
[25424,] 8624 531 -6.665582e-01
[25425,] 8624 4267 -6.665582e-01
[25426,] 8624 8624 1.333116e+00
[25427,] 8625 531 -6.665582e-01
[25428,] 8625 4267 -6.665582e-01
[25429,] 8625 8625 1.333116e+00
[25430,] 8626 531 -6.665582e-01
[25431,] 8626 4267 -6.665582e-01
[25432,] 8626 8626 1.333116e+00
[25433,] 8627 531 -6.665582e-01
[25434,] 8627 4267 -6.665582e-01
[25435,] 8627 8627 1.333116e+00
[25436,] 8628 531 -6.665582e-01
[25437,] 8628 4267 -6.665582e-01
[25438,] 8628 8628 1.333116e+00
[25439,] 8629 531 -6.665582e-01
[25440,] 8629 4267 -6.665582e-01
[25441,] 8629 8629 1.333116e+00
[25442,] 8630 531 -6.665582e-01
[25443,] 8630 4267 -6.665582e-01
[25444,] 8630 8630 1.333116e+00
[25445,] 8631 531 -6.665582e-01
[25446,] 8631 4267 -6.665582e-01
[25447,] 8631 8631 1.333116e+00
[25448,] 8632 593 -6.665582e-01
[25449,] 8632 4267 -6.665582e-01
[25450,] 8632 8632 1.333116e+00
[25451,] 8633 593 -6.665582e-01
[25452,] 8633 4267 -6.665582e-01
[25453,] 8633 8633 1.333116e+00
[25454,] 8634 593 -6.665582e-01
[25455,] 8634 4267 -6.665582e-01
[25456,] 8634 8634 1.333116e+00
[25457,] 8635 593 -6.665582e-01
[25458,] 8635 4267 -6.665582e-01
[25459,] 8635 8635 1.333116e+00
[25460,] 8636 593 -6.665582e-01
[25461,] 8636 4267 -6.665582e-01
[25462,] 8636 8636 1.333116e+00
[25463,] 8637 593 -6.665582e-01
[25464,] 8637 4267 -6.665582e-01
[25465,] 8637 8637 1.333116e+00
[25466,] 8638 593 -6.665582e-01
[25467,] 8638 4267 -6.665582e-01
[25468,] 8638 8638 1.333116e+00
[25469,] 8639 593 -6.665582e-01
[25470,] 8639 4267 -6.665582e-01
[25471,] 8639 8639 1.333116e+00
[25472,] 8640 593 -6.665582e-01
[25473,] 8640 4267 -6.665582e-01
[25474,] 8640 8640 1.333116e+00
[25475,] 8641 593 -6.665582e-01
[25476,] 8641 4267 -6.665582e-01
[25477,] 8641 8641 1.333116e+00
[25478,] 8642 593 -6.665582e-01
[25479,] 8642 4267 -6.665582e-01
[25480,] 8642 8642 1.333116e+00
[25481,] 8643 593 -6.665582e-01
[25482,] 8643 4267 -6.665582e-01
[25483,] 8643 8643 1.333116e+00
[25484,] 8644 593 -6.665582e-01
[25485,] 8644 4267 -6.665582e-01
[25486,] 8644 8644 1.333116e+00
[25487,] 8645 593 -6.665582e-01
[25488,] 8645 4267 -6.665582e-01
[25489,] 8645 8645 1.333116e+00
[25490,] 8646 593 -6.665582e-01
[25491,] 8646 4267 -6.665582e-01
[25492,] 8646 8646 1.333116e+00
[25493,] 8647 593 -6.665582e-01
[25494,] 8647 4267 -6.665582e-01
[25495,] 8647 8647 1.333116e+00
[25496,] 8648 593 -6.665582e-01
[25497,] 8648 4267 -6.665582e-01
[25498,] 8648 8648 1.333116e+00
[25499,] 8649 593 -6.665582e-01
[25500,] 8649 4267 -6.665582e-01
[25501,] 8649 8649 1.333116e+00
[25502,] 8650 593 -6.665582e-01
[25503,] 8650 4267 -6.665582e-01
[25504,] 8650 8650 1.333116e+00
[25505,] 8651 532 -6.665582e-01
[25506,] 8651 4267 -6.665582e-01
[25507,] 8651 8651 1.333116e+00
[25508,] 8652 532 -6.665582e-01
[25509,] 8652 4267 -6.665582e-01
[25510,] 8652 8652 1.333116e+00
[25511,] 8653 532 -6.665582e-01
[25512,] 8653 4267 -6.665582e-01
[25513,] 8653 8653 1.333116e+00
[25514,] 8654 532 -6.665582e-01
[25515,] 8654 4267 -6.665582e-01
[25516,] 8654 8654 1.333116e+00
[25517,] 8655 532 -6.665582e-01
[25518,] 8655 4267 -6.665582e-01
[25519,] 8655 8655 1.333116e+00
[25520,] 8656 532 -6.665582e-01
[25521,] 8656 4267 -6.665582e-01
[25522,] 8656 8656 1.333116e+00
[25523,] 8657 532 -6.665582e-01
[25524,] 8657 4267 -6.665582e-01
[25525,] 8657 8657 1.333116e+00
[25526,] 8658 532 -6.665582e-01
[25527,] 8658 4267 -6.665582e-01
[25528,] 8658 8658 1.333116e+00
[25529,] 8659 532 -6.665582e-01
[25530,] 8659 4267 -6.665582e-01
[25531,] 8659 8659 1.333116e+00
[25532,] 8660 532 -6.665582e-01
[25533,] 8660 4267 -6.665582e-01
[25534,] 8660 8660 1.333116e+00
[25535,] 8661 532 -6.665582e-01
[25536,] 8661 4267 -6.665582e-01
[25537,] 8661 8661 1.333116e+00
[25538,] 8662 532 -6.665582e-01
[25539,] 8662 4267 -6.665582e-01
[25540,] 8662 8662 1.333116e+00
[25541,] 8663 532 -6.665582e-01
[25542,] 8663 4267 -6.665582e-01
[25543,] 8663 8663 1.333116e+00
[25544,] 8664 889 -9.694675e-01
[25545,] 8664 4267 -9.694675e-01
[25546,] 8664 8664 1.938935e+00
[25547,] 8665 889 -9.694675e-01
[25548,] 8665 4267 -9.694675e-01
[25549,] 8665 8665 1.938935e+00
[25550,] 8666 889 -9.694675e-01
[25551,] 8666 4267 -9.694675e-01
[25552,] 8666 8666 1.938935e+00
[25553,] 8667 889 -9.694675e-01
[25554,] 8667 4267 -9.694675e-01
[25555,] 8667 8667 1.938935e+00
[25556,] 8668 889 -9.694675e-01
[25557,] 8668 4267 -9.694675e-01
[25558,] 8668 8668 1.938935e+00
[25559,] 8669 889 -9.694675e-01
[25560,] 8669 4267 -9.694675e-01
[25561,] 8669 8669 1.938935e+00
[25562,] 8670 889 -9.694675e-01
[25563,] 8670 4267 -9.694675e-01
[25564,] 8670 8670 1.938935e+00
[25565,] 8671 889 -9.694675e-01
[25566,] 8671 4267 -9.694675e-01
[25567,] 8671 8671 1.938935e+00
[25568,] 8672 889 -9.694675e-01
[25569,] 8672 4267 -9.694675e-01
[25570,] 8672 8672 1.938935e+00
[25571,] 8673 889 -9.694675e-01
[25572,] 8673 4267 -9.694675e-01
[25573,] 8673 8673 1.938935e+00
[25574,] 8674 889 -9.694675e-01
[25575,] 8674 4267 -9.694675e-01
[25576,] 8674 8674 1.938935e+00
[25577,] 8675 431 -6.665582e-01
[25578,] 8675 4267 -6.665582e-01
[25579,] 8675 8675 1.333116e+00
[25580,] 8676 431 -6.665582e-01
[25581,] 8676 4267 -6.665582e-01
[25582,] 8676 8676 1.333116e+00
[25583,] 8677 431 -6.665582e-01
[25584,] 8677 4267 -6.665582e-01
[25585,] 8677 8677 1.333116e+00
[25586,] 8678 431 -6.665582e-01
[25587,] 8678 4267 -6.665582e-01
[25588,] 8678 8678 1.333116e+00
[25589,] 8679 431 -6.665582e-01
[25590,] 8679 4267 -6.665582e-01
[25591,] 8679 8679 1.333116e+00
[25592,] 8680 431 -6.665582e-01
[25593,] 8680 4267 -6.665582e-01
[25594,] 8680 8680 1.333116e+00
[25595,] 8681 431 -6.665582e-01
[25596,] 8681 4267 -6.665582e-01
[25597,] 8681 8681 1.333116e+00
[25598,] 8682 893 -9.694675e-01
[25599,] 8682 4267 -9.694675e-01
[25600,] 8682 8682 1.938935e+00
[25601,] 8683 893 -9.694675e-01
[25602,] 8683 4267 -9.694675e-01
[25603,] 8683 8683 1.938935e+00
[25604,] 8684 893 -9.694675e-01
[25605,] 8684 4267 -9.694675e-01
[25606,] 8684 8684 1.938935e+00
[25607,] 8685 893 -9.694675e-01
[25608,] 8685 4267 -9.694675e-01
[25609,] 8685 8685 1.938935e+00
[25610,] 8686 893 -9.694675e-01
[25611,] 8686 4267 -9.694675e-01
[25612,] 8686 8686 1.938935e+00
[25613,] 8687 893 -9.694675e-01
[25614,] 8687 4267 -9.694675e-01
[25615,] 8687 8687 1.938935e+00
[25616,] 8688 893 -9.694675e-01
[25617,] 8688 4267 -9.694675e-01
[25618,] 8688 8688 1.938935e+00
[25619,] 8689 893 -9.694675e-01
[25620,] 8689 4267 -9.694675e-01
[25621,] 8689 8689 1.938935e+00
[25622,] 8690 893 -9.694675e-01
[25623,] 8690 4267 -9.694675e-01
[25624,] 8690 8690 1.938935e+00
[25625,] 8691 893 -9.694675e-01
[25626,] 8691 4267 -9.694675e-01
[25627,] 8691 8691 1.938935e+00
[25628,] 8692 893 -9.694675e-01
[25629,] 8692 4267 -9.694675e-01
[25630,] 8692 8692 1.938935e+00
[25631,] 8693 893 -9.694675e-01
[25632,] 8693 4267 -9.694675e-01
[25633,] 8693 8693 1.938935e+00
[25634,] 8694 893 -9.694675e-01
[25635,] 8694 4267 -9.694675e-01
[25636,] 8694 8694 1.938935e+00
[25637,] 8695 893 -9.694675e-01
[25638,] 8695 4267 -9.694675e-01
[25639,] 8695 8695 1.938935e+00
[25640,] 8696 893 -9.694675e-01
[25641,] 8696 4267 -9.694675e-01
[25642,] 8696 8696 1.938935e+00
[25643,] 8697 893 -9.694675e-01
[25644,] 8697 4267 -9.694675e-01
[25645,] 8697 8697 1.938935e+00
[25646,] 8698 893 -9.694675e-01
[25647,] 8698 4267 -9.694675e-01
[25648,] 8698 8698 1.938935e+00
[25649,] 8699 893 -9.694675e-01
[25650,] 8699 4267 -9.694675e-01
[25651,] 8699 8699 1.938935e+00
[25652,] 8700 893 -9.694675e-01
[25653,] 8700 4267 -9.694675e-01
[25654,] 8700 8700 1.938935e+00
[25655,] 8701 893 -9.694675e-01
[25656,] 8701 4267 -9.694675e-01
[25657,] 8701 8701 1.938935e+00
[25658,] 8702 893 -9.694675e-01
[25659,] 8702 4267 -9.694675e-01
[25660,] 8702 8702 1.938935e+00
[25661,] 8703 893 -9.694675e-01
[25662,] 8703 4267 -9.694675e-01
[25663,] 8703 8703 1.938935e+00
[25664,] 8704 893 -9.694675e-01
[25665,] 8704 4267 -9.694675e-01
[25666,] 8704 8704 1.938935e+00
[25667,] 8705 893 -9.694675e-01
[25668,] 8705 4267 -9.694675e-01
[25669,] 8705 8705 1.938935e+00
[25670,] 8706 893 -9.694675e-01
[25671,] 8706 4267 -9.694675e-01
[25672,] 8706 8706 1.938935e+00
[25673,] 8707 893 -9.694675e-01
[25674,] 8707 4267 -9.694675e-01
[25675,] 8707 8707 1.938935e+00
[25676,] 8708 893 -9.694675e-01
[25677,] 8708 4267 -9.694675e-01
[25678,] 8708 8708 1.938935e+00
[25679,] 8709 386 -6.665582e-01
[25680,] 8709 4267 -6.665582e-01
[25681,] 8709 8709 1.333116e+00
[25682,] 8710 386 -6.665582e-01
[25683,] 8710 4267 -6.665582e-01
[25684,] 8710 8710 1.333116e+00
[25685,] 8711 386 -6.665582e-01
[25686,] 8711 4267 -6.665582e-01
[25687,] 8711 8711 1.333116e+00
[25688,] 8712 386 -6.665582e-01
[25689,] 8712 4267 -6.665582e-01
[25690,] 8712 8712 1.333116e+00
[25691,] 8713 386 -6.665582e-01
[25692,] 8713 4267 -6.665582e-01
[25693,] 8713 8713 1.333116e+00
[25694,] 8714 386 -6.665582e-01
[25695,] 8714 4267 -6.665582e-01
[25696,] 8714 8714 1.333116e+00
[25697,] 8715 386 -6.665582e-01
[25698,] 8715 4267 -6.665582e-01
[25699,] 8715 8715 1.333116e+00
[25700,] 8716 386 -6.665582e-01
[25701,] 8716 4267 -6.665582e-01
[25702,] 8716 8716 1.333116e+00
[25703,] 8717 386 -6.665582e-01
[25704,] 8717 4267 -6.665582e-01
[25705,] 8717 8717 1.333116e+00
[25706,] 8718 386 -6.665582e-01
[25707,] 8718 4267 -6.665582e-01
[25708,] 8718 8718 1.333116e+00
[25709,] 8719 386 -6.665582e-01
[25710,] 8719 4267 -6.665582e-01
[25711,] 8719 8719 1.333116e+00
[25712,] 8720 386 -6.665582e-01
[25713,] 8720 4267 -6.665582e-01
[25714,] 8720 8720 1.333116e+00
[25715,] 8721 386 -6.665582e-01
[25716,] 8721 4267 -6.665582e-01
[25717,] 8721 8721 1.333116e+00
[25718,] 8722 386 -6.665582e-01
[25719,] 8722 4267 -6.665582e-01
[25720,] 8722 8722 1.333116e+00
[25721,] 8723 386 -6.665582e-01
[25722,] 8723 4267 -6.665582e-01
[25723,] 8723 8723 1.333116e+00
[25724,] 8724 386 -6.665582e-01
[25725,] 8724 4267 -6.665582e-01
[25726,] 8724 8724 1.333116e+00
[25727,] 8725 386 -6.665582e-01
[25728,] 8725 4267 -6.665582e-01
[25729,] 8725 8725 1.333116e+00
[25730,] 8726 386 -6.665582e-01
[25731,] 8726 4267 -6.665582e-01
[25732,] 8726 8726 1.333116e+00
[25733,] 8727 386 -6.665582e-01
[25734,] 8727 4267 -6.665582e-01
[25735,] 8727 8727 1.333116e+00
[25736,] 8728 386 -6.665582e-01
[25737,] 8728 4267 -6.665582e-01
[25738,] 8728 8728 1.333116e+00
[25739,] 8729 386 -6.665582e-01
[25740,] 8729 4267 -6.665582e-01
[25741,] 8729 8729 1.333116e+00
[25742,] 8730 386 -6.665582e-01
[25743,] 8730 4267 -6.665582e-01
[25744,] 8730 8730 1.333116e+00
[25745,] 8731 386 -6.665582e-01
[25746,] 8731 4267 -6.665582e-01
[25747,] 8731 8731 1.333116e+00
[25748,] 8732 386 -6.665582e-01
[25749,] 8732 4267 -6.665582e-01
[25750,] 8732 8732 1.333116e+00
[25751,] 8733 386 -6.665582e-01
[25752,] 8733 4267 -6.665582e-01
[25753,] 8733 8733 1.333116e+00
[25754,] 8734 386 -6.665582e-01
[25755,] 8734 4267 -6.665582e-01
[25756,] 8734 8734 1.333116e+00
[25757,] 8735 388 -6.665582e-01
[25758,] 8735 4267 -6.665582e-01
[25759,] 8735 8735 1.333116e+00
[25760,] 8736 388 -6.665582e-01
[25761,] 8736 4267 -6.665582e-01
[25762,] 8736 8736 1.333116e+00
[25763,] 8737 388 -6.665582e-01
[25764,] 8737 4267 -6.665582e-01
[25765,] 8737 8737 1.333116e+00
[25766,] 8738 388 -6.665582e-01
[25767,] 8738 4267 -6.665582e-01
[25768,] 8738 8738 1.333116e+00
[25769,] 8739 388 -6.665582e-01
[25770,] 8739 4267 -6.665582e-01
[25771,] 8739 8739 1.333116e+00
[25772,] 8740 388 -6.665582e-01
[25773,] 8740 4267 -6.665582e-01
[25774,] 8740 8740 1.333116e+00
[25775,] 8741 388 -6.665582e-01
[25776,] 8741 4267 -6.665582e-01
[25777,] 8741 8741 1.333116e+00
[25778,] 8742 388 -6.665582e-01
[25779,] 8742 4267 -6.665582e-01
[25780,] 8742 8742 1.333116e+00
[25781,] 8743 388 -6.665582e-01
[25782,] 8743 4267 -6.665582e-01
[25783,] 8743 8743 1.333116e+00
[25784,] 8744 388 -6.665582e-01
[25785,] 8744 4267 -6.665582e-01
[25786,] 8744 8744 1.333116e+00
[25787,] 8745 388 -6.665582e-01
[25788,] 8745 4267 -6.665582e-01
[25789,] 8745 8745 1.333116e+00
[25790,] 8746 388 -6.665582e-01
[25791,] 8746 4267 -6.665582e-01
[25792,] 8746 8746 1.333116e+00
[25793,] 8747 388 -6.665582e-01
[25794,] 8747 4267 -6.665582e-01
[25795,] 8747 8747 1.333116e+00
[25796,] 8748 388 -6.665582e-01
[25797,] 8748 4267 -6.665582e-01
[25798,] 8748 8748 1.333116e+00
[25799,] 8749 388 -6.665582e-01
[25800,] 8749 4267 -6.665582e-01
[25801,] 8749 8749 1.333116e+00
[25802,] 8750 388 -6.665582e-01
[25803,] 8750 4267 -6.665582e-01
[25804,] 8750 8750 1.333116e+00
[25805,] 8751 388 -6.665582e-01
[25806,] 8751 4267 -6.665582e-01
[25807,] 8751 8751 1.333116e+00
[25808,] 8752 388 -6.665582e-01
[25809,] 8752 4267 -6.665582e-01
[25810,] 8752 8752 1.333116e+00
[25811,] 8753 388 -6.665582e-01
[25812,] 8753 4267 -6.665582e-01
[25813,] 8753 8753 1.333116e+00
[25814,] 8754 388 -6.665582e-01
[25815,] 8754 4267 -6.665582e-01
[25816,] 8754 8754 1.333116e+00
[25817,] 8755 388 -6.665582e-01
[25818,] 8755 4267 -6.665582e-01
[25819,] 8755 8755 1.333116e+00
[25820,] 8756 388 -6.665582e-01
[25821,] 8756 4267 -6.665582e-01
[25822,] 8756 8756 1.333116e+00
[25823,] 8757 388 -6.665582e-01
[25824,] 8757 4267 -6.665582e-01
[25825,] 8757 8757 1.333116e+00
[25826,] 8758 388 -6.665582e-01
[25827,] 8758 4267 -6.665582e-01
[25828,] 8758 8758 1.333116e+00
[25829,] 8759 388 -6.665582e-01
[25830,] 8759 4267 -6.665582e-01
[25831,] 8759 8759 1.333116e+00
[25832,] 8760 388 -6.665582e-01
[25833,] 8760 4267 -6.665582e-01
[25834,] 8760 8760 1.333116e+00
[25835,] 8761 388 -6.665582e-01
[25836,] 8761 4267 -6.665582e-01
[25837,] 8761 8761 1.333116e+00
[25838,] 8762 388 -6.665582e-01
[25839,] 8762 4267 -6.665582e-01
[25840,] 8762 8762 1.333116e+00
[25841,] 8763 388 -6.665582e-01
[25842,] 8763 4267 -6.665582e-01
[25843,] 8763 8763 1.333116e+00
[25844,] 8764 388 -6.665582e-01
[25845,] 8764 4267 -6.665582e-01
[25846,] 8764 8764 1.333116e+00
[25847,] 8765 388 -6.665582e-01
[25848,] 8765 4267 -6.665582e-01
[25849,] 8765 8765 1.333116e+00
[25850,] 8766 388 -6.665582e-01
[25851,] 8766 4267 -6.665582e-01
[25852,] 8766 8766 1.333116e+00
[25853,] 8767 388 -6.665582e-01
[25854,] 8767 4267 -6.665582e-01
[25855,] 8767 8767 1.333116e+00
[25856,] 8768 388 -6.665582e-01
[25857,] 8768 4267 -6.665582e-01
[25858,] 8768 8768 1.333116e+00
[25859,] 8769 388 -6.665582e-01
[25860,] 8769 4267 -6.665582e-01
[25861,] 8769 8769 1.333116e+00
[25862,] 8770 388 -6.665582e-01
[25863,] 8770 4267 -6.665582e-01
[25864,] 8770 8770 1.333116e+00
[25865,] 8771 603 -6.526450e-01
[25866,] 8771 4264 -6.526450e-01
[25867,] 8771 8771 1.305290e+00
[25868,] 8772 603 -6.526450e-01
[25869,] 8772 4264 -6.526450e-01
[25870,] 8772 8772 1.305290e+00
[25871,] 8773 603 -6.526450e-01
[25872,] 8773 4264 -6.526450e-01
[25873,] 8773 8773 1.305290e+00
[25874,] 8774 603 -6.526450e-01
[25875,] 8774 4264 -6.526450e-01
[25876,] 8774 8774 1.305290e+00
[25877,] 8775 603 -6.526450e-01
[25878,] 8775 4264 -6.526450e-01
[25879,] 8775 8775 1.305290e+00
[25880,] 8776 392 -6.526450e-01
[25881,] 8776 4264 -6.526450e-01
[25882,] 8776 8776 1.305290e+00
[25883,] 8777 392 -6.526450e-01
[25884,] 8777 4264 -6.526450e-01
[25885,] 8777 8777 1.305290e+00
[25886,] 8778 392 -6.526450e-01
[25887,] 8778 4264 -6.526450e-01
[25888,] 8778 8778 1.305290e+00
[25889,] 8779 392 -6.526450e-01
[25890,] 8779 4264 -6.526450e-01
[25891,] 8779 8779 1.305290e+00
[25892,] 8780 392 -6.526450e-01
[25893,] 8780 4264 -6.526450e-01
[25894,] 8780 8780 1.305290e+00
[25895,] 8781 392 -6.526450e-01
[25896,] 8781 4264 -6.526450e-01
[25897,] 8781 8781 1.305290e+00
[25898,] 8782 392 -6.526450e-01
[25899,] 8782 4264 -6.526450e-01
[25900,] 8782 8782 1.305290e+00
[25901,] 8783 392 -6.526450e-01
[25902,] 8783 4264 -6.526450e-01
[25903,] 8783 8783 1.305290e+00
[25904,] 8784 392 -6.526450e-01
[25905,] 8784 4264 -6.526450e-01
[25906,] 8784 8784 1.305290e+00
[25907,] 8785 392 -6.526450e-01
[25908,] 8785 4264 -6.526450e-01
[25909,] 8785 8785 1.305290e+00
[25910,] 8786 392 -6.526450e-01
[25911,] 8786 4264 -6.526450e-01
[25912,] 8786 8786 1.305290e+00
[25913,] 8787 392 -6.526450e-01
[25914,] 8787 4264 -6.526450e-01
[25915,] 8787 8787 1.305290e+00
[25916,] 8788 392 -6.526450e-01
[25917,] 8788 4264 -6.526450e-01
[25918,] 8788 8788 1.305290e+00
[25919,] 8789 392 -6.526450e-01
[25920,] 8789 4264 -6.526450e-01
[25921,] 8789 8789 1.305290e+00
[25922,] 8790 392 -6.526450e-01
[25923,] 8790 4264 -6.526450e-01
[25924,] 8790 8790 1.305290e+00
[25925,] 8791 392 -6.526450e-01
[25926,] 8791 4264 -6.526450e-01
[25927,] 8791 8791 1.305290e+00
[25928,] 8792 392 -6.526450e-01
[25929,] 8792 4264 -6.526450e-01
[25930,] 8792 8792 1.305290e+00
[25931,] 8793 392 -6.526450e-01
[25932,] 8793 4264 -6.526450e-01
[25933,] 8793 8793 1.305290e+00
[25934,] 8794 392 -6.526450e-01
[25935,] 8794 4264 -6.526450e-01
[25936,] 8794 8794 1.305290e+00
[25937,] 8795 392 -6.526450e-01
[25938,] 8795 4264 -6.526450e-01
[25939,] 8795 8795 1.305290e+00
[25940,] 8796 392 -6.526450e-01
[25941,] 8796 4264 -6.526450e-01
[25942,] 8796 8796 1.305290e+00
[25943,] 8797 392 -6.526450e-01
[25944,] 8797 4264 -6.526450e-01
[25945,] 8797 8797 1.305290e+00
[25946,] 8798 392 -6.526450e-01
[25947,] 8798 4264 -6.526450e-01
[25948,] 8798 8798 1.305290e+00
[25949,] 8799 392 -6.526450e-01
[25950,] 8799 4264 -6.526450e-01
[25951,] 8799 8799 1.305290e+00
[25952,] 8800 392 -6.526450e-01
[25953,] 8800 4264 -6.526450e-01
[25954,] 8800 8800 1.305290e+00
[25955,] 8801 392 -6.526450e-01
[25956,] 8801 4264 -6.526450e-01
[25957,] 8801 8801 1.305290e+00
[25958,] 8802 392 -6.526450e-01
[25959,] 8802 4264 -6.526450e-01
[25960,] 8802 8802 1.305290e+00
[25961,] 8803 392 -6.526450e-01
[25962,] 8803 4264 -6.526450e-01
[25963,] 8803 8803 1.305290e+00
[25964,] 8804 392 -6.526450e-01
[25965,] 8804 4264 -6.526450e-01
[25966,] 8804 8804 1.305290e+00
[25967,] 8805 604 -6.666124e-01
[25968,] 8805 4266 -6.666124e-01
[25969,] 8805 8805 1.333225e+00
[25970,] 8806 604 -6.666124e-01
[25971,] 8806 4266 -6.666124e-01
[25972,] 8806 8806 1.333225e+00
[25973,] 8807 604 -6.666124e-01
[25974,] 8807 4266 -6.666124e-01
[25975,] 8807 8807 1.333225e+00
[25976,] 8808 604 -6.666124e-01
[25977,] 8808 4266 -6.666124e-01
[25978,] 8808 8808 1.333225e+00
[25979,] 8809 604 -6.666124e-01
[25980,] 8809 4266 -6.666124e-01
[25981,] 8809 8809 1.333225e+00
[25982,] 8810 604 -6.666124e-01
[25983,] 8810 4266 -6.666124e-01
[25984,] 8810 8810 1.333225e+00
[25985,] 8811 510 -6.666124e-01
[25986,] 8811 4266 -6.666124e-01
[25987,] 8811 8811 1.333225e+00
[25988,] 8812 510 -6.666124e-01
[25989,] 8812 4266 -6.666124e-01
[25990,] 8812 8812 1.333225e+00
[25991,] 8813 510 -6.666124e-01
[25992,] 8813 4266 -6.666124e-01
[25993,] 8813 8813 1.333225e+00
[25994,] 8814 510 -6.666124e-01
[25995,] 8814 4266 -6.666124e-01
[25996,] 8814 8814 1.333225e+00
[25997,] 8815 421 -6.153846e-01
[25998,] 8815 4563 -6.153846e-01
[25999,] 8815 8815 1.230769e+00
[26000,] 8816 421 -6.153846e-01
[26001,] 8816 4563 -6.153846e-01
[26002,] 8816 8816 1.230769e+00
[26003,] 8817 421 -6.153846e-01
[26004,] 8817 4563 -6.153846e-01
[26005,] 8817 8817 1.230769e+00
[26006,] 8818 421 -6.153846e-01
[26007,] 8818 4563 -6.153846e-01
[26008,] 8818 8818 1.230769e+00
[26009,] 8819 421 -6.153846e-01
[26010,] 8819 4563 -6.153846e-01
[26011,] 8819 8819 1.230769e+00
[26012,] 8820 421 -6.153846e-01
[26013,] 8820 4563 -6.153846e-01
[26014,] 8820 8820 1.230769e+00
[26015,] 8821 421 -6.153846e-01
[26016,] 8821 4563 -6.153846e-01
[26017,] 8821 8821 1.230769e+00
[26018,] 8822 421 -6.153846e-01
[26019,] 8822 4563 -6.153846e-01
[26020,] 8822 8822 1.230769e+00
[26021,] 8823 421 -6.153846e-01
[26022,] 8823 4563 -6.153846e-01
[26023,] 8823 8823 1.230769e+00
[26024,] 8824 421 -6.153846e-01
[26025,] 8824 4563 -6.153846e-01
[26026,] 8824 8824 1.230769e+00
[26027,] 8825 421 -6.153846e-01
[26028,] 8825 4563 -6.153846e-01
[26029,] 8825 8825 1.230769e+00
[26030,] 8826 421 -6.153846e-01
[26031,] 8826 4563 -6.153846e-01
[26032,] 8826 8826 1.230769e+00
[26033,] 8827 421 -6.153846e-01
[26034,] 8827 4563 -6.153846e-01
[26035,] 8827 8827 1.230769e+00
[26036,] 8828 421 -6.153846e-01
[26037,] 8828 4563 -6.153846e-01
[26038,] 8828 8828 1.230769e+00
[26039,] 8829 421 -6.153846e-01
[26040,] 8829 4563 -6.153846e-01
[26041,] 8829 8829 1.230769e+00
[26042,] 8830 421 -6.153846e-01
[26043,] 8830 4563 -6.153846e-01
[26044,] 8830 8830 1.230769e+00
[26045,] 8831 421 -6.153846e-01
[26046,] 8831 4563 -6.153846e-01
[26047,] 8831 8831 1.230769e+00
[26048,] 8832 421 -6.153846e-01
[26049,] 8832 4563 -6.153846e-01
[26050,] 8832 8832 1.230769e+00
[26051,] 8833 421 -6.153846e-01
[26052,] 8833 4563 -6.153846e-01
[26053,] 8833 8833 1.230769e+00
[26054,] 8834 421 -6.153846e-01
[26055,] 8834 4563 -6.153846e-01
[26056,] 8834 8834 1.230769e+00
[26057,] 8835 421 -6.153846e-01
[26058,] 8835 4563 -6.153846e-01
[26059,] 8835 8835 1.230769e+00
[26060,] 8836 421 -6.153846e-01
[26061,] 8836 4563 -6.153846e-01
[26062,] 8836 8836 1.230769e+00
[26063,] 8837 421 -6.153846e-01
[26064,] 8837 4563 -6.153846e-01
[26065,] 8837 8837 1.230769e+00
[26066,] 8838 421 -6.153846e-01
[26067,] 8838 4563 -6.153846e-01
[26068,] 8838 8838 1.230769e+00
[26069,] 8839 421 -6.666124e-01
[26070,] 8839 4266 -6.666124e-01
[26071,] 8839 8839 1.333225e+00
[26072,] 8840 421 -6.666124e-01
[26073,] 8840 4266 -6.666124e-01
[26074,] 8840 8840 1.333225e+00
[26075,] 8841 421 -6.666124e-01
[26076,] 8841 4266 -6.666124e-01
[26077,] 8841 8841 1.333225e+00
[26078,] 8842 421 -6.666124e-01
[26079,] 8842 4266 -6.666124e-01
[26080,] 8842 8842 1.333225e+00
[26081,] 8843 421 -6.666124e-01
[26082,] 8843 4266 -6.666124e-01
[26083,] 8843 8843 1.333225e+00
[26084,] 8844 421 -6.666124e-01
[26085,] 8844 4266 -6.666124e-01
[26086,] 8844 8844 1.333225e+00
[26087,] 8845 421 -6.666124e-01
[26088,] 8845 4266 -6.666124e-01
[26089,] 8845 8845 1.333225e+00
[26090,] 8846 421 -6.666124e-01
[26091,] 8846 4266 -6.666124e-01
[26092,] 8846 8846 1.333225e+00
[26093,] 8847 421 -6.666124e-01
[26094,] 8847 4266 -6.666124e-01
[26095,] 8847 8847 1.333225e+00
[26096,] 8848 421 -6.666124e-01
[26097,] 8848 4266 -6.666124e-01
[26098,] 8848 8848 1.333225e+00
[26099,] 8849 421 -6.666124e-01
[26100,] 8849 4266 -6.666124e-01
[26101,] 8849 8849 1.333225e+00
[26102,] 8850 421 -6.666124e-01
[26103,] 8850 4266 -6.666124e-01
[26104,] 8850 8850 1.333225e+00
[26105,] 8851 421 -6.666124e-01
[26106,] 8851 4266 -6.666124e-01
[26107,] 8851 8851 1.333225e+00
[26108,] 8852 421 -6.666124e-01
[26109,] 8852 4266 -6.666124e-01
[26110,] 8852 8852 1.333225e+00
[26111,] 8853 421 -6.666124e-01
[26112,] 8853 4266 -6.666124e-01
[26113,] 8853 8853 1.333225e+00
[26114,] 8854 421 -6.666124e-01
[26115,] 8854 4266 -6.666124e-01
[26116,] 8854 8854 1.333225e+00
[26117,] 8855 421 -6.666124e-01
[26118,] 8855 4266 -6.666124e-01
[26119,] 8855 8855 1.333225e+00
[26120,] 8856 421 -6.666124e-01
[26121,] 8856 4266 -6.666124e-01
[26122,] 8856 8856 1.333225e+00
[26123,] 8857 421 -6.666124e-01
[26124,] 8857 4266 -6.666124e-01
[26125,] 8857 8857 1.333225e+00
[26126,] 8858 421 -6.666124e-01
[26127,] 8858 4266 -6.666124e-01
[26128,] 8858 8858 1.333225e+00
[26129,] 8859 421 -6.666124e-01
[26130,] 8859 4266 -6.666124e-01
[26131,] 8859 8859 1.333225e+00
[26132,] 8860 421 -6.666124e-01
[26133,] 8860 4266 -6.666124e-01
[26134,] 8860 8860 1.333225e+00
[26135,] 8861 421 -6.666124e-01
[26136,] 8861 4266 -6.666124e-01
[26137,] 8861 8861 1.333225e+00
[26138,] 8862 421 -6.666124e-01
[26139,] 8862 4266 -6.666124e-01
[26140,] 8862 8862 1.333225e+00
[26141,] 8863 388 -6.666124e-01
[26142,] 8863 4266 -6.666124e-01
[26143,] 8863 8863 1.333225e+00
[26144,] 8864 388 -6.666124e-01
[26145,] 8864 4266 -6.666124e-01
[26146,] 8864 8864 1.333225e+00
[26147,] 8865 388 -6.666124e-01
[26148,] 8865 4266 -6.666124e-01
[26149,] 8865 8865 1.333225e+00
[26150,] 8866 388 -6.666124e-01
[26151,] 8866 4266 -6.666124e-01
[26152,] 8866 8866 1.333225e+00
[26153,] 8867 388 -6.666124e-01
[26154,] 8867 4266 -6.666124e-01
[26155,] 8867 8867 1.333225e+00
[26156,] 8868 388 -6.666124e-01
[26157,] 8868 4266 -6.666124e-01
[26158,] 8868 8868 1.333225e+00
[26159,] 8869 388 -6.666124e-01
[26160,] 8869 4266 -6.666124e-01
[26161,] 8869 8869 1.333225e+00
[26162,] 8870 388 -6.666124e-01
[26163,] 8870 4266 -6.666124e-01
[26164,] 8870 8870 1.333225e+00
[26165,] 8871 388 -6.666124e-01
[26166,] 8871 4266 -6.666124e-01
[26167,] 8871 8871 1.333225e+00
[26168,] 8872 388 -6.666124e-01
[26169,] 8872 4266 -6.666124e-01
[26170,] 8872 8872 1.333225e+00
[26171,] 8873 388 -6.666124e-01
[26172,] 8873 4266 -6.666124e-01
[26173,] 8873 8873 1.333225e+00
[26174,] 8874 388 -6.666124e-01
[26175,] 8874 4266 -6.666124e-01
[26176,] 8874 8874 1.333225e+00
[26177,] 8875 388 -6.666124e-01
[26178,] 8875 4266 -6.666124e-01
[26179,] 8875 8875 1.333225e+00
[26180,] 8876 388 -6.666124e-01
[26181,] 8876 4266 -6.666124e-01
[26182,] 8876 8876 1.333225e+00
[26183,] 8877 388 -6.666124e-01
[26184,] 8877 4266 -6.666124e-01
[26185,] 8877 8877 1.333225e+00
[26186,] 8878 388 -6.666124e-01
[26187,] 8878 4266 -6.666124e-01
[26188,] 8878 8878 1.333225e+00
[26189,] 8879 388 -6.666124e-01
[26190,] 8879 4266 -6.666124e-01
[26191,] 8879 8879 1.333225e+00
[26192,] 8880 388 -6.666124e-01
[26193,] 8880 4266 -6.666124e-01
[26194,] 8880 8880 1.333225e+00
[26195,] 8881 388 -6.666124e-01
[26196,] 8881 4266 -6.666124e-01
[26197,] 8881 8881 1.333225e+00
[26198,] 8882 388 -6.666124e-01
[26199,] 8882 4266 -6.666124e-01
[26200,] 8882 8882 1.333225e+00
[26201,] 8883 388 -6.666124e-01
[26202,] 8883 4266 -6.666124e-01
[26203,] 8883 8883 1.333225e+00
[26204,] 8884 388 -6.666124e-01
[26205,] 8884 4266 -6.666124e-01
[26206,] 8884 8884 1.333225e+00
[26207,] 8885 388 -6.666124e-01
[26208,] 8885 4266 -6.666124e-01
[26209,] 8885 8885 1.333225e+00
[26210,] 8886 388 -6.666124e-01
[26211,] 8886 4266 -6.666124e-01
[26212,] 8886 8886 1.333225e+00
[26213,] 8887 388 -6.666124e-01
[26214,] 8887 4266 -6.666124e-01
[26215,] 8887 8887 1.333225e+00
[26216,] 8888 422 -6.666124e-01
[26217,] 8888 4266 -6.666124e-01
[26218,] 8888 8888 1.333225e+00
[26219,] 8889 422 -6.666124e-01
[26220,] 8889 4266 -6.666124e-01
[26221,] 8889 8889 1.333225e+00
[26222,] 8890 422 -6.666124e-01
[26223,] 8890 4266 -6.666124e-01
[26224,] 8890 8890 1.333225e+00
[26225,] 8891 422 -6.666124e-01
[26226,] 8891 4266 -6.666124e-01
[26227,] 8891 8891 1.333225e+00
[26228,] 8892 422 -6.666124e-01
[26229,] 8892 4266 -6.666124e-01
[26230,] 8892 8892 1.333225e+00
[26231,] 8893 422 -6.666124e-01
[26232,] 8893 4266 -6.666124e-01
[26233,] 8893 8893 1.333225e+00
[26234,] 8894 423 -6.666124e-01
[26235,] 8894 4266 -6.666124e-01
[26236,] 8894 8894 1.333225e+00
[26237,] 8895 423 -6.666124e-01
[26238,] 8895 4266 -6.666124e-01
[26239,] 8895 8895 1.333225e+00
[26240,] 8896 423 -6.666124e-01
[26241,] 8896 4266 -6.666124e-01
[26242,] 8896 8896 1.333225e+00
[26243,] 8897 423 -6.666124e-01
[26244,] 8897 4266 -6.666124e-01
[26245,] 8897 8897 1.333225e+00
[26246,] 8898 423 -6.666124e-01
[26247,] 8898 4266 -6.666124e-01
[26248,] 8898 8898 1.333225e+00
[26249,] 8899 511 -6.665582e-01
[26250,] 8899 4267 -6.665582e-01
[26251,] 8899 8899 1.333116e+00
[26252,] 8900 511 -6.665582e-01
[26253,] 8900 4267 -6.665582e-01
[26254,] 8900 8900 1.333116e+00
[26255,] 8901 511 -6.665582e-01
[26256,] 8901 4267 -6.665582e-01
[26257,] 8901 8901 1.333116e+00
[26258,] 8902 511 -6.665582e-01
[26259,] 8902 4267 -6.665582e-01
[26260,] 8902 8902 1.333116e+00
[26261,] 8903 511 -6.665582e-01
[26262,] 8903 4267 -6.665582e-01
[26263,] 8903 8903 1.333116e+00
[26264,] 8904 511 -6.665582e-01
[26265,] 8904 4267 -6.665582e-01
[26266,] 8904 8904 1.333116e+00
[26267,] 8905 511 -6.665582e-01
[26268,] 8905 4267 -6.665582e-01
[26269,] 8905 8905 1.333116e+00
[26270,] 8906 511 -6.665582e-01
[26271,] 8906 4267 -6.665582e-01
[26272,] 8906 8906 1.333116e+00
[26273,] 8907 511 -6.665582e-01
[26274,] 8907 4267 -6.665582e-01
[26275,] 8907 8907 1.333116e+00
[26276,] 8908 511 -6.665582e-01
[26277,] 8908 4267 -6.665582e-01
[26278,] 8908 8908 1.333116e+00
[26279,] 8909 511 -6.665582e-01
[26280,] 8909 4267 -6.665582e-01
[26281,] 8909 8909 1.333116e+00
[26282,] 8910 511 -6.665582e-01
[26283,] 8910 4267 -6.665582e-01
[26284,] 8910 8910 1.333116e+00
[26285,] 8911 511 -6.665582e-01
[26286,] 8911 4267 -6.665582e-01
[26287,] 8911 8911 1.333116e+00
[26288,] 8912 512 -6.665582e-01
[26289,] 8912 4267 -6.665582e-01
[26290,] 8912 8912 1.333116e+00
[26291,] 8913 512 -6.665582e-01
[26292,] 8913 4267 -6.665582e-01
[26293,] 8913 8913 1.333116e+00
[26294,] 8914 512 -6.665582e-01
[26295,] 8914 4267 -6.665582e-01
[26296,] 8914 8914 1.333116e+00
[26297,] 8915 512 -6.665582e-01
[26298,] 8915 4267 -6.665582e-01
[26299,] 8915 8915 1.333116e+00
[26300,] 8916 512 -6.665582e-01
[26301,] 8916 4267 -6.665582e-01
[26302,] 8916 8916 1.333116e+00
[26303,] 8917 512 -6.665582e-01
[26304,] 8917 4267 -6.665582e-01
[26305,] 8917 8917 1.333116e+00
[26306,] 8918 512 -6.665582e-01
[26307,] 8918 4267 -6.665582e-01
[26308,] 8918 8918 1.333116e+00
[26309,] 8919 513 -6.666124e-01
[26310,] 8919 4266 -6.666124e-01
[26311,] 8919 8919 1.333225e+00
[26312,] 8920 513 -6.666124e-01
[26313,] 8920 4266 -6.666124e-01
[26314,] 8920 8920 1.333225e+00
[26315,] 8921 513 -6.666124e-01
[26316,] 8921 4266 -6.666124e-01
[26317,] 8921 8921 1.333225e+00
[26318,] 8922 513 -6.666124e-01
[26319,] 8922 4266 -6.666124e-01
[26320,] 8922 8922 1.333225e+00
[26321,] 8923 513 -6.666124e-01
[26322,] 8923 4266 -6.666124e-01
[26323,] 8923 8923 1.333225e+00
[26324,] 8924 513 -6.666124e-01
[26325,] 8924 4266 -6.666124e-01
[26326,] 8924 8924 1.333225e+00
[26327,] 8925 513 -6.666124e-01
[26328,] 8925 4266 -6.666124e-01
[26329,] 8925 8925 1.333225e+00
[26330,] 8926 513 -6.666124e-01
[26331,] 8926 4266 -6.666124e-01
[26332,] 8926 8926 1.333225e+00
[26333,] 8927 514 -6.665582e-01
[26334,] 8927 4267 -6.665582e-01
[26335,] 8927 8927 1.333116e+00
[26336,] 8928 514 -6.665582e-01
[26337,] 8928 4267 -6.665582e-01
[26338,] 8928 8928 1.333116e+00
[26339,] 8929 514 -6.665582e-01
[26340,] 8929 4267 -6.665582e-01
[26341,] 8929 8929 1.333116e+00
[26342,] 8930 514 -6.665582e-01
[26343,] 8930 4267 -6.665582e-01
[26344,] 8930 8930 1.333116e+00
[26345,] 8931 514 -6.665582e-01
[26346,] 8931 4267 -6.665582e-01
[26347,] 8931 8931 1.333116e+00
[26348,] 8932 514 -6.665582e-01
[26349,] 8932 4267 -6.665582e-01
[26350,] 8932 8932 1.333116e+00
[26351,] 8933 514 -6.665582e-01
[26352,] 8933 4267 -6.665582e-01
[26353,] 8933 8933 1.333116e+00
[26354,] 8934 514 -6.665582e-01
[26355,] 8934 4267 -6.665582e-01
[26356,] 8934 8934 1.333116e+00
[26357,] 8935 514 -6.665582e-01
[26358,] 8935 4267 -6.665582e-01
[26359,] 8935 8935 1.333116e+00
[26360,] 8936 514 -6.665582e-01
[26361,] 8936 4267 -6.665582e-01
[26362,] 8936 8936 1.333116e+00
[26363,] 8937 514 -6.665582e-01
[26364,] 8937 4267 -6.665582e-01
[26365,] 8937 8937 1.333116e+00
[26366,] 8938 514 -6.665582e-01
[26367,] 8938 4267 -6.665582e-01
[26368,] 8938 8938 1.333116e+00
[26369,] 8939 514 -6.665582e-01
[26370,] 8939 4267 -6.665582e-01
[26371,] 8939 8939 1.333116e+00
[26372,] 8940 515 -6.665582e-01
[26373,] 8940 4267 -6.665582e-01
[26374,] 8940 8940 1.333116e+00
[26375,] 8941 515 -6.665582e-01
[26376,] 8941 4267 -6.665582e-01
[26377,] 8941 8941 1.333116e+00
[26378,] 8942 515 -6.665582e-01
[26379,] 8942 4267 -6.665582e-01
[26380,] 8942 8942 1.333116e+00
[26381,] 8943 515 -6.665582e-01
[26382,] 8943 4267 -6.665582e-01
[26383,] 8943 8943 1.333116e+00
[26384,] 8944 515 -6.665582e-01
[26385,] 8944 4267 -6.665582e-01
[26386,] 8944 8944 1.333116e+00
[26387,] 8945 515 -6.665582e-01
[26388,] 8945 4267 -6.665582e-01
[26389,] 8945 8945 1.333116e+00
[26390,] 8946 515 -6.665582e-01
[26391,] 8946 4267 -6.665582e-01
[26392,] 8946 8946 1.333116e+00
[26393,] 8947 515 -6.665582e-01
[26394,] 8947 4267 -6.665582e-01
[26395,] 8947 8947 1.333116e+00
[26396,] 8948 515 -6.665582e-01
[26397,] 8948 4267 -6.665582e-01
[26398,] 8948 8948 1.333116e+00
[26399,] 8949 515 -6.665582e-01
[26400,] 8949 4267 -6.665582e-01
[26401,] 8949 8949 1.333116e+00
[26402,] 8950 515 -6.665582e-01
[26403,] 8950 4267 -6.665582e-01
[26404,] 8950 8950 1.333116e+00
[26405,] 8951 515 -6.665582e-01
[26406,] 8951 4267 -6.665582e-01
[26407,] 8951 8951 1.333116e+00
[26408,] 8952 515 -6.665582e-01
[26409,] 8952 4267 -6.665582e-01
[26410,] 8952 8952 1.333116e+00
[26411,] 8953 515 -6.665582e-01
[26412,] 8953 4267 -6.665582e-01
[26413,] 8953 8953 1.333116e+00
[26414,] 8954 515 -6.665582e-01
[26415,] 8954 4267 -6.665582e-01
[26416,] 8954 8954 1.333116e+00
[26417,] 8955 515 -6.665582e-01
[26418,] 8955 4267 -6.665582e-01
[26419,] 8955 8955 1.333116e+00
[26420,] 8956 515 -6.665582e-01
[26421,] 8956 4267 -6.665582e-01
[26422,] 8956 8956 1.333116e+00
[26423,] 8957 515 -6.665582e-01
[26424,] 8957 4267 -6.665582e-01
[26425,] 8957 8957 1.333116e+00
[26426,] 8958 515 -6.665582e-01
[26427,] 8958 4267 -6.665582e-01
[26428,] 8958 8958 1.333116e+00
[26429,] 8959 515 -6.665582e-01
[26430,] 8959 4267 -6.665582e-01
[26431,] 8959 8959 1.333116e+00
[26432,] 8960 515 -6.665582e-01
[26433,] 8960 4267 -6.665582e-01
[26434,] 8960 8960 1.333116e+00
[26435,] 8961 515 -6.665582e-01
[26436,] 8961 4267 -6.665582e-01
[26437,] 8961 8961 1.333116e+00
[26438,] 8962 515 -6.665582e-01
[26439,] 8962 4267 -6.665582e-01
[26440,] 8962 8962 1.333116e+00
[26441,] 8963 515 -6.665582e-01
[26442,] 8963 4267 -6.665582e-01
[26443,] 8963 8963 1.333116e+00
[26444,] 8964 515 -6.665582e-01
[26445,] 8964 4267 -6.665582e-01
[26446,] 8964 8964 1.333116e+00
[26447,] 8965 515 -6.665582e-01
[26448,] 8965 4267 -6.665582e-01
[26449,] 8965 8965 1.333116e+00
[26450,] 8966 515 -6.665582e-01
[26451,] 8966 4267 -6.665582e-01
[26452,] 8966 8966 1.333116e+00
[26453,] 8967 515 -6.665582e-01
[26454,] 8967 4267 -6.665582e-01
[26455,] 8967 8967 1.333116e+00
[26456,] 8968 515 -6.665582e-01
[26457,] 8968 4267 -6.665582e-01
[26458,] 8968 8968 1.333116e+00
[26459,] 8969 515 -6.665582e-01
[26460,] 8969 4267 -6.665582e-01
[26461,] 8969 8969 1.333116e+00
[26462,] 8970 515 -6.665582e-01
[26463,] 8970 4267 -6.665582e-01
[26464,] 8970 8970 1.333116e+00
[26465,] 8971 515 -6.665582e-01
[26466,] 8971 4267 -6.665582e-01
[26467,] 8971 8971 1.333116e+00
[26468,] 8972 515 -6.665582e-01
[26469,] 8972 4267 -6.665582e-01
[26470,] 8972 8972 1.333116e+00
[26471,] 8973 515 -6.665582e-01
[26472,] 8973 4267 -6.665582e-01
[26473,] 8973 8973 1.333116e+00
[26474,] 8974 515 -6.665582e-01
[26475,] 8974 4267 -6.665582e-01
[26476,] 8974 8974 1.333116e+00
[26477,] 8975 515 -6.665582e-01
[26478,] 8975 4267 -6.665582e-01
[26479,] 8975 8975 1.333116e+00
[26480,] 8976 515 -6.665582e-01
[26481,] 8976 4267 -6.665582e-01
[26482,] 8976 8976 1.333116e+00
[26483,] 8977 515 -6.665582e-01
[26484,] 8977 4267 -6.665582e-01
[26485,] 8977 8977 1.333116e+00
[26486,] 8978 515 -6.665582e-01
[26487,] 8978 4267 -6.665582e-01
[26488,] 8978 8978 1.333116e+00
[26489,] 8979 515 -6.665582e-01
[26490,] 8979 4267 -6.665582e-01
[26491,] 8979 8979 1.333116e+00
[26492,] 8980 515 -6.665582e-01
[26493,] 8980 4267 -6.665582e-01
[26494,] 8980 8980 1.333116e+00
[26495,] 8981 515 -6.665582e-01
[26496,] 8981 4267 -6.665582e-01
[26497,] 8981 8981 1.333116e+00
[26498,] 8982 515 -6.526450e-01
[26499,] 8982 4264 -6.526450e-01
[26500,] 8982 8982 1.305290e+00
[26501,] 8983 515 -6.526450e-01
[26502,] 8983 4264 -6.526450e-01
[26503,] 8983 8983 1.305290e+00
[26504,] 8984 515 -6.526450e-01
[26505,] 8984 4264 -6.526450e-01
[26506,] 8984 8984 1.305290e+00
[26507,] 8985 515 -6.526450e-01
[26508,] 8985 4264 -6.526450e-01
[26509,] 8985 8985 1.305290e+00
[26510,] 8986 515 -6.526450e-01
[26511,] 8986 4264 -6.526450e-01
[26512,] 8986 8986 1.305290e+00
[26513,] 8987 515 -6.526450e-01
[26514,] 8987 4264 -6.526450e-01
[26515,] 8987 8987 1.305290e+00
[26516,] 8988 515 -6.526450e-01
[26517,] 8988 4264 -6.526450e-01
[26518,] 8988 8988 1.305290e+00
[26519,] 8989 515 -6.526450e-01
[26520,] 8989 4264 -6.526450e-01
[26521,] 8989 8989 1.305290e+00
[26522,] 8990 515 -6.526450e-01
[26523,] 8990 4264 -6.526450e-01
[26524,] 8990 8990 1.305290e+00
[26525,] 8991 515 -6.526450e-01
[26526,] 8991 4264 -6.526450e-01
[26527,] 8991 8991 1.305290e+00
[26528,] 8992 515 -6.526450e-01
[26529,] 8992 4264 -6.526450e-01
[26530,] 8992 8992 1.305290e+00
[26531,] 8993 515 -6.526450e-01
[26532,] 8993 4264 -6.526450e-01
[26533,] 8993 8993 1.305290e+00
[26534,] 8994 515 -6.526450e-01
[26535,] 8994 4264 -6.526450e-01
[26536,] 8994 8994 1.305290e+00
[26537,] 8995 515 -6.526450e-01
[26538,] 8995 4264 -6.526450e-01
[26539,] 8995 8995 1.305290e+00
[26540,] 8996 515 -6.526450e-01
[26541,] 8996 4264 -6.526450e-01
[26542,] 8996 8996 1.305290e+00
[26543,] 8997 515 -6.526450e-01
[26544,] 8997 4264 -6.526450e-01
[26545,] 8997 8997 1.305290e+00
[26546,] 8998 515 -6.526450e-01
[26547,] 8998 4264 -6.526450e-01
[26548,] 8998 8998 1.305290e+00
[26549,] 8999 515 -6.526450e-01
[26550,] 8999 4264 -6.526450e-01
[26551,] 8999 8999 1.305290e+00
[26552,] 9000 515 -6.526450e-01
[26553,] 9000 4264 -6.526450e-01
[26554,] 9000 9000 1.305290e+00
[26555,] 9001 515 -6.526450e-01
[26556,] 9001 4264 -6.526450e-01
[26557,] 9001 9001 1.305290e+00
[26558,] 9002 515 -6.526450e-01
[26559,] 9002 4264 -6.526450e-01
[26560,] 9002 9002 1.305290e+00
[26561,] 9003 515 -6.526450e-01
[26562,] 9003 4264 -6.526450e-01
[26563,] 9003 9003 1.305290e+00
[26564,] 9004 515 -6.526450e-01
[26565,] 9004 4264 -6.526450e-01
[26566,] 9004 9004 1.305290e+00
[26567,] 9005 4563 -8.421053e-01
[26568,] 9005 4700 -8.421053e-01
[26569,] 9005 9005 1.684211e+00
[26570,] 9006 4563 -8.421053e-01
[26571,] 9006 4700 -8.421053e-01
[26572,] 9006 9006 1.684211e+00
[26573,] 9007 4563 -8.421053e-01
[26574,] 9007 4700 -8.421053e-01
[26575,] 9007 9007 1.684211e+00
[26576,] 9008 4563 -8.421053e-01
[26577,] 9008 4700 -8.421053e-01
[26578,] 9008 9008 1.684211e+00
[26579,] 9009 4563 -8.421053e-01
[26580,] 9009 4700 -8.421053e-01
[26581,] 9009 9009 1.684211e+00
[26582,] 9010 4563 -8.421053e-01
[26583,] 9010 4700 -8.421053e-01
[26584,] 9010 9010 1.684211e+00
[26585,] 9011 4563 -8.421053e-01
[26586,] 9011 4700 -8.421053e-01
[26587,] 9011 9011 1.684211e+00
[26588,] 9012 4563 -8.421053e-01
[26589,] 9012 4700 -8.421053e-01
[26590,] 9012 9012 1.684211e+00
[26591,] 9013 4563 -8.421053e-01
[26592,] 9013 4700 -8.421053e-01
[26593,] 9013 9013 1.684211e+00
[26594,] 9014 4563 -8.421053e-01
[26595,] 9014 4700 -8.421053e-01
[26596,] 9014 9014 1.684211e+00
[26597,] 9015 4563 -8.421053e-01
[26598,] 9015 4700 -8.421053e-01
[26599,] 9015 9015 1.684211e+00
[26600,] 9016 4563 -8.421053e-01
[26601,] 9016 4700 -8.421053e-01
[26602,] 9016 9016 1.684211e+00
[26603,] 9017 4563 -8.421053e-01
[26604,] 9017 4700 -8.421053e-01
[26605,] 9017 9017 1.684211e+00
[26606,] 9018 4563 -8.421053e-01
[26607,] 9018 4700 -8.421053e-01
[26608,] 9018 9018 1.684211e+00
[26609,] 9019 4563 -8.421053e-01
[26610,] 9019 4700 -8.421053e-01
[26611,] 9019 9019 1.684211e+00
[26612,] 9020 4563 -8.421053e-01
[26613,] 9020 4700 -8.421053e-01
[26614,] 9020 9020 1.684211e+00
[26615,] 9021 4563 -8.421053e-01
[26616,] 9021 4700 -8.421053e-01
[26617,] 9021 9021 1.684211e+00
[26618,] 9022 4563 -8.421053e-01
[26619,] 9022 4700 -8.421053e-01
[26620,] 9022 9022 1.684211e+00
[26621,] 9023 4563 -8.421053e-01
[26622,] 9023 4700 -8.421053e-01
[26623,] 9023 9023 1.684211e+00
[26624,] 9024 4563 -8.421053e-01
[26625,] 9024 4700 -8.421053e-01
[26626,] 9024 9024 1.684211e+00
[26627,] 9025 4563 -8.421053e-01
[26628,] 9025 4700 -8.421053e-01
[26629,] 9025 9025 1.684211e+00
[26630,] 9026 4563 -8.421053e-01
[26631,] 9026 4700 -8.421053e-01
[26632,] 9026 9026 1.684211e+00
[26633,] 9027 4563 -8.421053e-01
[26634,] 9027 4700 -8.421053e-01
[26635,] 9027 9027 1.684211e+00
[26636,] 9028 4563 -8.421053e-01
[26637,] 9028 4700 -8.421053e-01
[26638,] 9028 9028 1.684211e+00
[26639,] 9029 4563 -8.421053e-01
[26640,] 9029 4700 -8.421053e-01
[26641,] 9029 9029 1.684211e+00
[26642,] 9030 4563 -8.421053e-01
[26643,] 9030 4700 -8.421053e-01
[26644,] 9030 9030 1.684211e+00
[26645,] 9031 4563 -8.421053e-01
[26646,] 9031 4700 -8.421053e-01
[26647,] 9031 9031 1.684211e+00
[26648,] 9032 4563 -8.421053e-01
[26649,] 9032 4700 -8.421053e-01
[26650,] 9032 9032 1.684211e+00
[26651,] 9033 4563 -8.421053e-01
[26652,] 9033 4700 -8.421053e-01
[26653,] 9033 9033 1.684211e+00
[26654,] 9034 4563 -8.421053e-01
[26655,] 9034 4700 -8.421053e-01
[26656,] 9034 9034 1.684211e+00
[26657,] 9035 4563 -8.421053e-01
[26658,] 9035 4700 -8.421053e-01
[26659,] 9035 9035 1.684211e+00
[26660,] 9036 4563 -8.421053e-01
[26661,] 9036 4700 -8.421053e-01
[26662,] 9036 9036 1.684211e+00
[26663,] 9037 4563 -8.421053e-01
[26664,] 9037 4700 -8.421053e-01
[26665,] 9037 9037 1.684211e+00
[26666,] 9038 4563 -8.421053e-01
[26667,] 9038 4700 -8.421053e-01
[26668,] 9038 9038 1.684211e+00
[26669,] 9039 4563 -8.421053e-01
[26670,] 9039 4700 -8.421053e-01
[26671,] 9039 9039 1.684211e+00
[26672,] 9040 4563 -8.421053e-01
[26673,] 9040 4700 -8.421053e-01
[26674,] 9040 9040 1.684211e+00
[26675,] 9041 4563 -8.421053e-01
[26676,] 9041 4700 -8.421053e-01
[26677,] 9041 9041 1.684211e+00
[26678,] 9042 4266 -9.409602e-01
[26679,] 9042 4701 -9.409602e-01
[26680,] 9042 9042 1.881920e+00
[26681,] 9043 4266 -9.409602e-01
[26682,] 9043 4701 -9.409602e-01
[26683,] 9043 9043 1.881920e+00
[26684,] 9044 4266 -9.409602e-01
[26685,] 9044 4701 -9.409602e-01
[26686,] 9044 9044 1.881920e+00
[26687,] 9045 4266 -9.409602e-01
[26688,] 9045 4701 -9.409602e-01
[26689,] 9045 9045 1.881920e+00
[26690,] 9046 4266 -9.409602e-01
[26691,] 9046 4701 -9.409602e-01
[26692,] 9046 9046 1.881920e+00
[26693,] 9047 4266 -9.409602e-01
[26694,] 9047 4701 -9.409602e-01
[26695,] 9047 9047 1.881920e+00
[26696,] 9048 4266 -9.409602e-01
[26697,] 9048 4701 -9.409602e-01
[26698,] 9048 9048 1.881920e+00
[26699,] 9049 4266 -9.409602e-01
[26700,] 9049 4701 -9.409602e-01
[26701,] 9049 9049 1.881920e+00
[26702,] 9050 4266 -9.409602e-01
[26703,] 9050 4701 -9.409602e-01
[26704,] 9050 9050 1.881920e+00
[26705,] 9051 4266 -9.409602e-01
[26706,] 9051 4701 -9.409602e-01
[26707,] 9051 9051 1.881920e+00
[26708,] 9052 4266 -9.409602e-01
[26709,] 9052 4701 -9.409602e-01
[26710,] 9052 9052 1.881920e+00
[26711,] 9053 4266 -9.409602e-01
[26712,] 9053 4701 -9.409602e-01
[26713,] 9053 9053 1.881920e+00
[26714,] 9054 4563 -8.421053e-01
[26715,] 9054 4702 -8.421053e-01
[26716,] 9054 9054 1.684211e+00
[26717,] 9055 4563 -8.421053e-01
[26718,] 9055 4702 -8.421053e-01
[26719,] 9055 9055 1.684211e+00
[26720,] 9056 4563 -8.421053e-01
[26721,] 9056 4702 -8.421053e-01
[26722,] 9056 9056 1.684211e+00
[26723,] 9057 4563 -8.421053e-01
[26724,] 9057 4702 -8.421053e-01
[26725,] 9057 9057 1.684211e+00
[26726,] 9058 4563 -8.421053e-01
[26727,] 9058 4702 -8.421053e-01
[26728,] 9058 9058 1.684211e+00
[26729,] 9059 4563 -8.421053e-01
[26730,] 9059 4702 -8.421053e-01
[26731,] 9059 9059 1.684211e+00
[26732,] 9060 4563 -8.421053e-01
[26733,] 9060 4702 -8.421053e-01
[26734,] 9060 9060 1.684211e+00
[26735,] 9061 4563 -8.421053e-01
[26736,] 9061 4702 -8.421053e-01
[26737,] 9061 9061 1.684211e+00
[26738,] 9062 4563 -8.421053e-01
[26739,] 9062 4702 -8.421053e-01
[26740,] 9062 9062 1.684211e+00
[26741,] 9063 4563 -8.421053e-01
[26742,] 9063 4702 -8.421053e-01
[26743,] 9063 9063 1.684211e+00
[26744,] 9064 4563 -8.421053e-01
[26745,] 9064 4702 -8.421053e-01
[26746,] 9064 9064 1.684211e+00
[26747,] 9065 4563 -8.421053e-01
[26748,] 9065 4702 -8.421053e-01
[26749,] 9065 9065 1.684211e+00
[26750,] 9066 516 -6.526450e-01
[26751,] 9066 4264 -6.526450e-01
[26752,] 9066 9066 1.305290e+00
[26753,] 9067 516 -6.526450e-01
[26754,] 9067 4264 -6.526450e-01
[26755,] 9067 9067 1.305290e+00
[26756,] 9068 516 -6.526450e-01
[26757,] 9068 4264 -6.526450e-01
[26758,] 9068 9068 1.305290e+00
[26759,] 9069 516 -6.526450e-01
[26760,] 9069 4264 -6.526450e-01
[26761,] 9069 9069 1.305290e+00
[26762,] 9070 516 -6.526450e-01
[26763,] 9070 4264 -6.526450e-01
[26764,] 9070 9070 1.305290e+00
[26765,] 9071 516 -6.526450e-01
[26766,] 9071 4264 -6.526450e-01
[26767,] 9071 9071 1.305290e+00
[26768,] 9072 516 -6.526450e-01
[26769,] 9072 4264 -6.526450e-01
[26770,] 9072 9072 1.305290e+00
[26771,] 9073 516 -6.526450e-01
[26772,] 9073 4264 -6.526450e-01
[26773,] 9073 9073 1.305290e+00
[26774,] 9074 516 -6.526450e-01
[26775,] 9074 4264 -6.526450e-01
[26776,] 9074 9074 1.305290e+00
[26777,] 9075 516 -6.526450e-01
[26778,] 9075 4264 -6.526450e-01
[26779,] 9075 9075 1.305290e+00
[26780,] 9076 516 -6.526450e-01
[26781,] 9076 4264 -6.526450e-01
[26782,] 9076 9076 1.305290e+00
[26783,] 9077 516 -6.526450e-01
[26784,] 9077 4264 -6.526450e-01
[26785,] 9077 9077 1.305290e+00
[26786,] 9078 516 -6.526450e-01
[26787,] 9078 4264 -6.526450e-01
[26788,] 9078 9078 1.305290e+00
[26789,] 9079 516 -6.526450e-01
[26790,] 9079 4264 -6.526450e-01
[26791,] 9079 9079 1.305290e+00
[26792,] 9080 516 -6.526450e-01
[26793,] 9080 4264 -6.526450e-01
[26794,] 9080 9080 1.305290e+00
[26795,] 9081 516 -6.526450e-01
[26796,] 9081 4264 -6.526450e-01
[26797,] 9081 9081 1.305290e+00
[26798,] 9082 516 -6.526450e-01
[26799,] 9082 4264 -6.526450e-01
[26800,] 9082 9082 1.305290e+00
[26801,] 9083 516 -6.526450e-01
[26802,] 9083 4264 -6.526450e-01
[26803,] 9083 9083 1.305290e+00
[26804,] 9084 516 -6.526450e-01
[26805,] 9084 4264 -6.526450e-01
[26806,] 9084 9084 1.305290e+00
[26807,] 9085 516 -6.526450e-01
[26808,] 9085 4264 -6.526450e-01
[26809,] 9085 9085 1.305290e+00
[26810,] 9086 517 -6.665582e-01
[26811,] 9086 4267 -6.665582e-01
[26812,] 9086 9086 1.333116e+00
[26813,] 9087 517 -6.665582e-01
[26814,] 9087 4267 -6.665582e-01
[26815,] 9087 9087 1.333116e+00
[26816,] 9088 517 -6.665582e-01
[26817,] 9088 4267 -6.665582e-01
[26818,] 9088 9088 1.333116e+00
[26819,] 9089 517 -6.665582e-01
[26820,] 9089 4267 -6.665582e-01
[26821,] 9089 9089 1.333116e+00
[26822,] 9090 517 -6.665582e-01
[26823,] 9090 4267 -6.665582e-01
[26824,] 9090 9090 1.333116e+00
[26825,] 9091 518 -6.665582e-01
[26826,] 9091 4267 -6.665582e-01
[26827,] 9091 9091 1.333116e+00
[26828,] 9092 518 -6.665582e-01
[26829,] 9092 4267 -6.665582e-01
[26830,] 9092 9092 1.333116e+00
[26831,] 9093 518 -6.665582e-01
[26832,] 9093 4267 -6.665582e-01
[26833,] 9093 9093 1.333116e+00
[26834,] 9094 518 -6.665582e-01
[26835,] 9094 4267 -6.665582e-01
[26836,] 9094 9094 1.333116e+00
[26837,] 9095 518 -6.665582e-01
[26838,] 9095 4267 -6.665582e-01
[26839,] 9095 9095 1.333116e+00
[26840,] 9096 518 -6.665582e-01
[26841,] 9096 4267 -6.665582e-01
[26842,] 9096 9096 1.333116e+00
[26843,] 9097 4563 -8.421053e-01
[26844,] 9097 4705 -8.421053e-01
[26845,] 9097 9097 1.684211e+00
[26846,] 9098 4563 -8.421053e-01
[26847,] 9098 4705 -8.421053e-01
[26848,] 9098 9098 1.684211e+00
[26849,] 9099 4563 -8.421053e-01
[26850,] 9099 4705 -8.421053e-01
[26851,] 9099 9099 1.684211e+00
[26852,] 9100 4563 -8.421053e-01
[26853,] 9100 4705 -8.421053e-01
[26854,] 9100 9100 1.684211e+00
[26855,] 9101 4563 -8.421053e-01
[26856,] 9101 4705 -8.421053e-01
[26857,] 9101 9101 1.684211e+00
[26858,] 9102 4563 -8.421053e-01
[26859,] 9102 4705 -8.421053e-01
[26860,] 9102 9102 1.684211e+00
[26861,] 9103 4563 -8.421053e-01
[26862,] 9103 4705 -8.421053e-01
[26863,] 9103 9103 1.684211e+00
[26864,] 9104 893 -8.648649e-01
[26865,] 9104 4563 -8.648649e-01
[26866,] 9104 9104 1.729730e+00
[26867,] 9105 893 -8.648649e-01
[26868,] 9105 4563 -8.648649e-01
[26869,] 9105 9105 1.729730e+00
[26870,] 9106 893 -8.648649e-01
[26871,] 9106 4563 -8.648649e-01
[26872,] 9106 9106 1.729730e+00
[26873,] 9107 893 -8.648649e-01
[26874,] 9107 4563 -8.648649e-01
[26875,] 9107 9107 1.729730e+00
[26876,] 9108 893 -8.648649e-01
[26877,] 9108 4563 -8.648649e-01
[26878,] 9108 9108 1.729730e+00
[26879,] 9109 893 -8.648649e-01
[26880,] 9109 4563 -8.648649e-01
[26881,] 9109 9109 1.729730e+00
[26882,] 9110 893 -8.648649e-01
[26883,] 9110 4563 -8.648649e-01
[26884,] 9110 9110 1.729730e+00
[26885,] 9111 617 -6.526450e-01
[26886,] 9111 4714 -6.526450e-01
[26887,] 9111 9111 1.305290e+00
[26888,] 9112 617 -6.526450e-01
[26889,] 9112 4714 -6.526450e-01
[26890,] 9112 9112 1.305290e+00
[26891,] 9113 617 -6.526450e-01
[26892,] 9113 4714 -6.526450e-01
[26893,] 9113 9113 1.305290e+00
[26894,] 9114 617 -6.526450e-01
[26895,] 9114 4714 -6.526450e-01
[26896,] 9114 9114 1.305290e+00
[26897,] 9115 617 -6.526450e-01
[26898,] 9115 4714 -6.526450e-01
[26899,] 9115 9115 1.305290e+00
[26900,] 9116 617 -6.526450e-01
[26901,] 9116 4714 -6.526450e-01
[26902,] 9116 9116 1.305290e+00
[26903,] 9117 594 -6.530612e-01
[26904,] 9117 1662 -6.530612e-01
[26905,] 9117 9117 1.306122e+00
[26906,] 9118 594 -6.530612e-01
[26907,] 9118 1662 -6.530612e-01
[26908,] 9118 9118 1.306122e+00
[26909,] 9119 594 -6.530612e-01
[26910,] 9119 1662 -6.530612e-01
[26911,] 9119 9119 1.306122e+00
[26912,] 9120 594 -6.530612e-01
[26913,] 9120 1662 -6.530612e-01
[26914,] 9120 9120 1.306122e+00
[26915,] 9121 594 -6.530612e-01
[26916,] 9121 1662 -6.530612e-01
[26917,] 9121 9121 1.306122e+00
[26918,] 9122 594 -6.530612e-01
[26919,] 9122 1662 -6.530612e-01
[26920,] 9122 9122 1.306122e+00
[26921,] 9123 594 -6.530612e-01
[26922,] 9123 1662 -6.530612e-01
[26923,] 9123 9123 1.306122e+00
[26924,] 9124 594 -6.530612e-01
[26925,] 9124 1662 -6.530612e-01
[26926,] 9124 9124 1.306122e+00
[26927,] 9125 594 -6.530612e-01
[26928,] 9125 1662 -6.530612e-01
[26929,] 9125 9125 1.306122e+00
[26930,] 9126 594 -6.530612e-01
[26931,] 9126 1662 -6.530612e-01
[26932,] 9126 9126 1.306122e+00
[26933,] 9127 594 -6.530612e-01
[26934,] 9127 1662 -6.530612e-01
[26935,] 9127 9127 1.306122e+00
[26936,] 9128 594 -6.530612e-01
[26937,] 9128 1662 -6.530612e-01
[26938,] 9128 9128 1.306122e+00
[26939,] 9129 594 -6.530612e-01
[26940,] 9129 1662 -6.530612e-01
[26941,] 9129 9129 1.306122e+00
[26942,] 9130 594 -6.530612e-01
[26943,] 9130 1662 -6.530612e-01
[26944,] 9130 9130 1.306122e+00
[26945,] 9131 594 -6.530612e-01
[26946,] 9131 1662 -6.530612e-01
[26947,] 9131 9131 1.306122e+00
[26948,] 9132 594 -6.530612e-01
[26949,] 9132 1662 -6.530612e-01
[26950,] 9132 9132 1.306122e+00
[26951,] 9133 594 -6.530612e-01
[26952,] 9133 1662 -6.530612e-01
[26953,] 9133 9133 1.306122e+00
[26954,] 9134 594 -6.530612e-01
[26955,] 9134 1662 -6.530612e-01
[26956,] 9134 9134 1.306122e+00
[26957,] 9135 594 -6.530612e-01
[26958,] 9135 1662 -6.530612e-01
[26959,] 9135 9135 1.306122e+00
[26960,] 9136 594 -6.530612e-01
[26961,] 9136 1662 -6.530612e-01
[26962,] 9136 9136 1.306122e+00
[26963,] 9137 594 -6.530612e-01
[26964,] 9137 1662 -6.530612e-01
[26965,] 9137 9137 1.306122e+00
[26966,] 9138 594 -6.530612e-01
[26967,] 9138 1662 -6.530612e-01
[26968,] 9138 9138 1.306122e+00
[26969,] 9139 594 -6.530612e-01
[26970,] 9139 1662 -6.530612e-01
[26971,] 9139 9139 1.306122e+00
[26972,] 9140 594 -6.530612e-01
[26973,] 9140 1662 -6.530612e-01
[26974,] 9140 9140 1.306122e+00
[26975,] 9141 594 -6.530612e-01
[26976,] 9141 1662 -6.530612e-01
[26977,] 9141 9141 1.306122e+00
[26978,] 9142 594 -6.530612e-01
[26979,] 9142 1662 -6.530612e-01
[26980,] 9142 9142 1.306122e+00
[26981,] 9143 594 -6.530612e-01
[26982,] 9143 1662 -6.530612e-01
[26983,] 9143 9143 1.306122e+00
[26984,] 9144 594 -6.530612e-01
[26985,] 9144 1662 -6.530612e-01
[26986,] 9144 9144 1.306122e+00
[26987,] 9145 594 -6.530612e-01
[26988,] 9145 1662 -6.530612e-01
[26989,] 9145 9145 1.306122e+00
[26990,] 9146 594 -6.530612e-01
[26991,] 9146 1662 -6.530612e-01
[26992,] 9146 9146 1.306122e+00
[26993,] 9147 594 -6.530612e-01
[26994,] 9147 1662 -6.530612e-01
[26995,] 9147 9147 1.306122e+00
[26996,] 9148 594 -6.530612e-01
[26997,] 9148 1662 -6.530612e-01
[26998,] 9148 9148 1.306122e+00
[26999,] 9149 594 -6.530612e-01
[27000,] 9149 1662 -6.530612e-01
[27001,] 9149 9149 1.306122e+00
[27002,] 9150 594 -6.530612e-01
[27003,] 9150 1662 -6.530612e-01
[27004,] 9150 9150 1.306122e+00
[27005,] 9151 594 -6.530580e-01
[27006,] 9151 2305 -6.530580e-01
[27007,] 9151 9151 1.306116e+00
[27008,] 9152 594 -6.530580e-01
[27009,] 9152 2305 -6.530580e-01
[27010,] 9152 9152 1.306116e+00
[27011,] 9153 594 -6.530580e-01
[27012,] 9153 2305 -6.530580e-01
[27013,] 9153 9153 1.306116e+00
[27014,] 9154 594 -6.530580e-01
[27015,] 9154 2305 -6.530580e-01
[27016,] 9154 9154 1.306116e+00
[27017,] 9155 594 -6.530580e-01
[27018,] 9155 2305 -6.530580e-01
[27019,] 9155 9155 1.306116e+00
[27020,] 9156 594 -6.530580e-01
[27021,] 9156 2305 -6.530580e-01
[27022,] 9156 9156 1.306116e+00
[27023,] 9157 594 -6.530580e-01
[27024,] 9157 2305 -6.530580e-01
[27025,] 9157 9157 1.306116e+00
[27026,] 9158 594 -6.530580e-01
[27027,] 9158 2305 -6.530580e-01
[27028,] 9158 9158 1.306116e+00
[27029,] 9159 594 -6.530580e-01
[27030,] 9159 2305 -6.530580e-01
[27031,] 9159 9159 1.306116e+00
[27032,] 9160 594 -6.530580e-01
[27033,] 9160 2305 -6.530580e-01
[27034,] 9160 9160 1.306116e+00
[27035,] 9161 519 -6.665582e-01
[27036,] 9161 4267 -6.665582e-01
[27037,] 9161 9161 1.333116e+00
[27038,] 9162 519 -6.665582e-01
[27039,] 9162 4267 -6.665582e-01
[27040,] 9162 9162 1.333116e+00
[27041,] 9163 519 -6.665582e-01
[27042,] 9163 4267 -6.665582e-01
[27043,] 9163 9163 1.333116e+00
[27044,] 9164 519 -6.665582e-01
[27045,] 9164 4267 -6.665582e-01
[27046,] 9164 9164 1.333116e+00
[27047,] 9165 519 -6.665582e-01
[27048,] 9165 4267 -6.665582e-01
[27049,] 9165 9165 1.333116e+00
[27050,] 9166 519 -6.665582e-01
[27051,] 9166 4267 -6.665582e-01
[27052,] 9166 9166 1.333116e+00
[27053,] 9167 519 -6.665582e-01
[27054,] 9167 4267 -6.665582e-01
[27055,] 9167 9167 1.333116e+00
[27056,] 9168 519 -6.665582e-01
[27057,] 9168 4267 -6.665582e-01
[27058,] 9168 9168 1.333116e+00
[27059,] 9169 519 -6.665582e-01
[27060,] 9169 4267 -6.665582e-01
[27061,] 9169 9169 1.333116e+00
[27062,] 9170 519 -6.665582e-01
[27063,] 9170 4267 -6.665582e-01
[27064,] 9170 9170 1.333116e+00
[27065,] 9171 426 -6.665582e-01
[27066,] 9171 4267 -6.665582e-01
[27067,] 9171 9171 1.333116e+00
[27068,] 9172 426 -6.665582e-01
[27069,] 9172 4267 -6.665582e-01
[27070,] 9172 9172 1.333116e+00
[27071,] 9173 426 -6.665582e-01
[27072,] 9173 4267 -6.665582e-01
[27073,] 9173 9173 1.333116e+00
[27074,] 9174 520 -6.526450e-01
[27075,] 9174 617 -6.526450e-01
[27076,] 9174 9174 1.305290e+00
[27077,] 9175 520 -6.526450e-01
[27078,] 9175 617 -6.526450e-01
[27079,] 9175 9175 1.305290e+00
[27080,] 9176 520 -6.526450e-01
[27081,] 9176 617 -6.526450e-01
[27082,] 9176 9176 1.305290e+00
[27083,] 9177 520 -6.526450e-01
[27084,] 9177 617 -6.526450e-01
[27085,] 9177 9177 1.305290e+00
[27086,] 9178 520 -6.526450e-01
[27087,] 9178 617 -6.526450e-01
[27088,] 9178 9178 1.305290e+00
[27089,] 9179 520 -6.526450e-01
[27090,] 9179 617 -6.526450e-01
[27091,] 9179 9179 1.305290e+00
[27092,] 9180 521 -6.526450e-01
[27093,] 9180 617 -6.526450e-01
[27094,] 9180 9180 1.305290e+00
[27095,] 9181 4263 -9.142857e-01
[27096,] 9181 4739 -9.142857e-01
[27097,] 9181 9181 1.828571e+00
[27098,] 9182 4263 -9.142857e-01
[27099,] 9182 4739 -9.142857e-01
[27100,] 9182 9182 1.828571e+00
[27101,] 9183 4263 -9.142857e-01
[27102,] 9183 4739 -9.142857e-01
[27103,] 9183 9183 1.828571e+00
[27104,] 9184 619 -9.992681e-01
[27105,] 9184 4753 -9.992681e-01
[27106,] 9184 9184 1.998536e+00
[27107,] 9185 619 -9.992681e-01
[27108,] 9185 4753 -9.992681e-01
[27109,] 9185 9185 1.998536e+00
[27110,] 9186 619 -9.992681e-01
[27111,] 9186 4753 -9.992681e-01
[27112,] 9186 9186 1.998536e+00
[27113,] 9187 619 -9.992681e-01
[27114,] 9187 4753 -9.992681e-01
[27115,] 9187 9187 1.998536e+00
[27116,] 9188 619 -9.992681e-01
[27117,] 9188 4753 -9.992681e-01
[27118,] 9188 9188 1.998536e+00
[27119,] 9189 619 -9.992681e-01
[27120,] 9189 4753 -9.992681e-01
[27121,] 9189 9189 1.998536e+00
[27122,] 9190 619 -9.992681e-01
[27123,] 9190 4754 -9.992681e-01
[27124,] 9190 9190 1.998536e+00
[27125,] 9191 619 -9.992681e-01
[27126,] 9191 4754 -9.992681e-01
[27127,] 9191 9191 1.998536e+00
[27128,] 9192 619 -9.992681e-01
[27129,] 9192 4754 -9.992681e-01
[27130,] 9192 9192 1.998536e+00
[27131,] 9193 619 -9.992681e-01
[27132,] 9193 4754 -9.992681e-01
[27133,] 9193 9193 1.998536e+00
[27134,] 9194 619 -9.992681e-01
[27135,] 9194 4754 -9.992681e-01
[27136,] 9194 9194 1.998536e+00
[27137,] 9195 619 -9.992681e-01
[27138,] 9195 4755 -9.992681e-01
[27139,] 9195 9195 1.998536e+00
[27140,] 9196 619 -9.992681e-01
[27141,] 9196 4755 -9.992681e-01
[27142,] 9196 9196 1.998536e+00
[27143,] 9197 619 -9.992681e-01
[27144,] 9197 4755 -9.992681e-01
[27145,] 9197 9197 1.998536e+00
[27146,] 9198 619 -9.992681e-01
[27147,] 9198 4755 -9.992681e-01
[27148,] 9198 9198 1.998536e+00
[27149,] 9199 522 -6.526450e-01
[27150,] 9199 617 -6.526450e-01
[27151,] 9199 9199 1.305290e+00
[27152,] 9200 522 -6.526450e-01
[27153,] 9200 617 -6.526450e-01
[27154,] 9200 9200 1.305290e+00
[27155,] 9201 522 -6.526450e-01
[27156,] 9201 617 -6.526450e-01
[27157,] 9201 9201 1.305290e+00
[27158,] 9202 388 -6.530612e-01
[27159,] 9202 1662 -6.530612e-01
[27160,] 9202 9202 1.306122e+00
[27161,] 9203 388 -6.530612e-01
[27162,] 9203 1662 -6.530612e-01
[27163,] 9203 9203 1.306122e+00
[27164,] 9204 388 -6.530612e-01
[27165,] 9204 1662 -6.530612e-01
[27166,] 9204 9204 1.306122e+00
[27167,] 9205 388 -6.530612e-01
[27168,] 9205 1662 -6.530612e-01
[27169,] 9205 9205 1.306122e+00
[27170,] 9206 388 -6.530612e-01
[27171,] 9206 1662 -6.530612e-01
[27172,] 9206 9206 1.306122e+00
[27173,] 9207 388 -6.530612e-01
[27174,] 9207 1662 -6.530612e-01
[27175,] 9207 9207 1.306122e+00
[27176,] 9208 388 -6.530612e-01
[27177,] 9208 1662 -6.530612e-01
[27178,] 9208 9208 1.306122e+00
[27179,] 9209 388 -6.530612e-01
[27180,] 9209 1662 -6.530612e-01
[27181,] 9209 9209 1.306122e+00
[27182,] 9210 388 -6.530612e-01
[27183,] 9210 1662 -6.530612e-01
[27184,] 9210 9210 1.306122e+00
[27185,] 9211 388 -6.530612e-01
[27186,] 9211 1662 -6.530612e-01
[27187,] 9211 9211 1.306122e+00
[27188,] 9212 388 -6.530612e-01
[27189,] 9212 1662 -6.530612e-01
[27190,] 9212 9212 1.306122e+00
[27191,] 9213 388 -6.530580e-01
[27192,] 9213 2305 -6.530580e-01
[27193,] 9213 9213 1.306116e+00
[27194,] 9214 388 -6.530580e-01
[27195,] 9214 2305 -6.530580e-01
[27196,] 9214 9214 1.306116e+00
[27197,] 9215 388 -6.530580e-01
[27198,] 9215 2305 -6.530580e-01
[27199,] 9215 9215 1.306116e+00
[27200,] 9216 388 -6.530580e-01
[27201,] 9216 2305 -6.530580e-01
[27202,] 9216 9216 1.306116e+00
[27203,] 9217 388 -6.530580e-01
[27204,] 9217 2305 -6.530580e-01
[27205,] 9217 9217 1.306116e+00
[27206,] 9218 388 -6.530580e-01
[27207,] 9218 2305 -6.530580e-01
[27208,] 9218 9218 1.306116e+00
[27209,] 9219 388 -6.530580e-01
[27210,] 9219 2305 -6.530580e-01
[27211,] 9219 9219 1.306116e+00
[27212,] 9220 388 -6.530580e-01
[27213,] 9220 2305 -6.530580e-01
[27214,] 9220 9220 1.306116e+00
[27215,] 9221 388 -6.530580e-01
[27216,] 9221 2305 -6.530580e-01
[27217,] 9221 9221 1.306116e+00
[27218,] 9222 388 -6.530580e-01
[27219,] 9222 2305 -6.530580e-01
[27220,] 9222 9222 1.306116e+00
[27221,] 9223 388 -6.530580e-01
[27222,] 9223 2305 -6.530580e-01
[27223,] 9223 9223 1.306116e+00
[27224,] 9224 388 -6.530580e-01
[27225,] 9224 2305 -6.530580e-01
[27226,] 9224 9224 1.306116e+00
[27227,] 9225 388 -6.530580e-01
[27228,] 9225 2305 -6.530580e-01
[27229,] 9225 9225 1.306116e+00
[27230,] 9226 388 -6.530580e-01
[27231,] 9226 2305 -6.530580e-01
[27232,] 9226 9226 1.306116e+00
[27233,] 9227 388 -6.530580e-01
[27234,] 9227 2305 -6.530580e-01
[27235,] 9227 9227 1.306116e+00
[27236,] 9228 388 -6.530580e-01
[27237,] 9228 2305 -6.530580e-01
[27238,] 9228 9228 1.306116e+00
[27239,] 9229 388 -6.530580e-01
[27240,] 9229 2305 -6.530580e-01
[27241,] 9229 9229 1.306116e+00
[27242,] 9230 388 -6.530580e-01
[27243,] 9230 2305 -6.530580e-01
[27244,] 9230 9230 1.306116e+00
[27245,] 9231 388 -6.530580e-01
[27246,] 9231 2305 -6.530580e-01
[27247,] 9231 9231 1.306116e+00
[27248,] 9232 388 -6.530580e-01
[27249,] 9232 2305 -6.530580e-01
[27250,] 9232 9232 1.306116e+00
[27251,] 9233 388 -6.530580e-01
[27252,] 9233 2305 -6.530580e-01
[27253,] 9233 9233 1.306116e+00
[27254,] 9234 4263 -9.142857e-01
[27255,] 9234 4736 -9.142857e-01
[27256,] 9234 9234 1.828571e+00
[27257,] 9235 4263 -9.142857e-01
[27258,] 9235 4736 -9.142857e-01
[27259,] 9235 9235 1.828571e+00
[27260,] 9236 4263 -9.142857e-01
[27261,] 9236 4736 -9.142857e-01
[27262,] 9236 9236 1.828571e+00
[27263,] 9237 4263 -9.142857e-01
[27264,] 9237 4736 -9.142857e-01
[27265,] 9237 9237 1.828571e+00
[27266,] 9238 4263 -9.142857e-01
[27267,] 9238 4736 -9.142857e-01
[27268,] 9238 9238 1.828571e+00
[27269,] 9239 4263 -9.142857e-01
[27270,] 9239 4736 -9.142857e-01
[27271,] 9239 9239 1.828571e+00
[27272,] 9240 4263 -9.142857e-01
[27273,] 9240 4736 -9.142857e-01
[27274,] 9240 9240 1.828571e+00
[27275,] 9241 4263 -9.142857e-01
[27276,] 9241 4736 -9.142857e-01
[27277,] 9241 9241 1.828571e+00
[27278,] 9242 4263 -9.142857e-01
[27279,] 9242 4736 -9.142857e-01
[27280,] 9242 9242 1.828571e+00
[27281,] 9243 4263 -9.142857e-01
[27282,] 9243 4736 -9.142857e-01
[27283,] 9243 9243 1.828571e+00
[27284,] 9244 4263 -9.142857e-01
[27285,] 9244 4736 -9.142857e-01
[27286,] 9244 9244 1.828571e+00
[27287,] 9245 4263 -9.142857e-01
[27288,] 9245 4736 -9.142857e-01
[27289,] 9245 9245 1.828571e+00
[27290,] 9246 4263 -9.142857e-01
[27291,] 9246 4736 -9.142857e-01
[27292,] 9246 9246 1.828571e+00
[27293,] 9247 4263 -9.142857e-01
[27294,] 9247 4736 -9.142857e-01
[27295,] 9247 9247 1.828571e+00
[27296,] 9248 4263 -9.142857e-01
[27297,] 9248 4736 -9.142857e-01
[27298,] 9248 9248 1.828571e+00
[27299,] 9249 4263 -9.142857e-01
[27300,] 9249 4738 -9.142857e-01
[27301,] 9249 9249 1.828571e+00
[27302,] 9250 4263 -9.142857e-01
[27303,] 9250 4738 -9.142857e-01
[27304,] 9250 9250 1.828571e+00
[27305,] 9251 4263 -9.142857e-01
[27306,] 9251 4738 -9.142857e-01
[27307,] 9251 9251 1.828571e+00
[27308,] 9252 4263 -9.142857e-01
[27309,] 9252 4738 -9.142857e-01
[27310,] 9252 9252 1.828571e+00
[27311,] 9253 4263 -9.142857e-01
[27312,] 9253 4738 -9.142857e-01
[27313,] 9253 9253 1.828571e+00
[27314,] 9254 4263 -9.142857e-01
[27315,] 9254 4738 -9.142857e-01
[27316,] 9254 9254 1.828571e+00
[27317,] 9255 4263 -9.142857e-01
[27318,] 9255 4738 -9.142857e-01
[27319,] 9255 9255 1.828571e+00
[27320,] 9256 4263 -9.142857e-01
[27321,] 9256 4738 -9.142857e-01
[27322,] 9256 9256 1.828571e+00
[27323,] 9257 4263 -9.142857e-01
[27324,] 9257 4738 -9.142857e-01
[27325,] 9257 9257 1.828571e+00
[27326,] 9258 4263 -9.142857e-01
[27327,] 9258 4738 -9.142857e-01
[27328,] 9258 9258 1.828571e+00
[27329,] 9259 4263 -9.142857e-01
[27330,] 9259 4738 -9.142857e-01
[27331,] 9259 9259 1.828571e+00
[27332,] 9260 619 -9.992681e-01
[27333,] 9260 4743 -9.992681e-01
[27334,] 9260 9260 1.998536e+00
[27335,] 9261 619 -9.992681e-01
[27336,] 9261 4743 -9.992681e-01
[27337,] 9261 9261 1.998536e+00
[27338,] 9262 619 -9.992681e-01
[27339,] 9262 4743 -9.992681e-01
[27340,] 9262 9262 1.998536e+00
[27341,] 9263 619 -9.992681e-01
[27342,] 9263 4743 -9.992681e-01
[27343,] 9263 9263 1.998536e+00
[27344,] 9264 619 -9.992681e-01
[27345,] 9264 4743 -9.992681e-01
[27346,] 9264 9264 1.998536e+00
[27347,] 9265 619 -9.992681e-01
[27348,] 9265 4743 -9.992681e-01
[27349,] 9265 9265 1.998536e+00
[27350,] 9266 619 -9.992681e-01
[27351,] 9266 4743 -9.992681e-01
[27352,] 9266 9266 1.998536e+00
[27353,] 9267 619 -9.992681e-01
[27354,] 9267 4743 -9.992681e-01
[27355,] 9267 9267 1.998536e+00
[27356,] 9268 619 -9.992681e-01
[27357,] 9268 4743 -9.992681e-01
[27358,] 9268 9268 1.998536e+00
[27359,] 9269 619 -9.992681e-01
[27360,] 9269 4743 -9.992681e-01
[27361,] 9269 9269 1.998536e+00
[27362,] 9270 619 -9.992681e-01
[27363,] 9270 4743 -9.992681e-01
[27364,] 9270 9270 1.998536e+00
[27365,] 9271 619 -9.992681e-01
[27366,] 9271 4744 -9.992681e-01
[27367,] 9271 9271 1.998536e+00
[27368,] 9272 619 -9.992681e-01
[27369,] 9272 4744 -9.992681e-01
[27370,] 9272 9272 1.998536e+00
[27371,] 9273 619 -9.992681e-01
[27372,] 9273 4744 -9.992681e-01
[27373,] 9273 9273 1.998536e+00
[27374,] 9274 619 -9.992681e-01
[27375,] 9274 4744 -9.992681e-01
[27376,] 9274 9274 1.998536e+00
[27377,] 9275 619 -9.992681e-01
[27378,] 9275 4744 -9.992681e-01
[27379,] 9275 9275 1.998536e+00
[27380,] 9276 619 -9.992681e-01
[27381,] 9276 4744 -9.992681e-01
[27382,] 9276 9276 1.998536e+00
[27383,] 9277 619 -9.992681e-01
[27384,] 9277 4744 -9.992681e-01
[27385,] 9277 9277 1.998536e+00
[27386,] 9278 619 -9.992681e-01
[27387,] 9278 4744 -9.992681e-01
[27388,] 9278 9278 1.998536e+00
[27389,] 9279 619 -9.992681e-01
[27390,] 9279 4748 -9.992681e-01
[27391,] 9279 9279 1.998536e+00
[27392,] 9280 619 -9.992681e-01
[27393,] 9280 4748 -9.992681e-01
[27394,] 9280 9280 1.998536e+00
[27395,] 9281 619 -9.992681e-01
[27396,] 9281 4748 -9.992681e-01
[27397,] 9281 9281 1.998536e+00
[27398,] 9282 619 -9.992681e-01
[27399,] 9282 4748 -9.992681e-01
[27400,] 9282 9282 1.998536e+00
[27401,] 9283 619 -9.992681e-01
[27402,] 9283 4748 -9.992681e-01
[27403,] 9283 9283 1.998536e+00
[27404,] 9284 619 -9.992681e-01
[27405,] 9284 4748 -9.992681e-01
[27406,] 9284 9284 1.998536e+00
[27407,] 9285 619 -9.992681e-01
[27408,] 9285 4748 -9.992681e-01
[27409,] 9285 9285 1.998536e+00
[27410,] 9286 619 -9.992681e-01
[27411,] 9286 4748 -9.992681e-01
[27412,] 9286 9286 1.998536e+00
[27413,] 9287 619 -9.992681e-01
[27414,] 9287 4749 -9.992681e-01
[27415,] 9287 9287 1.998536e+00
[27416,] 9288 619 -9.992681e-01
[27417,] 9288 4749 -9.992681e-01
[27418,] 9288 9288 1.998536e+00
[27419,] 9289 619 -9.992681e-01
[27420,] 9289 4749 -9.992681e-01
[27421,] 9289 9289 1.998536e+00
[27422,] 9290 619 -9.992681e-01
[27423,] 9290 4749 -9.992681e-01
[27424,] 9290 9290 1.998536e+00
[27425,] 9291 619 -9.992681e-01
[27426,] 9291 4749 -9.992681e-01
[27427,] 9291 9291 1.998536e+00
[27428,] 9292 619 -9.992681e-01
[27429,] 9292 4749 -9.992681e-01
[27430,] 9292 9292 1.998536e+00
[27431,] 9293 619 -9.992681e-01
[27432,] 9293 4749 -9.992681e-01
[27433,] 9293 9293 1.998536e+00
[27434,] 9294 619 -9.992681e-01
[27435,] 9294 4750 -9.992681e-01
[27436,] 9294 9294 1.998536e+00
[27437,] 9295 619 -9.992681e-01
[27438,] 9295 4750 -9.992681e-01
[27439,] 9295 9295 1.998536e+00
[27440,] 9296 619 -9.992681e-01
[27441,] 9296 4750 -9.992681e-01
[27442,] 9296 9296 1.998536e+00
[27443,] 9297 619 -9.992681e-01
[27444,] 9297 4750 -9.992681e-01
[27445,] 9297 9297 1.998536e+00
[27446,] 9298 619 -9.992681e-01
[27447,] 9298 4750 -9.992681e-01
[27448,] 9298 9298 1.998536e+00
[27449,] 9299 619 -9.992681e-01
[27450,] 9299 4750 -9.992681e-01
[27451,] 9299 9299 1.998536e+00
[27452,] 9300 619 -9.992681e-01
[27453,] 9300 4750 -9.992681e-01
[27454,] 9300 9300 1.998536e+00
[27455,] 9301 619 -9.992681e-01
[27456,] 9301 4750 -9.992681e-01
[27457,] 9301 9301 1.998536e+00
[27458,] 9302 619 -9.992681e-01
[27459,] 9302 4750 -9.992681e-01
[27460,] 9302 9302 1.998536e+00
[27461,] 9303 619 -9.992681e-01
[27462,] 9303 4750 -9.992681e-01
[27463,] 9303 9303 1.998536e+00
[27464,] 9304 619 -9.992681e-01
[27465,] 9304 4750 -9.992681e-01
[27466,] 9304 9304 1.998536e+00
[27467,] 9305 619 -9.992681e-01
[27468,] 9305 4750 -9.992681e-01
[27469,] 9305 9305 1.998536e+00
[27470,] 9306 619 -9.992681e-01
[27471,] 9306 4751 -9.992681e-01
[27472,] 9306 9306 1.998536e+00
[27473,] 9307 619 -9.992681e-01
[27474,] 9307 4751 -9.992681e-01
[27475,] 9307 9307 1.998536e+00
[27476,] 9308 619 -9.992681e-01
[27477,] 9308 4751 -9.992681e-01
[27478,] 9308 9308 1.998536e+00
[27479,] 9309 619 -9.992681e-01
[27480,] 9309 4751 -9.992681e-01
[27481,] 9309 9309 1.998536e+00
[27482,] 9310 619 -9.992681e-01
[27483,] 9310 4751 -9.992681e-01
[27484,] 9310 9310 1.998536e+00
[27485,] 9311 619 -9.992681e-01
[27486,] 9311 4751 -9.992681e-01
[27487,] 9311 9311 1.998536e+00
[27488,] 9312 619 -9.992681e-01
[27489,] 9312 4751 -9.992681e-01
[27490,] 9312 9312 1.998536e+00
[27491,] 9313 619 -9.992681e-01
[27492,] 9313 4751 -9.992681e-01
[27493,] 9313 9313 1.998536e+00
[27494,] 9314 619 -9.992681e-01
[27495,] 9314 4751 -9.992681e-01
[27496,] 9314 9314 1.998536e+00
[27497,] 9315 619 -9.992681e-01
[27498,] 9315 4752 -9.992681e-01
[27499,] 9315 9315 1.998536e+00
[27500,] 9316 619 -9.992681e-01
[27501,] 9316 4752 -9.992681e-01
[27502,] 9316 9316 1.998536e+00
[27503,] 9317 619 -9.992681e-01
[27504,] 9317 4752 -9.992681e-01
[27505,] 9317 9317 1.998536e+00
[27506,] 9318 619 -9.992681e-01
[27507,] 9318 4752 -9.992681e-01
[27508,] 9318 9318 1.998536e+00
[27509,] 9319 619 -9.992681e-01
[27510,] 9319 4752 -9.992681e-01
[27511,] 9319 9319 1.998536e+00
[27512,] 9320 619 -9.992681e-01
[27513,] 9320 4752 -9.992681e-01
[27514,] 9320 9320 1.998536e+00
[27515,] 9321 619 -9.992681e-01
[27516,] 9321 4752 -9.992681e-01
[27517,] 9321 9321 1.998536e+00
[27518,] 9322 619 -9.992681e-01
[27519,] 9322 4752 -9.992681e-01
[27520,] 9322 9322 1.998536e+00
[27521,] 9323 619 -9.992681e-01
[27522,] 9323 4752 -9.992681e-01
[27523,] 9323 9323 1.998536e+00
[27524,] 9324 619 -9.992681e-01
[27525,] 9324 4752 -9.992681e-01
[27526,] 9324 9324 1.998536e+00
[27527,] 9325 619 -9.992681e-01
[27528,] 9325 4752 -9.992681e-01
[27529,] 9325 9325 1.998536e+00
[27530,] 9326 619 -9.992681e-01
[27531,] 9326 4752 -9.992681e-01
[27532,] 9326 9326 1.998536e+00
[27533,] 9327 4266 -9.998169e-01
[27534,] 9327 4782 -9.998169e-01
[27535,] 9327 9327 1.999634e+00
[27536,] 9328 4266 -9.998169e-01
[27537,] 9328 4782 -9.998169e-01
[27538,] 9328 9328 1.999634e+00
[27539,] 9329 4266 -9.998169e-01
[27540,] 9329 4783 -9.998169e-01
[27541,] 9329 9329 1.999634e+00
[27542,] 9330 4266 -9.998169e-01
[27543,] 9330 4783 -9.998169e-01
[27544,] 9330 9330 1.999634e+00
[27545,] 9331 523 -6.526450e-01
[27546,] 9331 617 -6.526450e-01
[27547,] 9331 9331 1.305290e+00
[27548,] 9332 523 -6.526450e-01
[27549,] 9332 617 -6.526450e-01
[27550,] 9332 9332 1.305290e+00
[27551,] 9333 523 -6.526450e-01
[27552,] 9333 617 -6.526450e-01
[27553,] 9333 9333 1.305290e+00
[27554,] 9334 523 -6.526450e-01
[27555,] 9334 617 -6.526450e-01
[27556,] 9334 9334 1.305290e+00
[27557,] 9335 523 -6.526450e-01
[27558,] 9335 617 -6.526450e-01
[27559,] 9335 9335 1.305290e+00
[27560,] 9336 523 -6.526450e-01
[27561,] 9336 617 -6.526450e-01
[27562,] 9336 9336 1.305290e+00
[27563,] 9337 523 -6.526450e-01
[27564,] 9337 617 -6.526450e-01
[27565,] 9337 9337 1.305290e+00
[27566,] 9338 523 -6.526450e-01
[27567,] 9338 617 -6.526450e-01
[27568,] 9338 9338 1.305290e+00
[27569,] 9339 523 -6.526450e-01
[27570,] 9339 617 -6.526450e-01
[27571,] 9339 9339 1.305290e+00
[27572,] 9340 523 -6.526450e-01
[27573,] 9340 617 -6.526450e-01
[27574,] 9340 9340 1.305290e+00
[27575,] 9341 523 -6.526450e-01
[27576,] 9341 617 -6.526450e-01
[27577,] 9341 9341 1.305290e+00
[27578,] 9342 523 -6.526450e-01
[27579,] 9342 617 -6.526450e-01
[27580,] 9342 9342 1.305290e+00
[27581,] 9343 523 -6.526450e-01
[27582,] 9343 617 -6.526450e-01
[27583,] 9343 9343 1.305290e+00
[27584,] 9344 523 -6.526450e-01
[27585,] 9344 617 -6.526450e-01
[27586,] 9344 9344 1.305290e+00
[27587,] 9345 523 -6.526450e-01
[27588,] 9345 617 -6.526450e-01
[27589,] 9345 9345 1.305290e+00
[27590,] 9346 523 -6.526450e-01
[27591,] 9346 617 -6.526450e-01
[27592,] 9346 9346 1.305290e+00
[27593,] 9347 523 -6.526450e-01
[27594,] 9347 617 -6.526450e-01
[27595,] 9347 9347 1.305290e+00
[27596,] 9348 523 -6.526450e-01
[27597,] 9348 617 -6.526450e-01
[27598,] 9348 9348 1.305290e+00
[27599,] 9349 523 -6.526450e-01
[27600,] 9349 617 -6.526450e-01
[27601,] 9349 9349 1.305290e+00
[27602,] 9350 523 -6.526450e-01
[27603,] 9350 617 -6.526450e-01
[27604,] 9350 9350 1.305290e+00
[27605,] 9351 523 -6.526450e-01
[27606,] 9351 617 -6.526450e-01
[27607,] 9351 9351 1.305290e+00
[27608,] 9352 523 -6.526450e-01
[27609,] 9352 617 -6.526450e-01
[27610,] 9352 9352 1.305290e+00
[27611,] 9353 523 -6.526450e-01
[27612,] 9353 617 -6.526450e-01
[27613,] 9353 9353 1.305290e+00
[27614,] 9354 523 -6.526450e-01
[27615,] 9354 617 -6.526450e-01
[27616,] 9354 9354 1.305290e+00
[27617,] 9355 523 -6.526450e-01
[27618,] 9355 617 -6.526450e-01
[27619,] 9355 9355 1.305290e+00
[27620,] 9356 523 -6.526450e-01
[27621,] 9356 617 -6.526450e-01
[27622,] 9356 9356 1.305290e+00
[27623,] 9357 523 -6.526450e-01
[27624,] 9357 617 -6.526450e-01
[27625,] 9357 9357 1.305290e+00
[27626,] 9358 523 -6.526450e-01
[27627,] 9358 617 -6.526450e-01
[27628,] 9358 9358 1.305290e+00
[27629,] 9359 523 -6.526450e-01
[27630,] 9359 617 -6.526450e-01
[27631,] 9359 9359 1.305290e+00
[27632,] 9360 523 -6.526450e-01
[27633,] 9360 617 -6.526450e-01
[27634,] 9360 9360 1.305290e+00
[27635,] 9361 523 -6.526450e-01
[27636,] 9361 617 -6.526450e-01
[27637,] 9361 9361 1.305290e+00
[27638,] 9362 523 -6.526450e-01
[27639,] 9362 617 -6.526450e-01
[27640,] 9362 9362 1.305290e+00
[27641,] 9363 523 -6.526450e-01
[27642,] 9363 617 -6.526450e-01
[27643,] 9363 9363 1.305290e+00
[27644,] 9364 523 -6.526450e-01
[27645,] 9364 617 -6.526450e-01
[27646,] 9364 9364 1.305290e+00
[27647,] 9365 523 -6.526450e-01
[27648,] 9365 617 -6.526450e-01
[27649,] 9365 9365 1.305290e+00
[27650,] 9366 523 -6.526450e-01
[27651,] 9366 617 -6.526450e-01
[27652,] 9366 9366 1.305290e+00
[27653,] 9367 523 -6.526450e-01
[27654,] 9367 617 -6.526450e-01
[27655,] 9367 9367 1.305290e+00
[27656,] 9368 523 -6.526450e-01
[27657,] 9368 617 -6.526450e-01
[27658,] 9368 9368 1.305290e+00
[27659,] 9369 523 -6.526450e-01
[27660,] 9369 617 -6.526450e-01
[27661,] 9369 9369 1.305290e+00
[27662,] 9370 523 -6.526450e-01
[27663,] 9370 617 -6.526450e-01
[27664,] 9370 9370 1.305290e+00
[27665,] 9371 523 -6.526450e-01
[27666,] 9371 617 -6.526450e-01
[27667,] 9371 9371 1.305290e+00
[27668,] 9372 523 -6.526450e-01
[27669,] 9372 617 -6.526450e-01
[27670,] 9372 9372 1.305290e+00
[27671,] 9373 523 -6.526450e-01
[27672,] 9373 617 -6.526450e-01
[27673,] 9373 9373 1.305290e+00
[27674,] 9374 523 -6.526450e-01
[27675,] 9374 617 -6.526450e-01
[27676,] 9374 9374 1.305290e+00
[27677,] 9375 523 -6.526450e-01
[27678,] 9375 617 -6.526450e-01
[27679,] 9375 9375 1.305290e+00
[27680,] 9376 523 -6.526450e-01
[27681,] 9376 617 -6.526450e-01
[27682,] 9376 9376 1.305290e+00
[27683,] 9377 523 -6.526450e-01
[27684,] 9377 617 -6.526450e-01
[27685,] 9377 9377 1.305290e+00
[27686,] 9378 524 -6.526450e-01
[27687,] 9378 4264 -6.526450e-01
[27688,] 9378 9378 1.305290e+00
[27689,] 9379 524 -6.526450e-01
[27690,] 9379 4264 -6.526450e-01
[27691,] 9379 9379 1.305290e+00
[27692,] 9380 524 -6.526450e-01
[27693,] 9380 4264 -6.526450e-01
[27694,] 9380 9380 1.305290e+00
[27695,] 9381 524 -6.526450e-01
[27696,] 9381 4264 -6.526450e-01
[27697,] 9381 9381 1.305290e+00
[27698,] 9382 524 -6.526450e-01
[27699,] 9382 4264 -6.526450e-01
[27700,] 9382 9382 1.305290e+00
[27701,] 9383 524 -6.526450e-01
[27702,] 9383 4264 -6.526450e-01
[27703,] 9383 9383 1.305290e+00
[27704,] 9384 524 -6.526450e-01
[27705,] 9384 4264 -6.526450e-01
[27706,] 9384 9384 1.305290e+00
[27707,] 9385 524 -6.526450e-01
[27708,] 9385 4264 -6.526450e-01
[27709,] 9385 9385 1.305290e+00
[27710,] 9386 524 -6.526450e-01
[27711,] 9386 4264 -6.526450e-01
[27712,] 9386 9386 1.305290e+00
[27713,] 9387 524 -6.526450e-01
[27714,] 9387 4264 -6.526450e-01
[27715,] 9387 9387 1.305290e+00
[27716,] 9388 524 -6.526450e-01
[27717,] 9388 4264 -6.526450e-01
[27718,] 9388 9388 1.305290e+00
[27719,] 9389 524 -6.526450e-01
[27720,] 9389 4264 -6.526450e-01
[27721,] 9389 9389 1.305290e+00
[27722,] 9390 524 -6.526450e-01
[27723,] 9390 4264 -6.526450e-01
[27724,] 9390 9390 1.305290e+00
[27725,] 9391 524 -6.526450e-01
[27726,] 9391 4264 -6.526450e-01
[27727,] 9391 9391 1.305290e+00
[27728,] 9392 524 -6.526450e-01
[27729,] 9392 4264 -6.526450e-01
[27730,] 9392 9392 1.305290e+00
[27731,] 9393 524 -6.526450e-01
[27732,] 9393 4264 -6.526450e-01
[27733,] 9393 9393 1.305290e+00
[27734,] 9394 524 -6.526450e-01
[27735,] 9394 4264 -6.526450e-01
[27736,] 9394 9394 1.305290e+00
[27737,] 9395 524 -6.526450e-01
[27738,] 9395 4264 -6.526450e-01
[27739,] 9395 9395 1.305290e+00
[27740,] 9396 524 -6.526450e-01
[27741,] 9396 4264 -6.526450e-01
[27742,] 9396 9396 1.305290e+00
[27743,] 9397 524 -6.526450e-01
[27744,] 9397 4264 -6.526450e-01
[27745,] 9397 9397 1.305290e+00
[27746,] 9398 524 -6.526450e-01
[27747,] 9398 4264 -6.526450e-01
[27748,] 9398 9398 1.305290e+00
[27749,] 9399 524 -6.526450e-01
[27750,] 9399 4264 -6.526450e-01
[27751,] 9399 9399 1.305290e+00
[27752,] 9400 524 -6.526450e-01
[27753,] 9400 4264 -6.526450e-01
[27754,] 9400 9400 1.305290e+00
[27755,] 9401 524 -6.526450e-01
[27756,] 9401 4264 -6.526450e-01
[27757,] 9401 9401 1.305290e+00
[27758,] 9402 524 -6.526450e-01
[27759,] 9402 4264 -6.526450e-01
[27760,] 9402 9402 1.305290e+00
[27761,] 9403 524 -6.526450e-01
[27762,] 9403 4264 -6.526450e-01
[27763,] 9403 9403 1.305290e+00
[27764,] 9404 524 -6.526450e-01
[27765,] 9404 4264 -6.526450e-01
[27766,] 9404 9404 1.305290e+00
[27767,] 9405 524 -6.526450e-01
[27768,] 9405 4264 -6.526450e-01
[27769,] 9405 9405 1.305290e+00
[27770,] 9406 524 -6.526450e-01
[27771,] 9406 4264 -6.526450e-01
[27772,] 9406 9406 1.305290e+00
[27773,] 9407 525 -6.665582e-01
[27774,] 9407 4267 -6.665582e-01
[27775,] 9407 9407 1.333116e+00
[27776,] 9408 525 -6.665582e-01
[27777,] 9408 4267 -6.665582e-01
[27778,] 9408 9408 1.333116e+00
[27779,] 9409 525 -6.665582e-01
[27780,] 9409 4267 -6.665582e-01
[27781,] 9409 9409 1.333116e+00
[27782,] 9410 525 -6.665582e-01
[27783,] 9410 4267 -6.665582e-01
[27784,] 9410 9410 1.333116e+00
[27785,] 9411 526 -6.400000e-01
[27786,] 9411 4263 -6.400000e-01
[27787,] 9411 9411 1.280000e+00
[27788,] 9412 526 -6.400000e-01
[27789,] 9412 4263 -6.400000e-01
[27790,] 9412 9412 1.280000e+00
[27791,] 9413 526 -6.400000e-01
[27792,] 9413 4263 -6.400000e-01
[27793,] 9413 9413 1.280000e+00
[27794,] 9414 526 -6.400000e-01
[27795,] 9414 4263 -6.400000e-01
[27796,] 9414 9414 1.280000e+00
[27797,] 9415 526 -6.400000e-01
[27798,] 9415 4263 -6.400000e-01
[27799,] 9415 9415 1.280000e+00
[27800,] 9416 526 -6.400000e-01
[27801,] 9416 4263 -6.400000e-01
[27802,] 9416 9416 1.280000e+00
[27803,] 9417 526 -6.400000e-01
[27804,] 9417 4263 -6.400000e-01
[27805,] 9417 9417 1.280000e+00
[27806,] 9418 526 -6.400000e-01
[27807,] 9418 4263 -6.400000e-01
[27808,] 9418 9418 1.280000e+00
[27809,] 9419 526 -6.400000e-01
[27810,] 9419 4263 -6.400000e-01
[27811,] 9419 9419 1.280000e+00
[27812,] 9420 526 -6.400000e-01
[27813,] 9420 4263 -6.400000e-01
[27814,] 9420 9420 1.280000e+00
[27815,] 9421 526 -6.400000e-01
[27816,] 9421 4263 -6.400000e-01
[27817,] 9421 9421 1.280000e+00
[27818,] 9422 526 -6.400000e-01
[27819,] 9422 4263 -6.400000e-01
[27820,] 9422 9422 1.280000e+00
[27821,] 9423 526 -6.400000e-01
[27822,] 9423 4263 -6.400000e-01
[27823,] 9423 9423 1.280000e+00
[27824,] 9424 527 -6.526450e-01
[27825,] 9424 617 -6.526450e-01
[27826,] 9424 9424 1.305290e+00
[27827,] 9425 527 -6.526450e-01
[27828,] 9425 617 -6.526450e-01
[27829,] 9425 9425 1.305290e+00
[27830,] 9426 527 -6.526450e-01
[27831,] 9426 617 -6.526450e-01
[27832,] 9426 9426 1.305290e+00
[27833,] 9427 527 -6.526450e-01
[27834,] 9427 617 -6.526450e-01
[27835,] 9427 9427 1.305290e+00
[27836,] 9428 527 -6.526450e-01
[27837,] 9428 617 -6.526450e-01
[27838,] 9428 9428 1.305290e+00
[27839,] 9429 528 -6.400000e-01
[27840,] 9429 4263 -6.400000e-01
[27841,] 9429 9429 1.280000e+00
[27842,] 9430 528 -6.400000e-01
[27843,] 9430 4263 -6.400000e-01
[27844,] 9430 9430 1.280000e+00
[27845,] 9431 528 -6.400000e-01
[27846,] 9431 4263 -6.400000e-01
[27847,] 9431 9431 1.280000e+00
[27848,] 9432 528 -6.400000e-01
[27849,] 9432 4263 -6.400000e-01
[27850,] 9432 9432 1.280000e+00
[27851,] 9433 528 -6.400000e-01
[27852,] 9433 4263 -6.400000e-01
[27853,] 9433 9433 1.280000e+00
[27854,] 9434 528 -6.400000e-01
[27855,] 9434 4263 -6.400000e-01
[27856,] 9434 9434 1.280000e+00
[27857,] 9435 528 -6.400000e-01
[27858,] 9435 4263 -6.400000e-01
[27859,] 9435 9435 1.280000e+00
[27860,] 9436 528 -6.400000e-01
[27861,] 9436 4263 -6.400000e-01
[27862,] 9436 9436 1.280000e+00
[27863,] 9437 617 -6.526450e-01
[27864,] 9437 4719 -6.526450e-01
[27865,] 9437 9437 1.305290e+00
[27866,] 9438 617 -6.526450e-01
[27867,] 9438 4719 -6.526450e-01
[27868,] 9438 9438 1.305290e+00
[27869,] 9439 617 -6.526450e-01
[27870,] 9439 4719 -6.526450e-01
[27871,] 9439 9439 1.305290e+00
[27872,] 9440 617 -6.526450e-01
[27873,] 9440 4719 -6.526450e-01
[27874,] 9440 9440 1.305290e+00
[27875,] 9441 617 -6.526450e-01
[27876,] 9441 4719 -6.526450e-01
[27877,] 9441 9441 1.305290e+00
[27878,] 9442 617 -6.526450e-01
[27879,] 9442 4719 -6.526450e-01
[27880,] 9442 9442 1.305290e+00
[27881,] 9443 617 -6.526450e-01
[27882,] 9443 4719 -6.526450e-01
[27883,] 9443 9443 1.305290e+00
[27884,] 9444 617 -6.526450e-01
[27885,] 9444 4719 -6.526450e-01
[27886,] 9444 9444 1.305290e+00
[27887,] 9445 617 -6.526450e-01
[27888,] 9445 4719 -6.526450e-01
[27889,] 9445 9445 1.305290e+00
[27890,] 9446 617 -6.526450e-01
[27891,] 9446 4719 -6.526450e-01
[27892,] 9446 9446 1.305290e+00
[27893,] 9447 617 -6.526450e-01
[27894,] 9447 4719 -6.526450e-01
[27895,] 9447 9447 1.305290e+00
[27896,] 9448 617 -6.526450e-01
[27897,] 9448 4719 -6.526450e-01
[27898,] 9448 9448 1.305290e+00
[27899,] 9449 617 -6.526450e-01
[27900,] 9449 4719 -6.526450e-01
[27901,] 9449 9449 1.305290e+00
[27902,] 9450 4263 -6.400000e-01
[27903,] 9450 4714 -6.400000e-01
[27904,] 9450 9450 1.280000e+00
[27905,] 9451 4263 -6.400000e-01
[27906,] 9451 4714 -6.400000e-01
[27907,] 9451 9451 1.280000e+00
[27908,] 9452 4263 -6.400000e-01
[27909,] 9452 4714 -6.400000e-01
[27910,] 9452 9452 1.280000e+00
[27911,] 9453 4263 -6.400000e-01
[27912,] 9453 4714 -6.400000e-01
[27913,] 9453 9453 1.280000e+00
[27914,] 9454 4263 -6.400000e-01
[27915,] 9454 4714 -6.400000e-01
[27916,] 9454 9454 1.280000e+00
[27917,] 9455 4263 -6.400000e-01
[27918,] 9455 4714 -6.400000e-01
[27919,] 9455 9455 1.280000e+00
[27920,] 9456 4263 -6.400000e-01
[27921,] 9456 4714 -6.400000e-01
[27922,] 9456 9456 1.280000e+00
[27923,] 9457 4263 -6.400000e-01
[27924,] 9457 4714 -6.400000e-01
[27925,] 9457 9457 1.280000e+00
[27926,] 9458 4263 -6.400000e-01
[27927,] 9458 4714 -6.400000e-01
[27928,] 9458 9458 1.280000e+00
[27929,] 9459 4263 -6.400000e-01
[27930,] 9459 4714 -6.400000e-01
[27931,] 9459 9459 1.280000e+00
[27932,] 9460 4263 -6.400000e-01
[27933,] 9460 4714 -6.400000e-01
[27934,] 9460 9460 1.280000e+00
[27935,] 9461 529 -6.400000e-01
[27936,] 9461 4263 -6.400000e-01
[27937,] 9461 9461 1.280000e+00
[27938,] 9462 529 -6.400000e-01
[27939,] 9462 4263 -6.400000e-01
[27940,] 9462 9462 1.280000e+00
[27941,] 9463 529 -6.400000e-01
[27942,] 9463 4263 -6.400000e-01
[27943,] 9463 9463 1.280000e+00
[27944,] 9464 529 -6.400000e-01
[27945,] 9464 4263 -6.400000e-01
[27946,] 9464 9464 1.280000e+00
[27947,] 9465 529 -6.400000e-01
[27948,] 9465 4263 -6.400000e-01
[27949,] 9465 9465 1.280000e+00
[27950,] 9466 529 -6.400000e-01
[27951,] 9466 4263 -6.400000e-01
[27952,] 9466 9466 1.280000e+00
[27953,] 9467 529 -6.400000e-01
[27954,] 9467 4263 -6.400000e-01
[27955,] 9467 9467 1.280000e+00
[27956,] 9468 529 -6.400000e-01
[27957,] 9468 4263 -6.400000e-01
[27958,] 9468 9468 1.280000e+00
[27959,] 9469 529 -6.400000e-01
[27960,] 9469 4263 -6.400000e-01
[27961,] 9469 9469 1.280000e+00
[27962,] 9470 529 -6.400000e-01
[27963,] 9470 4263 -6.400000e-01
[27964,] 9470 9470 1.280000e+00
[27965,] 9471 529 -6.400000e-01
[27966,] 9471 4263 -6.400000e-01
[27967,] 9471 9471 1.280000e+00
[27968,] 9472 529 -6.400000e-01
[27969,] 9472 4263 -6.400000e-01
[27970,] 9472 9472 1.280000e+00
[27971,] 9473 529 -6.400000e-01
[27972,] 9473 4263 -6.400000e-01
[27973,] 9473 9473 1.280000e+00
[27974,] 9474 530 -6.400000e-01
[27975,] 9474 4263 -6.400000e-01
[27976,] 9474 9474 1.280000e+00
[27977,] 9475 530 -6.400000e-01
[27978,] 9475 4263 -6.400000e-01
[27979,] 9475 9475 1.280000e+00
[27980,] 9476 530 -6.400000e-01
[27981,] 9476 4263 -6.400000e-01
[27982,] 9476 9476 1.280000e+00
[27983,] 9477 530 -6.400000e-01
[27984,] 9477 4263 -6.400000e-01
[27985,] 9477 9477 1.280000e+00
[27986,] 9478 530 -6.400000e-01
[27987,] 9478 4263 -6.400000e-01
[27988,] 9478 9478 1.280000e+00
[27989,] 9479 530 -6.400000e-01
[27990,] 9479 4263 -6.400000e-01
[27991,] 9479 9479 1.280000e+00
[27992,] 9480 530 -6.400000e-01
[27993,] 9480 4263 -6.400000e-01
[27994,] 9480 9480 1.280000e+00
[27995,] 9481 530 -6.400000e-01
[27996,] 9481 4263 -6.400000e-01
[27997,] 9481 9481 1.280000e+00
[27998,] 9482 530 -6.400000e-01
[27999,] 9482 4263 -6.400000e-01
[28000,] 9482 9482 1.280000e+00
[28001,] 9483 530 -6.400000e-01
[28002,] 9483 4263 -6.400000e-01
[28003,] 9483 9483 1.280000e+00
[28004,] 9484 530 -6.400000e-01
[28005,] 9484 4263 -6.400000e-01
[28006,] 9484 9484 1.280000e+00
[28007,] 9485 530 -6.400000e-01
[28008,] 9485 4263 -6.400000e-01
[28009,] 9485 9485 1.280000e+00
[28010,] 9486 530 -6.400000e-01
[28011,] 9486 4263 -6.400000e-01
[28012,] 9486 9486 1.280000e+00
[28013,] 9487 530 -6.400000e-01
[28014,] 9487 4263 -6.400000e-01
[28015,] 9487 9487 1.280000e+00
[28016,] 9488 530 -6.400000e-01
[28017,] 9488 4263 -6.400000e-01
[28018,] 9488 9488 1.280000e+00
[28019,] 9489 530 -6.400000e-01
[28020,] 9489 4263 -6.400000e-01
[28021,] 9489 9489 1.280000e+00
[28022,] 9490 530 -6.400000e-01
[28023,] 9490 4263 -6.400000e-01
[28024,] 9490 9490 1.280000e+00
[28025,] 9491 619 -9.992681e-01
[28026,] 9491 4741 -9.992681e-01
[28027,] 9491 9491 1.998536e+00
[28028,] 9492 619 -9.992681e-01
[28029,] 9492 4741 -9.992681e-01
[28030,] 9492 9492 1.998536e+00
[28031,] 9493 619 -9.992681e-01
[28032,] 9493 4741 -9.992681e-01
[28033,] 9493 9493 1.998536e+00
[28034,] 9494 619 -9.992681e-01
[28035,] 9494 4741 -9.992681e-01
[28036,] 9494 9494 1.998536e+00
[28037,] 9495 619 -9.992681e-01
[28038,] 9495 4741 -9.992681e-01
[28039,] 9495 9495 1.998536e+00
[28040,] 9496 619 -9.992681e-01
[28041,] 9496 4741 -9.992681e-01
[28042,] 9496 9496 1.998536e+00
[28043,] 9497 619 -9.992681e-01
[28044,] 9497 4742 -9.992681e-01
[28045,] 9497 9497 1.998536e+00
[28046,] 9498 619 -9.992681e-01
[28047,] 9498 4742 -9.992681e-01
[28048,] 9498 9498 1.998536e+00
[28049,] 9499 619 -9.992681e-01
[28050,] 9499 4742 -9.992681e-01
[28051,] 9499 9499 1.998536e+00
[28052,] 9500 619 -9.992681e-01
[28053,] 9500 4742 -9.992681e-01
[28054,] 9500 9500 1.998536e+00
[28055,] 9501 619 -9.992681e-01
[28056,] 9501 4742 -9.992681e-01
[28057,] 9501 9501 1.998536e+00
[28058,] 9502 619 -9.992681e-01
[28059,] 9502 4742 -9.992681e-01
[28060,] 9502 9502 1.998536e+00
[28061,] 9503 619 -9.992681e-01
[28062,] 9503 4743 -9.992681e-01
[28063,] 9503 9503 1.998536e+00
[28064,] 9504 619 -9.992681e-01
[28065,] 9504 4743 -9.992681e-01
[28066,] 9504 9504 1.998536e+00
[28067,] 9505 619 -9.992681e-01
[28068,] 9505 4743 -9.992681e-01
[28069,] 9505 9505 1.998536e+00
[28070,] 9506 619 -9.992681e-01
[28071,] 9506 4743 -9.992681e-01
[28072,] 9506 9506 1.998536e+00
[28073,] 9507 619 -9.992681e-01
[28074,] 9507 4743 -9.992681e-01
[28075,] 9507 9507 1.998536e+00
[28076,] 9508 619 -9.992681e-01
[28077,] 9508 4744 -9.992681e-01
[28078,] 9508 9508 1.998536e+00
[28079,] 9509 619 -9.992681e-01
[28080,] 9509 4744 -9.992681e-01
[28081,] 9509 9509 1.998536e+00
[28082,] 9510 619 -9.992681e-01
[28083,] 9510 4744 -9.992681e-01
[28084,] 9510 9510 1.998536e+00
[28085,] 9511 619 -9.992681e-01
[28086,] 9511 4744 -9.992681e-01
[28087,] 9511 9511 1.998536e+00
[28088,] 9512 619 -9.992681e-01
[28089,] 9512 4744 -9.992681e-01
[28090,] 9512 9512 1.998536e+00
[28091,] 9513 619 -9.992681e-01
[28092,] 9513 4745 -9.992681e-01
[28093,] 9513 9513 1.998536e+00
[28094,] 9514 619 -9.992681e-01
[28095,] 9514 4745 -9.992681e-01
[28096,] 9514 9514 1.998536e+00
[28097,] 9515 619 -9.992681e-01
[28098,] 9515 4745 -9.992681e-01
[28099,] 9515 9515 1.998536e+00
[28100,] 9516 619 -9.992681e-01
[28101,] 9516 4745 -9.992681e-01
[28102,] 9516 9516 1.998536e+00
[28103,] 9517 619 -9.992681e-01
[28104,] 9517 4745 -9.992681e-01
[28105,] 9517 9517 1.998536e+00
[28106,] 9518 619 -9.992681e-01
[28107,] 9518 4745 -9.992681e-01
[28108,] 9518 9518 1.998536e+00
[28109,] 9519 619 -9.992681e-01
[28110,] 9519 4745 -9.992681e-01
[28111,] 9519 9519 1.998536e+00
[28112,] 9520 619 -9.992681e-01
[28113,] 9520 4746 -9.992681e-01
[28114,] 9520 9520 1.998536e+00
[28115,] 9521 619 -9.992681e-01
[28116,] 9521 4746 -9.992681e-01
[28117,] 9521 9521 1.998536e+00
[28118,] 9522 619 -9.992681e-01
[28119,] 9522 4746 -9.992681e-01
[28120,] 9522 9522 1.998536e+00
[28121,] 9523 619 -9.992681e-01
[28122,] 9523 4746 -9.992681e-01
[28123,] 9523 9523 1.998536e+00
[28124,] 9524 619 -9.992681e-01
[28125,] 9524 4746 -9.992681e-01
[28126,] 9524 9524 1.998536e+00
[28127,] 9525 619 -9.992681e-01
[28128,] 9525 4746 -9.992681e-01
[28129,] 9525 9525 1.998536e+00
[28130,] 9526 619 -9.992681e-01
[28131,] 9526 4746 -9.992681e-01
[28132,] 9526 9526 1.998536e+00
[28133,] 9527 619 -9.992681e-01
[28134,] 9527 4746 -9.992681e-01
[28135,] 9527 9527 1.998536e+00
[28136,] 9528 619 -9.992681e-01
[28137,] 9528 4746 -9.992681e-01
[28138,] 9528 9528 1.998536e+00
[28139,] 9529 619 -9.992681e-01
[28140,] 9529 4747 -9.992681e-01
[28141,] 9529 9529 1.998536e+00
[28142,] 9530 619 -9.992681e-01
[28143,] 9530 4747 -9.992681e-01
[28144,] 9530 9530 1.998536e+00
[28145,] 9531 619 -9.992681e-01
[28146,] 9531 4747 -9.992681e-01
[28147,] 9531 9531 1.998536e+00
[28148,] 9532 619 -9.992681e-01
[28149,] 9532 4747 -9.992681e-01
[28150,] 9532 9532 1.998536e+00
[28151,] 9533 619 -9.992681e-01
[28152,] 9533 4747 -9.992681e-01
[28153,] 9533 9533 1.998536e+00
[28154,] 9534 619 -9.992681e-01
[28155,] 9534 4747 -9.992681e-01
[28156,] 9534 9534 1.998536e+00
[28157,] 9535 619 -9.992681e-01
[28158,] 9535 4747 -9.992681e-01
[28159,] 9535 9535 1.998536e+00
[28160,] 9536 619 -9.992681e-01
[28161,] 9536 4747 -9.992681e-01
[28162,] 9536 9536 1.998536e+00
[28163,] 9537 4264 -1.216152e+00
[28164,] 9537 4721 -1.216152e+00
[28165,] 9537 9537 2.432304e+00
[28166,] 9538 4264 -1.216152e+00
[28167,] 9538 4721 -1.216152e+00
[28168,] 9538 9538 2.432304e+00
[28169,] 9539 4264 -1.216152e+00
[28170,] 9539 4721 -1.216152e+00
[28171,] 9539 9539 2.432304e+00
[28172,] 9540 4264 -1.216152e+00
[28173,] 9540 4721 -1.216152e+00
[28174,] 9540 9540 2.432304e+00
[28175,] 9541 4264 -1.216152e+00
[28176,] 9541 4721 -1.216152e+00
[28177,] 9541 9541 2.432304e+00
[28178,] 9542 4264 -1.216152e+00
[28179,] 9542 4721 -1.216152e+00
[28180,] 9542 9542 2.432304e+00
[28181,] 9543 4264 -1.216152e+00
[28182,] 9543 4721 -1.216152e+00
[28183,] 9543 9543 2.432304e+00
[28184,] 9544 4264 -1.216152e+00
[28185,] 9544 4721 -1.216152e+00
[28186,] 9544 9544 2.432304e+00
[28187,] 9545 4264 -1.216152e+00
[28188,] 9545 4721 -1.216152e+00
[28189,] 9545 9545 2.432304e+00
[28190,] 9546 4264 -1.216152e+00
[28191,] 9546 4721 -1.216152e+00
[28192,] 9546 9546 2.432304e+00
[28193,] 9547 4264 -1.216152e+00
[28194,] 9547 4721 -1.216152e+00
[28195,] 9547 9547 2.432304e+00
[28196,] 9548 4264 -1.216152e+00
[28197,] 9548 4721 -1.216152e+00
[28198,] 9548 9548 2.432304e+00
[28199,] 9549 4264 -1.216152e+00
[28200,] 9549 4721 -1.216152e+00
[28201,] 9549 9549 2.432304e+00
[28202,] 9550 4264 -1.216152e+00
[28203,] 9550 4721 -1.216152e+00
[28204,] 9550 9550 2.432304e+00
[28205,] 9551 4264 -1.216152e+00
[28206,] 9551 4721 -1.216152e+00
[28207,] 9551 9551 2.432304e+00
[28208,] 9552 4264 -1.216152e+00
[28209,] 9552 4721 -1.216152e+00
[28210,] 9552 9552 2.432304e+00
[28211,] 9553 4264 -1.216152e+00
[28212,] 9553 4721 -1.216152e+00
[28213,] 9553 9553 2.432304e+00
[28214,] 9554 4264 -1.216152e+00
[28215,] 9554 4721 -1.216152e+00
[28216,] 9554 9554 2.432304e+00
[28217,] 9555 4264 -1.216152e+00
[28218,] 9555 4721 -1.216152e+00
[28219,] 9555 9555 2.432304e+00
[28220,] 9556 4264 -1.216152e+00
[28221,] 9556 4721 -1.216152e+00
[28222,] 9556 9556 2.432304e+00
[28223,] 9557 4264 -1.216152e+00
[28224,] 9557 4721 -1.216152e+00
[28225,] 9557 9557 2.432304e+00
[28226,] 9558 4264 -1.216152e+00
[28227,] 9558 4721 -1.216152e+00
[28228,] 9558 9558 2.432304e+00
[28229,] 9559 4264 -1.216152e+00
[28230,] 9559 4721 -1.216152e+00
[28231,] 9559 9559 2.432304e+00
[28232,] 9560 4264 -1.216152e+00
[28233,] 9560 4721 -1.216152e+00
[28234,] 9560 9560 2.432304e+00
[28235,] 9561 4264 -1.216152e+00
[28236,] 9561 4721 -1.216152e+00
[28237,] 9561 9561 2.432304e+00
[28238,] 9562 4264 -1.216152e+00
[28239,] 9562 4721 -1.216152e+00
[28240,] 9562 9562 2.432304e+00
[28241,] 9563 4264 -1.216152e+00
[28242,] 9563 4721 -1.216152e+00
[28243,] 9563 9563 2.432304e+00
[28244,] 9564 4264 -1.216152e+00
[28245,] 9564 4721 -1.216152e+00
[28246,] 9564 9564 2.432304e+00
[28247,] 9565 4264 -1.216152e+00
[28248,] 9565 4721 -1.216152e+00
[28249,] 9565 9565 2.432304e+00
[28250,] 9566 4264 -1.216152e+00
[28251,] 9566 4721 -1.216152e+00
[28252,] 9566 9566 2.432304e+00
[28253,] 9567 4264 -1.216152e+00
[28254,] 9567 4721 -1.216152e+00
[28255,] 9567 9567 2.432304e+00
[28256,] 9568 4264 -1.216152e+00
[28257,] 9568 4721 -1.216152e+00
[28258,] 9568 9568 2.432304e+00
[28259,] 9569 4264 -1.216152e+00
[28260,] 9569 4721 -1.216152e+00
[28261,] 9569 9569 2.432304e+00
[28262,] 9570 4264 -1.216152e+00
[28263,] 9570 4721 -1.216152e+00
[28264,] 9570 9570 2.432304e+00
[28265,] 9571 4264 -1.216152e+00
[28266,] 9571 4721 -1.216152e+00
[28267,] 9571 9571 2.432304e+00
[28268,] 9572 525 -6.526450e-01
[28269,] 9572 617 -6.526450e-01
[28270,] 9572 9572 1.305290e+00
[28271,] 9573 525 -6.526450e-01
[28272,] 9573 617 -6.526450e-01
[28273,] 9573 9573 1.305290e+00
[28274,] 9574 525 -6.526450e-01
[28275,] 9574 617 -6.526450e-01
[28276,] 9574 9574 1.305290e+00
[28277,] 9575 525 -6.526450e-01
[28278,] 9575 617 -6.526450e-01
[28279,] 9575 9575 1.305290e+00
[28280,] 9576 525 -6.526450e-01
[28281,] 9576 617 -6.526450e-01
[28282,] 9576 9576 1.305290e+00
[28283,] 9577 525 -6.526450e-01
[28284,] 9577 617 -6.526450e-01
[28285,] 9577 9577 1.305290e+00
[28286,] 9578 525 -6.526450e-01
[28287,] 9578 617 -6.526450e-01
[28288,] 9578 9578 1.305290e+00
[28289,] 9579 525 -6.526450e-01
[28290,] 9579 617 -6.526450e-01
[28291,] 9579 9579 1.305290e+00
[28292,] 9580 525 -6.526450e-01
[28293,] 9580 617 -6.526450e-01
[28294,] 9580 9580 1.305290e+00
[28295,] 9581 525 -6.526450e-01
[28296,] 9581 617 -6.526450e-01
[28297,] 9581 9581 1.305290e+00
[28298,] 9582 525 -6.526450e-01
[28299,] 9582 617 -6.526450e-01
[28300,] 9582 9582 1.305290e+00
[28301,] 9583 525 -6.526450e-01
[28302,] 9583 617 -6.526450e-01
[28303,] 9583 9583 1.305290e+00
[28304,] 9584 429 -6.526450e-01
[28305,] 9584 617 -6.526450e-01
[28306,] 9584 9584 1.305290e+00
[28307,] 9585 429 -6.526450e-01
[28308,] 9585 617 -6.526450e-01
[28309,] 9585 9585 1.305290e+00
[28310,] 9586 429 -6.526450e-01
[28311,] 9586 617 -6.526450e-01
[28312,] 9586 9586 1.305290e+00
[28313,] 9587 429 -6.526450e-01
[28314,] 9587 617 -6.526450e-01
[28315,] 9587 9587 1.305290e+00
[28316,] 9588 429 -6.526450e-01
[28317,] 9588 617 -6.526450e-01
[28318,] 9588 9588 1.305290e+00
[28319,] 9589 429 -6.526450e-01
[28320,] 9589 617 -6.526450e-01
[28321,] 9589 9589 1.305290e+00
[28322,] 9590 429 -6.526450e-01
[28323,] 9590 617 -6.526450e-01
[28324,] 9590 9590 1.305290e+00
[28325,] 9591 429 -6.526450e-01
[28326,] 9591 617 -6.526450e-01
[28327,] 9591 9591 1.305290e+00
[28328,] 9592 429 -6.526450e-01
[28329,] 9592 617 -6.526450e-01
[28330,] 9592 9592 1.305290e+00
[28331,] 9593 429 -6.526450e-01
[28332,] 9593 617 -6.526450e-01
[28333,] 9593 9593 1.305290e+00
[28334,] 9594 429 -6.526450e-01
[28335,] 9594 617 -6.526450e-01
[28336,] 9594 9594 1.305290e+00
[28337,] 9595 429 -6.526450e-01
[28338,] 9595 617 -6.526450e-01
[28339,] 9595 9595 1.305290e+00
[28340,] 9596 429 -6.526450e-01
[28341,] 9596 617 -6.526450e-01
[28342,] 9596 9596 1.305290e+00
[28343,] 9597 429 -6.526450e-01
[28344,] 9597 617 -6.526450e-01
[28345,] 9597 9597 1.305290e+00
[28346,] 9598 429 -6.526450e-01
[28347,] 9598 617 -6.526450e-01
[28348,] 9598 9598 1.305290e+00
[28349,] 9599 429 -6.526450e-01
[28350,] 9599 617 -6.526450e-01
[28351,] 9599 9599 1.305290e+00
[28352,] 9600 429 -6.526450e-01
[28353,] 9600 617 -6.526450e-01
[28354,] 9600 9600 1.305290e+00
[28355,] 9601 429 -6.526450e-01
[28356,] 9601 617 -6.526450e-01
[28357,] 9601 9601 1.305290e+00
[28358,] 9602 429 -6.526450e-01
[28359,] 9602 617 -6.526450e-01
[28360,] 9602 9602 1.305290e+00
[28361,] 9603 429 -6.526450e-01
[28362,] 9603 617 -6.526450e-01
[28363,] 9603 9603 1.305290e+00
[28364,] 9604 429 -6.665582e-01
[28365,] 9604 4267 -6.665582e-01
[28366,] 9604 9604 1.333116e+00
[28367,] 9605 429 -6.665582e-01
[28368,] 9605 4267 -6.665582e-01
[28369,] 9605 9605 1.333116e+00
[28370,] 9606 429 -6.665582e-01
[28371,] 9606 4267 -6.665582e-01
[28372,] 9606 9606 1.333116e+00
[28373,] 9607 429 -6.665582e-01
[28374,] 9607 4267 -6.665582e-01
[28375,] 9607 9607 1.333116e+00
[28376,] 9608 429 -6.665582e-01
[28377,] 9608 4267 -6.665582e-01
[28378,] 9608 9608 1.333116e+00
[28379,] 9609 429 -6.665582e-01
[28380,] 9609 4267 -6.665582e-01
[28381,] 9609 9609 1.333116e+00
[28382,] 9610 429 -6.665582e-01
[28383,] 9610 4267 -6.665582e-01
[28384,] 9610 9610 1.333116e+00
[28385,] 9611 429 -6.665582e-01
[28386,] 9611 4267 -6.665582e-01
[28387,] 9611 9611 1.333116e+00
[28388,] 9612 429 -6.665582e-01
[28389,] 9612 4267 -6.665582e-01
[28390,] 9612 9612 1.333116e+00
[28391,] 9613 429 -6.665582e-01
[28392,] 9613 4267 -6.665582e-01
[28393,] 9613 9613 1.333116e+00
[28394,] 9614 429 -6.665582e-01
[28395,] 9614 4267 -6.665582e-01
[28396,] 9614 9614 1.333116e+00
[28397,] 9615 429 -6.665582e-01
[28398,] 9615 4267 -6.665582e-01
[28399,] 9615 9615 1.333116e+00
[28400,] 9616 429 -6.665582e-01
[28401,] 9616 4267 -6.665582e-01
[28402,] 9616 9616 1.333116e+00
[28403,] 9617 429 -6.665582e-01
[28404,] 9617 4267 -6.665582e-01
[28405,] 9617 9617 1.333116e+00
[28406,] 9618 429 -6.665582e-01
[28407,] 9618 4267 -6.665582e-01
[28408,] 9618 9618 1.333116e+00
[28409,] 9619 531 -6.526450e-01
[28410,] 9619 617 -6.526450e-01
[28411,] 9619 9619 1.305290e+00
[28412,] 9620 531 -6.526450e-01
[28413,] 9620 617 -6.526450e-01
[28414,] 9620 9620 1.305290e+00
[28415,] 9621 531 -6.526450e-01
[28416,] 9621 617 -6.526450e-01
[28417,] 9621 9621 1.305290e+00
[28418,] 9622 531 -6.526450e-01
[28419,] 9622 617 -6.526450e-01
[28420,] 9622 9622 1.305290e+00
[28421,] 9623 531 -6.526450e-01
[28422,] 9623 617 -6.526450e-01
[28423,] 9623 9623 1.305290e+00
[28424,] 9624 531 -6.526450e-01
[28425,] 9624 617 -6.526450e-01
[28426,] 9624 9624 1.305290e+00
[28427,] 9625 531 -6.526450e-01
[28428,] 9625 617 -6.526450e-01
[28429,] 9625 9625 1.305290e+00
[28430,] 9626 531 -6.526450e-01
[28431,] 9626 617 -6.526450e-01
[28432,] 9626 9626 1.305290e+00
[28433,] 9627 531 -6.526450e-01
[28434,] 9627 617 -6.526450e-01
[28435,] 9627 9627 1.305290e+00
[28436,] 9628 531 -6.526450e-01
[28437,] 9628 617 -6.526450e-01
[28438,] 9628 9628 1.305290e+00
[28439,] 9629 531 -6.526450e-01
[28440,] 9629 617 -6.526450e-01
[28441,] 9629 9629 1.305290e+00
[28442,] 9630 531 -6.526450e-01
[28443,] 9630 617 -6.526450e-01
[28444,] 9630 9630 1.305290e+00
[28445,] 9631 531 -6.526450e-01
[28446,] 9631 617 -6.526450e-01
[28447,] 9631 9631 1.305290e+00
[28448,] 9632 531 -6.526450e-01
[28449,] 9632 617 -6.526450e-01
[28450,] 9632 9632 1.305290e+00
[28451,] 9633 531 -6.526450e-01
[28452,] 9633 617 -6.526450e-01
[28453,] 9633 9633 1.305290e+00
[28454,] 9634 531 -6.526450e-01
[28455,] 9634 617 -6.526450e-01
[28456,] 9634 9634 1.305290e+00
[28457,] 9635 531 -6.526450e-01
[28458,] 9635 617 -6.526450e-01
[28459,] 9635 9635 1.305290e+00
[28460,] 9636 531 -6.526450e-01
[28461,] 9636 617 -6.526450e-01
[28462,] 9636 9636 1.305290e+00
[28463,] 9637 531 -6.526450e-01
[28464,] 9637 617 -6.526450e-01
[28465,] 9637 9637 1.305290e+00
[28466,] 9638 531 -6.526450e-01
[28467,] 9638 617 -6.526450e-01
[28468,] 9638 9638 1.305290e+00
[28469,] 9639 531 -6.526450e-01
[28470,] 9639 617 -6.526450e-01
[28471,] 9639 9639 1.305290e+00
[28472,] 9640 531 -6.526450e-01
[28473,] 9640 617 -6.526450e-01
[28474,] 9640 9640 1.305290e+00
[28475,] 9641 531 -6.526450e-01
[28476,] 9641 617 -6.526450e-01
[28477,] 9641 9641 1.305290e+00
[28478,] 9642 531 -6.526450e-01
[28479,] 9642 617 -6.526450e-01
[28480,] 9642 9642 1.305290e+00
[28481,] 9643 531 -6.526450e-01
[28482,] 9643 617 -6.526450e-01
[28483,] 9643 9643 1.305290e+00
[28484,] 9644 531 -6.526450e-01
[28485,] 9644 617 -6.526450e-01
[28486,] 9644 9644 1.305290e+00
[28487,] 9645 531 -6.526450e-01
[28488,] 9645 617 -6.526450e-01
[28489,] 9645 9645 1.305290e+00
[28490,] 9646 531 -6.526450e-01
[28491,] 9646 617 -6.526450e-01
[28492,] 9646 9646 1.305290e+00
[28493,] 9647 531 -6.526450e-01
[28494,] 9647 617 -6.526450e-01
[28495,] 9647 9647 1.305290e+00
[28496,] 9648 531 -6.526450e-01
[28497,] 9648 617 -6.526450e-01
[28498,] 9648 9648 1.305290e+00
[28499,] 9649 531 -6.526450e-01
[28500,] 9649 617 -6.526450e-01
[28501,] 9649 9649 1.305290e+00
[28502,] 9650 531 -6.526450e-01
[28503,] 9650 617 -6.526450e-01
[28504,] 9650 9650 1.305290e+00
[28505,] 9651 531 -6.526450e-01
[28506,] 9651 617 -6.526450e-01
[28507,] 9651 9651 1.305290e+00
[28508,] 9652 531 -6.526450e-01
[28509,] 9652 617 -6.526450e-01
[28510,] 9652 9652 1.305290e+00
[28511,] 9653 531 -6.526450e-01
[28512,] 9653 617 -6.526450e-01
[28513,] 9653 9653 1.305290e+00
[28514,] 9654 526 -6.526450e-01
[28515,] 9654 617 -6.526450e-01
[28516,] 9654 9654 1.305290e+00
[28517,] 9655 526 -6.526450e-01
[28518,] 9655 617 -6.526450e-01
[28519,] 9655 9655 1.305290e+00
[28520,] 9656 526 -6.526450e-01
[28521,] 9656 617 -6.526450e-01
[28522,] 9656 9656 1.305290e+00
[28523,] 9657 526 -6.526450e-01
[28524,] 9657 617 -6.526450e-01
[28525,] 9657 9657 1.305290e+00
[28526,] 9658 526 -6.526450e-01
[28527,] 9658 617 -6.526450e-01
[28528,] 9658 9658 1.305290e+00
[28529,] 9659 526 -6.526450e-01
[28530,] 9659 617 -6.526450e-01
[28531,] 9659 9659 1.305290e+00
[28532,] 9660 526 -6.526450e-01
[28533,] 9660 617 -6.526450e-01
[28534,] 9660 9660 1.305290e+00
[28535,] 9661 526 -6.526450e-01
[28536,] 9661 617 -6.526450e-01
[28537,] 9661 9661 1.305290e+00
[28538,] 9662 526 -6.526450e-01
[28539,] 9662 617 -6.526450e-01
[28540,] 9662 9662 1.305290e+00
[28541,] 9663 526 -6.526450e-01
[28542,] 9663 617 -6.526450e-01
[28543,] 9663 9663 1.305290e+00
[28544,] 9664 526 -6.526450e-01
[28545,] 9664 617 -6.526450e-01
[28546,] 9664 9664 1.305290e+00
[28547,] 9665 526 -6.526450e-01
[28548,] 9665 617 -6.526450e-01
[28549,] 9665 9665 1.305290e+00
[28550,] 9666 526 -6.526450e-01
[28551,] 9666 617 -6.526450e-01
[28552,] 9666 9666 1.305290e+00
[28553,] 9667 526 -6.526450e-01
[28554,] 9667 617 -6.526450e-01
[28555,] 9667 9667 1.305290e+00
[28556,] 9668 526 -6.526450e-01
[28557,] 9668 617 -6.526450e-01
[28558,] 9668 9668 1.305290e+00
[28559,] 9669 526 -6.526450e-01
[28560,] 9669 617 -6.526450e-01
[28561,] 9669 9669 1.305290e+00
[28562,] 9670 526 -6.526450e-01
[28563,] 9670 617 -6.526450e-01
[28564,] 9670 9670 1.305290e+00
[28565,] 9671 526 -6.665582e-01
[28566,] 9671 4267 -6.665582e-01
[28567,] 9671 9671 1.333116e+00
[28568,] 9672 526 -6.665582e-01
[28569,] 9672 4267 -6.665582e-01
[28570,] 9672 9672 1.333116e+00
[28571,] 9673 526 -6.665582e-01
[28572,] 9673 4267 -6.665582e-01
[28573,] 9673 9673 1.333116e+00
[28574,] 9674 526 -6.665582e-01
[28575,] 9674 4267 -6.665582e-01
[28576,] 9674 9674 1.333116e+00
[28577,] 9675 526 -6.665582e-01
[28578,] 9675 4267 -6.665582e-01
[28579,] 9675 9675 1.333116e+00
[28580,] 9676 526 -6.665582e-01
[28581,] 9676 4267 -6.665582e-01
[28582,] 9676 9676 1.333116e+00
[28583,] 9677 526 -6.665582e-01
[28584,] 9677 4267 -6.665582e-01
[28585,] 9677 9677 1.333116e+00
[28586,] 9678 526 -6.665582e-01
[28587,] 9678 4267 -6.665582e-01
[28588,] 9678 9678 1.333116e+00
[28589,] 9679 526 -6.665582e-01
[28590,] 9679 4267 -6.665582e-01
[28591,] 9679 9679 1.333116e+00
[28592,] 9680 526 -6.665582e-01
[28593,] 9680 4267 -6.665582e-01
[28594,] 9680 9680 1.333116e+00
[28595,] 9681 526 -6.665582e-01
[28596,] 9681 4267 -6.665582e-01
[28597,] 9681 9681 1.333116e+00
[28598,] 9682 526 -6.665582e-01
[28599,] 9682 4267 -6.665582e-01
[28600,] 9682 9682 1.333116e+00
[28601,] 9683 526 -6.665582e-01
[28602,] 9683 4267 -6.665582e-01
[28603,] 9683 9683 1.333116e+00
[28604,] 9684 526 -6.665582e-01
[28605,] 9684 4267 -6.665582e-01
[28606,] 9684 9684 1.333116e+00
[28607,] 9685 526 -6.665582e-01
[28608,] 9685 4267 -6.665582e-01
[28609,] 9685 9685 1.333116e+00
[28610,] 9686 526 -6.665582e-01
[28611,] 9686 4267 -6.665582e-01
[28612,] 9686 9686 1.333116e+00
[28613,] 9687 526 -6.665582e-01
[28614,] 9687 4267 -6.665582e-01
[28615,] 9687 9687 1.333116e+00
[28616,] 9688 526 -6.665582e-01
[28617,] 9688 4267 -6.665582e-01
[28618,] 9688 9688 1.333116e+00
[28619,] 9689 526 -6.665582e-01
[28620,] 9689 4267 -6.665582e-01
[28621,] 9689 9689 1.333116e+00
[28622,] 9690 526 -6.665582e-01
[28623,] 9690 4267 -6.665582e-01
[28624,] 9690 9690 1.333116e+00
[28625,] 9691 526 -6.665582e-01
[28626,] 9691 4267 -6.665582e-01
[28627,] 9691 9691 1.333116e+00
[28628,] 9692 526 -6.665582e-01
[28629,] 9692 4267 -6.665582e-01
[28630,] 9692 9692 1.333116e+00
[28631,] 9693 526 -6.665582e-01
[28632,] 9693 4267 -6.665582e-01
[28633,] 9693 9693 1.333116e+00
[28634,] 9694 526 -6.665582e-01
[28635,] 9694 4267 -6.665582e-01
[28636,] 9694 9694 1.333116e+00
[28637,] 9695 526 -6.665582e-01
[28638,] 9695 4267 -6.665582e-01
[28639,] 9695 9695 1.333116e+00
[28640,] 9696 526 -6.665582e-01
[28641,] 9696 4267 -6.665582e-01
[28642,] 9696 9696 1.333116e+00
[28643,] 9697 526 -6.665582e-01
[28644,] 9697 4267 -6.665582e-01
[28645,] 9697 9697 1.333116e+00
[28646,] 9698 526 -6.665582e-01
[28647,] 9698 4267 -6.665582e-01
[28648,] 9698 9698 1.333116e+00
[28649,] 9699 526 -6.665582e-01
[28650,] 9699 4267 -6.665582e-01
[28651,] 9699 9699 1.333116e+00
[28652,] 9700 526 -6.665582e-01
[28653,] 9700 4267 -6.665582e-01
[28654,] 9700 9700 1.333116e+00
[28655,] 9701 526 -6.665582e-01
[28656,] 9701 4267 -6.665582e-01
[28657,] 9701 9701 1.333116e+00
[28658,] 9702 526 -6.665582e-01
[28659,] 9702 4267 -6.665582e-01
[28660,] 9702 9702 1.333116e+00
[28661,] 9703 526 -6.665582e-01
[28662,] 9703 4267 -6.665582e-01
[28663,] 9703 9703 1.333116e+00
[28664,] 9704 526 -6.665582e-01
[28665,] 9704 4267 -6.665582e-01
[28666,] 9704 9704 1.333116e+00
[28667,] 9705 526 -6.665582e-01
[28668,] 9705 4267 -6.665582e-01
[28669,] 9705 9705 1.333116e+00
[28670,] 9706 526 -6.665582e-01
[28671,] 9706 4267 -6.665582e-01
[28672,] 9706 9706 1.333116e+00
[28673,] 9707 526 -6.665582e-01
[28674,] 9707 4267 -6.665582e-01
[28675,] 9707 9707 1.333116e+00
[28676,] 9708 617 -9.403122e-01
[28677,] 9708 887 -9.403122e-01
[28678,] 9708 9708 1.880624e+00
[28679,] 9709 617 -9.403122e-01
[28680,] 9709 887 -9.403122e-01
[28681,] 9709 9709 1.880624e+00
[28682,] 9710 617 -9.403122e-01
[28683,] 9710 887 -9.403122e-01
[28684,] 9710 9710 1.880624e+00
[28685,] 9711 617 -9.403122e-01
[28686,] 9711 887 -9.403122e-01
[28687,] 9711 9711 1.880624e+00
[28688,] 9712 617 -9.403122e-01
[28689,] 9712 887 -9.403122e-01
[28690,] 9712 9712 1.880624e+00
[28691,] 9713 617 -9.403122e-01
[28692,] 9713 887 -9.403122e-01
[28693,] 9713 9713 1.880624e+00
[28694,] 9714 617 -9.403122e-01
[28695,] 9714 887 -9.403122e-01
[28696,] 9714 9714 1.880624e+00
[28697,] 9715 617 -9.403122e-01
[28698,] 9715 887 -9.403122e-01
[28699,] 9715 9715 1.880624e+00
[28700,] 9716 617 -9.403122e-01
[28701,] 9716 887 -9.403122e-01
[28702,] 9716 9716 1.880624e+00
[28703,] 9717 532 -6.526450e-01
[28704,] 9717 617 -6.526450e-01
[28705,] 9717 9717 1.305290e+00
[28706,] 9718 532 -6.526450e-01
[28707,] 9718 617 -6.526450e-01
[28708,] 9718 9718 1.305290e+00
[28709,] 9719 532 -6.526450e-01
[28710,] 9719 617 -6.526450e-01
[28711,] 9719 9719 1.305290e+00
[28712,] 9720 532 -6.526450e-01
[28713,] 9720 617 -6.526450e-01
[28714,] 9720 9720 1.305290e+00
[28715,] 9721 533 -6.526450e-01
[28716,] 9721 4264 -6.526450e-01
[28717,] 9721 9721 1.305290e+00
[28718,] 9722 533 -6.526450e-01
[28719,] 9722 4264 -6.526450e-01
[28720,] 9722 9722 1.305290e+00
[28721,] 9723 533 -6.526450e-01
[28722,] 9723 4264 -6.526450e-01
[28723,] 9723 9723 1.305290e+00
[28724,] 9724 533 -6.526450e-01
[28725,] 9724 4264 -6.526450e-01
[28726,] 9724 9724 1.305290e+00
[28727,] 9725 533 -6.526450e-01
[28728,] 9725 4264 -6.526450e-01
[28729,] 9725 9725 1.305290e+00
[28730,] 9726 533 -6.526450e-01
[28731,] 9726 4264 -6.526450e-01
[28732,] 9726 9726 1.305290e+00
[28733,] 9727 533 -6.526450e-01
[28734,] 9727 4264 -6.526450e-01
[28735,] 9727 9727 1.305290e+00
[28736,] 9728 533 -6.526450e-01
[28737,] 9728 4264 -6.526450e-01
[28738,] 9728 9728 1.305290e+00
[28739,] 9729 533 -6.526450e-01
[28740,] 9729 4264 -6.526450e-01
[28741,] 9729 9729 1.305290e+00
[28742,] 9730 533 -6.526450e-01
[28743,] 9730 4264 -6.526450e-01
[28744,] 9730 9730 1.305290e+00
[28745,] 9731 533 -6.526450e-01
[28746,] 9731 4264 -6.526450e-01
[28747,] 9731 9731 1.305290e+00
[28748,] 9732 430 -6.526450e-01
[28749,] 9732 4264 -6.526450e-01
[28750,] 9732 9732 1.305290e+00
[28751,] 9733 430 -6.526450e-01
[28752,] 9733 4264 -6.526450e-01
[28753,] 9733 9733 1.305290e+00
[28754,] 9734 430 -6.526450e-01
[28755,] 9734 4264 -6.526450e-01
[28756,] 9734 9734 1.305290e+00
[28757,] 9735 430 -6.526450e-01
[28758,] 9735 4264 -6.526450e-01
[28759,] 9735 9735 1.305290e+00
[28760,] 9736 430 -6.526450e-01
[28761,] 9736 4264 -6.526450e-01
[28762,] 9736 9736 1.305290e+00
[28763,] 9737 430 -6.526450e-01
[28764,] 9737 4264 -6.526450e-01
[28765,] 9737 9737 1.305290e+00
[28766,] 9738 430 -6.526450e-01
[28767,] 9738 4264 -6.526450e-01
[28768,] 9738 9738 1.305290e+00
[28769,] 9739 430 -6.526450e-01
[28770,] 9739 4264 -6.526450e-01
[28771,] 9739 9739 1.305290e+00
[28772,] 9740 430 -6.526450e-01
[28773,] 9740 4264 -6.526450e-01
[28774,] 9740 9740 1.305290e+00
[28775,] 9741 430 -6.526450e-01
[28776,] 9741 4264 -6.526450e-01
[28777,] 9741 9741 1.305290e+00
[28778,] 9742 430 -6.526450e-01
[28779,] 9742 4264 -6.526450e-01
[28780,] 9742 9742 1.305290e+00
[28781,] 9743 430 -6.526450e-01
[28782,] 9743 4264 -6.526450e-01
[28783,] 9743 9743 1.305290e+00
[28784,] 9744 430 -6.400000e-01
[28785,] 9744 4263 -6.400000e-01
[28786,] 9744 9744 1.280000e+00
[28787,] 9745 430 -6.400000e-01
[28788,] 9745 4263 -6.400000e-01
[28789,] 9745 9745 1.280000e+00
[28790,] 9746 430 -6.400000e-01
[28791,] 9746 4263 -6.400000e-01
[28792,] 9746 9746 1.280000e+00
[28793,] 9747 430 -6.400000e-01
[28794,] 9747 4263 -6.400000e-01
[28795,] 9747 9747 1.280000e+00
[28796,] 9748 430 -6.400000e-01
[28797,] 9748 4263 -6.400000e-01
[28798,] 9748 9748 1.280000e+00
[28799,] 9749 430 -6.400000e-01
[28800,] 9749 4263 -6.400000e-01
[28801,] 9749 9749 1.280000e+00
[28802,] 9750 430 -6.400000e-01
[28803,] 9750 4263 -6.400000e-01
[28804,] 9750 9750 1.280000e+00
[28805,] 9751 431 -6.526450e-01
[28806,] 9751 617 -6.526450e-01
[28807,] 9751 9751 1.305290e+00
[28808,] 9752 431 -6.526450e-01
[28809,] 9752 617 -6.526450e-01
[28810,] 9752 9752 1.305290e+00
[28811,] 9753 431 -6.526450e-01
[28812,] 9753 617 -6.526450e-01
[28813,] 9753 9753 1.305290e+00
[28814,] 9754 431 -6.526450e-01
[28815,] 9754 617 -6.526450e-01
[28816,] 9754 9754 1.305290e+00
[28817,] 9755 431 -6.526450e-01
[28818,] 9755 617 -6.526450e-01
[28819,] 9755 9755 1.305290e+00
[28820,] 9756 431 -6.526450e-01
[28821,] 9756 617 -6.526450e-01
[28822,] 9756 9756 1.305290e+00
[28823,] 9757 431 -6.400000e-01
[28824,] 9757 4263 -6.400000e-01
[28825,] 9757 9757 1.280000e+00
[28826,] 9758 431 -6.400000e-01
[28827,] 9758 4263 -6.400000e-01
[28828,] 9758 9758 1.280000e+00
[28829,] 9759 431 -6.400000e-01
[28830,] 9759 4263 -6.400000e-01
[28831,] 9759 9759 1.280000e+00
[28832,] 9760 431 -6.400000e-01
[28833,] 9760 4263 -6.400000e-01
[28834,] 9760 9760 1.280000e+00
[28835,] 9761 431 -6.400000e-01
[28836,] 9761 4263 -6.400000e-01
[28837,] 9761 9761 1.280000e+00
[28838,] 9762 431 -6.400000e-01
[28839,] 9762 4263 -6.400000e-01
[28840,] 9762 9762 1.280000e+00
[28841,] 9763 431 -6.400000e-01
[28842,] 9763 4263 -6.400000e-01
[28843,] 9763 9763 1.280000e+00
[28844,] 9764 431 -6.400000e-01
[28845,] 9764 4263 -6.400000e-01
[28846,] 9764 9764 1.280000e+00
[28847,] 9765 431 -6.400000e-01
[28848,] 9765 4263 -6.400000e-01
[28849,] 9765 9765 1.280000e+00
[28850,] 9766 431 -6.400000e-01
[28851,] 9766 4263 -6.400000e-01
[28852,] 9766 9766 1.280000e+00
[28853,] 9767 431 -6.400000e-01
[28854,] 9767 4263 -6.400000e-01
[28855,] 9767 9767 1.280000e+00
[28856,] 9768 431 -6.400000e-01
[28857,] 9768 4263 -6.400000e-01
[28858,] 9768 9768 1.280000e+00
[28859,] 9769 431 -6.400000e-01
[28860,] 9769 4263 -6.400000e-01
[28861,] 9769 9769 1.280000e+00
[28862,] 9770 431 -6.400000e-01
[28863,] 9770 4263 -6.400000e-01
[28864,] 9770 9770 1.280000e+00
[28865,] 9771 431 -6.400000e-01
[28866,] 9771 4263 -6.400000e-01
[28867,] 9771 9771 1.280000e+00
[28868,] 9772 431 -6.400000e-01
[28869,] 9772 4263 -6.400000e-01
[28870,] 9772 9772 1.280000e+00
[28871,] 9773 431 -6.400000e-01
[28872,] 9773 4263 -6.400000e-01
[28873,] 9773 9773 1.280000e+00
[28874,] 9774 431 -6.400000e-01
[28875,] 9774 4263 -6.400000e-01
[28876,] 9774 9774 1.280000e+00
[28877,] 9775 431 -6.400000e-01
[28878,] 9775 4263 -6.400000e-01
[28879,] 9775 9775 1.280000e+00
[28880,] 9776 534 -6.400000e-01
[28881,] 9776 4263 -6.400000e-01
[28882,] 9776 9776 1.280000e+00
[28883,] 9777 534 -6.400000e-01
[28884,] 9777 4263 -6.400000e-01
[28885,] 9777 9777 1.280000e+00
[28886,] 9778 534 -6.400000e-01
[28887,] 9778 4263 -6.400000e-01
[28888,] 9778 9778 1.280000e+00
[28889,] 9779 534 -6.400000e-01
[28890,] 9779 4263 -6.400000e-01
[28891,] 9779 9779 1.280000e+00
[28892,] 9780 534 -6.400000e-01
[28893,] 9780 4263 -6.400000e-01
[28894,] 9780 9780 1.280000e+00
[28895,] 9781 534 -6.400000e-01
[28896,] 9781 4263 -6.400000e-01
[28897,] 9781 9781 1.280000e+00
[28898,] 9782 534 -6.400000e-01
[28899,] 9782 4263 -6.400000e-01
[28900,] 9782 9782 1.280000e+00
[28901,] 9783 534 -6.400000e-01
[28902,] 9783 4263 -6.400000e-01
[28903,] 9783 9783 1.280000e+00
[28904,] 9784 534 -6.400000e-01
[28905,] 9784 4263 -6.400000e-01
[28906,] 9784 9784 1.280000e+00
[28907,] 9785 534 -6.400000e-01
[28908,] 9785 4263 -6.400000e-01
[28909,] 9785 9785 1.280000e+00
[28910,] 9786 534 -6.400000e-01
[28911,] 9786 4263 -6.400000e-01
[28912,] 9786 9786 1.280000e+00
[28913,] 9787 534 -6.400000e-01
[28914,] 9787 4263 -6.400000e-01
[28915,] 9787 9787 1.280000e+00
[28916,] 9788 534 -6.400000e-01
[28917,] 9788 4263 -6.400000e-01
[28918,] 9788 9788 1.280000e+00
[28919,] 9789 534 -6.400000e-01
[28920,] 9789 4263 -6.400000e-01
[28921,] 9789 9789 1.280000e+00
[28922,] 9790 534 -6.400000e-01
[28923,] 9790 4263 -6.400000e-01
[28924,] 9790 9790 1.280000e+00
[28925,] 9791 534 -6.400000e-01
[28926,] 9791 4263 -6.400000e-01
[28927,] 9791 9791 1.280000e+00
[28928,] 9792 534 -6.400000e-01
[28929,] 9792 4263 -6.400000e-01
[28930,] 9792 9792 1.280000e+00
[28931,] 9793 534 -6.400000e-01
[28932,] 9793 4263 -6.400000e-01
[28933,] 9793 9793 1.280000e+00
[28934,] 9794 534 -6.400000e-01
[28935,] 9794 4263 -6.400000e-01
[28936,] 9794 9794 1.280000e+00
[28937,] 9795 534 -6.400000e-01
[28938,] 9795 4263 -6.400000e-01
[28939,] 9795 9795 1.280000e+00
[28940,] 9796 534 -6.400000e-01
[28941,] 9796 4263 -6.400000e-01
[28942,] 9796 9796 1.280000e+00
[28943,] 9797 534 -6.400000e-01
[28944,] 9797 4263 -6.400000e-01
[28945,] 9797 9797 1.280000e+00
[28946,] 9798 534 -6.400000e-01
[28947,] 9798 4263 -6.400000e-01
[28948,] 9798 9798 1.280000e+00
[28949,] 9799 534 -6.400000e-01
[28950,] 9799 4263 -6.400000e-01
[28951,] 9799 9799 1.280000e+00
[28952,] 9800 534 -6.400000e-01
[28953,] 9800 4263 -6.400000e-01
[28954,] 9800 9800 1.280000e+00
[28955,] 9801 534 -6.400000e-01
[28956,] 9801 4263 -6.400000e-01
[28957,] 9801 9801 1.280000e+00
[28958,] 9802 534 -6.400000e-01
[28959,] 9802 4263 -6.400000e-01
[28960,] 9802 9802 1.280000e+00
[28961,] 9803 534 -6.400000e-01
[28962,] 9803 4263 -6.400000e-01
[28963,] 9803 9803 1.280000e+00
[28964,] 9804 534 -6.400000e-01
[28965,] 9804 4263 -6.400000e-01
[28966,] 9804 9804 1.280000e+00
[28967,] 9805 534 -6.400000e-01
[28968,] 9805 4263 -6.400000e-01
[28969,] 9805 9805 1.280000e+00
[28970,] 9806 534 -6.400000e-01
[28971,] 9806 4263 -6.400000e-01
[28972,] 9806 9806 1.280000e+00
[28973,] 9807 534 -6.400000e-01
[28974,] 9807 4263 -6.400000e-01
[28975,] 9807 9807 1.280000e+00
[28976,] 9808 534 -6.400000e-01
[28977,] 9808 4263 -6.400000e-01
[28978,] 9808 9808 1.280000e+00
[28979,] 9809 534 -6.400000e-01
[28980,] 9809 4263 -6.400000e-01
[28981,] 9809 9809 1.280000e+00
[28982,] 9810 534 -6.400000e-01
[28983,] 9810 4263 -6.400000e-01
[28984,] 9810 9810 1.280000e+00
[28985,] 9811 534 -6.400000e-01
[28986,] 9811 4263 -6.400000e-01
[28987,] 9811 9811 1.280000e+00
[28988,] 9812 534 -6.400000e-01
[28989,] 9812 4263 -6.400000e-01
[28990,] 9812 9812 1.280000e+00
[28991,] 9813 534 -6.400000e-01
[28992,] 9813 4263 -6.400000e-01
[28993,] 9813 9813 1.280000e+00
[28994,] 9814 534 -6.400000e-01
[28995,] 9814 4263 -6.400000e-01
[28996,] 9814 9814 1.280000e+00
[28997,] 9815 534 -6.400000e-01
[28998,] 9815 4263 -6.400000e-01
[28999,] 9815 9815 1.280000e+00
[29000,] 9816 534 -6.400000e-01
[29001,] 9816 4263 -6.400000e-01
[29002,] 9816 9816 1.280000e+00
[29003,] 9817 534 -6.400000e-01
[29004,] 9817 4263 -6.400000e-01
[29005,] 9817 9817 1.280000e+00
[29006,] 9818 534 -6.400000e-01
[29007,] 9818 4263 -6.400000e-01
[29008,] 9818 9818 1.280000e+00
[29009,] 9819 534 -6.400000e-01
[29010,] 9819 4263 -6.400000e-01
[29011,] 9819 9819 1.280000e+00
[29012,] 9820 534 -6.400000e-01
[29013,] 9820 4263 -6.400000e-01
[29014,] 9820 9820 1.280000e+00
[29015,] 9821 535 -6.400000e-01
[29016,] 9821 4263 -6.400000e-01
[29017,] 9821 9821 1.280000e+00
[29018,] 9822 535 -6.400000e-01
[29019,] 9822 4263 -6.400000e-01
[29020,] 9822 9822 1.280000e+00
[29021,] 9823 535 -6.400000e-01
[29022,] 9823 4263 -6.400000e-01
[29023,] 9823 9823 1.280000e+00
[29024,] 9824 535 -6.400000e-01
[29025,] 9824 4263 -6.400000e-01
[29026,] 9824 9824 1.280000e+00
[29027,] 9825 535 -6.400000e-01
[29028,] 9825 4263 -6.400000e-01
[29029,] 9825 9825 1.280000e+00
[29030,] 9826 535 -6.400000e-01
[29031,] 9826 4263 -6.400000e-01
[29032,] 9826 9826 1.280000e+00
[29033,] 9827 535 -6.400000e-01
[29034,] 9827 4263 -6.400000e-01
[29035,] 9827 9827 1.280000e+00
[29036,] 9828 535 -6.400000e-01
[29037,] 9828 4263 -6.400000e-01
[29038,] 9828 9828 1.280000e+00
[29039,] 9829 535 -6.400000e-01
[29040,] 9829 4263 -6.400000e-01
[29041,] 9829 9829 1.280000e+00
[29042,] 9830 535 -6.400000e-01
[29043,] 9830 4263 -6.400000e-01
[29044,] 9830 9830 1.280000e+00
[29045,] 9831 535 -6.400000e-01
[29046,] 9831 4263 -6.400000e-01
[29047,] 9831 9831 1.280000e+00
[29048,] 9832 535 -6.400000e-01
[29049,] 9832 4263 -6.400000e-01
[29050,] 9832 9832 1.280000e+00
[29051,] 9833 535 -6.400000e-01
[29052,] 9833 4263 -6.400000e-01
[29053,] 9833 9833 1.280000e+00
[29054,] 9834 535 -6.400000e-01
[29055,] 9834 4263 -6.400000e-01
[29056,] 9834 9834 1.280000e+00
[29057,] 9835 535 -6.400000e-01
[29058,] 9835 4263 -6.400000e-01
[29059,] 9835 9835 1.280000e+00
[29060,] 9836 535 -6.400000e-01
[29061,] 9836 4263 -6.400000e-01
[29062,] 9836 9836 1.280000e+00
[29063,] 9837 535 -6.400000e-01
[29064,] 9837 4263 -6.400000e-01
[29065,] 9837 9837 1.280000e+00
[29066,] 9838 535 -6.400000e-01
[29067,] 9838 4263 -6.400000e-01
[29068,] 9838 9838 1.280000e+00
[29069,] 9839 535 -6.400000e-01
[29070,] 9839 4263 -6.400000e-01
[29071,] 9839 9839 1.280000e+00
[29072,] 9840 535 -6.400000e-01
[29073,] 9840 4263 -6.400000e-01
[29074,] 9840 9840 1.280000e+00
[29075,] 9841 535 -6.400000e-01
[29076,] 9841 4263 -6.400000e-01
[29077,] 9841 9841 1.280000e+00
[29078,] 9842 535 -6.400000e-01
[29079,] 9842 4263 -6.400000e-01
[29080,] 9842 9842 1.280000e+00
[29081,] 9843 535 -6.400000e-01
[29082,] 9843 4263 -6.400000e-01
[29083,] 9843 9843 1.280000e+00
[29084,] 9844 535 -6.400000e-01
[29085,] 9844 4263 -6.400000e-01
[29086,] 9844 9844 1.280000e+00
[29087,] 9845 535 -6.400000e-01
[29088,] 9845 4263 -6.400000e-01
[29089,] 9845 9845 1.280000e+00
[29090,] 9846 535 -6.400000e-01
[29091,] 9846 4263 -6.400000e-01
[29092,] 9846 9846 1.280000e+00
[29093,] 9847 535 -6.400000e-01
[29094,] 9847 4263 -6.400000e-01
[29095,] 9847 9847 1.280000e+00
[29096,] 9848 617 -6.526450e-01
[29097,] 9848 4788 -6.526450e-01
[29098,] 9848 9848 1.305290e+00
[29099,] 9849 617 -6.526450e-01
[29100,] 9849 4788 -6.526450e-01
[29101,] 9849 9849 1.305290e+00
[29102,] 9850 617 -6.526450e-01
[29103,] 9850 4788 -6.526450e-01
[29104,] 9850 9850 1.305290e+00
[29105,] 9851 617 -6.526450e-01
[29106,] 9851 4788 -6.526450e-01
[29107,] 9851 9851 1.305290e+00
[29108,] 9852 617 -6.526450e-01
[29109,] 9852 4788 -6.526450e-01
[29110,] 9852 9852 1.305290e+00
[29111,] 9853 617 -6.526450e-01
[29112,] 9853 4788 -6.526450e-01
[29113,] 9853 9853 1.305290e+00
[29114,] 9854 617 -6.526450e-01
[29115,] 9854 4788 -6.526450e-01
[29116,] 9854 9854 1.305290e+00
[29117,] 9855 617 -6.526450e-01
[29118,] 9855 4788 -6.526450e-01
[29119,] 9855 9855 1.305290e+00
[29120,] 9856 617 -6.526450e-01
[29121,] 9856 4788 -6.526450e-01
[29122,] 9856 9856 1.305290e+00
[29123,] 9857 617 -6.526450e-01
[29124,] 9857 4788 -6.526450e-01
[29125,] 9857 9857 1.305290e+00
[29126,] 9858 617 -6.526450e-01
[29127,] 9858 4788 -6.526450e-01
[29128,] 9858 9858 1.305290e+00
[29129,] 9859 617 -6.526450e-01
[29130,] 9859 4788 -6.526450e-01
[29131,] 9859 9859 1.305290e+00
[29132,] 9860 617 -6.526450e-01
[29133,] 9860 4788 -6.526450e-01
[29134,] 9860 9860 1.305290e+00
[29135,] 9861 617 -6.526450e-01
[29136,] 9861 4788 -6.526450e-01
[29137,] 9861 9861 1.305290e+00
[29138,] 9862 617 -6.526450e-01
[29139,] 9862 4788 -6.526450e-01
[29140,] 9862 9862 1.305290e+00
[29141,] 9863 617 -6.526450e-01
[29142,] 9863 4788 -6.526450e-01
[29143,] 9863 9863 1.305290e+00
[29144,] 9864 617 -6.526450e-01
[29145,] 9864 4788 -6.526450e-01
[29146,] 9864 9864 1.305290e+00
[29147,] 9865 617 -6.526450e-01
[29148,] 9865 4788 -6.526450e-01
[29149,] 9865 9865 1.305290e+00
[29150,] 9866 617 -6.526450e-01
[29151,] 9866 4788 -6.526450e-01
[29152,] 9866 9866 1.305290e+00
[29153,] 9867 530 -6.526450e-01
[29154,] 9867 617 -6.526450e-01
[29155,] 9867 9867 1.305290e+00
[29156,] 9868 530 -6.526450e-01
[29157,] 9868 617 -6.526450e-01
[29158,] 9868 9868 1.305290e+00
[29159,] 9869 530 -6.526450e-01
[29160,] 9869 617 -6.526450e-01
[29161,] 9869 9869 1.305290e+00
[29162,] 9870 530 -6.526450e-01
[29163,] 9870 617 -6.526450e-01
[29164,] 9870 9870 1.305290e+00
[29165,] 9871 530 -6.526450e-01
[29166,] 9871 617 -6.526450e-01
[29167,] 9871 9871 1.305290e+00
[29168,] 9872 530 -6.526450e-01
[29169,] 9872 617 -6.526450e-01
[29170,] 9872 9872 1.305290e+00
[29171,] 9873 530 -6.526450e-01
[29172,] 9873 617 -6.526450e-01
[29173,] 9873 9873 1.305290e+00
[29174,] 9874 530 -6.526450e-01
[29175,] 9874 617 -6.526450e-01
[29176,] 9874 9874 1.305290e+00
[29177,] 9875 530 -6.526450e-01
[29178,] 9875 617 -6.526450e-01
[29179,] 9875 9875 1.305290e+00
[29180,] 9876 530 -6.526450e-01
[29181,] 9876 617 -6.526450e-01
[29182,] 9876 9876 1.305290e+00
[29183,] 9877 530 -6.526450e-01
[29184,] 9877 617 -6.526450e-01
[29185,] 9877 9877 1.305290e+00
[29186,] 9878 530 -6.526450e-01
[29187,] 9878 617 -6.526450e-01
[29188,] 9878 9878 1.305290e+00
[29189,] 9879 530 -6.526450e-01
[29190,] 9879 617 -6.526450e-01
[29191,] 9879 9879 1.305290e+00
[29192,] 9880 530 -6.526450e-01
[29193,] 9880 617 -6.526450e-01
[29194,] 9880 9880 1.305290e+00
[29195,] 9881 4263 -6.400000e-01
[29196,] 9881 4791 -6.400000e-01
[29197,] 9881 9881 1.280000e+00
[29198,] 9882 4263 -6.400000e-01
[29199,] 9882 4791 -6.400000e-01
[29200,] 9882 9882 1.280000e+00
[29201,] 9883 4263 -6.400000e-01
[29202,] 9883 4791 -6.400000e-01
[29203,] 9883 9883 1.280000e+00
[29204,] 9884 4263 -6.400000e-01
[29205,] 9884 4791 -6.400000e-01
[29206,] 9884 9884 1.280000e+00
[29207,] 9885 4263 -6.400000e-01
[29208,] 9885 4791 -6.400000e-01
[29209,] 9885 9885 1.280000e+00
[29210,] 9886 536 -6.400000e-01
[29211,] 9886 4263 -6.400000e-01
[29212,] 9886 9886 1.280000e+00
[29213,] 9887 536 -6.400000e-01
[29214,] 9887 4263 -6.400000e-01
[29215,] 9887 9887 1.280000e+00
[29216,] 9888 536 -6.400000e-01
[29217,] 9888 4263 -6.400000e-01
[29218,] 9888 9888 1.280000e+00
[29219,] 9889 536 -6.400000e-01
[29220,] 9889 4263 -6.400000e-01
[29221,] 9889 9889 1.280000e+00
[29222,] 9890 536 -6.400000e-01
[29223,] 9890 4263 -6.400000e-01
[29224,] 9890 9890 1.280000e+00
[29225,] 9891 536 -6.400000e-01
[29226,] 9891 4263 -6.400000e-01
[29227,] 9891 9891 1.280000e+00
[29228,] 9892 536 -6.400000e-01
[29229,] 9892 4263 -6.400000e-01
[29230,] 9892 9892 1.280000e+00
[29231,] 9893 536 -6.400000e-01
[29232,] 9893 4263 -6.400000e-01
[29233,] 9893 9893 1.280000e+00
[29234,] 9894 536 -6.400000e-01
[29235,] 9894 4263 -6.400000e-01
[29236,] 9894 9894 1.280000e+00
[29237,] 9895 617 -9.538891e-01
[29238,] 9895 4793 -9.538891e-01
[29239,] 9895 9895 1.907778e+00
[29240,] 9896 617 -9.538891e-01
[29241,] 9896 4793 -9.538891e-01
[29242,] 9896 9896 1.907778e+00
[29243,] 9897 617 -9.538891e-01
[29244,] 9897 4793 -9.538891e-01
[29245,] 9897 9897 1.907778e+00
[29246,] 9898 617 -9.538891e-01
[29247,] 9898 4793 -9.538891e-01
[29248,] 9898 9898 1.907778e+00
[29249,] 9899 617 -9.538891e-01
[29250,] 9899 4793 -9.538891e-01
[29251,] 9899 9899 1.907778e+00
[29252,] 9900 617 -9.538891e-01
[29253,] 9900 4793 -9.538891e-01
[29254,] 9900 9900 1.907778e+00
[29255,] 9901 617 -9.538891e-01
[29256,] 9901 4793 -9.538891e-01
[29257,] 9901 9901 1.907778e+00
[29258,] 9902 617 -9.538891e-01
[29259,] 9902 4793 -9.538891e-01
[29260,] 9902 9902 1.907778e+00
[29261,] 9903 617 -9.538891e-01
[29262,] 9903 4793 -9.538891e-01
[29263,] 9903 9903 1.907778e+00
[29264,] 9904 617 -9.538891e-01
[29265,] 9904 4793 -9.538891e-01
[29266,] 9904 9904 1.907778e+00
[29267,] 9905 617 -9.538891e-01
[29268,] 9905 4793 -9.538891e-01
[29269,] 9905 9905 1.907778e+00
[29270,] 9906 617 -9.538891e-01
[29271,] 9906 4793 -9.538891e-01
[29272,] 9906 9906 1.907778e+00
[29273,] 9907 617 -9.538891e-01
[29274,] 9907 4793 -9.538891e-01
[29275,] 9907 9907 1.907778e+00
[29276,] 9908 617 -9.538891e-01
[29277,] 9908 4793 -9.538891e-01
[29278,] 9908 9908 1.907778e+00
[29279,] 9909 617 -9.538891e-01
[29280,] 9909 4793 -9.538891e-01
[29281,] 9909 9909 1.907778e+00
[29282,] 9910 617 -9.538891e-01
[29283,] 9910 4793 -9.538891e-01
[29284,] 9910 9910 1.907778e+00
[29285,] 9911 617 -9.538891e-01
[29286,] 9911 4793 -9.538891e-01
[29287,] 9911 9911 1.907778e+00
[29288,] 9912 617 -9.538891e-01
[29289,] 9912 4793 -9.538891e-01
[29290,] 9912 9912 1.907778e+00
[29291,] 9913 617 -9.538891e-01
[29292,] 9913 4793 -9.538891e-01
[29293,] 9913 9913 1.907778e+00
[29294,] 9914 617 -9.538891e-01
[29295,] 9914 4793 -9.538891e-01
[29296,] 9914 9914 1.907778e+00
[29297,] 9915 617 -9.538891e-01
[29298,] 9915 4793 -9.538891e-01
[29299,] 9915 9915 1.907778e+00
[29300,] 9916 4263 -9.142857e-01
[29301,] 9916 4740 -9.142857e-01
[29302,] 9916 9916 1.828571e+00
[29303,] 9917 4263 -9.142857e-01
[29304,] 9917 4740 -9.142857e-01
[29305,] 9917 9917 1.828571e+00
[29306,] 9918 4263 -9.142857e-01
[29307,] 9918 4740 -9.142857e-01
[29308,] 9918 9918 1.828571e+00
[29309,] 9919 4263 -9.142857e-01
[29310,] 9919 4740 -9.142857e-01
[29311,] 9919 9919 1.828571e+00
[29312,] 9920 4263 -9.142857e-01
[29313,] 9920 4740 -9.142857e-01
[29314,] 9920 9920 1.828571e+00
[29315,] 9921 4263 -9.142857e-01
[29316,] 9921 4740 -9.142857e-01
[29317,] 9921 9921 1.828571e+00
[29318,] 9922 4263 -9.142857e-01
[29319,] 9922 4740 -9.142857e-01
[29320,] 9922 9922 1.828571e+00
[29321,] 9923 4263 -9.142857e-01
[29322,] 9923 4740 -9.142857e-01
[29323,] 9923 9923 1.828571e+00
[29324,] 9924 4263 -9.142857e-01
[29325,] 9924 4740 -9.142857e-01
[29326,] 9924 9924 1.828571e+00
[29327,] 9925 617 -6.526450e-01
[29328,] 9925 4760 -6.526450e-01
[29329,] 9925 9925 1.305290e+00
[29330,] 9926 617 -6.526450e-01
[29331,] 9926 4760 -6.526450e-01
[29332,] 9926 9926 1.305290e+00
[29333,] 9927 617 -6.526450e-01
[29334,] 9927 4760 -6.526450e-01
[29335,] 9927 9927 1.305290e+00
[29336,] 9928 617 -6.526450e-01
[29337,] 9928 4760 -6.526450e-01
[29338,] 9928 9928 1.305290e+00
[29339,] 9929 617 -6.526450e-01
[29340,] 9929 4760 -6.526450e-01
[29341,] 9929 9929 1.305290e+00
[29342,] 9930 617 -6.526450e-01
[29343,] 9930 4761 -6.526450e-01
[29344,] 9930 9930 1.305290e+00
[29345,] 9931 617 -6.526450e-01
[29346,] 9931 4761 -6.526450e-01
[29347,] 9931 9931 1.305290e+00
[29348,] 9932 617 -6.526450e-01
[29349,] 9932 4761 -6.526450e-01
[29350,] 9932 9932 1.305290e+00
[29351,] 9933 617 -7.937984e-01
[29352,] 9933 4772 -7.937984e-01
[29353,] 9933 9933 1.587597e+00
[29354,] 9934 617 -7.937984e-01
[29355,] 9934 4772 -7.937984e-01
[29356,] 9934 9934 1.587597e+00
[29357,] 9935 617 -7.937984e-01
[29358,] 9935 4772 -7.937984e-01
[29359,] 9935 9935 1.587597e+00
[29360,] 9936 617 -7.937984e-01
[29361,] 9936 4772 -7.937984e-01
[29362,] 9936 9936 1.587597e+00
[29363,] 9937 617 -7.937984e-01
[29364,] 9937 4772 -7.937984e-01
[29365,] 9937 9937 1.587597e+00
[29366,] 9938 617 -7.937984e-01
[29367,] 9938 4772 -7.937984e-01
[29368,] 9938 9938 1.587597e+00
[29369,] 9939 617 -7.937984e-01
[29370,] 9939 4772 -7.937984e-01
[29371,] 9939 9939 1.587597e+00
attr(,"inbreeding")
G9334 G9335 G9336 G9337 G9338 G9339 G9340 G9341
0.0000000 0.0000000 0.0000000 0.0000000 0.0000000 0.0000000 0.0000000 0.0000000
G9342 G9343 G9344 G9345 G9346 G9347 G9348 G9349
0.0000000 0.0000000 0.0000000 0.0000000 0.0000000 0.0000000 0.0000000 0.0000000
G9350 G9351 G9352 G9353 G9354 G9355 G9356 G9357
0.0000000 0.0000000 0.0000000 0.0000000 0.0000000 0.0000000 0.0000000 0.0000000
G9358 G9359 G9360 G9361 G9362 G9363 G9364 G9365
0.0000000 0.0000000 0.0000000 0.0000000 0.0000000 0.0000000 0.0000000 0.0000000
G9366 G9367 G9368 G9369 G9370 G9371 G9372 G9373
0.0000000 0.0000000 0.0000000 0.0000000 0.0000000 0.0000000 0.0000000 0.0000000
G9374 G9375 G9376 G9377 G9378 G9379 G9380 G9381
0.0000000 0.0000000 0.0000000 0.0000000 0.0000000 0.0000000 0.0000000 0.0000000
G9382 G9383 G9384 G9385 G9386 G9387 G9388 G9389
0.0000000 0.0000000 0.0000000 0.0000000 0.0000000 0.0000000 0.0000000 0.0000000
G9390 G9391 G9392 G9393 G9394 G9395 G9396 G9397
0.0000000 0.0000000 0.0000000 0.0000000 0.0000000 0.0000000 0.0000000 0.0000000
G9398 G9399 G9400 G9401 G9402 G9403 G9404 G9405
0.0000000 0.0000000 0.0000000 0.0000000 0.0000000 0.0000000 0.0000000 0.0000000
G9406 G9407 G9408 G9409 G9410 G9411 G9412 G9413
0.0000000 0.0000000 0.0000000 0.0000000 0.0000000 0.0000000 0.0000000 0.0000000
G9414 G9415 G9416 G9417 G9418 G9419 G9420 G9421
0.0000000 0.0000000 0.0000000 0.0000000 0.0000000 0.0000000 0.0000000 0.0000000
G9422 G9423 G9424 G9425 G9426 G9427 G9428 G9429
0.0000000 0.0000000 0.0000000 0.0000000 0.0000000 0.0000000 0.0000000 0.0000000
G9430 G9431 G9432 G9433 G9434 G9435 G9436 G9437
0.0000000 0.0000000 0.0000000 0.0000000 0.0000000 0.0000000 0.0000000 0.0000000
G9438 G9439 G9440 G9441 G9442 G9443 G9444 G9445
0.0000000 0.0000000 0.0000000 0.0000000 0.0000000 0.0000000 0.0000000 0.0000000
G9446 G9447 G9448 G9449 G9450 G9451 G9452 G9453
0.0000000 0.0000000 0.0000000 0.0000000 0.0000000 0.0000000 0.0000000 0.0000000
G9454 G9455 G9456 G9457 G9458 G9459 G9460 G9461
0.0000000 0.0000000 0.0000000 0.0000000 0.0000000 0.0000000 0.0000000 0.0000000
G9462 G9463 G9464 G9465 G9466 G9467 G9468 G9469
0.0000000 0.0000000 0.0000000 0.0000000 0.0000000 0.0000000 0.0000000 0.0000000
G9470 G9471 G9472 G9473 G9474 G9475 G9476 G9477
0.0000000 0.0000000 0.0000000 0.0000000 0.0000000 0.0000000 0.0000000 0.0000000
G9478 G9479 G9480 G9481 G9482 G9483 G9484 G9485
0.0000000 0.0000000 0.0000000 0.0000000 0.0000000 0.0000000 0.0000000 0.0000000
G9486 G9487 G9488 G9489 G9490 G9491 G9492 G9493
0.0000000 0.0000000 0.0000000 0.0000000 0.0000000 0.0000000 0.0000000 0.0000000
G9494 G9495 G9496 G9497 G9498 G9499 G9500 G9501
0.0000000 0.0000000 0.0000000 0.0000000 0.0000000 0.0000000 0.0000000 0.0000000
G9502 G9503 G9504 G9505 G9506 G9507 G9508 G9509
0.0000000 0.0000000 0.0000000 0.0000000 0.0000000 0.0000000 0.0000000 0.0000000
G9510 G9511 G9512 G9513 G9514 G9515 G9516 G9517
0.0000000 0.0000000 0.0000000 0.0000000 0.0000000 0.0000000 0.0000000 0.0000000
G9518 G9519 G9520 G9521 G9522 G9523 G9524 G9525
0.0000000 0.0000000 0.0000000 0.0000000 0.0000000 0.0000000 0.0000000 0.0000000
G9526 G9527 G9528 G9529 G9530 G9531 G9532 G9533
0.0000000 0.0000000 0.0000000 0.0000000 0.0000000 0.0000000 0.0000000 0.0000000
G9534 G9535 G9536 G9537 G9538 G9539 G9540 G9541
0.0000000 0.0000000 0.0000000 0.0000000 0.0000000 0.0000000 0.0000000 0.0000000
G9542 G9543 G9544 G9545 G9546 G9547 G9548 G9549
0.0000000 0.0000000 0.0000000 0.0000000 0.0000000 0.0000000 0.0000000 0.0000000
G9550 G9551 G9552 G9553 G9554 G9555 G9556 G9557
0.0000000 0.0000000 0.0000000 0.0000000 0.0000000 0.0000000 0.0000000 0.0000000
G9558 G9559 G9560 G9561 G9562 G9563 G9564 G9565
0.0000000 0.0000000 0.0000000 0.0000000 0.0000000 0.0000000 0.0000000 0.0000000
G9566 G9567 G9568 G9569 G9570 G9571 G9572 G9573
0.0000000 0.0000000 0.0000000 0.0000000 0.0000000 0.0000000 0.0000000 0.0000000
G9574 G9575 G9576 G9577 G9578 G9579 G9580 G9581
0.0000000 0.0000000 0.0000000 0.0000000 0.0000000 0.0000000 0.0000000 0.0000000
G9582 G9583 G9584 G9585 G9586 G9587 G9588 G9589
0.0000000 0.0000000 0.0000000 0.0000000 0.0000000 0.0000000 0.0000000 0.0000000
G9590 G9591 G9592 G9593 G9594 G9595 G9596 G9597
0.0000000 0.0000000 0.0000000 0.0000000 0.0000000 0.0000000 0.0000000 0.0000000
G9598 G9599 G9600 G9601 G9602 G9603 G9604 G9605
0.0000000 0.0000000 0.0000000 0.0000000 0.0000000 0.0000000 0.0000000 0.0000000
G9606 G9607 G9608 G9609 G9610 G9611 G9612 G9613
0.0000000 0.0000000 0.0000000 0.0000000 0.0000000 0.0000000 0.0000000 0.0000000
G9614 G9615 G9616 G9617 G9618 G9619 G9620 G9621
0.0000000 0.0000000 0.0000000 0.0000000 0.0000000 0.0000000 0.0000000 0.0000000
G9622 G9623 G9624 G9625 G9626 G9627 G9628 G9629
0.0000000 0.0000000 0.0000000 0.0000000 0.0000000 0.0000000 0.0000000 0.0000000
G9630 G9631 G9632 G9633 G9634 G9635 G9636 G9637
0.0000000 0.0000000 0.0000000 0.0000000 0.0000000 0.0000000 0.0000000 0.0000000
G9638 G9639 G9640 G9641 G9642 G9643 G9644 G9645
0.0000000 0.0000000 0.0000000 0.0000000 0.0000000 0.0000000 0.0000000 0.0000000
G9646 G9647 G9648 G9649 G9650 G9651 G9652 G9653
0.0000000 0.0000000 0.0000000 0.0000000 0.0000000 0.0000000 0.0000000 0.0000000
G9654 G9655 G9656 G9657 G9658 G9659 G9660 G9661
0.0000000 0.0000000 0.0000000 0.0000000 0.0000000 0.0000000 0.0000000 0.0000000
G9662 G9663 G9664 G9665 G9666 G9667 G9668 G9669
0.0000000 0.0000000 0.0000000 0.0000000 0.0000000 0.0000000 0.0000000 0.0000000
G9670 G9671 G9672 G9673 G9674 G9675 G9676 G9677
0.0000000 0.0000000 0.0000000 0.0000000 0.0000000 0.0000000 0.0000000 0.0000000
G9678 G9679 G9680 G9681 G9682 G9683 G9684 G9685
0.0000000 0.0000000 0.0000000 0.0000000 0.0000000 0.0000000 0.0000000 0.0000000
G9686 G9687 G9688 G9689 G9690 G9691 G9692 G9693
0.0000000 0.0000000 0.0000000 0.0000000 0.0000000 0.0000000 0.0000000 0.0000000
G9694 G9695 G9696 G9697 G9698 G9699 G9700 G9701
0.0000000 0.0000000 0.0000000 0.0000000 0.0000000 0.0000000 0.0000000 0.0000000
G9702 G9703 G9704 G9705 G9706 G9707 G9708 G9709
0.0000000 0.0000000 0.0000000 0.0000000 0.0000000 0.0000000 0.0000000 0.0000000
G9710 G9711 G9712 G9713 G9714 G9715 G9716 G9717
0.0000000 0.0000000 0.0000000 0.0000000 0.0000000 0.0000000 0.0000000 0.0000000
G9718 G9719 G9720 G9721 G9722 G9723 G9724 G9725
0.0000000 0.0000000 0.0000000 0.0000000 0.0000000 0.0000000 0.0000000 0.0000000
G9726 G9727 G9728 G9729 G9730 G9731 G9732 G9733
0.0000000 0.0000000 0.0000000 0.0000000 0.0000000 0.0000000 0.0000000 0.0000000
G9734 G9735 G9736 G9737 G9738 G9739 G9740 G9741
0.0000000 0.0000000 0.0000000 0.0000000 0.0000000 0.0000000 0.0000000 0.0000000
G9742 G9743 G9744 G9745 G9746 G9747 G9748 G9749
0.0000000 0.0000000 0.0000000 0.0000000 0.0000000 0.0000000 0.0000000 0.0000000
G9750 G9751 G9752 G9753 G9754 G9755 G9756 G9757
0.0000000 0.0000000 0.0000000 0.0000000 0.0000000 0.0000000 0.0000000 0.0000000
G9758 G9759 G9760 G9761 G9762 G9763 G9764 G9765
0.0000000 0.0000000 0.0000000 0.0000000 0.0000000 0.0000000 0.0000000 0.0000000
G9766 G9767 G9768 G9769 G9770 G9771 G9772 G9773
0.0000000 0.0000000 0.0000000 0.0000000 0.0000000 0.0000000 0.0000000 0.0000000
G9774 G9775 G9776 G9777 G9778 G9779 G9780 G9781
0.0000000 0.0000000 0.0000000 0.0000000 0.0000000 0.0000000 0.0000000 0.0000000
G9782 G9783 G9784 G9785 G9786 G9787 G9788 G9789
0.0000000 0.0000000 0.0000000 0.0000000 0.0000000 0.0000000 0.0000000 0.0000000
G9790 G9791 G9792 G9793 G9794 G9795 G9796 G9797
0.0000000 0.0000000 0.0000000 0.0000000 0.0000000 0.0000000 0.0000000 0.0000000
G9798 G9799 G9800 G9801 G9802 G9803 G9804 G9805
0.0000000 0.0000000 0.0000000 0.0000000 0.0000000 0.0000000 0.0000000 0.0000000
G9806 G9807 G9808 G9809 G9810 G9811 G9812 G9813
0.0000000 0.0000000 0.0000000 0.0000000 0.0000000 0.0000000 0.0000000 0.0000000
G9814 G9815 G9816 G9817 G9818 G9819 G9820 G9821
0.0000000 0.0000000 0.0000000 0.0000000 0.0000000 0.0000000 0.0000000 0.0000000
G9822 G9823 G9824 G9825 G9826 G9827 G9828 G9829
0.0000000 0.0000000 0.0000000 0.0000000 0.0000000 0.0000000 0.0000000 0.0000000
G9830 G9831 G9832 G9833 G9834 G9835 G9836 G9837
0.0000000 0.0000000 0.0000000 0.0000000 0.0000000 0.0000000 0.0000000 0.0000000
G9838 G9839 G9840 G9841 G9842 G9843 G9844 G9845
0.0000000 0.0000000 0.0000000 0.0000000 0.0000000 0.0000000 0.0000000 0.0000000
G9846 G9847 G9848 G9849 G9850 G9851 G9852 G9853
0.0000000 0.0000000 0.0000000 0.0000000 0.0000000 0.0000000 0.0000000 0.0000000
G9854 G9855 G9856 G9857 G9858 G9859 G9860 G9861
0.0000000 0.0000000 0.0000000 0.0000000 0.0000000 0.0000000 0.0000000 0.0000000
G9862 G9863 G9864 G9865 G9866 G9867 G9868 G9869
0.0000000 0.0000000 0.0000000 0.0000000 0.0000000 0.0000000 0.0000000 0.0000000
G9870 G9871 G9872 G9873 G9874 G9875 G9876 G9877
0.0000000 0.0000000 0.0000000 0.0000000 0.0000000 0.0000000 0.0000000 0.0000000
G9878 G9879 G9880 G9881 G9882 G9883 G9884 G9885
0.0000000 0.0000000 0.0000000 0.0000000 0.0000000 0.0000000 0.0000000 0.0000000
G9886 G9887 G9888 G9889 G9890 G9891 G9892 G9893
0.0000000 0.0000000 0.0000000 0.0000000 0.0000000 0.0000000 0.0000000 0.0000000
G9894 G9895 G9896 G9897 G9898 G9899 G9900 G9901
0.0000000 0.0000000 0.0000000 0.0000000 0.0000000 0.0000000 0.0000000 0.0000000
G9902 G9903 G9904 G9905 G9906 G9907 G9908 G9909
0.0000000 0.0000000 0.0000000 0.0000000 0.0000000 0.0000000 0.0000000 0.0000000
G9910 G9911 G9912 G9913 G9914 G9915 G9916 G9917
0.0000000 0.0000000 0.0000000 0.0000000 0.0000000 0.0000000 0.0000000 0.0000000
G9918 G9919 G9920 G9921 G9922 G9923 G9924 G9925
0.0000000 0.0000000 0.0000000 0.0000000 0.0000000 0.0000000 0.0000000 0.0000000
G9926 G9927 G9928 G9929 G9930 G9931 G9932 G9933
0.0000000 0.0000000 0.0000000 0.0000000 0.0000000 0.0000000 0.0000000 0.0000000
G9934 G9935 G9936 G9937 G9938 G9939 G0004 G0008
0.0000000 0.0000000 0.0000000 0.0000000 0.0000000 0.0000000 0.9375000 0.9375000
G0011 G0323 G0010 G0324 G0325 G0009 G0006 G0326
0.9375000 0.9375000 0.9375000 0.9375000 0.9990234 0.9995117 0.9995117 0.0000000
G0013 G0327 G0003 G0328 G0329 G0322 G0330 G0331
0.9355469 0.9355469 0.9990234 0.9990234 0.7500000 0.8750000 0.0000000 0.7500000
G0332 G0333 G0334 G0335 G0336 G0001 G0337 G0338
0.7500000 0.0000000 0.9687500 0.0000000 0.0000000 0.5000000 0.0000000 0.9677734
G0339 G0340 G0341 G0342 G0343 G0344 G0345 G0346
0.9375000 0.9829102 0.0000000 0.0000000 0.9375000 0.0000000 0.0000000 0.9990234
G0347 G0348 G0349 G0350 G0351 G0352 G0353 G0354
0.0000000 0.4843750 0.0000000 0.4843750 0.9316406 0.9316406 0.7500000 0.8750000
G0355 G0356 G0005 G0357 G0358 G0359 G0360 G0361
0.8750000 0.8750000 0.9375000 0.0000000 0.0000000 0.0000000 0.9375000 0.0000000
G0362 G0363 G0364 G0365 G0366 G0367 G0368 G0369
0.9375000 0.9375000 0.9375000 0.9990234 0.0000000 0.8750000 0.0000000 0.8750000
G0370 G0371 G0372 G0373 G0374 G0375 G0376 G0377
0.9375000 0.0000000 0.9375000 0.0000000 0.0000000 0.0000000 0.0000000 0.0000000
G0378 G0379 G0380 G0381 G0382 G0383 G0384 G0385
0.0000000 0.0000000 0.0000000 0.0000000 0.0000000 0.0000000 0.0000000 0.0000000
G0386 G0387 G0388 G0389 G0390 G0391 G0392 G0002
0.0000000 0.0000000 0.0000000 0.0000000 0.0000000 0.0000000 0.0000000 0.9921875
G0014 G0393 G0394 G0395 G0396 G0397 G0398 G0399
0.9687500 0.8750000 0.9375000 0.9375000 0.7500000 0.7500000 0.0000000 0.0000000
G0400 G0401 G0402 G0403 G0404 G0405 G0406 G0407
0.9677734 0.7500000 0.9375000 0.0000000 0.7421875 0.0000000 0.8710938 0.8749695
G0408 G0409 G0410 G0411 G0412 G0413 G0414 G0415
0.8749695 0.8749695 0.7500000 0.7500000 0.7500000 0.0000000 0.9677734 0.0000000
G0416 G0417 G0418 G0419 G0420 G0421 G0422 G0423
0.4843750 0.7265625 0.9952393 0.8750000 0.8750000 0.8750000 0.8750000 0.8710938
G0424 G0425 G0426 G0427 G0428 G0429 G0430 G0431
0.8710938 0.7500000 0.7500000 0.0000000 0.9677734 0.9919434 0.7500000 0.7500000
G0432 G0433 G0434 G0435 G0436 G0437 G0438 G0439
0.9990234 0.0000000 0.9375000 0.0000000 0.8750000 0.0000000 0.9375000 0.0000000
G0440 G0441 G0442 G0443 G0444 G0445 G0446 G0447
0.0000000 0.0000000 0.0000000 0.0000000 0.0000000 0.0000000 0.0000000 0.0000000
G0448 G0449 G0450 G0451 G0452 G0453 G0454 G0455
0.0000000 0.0000000 0.0000000 0.0000000 0.0000000 0.0000000 0.5000000 0.0000000
G0456 G0457 G0458 G0459 G0460 G0461 G0462 G0463
0.0000000 0.0000000 0.0000000 0.0000000 0.0000000 0.0000000 0.0000000 0.0000000
G0464 G0465 G0466 G0467 G0468 G0469 G0470 G0471
0.0000000 0.0000000 0.0000000 0.0000000 0.0000000 0.0000000 0.0000000 0.0000000
G0472 G0473 G0474 G0475 G0476 G0477 G0478 G0479
0.0000000 0.0000000 0.0000000 0.0000000 0.0000000 0.0000000 0.0000000 0.0000000
G0480 G0481 G0482 G0483 G0484 G0485 G0486 G0487
0.0000000 0.0000000 0.0000000 0.0000000 0.0000000 0.0000000 0.0000000 0.0000000
G0488 G0489 G0490 G0491 G0492 G0493 G0494 G0495
0.0000000 0.0000000 0.0000000 0.0000000 0.2500000 0.4843750 0.0000000 0.0000000
G0496 G0497 G0498 G0499 G0500 G0501 G0502 G0503
0.0000000 0.0000000 0.0000000 0.0000000 0.0000000 0.0000000 0.0000000 0.0000000
G0504 G0505 G0506 G0507 G0508 G0509 G0510 G0511
0.0000000 0.0000000 0.9335938 0.0000000 0.9375000 0.0000000 0.0000000 0.0000000
G0512 G0513 G0514 G0515 G0516 G0517 G0518 G0519
0.9687500 0.0000000 0.4843750 0.9914551 0.0000000 0.0000000 0.0000000 0.0000000
G0520 G0521 G0522 G0523 G0524 G0525 G0526 G0527
0.0000000 0.0000000 0.0000000 0.0000000 0.7500000 0.0000000 0.0000000 0.7500000
G0528 G0529 G0530 G0531 G0532 G0533 G0534 G0535
0.0000000 0.8671875 0.7500000 0.7500000 0.7500000 0.7500000 0.7500000 0.7500000
G0536 G0537 G0538 G0539 G0540 G0541 G0542 G0543
0.0000000 0.0000000 0.0000000 0.0000000 0.4843750 0.0000000 0.4843750 0.9829102
G0544 G0545 G0546 G0547 G0548 G0549 G0550 G0551
0.9829102 0.9990234 0.9990234 0.0000000 0.4687500 0.9814453 0.0000000 0.4843750
G0552 G0553 G0554 G0555 G0556 G0557 G0558 G0559
0.7265625 0.9904785 0.0000000 0.7500000 0.9374847 0.9374847 0.9374847 0.9374847
G0560 G0561 G0562 G0563 G0564 G0565 G0566 G0567
0.9374847 0.9374847 0.8750000 0.8750000 0.8750000 0.8750000 0.8750000 0.8750000
G0568 G0569 G0570 G0571 G0572 G0573 G0574 G0575
0.8750000 0.8750000 0.8750000 0.8750000 0.8750000 0.8750000 0.8750000 0.8750000
G0576 G0577 G0578 G0579 G0580 G0581 G0582 G0583
0.8750000 0.8710938 0.4998779 0.9375000 0.8750000 0.8750000 0.8750000 0.8750000
G0584 G0585 G0586 G0587 G0588 G0589 G0590 G0591
0.8750000 0.8750000 0.8750000 0.8750000 0.9355469 0.9375000 0.9375000 0.9375000
G0592 G0593 G0594 G0595 G0596 G0597 G0598 G0599
0.9375000 0.9375000 0.9375000 0.9375000 0.9375000 0.9375000 0.9375000 0.9375000
G0600 G0601 G0602 G0603 G0604 G0605 G0606 G0607
0.9375000 0.9375000 0.9375000 0.7500000 0.7500000 0.7500000 0.7500000 0.0000000
G0608 G0017 G0609 G0610 G0611 G0612 G0613 G0614
0.7500000 0.7500000 0.7500000 0.7500000 0.7500000 0.7500000 0.7500000 0.7500000
G0615 G0616 G0617 G0618 G0619 G0620 G0621 G0018
0.7500000 0.7500000 0.7500000 0.7500000 0.7500000 0.7500000 0.7500000 0.7500000
G0622 G0623 G0624 G0625 G0626 G0627 G0628 G0629
0.7500000 0.7500000 0.7500000 0.7500000 0.7500000 0.7500000 0.7500000 0.7500000
G0630 G0631 G0632 G0633 G0634 G0635 G0636 G0637
0.7500000 0.7500000 0.7500000 0.7500000 0.7500000 0.7500000 0.7500000 0.7500000
G0638 G0639 G0640 G0641 G0642 G0643 G0644 G0645
0.7500000 0.7500000 0.7500000 0.7500000 0.7500000 0.7500000 0.7500000 0.7500000
G0646 G0647 G0648 G0649 G0650 G0651 G0652 G0653
0.7500000 0.7500000 0.7500000 0.7500000 0.7500000 0.7500000 0.7500000 0.7500000
G0654 G0655 G0656 G0019 G0020 G0021 G0022 G0657
0.7500000 0.7500000 0.7500000 0.9375000 0.9375000 0.9375000 0.9375000 0.9375000
G0658 G0659 G0660 G0661 G0662 G0663 G0664 G0665
0.9375000 0.9375000 0.9375000 0.9375000 0.9375000 0.9375000 0.9375000 0.9375000
G0666 G0667 G0668 G0669 G0670 G0671 G0672 G0673
0.9375000 0.9375000 0.9375000 0.9375000 0.9375000 0.9375000 0.9375000 0.9375000
G0674 G0675 G0676 G0677 G0678 G0679 G0680 G0681
0.9375000 0.9375000 0.9375000 0.9375000 0.9375000 0.9375000 0.9375000 0.9375000
G0682 G0683 G0684 G0685 G0686 G0687 G0688 G0689
0.9375000 0.9375000 0.9375000 0.9375000 0.9375000 0.9375000 0.9375000 0.9375000
G0690 G0691 G0692 G0693 G0694 G0695 G0696 G0697
0.9375000 0.9375000 0.9375000 0.9375000 0.9375000 0.9375000 0.9375000 0.9375000
G0698 G0699 G0700 G0701 G0702 G0703 G0704 G0705
0.9375000 0.9375000 0.9375000 0.9375000 0.9375000 0.9375000 0.9375000 0.9375000
G0706 G0707 G0708 G0709 G0710 G0711 G0712 G0713
0.9375000 0.9375000 0.9375000 0.9375000 0.9375000 0.9375000 0.9375000 0.9375000
G0714 G0715 G0716 G0717 G0718 G0719 G0720 G0721
0.9375000 0.9375000 0.9375000 0.9375000 0.9375000 0.9375000 0.9375000 0.9375000
G0722 G0723 G0724 G0725 G0726 G0727 G0728 G0729
0.9375000 0.9375000 0.9375000 0.9375000 0.9375000 0.9375000 0.9375000 0.9375000
G0730 G0731 G0732 G0733 G0734 G0735 G0736 G0737
0.9375000 0.9375000 0.9375000 0.9375000 0.9375000 0.9375000 0.9375000 0.9375000
G0738 G0739 G0740 G0741 G0742 G0743 G0744 G0745
0.9375000 0.9375000 0.9375000 0.9375000 0.9375000 0.9375000 0.9375000 0.9375000
G0746 G0747 G0023 G0748 G0749 G0750 G0751 G0752
0.9375000 0.9375000 0.9375000 0.9375000 0.9375000 0.9375000 0.9375000 0.9375000
G0753 G0754 G0755 G0756 G0024 G0757 G0758 G0759
0.9375000 0.9375000 0.9375000 0.9375000 0.9375000 0.9375000 0.9375000 0.9375000
G0760 G0761 G0762 G0763 G0764 G0765 G0766 G0767
0.9375000 0.9375000 0.9375000 0.9375000 0.9375000 0.9375000 0.9375000 0.9375000
G0768 G0769 G0770 G0025 G0771 G0772 G0773 G0774
0.9375000 0.9375000 0.9375000 0.9375000 0.9375000 0.9375000 0.9375000 0.9375000
G0775 G0776 G0777 G0778 G0026 G0779 G0780 G0781
0.9375000 0.9375000 0.9375000 0.9375000 0.9375000 0.9375000 0.9375000 0.9375000
G0782 G0783 G0784 G0785 G0786 G0787 G0788 G0789
0.9375000 0.9375000 0.9375000 0.9375000 0.9375000 0.9375000 0.9375000 0.9375000
G0790 G0791 G0792 G0793 G0794 G0795 G0796 G0797
0.9375000 0.9375000 0.9375000 0.9375000 0.9375000 0.9375000 0.9375000 0.9375000
G0798 G0799 G0800 G0801 G0802 G0803 G0804 G0805
0.9375000 0.9375000 0.9375000 0.9375000 0.9375000 0.9375000 0.9375000 0.9375000
G0806 G0807 G0808 G0809 G0810 G0811 G0812 G0813
0.9375000 0.9375000 0.9375000 0.9375000 0.9375000 0.9375000 0.9375000 0.9375000
G0814 G0815 G0816 G0817 G0818 G0819 G0820 G0821
0.9375000 0.9375000 0.9375000 0.9375000 0.9375000 0.9375000 0.9375000 0.9375000
G0822 G0823 G0824 G0825 G0826 G0827 G0828 G0027
0.9375000 0.9375000 0.9375000 0.9375000 0.9375000 0.9375000 0.9375000 0.9375000
G0829 G0830 G0831 G0832 G0833 G0834 G0835 G0836
0.9375000 0.9375000 0.9375000 0.9375000 0.9375000 0.9375000 0.9375000 0.9375000
G0837 G0838 G0839 G0840 G0841 G0842 G0843 G0844
0.9375000 0.9375000 0.9375000 0.9375000 0.9375000 0.9375000 0.9375000 0.9375000
G0845 G0846 G0847 G0848 G0849 G0850 G0851 G0852
0.9375000 0.9375000 0.9375000 0.9375000 0.9375000 0.9375000 0.9375000 0.9375000
G0853 G0028 G0854 G0855 G0856 G0857 G0858 G0859
0.9375000 0.9375000 0.9375000 0.9375000 0.9375000 0.9375000 0.9375000 0.9375000
G0860 G0861 G0862 G0863 G0864 G0865 G0866 G0867
0.9375000 0.9375000 0.9375000 0.9375000 0.9375000 0.9375000 0.9375000 0.9375000
G0868 G0869 G0870 G0871 G0872 G0873 G0874 G0875
0.9375000 0.9375000 0.9375000 0.9375000 0.9375000 0.9375000 0.9375000 0.9375000
G0876 G0877 G0878 G0879 G0880 G0881 G0882 G0883
0.9375000 0.9375000 0.9375000 0.9375000 0.9375000 0.9375000 0.9375000 0.9375000
G0029 G0884 G0885 G0886 G0887 G0888 G0889 G0890
0.9375000 0.9375000 0.9375000 0.9375000 0.9375000 0.9375000 0.9375000 0.9375000
G0891 G0892 G0893 G0894 G0895 G0896 G0897 G0898
0.9375000 0.9375000 0.9375000 0.9375000 0.9375000 0.9375000 0.9375000 0.9375000
G0899 G0900 G0901 G0902 G0903 G0904 G0905 G0906
0.9375000 0.9375000 0.9375000 0.9375000 0.9375000 0.9375000 0.9375000 0.9375000
G0907 G0908 G0909 G0910 G0911 G0912 G0913 G0914
0.9375000 0.9375000 0.9375000 0.9375000 0.9375000 0.9375000 0.9375000 0.9375000
G0915 G0916 G0917 G0918 G0919 G0920 G0921 G0922
0.9375000 0.9375000 0.9375000 0.9375000 0.9375000 0.9375000 0.9375000 0.9375000
G0923 G0924 G0925 G0926 G0927 G0928 G0929 G0930
0.9375000 0.9375000 0.9375000 0.9375000 0.9375000 0.9375000 0.9375000 0.9375000
G0931 G0932 G0933 G0934 G0935 G0936 G0937 G0938
0.9375000 0.9375000 0.9375000 0.9375000 0.9375000 0.9375000 0.9375000 0.9375000
G0939 G0940 G0941 G0942 G0943 G0944 G0945 G0946
0.9375000 0.9375000 0.9375000 0.9375000 0.9375000 0.9375000 0.9375000 0.9375000
G0947 G0948 G0949 G0950 G0951 G0952 G0953 G0954
0.9375000 0.9375000 0.9375000 0.9375000 0.9375000 0.9375000 0.9375000 0.9375000
G0955 G0956 G0957 G0958 G0959 G0030 G0960 G0961
0.9375000 0.9375000 0.9375000 0.9375000 0.9375000 0.9375000 0.9375000 0.9375000
G0962 G0963 G0964 G0965 G0966 G0967 G0968 G0969
0.9375000 0.9375000 0.9375000 0.9375000 0.9375000 0.9375000 0.9375000 0.9375000
G0031 G0970 G0971 G0972 G0973 G0974 G0975 G0976
0.9375000 0.9375000 0.9375000 0.9375000 0.9375000 0.9375000 0.9375000 0.9375000
G0977 G0978 G0979 G0980 G0981 G0982 G0032 G0983
0.9375000 0.9375000 0.9375000 0.9375000 0.9375000 0.9375000 0.9375000 0.9375000
G0033 G0984 G0985 G0986 G0987 G0988 G0989 G0990
0.9375000 0.9375000 0.9375000 0.9375000 0.9375000 0.9375000 0.9375000 0.9375000
G0991 G0992 G0993 G0994 G0995 G0996 G0997 G0998
0.9375000 0.9375000 0.9375000 0.9375000 0.9375000 0.9375000 0.9375000 0.9375000
G0999 G1000 G1001 G1002 G1003 G1004 G1005 G1006
0.9375000 0.9375000 0.9375000 0.9375000 0.9375000 0.9375000 0.9375000 0.9375000
G1007 G1008 G0034 G1009 G1010 G1011 G1012 G1013
0.9375000 0.9375000 0.9375000 0.9375000 0.9375000 0.9375000 0.9375000 0.9375000
G1014 G1015 G1016 G1017 G1018 G1019 G1020 G1021
0.9375000 0.9375000 0.9375000 0.9375000 0.9375000 0.9375000 0.9375000 0.9375000
G1022 G1023 G1024 G1025 G1026 G1027 G1028 G1029
0.9375000 0.9375000 0.9375000 0.9375000 0.9375000 0.9375000 0.9375000 0.9375000
G1030 G1031 G1032 G1033 G1034 G1035 G1036 G1037
0.9375000 0.9375000 0.9375000 0.9375000 0.9375000 0.9375000 0.9375000 0.9375000
G1038 G1039 G1040 G1041 G1042 G1043 G1044 G1045
0.9375000 0.9375000 0.9375000 0.9375000 0.9375000 0.9375000 0.9375000 0.9375000
G1046 G1047 G1048 G1049 G1050 G1051 G1052 G1053
0.9375000 0.9375000 0.9375000 0.9375000 0.9375000 0.9375000 0.9375000 0.9375000
G1054 G1055 G1056 G1057 G1058 G1059 G1060 G1061
0.9375000 0.9375000 0.9375000 0.9375000 0.9375000 0.9375000 0.9375000 0.9375000
G1062 G1063 G1064 G1065 G1066 G0035 G1067 G1068
0.9375000 0.9375000 0.9375000 0.9375000 0.9375000 0.9375000 0.9375000 0.9375000
G1069 G1070 G1071 G1072 G1073 G1074 G1075 G1076
0.9375000 0.9375000 0.9375000 0.9375000 0.9375000 0.9375000 0.9375000 0.9375000
G1077 G1078 G1079 G1080 G1081 G0036 G1082 G1083
0.9375000 0.9375000 0.9375000 0.9375000 0.9375000 0.9375000 0.9375000 0.9375000
G1084 G1085 G0187 G1086 G1087 G1088 G0037 G1089
0.9375000 0.9375000 0.9375000 0.9375000 0.9375000 0.9375000 0.9375000 0.9375000
G0038 G1090 G1091 G1092 G1093 G1094 G1095 G1096
0.9375000 0.9375000 0.9375000 0.9375000 0.9375000 0.9375000 0.9375000 0.9375000
G1097 G1098 G1099 G1100 G1101 G1102 G1103 G1104
0.9375000 0.9375000 0.9375000 0.9375000 0.9375000 0.9375000 0.9375000 0.9375000
G1105 G1106 G1107 G1108 G1109 G1110 G1111 G1112
0.9375000 0.9375000 0.9375000 0.9375000 0.9375000 0.9375000 0.9375000 0.9375000
G1113 G1114 G1115 G1116 G1117 G1118 G1119 G1120
0.9375000 0.9375000 0.9375000 0.9375000 0.9375000 0.9375000 0.9375000 0.9375000
G1121 G1122 G1123 G1124 G1125 G1126 G1127 G1128
0.9375000 0.9375000 0.9375000 0.9375000 0.9375000 0.9375000 0.9375000 0.9375000
G0039 G1129 G1130 G1131 G1132 G1133 G1134 G1135
0.9375000 0.9375000 0.9375000 0.9375000 0.9375000 0.9375000 0.9375000 0.9375000
G1136 G1137 G1138 G1139 G1140 G1141 G1142 G1143
0.9375000 0.9375000 0.9375000 0.9375000 0.9375000 0.9375000 0.9375000 0.9375000
G1144 G1145 G1146 G1147 G1148 G1149 G1150 G1151
0.9375000 0.9375000 0.9375000 0.9375000 0.9375000 0.9375000 0.9375000 0.9375000
G1152 G1153 G0040 G1154 G1155 G1156 G0041 G1157
0.9375000 0.9375000 0.9375000 0.9375000 0.9375000 0.9375000 0.9375000 0.9375000
G1158 G1159 G0042 G1160 G1161 G0043 G1162 G1163
0.9375000 0.9375000 0.9375000 0.9375000 0.9375000 0.9375000 0.9375000 0.9375000
G1164 G1165 G1166 G1167 G1168 G1169 G1170 G1171
0.9375000 0.9375000 0.9375000 0.9375000 0.9375000 0.9375000 0.9375000 0.9375000
G1172 G1173 G1174 G1175 G1176 G1177 G1178 G1179
0.9375000 0.9375000 0.9375000 0.9375000 0.9375000 0.9375000 0.9375000 0.9375000
G1180 G1181 G1182 G1183 G1184 G1185 G1186 G1187
0.9375000 0.9375000 0.9375000 0.9375000 0.9375000 0.9375000 0.9375000 0.9375000
G1188 G1189 G1190 G1191 G1192 G1193 G1194 G1195
0.9375000 0.9375000 0.9375000 0.9375000 0.9375000 0.9375000 0.9375000 0.9375000
G1196 G1197 G1198 G0044 G1199 G1200 G1201 G1202
0.9375000 0.9375000 0.9375000 0.9375000 0.9375000 0.9375000 0.9375000 0.9375000
G1203 G1204 G1205 G0045 G1206 G1207 G1208 G1209
0.9375000 0.9375000 0.9375000 0.9375000 0.9375000 0.9375000 0.9375000 0.9375000
G1210 G1211 G1212 G1213 G1214 G1215 G1216 G1217
0.9375000 0.9375000 0.9375000 0.9375000 0.9375000 0.9375000 0.9375000 0.9375000
G1218 G1219 G1220 G1221 G1222 G1223 G1224 G1225
0.9375000 0.9375000 0.9375000 0.9375000 0.9375000 0.9375000 0.9375000 0.9375000
G1226 G1227 G1228 G1229 G1230 G1231 G1232 G1233
0.9375000 0.9375000 0.9375000 0.9375000 0.9375000 0.9375000 0.9375000 0.9375000
G1234 G0046 G1235 G1236 G1237 G1238 G1239 G0047
0.9375000 0.9375000 0.9375000 0.9375000 0.9375000 0.9375000 0.9375000 0.9375000
G1240 G1241 G1242 G1243 G1244 G1245 G1246 G1247
0.9375000 0.9375000 0.9375000 0.9375000 0.9375000 0.9375000 0.9375000 0.9375000
G1248 G0048 G1249 G1250 G1251 G1252 G1253 G1254
0.9375000 0.9375000 0.9375000 0.9375000 0.9375000 0.9375000 0.9375000 0.9375000
G1255 G1256 G1257 G1258 G1259 G1260 G1261 G1262
0.9375000 0.9375000 0.9375000 0.9375000 0.9375000 0.9375000 0.9375000 0.9375000
G1263 G1264 G1265 G1266 G1267 G1268 G1269 G1270
0.9375000 0.9375000 0.9375000 0.9375000 0.9375000 0.9375000 0.9375000 0.9375000
G1271 G1272 G1273 G1274 G1275 G1276 G1277 G1278
0.9375000 0.9375000 0.9375000 0.9375000 0.9375000 0.9375000 0.9375000 0.9375000
G1279 G1280 G1281 G1282 G1283 G1284 G1285 G1286
0.9375000 0.9375000 0.9375000 0.9375000 0.9375000 0.9375000 0.9375000 0.9375000
G1287 G1288 G1289 G1290 G1291 G1292 G1293 G1294
0.9375000 0.9375000 0.9375000 0.9375000 0.9375000 0.9375000 0.9375000 0.9375000
G1295 G1296 G1297 G1298 G1299 G1300 G1301 G1302
0.9375000 0.9375000 0.9375000 0.9375000 0.9375000 0.9375000 0.9375000 0.9375000
G1303 G1304 G1305 G1306 G1307 G1308 G1309 G1310
0.9375000 0.9375000 0.9375000 0.9375000 0.9375000 0.9375000 0.9375000 0.9375000
G1311 G1312 G1313 G0049 G1314 G1315 G1316 G1317
0.9375000 0.9375000 0.9375000 0.9375000 0.9375000 0.9375000 0.9375000 0.9375000
G1318 G1319 G1320 G1321 G1322 G1323 G1324 G1325
0.9375000 0.9375000 0.9375000 0.9375000 0.9375000 0.9375000 0.9375000 0.9375000
G1326 G1327 G1328 G1329 G1330 G0050 G1331 G1332
0.9375000 0.9375000 0.9375000 0.9375000 0.9375000 0.9375000 0.9375000 0.9375000
G1333 G1334 G1335 G1336 G1337 G1338 G1339 G1340
0.9375000 0.9375000 0.9375000 0.9375000 0.9375000 0.9375000 0.9375000 0.9375000
G1341 G1342 G1343 G1344 G1345 G1346 G1347 G0188
0.9375000 0.9375000 0.9375000 0.9375000 0.9375000 0.9375000 0.9375000 0.9375000
G1348 G1349 G1350 G0051 G1351 G1352 G1353 G1354
0.9375000 0.9375000 0.9375000 0.9375000 0.9375000 0.9375000 0.9375000 0.9375000
G1355 G1356 G1357 G1358 G1359 G1360 G1361 G1362
0.9375000 0.9375000 0.9375000 0.9375000 0.9375000 0.9375000 0.9375000 0.9375000
G1363 G1364 G1365 G1366 G1367 G1368 G1369 G1370
0.9375000 0.9375000 0.9375000 0.9375000 0.9375000 0.9375000 0.9375000 0.9375000
G1371 G1372 G1373 G1374 G1375 G1376 G1377 G1378
0.9375000 0.9375000 0.9375000 0.9375000 0.9375000 0.9375000 0.9375000 0.9375000
G1379 G1380 G1381 G1382 G1383 G1384 G1385 G1386
0.9375000 0.9375000 0.9375000 0.9375000 0.9375000 0.9375000 0.9375000 0.9375000
G1387 G1388 G1389 G1390 G1391 G1392 G1393 G1394
0.9375000 0.9375000 0.9375000 0.9375000 0.9375000 0.9375000 0.9375000 0.9375000
G1395 G1396 G1397 G1398 G1399 G1400 G1401 G1402
0.9375000 0.9375000 0.9375000 0.9375000 0.9375000 0.9375000 0.9375000 0.9375000
G1403 G1404 G1405 G1406 G1407 G1408 G1409 G1410
0.9375000 0.9375000 0.9375000 0.9375000 0.9375000 0.9375000 0.9375000 0.9375000
G1411 G1412 G1413 G1414 G1415 G1416 G1417 G1418
0.9375000 0.9375000 0.9375000 0.9375000 0.9375000 0.9375000 0.9375000 0.9375000
G1419 G1420 G1421 G1422 G0052 G1423 G1424 G1425
0.9375000 0.9375000 0.9375000 0.9375000 0.9375000 0.9375000 0.9375000 0.9375000
G1426 G1427 G1428 G1429 G1430 G1431 G0053 G1432
0.9375000 0.9375000 0.9375000 0.9375000 0.9375000 0.9375000 0.9375000 0.9375000
G1433 G1434 G1435 G1436 G1437 G1438 G1439 G1440
0.9375000 0.9375000 0.9375000 0.9375000 0.9375000 0.9375000 0.9375000 0.9375000
G1441 G1442 G1443 G1444 G1445 G1446 G1447 G0054
0.9375000 0.9375000 0.9375000 0.9375000 0.9375000 0.9375000 0.9375000 0.9375000
G1448 G1449 G1450 G1451 G1452 G1453 G1454 G1455
0.9375000 0.9375000 0.9375000 0.9375000 0.9375000 0.9375000 0.9375000 0.9375000
G1456 G1457 G1458 G1459 G1460 G1461 G1462 G1463
0.9375000 0.9375000 0.9375000 0.9375000 0.9375000 0.9375000 0.9375000 0.9375000
G1464 G1465 G1466 G0055 G1467 G1468 G1469 G1470
0.9375000 0.9375000 0.9375000 0.9375000 0.9375000 0.9375000 0.9375000 0.9375000
G1471 G1472 G1473 G1474 G1475 G1476 G1477 G1478
0.9375000 0.9375000 0.9375000 0.9375000 0.9375000 0.9375000 0.9375000 0.9375000
G1479 G1480 G1481 G1482 G1483 G1484 G1485 G1486
0.9375000 0.9375000 0.9375000 0.9375000 0.9375000 0.9375000 0.9375000 0.9375000
G1487 G1488 G1489 G1490 G1491 G1492 G1493 G1494
0.9375000 0.9375000 0.9375000 0.9375000 0.9375000 0.9375000 0.9375000 0.9375000
G1495 G1496 G1497 G1498 G1499 G1500 G1501 G1502
0.9375000 0.9375000 0.9375000 0.9375000 0.9375000 0.9375000 0.9375000 0.9375000
G1503 G1504 G1505 G1506 G1507 G1508 G1509 G1510
0.9375000 0.9375000 0.9375000 0.9375000 0.9375000 0.9375000 0.9375000 0.9375000
G1511 G1512 G1513 G1514 G1515 G1516 G1517 G1518
0.9375000 0.9375000 0.9375000 0.9375000 0.9375000 0.9375000 0.9375000 0.9375000
G1519 G1520 G1521 G1522 G1523 G1524 G1525 G1526
0.9375000 0.9375000 0.9375000 0.9375000 0.9375000 0.9375000 0.9375000 0.9375000
G1527 G1528 G1529 G1530 G1531 G1532 G1533 G1534
0.9375000 0.9375000 0.9375000 0.9375000 0.9375000 0.9375000 0.9375000 0.9375000
G1535 G1536 G1537 G1538 G1539 G1540 G1541 G1542
0.9375000 0.9375000 0.9375000 0.9375000 0.9375000 0.9375000 0.9375000 0.9375000
G1543 G1544 G1545 G1546 G1547 G1548 G1549 G1550
0.9375000 0.9375000 0.9375000 0.9375000 0.9375000 0.9375000 0.9375000 0.9375000
G1551 G1552 G1553 G1554 G1555 G1556 G1557 G1558
0.9375000 0.9375000 0.9375000 0.9375000 0.9375000 0.9375000 0.9375000 0.9375000
G1559 G1560 G1561 G1562 G1563 G1564 G1565 G1566
0.9375000 0.9375000 0.9375000 0.9375000 0.9375000 0.9375000 0.9375000 0.9375000
G1567 G1568 G1569 G1570 G1571 G1572 G1573 G1574
0.9375000 0.9375000 0.9375000 0.9375000 0.9375000 0.9375000 0.9375000 0.9375000
G1575 G1576 G1577 G1578 G1579 G1580 G0056 G1581
0.9375000 0.9375000 0.9375000 0.9375000 0.9375000 0.9375000 0.9375000 0.9375000
G1582 G1583 G1584 G1585 G1586 G1587 G1588 G1589
0.9375000 0.9375000 0.9375000 0.9375000 0.9375000 0.9375000 0.9375000 0.9375000
G1590 G1591 G1592 G1593 G1594 G1595 G1596 G1597
0.9375000 0.9375000 0.9375000 0.9375000 0.9375000 0.9375000 0.9375000 0.9375000
G1598 G1599 G1600 G1601 G1602 G1603 G1604 G1605
0.9375000 0.9375000 0.9375000 0.9375000 0.9375000 0.9375000 0.9375000 0.9375000
G1606 G1607 G1608 G1609 G1610 G1611 G1612 G1613
0.9375000 0.9375000 0.9375000 0.9375000 0.9375000 0.9375000 0.9375000 0.9375000
G1614 G1615 G1616 G1617 G1618 G1619 G1620 G1621
0.9375000 0.9375000 0.9375000 0.9375000 0.9375000 0.9375000 0.9375000 0.9375000
G1622 G1623 G1624 G1625 G1626 G1627 G1628 G1629
0.9375000 0.9375000 0.9375000 0.9375000 0.9375000 0.9375000 0.9375000 0.9375000
G1630 G1631 G1632 G1633 G1634 G1635 G1636 G1637
0.9375000 0.9375000 0.9375000 0.9375000 0.9375000 0.9375000 0.9375000 0.9375000
G1638 G1639 G1640 G1641 G1642 G1643 G1644 G1645
0.9375000 0.9375000 0.9375000 0.9375000 0.9375000 0.9375000 0.9375000 0.9375000
G1646 G1647 G1648 G1649 G1650 G1651 G1652 G1653
0.9375000 0.9375000 0.9375000 0.9375000 0.9375000 0.9375000 0.9375000 0.9375000
G1654 G1655 G1656 G1657 G1658 G1659 G1660 G1661
0.9375000 0.9375000 0.9375000 0.9375000 0.9375000 0.9375000 0.9375000 0.9375000
G1662 G1663 G1664 G1665 G1666 G1667 G1668 G1669
0.9375000 0.9375000 0.9375000 0.9375000 0.9375000 0.9375000 0.9375000 0.9375000
G1670 G1671 G1672 G1673 G1674 G1675 G1676 G1677
0.9375000 0.9375000 0.9375000 0.9375000 0.9375000 0.9375000 0.9375000 0.9375000
G1678 G1679 G1680 G1681 G1682 G1683 G1684 G1685
0.9375000 0.9375000 0.9375000 0.9375000 0.9375000 0.9375000 0.9375000 0.9375000
G1686 G1687 G1688 G1689 G1690 G1691 G1692 G1693
0.9375000 0.8750000 0.8750000 0.8750000 0.8750000 0.8750000 0.8750000 0.8750000
G1694 G1695 G1696 G1697 G1698 G1699 G1700 G1701
0.8750000 0.8750000 0.9374847 0.9374847 0.9374847 0.9374847 0.9374847 0.9374847
G1702 G1703 G1704 G1705 G1706 G1707 G1708 G1709
0.9374847 0.9374847 0.9374847 0.9374847 0.9374847 0.8750000 0.8750000 0.8750000
G1710 G1711 G1712 G1713 G1714 G1715 G1716 G1717
0.8750000 0.8750000 0.8750000 0.8750000 0.8750000 0.9374847 0.9374847 0.9374847
G1718 G1719 G1720 G1721 G1722 G1723 G1724 G1725
0.9374847 0.9374847 0.9374847 0.9374847 0.9374847 0.9374847 0.9374847 0.9374847
G1726 G1727 G1728 G1729 G1730 G1731 G1732 G1733
0.9374847 0.9374847 0.9374847 0.9374847 0.9374847 0.9374847 0.9374847 0.9374847
G1734 G1735 G1736 G1737 G1738 G1739 G1740 G1741
0.9374847 0.9374847 0.9374847 0.9374847 0.9374847 0.9374847 0.9374847 0.8750000
G1742 G1743 G1744 G1745 G1746 G1747 G1748 G1749
0.8750000 0.8750000 0.8750000 0.8750000 0.8750000 0.8750000 0.8750000 0.8750000
G1750 G1751 G1752 G1753 G1754 G1755 G1756 G1757
0.8750000 0.8750000 0.8750000 0.8750000 0.8750000 0.8750000 0.8750000 0.8750000
G1758 G1759 G1760 G1761 G1762 G1763 G1764 G1765
0.8750000 0.8750000 0.9374847 0.9374847 0.9374847 0.9374847 0.9374847 0.9374847
G1766 G1767 G1768 G1769 G1770 G1771 G1772 G1773
0.9374847 0.8750000 0.8750000 0.8750000 0.8750000 0.8750000 0.8750000 0.8750000
G1774 G1775 G1776 G1777 G1778 G1779 G1780 G1781
0.9374847 0.9374847 0.9374847 0.9374847 0.9374847 0.9374847 0.9374847 0.9374847
G1782 G1783 G1784 G1785 G1786 G1787 G1788 G1789
0.9374847 0.9374847 0.9374847 0.9374847 0.9374847 0.9374847 0.9374847 0.9374847
G1790 G1791 G1792 G1793 G1794 G1795 G1796 G1797
0.9374847 0.9374847 0.9374847 0.9374847 0.9374847 0.9374847 0.9374847 0.9374847
G1798 G1799 G1800 G1801 G1802 G1803 G1804 G1805
0.9374847 0.9374847 0.9374847 0.9374847 0.9374847 0.9374847 0.9374847 0.9374847
G1806 G1807 G1808 G1809 G1810 G1811 G0057 G1812
0.9374847 0.8750000 0.8750000 0.8750000 0.8750000 0.8750000 0.8750000 0.8750000
G1813 G1814 G1815 G1816 G1817 G1818 G1819 G1820
0.9374695 0.9374695 0.9374695 0.9374695 0.9374695 0.9374695 0.9374695 0.8750000
G1821 G1822 G1823 G1824 G1825 G1826 G1827 G0058
0.8750000 0.8750000 0.8750000 0.8750000 0.8750000 0.8750000 0.8750000 0.8750000
G1828 G1829 G0059 G1830 G1831 G1832 G0060 G1833
0.8750000 0.8750000 0.8750000 0.8750000 0.8750000 0.8750000 0.8750000 0.8750000
G0061 G1834 G1835 G1836 G1837 G1838 G1839 G1840
0.8750000 0.8750000 0.8750000 0.8750000 0.8750000 0.8750000 0.8750000 0.8750000
G1841 G1842 G1843 G1844 G1845 G1846 G1847 G1848
0.8750000 0.8750000 0.8750000 0.8750000 0.8750000 0.8750000 0.8750000 0.8750000
G1849 G1850 G0062 G1851 G1852 G1853 G1854 G1855
0.8750000 0.8750000 0.8750000 0.8750000 0.8750000 0.8750000 0.8750000 0.8750000
G1856 G1857 G1858 G1859 G1860 G1861 G1862 G1863
0.8750000 0.8750000 0.8750000 0.8750000 0.8750000 0.8750000 0.8750000 0.8750000
G1864 G1865 G1866 G1867 G1868 G1869 G1870 G1871
0.8750000 0.8750000 0.8750000 0.8750000 0.8750000 0.8750000 0.8750000 0.8750000
G1872 G0189 G1873 G1874 G1875 G1876 G1877 G1878
0.9374847 0.9374847 0.9374847 0.9374847 0.9374847 0.9374847 0.9374847 0.9374847
G1879 G1880 G1881 G1882 G1883 G1884 G1885 G1886
0.9374847 0.9374847 0.9374847 0.9374847 0.9374847 0.9374847 0.9374847 0.9374847
G1887 G1888 G1889 G1890 G1891 G1892 G1893 G1894
0.9374847 0.9374847 0.9374847 0.9374847 0.9374847 0.9374847 0.9374847 0.9374847
G1895 G0063 G1896 G1897 G1898 G1899 G1900 G1901
0.9374847 0.9374847 0.9374847 0.9374847 0.9374847 0.9374847 0.9374847 0.9374847
G1902 G1903 G0064 G1904 G1905 G1906 G1907 G1908
0.9374847 0.9374847 0.9374847 0.9374847 0.9374847 0.9374847 0.9374847 0.9374847
G1909 G1910 G1911 G1912 G1913 G1914 G1915 G1916
0.9374847 0.9374847 0.9374847 0.9374847 0.9374847 0.9374847 0.9374847 0.9374847
G1917 G1918 G1919 G1920 G1921 G1922 G1923 G1924
0.9374847 0.9374847 0.9374847 0.9374847 0.9374847 0.9374847 0.9374847 0.9374847
G1925 G1926 G1927 G1928 G1929 G1930 G1931 G1932
0.9374847 0.9374847 0.9374847 0.9374847 0.9374847 0.9374847 0.9374847 0.9374847
G1933 G1934 G1935 G1936 G1937 G1938 G1939 G1940
0.9374847 0.9374847 0.9374847 0.9374847 0.9374847 0.9374847 0.9374847 0.9374847
G1941 G1942 G1943 G1944 G1945 G1946 G1947 G1948
0.9374847 0.9374847 0.9374847 0.9374847 0.9374847 0.9374847 0.9374847 0.9374847
G1949 G1950 G1951 G1952 G1953 G1954 G1955 G1956
0.9374847 0.9374847 0.9374847 0.9374847 0.9374847 0.9374847 0.9374847 0.9374847
G0065 G1957 G1958 G1959 G1960 G1961 G1962 G1963
0.9374847 0.9374847 0.9374847 0.9374847 0.9374847 0.9374847 0.9374847 0.9374847
G1964 G1965 G1966 G1967 G1968 G1969 G1970 G1971
0.9374847 0.9374847 0.9355469 0.9355469 0.9355469 0.9355469 0.9355469 0.9355469
G1972 G1973 G1974 G1975 G1976 G1977 G1978 G1979
0.9355469 0.9355469 0.9355469 0.9355469 0.9355469 0.9355469 0.9355469 0.9355469
G1980 G1981 G1982 G1983 G1984 G1985 G1986 G1987
0.9355469 0.9355469 0.9355469 0.9355469 0.8750000 0.8750000 0.8750000 0.8750000
G1988 G1989 G1990 G1991 G1992 G1993 G1994 G1995
0.8750000 0.8750000 0.8750000 0.8750000 0.8750000 0.8750000 0.8750000 0.8750000
G1996 G1997 G1998 G1999 G2000 G2001 G2002 G2003
0.8750000 0.8750000 0.8750000 0.8750000 0.8750000 0.8750000 0.8750000 0.8750000
G2004 G2005 G2006 G2007 G2008 G2009 G2010 G2011
0.8750000 0.8750000 0.8750000 0.8750000 0.8750000 0.8750000 0.8750000 0.8750000
G2012 G2013 G2014 G2015 G2016 G2017 G2018 G2019
0.8750000 0.8750000 0.8750000 0.8750000 0.8750000 0.8750000 0.8750000 0.8750000
G2020 G2021 G2022 G2023 G2024 G2025 G2026 G2027
0.8750000 0.8750000 0.8750000 0.8750000 0.8750000 0.8750000 0.8750000 0.8750000
G2028 G2029 G2030 G2031 G2032 G2033 G0066 G2034
0.8750000 0.8750000 0.8750000 0.8750000 0.8750000 0.8750000 0.8750000 0.8750000
G2035 G2036 G2037 G2038 G2039 G2040 G2041 G2042
0.8750000 0.8750000 0.8750000 0.8750000 0.8750000 0.8750000 0.8750000 0.8750000
G2043 G2044 G2045 G2046 G2047 G2048 G2049 G2050
0.8750000 0.8750000 0.8750000 0.8750000 0.8750000 0.8750000 0.8750000 0.8750000
G2051 G2052 G2053 G2054 G2055 G2056 G2057 G2058
0.8750000 0.8750000 0.8750000 0.8750000 0.8750000 0.8750000 0.8750000 0.8750000
G2059 G2060 G2061 G2062 G2063 G2064 G2065 G2066
0.8750000 0.8750000 0.8750000 0.8750000 0.8750000 0.8750000 0.8750000 0.9374847
G2067 G2068 G2069 G2070 G2071 G2072 G2073 G2074
0.9374847 0.9374847 0.9374847 0.9374847 0.9374847 0.9374847 0.9374847 0.9374847
G2075 G2076 G2077 G0067 G2078 G0068 G2079 G2080
0.9374847 0.9374847 0.9374847 0.9374847 0.9374847 0.9374847 0.9374847 0.9374847
G2081 G2082 G2083 G2084 G2085 G2086 G2087 G2088
0.9374847 0.9374847 0.9374847 0.9374847 0.9355469 0.9355469 0.9355469 0.9355469
G2089 G2090 G2091 G2092 G2093 G2094 G2095 G2096
0.9355469 0.9355469 0.9355469 0.9355469 0.9355469 0.9355469 0.9355469 0.9355469
G2097 G2098 G2099 G2100 G2101 G2102 G2103 G2104
0.9355469 0.9355469 0.9355469 0.9355469 0.9355469 0.9355469 0.9355469 0.9355469
G2105 G2106 G2107 G2108 G2109 G2110 G2111 G2112
0.9355469 0.9355469 0.9355469 0.8750000 0.8750000 0.8750000 0.8750000 0.8750000
G2113 G2114 G2115 G2116 G2117 G2118 G2119 G2120
0.8750000 0.8750000 0.8750000 0.8750000 0.8750000 0.8750000 0.8750000 0.8750000
G2121 G2122 G0069 G2123 G2124 G2125 G2126 G2127
0.8750000 0.8750000 0.8750000 0.8750000 0.8750000 0.8750000 0.8750000 0.8750000
G2128 G2129 G2130 G2131 G2132 G2133 G2134 G2135
0.8750000 0.8750000 0.8750000 0.8750000 0.8750000 0.8750000 0.8750000 0.9374847
G2136 G2137 G2138 G2139 G2140 G2141 G2142 G2143
0.9374847 0.9374847 0.9374847 0.9374847 0.9374847 0.9374847 0.9374847 0.9374847
G2144 G2145 G2146 G2147 G2148 G2149 G2150 G2151
0.9374847 0.9374847 0.9374847 0.9374847 0.9374847 0.9374847 0.9374847 0.9374847
G2152 G0070 G2153 G2154 G2155 G2156 G2157 G2158
0.9374847 0.9374847 0.9374847 0.9374847 0.9374847 0.9374847 0.9374847 0.9374847
G2159 G2160 G2161 G2162 G2163 G0071 G2164 G2165
0.9374847 0.9374847 0.9374847 0.9374847 0.9374847 0.8750000 0.9374847 0.9374847
G2166 G2167 G2168 G2169 G2170 G2171 G2172 G2173
0.9374847 0.9374847 0.9374847 0.9374847 0.9374847 0.9374847 0.9374847 0.9374847
G2174 G2175 G2176 G0072 G2177 G2178 G2179 G2180
0.9374847 0.9374847 0.9374847 0.8750000 0.9374695 0.9374695 0.9374695 0.9374695
G2181 G2182 G2183 G2184 G2185 G2186 G0073 G2187
0.9374695 0.9374695 0.9374695 0.9374695 0.9374695 0.9374695 0.9374695 0.9374695
G2188 G2189 G2190 G2191 G2192 G2193 G0074 G2194
0.9374695 0.9374695 0.9374695 0.9374695 0.9374695 0.9374695 0.8750000 0.8750000
G2195 G2196 G2197 G2198 G2199 G0075 G2200 G2201
0.8750000 0.8750000 0.8750000 0.8750000 0.8750000 0.8750000 0.8750000 0.8750000
G2202 G2203 G2204 G2205 G2206 G2207 G2208 G2209
0.8750000 0.8750000 0.8750000 0.8750000 0.8750000 0.8750000 0.8750000 0.8750000
G0076 G2210 G2211 G2212 G2213 G2214 G2215 G2216
0.8750000 0.9374847 0.9374847 0.9374847 0.9374847 0.9374847 0.9374847 0.9374847
G2217 G2218 G2219 G2220 G2221 G2222 G2223 G2224
0.9374847 0.9374847 0.9374847 0.9374847 0.9374847 0.9374847 0.9374847 0.9374847
G2225 G2226 G2227 G2228 G2229 G2230 G2231 G2232
0.9374847 0.9374847 0.9374847 0.9374847 0.9374847 0.9374847 0.9374847 0.9374847
G2233 G2234 G2235 G2236 G2237 G2238 G0077 G2239
0.9374847 0.9374847 0.9374847 0.9374847 0.9374847 0.9374847 0.9062500 0.9374695
G2240 G2241 G2242 G2243 G2244 G2245 G2246 G2247
0.9374695 0.9374695 0.9374695 0.9374695 0.9374695 0.9374695 0.9374695 0.9374695
G2248 G2249 G2250 G2251 G0078 G2252 G2253 G2254
0.9374695 0.9374695 0.9374695 0.9374695 0.9374695 0.9374695 0.9374695 0.9374695
G2255 G2256 G2257 G2258 G2259 G2260 G2261 G2262
0.9374695 0.9374695 0.9374695 0.9374695 0.9374695 0.9374695 0.9374695 0.9374695
G2263 G2264 G2265 G2266 G2267 G2268 G0079 G2269
0.9374695 0.9374695 0.9374695 0.9374695 0.9374695 0.9374695 0.9374695 0.9374695
G2270 G2271 G2272 G2273 G2274 G2275 G2276 G2277
0.9374695 0.9374695 0.9374695 0.9374695 0.9374695 0.9374695 0.9374695 0.9374695
G2278 G2279 G2280 G2281 G2282 G2283 G2284 G2285
0.9374695 0.9374695 0.9374695 0.9374695 0.9374695 0.9374695 0.9374695 0.9374695
G2286 G2287 G2288 G2289 G2290 G2291 G2292 G2293
0.9374695 0.9374695 0.9374695 0.9374695 0.9374695 0.9374695 0.9374695 0.9374695
G2294 G2295 G2296 G2297 G2298 G2299 G2300 G2301
0.9374695 0.9374695 0.9374695 0.9374695 0.9374695 0.9374695 0.9374695 0.9374695
G2302 G2303 G2304 G2305 G2306 G2307 G2308 G2309
0.9374695 0.9374695 0.9374695 0.9374695 0.9374695 0.9374695 0.9374695 0.9374695
G2310 G2311 G2312 G2313 G2314 G2315 G2316 G2317
0.9374695 0.9374695 0.9374695 0.9374695 0.9374695 0.9374695 0.9374695 0.9374695
G2318 G2319 G2320 G2321 G2322 G2323 G2324 G2325
0.9374695 0.9374695 0.9374695 0.9374695 0.9374695 0.9374695 0.9374695 0.9374695
G2326 G2327 G2328 G2329 G2330 G2331 G2332 G2333
0.9374695 0.9374695 0.9374695 0.9374695 0.9374695 0.9374695 0.9374695 0.9374695
G2334 G2335 G2336 G2337 G2338 G2339 G2340 G2341
0.9374695 0.9374695 0.9374695 0.9374695 0.9374695 0.9374695 0.9374695 0.9374695
G2342 G2343 G2344 G2345 G2346 G2347 G2348 G2349
0.9374695 0.9374695 0.9374695 0.9374695 0.9374695 0.9374695 0.9374695 0.9374695
G2350 G2351 G2352 G2353 G2354 G2355 G2356 G2357
0.9374695 0.9374695 0.9374695 0.9374695 0.9374695 0.9374695 0.9374695 0.9374695
G2358 G2359 G2360 G2361 G2362 G2363 G2364 G2365
0.9374695 0.9374695 0.9374695 0.9374695 0.9374695 0.9374695 0.9374695 0.9374695
G2366 G2367 G2368 G2369 G2370 G2371 G2372 G2373
0.9374695 0.9374695 0.9374695 0.9374695 0.9374695 0.9374695 0.9374695 0.9374695
G2374 G2375 G2376 G2377 G2378 G2379 G2380 G2381
0.9374695 0.9374695 0.9374695 0.9374695 0.9374695 0.9374695 0.9374695 0.9374695
G2382 G2383 G2384 G2385 G2386 G2387 G2388 G2389
0.9374695 0.9374695 0.9374695 0.9374695 0.9374695 0.9374695 0.9374695 0.9374695
G2390 G2391 G2392 G2393 G2394 G2395 G2396 G2397
0.8750000 0.8750000 0.8750000 0.8750000 0.8750000 0.8750000 0.8750000 0.8750000
G2398 G2399 G2400 G2401 G2402 G2403 G2404 G2405
0.8750000 0.8750000 0.8750000 0.8750000 0.8750000 0.8750000 0.8750000 0.8750000
G2406 G2407 G2408 G2409 G2410 G2411 G2412 G2413
0.8750000 0.8750000 0.8750000 0.8750000 0.8750000 0.8750000 0.8750000 0.8750000
G2414 G2415 G2416 G2417 G2418 G2419 G2420 G2421
0.8750000 0.8750000 0.8750000 0.8750000 0.8750000 0.8750000 0.8750000 0.8750000
G2422 G2423 G2424 G2425 G2426 G2427 G2428 G0080
0.8750000 0.8750000 0.8750000 0.8750000 0.8750000 0.8750000 0.8750000 0.8750000
G2429 G2430 G2431 G2432 G2433 G2434 G2435 G2436
0.8750000 0.8750000 0.8750000 0.8750000 0.8750000 0.8750000 0.8750000 0.8750000
G2437 G2438 G2439 G2440 G2441 G2442 G2443 G2444
0.8750000 0.8750000 0.8750000 0.8750000 0.8750000 0.8750000 0.8750000 0.8750000
G2445 G2446 G2447 G2448 G2449 G2450 G2451 G2452
0.8750000 0.8750000 0.8750000 0.8750000 0.8750000 0.8750000 0.8750000 0.8750000
G2453 G2454 G2455 G2456 G2457 G2458 G2459 G2460
0.8750000 0.8750000 0.8750000 0.8750000 0.8750000 0.8750000 0.8750000 0.8750000
G2461 G2462 G2463 G2464 G2465 G2466 G2467 G2468
0.8750000 0.8750000 0.8750000 0.8750000 0.8750000 0.8750000 0.8750000 0.8750000
G2469 G2470 G2471 G2472 G2473 G2474 G2475 G2476
0.8750000 0.8750000 0.8750000 0.8750000 0.8750000 0.8750000 0.8750000 0.8750000
G2477 G2478 G2479 G2480 G2481 G2482 G2483 G2484
0.8750000 0.8750000 0.8750000 0.8750000 0.8750000 0.8750000 0.8750000 0.8750000
G2485 G2486 G2487 G2488 G2489 G2490 G2491 G2492
0.8750000 0.8750000 0.8750000 0.8750000 0.8750000 0.8750000 0.8750000 0.8750000
G0081 G2493 G0082 G2494 G2495 G2496 G2497 G2498
0.8750000 0.8750000 0.8750000 0.8750000 0.8750000 0.8750000 0.8750000 0.8750000
G2499 G2500 G2501 G2502 G2503 G2504 G2505 G2506
0.8750000 0.8750000 0.8750000 0.8750000 0.8750000 0.8750000 0.8750000 0.8750000
G2507 G2508 G2509 G2510 G2511 G2512 G2513 G2514
0.8750000 0.8750000 0.8750000 0.8750000 0.8750000 0.8750000 0.8750000 0.8750000
G2515 G2516 G2517 G2518 G2519 G2520 G2521 G0083
0.8750000 0.8750000 0.8750000 0.8750000 0.8750000 0.8750000 0.8750000 0.8750000
G2522 G2523 G2524 G2525 G2526 G2527 G2528 G2529
0.8750000 0.8750000 0.8750000 0.8750000 0.8750000 0.8750000 0.8750000 0.8750000
G2530 G2531 G2532 G2533 G2534 G2535 G2536 G2537
0.8750000 0.8750000 0.8750000 0.8750000 0.8750000 0.8750000 0.8750000 0.8750000
G2538 G2539 G2540 G2541 G2542 G2543 G2544 G0084
0.8750000 0.8750000 0.8750000 0.8750000 0.8750000 0.8750000 0.8750000 0.8750000
G2545 G2546 G2547 G2548 G2549 G2550 G2551 G2552
0.8750000 0.8750000 0.8750000 0.8750000 0.8750000 0.8750000 0.8750000 0.9374847
G2553 G2554 G2555 G2556 G2557 G2558 G2559 G2560
0.9374847 0.9374847 0.9374847 0.9374847 0.9374847 0.9374847 0.9374847 0.9374847
G0085 G2561 G2562 G2563 G2564 G2565 G2566 G2567
0.9374847 0.9374847 0.9374847 0.9374847 0.9374847 0.9374847 0.9374847 0.9374847
G2568 G2569 G2570 G2571 G2572 G2573 G2574 G2575
0.9374847 0.9374847 0.9374847 0.9374847 0.9374847 0.9374847 0.9374847 0.9374847
G2576 G2577 G2578 G2579 G2580 G2581 G2582 G2583
0.9374847 0.9374847 0.9374847 0.9374847 0.9374847 0.9374847 0.9374847 0.9374847
G2584 G2585 G2586 G2587 G2588 G2589 G0086 G2590
0.9374847 0.9374847 0.9374847 0.9374847 0.9374847 0.9374847 0.9374847 0.9374847
G0087 G2591 G2592 G2593 G2594 G2595 G2596 G2597
0.9374847 0.9374847 0.9374847 0.9374847 0.9374847 0.9374847 0.9374847 0.9374847
G2598 G2599 G2600 G2601 G2602 G2603 G2604 G2605
0.9374847 0.9374847 0.9374847 0.9374847 0.9374847 0.9374847 0.9374847 0.9374847
G2606 G2607 G2608 G2609 G2610 G2611 G2612 G2613
0.9374847 0.9374847 0.9374847 0.9374847 0.9374847 0.9374847 0.9374847 0.9374847
G2614 G2615 G2616 G2617 G2618 G2619 G2620 G2621
0.9374847 0.9374847 0.9374847 0.9374847 0.9374847 0.9374847 0.9374847 0.9374847
G2622 G2623 G2624 G2625 G2626 G2627 G2628 G2629
0.9374847 0.9374847 0.8825684 0.8825684 0.8825684 0.8825684 0.8825684 0.8825684
G2630 G0088 G2631 G2632 G2633 G2634 G2635 G2636
0.8825684 0.8825684 0.8825684 0.8825684 0.8825684 0.8825684 0.8825684 0.8825684
G2637 G0089 G0090 G2638 G2639 G2640 G2641 G2642
0.8825684 0.8825684 0.8825684 0.8825684 0.8825684 0.8825684 0.8825684 0.8825684
G2643 G2644 G2645 G2646 G2647 G0091 G2648 G2649
0.8825684 0.8825684 0.8825684 0.8825684 0.8825684 0.8825684 0.8825684 0.8825684
G2650 G2651 G2652 G2653 G2654 G0092 G2655 G2656
0.8825684 0.8825684 0.8825684 0.8750000 0.8750000 0.8750000 0.8750000 0.8750000
G2657 G2658 G2659 G2660 G2661 G2662 G2663 G2664
0.8750000 0.8750000 0.8750000 0.8750000 0.8750000 0.8750000 0.8750000 0.8750000
G2665 G2666 G2667 G2668 G2669 G2670 G2671 G2672
0.8750000 0.8750000 0.8750000 0.8825684 0.8825684 0.8825684 0.8825684 0.8825684
G2673 G2674 G2675 G2676 G2677 G2678 G2679 G2680
0.8825684 0.8825684 0.8825684 0.8825684 0.8825684 0.8825684 0.8825684 0.8825684
G2681 G2682 G2683 G2684 G2685 G2686 G2687 G2688
0.8825684 0.8825684 0.8825684 0.8825684 0.8825684 0.8750000 0.8750000 0.8750000
G2689 G2690 G2691 G0093 G2692 G2693 G2694 G2695
0.8750000 0.8750000 0.8750000 0.8750000 0.8750000 0.8750000 0.8750000 0.8750000
G2696 G2697 G2698 G2699 G2700 G2701 G2702 G2703
0.9374847 0.9374847 0.9374847 0.9374847 0.9374847 0.9374847 0.9374847 0.9374847
G2704 G2705 G2706 G2707 G2708 G2709 G2710 G2711
0.9374847 0.9374847 0.9374847 0.9374847 0.9374847 0.9374847 0.9374847 0.9374847
G2712 G2713 G2714 G2715 G2716 G2717 G2718 G2719
0.9374847 0.9374847 0.9374847 0.9374847 0.9374847 0.9374847 0.9374847 0.9374847
G2720 G2721 G2722 G2723 G2724 G2725 G0094 G2726
0.9374847 0.9374847 0.9374847 0.9374847 0.9374847 0.9374847 0.9374847 0.9374847
G2727 G2728 G2729 G2730 G2731 G2732 G2733 G2734
0.9374847 0.9374847 0.9374847 0.9374847 0.9374847 0.9374847 0.9374847 0.9374847
G2735 G2736 G2737 G2738 G2739 G2740 G2741 G2742
0.9374847 0.9374847 0.9374847 0.9374847 0.9374847 0.9374847 0.9374847 0.9374847
G2743 G0095 G2744 G2745 G2746 G2747 G2748 G2749
0.9374847 0.9374847 0.9374847 0.9374847 0.9374847 0.9374847 0.9374847 0.9374847
G2750 G2751 G2752 G2753 G2754 G2755 G2756 G2757
0.9374847 0.9374847 0.9374847 0.9374847 0.9374847 0.9374847 0.9374847 0.9374847
G2758 G2759 G2760 G2761 G2762 G2763 G2764 G2765
0.9374847 0.9374847 0.9374847 0.9374847 0.9374847 0.9374847 0.9374847 0.9374847
G2766 G2767 G2768 G2769 G2770 G2771 G2772 G2773
0.9374847 0.9374847 0.9374847 0.9374847 0.9374847 0.9374847 0.9374847 0.9374847
G2774 G2775 G2776 G2777 G2778 G2779 G2780 G2781
0.9374847 0.9374847 0.9374847 0.9374847 0.9374847 0.9374847 0.9374847 0.9374847
G2782 G2783 G2784 G2785 G2786 G2787 G2788 G2789
0.9374847 0.9374847 0.9374847 0.9374847 0.9374847 0.8750000 0.8750000 0.8750000
G2790 G2791 G2792 G2793 G2794 G2795 G2796 G2797
0.8750000 0.8750000 0.8750000 0.8750000 0.8750000 0.8750000 0.8750000 0.8750000
G2798 G0096 G2799 G2800 G2801 G2802 G2803 G2804
0.8750000 0.8750000 0.8750000 0.8750000 0.8750000 0.8750000 0.8750000 0.8750000
G2805 G2806 G0097 G2807 G2808 G2809 G2810 G2811
0.8750000 0.8750000 0.8750000 0.8750000 0.8750000 0.8750000 0.8750000 0.8750000
G2812 G2813 G2814 G2815 G2816 G2817 G2818 G2819
0.8750000 0.8750000 0.8750000 0.8750000 0.8750000 0.8750000 0.8750000 0.8750000
G0098 G2820 G2821 G2822 G2823 G2824 G2825 G2826
0.8750000 0.8750000 0.9374847 0.9374847 0.9374847 0.9374847 0.9374847 0.9374847
G2827 G2828 G2829 G2830 G2831 G2832 G2833 G2834
0.9374847 0.9374847 0.9374847 0.9374847 0.9374847 0.9374847 0.9374847 0.9374847
G2835 G2836 G2837 G2838 G2839 G2840 G2841 G2842
0.9374847 0.9374847 0.9374847 0.8750000 0.8750000 0.8750000 0.8750000 0.8750000
G2843 G2844 G2845 G2846 G2847 G2848 G2849 G2850
0.8750000 0.8750000 0.8750000 0.8750000 0.8750000 0.8750000 0.8750000 0.8750000
G2851 G2852 G2853 G2854 G2855 G2856 G2857 G2858
0.8750000 0.8750000 0.8750000 0.8750000 0.8750000 0.8750000 0.8750000 0.8750000
G2859 G2860 G2861 G2862 G2863 G2864 G2865 G2866
0.8750000 0.8750000 0.8750000 0.8750000 0.8750000 0.8750000 0.8750000 0.8750000
G2867 G2868 G2869 G2870 G2871 G2872 G2873 G2874
0.8750000 0.8750000 0.8750000 0.8750000 0.8750000 0.8750000 0.8750000 0.8750000
G2875 G2876 G2877 G2878 G2879 G2880 G2881 G2882
0.8750000 0.8750000 0.8750000 0.8750000 0.8750000 0.8750000 0.8750000 0.8750000
G2883 G2884 G2885 G2886 G2887 G2888 G2889 G2890
0.8750000 0.8750000 0.8750000 0.8750000 0.8750000 0.8750000 0.8750000 0.8750000
G2891 G2892 G0099 G2893 G2894 G2895 G2896 G2897
0.8750000 0.8750000 0.8750000 0.8750000 0.8750000 0.8750000 0.8750000 0.8750000
G2898 G2899 G2900 G2901 G2902 G2903 G2904 G0100
0.8750000 0.8750000 0.8750000 0.8750000 0.8750000 0.8750000 0.8750000 0.8750000
G2905 G2906 G2907 G2908 G2909 G2910 G2911 G2912
0.8750000 0.8750000 0.8750000 0.8750000 0.8750000 0.8750000 0.8750000 0.8750000
G2913 G2914 G2915 G2916 G2917 G0101 G2918 G2919
0.8750000 0.8750000 0.9062500 0.9062500 0.9062500 0.8750000 0.9062500 0.9062500
G2920 G2921 G2922 G2923 G2924 G2925 G2926 G2927
0.9062500 0.9062500 0.9062500 0.9062500 0.9062500 0.9062500 0.9062500 0.9355469
G2928 G2929 G2930 G2931 G2932 G2933 G2934 G2935
0.9062500 0.9062500 0.9062500 0.9062500 0.9062500 0.9062500 0.9062500 0.9062500
G2936 G2937 G2938 G2939 G2940 G2941 G2942 G2943
0.9062500 0.9062500 0.9062500 0.9062500 0.9062500 0.9062500 0.9062500 0.9062500
G2944 G2945 G2946 G2947 G2948 G2949 G2950 G0102
0.9062500 0.9062500 0.9062500 0.9062500 0.9062500 0.9062500 0.9062500 0.9062500
G2951 G2952 G2953 G2954 G2955 G2956 G2957 G2958
0.9062500 0.9062500 0.9062500 0.9062500 0.9062500 0.9062500 0.9062500 0.9062500
G2959 G2960 G2961 G2962 G2963 G2964 G2965 G2966
0.9062500 0.9062500 0.9062500 0.9062500 0.9062500 0.9062500 0.9062500 0.9062500
G2967 G2968 G2969 G2970 G2971 G2972 G2973 G2974
0.9062500 0.9062500 0.9062500 0.9062500 0.9062500 0.9062500 0.9062500 0.9062500
G2975 G2976 G2977 G2978 G2979 G2980 G2981 G2982
0.9062500 0.9062500 0.9062500 0.9062500 0.9062500 0.9062500 0.9062500 0.9062500
G2983 G2984 G2985 G2986 G2987 G2988 G2989 G2990
0.9062500 0.9062500 0.9062500 0.9062500 0.9062500 0.9062500 0.9062500 0.9062500
G2991 G0103 G2992 G2993 G2994 G2995 G2996 G2997
0.9062500 0.9062500 0.9062500 0.9062500 0.9062500 0.9062500 0.9062500 0.9062500
G2998 G2999 G3000 G3001 G3002 G0104 G3003 G3004
0.9062500 0.9062500 0.9062500 0.9062500 0.9062500 0.9062500 0.9062500 0.9062500
G3005 G0105 G0106 G0107 G0108 G0109 G0190 G0110
0.9062500 0.8750000 0.8750000 0.8750000 0.8750000 0.8750000 0.8750000 0.8750000
G0111 G0112 G0113 G0114 G0115 G0116 G0117 G3006
0.8750000 0.8750000 0.8750000 0.8750000 0.8750000 0.8750000 0.8750000 0.9062500
G3007 G3008 G3009 G3010 G3011 G3012 G3013 G3014
0.9062500 0.9062500 0.9062500 0.9062500 0.9062500 0.9062500 0.9062500 0.9062500
G3015 G3016 G3017 G3018 G3019 G3020 G3021 G3022
0.9062500 0.9062500 0.9062500 0.9062500 0.9062500 0.9062500 0.9062500 0.9062500
G3023 G3024 G3025 G3026 G3027 G3028 G3029 G3030
0.9062500 0.9062500 0.9062500 0.9062500 0.9062500 0.9062500 0.9062500 0.9062500
G3031 G3032 G3033 G3034 G3035 G3036 G3037 G3038
0.9062500 0.9062500 0.9062500 0.9062500 0.9062500 0.9062500 0.9062500 0.9062500
G3039 G3040 G3041 G3042 G3043 G3044 G3045 G3046
0.9062500 0.9062500 0.9062500 0.9062500 0.9062500 0.9062500 0.9062500 0.9062500
G3047 G3048 G3049 G3050 G3051 G3052 G3053 G3054
0.9062500 0.9062500 0.9062500 0.9062500 0.9062500 0.9062500 0.9062500 0.9062500
G0118 G3055 G3056 G3057 G3058 G3059 G0119 G3060
0.9062500 0.9062500 0.9062500 0.9062500 0.9062500 0.9062500 0.8750000 0.9062500
G3061 G3062 G3063 G3064 G3065 G3066 G0120 G0121
0.9062500 0.9062500 0.9062500 0.9062500 0.9062500 0.9062500 0.8750000 0.8750000
G0122 G0123 G0124 G3067 G3068 G3069 G3070 G3071
0.8750000 0.8750000 0.8750000 0.9062500 0.9062500 0.9062500 0.9062500 0.9062500
G3072 G3073 G3074 G3075 G3076 G3077 G3078 G3079
0.9062500 0.9062500 0.9062500 0.9062500 0.9062500 0.9062500 0.9062500 0.9062500
G3080 G3081 G3082 G0125 G3083 G3084 G3085 G3086
0.9062500 0.9062500 0.9062500 0.9062500 0.9062500 0.9062500 0.9062500 0.9062500
G0126 G0127 G0128 G3087 G3088 G3089 G3090 G3091
0.8750000 0.8750000 0.8750000 0.9062500 0.9062500 0.9062500 0.9062500 0.9062500
G3092 G3093 G3094 G3095 G3096 G3097 G3098 G3099
0.9355469 0.9062500 0.9062500 0.9062500 0.9062500 0.9062500 0.9062500 0.9062500
G3100 G3101 G3102 G3103 G3104 G3105 G3106 G3107
0.9062500 0.9062500 0.9062500 0.9062500 0.9062500 0.9355469 0.9355469 0.9355469
G3108 G3109 G3110 G3111 G3112 G3113 G3114 G3115
0.9355469 0.9355469 0.9355469 0.9355469 0.9355469 0.9355469 0.9355469 0.9355469
G3116 G3117 G3118 G3119 G3120 G3121 G3122 G3123
0.9374695 0.9374695 0.9374695 0.9374695 0.9374695 0.9374695 0.9374695 0.9374695
G3124 G3125 G3126 G3127 G3128 G3129 G3130 G3131
0.9374695 0.9374695 0.9374695 0.9374695 0.9374695 0.9374695 0.9374695 0.9374695
G3132 G3133 G3134 G3135 G3136 G3137 G3138 G3139
0.9374695 0.9374695 0.9374695 0.9374695 0.9374695 0.9374695 0.9062500 0.9062500
G3140 G3141 G3142 G3143 G3144 G3145 G3146 G3147
0.9062500 0.9062500 0.9062500 0.9355469 0.9355469 0.9355469 0.9355469 0.9355469
G3148 G3149 G3150 G3151 G3152 G3153 G3154 G3155
0.9355469 0.9355469 0.9355469 0.9355469 0.9355469 0.9355469 0.9355469 0.9355469
G3156 G3157 G3158 G3159 G0129 G0130 G0131 G0132
0.9355469 0.9355469 0.9355469 0.9355469 0.9204102 0.9204102 0.9204102 0.9204102
G3160 G3161 G3162 G3163 G3164 G3165 G3166 G3167
0.8750000 0.8750000 0.8750000 0.8750000 0.8750000 0.8750000 0.8750000 0.8750000
G3168 G3169 G3170 G3171 G3172 G3173 G3174 G3175
0.8750000 0.8750000 0.8750000 0.8750000 0.8750000 0.8750000 0.8750000 0.8750000
G3176 G3177 G3178 G3179 G3180 G3181 G3182 G3183
0.8750000 0.8750000 0.8750000 0.8750000 0.8750000 0.8750000 0.8750000 0.8750000
G3184 G3185 G3186 G3187 G0133 G3188 G3189 G3190
0.8750000 0.8750000 0.8750000 0.8750000 0.8750000 0.9052734 0.9052734 0.9052734
G3191 G3192 G0134 G3193 G3194 G3195 G3196 G3197
0.9052734 0.9052734 0.9052734 0.9052734 0.9052734 0.9052734 0.9052734 0.9052734
G3198 G3199 G3200 G3201 G3202 G0135 G0136 G3203
0.9052734 0.9052734 0.9052734 0.9052734 0.9052734 0.8750000 0.8750000 0.8750000
G3204 G3205 G3206 G3207 G3208 G3209 G3210 G0137
0.8750000 0.8750000 0.8750000 0.8750000 0.8750000 0.8750000 0.8750000 0.8750000
G3211 G3212 G3213 G3214 G3215 G3216 G3217 G3218
0.8750000 0.8750000 0.8750000 0.8750000 0.8750000 0.8750000 0.8750000 0.8750000
G3219 G3220 G3221 G3222 G3223 G3224 G3225 G3226
0.8750000 0.8750000 0.8750000 0.8750000 0.8750000 0.8750000 0.8750000 0.8750000
G3227 G3228 G3229 G3230 G3231 G3232 G3233 G3234
0.8750000 0.8750000 0.8750000 0.8750000 0.8750000 0.8750000 0.8750000 0.8750000
G3235 G3236 G3237 G3238 G3239 G3240 G3241 G3242
0.8750000 0.8750000 0.8750000 0.8750000 0.8750000 0.8750000 0.8750000 0.8750000
G3243 G3244 G3245 G3246 G3247 G3248 G3249 G3250
0.8750000 0.8750000 0.8750000 0.8750000 0.8750000 0.8750000 0.8750000 0.8750000
G0138 G3251 G3252 G3253 G3254 G3255 G3256 G3257
0.8750000 0.8750000 0.8750000 0.8750000 0.8750000 0.8750000 0.8750000 0.8750000
G3258 G3259 G3260 G3261 G3262 G3263 G3264 G3265
0.9062500 0.9062500 0.9062500 0.9062500 0.9062500 0.9062500 0.9062500 0.9062500
G3266 G3267 G3268 G3269 G3270 G3271 G3272 G3273
0.9062500 0.9062500 0.9062500 0.9062500 0.9062500 0.9062500 0.9062500 0.9062500
G3274 G3275 G3276 G3277 G3278 G3279 G3280 G3281
0.9062500 0.9062500 0.9062500 0.9062500 0.9062500 0.9062500 0.9062500 0.9062500
G3282 G3283 G3284 G3285 G3286 G3287 G3288 G0139
0.9062500 0.8750000 0.8750000 0.8750000 0.8750000 0.8750000 0.8750000 0.7500000
G3289 G3290 G3291 G3292 G3293 G3294 G3295 G3296
0.8710938 0.8710938 0.8710938 0.8710938 0.8710938 0.8710938 0.8710938 0.8710938
G0140 G0141 G0142 G0143 G0144 G0145 G0146 G3297
0.7500000 0.7500000 0.7500000 0.7500000 0.7500000 0.7500000 0.7500000 0.8749390
G3298 G0147 G3299 G3300 G3301 G3302 G3303 G3304
0.8749390 0.8749390 0.8749390 0.8749390 0.8749390 0.8749390 0.8749390 0.8749390
G3305 G3306 G3307 G3308 G3309 G3310 G3311 G3312
0.8749390 0.8749390 0.8749390 0.8749390 0.8749390 0.8749390 0.8749390 0.8749390
G3313 G0148 G3314 G3315 G3316 G3317 G3318 G3319
0.8749390 0.7500000 0.8710938 0.8710938 0.8710938 0.8710938 0.8710938 0.8710938
G0149 G3320 G3321 G3322 G3323 G3324 G3325 G3326
0.8749695 0.8749695 0.8749695 0.8749695 0.8749695 0.8749695 0.8749695 0.8749695
G3327 G3328 G3329 G3330 G3331 G0150 G3332 G3333
0.8749695 0.8749695 0.8749695 0.8749695 0.8749695 0.8749695 0.8749695 0.8749695
G3334 G3335 G3336 G3337 G3338 G3339 G3340 G3341
0.8749695 0.8749695 0.8749695 0.8749695 0.8749695 0.8749695 0.8749695 0.8749695
G3342 G3343 G3344 G3345 G0151 G0152 G0153 G0154
0.8749695 0.8749695 0.8749695 0.8749695 0.7500000 0.7500000 0.7500000 0.7500000
G0228 G0155 G3346 G3347 G3348 G3349 G3350 G3351
0.7500000 0.7500000 0.8710938 0.8710938 0.8710938 0.8710938 0.8710938 0.8710938
G3352 G3353 G3354 G3355 G3356 G3357 G3358 G3359
0.8710938 0.8710938 0.8710938 0.8710938 0.8710938 0.8710938 0.8710938 0.8710938
G3360 G3361 G3362 G3363 G3364 G3365 G3366 G3367
0.8710938 0.8710938 0.8710938 0.8710938 0.8710938 0.8710938 0.8710938 0.8710938
G3368 G3369 G3370 G3371 G3372 G3373 G3374 G3375
0.8710938 0.8710938 0.8710938 0.8710938 0.8710938 0.8710938 0.8710938 0.8710938
G3376 G3377 G3378 G3379 G3380 G3381 G3382 G3383
0.8710938 0.8710938 0.8710938 0.8710938 0.8710938 0.8710938 0.8710938 0.8710938
G3384 G3385 G3386 G3387 G3388 G3389 G3390 G3391
0.8710938 0.8710938 0.8710938 0.8710938 0.8710938 0.8710938 0.8710938 0.8710938
G3392 G3393 G3394 G3395 G3396 G3397 G3398 G3399
0.8710938 0.8710938 0.8710938 0.8710938 0.8710938 0.8710938 0.8710938 0.8710938
G3400 G3401 G3402 G0156 G0157 G0158 G0159 G3403
0.8710938 0.8710938 0.8710938 0.7500000 0.7500000 0.7500000 0.7500000 0.8710938
G3404 G3405 G3406 G0160 G0161 G0162 G3407 G3408
0.8710938 0.8710938 0.8710938 0.7500000 0.7500000 0.7500000 0.8710938 0.8710938
G3409 G3410 G3411 G3412 G3413 G3414 G3415 G3416
0.8710938 0.8710938 0.8710938 0.8710938 0.8710938 0.8710938 0.8710938 0.8710938
G3417 G3418 G3419 G3420 G3421 G3422 G3423 G3424
0.8710938 0.8710938 0.8710938 0.8710938 0.8710938 0.8710938 0.8749847 0.8749847
G3425 G3426 G3427 G0163 G0164 G3428 G3429 G3430
0.8749847 0.8749847 0.8749847 0.8749847 0.8749847 0.8749847 0.8749847 0.8749847
G3431 G3432 G3433 G3434 G3435 G3436 G3437 G3438
0.8749847 0.8749847 0.9316406 0.8749695 0.8749695 0.8749695 0.8749695 0.8749695
G3439 G3440 G3441 G3442 G3443 G3444 G3445 G3446
0.8749695 0.8749695 0.8749695 0.8749695 0.8749695 0.8749695 0.8749695 0.8710938
G3447 G3448 G3449 G3450 G3451 G3452 G3453 G3454
0.8710938 0.8710938 0.8710938 0.8710938 0.8710938 0.8710938 0.8710938 0.8710938
G3455 G3456 G3457 G3458 G3459 G0165 G3460 G3461
0.8710938 0.8710938 0.8710938 0.8710938 0.8710938 0.9375000 0.7500000 0.7500000
G3462 G0166 G0167 G0168 G0169 G0170 G0171 G0172
0.7500000 0.8750000 0.8750000 0.8750000 0.8750000 0.8750000 0.8750000 0.8750000
G0173 G0174 G0175 G0176 G3463 G3464 G3465 G3466
0.8750000 0.8750000 0.8750000 0.8750000 0.8750000 0.8750000 0.8750000 0.8750000
G3467 G3468 G3469 G3470 G3471 G3472 G3473 G3474
0.8750000 0.8750000 0.8750000 0.8750000 0.8750000 0.8750000 0.8750000 0.8750000
G3475 G3476 G3477 G3478 G3479 G3480 G3481 G3482
0.8750000 0.8750000 0.8750000 0.8750000 0.8750000 0.8750000 0.8750000 0.8750000
G3483 G3484 G3485 G3486 G3487 G3488 G3489 G3490
0.8750000 0.8750000 0.8750000 0.8750000 0.8750000 0.8750000 0.8750000 0.8750000
G3491 G3492 G3493 G3494 G3495 G3496 G3497 G3498
0.8750000 0.8750000 0.8750000 0.8750000 0.8750000 0.8750000 0.8750000 0.8750000
G3499 G3500 G3501 G3502 G3503 G3504 G3505 G3506
0.8750000 0.8750000 0.8750000 0.8750000 0.8750000 0.8750000 0.8750000 0.8750000
G3507 G3508 G3509 G3510 G3511 G3512 G3513 G3514
0.8750000 0.8750000 0.8750000 0.8750000 0.8750000 0.8750000 0.8750000 0.8750000
G3515 G3516 G3517 G3518 G3519 G3520 G3521 G3522
0.8750000 0.8750000 0.8750000 0.8750000 0.8750000 0.8750000 0.8750000 0.8750000
G3523 G3524 G3525 G3526 G3527 G3528 G3529 G3530
0.8750000 0.8750000 0.8750000 0.8750000 0.8750000 0.8750000 0.8750000 0.8750000
G3531 G3532 G3533 G3534 G3535 G3536 G3537 G3538
0.8750000 0.8750000 0.8750000 0.8750000 0.8750000 0.8750000 0.8750000 0.8750000
G3539 G3540 G3541 G3542 G3543 G3544 G3545 G3546
0.8750000 0.8750000 0.8750000 0.8750000 0.8750000 0.8750000 0.8750000 0.8750000
G3547 G3548 G3549 G3550 G3551 G3552 G3553 G3554
0.8750000 0.8750000 0.8750000 0.8750000 0.8750000 0.8750000 0.8750000 0.8750000
G3555 G3556 G3557 G3558 G3559 G3560 G3561 G3562
0.8750000 0.8750000 0.8750000 0.8750000 0.8750000 0.8750000 0.8750000 0.8750000
G3563 G3564 G3565 G3566 G3567 G3568 G3569 G3570
0.8750000 0.8750000 0.8750000 0.8750000 0.8750000 0.8750000 0.8750000 0.8750000
G3571 G3572 G3573 G3574 G3575 G3576 G3577 G3578
0.8750000 0.8750000 0.8750000 0.8750000 0.8750000 0.8750000 0.8750000 0.8750000
G3579 G3580 G3581 G3582 G3583 G3584 G3585 G3586
0.8750000 0.8750000 0.8750000 0.8750000 0.8750000 0.8750000 0.8750000 0.8750000
G3587 G3588 G3589 G3590 G3591 G3592 G3593 G3594
0.8750000 0.8750000 0.8750000 0.8750000 0.8750000 0.8750000 0.8750000 0.8750000
G3595 G3596 G3597 G3598 G3599 G3600 G3601 G3602
0.8750000 0.8750000 0.8750000 0.8750000 0.8750000 0.8750000 0.8750000 0.8750000
G3603 G3604 G3605 G3606 G3607 G3608 G3609 G3610
0.8750000 0.8750000 0.8750000 0.8750000 0.8750000 0.8750000 0.8750000 0.8750000
G3611 G3612 G3613 G3614 G3615 G3616 G3617 G3618
0.8750000 0.8750000 0.8750000 0.8750000 0.8750000 0.8750000 0.8750000 0.8750000
G3619 G3620 G3621 G3622 G3623 G3624 G3625 G3626
0.8750000 0.8750000 0.8750000 0.8750000 0.8750000 0.8750000 0.8750000 0.8750000
G3627 G3628 G3629 G3630 G3631 G3632 G3633 G3634
0.8750000 0.8750000 0.8750000 0.8750000 0.8750000 0.8750000 0.8750000 0.8750000
G3635 G3636 G3637 G3638 G3639 G3640 G3641 G3642
0.8750000 0.8750000 0.8750000 0.8750000 0.8750000 0.8750000 0.8750000 0.8750000
G3643 G3644 G3645 G3646 G3647 G3648 G3649 G3650
0.8750000 0.8750000 0.8750000 0.8750000 0.8750000 0.8750000 0.8750000 0.8750000
G3651 G3652 G3653 G3654 G3655 G3656 G3657 G3658
0.8750000 0.8750000 0.8750000 0.8750000 0.8750000 0.8750000 0.8750000 0.8750000
G3659 G3660 G3661 G3662 G0177 G0178 G3663 G3664
0.8750000 0.8750000 0.8750000 0.8750000 0.8750000 0.8750000 0.8750000 0.8750000
G3665 G3666 G3667 G3668 G3669 G3670 G3671 G3672
0.8750000 0.8750000 0.8750000 0.8750000 0.8750000 0.8750000 0.8750000 0.8750000
G3673 G3674 G3675 G3676 G3677 G3678 G3679 G3680
0.8750000 0.8750000 0.8750000 0.8750000 0.8750000 0.8750000 0.8750000 0.8750000
G3681 G3682 G3683 G3684 G3685 G3686 G3687 G3688
0.8750000 0.8750000 0.8750000 0.8750000 0.8750000 0.8750000 0.8750000 0.8750000
G3689 G3690 G3691 G3692 G3693 G3694 G3695 G3696
0.8750000 0.8750000 0.8750000 0.8750000 0.8750000 0.8750000 0.8750000 0.8750000
G3697 G3698 G3699 G3700 G3701 G3702 G3703 G3704
0.8750000 0.8750000 0.8750000 0.8750000 0.8750000 0.8750000 0.8750000 0.8750000
G3705 G3706 G3707 G3708 G3709 G3710 G3711 G3712
0.8750000 0.8750000 0.8750000 0.8750000 0.8750000 0.8750000 0.8750000 0.8750000
G3713 G3714 G3715 G3716 G3717 G3718 G3719 G3720
0.8750000 0.8750000 0.8750000 0.8750000 0.8750000 0.8750000 0.8750000 0.8750000
G3721 G3722 G3723 G3724 G3725 G3726 G3727 G3728
0.8750000 0.8750000 0.8750000 0.8750000 0.8750000 0.8750000 0.8750000 0.8750000
G3729 G3730 G3731 G3732 G3733 G3734 G3735 G3736
0.8750000 0.8750000 0.8750000 0.8750000 0.8750000 0.8750000 0.8750000 0.8750000
G3737 G3738 G3739 G3740 G3741 G3742 G3743 G3744
0.8750000 0.8750000 0.8750000 0.8750000 0.8750000 0.8750000 0.8750000 0.8750000
G3745 G3746 G3747 G3748 G3749 G3750 G3751 G3752
0.8750000 0.8750000 0.8750000 0.8750000 0.8750000 0.8750000 0.8750000 0.8750000
G3753 G3754 G3755 G3756 G3757 G3758 G3759 G3760
0.8750000 0.8750000 0.8750000 0.8750000 0.8750000 0.8750000 0.8750000 0.8750000
G3761 G3762 G3763 G3764 G3765 G3766 G3767 G3768
0.8750000 0.8750000 0.8750000 0.8750000 0.8750000 0.8750000 0.8750000 0.8750000
G3769 G3770 G3771 G3772 G3773 G3774 G3775 G3776
0.8750000 0.8750000 0.8750000 0.8750000 0.8750000 0.8750000 0.8750000 0.8750000
G3777 G3778 G3779 G3780 G3781 G3782 G3783 G3784
0.8750000 0.8750000 0.8750000 0.8750000 0.8750000 0.8750000 0.8750000 0.8750000
G3785 G3786 G3787 G3788 G3789 G3790 G3791 G0179
0.8750000 0.8750000 0.8750000 0.8750000 0.8750000 0.8750000 0.8750000 0.8750000
G0180 G0315 G0181 G0182 G0183 G3792 G0012 G0015
0.8750000 0.8750000 0.8750000 0.8750000 0.8750000 0.0000000 0.8750000 0.9355469
G3793 G0016 G0316 G3794 G0317 G3795 G0318 G0319
0.4998779 0.9997558 0.9995117 0.0000000 0.9355469 0.0000000 0.8750000 0.8750000
G3796 G0320 G0321 G3797 G3798 G3799 G3800 G3801
0.0000000 0.9355469 0.9279785 0.0000000 0.0000000 0.0000000 0.8710938 0.0000000
G3802 G3803 G3804 G3805 G3806 G3807 G3808 G3809
0.0000000 0.0000000 0.0000000 0.0000000 0.2500000 0.4843750 0.2500000 0.2500000
G3810 G3811 G3812 G3813 G3814 G3815 G3816 G3817
0.2500000 0.2500000 0.2500000 0.2500000 0.2500000 0.4843750 0.2500000 0.4843750
G3818 G3819 G3820 G3821 G3822 G3823 G3824 G3825
0.4998779 0.4843750 0.4998779 0.0000000 0.0000000 0.0000000 0.0000000 0.0000000
G3826 G3827 G3828 G3829 G3830 G3831 G3832 G3833
0.0000000 0.0000000 0.0000000 0.2421875 0.0000000 0.0000000 0.2421875 0.0000000
G3834 G3835 G3836 G3837 G3838 G3839 G3840 G3841
0.0000000 0.0000000 0.0000000 0.2500000 0.4843750 0.0000000 0.0000000 0.0000000
G3842 G3843 G3844 G3845 G3846 G3847 G3848 G3849
0.0000000 0.0000000 0.4997559 0.0000000 0.0000000 0.2500000 0.4843750 0.4998779
G3850 G3851 G3852 G3853 G3854 G3855 G3856 G3857
0.4998779 0.4843750 0.0000000 0.0000000 0.4843750 0.0000000 0.1210938 0.0000000
G3858 G3859 G3860 G3861 G3862 G3863 G3864 G3865
0.4843750 0.0000000 0.4843750 0.4843750 0.4843750 0.4999390 0.7265625 0.7265625
G3866 G3867 G3868 G3869 G3870 G3871 G3872 G3873
0.7498169 0.7265625 0.7498169 0.0000000 0.0000000 0.0000000 0.0000000 0.0000000
G3874 G3875 G3876 G3877 G3878 G3879 G3880 G3881
0.0000000 0.0000000 0.0000000 0.0000000 0.0000000 0.0000000 0.0000000 0.0000000
G3882 G3883 G3884 G3885 G3886 G3887 G3888 G3889
0.0000000 0.0000000 0.0000000 0.0000000 0.0000000 0.0000000 0.0000000 0.0000000
G3890 G3891 G3892 G3893 G3894 G3895 G3896 G3897
0.0000000 0.0000000 0.0000000 0.0000000 0.0000000 0.0000000 0.4998779 0.4843750
G3898 G3899 G3900 G3901 G3902 G3903 G3904 G3905
0.0000000 0.0000000 0.0000000 0.0000000 0.0000000 0.4998779 0.0000000 0.0000000
G3906 G3907 G3908 G3909 G3910 G3911 G3912 G3913
0.0000000 0.0000000 0.0000000 0.0000000 0.0000000 0.0000000 0.0000000 0.0000000
G3914 G3915 G3916 G3917 G3918 G3919 G3920 G3921
0.0000000 0.0000000 0.0000000 0.0000000 0.0000000 0.2500000 0.2500000 0.2500000
G3922 G3923 G3924 G3925 G3926 G3927 G3928 G3929
0.2500000 0.2500000 0.2500000 0.4843750 0.4843750 0.4843750 0.4843750 0.4843750
G3930 G3931 G3932 G3933 G3934 G3935 G3936 G3937
0.4843750 0.0000000 0.0000000 0.0000000 0.0000000 0.0000000 0.0000000 0.0000000
G3938 G3939 G3940 G3941 G3942 G3943 G3944 G3945
0.4843750 0.2500000 0.0000000 0.0000000 0.1816406 0.4998779 0.4998779 0.0000000
G3946 G3947 G3948 G3949 G3950 G3951 G3952 G3953
0.0000000 0.0000000 0.0000000 0.0000000 0.0000000 0.0000000 0.0000000 0.4843750
G3954 G3955 G3956 G3957 G3958 G3959 G3960 G3961
0.0000000 0.0000000 0.4843750 0.0000000 0.0000000 0.0000000 0.0000000 0.3046875
G3962 G3963 G3964 G3965 G3966 G3967 G3968 G3969
0.0000000 0.0000000 0.0000000 0.4998779 0.4843750 0.4998779 0.4843750 0.0000000
G3970 G3971 G3972 G3973 G3974 G3975 G3976 G3977
0.0000000 0.0000000 0.0000000 0.0000000 0.4843750 0.0000000 0.0000000 0.0000000
G3978 G3979 G3980 G3981 G3982 G3983 G3984 G3985
0.0000000 0.0000000 0.4843750 0.0000000 0.4998779 0.4843750 0.4843750 0.7500000
G3986 G3987 G3988 G3989 G3990 G3991 G3992 G3993
0.8710938 0.8710938 0.8710938 0.8750000 0.0000000 0.0000000 0.8710938 0.4843750
G3994 G3995 G3996 G3997 G3998 G3999 G4000 G4001
0.8710938 0.0000000 0.0000000 0.0000000 0.0000000 0.0000000 0.0000000 0.0000000
G4002 G4003 G4004 G4005 G4006 G4007 G4008 G4009
0.0000000 0.0000000 0.0000000 0.0000000 0.0000000 0.0000000 0.0000000 0.0000000
G4010 G4011 G4012 G4013 G4014 G4015 G4016 G4017
0.0000000 0.0000000 0.0000000 0.0000000 0.0000000 0.0000000 0.0000000 0.0000000
G4018 G4019 G4020 G4021 G4022 G4023 G4024 G4025
0.0000000 0.0000000 0.0000000 0.0000000 0.0000000 0.0000000 0.0000000 0.0000000
G4026 G4027 G4028 G4029 G4030 G4031 G4032 G4033
0.0000000 0.0000000 0.0000000 0.0000000 0.0000000 0.0000000 0.3632812 0.0000000
G4034 G4035 G4036 G4037 G4038 G4039 G4040 G4041
0.0000000 0.0000000 0.0000000 0.0000000 0.3632812 0.0000000 0.5449219 0.0000000
G4042 G4043 G4044 G4045 G4046 G4047 G4048 G4049
0.0000000 0.0000000 0.5449219 0.0000000 0.0000000 0.0000000 0.0000000 0.0000000
G4050 G4051 G4052 G4053 G4054 G4055 G4056 G4057
0.0000000 0.0000000 0.0000000 0.0000000 0.0000000 0.0000000 0.0000000 0.0000000
G4058 G4059 G4060 G4061 G4062 G4063 G4064 G4065
0.4838867 0.4843750 0.4998779 0.4997559 0.0000000 0.0000000 0.4843750 0.4997559
G4066 G4067 G4068 G4069 G4070 G4071 G4072 G4073
0.0000000 0.4998779 0.4998779 0.4838867 0.4980469 0.4843750 0.0000000 0.0000000
G4074 G4075 G4076 G4077 G4078 G4079 G4080 G4081
0.0000000 0.0000000 0.0000000 0.0000000 0.0000000 0.0000000 0.0000000 0.0000000
G4082 G4083 G0007 G4084 G4085 G4086 G4087 G4088
0.9677734 0.7500000 0.7500000 0.7500000 0.7500000 0.0000000 0.8710938 0.0000000
G4089 G4090 G4091 G4092 G4093 G4094 G4095 G4096
0.9919434 0.8710938 0.8749695 0.8749695 0.8750000 0.0000000 0.9355469 0.7500000
G4097 G4098 G4099 G4100 G4101 G4102 G4103 G4104
0.9375000 0.4998779 0.0000000 0.0000000 0.0000000 0.0000000 0.9919434 0.0000000
G4105 G4106 G4107 G4108 G4109 G4110 G4111 G4112
0.0000000 0.9355469 0.4998779 0.8750000 0.4998779 0.9990234 0.8750000 0.9990234
G4113 G4114 G4115 G4116 G4117 G4118 G4119 G4120
0.8750000 0.0000000 0.8750000 0.0000000 0.8750000 0.7500000 0.8750000 0.0000000
G4121 G4122 G4123 G4124 G4125 G4126 G4127 G4128
0.0000000 0.0000000 0.0000000 0.0000000 0.0000000 0.0000000 0.0000000 0.0000000
G4129 G4130 G4131 G4132 G4133 G4134 G4135 G4136
0.0000000 0.0000000 0.0000000 0.0000000 0.0625000 0.0000000 0.0000000 0.9355469
G4137 G4138 G4139 G4140 G4141 G4142 G4143 G4144
0.9995116 0.8710938 0.7500000 0.0000000 0.0000000 0.0000000 0.0000000 0.0000000
G4145 G4146 G4147 G4148 G4149 G4150 G4151 G4152
0.3632812 0.0000000 0.0000000 0.0000000 0.3632812 0.0000000 0.0000000 0.0000000
G4153 G4154 G4155 G4156 G4157 G4158 G4159 G4160
0.0000000 0.0000000 0.0000000 0.0000000 0.0000000 0.0000000 0.0000000 0.0000000
G4161 G4162 G4163 G4164 G4165 G4166 G4167 G4168
0.0000000 0.0000000 0.0000000 0.0000000 0.3632812 0.0000000 0.5449219 0.0000000
G4169 G4170 G4171 G4172 G4173 G4174 G4175 G4176
0.3632812 0.0000000 0.0000000 0.0000000 0.3632812 0.0000000 0.0000000 0.0000000
G4177 G4178 G4179 G4180 G4181 G4182 G4183 G4184
0.0000000 0.0000000 0.0000000 0.0000000 0.0000000 0.0000000 0.0000000 0.7563477
G4185 G4186 G4187 G4188 G4189 G4190 G4191 G4192
0.9355469 0.7500000 0.0000000 0.8750000 0.0000000 0.0000000 0.0000000 0.0000000
G4193 G4194 G4195 G4196 G4197 G4198 G4199 G4200
0.0000000 0.0000000 0.0000000 0.0000000 0.0000000 0.0000000 0.0000000 0.0000000
G4201 G4202 G4203 G4204 G4205 G4206 G4207 G4208
0.0000000 0.0000000 0.0000000 0.0000000 0.0000000 0.0000000 0.0000000 0.0000000
G4209 G4210 G4211 G4212 G4213 G4214 G4215 G4216
0.0000000 0.0000000 0.0000000 0.0000000 0.0000000 0.0000000 0.0000000 0.0000000
G4217 G4218 G4219 G4220 G4221 G4222 G4223 G4224
0.9677734 0.8750000 0.8710938 0.0000000 0.0000000 0.0000000 0.0000000 0.0000000
G4225 G4226 G4227 G4228 G4229 G4230 G4231 G4232
0.0000000 0.0000000 0.0000000 0.0000000 0.0000000 0.0000000 0.0000000 0.0000000
G4233 G4234 G4235 G4236 G4237 G4238 G4239 G4240
0.0000000 0.0000000 0.0000000 0.0000000 0.0000000 0.0000000 0.0000000 0.0000000
G4241 G4242 G4243 G4244 G4245 G4246 G4247 G4248
0.8750000 0.0000000 0.9355469 0.8750000 0.0000000 0.0000000 0.4843750 0.7265625
G4249 G4250 G4251 G4252 G4253 G4254 G4255 G4256
0.0000000 0.0000000 0.0000000 0.0000000 0.0000000 0.5449219 0.0000000 0.0000000
G4257 G4258 G4259 G4260 G4261 G4262 G4263 G4264
0.0000000 0.0000000 0.0000000 0.0000000 0.0000000 0.0000000 0.0000000 0.0000000
G4265 G4266 G4267 G4268 G4269 G4270 G4271 G4272
0.0000000 0.0000000 0.0000000 0.0000000 0.0000000 0.0000000 0.0000000 0.0000000
G4273 G4274 G4275 G4276 G4277 G4278 G4279 G4280
0.0000000 0.0000000 0.0000000 0.0000000 0.0000000 0.0000000 0.0000000 0.0000000
G4281 G4282 G4283 G4284 G4285 G4286 G4287 G4288
0.0000000 0.0000000 0.0000000 0.0000000 0.0000000 0.0000000 0.0000000 0.0000000
G4289 G4290 G4291 G4292 G4293 G4294 G4295 G4296
0.0000000 0.0000000 0.0000000 0.0000000 0.0000000 0.0000000 0.0000000 0.0000000
G4297 G4298 G4299 G4300 G4301 G4302 G4303 G4304
0.0000000 0.0000000 0.0000000 0.0000000 0.0000000 0.0000000 0.0000000 0.0000000
G4305 G4306 G4307 G4308 G4309 G4310 G4311 G4312
0.0000000 0.0000000 0.0000000 0.0000000 0.0000000 0.0000000 0.0000000 0.0000000
G4313 G4314 G4315 G4316 G0184 G0185 G0186 G0191
0.0000000 0.0000000 0.0000000 0.0000000 0.9687500 0.9687500 0.9687500 0.9375000
G0192 G0193 G0194 G0195 G0196 G0197 G0198 G0199
0.9375000 0.9375000 0.9375000 0.9375000 0.9375000 0.9375000 0.9375000 0.9375000
G0200 G0201 G0202 G0203 G0204 G0205 G0206 G0207
0.9375000 0.9375000 0.9375000 0.9375000 0.9375000 0.9375000 0.9375000 0.9375000
G0208 G0209 G0210 G0211 G0212 G0213 G0214 G0215
0.9375000 0.9375000 0.9375000 0.9375000 0.9375000 0.9375000 0.9375000 0.9375000
G0216 G0217 G0218 G0219 G0220 G0221 G0222 G0223
0.9375000 0.9375000 0.9375000 0.9375000 0.9375000 0.9375000 0.9375000 0.9375000
G0224 G0225 G0226 G0227 G0229 G0230 G0231 G0232
0.9375000 0.9375000 0.9375000 0.9375000 0.9375000 0.9375000 0.9375000 0.9375000
G0233 G0234 G0235 G0236 G0237 G0238 G0239 G0240
0.9375000 0.9375000 0.9375000 0.9375000 0.9375000 0.9375000 0.9375000 0.9375000
G0241 G0242 G0243 G0244 G0245 G0246 G0247 G0248
0.9375000 0.9375000 0.9375000 0.9375000 0.9375000 0.9375000 0.9375000 0.9375000
G0249 G0250 G0251 G0252 G0253 G0254 G0255 G0256
0.9375000 0.9375000 0.9375000 0.8750000 0.9375000 0.9375000 0.8750000 0.9375000
G0257 G0258 G0259 G0260 G0261 G0262 G0263 G0264
0.8750000 0.8750000 0.8750000 0.8750000 0.8750000 0.9375000 0.9375000 0.9375000
G0265 G0266 G0267 G0268 G0269 G0270 G0271 G0272
0.9375000 0.9375000 0.9375000 0.9375000 0.9375000 0.9375000 0.9375000 0.9375000
G0273 G0274 G0275 G0276 G0277 G0278 G0279 G0280
0.9375000 0.9375000 0.9565430 0.9565430 0.9565430 0.9565430 0.9565430 0.9565430
G0281 G0282 G0283 G0284 G0285 G0286 G0287 G0288
0.9565430 0.9565430 0.9375000 0.9375000 0.9687424 0.9375000 0.9375000 0.9375000
G0289 G0290 G0291 G0292 G0293 G0294 G0295 G0296
0.9375000 0.9375000 0.9375000 0.9687347 0.9375000 0.9375000 0.9375000 0.9375000
G0297 G0298 G0299 G0300 G0301 G0302 G0303 G0304
0.9375000 0.9375000 0.9375000 0.9375000 0.9375000 0.9375000 0.9375000 0.9375000
G0305 G0306 G0307 G0308 G0309 G0310 G0311 G0312
0.9375000 0.9375000 0.9375000 0.9375000 0.5000000 0.5000000 0.5000000 0.5000000
G0313 G0314 G4317 G4318 G4319 G4320 G4321 G4322
0.5000000 0.5000000 0.9687500 0.9687500 0.9687500 0.9687500 0.9687500 0.9687500
G4323 G4324 G4325 G4326 G4327 G4328 G4329 G4330
0.9687500 0.9687500 0.9687500 0.9687500 0.9687500 0.9687500 0.9687500 0.9687500
G4331 G4332 G4333 G4334 G4335 G4336 G4337 G4338
0.9687500 0.9687500 0.9687500 0.9687500 0.9687500 0.9687500 0.9687500 0.9687500
G4339 G4340 G4341 G4342 G4343 G4344 G4345 G4346
0.9687500 0.9687500 0.9687500 0.9687500 0.9687500 0.9687500 0.9687500 0.9687500
G4347 G4348 G4349 G4350 G4351 G4352 G4353 G4354
0.9687500 0.9687500 0.9687500 0.9687500 0.9687500 0.9687500 0.9687500 0.9687500
G4355 G4356 G4357 G4358 G4359 G4360 G4361 G4362
0.9687500 0.9687500 0.9687500 0.9687500 0.9687500 0.9687500 0.9687500 0.9687500
G4363 G4364 G4365 G4366 G4367 G4368 G4369 G4370
0.9687500 0.9687500 0.9687500 0.9687500 0.9687500 0.9687500 0.9687500 0.9687500
G4371 G4372 G4373 G4374 G4375 G4376 G4377 G4378
0.9687500 0.9687500 0.9687500 0.9687500 0.9687500 0.9687500 0.9687500 0.9687500
G4379 G4380 G4381 G4382 G4383 G4384 G4385 G4386
0.9687500 0.9687500 0.9687500 0.9687500 0.9687500 0.9687500 0.9687500 0.9687500
G4387 G4388 G4389 G4390 G4391 G4392 G4393 G4394
0.9687500 0.9687500 0.9687500 0.9687500 0.9687500 0.9687500 0.9687500 0.9687500
G4395 G4396 G4397 G4398 G4399 G4400 G4401 G4402
0.9687500 0.9687500 0.9687500 0.9687500 0.9687500 0.9687500 0.9687500 0.9687500
G4403 G4404 G4405 G4406 G4407 G4408 G4409 G4410
0.9687500 0.9687500 0.9687500 0.9687500 0.9687500 0.9687500 0.9687500 0.9687500
G4411 G4412 G4413 G4414 G4415 G4416 G4417 G4418
0.9687500 0.9687500 0.9687500 0.9687500 0.9687500 0.9687500 0.9687500 0.9687500
G4419 G4420 G4421 G4422 G4423 G4424 G4425 G4426
0.9687500 0.9687500 0.9687500 0.9687500 0.9687500 0.9687500 0.9687500 0.9687500
G4427 G4428 G4429 G4430 G4431 G4432 G4433 G4434
0.9687500 0.9687500 0.9687500 0.9687500 0.9687500 0.9687500 0.9687500 0.9687500
G4435 G4436 G4437 G4438 G4439 G4440 G4441 G4442
0.9687500 0.9687500 0.9687500 0.9687500 0.9687500 0.9687500 0.9687500 0.9687500
G4443 G4444 G4445 G4446 G4447 G4448 G4449 G4450
0.9687500 0.9687500 0.9687500 0.9687500 0.9687500 0.9687500 0.9687500 0.9687500
G4451 G4452 G4453 G4454 G4455 G4456 G4457 G4458
0.9687500 0.9687500 0.9687500 0.9687500 0.9687500 0.9687500 0.9687500 0.9687500
G4459 G4460 G4461 G4462 G4463 G4464 G4465 G4466
0.9687500 0.9687500 0.9687500 0.9687500 0.9687500 0.9687500 0.9687500 0.9687500
G4467 G4468 G4469 G4470 G4471 G4472 G4473 G4474
0.9687500 0.9687500 0.9687500 0.9687500 0.9687500 0.9687500 0.9687500 0.9687500
G4475 G4476 G4477 G4478 G4479 G4480 G4481 G4482
0.9687500 0.9687500 0.9687500 0.9687500 0.9687500 0.9687500 0.9687500 0.9687500
G4483 G4484 G4485 G4486 G4487 G4488 G4489 G4490
0.9687500 0.9687500 0.9687500 0.9687500 0.9687500 0.9687500 0.9687500 0.9687500
G4491 G4492 G4493 G4494 G4495 G4496 G4497 G4498
0.9687500 0.9687500 0.9687500 0.9687500 0.9687500 0.9687500 0.9687500 0.9687500
G4499 G4500 G4501 G4502 G4503 G4504 G4505 G4506
0.9857788 0.9857788 0.9857788 0.9857788 0.9857788 0.9857788 0.9857788 0.9857788
G4507 G4508 G4509 G4510 G4511 G4512 G4513 G4514
0.9857788 0.9857788 0.9857788 0.9857788 0.9857788 0.9857788 0.9857788 0.9857788
G4515 G4516 G4517 G4518 G4519 G4520 G4521 G4522
0.9857788 0.9857788 0.9857788 0.9857788 0.9857788 0.9857788 0.9857788 0.9857788
G4523 G4524 G4525 G4526 G4527 G4528 G4529 G4530
0.9857788 0.9857788 0.9857788 0.9857788 0.9857788 0.9857788 0.9857788 0.9857788
G4531 G4532 G4533 G4534 G4535 G4536 G4537 G4538
0.9857788 0.9857788 0.9857788 0.9857788 0.9857788 0.9857788 0.9857788 0.9857788
G4539 G4540 G4541 G4542 G4543 G4544 G4545 G4546
0.9857788 0.9857788 0.9857788 0.9857788 0.9857788 0.9857788 0.9857788 0.9857788
G4547 G4548 G4549 G4550 G4551 G4552 G4553 G4554
0.9687500 0.9687500 0.9687500 0.9687500 0.9687500 0.9687500 0.9687500 0.9687500
G4555 G4556 G4557 G4558 G4559 G4560 G4561 G4562
0.9687500 0.9687500 0.9687500 0.9687500 0.9687500 0.9687500 0.9687500 0.9687500
G4563 G4564 G4565 G4566 G4567 G4568 G4569 G4570
0.9687500 0.9687500 0.9687500 0.9687500 0.9687500 0.9687500 0.9687500 0.9687500
G4571 G4572 G4573 G4574 G4575 G4576 G4577 G4578
0.9687500 0.9687500 0.9687500 0.9687500 0.9687500 0.9687500 0.9687500 0.9687500
G4579 G4580 G4581 G4582 G4583 G4584 G4585 G4586
0.9687500 0.9687500 0.9687500 0.9687500 0.9687500 0.9687500 0.9687500 0.9687500
G4587 G4588 G4589 G4590 G4591 G4592 G4593 G4594
0.9687500 0.9687500 0.9687500 0.9687500 0.9687500 0.9687500 0.9687500 0.9687500
G4595 G4596 G4597 G4598 G4599 G4600 G4601 G4602
0.9687500 0.9687500 0.9687500 0.9687500 0.9687500 0.9687500 0.9687500 0.9687500
G4603 G4604 G4605 G4606 G4607 G4608 G4609 G4610
0.9687500 0.9687500 0.9687500 0.9687500 0.9687500 0.9687500 0.9687500 0.9687500
G4611 G4612 G4613 G4614 G4615 G4616 G4617 G4618
0.9687500 0.9687500 0.9687500 0.9687500 0.9687500 0.9687500 0.9687500 0.9687500
G4619 G4620 G4621 G4622 G4623 G4624 G4625 G4626
0.9687500 0.9687500 0.9687500 0.9687500 0.9687500 0.9687500 0.9687500 0.9687500
G4627 G4628 G4629 G4630 G4631 G4632 G4633 G4634
0.9687500 0.9687500 0.9687500 0.9687500 0.9687500 0.9687500 0.9687500 0.9687500
G4635 G4636 G4637 G4638 G4639 G4640 G4641 G4642
0.9687500 0.9687500 0.9687500 0.9687500 0.9687500 0.9687500 0.9687500 0.9687500
G4643 G4644 G4645 G4646 G4647 G4648 G4649 G4650
0.9687500 0.9687500 0.9687500 0.9687500 0.9687500 0.9687500 0.9687500 0.9687500
G4651 G4652 G4653 G4654 G4655 G4656 G4657 G4658
0.9687500 0.9687500 0.9687500 0.9687500 0.9687500 0.9687500 0.9687500 0.9687500
G4659 G4660 G4661 G4662 G4663 G4664 G4665 G4666
0.9687500 0.9687500 0.9687500 0.9687500 0.9687500 0.9687500 0.9687500 0.9687500
G4667 G4668 G4669 G4670 G4671 G4672 G4673 G4674
0.9687500 0.9687500 0.9687500 0.9687500 0.9687500 0.9687500 0.9687500 0.9687500
G4675 G4676 G4677 G4678 G4679 G4680 G4681 G4682
0.9687500 0.9687500 0.9857788 0.9857788 0.9857788 0.9857788 0.9857788 0.9857788
G4683 G4684 G4685 G4686 G4687 G4688 G4689 G4690
0.9857788 0.9857788 0.9857788 0.9857788 0.9857788 0.9857788 0.9857788 0.9857788
G4691 G4692 G4693 G4694 G4695 G4696 G4697 G4698
0.9857788 0.9857788 0.9857788 0.9857788 0.9857788 0.9857788 0.9857788 0.9857788
G4699 G4700 G4701 G4702 G4703 G4704 G4705 G4706
0.9857788 0.9857788 0.9857788 0.9687500 0.9687500 0.9687500 0.9687500 0.9687500
G4707 G4708 G4709 G4710 G4711 G4712 G4713 G4714
0.9687500 0.9687500 0.9687500 0.9687500 0.9687500 0.9687500 0.9687500 0.9687500
G4715 G4716 G4717 G4718 G4719 G4720 G4721 G4722
0.9687500 0.9687500 0.9687500 0.9687500 0.9687500 0.9687500 0.9687500 0.9687500
G4723 G4724 G4725 G4726 G4727 G4728 G4729 G4730
0.9687500 0.9687500 0.9687500 0.9687500 0.9687500 0.9687500 0.9687500 0.9687500
G4731 G4732 G4733 G4734 G4735 G4736 G4737 G4738
0.9687500 0.9687500 0.9687500 0.9687500 0.9687500 0.9687500 0.9687500 0.9687500
G4739 G4740 G4741 G4742 G4743 G4744 G4745 G4746
0.9687500 0.9687500 0.9687500 0.9687500 0.9687500 0.9687500 0.9687500 0.9687500
G4747 G4748 G4749 G4750 G4751 G4752 G4753 G4754
0.9687500 0.9687500 0.9687500 0.9687500 0.9687500 0.9687500 0.9687500 0.9687500
G4755 G4756 G4757 G4758 G4759 G4760 G4761 G4762
0.9687500 0.9687500 0.9687500 0.9687500 0.9687500 0.9687500 0.9687500 0.9687500
G4763 G4764 G4765 G4766 G4767 G4768 G4769 G4770
0.9687500 0.9687500 0.9687500 0.9687500 0.9687500 0.9687500 0.9687500 0.9687500
G4771 G4772 G4773 G4774 G4775 G4776 G4777 G4778
0.9687500 0.9687500 0.9687500 0.9687500 0.9687500 0.9687500 0.9687500 0.9687500
G4779 G4780 G4781 G4782 G4783 G4784 G4785 G4786
0.9687500 0.9687500 0.9687500 0.9687500 0.9687500 0.9687500 0.9687500 0.9687500
G4787 G4788 G4789 G4790 G4791 G4792 G4793 G4794
0.9687500 0.9687500 0.9687500 0.9687500 0.9687500 0.9687500 0.9687500 0.9687500
G4795 G4796 G4797 G4798 G4799 G4800 G4801 G4802
0.9687500 0.9687500 0.9687500 0.9687500 0.9687500 0.9687500 0.9687500 0.9687500
G4803 G4804 G4805 G4806 G4807 G4808 G4809 G4810
0.9687500 0.9687500 0.9687500 0.9687500 0.9687500 0.9687500 0.9687500 0.9687500
G4811 G4812 G4813 G4814 G4815 G4816 G4817 G4818
0.9687500 0.9687500 0.9687500 0.9687500 0.9687500 0.9687500 0.9687500 0.9687500
G4819 G4820 G4821 G4822 G4823 G4824 G4825 G4826
0.9687500 0.9687500 0.9687500 0.9687500 0.9687500 0.9687500 0.9687500 0.9838715
G4827 G4828 G4829 G4830 G4831 G4832 G4833 G4834
0.9838715 0.9843712 0.9843712 0.9843712 0.9843712 0.9843712 0.9843712 0.9843712
G4835 G4836 G4837 G4838 G4839 G4840 G4841 G4842
0.9843712 0.9843712 0.9843712 0.9843712 0.9843712 0.9843712 0.9843712 0.9843712
G4843 G4844 G4845 G4846 G4847 G4848 G4849 G4850
0.9843712 0.9843712 0.9843712 0.9843712 0.9843712 0.9843712 0.9843712 0.9843712
G4851 G4852 G4853 G4854 G4855 G4856 G4857 G4858
0.9843712 0.9843712 0.9843712 0.9843712 0.9843712 0.9843712 0.9843712 0.9843712
G4859 G4860 G4861 G4862 G4863 G4864 G4865 G4866
0.9843712 0.9843712 0.9843712 0.9843712 0.9843712 0.9843712 0.9843712 0.9843712
G4867 G4868 G4869 G4870 G4871 G4872 G4873 G4874
0.9843712 0.9843712 0.9843712 0.9843712 0.9843712 0.9843712 0.9843712 0.9843712
G4875 G4876 G4877 G4878 G4879 G4880 G4881 G4882
0.9843712 0.9843712 0.9843712 0.9843712 0.9843712 0.9843712 0.9843712 0.9843712
G4883 G4884 G4885 G4886 G4887 G4888 G4889 G4890
0.9843712 0.9843712 0.9843712 0.9843712 0.9843712 0.9843712 0.9843712 0.9843712
G4891 G4892 G4893 G4894 G4895 G4896 G4897 G4898
0.9843712 0.9843712 0.9843674 0.9843674 0.9843674 0.9843674 0.9843674 0.9843674
G4899 G4900 G4901 G4902 G4903 G4904 G4905 G4906
0.9843674 0.9843674 0.9843674 0.9843674 0.9843674 0.9843674 0.9843674 0.9843674
G4907 G4908 G4909 G4910 G4911 G4912 G4913 G4914
0.9843674 0.9843674 0.9843674 0.9843674 0.9843674 0.9843674 0.9843674 0.9843674
G4915 G4916 G4917 G4918 G4919 G4920 G4921 G4922
0.9843674 0.9843674 0.9843674 0.9843674 0.9843674 0.9843674 0.9843674 0.9687500
G4923 G4924 G4925 G4926 G4927 G4928 G4929 G4930
0.9687500 0.9687500 0.9687500 0.9687500 0.9687500 0.9687500 0.9687500 0.9687500
G4931 G4932 G4933 G4934 G4935 G4936 G4937 G4938
0.9687500 0.9687500 0.9687500 0.9687500 0.9687500 0.9687500 0.9687500 0.9687500
G4939 G4940 G4941 G4942 G4943 G4944 G4945 G4946
0.9687500 0.9687500 0.9687500 0.9687500 0.9687500 0.9687500 0.9687500 0.9687500
G4947 G4948 G4949 G4950 G4951 G4952 G4953 G4954
0.9687500 0.9687500 0.9687500 0.9687500 0.9687500 0.9687500 0.9687500 0.9687500
G4955 G4956 G4957 G4958 G4959 G4960 G4961 G4962
0.9687500 0.9687500 0.9687500 0.9687500 0.9687500 0.9687500 0.9687500 0.9687500
G4963 G4964 G4965 G4966 G4967 G4968 G4969 G4970
0.9687500 0.9687500 0.9687500 0.9687500 0.9687500 0.9687500 0.9687500 0.9687500
G4971 G4972 G4973 G4974 G4975 G4976 G4977 G4978
0.9687500 0.9687500 0.9687500 0.9687500 0.9687500 0.9687500 0.9687500 0.9687500
G4979 G4980 G4981 G4982 G4983 G4984 G4985 G4986
0.9687500 0.9687500 0.9687500 0.9687500 0.9687500 0.9687500 0.9687500 0.9687500
G4987 G4988 G4989 G4990 G4991 G4992 G4993 G4994
0.9687500 0.9687500 0.9687500 0.9687500 0.9687500 0.9687500 0.9687500 0.9687500
G4995 G4996 G4997 G4998 G4999 G5000 G5001 G5002
0.9687500 0.9687500 0.9687500 0.9687500 0.9687500 0.9687500 0.9687500 0.9687500
G5003 G5004 G5005 G5006 G5007 G5008 G5009 G5010
0.9687500 0.9687500 0.9687500 0.9687500 0.9687500 0.9687500 0.9687500 0.9687500
G5011 G5012 G5013 G5014 G5015 G5016 G5017 G5018
0.9687500 0.9687500 0.9687500 0.9687500 0.9687500 0.9687500 0.9687500 0.9687500
G5019 G5020 G5021 G5022 G5023 G5024 G5025 G5026
0.9687500 0.9687500 0.9687500 0.9687500 0.9687500 0.9687500 0.9687500 0.9687500
G5027 G5028 G5029 G5030 G5031 G5032 G5033 G5034
0.9687500 0.9687500 0.9687500 0.9687500 0.9687500 0.9687500 0.9687500 0.9687500
G5035 G5036 G5037 G5038 G5039 G5040 G5041 G5042
0.9687500 0.9687500 0.9687500 0.9687500 0.9687500 0.9687500 0.9687500 0.9687500
G5043 G5044 G5045 G5046 G5047 G5048 G5049 G5050
0.9687500 0.9687500 0.9687500 0.9843712 0.9843712 0.9843712 0.9843712 0.9843712
G5051 G5052 G5053 G5054 G5055 G5056 G5057 G5058
0.9843712 0.9843712 0.9843712 0.9843712 0.9843712 0.9843712 0.9843712 0.9843712
G5059 G5060 G5061 G5062 G5063 G5064 G5065 G5066
0.9843712 0.9843712 0.9843712 0.9843712 0.9843712 0.9843712 0.9843712 0.9843712
G5067 G5068 G5069 G5070 G5071 G5072 G5073 G5074
0.9843712 0.9843712 0.9843712 0.9843712 0.9843712 0.9843712 0.9843712 0.9843712
G5075 G5076 G5077 G5078 G5079 G5080 G5081 G5082
0.9843712 0.9843712 0.9843712 0.9843712 0.9843712 0.9843712 0.9843712 0.9843712
G5083 G5084 G5085 G5086 G5087 G5088 G5089 G5090
0.9843712 0.9843712 0.9843712 0.9843712 0.9843712 0.9843712 0.9843712 0.9843712
G5091 G5092 G5093 G5094 G5095 G5096 G5097 G5098
0.9843712 0.9843712 0.9843712 0.9843712 0.9843712 0.9843712 0.9843712 0.9843712
G5099 G5100 G5101 G5102 G5103 G5104 G5105 G5106
0.9843712 0.9843712 0.9843712 0.9843712 0.9843712 0.9843712 0.9843712 0.9843712
G5107 G5108 G5109 G5110 G5111 G5112 G5113 G5114
0.9843712 0.9843712 0.9843712 0.9843712 0.9843712 0.9843712 0.9843712 0.9843712
G5115 G5116 G5117 G5118 G5119 G5120 G5121 G5122
0.9843712 0.9843712 0.9843712 0.9843712 0.9843712 0.9843712 0.9843712 0.9843712
G5123 G5124 G5125 G5126 G5127 G5128 G5129 G5130
0.9843712 0.9843712 0.9843712 0.9843712 0.9843712 0.9843712 0.9843712 0.9843712
G5131 G5132 G5133 G5134 G5135 G5136 G5137 G5138
0.9843712 0.9843712 0.9843712 0.9843712 0.9843712 0.9843712 0.9843712 0.9843712
G5139 G5140 G5141 G5142 G5143 G5144 G5145 G5146
0.9843712 0.9843712 0.9843712 0.9843712 0.9843712 0.9843712 0.9843712 0.9843712
G5147 G5148 G5149 G5150 G5151 G5152 G5153 G5154
0.9843712 0.9843712 0.9843712 0.9843712 0.9843712 0.9843712 0.9843712 0.9843712
G5155 G5156 G5157 G5158 G5159 G5160 G5161 G5162
0.9843712 0.9843712 0.9843712 0.9843712 0.9843712 0.9843712 0.9843712 0.9843712
G5163 G5164 G5165 G5166 G5167 G5168 G5169 G5170
0.9843712 0.9843712 0.9843712 0.9843712 0.9843712 0.9843712 0.9843712 0.9843712
G5171 G5172 G5173 G5174 G5175 G5176 G5177 G5178
0.9843712 0.9843712 0.9843712 0.9843712 0.9843712 0.9843712 0.9843712 0.9843712
G5179 G5180 G5181 G5182 G5183 G5184 G5185 G5186
0.9843712 0.9843712 0.9843712 0.9843712 0.9843712 0.9843712 0.9843712 0.9843712
G5187 G5188 G5189 G5190 G5191 G5192 G5193 G5194
0.9843712 0.9843712 0.9843712 0.9843712 0.9843712 0.9843712 0.9843712 0.9843712
G5195 G5196 G5197 G5198 G5199 G5200 G5201 G5202
0.9843712 0.9843712 0.9843712 0.9843712 0.9843712 0.9843712 0.9843712 0.9843712
G5203 G5204 G5205 G5206 G5207 G5208 G5209 G5210
0.9843712 0.9843712 0.9843712 0.9843712 0.9843712 0.9843712 0.9843712 0.9843712
G5211 G5212 G5213 G5214 G5215 G5216 G5217 G5218
0.9843712 0.9843712 0.9843712 0.9843712 0.9838715 0.9838715 0.9838715 0.9838715
G5219 G5220 G5221 G5222 G5223 G5224 G5225 G5226
0.9838715 0.9838715 0.9838715 0.9838715 0.9838715 0.9838715 0.9838715 0.9838715
G5227 G5228 G5229 G5230 G5231 G5232 G5233 G5234
0.9838715 0.9838715 0.9838715 0.9838715 0.9838715 0.9838715 0.9838715 0.9838715
G5235 G5236 G5237 G5238 G5239 G5240 G5241 G5242
0.9838715 0.9838715 0.9838715 0.9838715 0.9838715 0.9838715 0.9838715 0.9838715
G5243 G5244 G5245 G5246 G5247 G5248 G5249 G5250
0.9838715 0.9838715 0.9838715 0.9838715 0.9838715 0.9838715 0.9838715 0.9838715
G5251 G5252 G5253 G5254 G5255 G5256 G5257 G5258
0.9838715 0.9838715 0.9838715 0.9838715 0.9838715 0.9838715 0.9838715 0.9838715
G5259 G5260 G5261 G5262 G5263 G5264 G5265 G5266
0.9838715 0.9838715 0.9838715 0.9838715 0.9838715 0.9838715 0.9838715 0.9838715
G5267 G5268 G5269 G5270 G5271 G5272 G5273 G5274
0.9838715 0.9838715 0.9838715 0.9838715 0.9838715 0.9838715 0.9838715 0.9838715
G5275 G5276 G5277 G5278 G5279 G5280 G5281 G5282
0.9838715 0.9838715 0.9838715 0.9838715 0.9838715 0.9838715 0.9838715 0.9838715
G5283 G5284 G5285 G5286 G5287 G5288 G5289 G5290
0.9838715 0.9838715 0.9838715 0.9838715 0.9838715 0.9838715 0.9838715 0.9838715
G5291 G5292 G5293 G5294 G5295 G5296 G5297 G5298
0.9838715 0.9838715 0.9838715 0.9838715 0.9838715 0.9838715 0.9838715 0.9838715
G5299 G5300 G5301 G5302 G5303 G5304 G5305 G5306
0.9838715 0.9838715 0.9838715 0.9838715 0.9838715 0.9838715 0.9838715 0.9838715
G5307 G5308 G5309 G5310 G5311 G5312 G5313 G5314
0.9838715 0.9843140 0.9843140 0.9843140 0.9843140 0.9843140 0.9843140 0.9843140
G5315 G5316 G5317 G5318 G5319 G5320 G5321 G5322
0.9838867 0.9838867 0.9838867 0.9838867 0.9838867 0.9838867 0.9838867 0.9838867
G5323 G5324 G5325 G5326 G5327 G5328 G5329 G5330
0.9838867 0.9838867 0.9838867 0.9687500 0.9687500 0.9687500 0.9687500 0.9687500
G5331 G5332 G5333 G5334 G5335 G5336 G5337 G5338
0.9687500 0.9687500 0.9687500 0.9687500 0.9687500 0.9687500 0.9687500 0.9687500
G5339 G5340 G5341 G5342 G5343 G5344 G5345 G5346
0.9687500 0.9687500 0.9687500 0.9687500 0.9687500 0.9687500 0.9687500 0.9687500
G5347 G5348 G5349 G5350 G5351 G5352 G5353 G5354
0.9687500 0.9687500 0.9687500 0.9687500 0.9687500 0.9687500 0.9687500 0.9687500
G5355 G5356 G5357 G5358 G5359 G5360 G5361 G5362
0.9687500 0.9687500 0.9687500 0.9687500 0.9687500 0.9687500 0.9687500 0.9687500
G5363 G5364 G5365 G5366 G5367 G5368 G5369 G5370
0.9687500 0.9687500 0.9687500 0.9687500 0.9687500 0.9687500 0.9687500 0.9687500
G5371 G5372 G5373 G5374 G5375 G5376 G5377 G5378
0.9687500 0.9687500 0.9687500 0.9687500 0.9687500 0.9687500 0.9687500 0.9687500
G5379 G5380 G5381 G5382 G5383 G5384 G5385 G5386
0.9687500 0.9687500 0.9687500 0.9687500 0.9687500 0.9687500 0.9687500 0.9687500
G5387 G5388 G5389 G5390 G5391 G5392 G5393 G5394
0.9687500 0.9687500 0.9687500 0.9687500 0.9687500 0.9687500 0.9687500 0.9687500
G5395 G5396 G5397 G5398 G5399 G5400 G5401 G5402
0.9687500 0.9687500 0.9687500 0.9687500 0.9687500 0.9801025 0.9801025 0.9801025
G5403 G5404 G5405 G5406 G5407 G5408 G5409 G5410
0.9801025 0.9801025 0.9801025 0.9801025 0.9801025 0.9801025 0.9801025 0.9801025
G5411 G5412 G5413 G5414 G5415 G5416 G5417 G5418
0.9801025 0.9801025 0.9801025 0.9801025 0.9801025 0.9801025 0.9801025 0.9801025
G5419 G5420 G5421 G5422 G5423 G5424 G5425 G5426
0.9801025 0.9801025 0.9687500 0.9687500 0.9687500 0.9687500 0.9687500 0.9687500
G5427 G5428 G5429 G5430 G5431 G5432 G5433 G5434
0.9687500 0.9687500 0.9687500 0.9687500 0.9687500 0.9687500 0.9687500 0.9687500
G5435 G5436 G5437 G5438 G5439 G5440 G5441 G5442
0.9687500 0.9687500 0.9687500 0.9687500 0.9687500 0.9687500 0.9687500 0.9687500
G5443 G5444 G5445 G5446 G5447 G5448 G5449 G5450
0.9687500 0.9687500 0.9687500 0.9687500 0.9687500 0.9687500 0.9687500 0.9687500
G5451 G5452 G5453 G5454 G5455 G5456 G5457 G5458
0.9687500 0.9687500 0.9687500 0.9687500 0.9687500 0.9687500 0.9687500 0.9687500
G5459 G5460 G5461 G5462 G5463 G5464 G5465 G5466
0.9687500 0.9687500 0.9687500 0.9687500 0.9687500 0.9687500 0.9687500 0.9687500
G5467 G5468 G5469 G5470 G5471 G5472 G5473 G5474
0.9687500 0.9687500 0.9687500 0.9687500 0.9687500 0.9687500 0.9687500 0.9687500
G5475 G5476 G5477 G5478 G5479 G5480 G5481 G5482
0.9687500 0.9687500 0.9687500 0.9687500 0.9687500 0.9687500 0.9687500 0.9687500
G5483 G5484 G5485 G5486 G5487 G5488 G5489 G5490
0.9687500 0.9687500 0.9687500 0.9687500 0.9687500 0.9687500 0.9687500 0.9687500
G5491 G5492 G5493 G5494 G5495 G5496 G5497 G5498
0.9687500 0.9687500 0.9687500 0.9687500 0.9687500 0.9687500 0.9687500 0.9687500
G5499 G5500 G5501 G5502 G5503 G5504 G5505 G5506
0.9687500 0.9687500 0.9687500 0.9687500 0.9687500 0.9687500 0.9687500 0.9687500
G5507 G5508 G5509 G5510 G5511 G5512 G5513 G5514
0.9687500 0.9687500 0.9687500 0.9687500 0.9687500 0.9687500 0.9687500 0.9687500
G5515 G5516 G5517 G5518 G5519 G5520 G5521 G5522
0.9687500 0.9687500 0.9687500 0.9687500 0.9687500 0.9687500 0.9687500 0.9687500
G5523 G5524 G5525 G5526 G5527 G5528 G5529 G5530
0.9687500 0.9687500 0.9687500 0.9687500 0.9687500 0.9687500 0.9801025 0.9801025
G5531 G5532 G5533 G5534 G5535 G5536 G5537 G5538
0.9801025 0.9801025 0.9801025 0.9801025 0.9801025 0.9801025 0.9801025 0.9801025
G5539 G5540 G5541 G5542 G5543 G5544 G5545 G5546
0.9801025 0.9801025 0.9801025 0.9801025 0.9801025 0.9801025 0.9801025 0.9801025
G5547 G5548 G5549 G5550 G5551 G5552 G5553 G5554
0.9801025 0.9801025 0.9801025 0.9801025 0.9801025 0.9687500 0.9687500 0.9687500
G5555 G5556 G5557 G5558 G5559 G5560 G5561 G5562
0.9687500 0.9857788 0.9857788 0.9857788 0.9857788 0.9857788 0.9857788 0.9857788
G5563 G5564 G5565 G5566 G5567 G5568 G5569 G5570
0.9857788 0.9857788 0.9857788 0.9857788 0.9857788 0.9857788 0.9857788 0.9857788
G5571 G5572 G5573 G5574 G5575 G5576 G5577 G5578
0.9857788 0.9857788 0.9857788 0.9857788 0.9857788 0.9857788 0.9857788 0.9857788
G5579 G5580 G5581 G5582 G5583 G5584 G5585 G5586
0.9857788 0.9857788 0.9857788 0.9857788 0.9801025 0.9801025 0.9801025 0.9801025
G5587 G5588 G5589 G5590 G5591 G5592 G5593 G5594
0.9801025 0.9801025 0.9801025 0.9801025 0.9801025 0.9801025 0.9801025 0.9801025
G5595 G5596 G5597 G5598 G5599 G5600 G5601 G5602
0.9801025 0.9801025 0.9687500 0.9687500 0.9687500 0.9687500 0.9687500 0.9687500
G5603 G5604 G5605 G5606 G5607 G5608 G5609 G5610
0.9687500 0.9687500 0.9687500 0.9687500 0.9687500 0.9687500 0.9687500 0.9687500
G5611 G5612 G5613 G5614 G5615 G5616 G5617 G5618
0.9687500 0.9687500 0.9687500 0.9687500 0.9843674 0.9843674 0.9843674 0.9843674
G5619 G5620 G5621 G5622 G5623 G5624 G5625 G5626
0.9843674 0.9843674 0.9843674 0.9843674 0.9843674 0.9843674 0.9843674 0.9843674
G5627 G5628 G5629 G5630 G5631 G5632 G5633 G5634
0.9843674 0.9843674 0.9843674 0.9843674 0.9843674 0.9843674 0.9843674 0.9843674
G5635 G5636 G5637 G5638 G5639 G5640 G5641 G5642
0.9843674 0.9843674 0.9843674 0.9843674 0.9843674 0.9843674 0.9843674 0.9843674
G5643 G5644 G5645 G5646 G5647 G5648 G5649 G5650
0.9843674 0.9843674 0.9843674 0.9843674 0.9843674 0.9843674 0.9843674 0.9843674
G5651 G5652 G5653 G5654 G5655 G5656 G5657 G5658
0.9843674 0.9843674 0.9843674 0.9843674 0.9843674 0.9843674 0.9843674 0.9843674
G5659 G5660 G5661 G5662 G5663 G5664 G5665 G5666
0.9843674 0.9843674 0.9843674 0.9843674 0.9843674 0.9843674 0.9843674 0.9843674
G5667 G5668 G5669 G5670 G5671 G5672 G5673 G5674
0.9843674 0.9843674 0.9843674 0.9843674 0.9843674 0.9843674 0.9843674 0.9843674
G5675 G5676 G5677 G5678 G5679 G5680 G5681 G5682
0.9843674 0.9843674 0.9843674 0.9843674 0.9843674 0.9843674 0.9843674 0.9843674
G5683 G5684 G5685 G5686 G5687 G5688 G5689 G5690
0.9843674 0.9843674 0.9843674 0.9843674 0.9843674 0.9843674 0.9843674 0.9843674
G5691 G5692 G5693 G5694 G5695 G5696 G5697 G5698
0.9838867 0.9838867 0.9838867 0.9838867 0.9838867 0.9838867 0.9838867 0.9838867
G5699 G5700 G5701 G5702 G5703 G5704 G5705 G5706
0.9838867 0.9838867 0.9838867 0.9838867 0.9838867 0.9838867 0.9838867 0.9838867
G5707 G5708 G5709 G5710 G5711 G5712 G5713 G5714
0.9838867 0.9838867 0.9838867 0.9838867 0.9838867 0.9838867 0.9838867 0.9838867
G5715 G5716 G5717 G5718 G5719 G5720 G5721 G5722
0.9838867 0.9838867 0.9838867 0.9838867 0.9838867 0.9838867 0.9838867 0.9838867
G5723 G5724 G5725 G5726 G5727 G5728 G5729 G5730
0.9838867 0.9838867 0.9687500 0.9687500 0.9687500 0.9687500 0.9687500 0.9687500
G5731 G5732 G5733 G5734 G5735 G5736 G5737 G5738
0.9687500 0.9687500 0.9687500 0.9687500 0.9687500 0.9687500 0.9687500 0.9687500
G5739 G5740 G5741 G5742 G5743 G5744 G5745 G5746
0.9687500 0.9687500 0.9687500 0.9687500 0.9687500 0.9687500 0.9687500 0.9687500
G5747 G5748 G5749 G5750 G5751 G5752 G5753 G5754
0.9687500 0.9687500 0.9687500 0.9687500 0.9687500 0.9687500 0.9687500 0.9687500
G5755 G5756 G5757 G5758 G5759 G5760 G5761 G5762
0.9687500 0.9687500 0.9765625 0.9765625 0.9765625 0.9765625 0.9765625 0.9765625
G5763 G5764 G5765 G5766 G5767 G5768 G5769 G5770
0.9765625 0.9765625 0.9765625 0.9765625 0.9765625 0.9765625 0.9765625 0.9765625
G5771 G5772 G5773 G5774 G5775 G5776 G5777 G5778
0.9765625 0.9765625 0.9765625 0.9765625 0.9765625 0.9765625 0.9765625 0.9765625
G5779 G5780 G5781 G5782 G5783 G5784 G5785 G5786
0.9765625 0.9765625 0.9765625 0.9843674 0.9843674 0.9843674 0.9843674 0.9843674
G5787 G5788 G5789 G5790 G5791 G5792 G5793 G5794
0.9843674 0.9843674 0.9843674 0.9843674 0.9843674 0.9843674 0.9843674 0.9843674
G5795 G5796 G5797 G5798 G5799 G5800 G5801 G5802
0.9843674 0.9843674 0.9843674 0.9843674 0.9843674 0.9843674 0.9843674 0.9843674
G5803 G5804 G5805 G5806 G5807 G5808 G5809 G5810
0.9843674 0.9843674 0.9843674 0.9843674 0.9843674 0.9843674 0.9843674 0.9843674
G5811 G5812 G5813 G5814 G5815 G5816 G5817 G5818
0.9843674 0.9843674 0.9843674 0.9843674 0.9843674 0.9843674 0.9843674 0.9843674
G5819 G5820 G5821 G5822 G5823 G5824 G5825 G5826
0.9843674 0.9843674 0.9843674 0.9843674 0.9843674 0.9843674 0.9843674 0.9843674
G5827 G5828 G5829 G5830 G5831 G5832 G5833 G5834
0.9843674 0.9843674 0.9843674 0.9843674 0.9843674 0.9843674 0.9843674 0.9843674
G5835 G5836 G5837 G5838 G5839 G5840 G5841 G5842
0.9843674 0.9838715 0.9838715 0.9838715 0.9838715 0.9838715 0.9838715 0.9838715
G5843 G5844 G5845 G5846 G5847 G5848 G5849 G5850
0.9838715 0.9838715 0.9838715 0.9838715 0.9838715 0.9838715 0.9838715 0.9838715
G5851 G5852 G5853 G5854 G5855 G5856 G5857 G5858
0.9838715 0.9838715 0.9838715 0.9838715 0.9838715 0.9838715 0.9838715 0.9838715
G5859 G5860 G5861 G5862 G5863 G5864 G5865 G5866
0.9838715 0.9838715 0.9838715 0.9838715 0.9843712 0.9843712 0.9843712 0.9843712
G5867 G5868 G5869 G5870 G5871 G5872 G5873 G5874
0.9843712 0.9843712 0.9843712 0.9843712 0.9843712 0.9843712 0.9843712 0.9843712
G5875 G5876 G5877 G5878 G5879 G5880 G5881 G5882
0.9843712 0.9843712 0.9843712 0.9843712 0.9843712 0.9843712 0.9843712 0.9843712
G5883 G5884 G5885 G5886 G5887 G5888 G5889 G5890
0.9843712 0.9843712 0.9843712 0.9843712 0.9843712 0.9843712 0.9843712 0.9843712
G5891 G5892 G5893 G5894 G5895 G5896 G5897 G5898
0.9843712 0.9843712 0.9843712 0.9843712 0.9843712 0.9843712 0.9843712 0.9843712
G5899 G5900 G5901 G5902 G5903 G5904 G5905 G5906
0.9843712 0.9843712 0.9843712 0.9843712 0.9843712 0.9843712 0.9843712 0.9923859
G5907 G5908 G5909 G5910 G5911 G5912 G5913 G5914
0.9923859 0.9923859 0.9923859 0.9923859 0.9923859 0.9923859 0.9923859 0.9923859
G5915 G5916 G5917 G5918 G5919 G5920 G5921 G5922
0.9923859 0.9923859 0.9923859 0.9923859 0.9923859 0.9923859 0.9923859 0.9923859
G5923 G5924 G5925 G5926 G5927 G5928 G5929 G5930
0.9923859 0.9923859 0.9923859 0.9923859 0.9923859 0.9923859 0.9923859 0.9923859
G5931 G5932 G5933 G5934 G5935 G5936 G5937 G5938
0.9923859 0.9923859 0.9923859 0.9923859 0.9923859 0.9923859 0.9923859 0.9923859
G5939 G5940 G5941 G5942 G5943 G5944 G5945 G5946
0.9923859 0.9923859 0.9687500 0.9687500 0.9687500 0.9687500 0.9687500 0.9687500
G5947 G5948 G5949 G5950 G5951 G5952 G5953 G5954
0.9687500 0.9687500 0.9687500 0.9687500 0.9687500 0.9687500 0.9687500 0.9687500
G5955 G5956 G5957 G5958 G5959 G5960 G5961 G5962
0.9687500 0.9687500 0.9687500 0.9843712 0.9843712 0.9843712 0.9843712 0.9843712
G5963 G5964 G5965 G5966 G5967 G5968 G5969 G5970
0.9843712 0.9843712 0.9843712 0.9843712 0.9843712 0.9843712 0.9843712 0.9843712
G5971 G5972 G5973 G5974 G5975 G5976 G5977 G5978
0.9843712 0.9843712 0.9843712 0.9843712 0.9843712 0.9843712 0.9843712 0.9843712
G5979 G5980 G5981 G5982 G5983 G5984 G5985 G5986
0.9843712 0.9843712 0.9843712 0.9843712 0.9843712 0.9843712 0.9843712 0.9843712
G5987 G5988 G5989 G5990 G5991 G5992 G5993 G5994
0.9843712 0.9843712 0.9923859 0.9923859 0.9923859 0.9923859 0.9923859 0.9923859
G5995 G5996 G5997 G5998 G5999 G6000 G6001 G6002
0.9923859 0.9923859 0.9923859 0.9923859 0.9923859 0.9923859 0.9923859 0.9923859
G6003 G6004 G6005 G6006 G6007 G6008 G6009 G6010
0.9923859 0.9923859 0.9923859 0.9923859 0.9923859 0.9923859 0.9923859 0.9923859
G6011 G6012 G6013 G6014 G6015 G6016 G6017 G6018
0.9923859 0.9923859 0.9923859 0.9923859 0.9923859 0.9923859 0.9923859 0.9923859
G6019 G6020 G6021 G6022 G6023 G6024 G6025 G6026
0.9923859 0.9923859 0.9923859 0.9923859 0.9923859 0.9923859 0.9923859 0.9923859
G6027 G6028 G6029 G6030 G6031 G6032 G6033 G6034
0.9838867 0.9838867 0.9838867 0.9838867 0.9838715 0.9838715 0.9838715 0.9838715
G6035 G6036 G6037 G6038 G6039 G6040 G6041 G6042
0.9838715 0.9838715 0.9838715 0.9838715 0.9838715 0.9838715 0.9838715 0.9838715
G6043 G6044 G6045 G6046 G6047 G6048 G6049 G6050
0.9838715 0.9838715 0.9838715 0.9838715 0.9838715 0.9838867 0.9838867 0.9838867
G6051 G6052 G6053 G6054 G6055 G6056 G6057 G6058
0.9838867 0.9838867 0.9843674 0.9843674 0.9843674 0.9843674 0.9843674 0.9843674
G6059 G6060 G6061 G6062 G6063 G6064 G6065 G6066
0.9843674 0.9843674 0.9843674 0.9843674 0.9843674 0.9843674 0.9843674 0.9843674
G6067 G6068 G6069 G6070 G6071 G6072 G6073 G6074
0.9843674 0.9843674 0.9843674 0.9687500 0.9687500 0.9687500 0.9687500 0.9687500
G6075 G6076 G6077 G6078 G6079 G6080 G6081 G6082
0.9687500 0.9838867 0.9838867 0.9838867 0.9838867 0.9838867 0.9838867 0.9843674
G6083 G6084 G6085 G6086 G6087 G6088 G6089 G6090
0.9843674 0.9843674 0.9843674 0.9843674 0.9843674 0.9843674 0.9843674 0.9765625
G6091 G6092 G6093 G6094 G6095 G6096 G6097 G6098
0.9765625 0.9765625 0.9765625 0.9765625 0.9765625 0.9765625 0.9765625 0.9765625
G6099 G6100 G6101 G6102 G6103 G6104 G6105 G6106
0.9765625 0.9765625 0.8750000 0.8750000 0.8750000 0.8750000 0.8750000 0.8750000
G6107 G6108 G6109 G6110 G6111 G6112 G6113 G6114
0.8750000 0.8750000 0.8750000 0.8750000 0.8750000 0.8750000 0.8750000 0.8750000
G6115 G6116 G6117 G6118 G6119 G6120 G6121 G6122
0.8750000 0.8750000 0.8750000 0.8750000 0.8750000 0.8750000 0.8750000 0.8750000
G6123 G6124 G6125 G6126 G6127 G6128 G6129 G6130
0.8750000 0.8750000 0.8750000 0.8750000 0.8750000 0.8750000 0.8750000 0.8750000
G6131 G6132 G6133 G6134 G6135 G6136 G6137 G6138
0.8750000 0.8750000 0.8750000 0.8750000 0.8750000 0.8750000 0.8750000 0.8750000
G6139 G6140 G6141 G6142 G6143 G6144 G6145 G6146
0.8750000 0.8750000 0.8750000 0.8750000 0.8750000 0.8750000 0.8750000 0.8750000
G6147 G6148 G6149 G6150 G6151 G6152 G6153 G6154
0.8750000 0.8750000 0.8750000 0.8750000 0.8750000 0.8750000 0.8750000 0.8750000
G6155 G6156 G6157 G6158 G6159 G6160 G6161 G6162
0.8750000 0.8750000 0.8750000 0.8750000 0.8750000 0.8750000 0.8750000 0.8750000
G6163 G6164 G6165 G6166 G6167 G6168 G6169 G6170
0.8750000 0.8750000 0.8750000 0.8750000 0.8750000 0.8750000 0.8750000 0.8750000
G6171 G6172 G6173 G6174 G6175 G6176 G6177 G6178
0.8750000 0.8750000 0.8750000 0.8750000 0.8750000 0.8750000 0.8750000 0.8750000
G6179 G6180 G6181 G6182 G6183 G6184 G6185 G6186
0.8750000 0.8750000 0.8750000 0.8750000 0.8750000 0.8750000 0.8750000 0.8750000
G6187 G6188 G6189 G6190 G6191 G6192 G6193 G6194
0.8750000 0.8750000 0.8750000 0.8750000 0.8750000 0.8750000 0.8750000 0.8750000
G6195 G6196 G6197 G6198 G6199 G6200 G6201 G6202
0.7500000 0.7500000 0.8730469 0.8730469 0.8730469 0.8730469 0.8730469 0.8730469
G6203 G6204 G6205 G6206 G6207 G6208 G6209 G6210
0.8593750 0.8593750 0.8593750 0.9204102 0.9204102 0.9204102 0.9204102 0.9204102
G6211 G6212 G6213 G6214 G6215 G6216 G6217 G6218
0.9204102 0.9204102 0.9204102 0.9204102 0.9204102 0.9204102 0.9204102 0.9204102
G6219 G6220 G6221 G6222 G6223 G6224 G6225 G6226
0.9204102 0.9204102 0.9204102 0.9204102 0.9204102 0.9204102 0.9204102 0.9204102
G6227 G6228 G6229 G6230 G6231 G6232 G6233 G6234
0.9204102 0.9204102 0.9204102 0.9204102 0.9204102 0.9204102 0.9204102 0.9204102
G6235 G6236 G6237 G6238 G6239 G6240 G6241 G6242
0.8750000 0.8750000 0.8750000 0.8750000 0.8750000 0.8750000 0.8750000 0.8750000
G6243 G6244 G6245 G6246 G6247 G6248 G6249 G6250
0.8750000 0.8750000 0.9374847 0.9374847 0.9374847 0.9374847 0.9374847 0.9374847
G6251 G6252 G6253 G6254 G6255 G6256 G6257 G6258
0.9374847 0.9374695 0.9374695 0.9374695 0.9374695 0.9374695 0.9062500 0.9062500
G6259 G6260 G6261 G6262 G6263 G6264 G6265 G6266
0.9062500 0.9062500 0.9062500 0.9062500 0.9062500 0.9062500 0.9062500 0.9062500
G6267 G6268 G6269 G6270 G6271 G6272 G6273 G6274
0.9062500 0.9062500 0.9062500 0.9062500 0.8750000 0.8750000 0.8750000 0.8750000
G6275 G6276 G6277 G6278 G6279 G6280 G6281 G6282
0.8750000 0.8750000 0.8750000 0.8750000 0.8750000 0.8750000 0.8750000 0.8750000
G6283 G6284 G6285 G6286 G6287 G6288 G6289 G6290
0.8750000 0.8750000 0.8750000 0.8750000 0.8750000 0.8750000 0.8750000 0.8750000
G6291 G6292 G6293 G6294 G6295 G6296 G6297 G6298
0.8750000 0.8750000 0.9354858 0.9354858 0.9354858 0.9354858 0.9354858 0.9354858
G6299 G6300 G6301 G6302 G6303 G6304 G6305 G6306
0.9354858 0.9354858 0.9354858 0.8750000 0.8750000 0.8750000 0.8750000 0.8750000
G6307 G6308 G6309 G6310 G6311 G6312 G6313 G6314
0.8750000 0.8750000 0.8750000 0.8750000 0.8750000 0.8750000 0.8750000 0.8750000
G6315 G6316 G6317 G6318 G6319 G6320 G6321 G6322
0.8750000 0.8750000 0.8750000 0.8750000 0.8750000 0.8750000 0.8750000 0.8750000
G6323 G6324 G6325 G6326 G6327 G6328 G6329 G6330
0.8750000 0.8750000 0.8750000 0.8750000 0.8750000 0.8750000 0.8750000 0.8750000
G6331 G6332 G6333 G6334 G6335 G6336 G6337 G6338
0.8750000 0.9354858 0.9354858 0.9354858 0.9354858 0.9354858 0.9354858 0.9354858
G6339 G6340 G6341 G6342 G6343 G6344 G6345 G6346
0.9354858 0.9354858 0.9354858 0.9354858 0.9354858 0.9354858 0.9354858 0.9354858
G6347 G6348 G6349 G6350 G6351 G6352 G6353 G6354
0.9354858 0.9354858 0.8750000 0.8750000 0.8750000 0.8750000 0.8750000 0.8750000
G6355 G6356 G6357 G6358 G6359 G6360 G6361 G6362
0.8750000 0.8750000 0.8750000 0.8750000 0.8750000 0.8750000 0.8750000 0.8750000
G6363 G6364 G6365 G6366 G6367 G6368 G6369 G6370
0.8750000 0.9354858 0.9354858 0.9354858 0.9354858 0.9354858 0.9354858 0.9354858
G6371 G6372 G6373 G6374 G6375 G6376 G6377 G6378
0.9354858 0.9354858 0.8750000 0.8750000 0.8750000 0.8750000 0.8750000 0.8750000
G6379 G6380 G6381 G6382 G6383 G6384 G6385 G6386
0.8750000 0.8750000 0.8750000 0.8750000 0.8750000 0.8750000 0.8750000 0.8750000
G6387 G6388 G6389 G6390 G6391 G6392 G6393 G6394
0.8750000 0.8750000 0.8750000 0.9581909 0.9581909 0.9581909 0.9581909 0.9581909
G6395 G6396 G6397 G6398 G6399 G6400 G6401 G6402
0.9581909 0.9581909 0.9581909 0.9581909 0.9581909 0.9581909 0.9581909 0.9581909
G6403 G6404 G6405 G6406 G6407 G6408 G6409 G6410
0.9581909 0.9581909 0.9581909 0.9581909 0.9581909 0.9581909 0.8750000 0.8750000
G6411 G6412 G6413 G6414 G6415 G6416 G6417 G6418
0.8750000 0.8750000 0.9062500 0.9062500 0.8750000 0.8750000 0.8750000 0.8750000
G6419 G6420 G6421 G6422 G6423 G6424 G6425 G6426
0.8750000 0.9062500 0.9062500 0.9062500 0.9062500 0.9062500 0.9062500 0.9296875
G6427 G6428 G6429 G6430 G6431 G6432 G6433 G6434
0.9296875 0.9296875 0.9296875 0.9296875 0.9296875 0.9296875 0.9296875 0.9296875
G6435 G6436 G6437 G6438 G6439 G6440 G6441 G6442
0.9296875 0.9296875 0.9296875 0.9296875 0.9296875 0.9296875 0.9296875 0.9296875
G6443 G6444 G6445 G6446 G6447 G6448 G6449 G6450
0.9296875 0.8789062 0.8789062 0.8789062 0.8789062 0.8789062 0.8789062 0.8789062
G6451 G6452 G6453 G6454 G6455 G6456 G6457 G6458
0.8789062 0.8789062 0.8789062 0.8789062 0.8789062 0.8789062 0.8789062 0.8789062
G6459 G6460 G6461 G6462 G6463 G6464 G6465 G6466
0.8789062 0.8789062 0.9296875 0.9296875 0.9296875 0.9296875 0.9296875 0.9296875
G6467 G6468 G6469 G6470 G6471 G6472 G6473 G6474
0.9296875 0.9296875 0.9296875 0.9296875 0.9296875 0.9296875 0.9296875 0.9296875
G6475 G6476 G6477 G6478 G6479 G6480 G6481 G6482
0.9296875 0.9296875 0.9296875 0.9296875 0.9296875 0.9296875 0.9296875 0.9296875
G6483 G6484 G6485 G6486 G6487 G6488 G6489 G6490
0.9296875 0.9296875 0.9296875 0.9296875 0.9296875 0.9296875 0.9296875 0.9296875
G6491 G6492 G6493 G6494 G6495 G6496 G6497 G6498
0.9296875 0.9296875 0.9296875 0.9296875 0.9296875 0.9296875 0.9296875 0.9296875
G6499 G6500 G6501 G6502 G6503 G6504 G6505 G6506
0.9062500 0.9062500 0.9062500 0.9062500 0.9062500 0.9062500 0.9062500 0.9062500
G6507 G6508 G6509 G6510 G6511 G6512 G6513 G6514
0.9062500 0.9062500 0.9062500 0.9062500 0.9062500 0.9062500 0.9062500 0.9062500
G6515 G6516 G6517 G6518 G6519 G6520 G6521 G6522
0.9062500 0.9062500 0.8789062 0.8789062 0.8789062 0.8789062 0.8789062 0.8789062
G6523 G6524 G6525 G6526 G6527 G6528 G6529 G6530
0.8789062 0.8789062 0.8789062 0.8789062 0.8789062 0.8789062 0.8789062 0.8789062
G6531 G6532 G6533 G6534 G6535 G6536 G6537 G6538
0.8789062 0.8789062 0.8789062 0.8789062 0.8789062 0.8789062 0.8789062 0.8789062
G6539 G6540 G6541 G6542 G6543 G6544 G6545 G6546
0.8789062 0.8750000 0.8750000 0.8750000 0.8750000 0.8750000 0.8750000 0.8750000
G6547 G6548 G6549 G6550 G6551 G6552 G6553 G6554
0.8750000 0.8750000 0.8750000 0.8750000 0.8750000 0.8750000 0.8750000 0.8750000
G6555 G6556 G6557 G6558 G6559 G6560 G6561 G6562
0.8750000 0.8750000 0.8750000 0.8750000 0.8750000 0.8750000 0.8750000 0.8750000
G6563 G6564 G6565 G6566 G6567 G6568 G6569 G6570
0.8750000 0.8750000 0.8750000 0.8750000 0.8750000 0.8750000 0.8750000 0.8750000
G6571 G6572 G6573 G6574 G6575 G6576 G6577 G6578
0.8750000 0.8750000 0.8750000 0.8750000 0.8750000 0.8750000 0.8750000 0.8750000
G6579 G6580 G6581 G6582 G6583 G6584 G6585 G6586
0.8750000 0.8750000 0.8750000 0.8750000 0.8750000 0.8750000 0.8750000 0.8750000
G6587 G6588 G6589 G6590 G6591 G6592 G6593 G6594
0.8750000 0.8750000 0.8750000 0.8750000 0.8750000 0.8750000 0.8750000 0.9354858
G6595 G6596 G6597 G6598 G6599 G6600 G6601 G6602
0.9354858 0.9354858 0.9354858 0.9354858 0.9354858 0.9354858 0.9354858 0.9354858
G6603 G6604 G6605 G6606 G6607 G6608 G6609 G6610
0.8750000 0.8750000 0.8750000 0.8750000 0.8750000 0.8750000 0.8750000 0.8750000
G6611 G6612 G6613 G6614 G6615 G6616 G6617 G6618
0.8750000 0.8750000 0.8750000 0.8750000 0.8750000 0.8750000 0.8750000 0.8750000
G6619 G6620 G6621 G6622 G6623 G6624 G6625 G6626
0.8750000 0.8750000 0.8750000 0.8750000 0.8750000 0.8750000 0.8750000 0.8750000
G6627 G6628 G6629 G6630 G6631 G6632 G6633 G6634
0.8750000 0.8750000 0.8750000 0.8750000 0.8750000 0.8750000 0.8750000 0.8750000
G6635 G6636 G6637 G6638 G6639 G6640 G6641 G6642
0.8750000 0.8750000 0.8750000 0.8750000 0.9354858 0.9354858 0.9354858 0.9354858
G6643 G6644 G6645 G6646 G6647 G6648 G6649 G6650
0.9354858 0.9354858 0.9354858 0.9354858 0.9354858 0.9354858 0.9354858 0.9354858
G6651 G6652 G6653 G6654 G6655 G6656 G6657 G6658
0.9354858 0.9354858 0.9354858 0.9354858 0.9354858 0.9354858 0.9354858 0.9354858
G6659 G6660 G6661 G6662 G6663 G6664 G6665 G6666
0.9354858 0.9354858 0.9354858 0.9354858 0.9354858 0.9354858 0.9354858 0.9354858
G6667 G6668 G6669 G6670 G6671 G6672 G6673 G6674
0.9354858 0.9354858 0.9354858 0.9354858 0.9354858 0.9354858 0.9354858 0.9354858
G6675 G6676 G6677 G6678 G6679 G6680 G6681 G6682
0.9354858 0.9354858 0.9354858 0.9354858 0.9354858 0.9354858 0.9354858 0.9354858
G6683 G6684 G6685 G6686 G6687 G6688 G6689 G6690
0.9354858 0.9354858 0.9354858 0.9354858 0.9062500 0.9062500 0.9062500 0.9062500
G6691 G6692 G6693 G6694 G6695 G6696 G6697 G6698
0.9062500 0.9062500 0.9062500 0.9062500 0.9062500 0.9062500 0.9062500 0.9062500
G6699 G6700 G6701 G6702 G6703 G6704 G6705 G6706
0.9062500 0.9062500 0.9062500 0.9354858 0.9354858 0.9354858 0.9354858 0.9354858
G6707 G6708 G6709 G6710 G6711 G6712 G6713 G6714
0.9354858 0.9354858 0.9354858 0.9354858 0.9354858 0.9354858 0.9354858 0.9354858
G6715 G6716 G6717 G6718 G6719 G6720 G6721 G6722
0.9354858 0.9354858 0.9354858 0.9296875 0.9296875 0.9296875 0.9296875 0.9296875
G6723 G6724 G6725 G6726 G6727 G6728 G6729 G6730
0.8789062 0.8789062 0.8789062 0.8789062 0.8789062 0.8789062 0.8789062 0.8789062
G6731 G6732 G6733 G6734 G6735 G6736 G6737 G6738
0.8789062 0.8750000 0.8750000 0.8750000 0.8750000 0.8750000 0.9581909 0.9581909
G6739 G6740 G6741 G6742 G6743 G6744 G6745 G6746
0.9581909 0.9581909 0.9581909 0.9581909 0.9581909 0.9581909 0.9581909 0.9581909
G6747 G6748 G6749 G6750 G6751 G6752 G6753 G6754
0.9581909 0.9581909 0.9581909 0.9581909 0.9581909 0.9581909 0.8750000 0.8750000
G6755 G6756 G6757 G6758 G6759 G6760 G6761 G6762
0.9062500 0.9062500 0.9062500 0.9062500 0.9062500 0.9062500 0.9062500 0.8750000
G6763 G6764 G6765 G6766 G6767 G6768 G6769 G6770
0.8750000 0.8750000 0.8750000 0.8750000 0.8750000 0.8750000 0.8750000 0.8750000
G6771 G6772 G6773 G6774 G6775 G6776 G6777 G6778
0.8750000 0.8750000 0.8750000 0.8750000 0.8750000 0.8750000 0.8750000 0.8750000
G6779 G6780 G6781 G6782 G6783 G6784 G6785 G6786
0.8750000 0.8750000 0.8750000 0.8750000 0.8750000 0.8750000 0.8750000 0.8750000
G6787 G6788 G6789 G6790 G6791 G6792 G6793 G6794
0.8750000 0.8750000 0.8750000 0.8750000 0.8750000 0.8750000 0.8750000 0.8750000
G6795 G6796 G6797 G6798 G6799 G6800 G6801 G6802
0.8750000 0.8750000 0.8750000 0.8750000 0.8750000 0.8750000 0.8750000 0.8750000
G6803 G6804 G6805 G6806 G6807 G6808 G6809 G6810
0.8750000 0.8750000 0.8750000 0.8750000 0.8750000 0.8750000 0.8750000 0.8750000
G6811 G6812 G6813 G6814 G6815 G6816 G6817 G6818
0.8750000 0.8750000 0.8750000 0.8750000 0.8750000 0.8750000 0.8750000 0.8750000
G6819 G6820 G6821 G6822 G6823 G6824 G6825 G6826
0.8750000 0.8750000 0.8750000 0.8750000 0.8750000 0.9695435 0.9695435 0.9695435
G6827 G6828 G6829 G6830 G6831 G6832 G6833 G6834
0.9695435 0.9695435 0.9695435 0.9695435 0.9695435 0.9695435 0.9695435 0.9695435
G6835 G6836 G6837 G6838 G6839 G6840 G6841 G6842
0.9695435 0.9695435 0.9695435 0.9695435 0.9695435 0.9695435 0.9695435 0.9695435
G6843 G6844 G6845 G6846 G6847 G6848 G6849 G6850
0.9695435 0.9695435 0.9695435 0.9695435 0.9695435 0.9695435 0.9695435 0.9695435
G6851 G6852 G6853 G6854 G6855 G6856 G6857 G6858
0.9695435 0.9695435 0.9695435 0.9695435 0.9695435 0.9695435 0.9354858 0.9354858
G6859 G6860 G6861 G6862 G6863 G6864 G6865 G6866
0.9354858 0.9354858 0.9354858 0.9354858 0.9354858 0.9354858 0.9581909 0.9581909
G6867 G6868 G6869 G6870 G6871 G6872 G6873 G6874
0.9581909 0.9581909 0.9581909 0.9581909 0.9581909 0.9581909 0.9581909 0.9581909
G6875 G6876 G6877 G6878 G6879 G6880 G6881 G6882
0.9581909 0.8750000 0.8750000 0.8750000 0.8750000 0.8750000 0.8750000 0.8750000
G6883 G6884 G6885 G6886 G6887 G6888 G6889 G6890
0.8750000 0.8750000 0.8750000 0.8750000 0.9354858 0.9354858 0.9354858 0.9354858
G6891 G6892 G6893 G6894 G6895 G6896 G6897 G6898
0.9354858 0.9372559 0.9372559 0.9372559 0.9372559 0.9372559 0.9372559 0.9372559
G6899 G6900 G6901 G6902 G6903 G6904 G6905 G6906
0.8750000 0.8750000 0.8750000 0.8750000 0.8750000 0.8750000 0.8750000 0.8750000
G6907 G6908 G6909 G6910 G6911 G6912 G6913 G6914
0.8750000 0.8750000 0.8750000 0.8750000 0.8750000 0.8750000 0.8750000 0.8750000
G6915 G6916 G6917 G6918 G6919 G6920 G6921 G6922
0.8750000 0.8750000 0.8750000 0.8750000 0.8750000 0.8750000 0.8750000 0.8750000
G6923 G6924 G6925 G6926 G6927 G6928 G6929 G6930
0.8750000 0.8750000 0.8750000 0.8750000 0.8750000 0.8750000 0.8750000 0.8750000
G6931 G6932 G6933 G6934 G6935 G6936 G6937 G6938
0.8750000 0.8750000 0.8750000 0.8750000 0.8750000 0.8750000 0.8750000 0.8750000
G6939 G6940 G6941 G6942 G6943 G6944 G6945 G6946
0.8750000 0.8750000 0.8750000 0.8750000 0.9296875 0.9296875 0.9296875 0.9296875
G6947 G6948 G6949 G6950 G6951 G6952 G6953 G6954
0.9296875 0.9296875 0.9296875 0.9296875 0.9296875 0.9296875 0.9296875 0.9296875
G6955 G6956 G6957 G6958 G6959 G6960 G6961 G6962
0.9296875 0.9296875 0.9296875 0.9296875 0.9296875 0.9296875 0.9296875 0.9296875
G6963 G6964 G6965 G6966 G6967 G6968 G6969 G6970
0.9296875 0.9296875 0.9296875 0.9296875 0.9296875 0.9296875 0.9296875 0.9296875
G6971 G6972 G6973 G6974 G6975 G6976 G6977 G6978
0.9296875 0.9296875 0.9296875 0.9296875 0.9296875 0.9296875 0.9296875 0.9296875
G6979 G6980 G6981 G6982 G6983 G6984 G6985 G6986
0.9296875 0.9296875 0.9296875 0.9296875 0.9296875 0.9296875 0.9296875 0.9296875
G6987 G6988 G6989 G6990 G6991 G6992 G6993 G6994
0.9296875 0.9296875 0.9296875 0.9296875 0.9296875 0.9296875 0.9296875 0.9296875
G6995 G6996 G6997 G6998 G6999 G7000 G7001 G7002
0.9296875 0.9296875 0.8750000 0.8750000 0.8750000 0.8750000 0.8750000 0.8750000
G7003 G7004 G7005 G7006 G7007 G7008 G7009 G7010
0.8750000 0.8750000 0.8750000 0.8750000 0.8750000 0.8750000 0.8750000 0.8750000
G7011 G7012 G7013 G7014 G7015 G7016 G7017 G7018
0.8750000 0.8750000 0.8750000 0.8750000 0.8750000 0.8750000 0.8750000 0.8750000
G7019 G7020 G7021 G7022 G7023 G7024 G7025 G7026
0.8750000 0.8750000 0.8750000 0.8750000 0.8750000 0.8750000 0.8750000 0.8750000
G7027 G7028 G7029 G7030 G7031 G7032 G7033 G7034
0.8750000 0.8750000 0.8750000 0.8750000 0.8750000 0.8750000 0.8750000 0.8750000
G7035 G7036 G7037 G7038 G7039 G7040 G7041 G7042
0.8750000 0.8750000 0.8750000 0.8750000 0.8750000 0.8750000 0.8750000 0.8750000
G7043 G7044 G7045 G7046 G7047 G7048 G7049 G7050
0.8750000 0.8750000 0.8593750 0.8750000 0.8750000 0.8750000 0.8750000 0.8750000
G7051 G7052 G7053 G7054 G7055 G7056 G7057 G7058
0.8750000 0.8750000 0.8750000 0.8750000 0.8750000 0.8750000 0.8750000 0.8750000
G7059 G7060 G7061 G7062 G7063 G7064 G7065 G7066
0.8750000 0.8750000 0.8750000 0.8750000 0.8750000 0.8750000 0.8750000 0.8750000
G7067 G7068 G7069 G7070 G7071 G7072 G7073 G7074
0.8750000 0.9296875 0.8750000 0.8750000 0.9296875 0.8593750 0.8750000 0.8750000
G7075 G7076 G7077 G7078 G7079 G7080 G7081 G7082
0.8750000 0.8750000 0.8750000 0.8750000 0.8750000 0.8750000 0.8750000 0.8750000
G7083 G7084 G7085 G7086 G7087 G7088 G7089 G7090
0.8750000 0.8750000 0.8750000 0.8750000 0.8750000 0.8750000 0.8750000 0.8750000
G7091 G7092 G7093 G7094 G7095 G7096 G7097 G7098
0.8750000 0.8750000 0.8750000 0.8750000 0.8750000 0.8750000 0.8750000 0.8750000
G7099 G7100 G7101 G7102 G7103 G7104 G7105 G7106
0.8750000 0.8750000 0.8750000 0.8750000 0.8750000 0.8750000 0.8750000 0.8750000
G7107 G7108 G7109 G7110 G7111 G7112 G7113 G7114
0.8750000 0.8750000 0.8750000 0.8750000 0.8750000 0.8750000 0.8750000 0.9296875
G7115 G7116 G7117 G7118 G7119 G7120 G7121 G7122
0.8750000 0.8750000 0.8750000 0.8750000 0.9296875 0.8750000 0.8750000 0.8750000
G7123 G7124 G7125 G7126 G7127 G7128 G7129 G7130
0.8750000 0.8750000 0.8750000 0.9296875 0.8750000 0.8750000 0.8750000 0.8593750
G7131 G7132 G7133 G7134 G7135 G7136 G7137 G7138
0.8750000 0.8750000 0.8750000 0.8593750 0.8750000 0.8750000 0.8750000 0.8750000
G7139 G7140 G7141 G7142 G7143 G7144 G7145 G7146
0.8750000 0.8750000 0.8750000 0.9296875 0.8750000 0.9296875 0.8750000 0.8750000
G7147 G7148 G7149 G7150 G7151 G7152 G7153 G7154
0.8750000 0.8750000 0.8593750 0.8750000 0.8750000 0.8593750 0.8750000 0.8750000
G7155 G7156 G7157 G7158 G7159 G7160 G7161 G7162
0.8750000 0.8750000 0.8750000 0.8750000 0.9296875 0.9296875 0.9296875 0.8593750
G7163 G7164 G7165 G7166 G7167 G7168 G7169 G7170
0.8750000 0.8750000 0.8750000 0.8750000 0.8750000 0.8750000 0.8750000 0.8750000
G7171 G7172 G7173 G7174 G7175 G7176 G7177 G7178
0.8750000 0.8750000 0.8750000 0.8750000 0.8750000 0.8750000 0.8750000 0.8750000
G7179 G7180 G7181 G7182 G7183 G7184 G7185 G7186
0.8750000 0.8750000 0.8750000 0.8750000 0.8750000 0.8750000 0.8750000 0.8750000
G7187 G7188 G7189 G7190 G7191 G7192 G7193 G7194
0.9296875 0.8750000 0.9296875 0.8750000 0.8750000 0.8750000 0.8750000 0.8593750
G7195 G7196 G7197 G7198 G7199 G7200 G7201 G7202
0.8750000 0.9296875 0.8750000 0.8750000 0.8750000 0.8750000 0.8750000 0.8750000
G7203 G7204 G7205 G7206 G7207 G7208 G7209 G7210
0.9296875 0.8750000 0.8750000 0.9296875 0.8750000 0.9296875 0.8750000 0.8750000
G7211 G7212 G7213 G7214 G7215 G7216 G7217 G7218
0.8750000 0.8750000 0.8750000 0.8750000 0.8593750 0.8750000 0.8750000 0.8750000
G7219 G7220 G7221 G7222 G7223 G7224 G7225 G7226
0.8750000 0.8750000 0.8750000 0.8750000 0.8750000 0.8750000 0.8750000 0.8750000
G7227 G7228 G7229 G7230 G7231 G7232 G7233 G7234
0.8750000 0.8750000 0.8593750 0.8750000 0.8750000 0.8750000 0.8750000 0.8750000
G7235 G7236 G7237 G7238 G7239 G7240 G7241 G7242
0.8750000 0.8750000 0.8593750 0.8750000 0.8593750 0.8750000 0.8750000 0.8750000
G7243 G7244 G7245 G7246 G7247 G7248 G7249 G7250
0.8750000 0.8593750 0.8750000 0.8750000 0.8750000 0.8750000 0.8750000 0.8750000
G7251 G7252 G7253 G7254 G7255 G7256 G7257 G7258
0.8750000 0.8750000 0.8750000 0.8750000 0.9296875 0.8750000 0.8750000 0.8593750
G7259 G7260 G7261 G7262 G7263 G7264 G7265 G7266
0.8750000 0.8750000 0.8750000 0.9296875 0.8750000 0.8750000 0.8750000 0.8750000
G7267 G7268 G7269 G7270 G7271 G7272 G7273 G7274
0.8750000 0.8750000 0.8750000 0.8750000 0.8750000 0.8750000 0.9296875 0.8750000
G7275 G7276 G7277 G7278 G7279 G7280 G7281 G7282
0.8750000 0.8750000 0.8750000 0.8750000 0.8750000 0.8750000 0.8750000 0.8750000
G7283 G7284 G7285 G7286 G7287 G7288 G7289 G7290
0.8750000 0.8750000 0.8750000 0.8750000 0.9296875 0.8750000 0.8750000 0.8750000
G7291 G7292 G7293 G7294 G7295 G7296 G7297 G7298
0.8750000 0.8750000 0.8750000 0.8750000 0.8593750 0.8750000 0.8750000 0.8750000
G7299 G7300 G7301 G7302 G7303 G7304 G7305 G7306
0.8750000 0.8750000 0.8750000 0.8750000 0.8750000 0.8750000 0.8750000 0.8750000
G7307 G7308 G7309 G7310 G7311 G7312 G7313 G7314
0.8750000 0.9296875 0.8750000 0.9296875 0.8750000 0.8750000 0.8750000 0.8750000
G7315 G7316 G7317 G7318 G7319 G7320 G7321 G7322
0.8750000 0.8750000 0.8750000 0.8750000 0.8750000 0.8750000 0.9296875 0.8750000
G7323 G7324 G7325 G7326 G7327 G7328 G7329 G7330
0.8750000 0.9296875 0.8750000 0.8750000 0.8750000 0.8750000 0.8750000 0.8750000
G7331 G7332 G7333 G7334 G7335 G7336 G7337 G7338
0.8750000 0.8750000 0.8750000 0.8750000 0.8750000 0.9296875 0.8593750 0.8750000
G7339 G7340 G7341 G7342 G7343 G7344 G7345 G7346
0.8750000 0.8750000 0.8750000 0.8750000 0.9296875 0.9296875 0.8750000 0.8750000
G7347 G7348 G7349 G7350 G7351 G7352 G7353 G7354
0.8750000 0.8750000 0.8750000 0.8750000 0.8750000 0.8750000 0.8750000 0.8750000
G7355 G7356 G7357 G7358 G7359 G7360 G7361 G7362
0.8750000 0.8750000 0.8750000 0.8750000 0.8750000 0.8750000 0.8750000 0.8750000
G7363 G7364 G7365 G7366 G7367 G7368 G7369 G7370
0.8750000 0.8750000 0.8750000 0.8750000 0.8750000 0.8750000 0.8750000 0.8750000
G7371 G7372 G7373 G7374 G7375 G7376 G7377 G7378
0.8750000 0.8750000 0.5000000 0.5000000 0.5000000 0.5000000 0.5000000 0.5000000
G7379 G7380 G7381 G7382 G7383 G7384 G7385 G7386
0.5000000 0.5000000 0.5000000 0.5000000 0.5000000 0.5000000 0.5000000 0.5000000
G7387 G7388 G7389 G7390 G7391 G7392 G7393 G7394
0.5000000 0.7187500 0.7187500 0.7187500 0.7187500 0.7187500 0.7187500 0.7187500
G7395 G7396 G7397 G7398 G7399 G7400 G7401 G7402
0.7187500 0.7187500 0.7187500 0.7187500 0.7499695 0.7499695 0.7499695 0.7499695
G7403 G7404 G7405 G7406 G7407 G7408 G7409 G7410
0.7499695 0.7499695 0.7499695 0.7499695 0.7499695 0.7499695 0.7499695 0.7499695
G7411 G7412 G7413 G7414 G7415 G7416 G7417 G7418
0.7499695 0.7499695 0.7499695 0.7499695 0.7499695 0.7499695 0.7499695 0.7499695
G7419 G7420 G7421 G7422 G7423 G7424 G7425 G7426
0.7499695 0.7499695 0.7499695 0.7499695 0.7499695 0.7499695 0.7499695 0.7499695
G7427 G7428 G7429 G7430 G7431 G7432 G7433 G7434
0.7499695 0.7499695 0.7499695 0.7499695 0.7499695 0.7499695 0.7499695 0.7499695
G7435 G7436 G7437 G7438 G7439 G7440 G7441 G7442
0.7499695 0.7499695 0.7499695 0.7499695 0.7499695 0.7499695 0.7499695 0.7499695
G7443 G7444 G7445 G7446 G7447 G7448 G7449 G7450
0.7499695 0.7499695 0.7499695 0.7499695 0.7499695 0.7499695 0.7499695 0.7187500
G7451 G7452 G7453 G7454 G7455 G7456 G7457 G7458
0.7187500 0.7187500 0.7187500 0.7187500 0.7187500 0.7187500 0.7187500 0.7187500
G7459 G7460 G7461 G7462 G7463 G7464 G7465 G7466
0.7187500 0.7187500 0.7499390 0.7499390 0.7187500 0.7187500 0.7187500 0.7187500
G7467 G7468 G7469 G7470 G7471 G7472 G7473 G7474
0.7187500 0.7187500 0.7187500 0.7187500 0.7187500 0.7187500 0.7187500 0.7187500
G7475 G7476 G7477 G7478 G7479 G7480 G7481 G7482
0.7187500 0.7187500 0.7187500 0.7187500 0.7187500 0.7187500 0.7187500 0.7187500
G7483 G7484 G7485 G7486 G7487 G7488 G7489 G7490
0.7187500 0.7187500 0.7187500 0.7187500 0.7187500 0.7187500 0.7187500 0.7187500
G7491 G7492 G7493 G7494 G7495 G7496 G7497 G7498
0.7187500 0.7187500 0.7187500 0.7187500 0.7187500 0.7187500 0.7187500 0.7187500
G7499 G7500 G7501 G7502 G7503 G7504 G7505 G7506
0.7187500 0.7187500 0.7187500 0.7187500 0.7187500 0.7187500 0.7187500 0.7187500
G7507 G7508 G7509 G7510 G7511 G7512 G7513 G7514
0.7187500 0.7187500 0.7187500 0.7187500 0.7187500 0.7187500 0.7187500 0.7187500
G7515 G7516 G7517 G7518 G7519 G7520 G7521 G7522
0.7187500 0.7187500 0.7187500 0.7187500 0.7187500 0.7187500 0.7187500 0.7187500
G7523 G7524 G7525 G7526 G7527 G7528 G7529 G7530
0.7187500 0.7187500 0.7187500 0.7187500 0.7187500 0.7187500 0.7187500 0.7187500
G7531 G7532 G7533 G7534 G7535 G7536 G7537 G7538
0.7187500 0.7187500 0.7187500 0.7187500 0.7187500 0.7187500 0.7187500 0.7187500
G7539 G7540 G7541 G7542 G7543 G7544 G7545 G7546
0.7187500 0.7187500 0.7187500 0.7187500 0.7187500 0.7187500 0.7187500 0.7187500
G7547 G7548 G7549 G7550 G7551 G7552 G7553 G7554
0.7187500 0.7187500 0.7187500 0.7187500 0.7187500 0.7187500 0.7187500 0.7187500
G7555 G7556 G7557 G7558 G7559 G7560 G7561 G7562
0.7187500 0.7187500 0.7187500 0.7187500 0.7187500 0.7187500 0.7187500 0.7187500
G7563 G7564 G7565 G7566 G7567 G7568 G7569 G7570
0.7187500 0.7187500 0.7187500 0.7187500 0.7187500 0.7187500 0.7187500 0.7187500
G7571 G7572 G7573 G7574 G7575 G7576 G7577 G7578
0.7187500 0.7187500 0.7187500 0.7187500 0.7187500 0.7187500 0.7187500 0.7187500
G7579 G7580 G7581 G7582 G7583 G7584 G7585 G7586
0.7187500 0.7187500 0.7187500 0.7187500 0.7187500 0.7187500 0.7187500 0.7187500
G7587 G7588 G7589 G7590 G7591 G7592 G7593 G7594
0.7187500 0.7187500 0.7187500 0.7187500 0.7187500 0.7187500 0.7187500 0.7187500
G7595 G7596 G7597 G7598 G7599 G7600 G7601 G7602
0.7187500 0.7187500 0.7187500 0.7187500 0.7187500 0.7187500 0.7187500 0.7187500
G7603 G7604 G7605 G7606 G7607 G7608 G7609 G7610
0.7187500 0.7187500 0.7187500 0.7187500 0.7187500 0.7187500 0.7187500 0.7187500
G7611 G7612 G7613 G7614 G7615 G7616 G7617 G7618
0.5000000 0.5000000 0.5000000 0.5000000 0.5000000 0.5000000 0.5000000 0.5000000
G7619 G7620 G7621 G7622 G7623 G7624 G7625 G7626
0.5000000 0.5000000 0.5000000 0.5000000 0.5000000 0.5000000 0.5000000 0.5000000
G7627 G7628 G7629 G7630 G7631 G7632 G7633 G7634
0.5000000 0.5000000 0.5000000 0.5000000 0.5000000 0.5000000 0.5000000 0.5000000
G7635 G7636 G7637 G7638 G7639 G7640 G7641 G7642
0.5000000 0.5000000 0.5000000 0.5000000 0.5000000 0.5000000 0.5000000 0.5000000
G7643 G7644 G7645 G7646 G7647 G7648 G7649 G7650
0.5000000 0.5000000 0.5000000 0.5000000 0.5000000 0.5000000 0.5000000 0.5000000
G7651 G7652 G7653 G7654 G7655 G7656 G7657 G7658
0.5000000 0.5000000 0.7187500 0.7187500 0.7187500 0.7187500 0.7187500 0.7187500
G7659 G7660 G7661 G7662 G7663 G7664 G7665 G7666
0.7187500 0.7187500 0.7187500 0.7187500 0.7187500 0.7187500 0.7187500 0.7187500
G7667 G7668 G7669 G7670 G7671 G7672 G7673 G7674
0.7187500 0.7187500 0.7187500 0.7187500 0.7187500 0.7187500 0.7187500 0.7187500
G7675 G7676 G7677 G7678 G7679 G7680 G7681 G7682
0.7187500 0.7187500 0.7187500 0.7187500 0.7187500 0.7187500 0.7187500 0.7187500
G7683 G7684 G7685 G7686 G7687 G7688 G7689 G7690
0.7187500 0.7187500 0.7187500 0.7187500 0.7187500 0.7187500 0.7187500 0.7187500
G7691 G7692 G7693 G7694 G7695 G7696 G7697 G7698
0.7187500 0.7499390 0.7499390 0.7499390 0.7499390 0.7499390 0.7499390 0.7724609
G7699 G7700 G7701 G7702 G7703 G7704 G7705 G7706
0.7724609 0.7724609 0.7724609 0.7724609 0.7724609 0.7724609 0.7724609 0.7724609
G7707 G7708 G7709 G7710 G7711 G7712 G7713 G7714
0.7724609 0.7724609 0.7724609 0.7724609 0.7724609 0.7724609 0.7724609 0.7724609
G7715 G7716 G7717 G7718 G7719 G7720 G7721 G7722
0.7724609 0.7724609 0.7724609 0.7724609 0.7724609 0.7724609 0.7724609 0.7724609
G7723 G7724 G7725 G7726 G7727 G7728 G7729 G7730
0.7724609 0.7724609 0.7724609 0.7724609 0.7724609 0.7724609 0.7724609 0.7724609
G7731 G7732 G7733 G7734 G7735 G7736 G7737 G7738
0.7724609 0.7724609 0.7724609 0.7724609 0.7724609 0.7724609 0.7724609 0.7724609
G7739 G7740 G7741 G7742 G7743 G7744 G7745 G7746
0.7724609 0.7724609 0.7724609 0.7724609 0.7724609 0.7724609 0.7724609 0.7724609
G7747 G7748 G7749 G7750 G7751 G7752 G7753 G7754
0.7724609 0.7724609 0.5000000 0.5000000 0.5000000 0.5000000 0.5000000 0.5000000
G7755 G7756 G7757 G7758 G7759 G7760 G7761 G7762
0.5000000 0.5000000 0.5000000 0.5000000 0.5000000 0.5000000 0.5000000 0.5000000
G7763 G7764 G7765 G7766 G7767 G7768 G7769 G7770
0.5000000 0.5000000 0.5000000 0.5000000 0.5000000 0.5000000 0.5000000 0.5000000
G7771 G7772 G7773 G7774 G7775 G7776 G7777 G7778
0.5000000 0.5000000 0.5000000 0.5000000 0.5000000 0.5000000 0.5000000 0.5000000
G7779 G7780 G7781 G7782 G7783 G7784 G7785 G7786
0.5000000 0.5000000 0.5000000 0.5000000 0.5000000 0.5000000 0.5000000 0.5000000
G7787 G7788 G7789 G7790 G7791 G7792 G7793 G7794
0.5000000 0.5000000 0.5000000 0.5000000 0.5000000 0.5000000 0.5000000 0.5000000
G7795 G7796 G7797 G7798 G7799 G7800 G7801 G7802
0.5000000 0.5000000 0.5000000 0.5000000 0.5000000 0.5000000 0.5000000 0.5000000
G7803 G7804 G7805 G7806 G7807 G7808 G7809 G7810
0.5000000 0.5000000 0.5000000 0.5000000 0.5000000 0.5000000 0.5000000 0.5000000
G7811 G7812 G7813 G7814 G7815 G7816 G7817 G7818
0.5000000 0.5000000 0.5000000 0.5000000 0.5000000 0.5000000 0.5000000 0.5000000
G7819 G7820 G7821 G7822 G7823 G7824 G7825 G7826
0.5000000 0.5000000 0.5000000 0.5000000 0.5000000 0.5000000 0.5000000 0.5000000
G7827 G7828 G7829 G7830 G7831 G7832 G7833 G7834
0.5000000 0.5000000 0.5000000 0.5000000 0.5000000 0.5000000 0.5000000 0.5000000
G7835 G7836 G7837 G7838 G7839 G7840 G7841 G7842
0.5000000 0.5000000 0.5000000 0.5000000 0.5000000 0.5000000 0.5000000 0.5000000
G7843 G7844 G7845 G7846 G7847 G7848 G7849 G7850
0.5000000 0.5000000 0.5000000 0.5000000 0.5000000 0.5000000 0.5000000 0.5000000
G7851 G7852 G7853 G7854 G7855 G7856 G7857 G7858
0.5000000 0.5000000 0.5000000 0.5000000 0.5000000 0.5000000 0.5000000 0.5000000
G7859 G7860 G7861 G7862 G7863 G7864 G7865 G7866
0.5000000 0.5000000 0.5000000 0.5000000 0.5000000 0.5000000 0.5000000 0.5000000
G7867 G7868 G7869 G7870 G7871 G7872 G7873 G7874
0.5000000 0.5000000 0.5000000 0.5000000 0.5000000 0.5000000 0.5000000 0.5000000
G7875 G7876 G7877 G7878 G7879 G7880 G7881 G7882
0.5000000 0.5000000 0.5000000 0.5000000 0.5000000 0.5000000 0.5000000 0.5000000
G7883 G7884 G7885 G7886 G7887 G7888 G7889 G7890
0.5000000 0.5000000 0.5000000 0.5000000 0.5000000 0.5000000 0.5000000 0.5000000
G7891 G7892 G7893 G7894 G7895 G7896 G7897 G7898
0.5000000 0.5000000 0.5000000 0.5000000 0.5000000 0.5000000 0.5000000 0.5000000
G7899 G7900 G7901 G7902 G7903 G7904 G7905 G7906
0.5000000 0.5000000 0.5000000 0.5000000 0.5000000 0.5000000 0.5000000 0.5000000
G7907 G7908 G7909 G7910 G7911 G7912 G7913 G7914
0.5000000 0.5000000 0.5000000 0.5000000 0.5000000 0.5000000 0.5000000 0.5000000
G7915 G7916 G7917 G7918 G7919 G7920 G7921 G7922
0.5000000 0.5000000 0.5000000 0.5000000 0.5000000 0.5000000 0.5000000 0.5000000
G7923 G7924 G7925 G7926 G7927 G7928 G7929 G7930
0.5000000 0.5000000 0.5000000 0.5000000 0.5000000 0.5000000 0.5000000 0.5000000
G7931 G7932 G7933 G7934 G7935 G7936 G7937 G7938
0.5000000 0.5000000 0.5000000 0.5000000 0.5000000 0.5000000 0.5000000 0.5000000
G7939 G7940 G7941 G7942 G7943 G7944 G7945 G7946
0.5000000 0.5000000 0.5000000 0.5000000 0.5000000 0.5000000 0.5000000 0.5000000
G7947 G7948 G7949 G7950 G7951 G7952 G7953 G7954
0.5000000 0.5000000 0.5000000 0.5000000 0.5000000 0.5000000 0.5000000 0.5000000
G7955 G7956 G7957 G7958 G7959 G7960 G7961 G7962
0.5000000 0.5000000 0.5000000 0.5000000 0.5000000 0.5000000 0.5000000 0.5000000
G7963 G7964 G7965 G7966 G7967 G7968 G7969 G7970
0.5000000 0.5000000 0.5000000 0.5000000 0.5000000 0.5000000 0.5000000 0.5000000
G7971 G7972 G7973 G7974 G7975 G7976 G7977 G7978
0.5000000 0.5000000 0.5000000 0.5000000 0.5000000 0.5000000 0.5000000 0.5000000
G7979 G7980 G7981 G7982 G7983 G7984 G7985 G7986
0.5000000 0.5000000 0.5000000 0.5000000 0.5000000 0.5000000 0.5000000 0.5000000
G7987 G7988 G7989 G7990 G7991 G7992 G7993 G7994
0.5000000 0.5000000 0.5000000 0.5000000 0.5000000 0.5000000 0.5000000 0.5000000
G7995 G7996 G7997 G7998 G7999 G8000 G8001 G8002
0.5000000 0.5000000 0.5000000 0.5000000 0.5000000 0.5000000 0.5000000 0.5000000
G8003 G8004 G8005 G8006 G8007 G8008 G8009 G8010
0.5000000 0.5000000 0.5000000 0.5000000 0.5000000 0.5000000 0.5000000 0.5000000
G8011 G8012 G8013 G8014 G8015 G8016 G8017 G8018
0.5000000 0.5000000 0.5000000 0.5000000 0.5000000 0.5000000 0.5000000 0.5000000
G8019 G8020 G8021 G8022 G8023 G8024 G8025 G8026
0.5000000 0.5000000 0.5000000 0.5000000 0.5000000 0.5000000 0.5000000 0.5000000
G8027 G8028 G8029 G8030 G8031 G8032 G8033 G8034
0.5000000 0.5000000 0.5000000 0.5000000 0.5000000 0.5000000 0.5000000 0.5000000
G8035 G8036 G8037 G8038 G8039 G8040 G8041 G8042
0.5000000 0.5000000 0.5000000 0.5000000 0.5000000 0.5000000 0.5000000 0.5000000
G8043 G8044 G8045 G8046 G8047 G8048 G8049 G8050
0.5000000 0.5000000 0.5000000 0.5000000 0.5000000 0.5000000 0.5000000 0.5000000
G8051 G8052 G8053 G8054 G8055 G8056 G8057 G8058
0.5000000 0.5000000 0.5000000 0.5000000 0.5000000 0.5000000 0.5000000 0.5000000
G8059 G8060 G8061 G8062 G8063 G8064 G8065 G8066
0.5000000 0.5000000 0.5000000 0.5000000 0.5000000 0.5000000 0.5000000 0.5000000
G8067 G8068 G8069 G8070 G8071 G8072 G8073 G8074
0.5000000 0.5000000 0.5000000 0.5000000 0.5000000 0.5000000 0.5000000 0.5000000
G8075 G8076 G8077 G8078 G8079 G8080 G8081 G8082
0.5000000 0.5000000 0.5000000 0.5000000 0.5000000 0.5000000 0.5000000 0.5000000
G8083 G8084 G8085 G8086 G8087 G8088 G8089 G8090
0.5000000 0.5000000 0.5000000 0.5000000 0.5000000 0.5000000 0.5000000 0.5000000
G8091 G8092 G8093 G8094 G8095 G8096 G8097 G8098
0.5000000 0.5000000 0.5000000 0.5000000 0.5000000 0.5000000 0.5000000 0.5000000
G8099 G8100 G8101 G8102 G8103 G8104 G8105 G8106
0.5000000 0.5000000 0.5000000 0.5000000 0.5000000 0.5000000 0.5000000 0.5000000
G8107 G8108 G8109 G8110 G8111 G8112 G8113 G8114
0.5000000 0.5000000 0.5000000 0.5000000 0.5000000 0.5000000 0.5000000 0.5000000
G8115 G8116 G8117 G8118 G8119 G8120 G8121 G8122
0.5000000 0.5000000 0.5000000 0.5000000 0.5000000 0.5000000 0.5000000 0.5000000
G8123 G8124 G8125 G8126 G8127 G8128 G8129 G8130
0.5000000 0.5000000 0.5000000 0.5000000 0.5000000 0.5000000 0.5000000 0.5000000
G8131 G8132 G8133 G8134 G8135 G8136 G8137 G8138
0.5000000 0.5000000 0.5000000 0.5000000 0.5000000 0.5000000 0.5000000 0.5000000
G8139 G8140 G8141 G8142 G8143 G8144 G8145 G8146
0.5000000 0.5000000 0.5000000 0.5000000 0.5000000 0.5000000 0.5000000 0.5000000
G8147 G8148 G8149 G8150 G8151 G8152 G8153 G8154
0.5000000 0.5000000 0.5000000 0.5000000 0.5000000 0.5000000 0.5000000 0.5000000
G8155 G8156 G8157 G8158 G8159 G8160 G8161 G8162
0.5000000 0.5000000 0.5000000 0.5000000 0.5000000 0.5000000 0.5000000 0.5000000
G8163 G8164 G8165 G8166 G8167 G8168 G8169 G8170
0.5000000 0.5000000 0.5000000 0.5000000 0.5000000 0.5000000 0.5000000 0.5000000
G8171 G8172 G8173 G8174 G8175 G8176 G8177 G8178
0.5000000 0.5000000 0.5000000 0.5000000 0.5000000 0.5000000 0.5000000 0.5000000
G8179 G8180 G8181 G8182 G8183 G8184 G8185 G8186
0.5000000 0.5000000 0.5000000 0.5000000 0.5000000 0.5000000 0.5000000 0.5000000
G8187 G8188 G8189 G8190 G8191 G8192 G8193 G8194
0.5000000 0.5000000 0.5000000 0.5000000 0.5000000 0.5000000 0.5000000 0.5000000
G8195 G8196 G8197 G8198 G8199 G8200 G8201 G8202
0.5000000 0.5000000 0.5000000 0.5000000 0.5000000 0.5000000 0.5000000 0.5000000
G8203 G8204 G8205 G8206 G8207 G8208 G8209 G8210
0.5000000 0.5000000 0.5000000 0.5000000 0.5000000 0.5000000 0.5000000 0.5000000
G8211 G8212 G8213 G8214 G8215 G8216 G8217 G8218
0.5000000 0.5000000 0.5000000 0.5000000 0.5000000 0.5000000 0.5000000 0.5000000
G8219 G8220 G8221 G8222 G8223 G8224 G8225 G8226
0.5000000 0.5000000 0.5000000 0.5000000 0.5000000 0.5000000 0.5000000 0.5000000
G8227 G8228 G8229 G8230 G8231 G8232 G8233 G8234
0.5000000 0.5000000 0.5000000 0.5000000 0.5000000 0.5000000 0.5000000 0.5000000
G8235 G8236 G8237 G8238 G8239 G8240 G8241 G8242
0.5000000 0.5000000 0.5000000 0.5000000 0.5000000 0.5000000 0.5000000 0.5000000
G8243 G8244 G8245 G8246 G8247 G8248 G8249 G8250
0.5000000 0.5000000 0.5000000 0.5000000 0.5000000 0.5000000 0.5000000 0.5000000
G8251 G8252 G8253 G8254 G8255 G8256 G8257 G8258
0.5000000 0.5000000 0.5000000 0.5000000 0.5000000 0.5000000 0.5000000 0.5000000
G8259 G8260 G8261 G8262 G8263 G8264 G8265 G8266
0.5000000 0.5000000 0.5000000 0.5000000 0.5000000 0.5000000 0.5000000 0.5000000
G8267 G8268 G8269 G8270 G8271 G8272 G8273 G8274
0.5000000 0.5000000 0.5000000 0.5000000 0.5000000 0.5000000 0.5000000 0.5000000
G8275 G8276 G8277 G8278 G8279 G8280 G8281 G8282
0.5000000 0.5000000 0.5000000 0.5000000 0.5000000 0.5000000 0.5000000 0.5000000
G8283 G8284 G8285 G8286 G8287 G8288 G8289 G8290
0.5000000 0.5000000 0.5000000 0.5000000 0.5000000 0.5000000 0.5000000 0.5000000
G8291 G8292 G8293 G8294 G8295 G8296 G8297 G8298
0.5000000 0.5000000 0.5000000 0.5000000 0.5000000 0.5000000 0.5000000 0.5000000
G8299 G8300 G8301 G8302 G8303 G8304 G8305 G8306
0.5000000 0.5000000 0.5000000 0.5000000 0.5000000 0.5000000 0.5000000 0.5000000
G8307 G8308 G8309 G8310 G8311 G8312 G8313 G8314
0.5000000 0.5000000 0.5000000 0.5000000 0.5000000 0.5000000 0.5000000 0.5000000
G8315 G8316 G8317 G8318 G8319 G8320 G8321 G8322
0.5000000 0.5000000 0.5000000 0.5000000 0.5000000 0.5000000 0.5000000 0.5000000
G8323 G8324 G8325 G8326 G8327 G8328 G8329 G8330
0.5000000 0.5000000 0.5000000 0.5000000 0.5000000 0.5000000 0.5000000 0.5000000
G8331 G8332 G8333 G8334 G8335 G8336 G8337 G8338
0.5000000 0.5000000 0.5000000 0.5000000 0.5000000 0.5000000 0.5000000 0.5000000
G8339 G8340 G8341 G8342 G8343 G8344 G8345 G8346
0.5000000 0.5000000 0.5000000 0.5000000 0.5000000 0.5000000 0.5000000 0.5000000
G8347 G8348 G8349 G8350 G8351 G8352 G8353 G8354
0.5000000 0.5000000 0.5000000 0.5000000 0.5000000 0.5000000 0.5000000 0.5000000
G8355 G8356 G8357 G8358 G8359 G8360 G8361 G8362
0.5000000 0.5000000 0.5000000 0.5000000 0.5000000 0.5000000 0.5000000 0.5000000
G8363 G8364 G8365 G8366 G8367 G8368 G8369 G8370
0.5000000 0.5000000 0.5000000 0.5000000 0.5000000 0.5000000 0.5000000 0.5000000
G8371 G8372 G8373 G8374 G8375 G8376 G8377 G8378
0.5000000 0.5000000 0.5000000 0.5000000 0.5000000 0.5000000 0.5000000 0.5000000
G8379 G8380 G8381 G8382 G8383 G8384 G8385 G8386
0.5000000 0.5000000 0.5000000 0.5000000 0.5000000 0.5000000 0.5000000 0.5000000
G8387 G8388 G8389 G8390 G8391 G8392 G8393 G8394
0.5000000 0.5000000 0.5000000 0.5000000 0.5000000 0.5000000 0.5000000 0.5000000
G8395 G8396 G8397 G8398 G8399 G8400 G8401 G8402
0.5000000 0.5000000 0.5000000 0.5000000 0.7187500 0.7187500 0.7187500 0.7187500
G8403 G8404 G8405 G8406 G8407 G8408 G8409 G8410
0.7187500 0.7187500 0.7187500 0.7187500 0.7187500 0.7187500 0.7187500 0.7187500
G8411 G8412 G8413 G8414 G8415 G8416 G8417 G8418
0.7187500 0.7187500 0.7187500 0.7187500 0.7187500 0.7187500 0.7187500 0.7187500
G8419 G8420 G8421 G8422 G8423 G8424 G8425 G8426
0.7187500 0.7187500 0.7187500 0.7187500 0.7187500 0.7187500 0.7187500 0.7187500
G8427 G8428 G8429 G8430 G8431 G8432 G8433 G8434
0.7187500 0.7187500 0.7187500 0.7187500 0.7187500 0.7187500 0.7187500 0.7187500
G8435 G8436 G8437 G8438 G8439 G8440 G8441 G8442
0.7187500 0.7186890 0.7186890 0.7186890 0.7186890 0.7186890 0.7186890 0.7186890
G8443 G8444 G8445 G8446 G8447 G8448 G8449 G8450
0.7186890 0.7186890 0.7186890 0.7186890 0.7186890 0.7187500 0.7187500 0.7187500
G8451 G8452 G8453 G8454 G8455 G8456 G8457 G8458
0.7187500 0.7187500 0.7187500 0.7187500 0.7187500 0.7187500 0.7187500 0.7187500
G8459 G8460 G8461 G8462 G8463 G8464 G8465 G8466
0.7187500 0.5000000 0.5000000 0.5000000 0.5000000 0.5000000 0.5000000 0.5000000
G8467 G8468 G8469 G8470 G8471 G8472 G8473 G8474
0.5000000 0.5000000 0.5000000 0.5000000 0.5000000 0.5000000 0.5000000 0.5000000
G8475 G8476 G8477 G8478 G8479 G8480 G8481 G8482
0.5000000 0.5000000 0.5000000 0.5000000 0.5000000 0.5000000 0.5000000 0.5000000
G8483 G8484 G8485 G8486 G8487 G8488 G8489 G8490
0.5000000 0.5000000 0.5000000 0.5000000 0.5000000 0.5000000 0.5000000 0.5000000
G8491 G8492 G8493 G8494 G8495 G8496 G8497 G8498
0.7187500 0.7187500 0.7187500 0.7187500 0.7187500 0.7187500 0.7187500 0.5000000
G8499 G8500 G8501 G8502 G8503 G8504 G8505 G8506
0.5000000 0.5000000 0.5000000 0.5000000 0.5000000 0.5000000 0.5000000 0.5000000
G8507 G8508 G8509 G8510 G8511 G8512 G8513 G8514
0.5000000 0.5000000 0.5000000 0.5000000 0.5000000 0.5000000 0.5000000 0.5000000
G8515 G8516 G8517 G8518 G8519 G8520 G8521 G8522
0.5000000 0.5000000 0.5000000 0.5000000 0.5000000 0.5000000 0.5000000 0.5000000
G8523 G8524 G8525 G8526 G8527 G8528 G8529 G8530
0.5000000 0.5000000 0.5000000 0.5000000 0.5000000 0.5000000 0.5000000 0.5000000
G8531 G8532 G8533 G8534 G8535 G8536 G8537 G8538
0.5000000 0.5000000 0.5000000 0.5000000 0.5000000 0.5000000 0.5000000 0.5000000
G8539 G8540 G8541 G8542 G8543 G8544 G8545 G8546
0.5000000 0.5000000 0.5000000 0.5000000 0.5000000 0.5000000 0.5000000 0.5000000
G8547 G8548 G8549 G8550 G8551 G8552 G8553 G8554
0.5000000 0.5000000 0.5000000 0.5000000 0.5000000 0.5000000 0.5000000 0.5000000
G8555 G8556 G8557 G8558 G8559 G8560 G8561 G8562
0.5000000 0.5000000 0.5000000 0.5000000 0.5000000 0.5000000 0.5000000 0.5000000
G8563 G8564 G8565 G8566 G8567 G8568 G8569 G8570
0.5000000 0.5000000 0.5000000 0.5000000 0.5000000 0.5000000 0.5000000 0.5000000
G8571 G8572 G8573 G8574 G8575 G8576 G8577 G8578
0.5000000 0.5000000 0.5000000 0.5000000 0.7343750 0.7343750 0.7343750 0.7498779
G8579 G8580 G8581 G8582 G8583 G8584 G8585 G8586
0.7498779 0.7498779 0.7498779 0.7498779 0.7498779 0.7498779 0.7498779 0.7498779
G8587 G8588 G8589 G8590 G8591 G8592 G8593 G8594
0.7498779 0.7498779 0.7498779 0.7498779 0.7498779 0.7498779 0.5000000 0.5000000
G8595 G8596 G8597 G8598 G8599 G8600 G8601 G8602
0.5000000 0.5000000 0.5000000 0.5000000 0.5000000 0.5000000 0.5000000 0.5000000
G8603 G8604 G8605 G8606 G8607 G8608 G8609 G8610
0.5000000 0.5000000 0.5000000 0.5000000 0.5000000 0.5000000 0.5000000 0.5000000
G8611 G8612 G8613 G8614 G8615 G8616 G8617 G8618
0.5000000 0.5000000 0.5000000 0.5000000 0.5000000 0.5000000 0.5000000 0.5000000
G8619 G8620 G8621 G8622 G8623 G8624 G8625 G8626
0.5000000 0.5000000 0.5000000 0.5000000 0.5000000 0.5000000 0.5000000 0.5000000
G8627 G8628 G8629 G8630 G8631 G8632 G8633 G8634
0.5000000 0.7343750 0.7343750 0.7343750 0.7343750 0.7343750 0.7343750 0.7343750
G8635 G8636 G8637 G8638 G8639 G8640 G8641 G8642
0.7343750 0.7343750 0.7343750 0.7343750 0.7343750 0.7343750 0.7343750 0.7343750
G8643 G8644 G8645 G8646 G8647 G8648 G8649 G8650
0.7343750 0.7343750 0.7343750 0.7343750 0.7343750 0.7343750 0.7343750 0.7343750
G8651 G8652 G8653 G8654 G8655 G8656 G8657 G8658
0.7343750 0.7343750 0.7343750 0.7498779 0.7498779 0.7498779 0.7498779 0.7498779
G8659 G8660 G8661 G8662 G8663 G8664 G8665 G8666
0.7498779 0.7498779 0.7498779 0.7498779 0.7498779 0.7498779 0.7498779 0.7498779
G8667 G8668 G8669 G8670 G8671 G8672 G8673 G8674
0.7498779 0.7498779 0.7498779 0.7498779 0.7498779 0.7498779 0.7498779 0.7498779
G8675 G8676 G8677 G8678 G8679 G8680 G8681 G8682
0.7498779 0.7498779 0.7498779 0.7498779 0.7498779 0.7498779 0.7498779 0.7498779
G8683 G8684 G8685 G8686 G8687 G8688 G8689 G8690
0.7498779 0.7498779 0.7498779 0.7498779 0.7498779 0.7498779 0.7498779 0.7498779
G8691 G8692 G8693 G8694 G8695 G8696 G8697 G8698
0.7498779 0.7498779 0.7498779 0.7498779 0.7498779 0.7498779 0.7498779 0.7498779
G8699 G8700 G8701 G8702 G8703 G8704 G8705 G8706
0.7498779 0.7498779 0.7498779 0.7498779 0.7498779 0.7498779 0.7498779 0.7498779
G8707 G8708 G8709 G8710 G8711 G8712 G8713 G8714
0.7498779 0.7498779 0.7498779 0.7498779 0.7498779 0.7498779 0.7498779 0.7498779
G8715 G8716 G8717 G8718 G8719 G8720 G8721 G8722
0.7498779 0.7498779 0.7498779 0.7498779 0.7498779 0.7498779 0.7499695 0.7499695
G8723 G8724 G8725 G8726 G8727 G8728 G8729 G8730
0.7499695 0.7499695 0.5000000 0.5000000 0.5000000 0.5000000 0.5000000 0.5000000
G8731 G8732 G8733 G8734 G8735 G8736 G8737 G8738
0.5000000 0.5000000 0.5000000 0.5000000 0.5000000 0.5000000 0.5000000 0.5000000
G8739 G8740 G8741 G8742 G8743 G8744 G8745 G8746
0.5000000 0.5000000 0.5000000 0.5000000 0.5000000 0.5000000 0.5000000 0.5000000
G8747 G8748 G8749 G8750 G8751 G8752 G8753 G8754
0.5000000 0.5000000 0.5000000 0.5000000 0.5000000 0.5000000 0.5000000 0.5000000
G8755 G8756 G8757 G8758 G8759 G8760 G8761 G8762
0.5000000 0.5000000 0.5000000 0.5000000 0.5000000 0.5000000 0.5000000 0.5000000
G8763 G8764 G8765 G8766 G8767 G8768 G8769 G8770
0.5000000 0.5000000 0.5000000 0.5000000 0.5000000 0.5000000 0.5000000 0.5000000
G8771 G8772 G8773 G8774 G8775 G8776 G8777 G8778
0.5000000 0.5000000 0.5000000 0.5000000 0.5000000 0.5000000 0.5000000 0.5000000
G8779 G8780 G8781 G8782 G8783 G8784 G8785 G8786
0.5000000 0.5000000 0.5000000 0.5000000 0.5000000 0.5000000 0.5000000 0.5000000
G8787 G8788 G8789 G8790 G8791 G8792 G8793 G8794
0.5000000 0.5000000 0.5000000 0.5000000 0.5000000 0.5000000 0.5000000 0.5000000
G8795 G8796 G8797 G8798 G8799 G8800 G8801 G8802
0.5000000 0.5000000 0.5000000 0.5000000 0.5000000 0.5000000 0.5000000 0.5000000
G8803 G8804 G8805 G8806 G8807 G8808 G8809 G8810
0.5000000 0.5000000 0.5000000 0.5000000 0.5000000 0.5000000 0.5000000 0.5000000
G8811 G8812 G8813 G8814 G8815 G8816 G8817 G8818
0.5000000 0.5000000 0.5000000 0.5000000 0.5000000 0.5000000 0.5000000 0.5000000
G8819 G8820 G8821 G8822 G8823 G8824 G8825 G8826
0.5000000 0.5000000 0.5000000 0.5000000 0.5000000 0.5000000 0.5000000 0.5000000
G8827 G8828 G8829 G8830 G8831 G8832 G8833 G8834
0.5000000 0.5000000 0.5000000 0.5000000 0.5000000 0.5000000 0.5000000 0.5000000
G8835 G8836 G8837 G8838 G8839 G8840 G8841 G8842
0.5000000 0.5000000 0.5000000 0.5000000 0.5000000 0.5000000 0.5000000 0.5000000
G8843 G8844 G8845 G8846 G8847 G8848 G8849 G8850
0.5000000 0.5000000 0.5000000 0.5000000 0.5000000 0.5000000 0.5000000 0.5000000
G8851 G8852 G8853 G8854 G8855 G8856 G8857 G8858
0.5000000 0.5000000 0.5000000 0.5000000 0.5000000 0.5000000 0.5000000 0.5000000
G8859 G8860 G8861 G8862 G8863 G8864 G8865 G8866
0.5000000 0.5000000 0.5000000 0.5000000 0.5000000 0.5000000 0.5000000 0.5000000
G8867 G8868 G8869 G8870 G8871 G8872 G8873 G8874
0.5000000 0.5000000 0.5000000 0.5000000 0.5000000 0.5000000 0.5000000 0.5000000
G8875 G8876 G8877 G8878 G8879 G8880 G8881 G8882
0.5000000 0.5000000 0.5000000 0.5000000 0.5000000 0.5000000 0.5000000 0.5000000
G8883 G8884 G8885 G8886 G8887 G8888 G8889 G8890
0.5000000 0.5000000 0.7498779 0.7498779 0.7498779 0.7498779 0.7498779 0.7498779
G8891 G8892 G8893 G8894 G8895 G8896 G8897 G8898
0.7498779 0.7498779 0.7498779 0.7498779 0.7498779 0.7498779 0.7498779 0.7498779
G8899 G8900 G8901 G8902 G8903 G8904 G8905 G8906
0.7498779 0.7498779 0.7498779 0.7498779 0.7498779 0.7498779 0.7498779 0.7498779
G8907 G8908 G8909 G8910 G8911 G8912 G8913 G8914
0.7498779 0.7498779 0.7498779 0.7498779 0.7498779 0.7498779 0.7498779 0.7498779
G8915 G8916 G8917 G8918 G8919 G8920 G8921 G8922
0.7498779 0.7498779 0.7498779 0.7498779 0.7498779 0.7498779 0.7498779 0.7498779
G8923 G8924 G8925 G8926 G8927 G8928 G8929 G8930
0.7498779 0.7498779 0.7498779 0.7498779 0.7498779 0.7498779 0.7498779 0.7498779
G8931 G8932 G8933 G8934 G8935 G8936 G8937 G8938
0.6362305 0.6362305 0.6362305 0.6362305 0.6362305 0.6362305 0.6362305 0.6362305
G8939 G8940 G8941 G8942 G8943 G8944 G8945 G8946
0.6362305 0.6362305 0.6362305 0.6362305 0.6362305 0.6362305 0.6362305 0.6362305
G8947 G8948 G8949 G8950 G8951 G8952 G8953 G8954
0.6362305 0.6362305 0.6362305 0.6362305 0.6362305 0.6362305 0.6362305 0.6362305
G8955 G8956 G8957 G8958 G8959 G8960 G8961 G8962
0.6362305 0.6362305 0.6362305 0.6362305 0.6362305 0.6362305 0.6362305 0.6362305
G8963 G8964 G8965 G8966 G8967 G8968 G8969 G8970
0.6362305 0.6362305 0.6362305 0.5000000 0.5000000 0.5000000 0.5000000 0.5000000
G8971 G8972 G8973 G8974 G8975 G8976 G8977 G8978
0.5000000 0.5000000 0.5000000 0.5000000 0.5000000 0.5000000 0.5000000 0.5000000
G8979 G8980 G8981 G8982 G8983 G8984 G8985 G8986
0.5000000 0.5000000 0.5000000 0.5000000 0.5000000 0.5000000 0.5000000 0.5000000
G8987 G8988 G8989 G8990 G8991 G8992 G8993 G8994
0.5000000 0.5000000 0.5000000 0.5000000 0.5000000 0.5000000 0.5000000 0.5000000
G8995 G8996 G8997 G8998 G8999 G9000 G9001 G9002
0.5000000 0.5000000 0.5000000 0.5000000 0.5000000 0.5000000 0.5000000 0.5000000
G9003 G9004 G9005 G9006 G9007 G9008 G9009 G9010
0.5000000 0.5000000 0.5000000 0.5000000 0.5000000 0.5000000 0.5000000 0.5000000
G9011 G9012 G9013 G9014 G9015 G9016 G9017 G9018
0.5000000 0.5000000 0.5000000 0.5000000 0.5000000 0.5000000 0.5000000 0.5000000
G9019 G9020 G9021 G9022 G9023 G9024 G9025 G9026
0.5000000 0.5000000 0.5000000 0.5000000 0.5000000 0.5000000 0.5000000 0.5000000
G9027 G9028 G9029 G9030 G9031 G9032 G9033 G9034
0.5000000 0.5000000 0.5000000 0.5000000 0.5000000 0.5000000 0.5000000 0.5000000
G9035 G9036 G9037 G9038 G9039 G9040 G9041 G9042
0.5000000 0.5000000 0.5000000 0.5000000 0.5000000 0.5000000 0.5000000 0.5000000
G9043 G9044 G9045 G9046 G9047 G9048 G9049 G9050
0.5000000 0.5000000 0.5000000 0.5000000 0.5000000 0.5000000 0.5000000 0.5000000
G9051 G9052 G9053 G9054 G9055 G9056 G9057 G9058
0.5000000 0.5000000 0.5000000 0.5000000 0.5000000 0.5000000 0.5000000 0.5000000
G9059 G9060 G9061 G9062 G9063 G9064 G9065 G9066
0.5000000 0.5000000 0.5000000 0.5000000 0.5000000 0.5000000 0.5000000 0.5000000
G9067 G9068 G9069 G9070 G9071 G9072 G9073 G9074
0.5000000 0.5000000 0.5000000 0.5000000 0.5000000 0.5000000 0.5000000 0.5000000
G9075 G9076 G9077 G9078 G9079 G9080 G9081 G9082
0.5000000 0.5000000 0.5000000 0.5000000 0.5000000 0.5000000 0.5000000 0.5000000
G9083 G9084 G9085 G9086 G9087 G9088 G9089 G9090
0.5000000 0.5000000 0.5000000 0.5000000 0.5000000 0.5000000 0.5000000 0.5000000
G9091 G9092 G9093 G9094 G9095 G9096 G9097 G9098
0.5000000 0.5000000 0.5000000 0.5000000 0.5000000 0.5000000 0.5000000 0.5000000
G9099 G9100 G9101 G9102 G9103 G9104 G9105 G9106
0.5000000 0.5000000 0.5000000 0.5000000 0.5000000 0.5000000 0.5000000 0.5000000
G9107 G9108 G9109 G9110 G9111 G9112 G9113 G9114
0.5000000 0.5000000 0.5000000 0.5000000 0.5000000 0.5000000 0.5000000 0.5000000
G9115 G9116 G9117 G9118 G9119 G9120 G9121 G9122
0.5000000 0.5000000 0.5000000 0.5000000 0.5000000 0.5000000 0.5000000 0.5000000
G9123 G9124 G9125 G9126 G9127 G9128 G9129 G9130
0.5000000 0.5000000 0.5000000 0.5000000 0.5000000 0.5000000 0.5000000 0.5000000
G9131 G9132 G9133 G9134 G9135 G9136 G9137 G9138
0.5000000 0.5000000 0.5000000 0.5000000 0.5000000 0.5000000 0.5000000 0.5000000
G9139 G9140 G9141 G9142 G9143 G9144 G9145 G9146
0.5000000 0.5000000 0.5000000 0.5000000 0.5000000 0.5000000 0.5000000 0.5000000
G9147 G9148 G9149 G9150 G9151 G9152 G9153 G9154
0.5000000 0.5000000 0.5000000 0.5000000 0.5000000 0.5000000 0.5000000 0.5000000
G9155 G9156 G9157 G9158 G9159 G9160 G9161 G9162
0.5000000 0.5000000 0.5000000 0.5000000 0.5000000 0.5000000 0.5000000 0.5000000
G9163 G9164 G9165 G9166 G9167 G9168 G9169 G9170
0.5000000 0.5000000 0.5000000 0.5000000 0.5000000 0.5000000 0.5000000 0.5000000
G9171 G9172 G9173 G9174 G9175 G9176 G9177 G9178
0.5000000 0.5000000 0.5000000 0.5000000 0.5000000 0.5000000 0.5000000 0.5000000
G9179 G9180 G9181 G9182 G9183 G9184 G9185 G9186
0.5000000 0.5000000 0.5000000 0.5000000 0.5000000 0.5000000 0.5000000 0.5000000
G9187 G9188 G9189 G9190 G9191 G9192 G9193 G9194
0.5000000 0.5000000 0.5000000 0.5000000 0.5000000 0.5000000 0.5000000 0.5000000
G9195 G9196 G9197 G9198 G9199 G9200 G9201 G9202
0.5000000 0.5000000 0.5000000 0.5000000 0.5000000 0.5000000 0.5000000 0.5000000
G9203 G9204 G9205 G9206 G9207 G9208 G9209 G9210
0.5000000 0.5000000 0.5000000 0.5000000 0.5000000 0.5000000 0.5000000 0.5000000
G9211 G9212 G9213 G9214 G9215 G9216 G9217 G9218
0.5000000 0.5000000 0.5000000 0.5000000 0.5000000 0.5000000 0.5000000 0.5000000
G9219 G9220 G9221 G9222 G9223 G9224 G9225 G9226
0.5000000 0.5000000 0.5000000 0.5000000 0.5000000 0.5000000 0.5000000 0.5000000
G9227 G9228 G9229 G9230 G9231 G9232 G9233 G9234
0.5000000 0.5000000 0.5000000 0.5000000 0.5000000 0.5000000 0.5000000 0.5000000
G9235 G9236 G9237 G9238 G9239 G9240 G9241 G9242
0.5000000 0.5000000 0.5000000 0.5000000 0.5000000 0.5000000 0.5000000 0.5000000
G9243 G9244 G9245 G9246 G9247 G9248 G9249 G9250
0.5000000 0.5000000 0.5000000 0.5000000 0.5000000 0.5000000 0.5000000 0.5000000
G9251 G9252 G9253 G9254 G9255 G9256 G9257 G9258
0.5000000 0.5000000 0.5000000 0.5000000 0.5000000 0.5000000 0.5000000 0.5000000
G9259 G9260 G9261 G9262 G9263 G9264 G9265 G9266
0.5000000 0.5000000 0.5000000 0.5000000 0.5000000 0.5000000 0.5000000 0.5000000
G9267 G9268 G9269 G9270 G9271 G9272 G9273 G9274
0.5000000 0.5000000 0.5000000 0.5000000 0.5000000 0.5000000 0.5000000 0.5000000
G9275 G9276 G9277 G9278 G9279 G9280 G9281 G9282
0.5000000 0.5000000 0.5000000 0.5000000 0.5000000 0.5000000 0.5000000 0.5000000
G9283 G9284 G9285 G9286 G9287 G9288 G9289 G9290
0.5000000 0.5000000 0.5000000 0.5000000 0.5000000 0.5000000 0.7419434 0.7419434
G9291 G9292 G9293 G9294 G9295 G9296 G9297 G9298
0.7419434 0.7419434 0.7419434 0.7419434 0.7419434 0.7419434 0.7419434 0.7419434
G9299 G9300 G9301 G9302 G9303 G9304 G9305 G9306
0.7419434 0.7419434 0.7419434 0.7419434 0.7419434 0.7419434 0.7419434 0.7419434
G9307 G9308 G9309 G9310 G9311 G9312 G9313 G9314
0.7419434 0.7419434 0.7419434 0.7343750 0.7343750 0.7343750 0.7343750 0.7343750
G9315 G9316 G9317 G9318 G9319 G9320 G9321 G9322
0.7343750 0.7343750 0.7343750 0.7343750 0.5000000 0.5000000 0.5000000 0.5000000
G9323 G9324 G9325 G9326 G9327 G9328 G9329 G9330
0.5000000 0.5000000 0.5000000 0.5000000 0.6362305 0.6362305 0.6362305 0.6362305
G9331 G9332 G9333
0.6362305 0.6362305 0.6362305
attr(,"logdet")
[1] -2392.541
attr(,"rowNames")
[1] "G9334" "G9335" "G9336" "G9337" "G9338" "G9339" "G9340" "G9341" "G9342"
[10] "G9343" "G9344" "G9345" "G9346" "G9347" "G9348" "G9349" "G9350" "G9351"
[19] "G9352" "G9353" "G9354" "G9355" "G9356" "G9357" "G9358" "G9359" "G9360"
[28] "G9361" "G9362" "G9363" "G9364" "G9365" "G9366" "G9367" "G9368" "G9369"
[37] "G9370" "G9371" "G9372" "G9373" "G9374" "G9375" "G9376" "G9377" "G9378"
[46] "G9379" "G9380" "G9381" "G9382" "G9383" "G9384" "G9385" "G9386" "G9387"
[55] "G9388" "G9389" "G9390" "G9391" "G9392" "G9393" "G9394" "G9395" "G9396"
[64] "G9397" "G9398" "G9399" "G9400" "G9401" "G9402" "G9403" "G9404" "G9405"
[73] "G9406" "G9407" "G9408" "G9409" "G9410" "G9411" "G9412" "G9413" "G9414"
[82] "G9415" "G9416" "G9417" "G9418" "G9419" "G9420" "G9421" "G9422" "G9423"
[91] "G9424" "G9425" "G9426" "G9427" "G9428" "G9429" "G9430" "G9431" "G9432"
[100] "G9433" "G9434" "G9435" "G9436" "G9437" "G9438" "G9439" "G9440" "G9441"
[109] "G9442" "G9443" "G9444" "G9445" "G9446" "G9447" "G9448" "G9449" "G9450"
[118] "G9451" "G9452" "G9453" "G9454" "G9455" "G9456" "G9457" "G9458" "G9459"
[127] "G9460" "G9461" "G9462" "G9463" "G9464" "G9465" "G9466" "G9467" "G9468"
[136] "G9469" "G9470" "G9471" "G9472" "G9473" "G9474" "G9475" "G9476" "G9477"
[145] "G9478" "G9479" "G9480" "G9481" "G9482" "G9483" "G9484" "G9485" "G9486"
[154] "G9487" "G9488" "G9489" "G9490" "G9491" "G9492" "G9493" "G9494" "G9495"
[163] "G9496" "G9497" "G9498" "G9499" "G9500" "G9501" "G9502" "G9503" "G9504"
[172] "G9505" "G9506" "G9507" "G9508" "G9509" "G9510" "G9511" "G9512" "G9513"
[181] "G9514" "G9515" "G9516" "G9517" "G9518" "G9519" "G9520" "G9521" "G9522"
[190] "G9523" "G9524" "G9525" "G9526" "G9527" "G9528" "G9529" "G9530" "G9531"
[199] "G9532" "G9533" "G9534" "G9535" "G9536" "G9537" "G9538" "G9539" "G9540"
[208] "G9541" "G9542" "G9543" "G9544" "G9545" "G9546" "G9547" "G9548" "G9549"
[217] "G9550" "G9551" "G9552" "G9553" "G9554" "G9555" "G9556" "G9557" "G9558"
[226] "G9559" "G9560" "G9561" "G9562" "G9563" "G9564" "G9565" "G9566" "G9567"
[235] "G9568" "G9569" "G9570" "G9571" "G9572" "G9573" "G9574" "G9575" "G9576"
[244] "G9577" "G9578" "G9579" "G9580" "G9581" "G9582" "G9583" "G9584" "G9585"
[253] "G9586" "G9587" "G9588" "G9589" "G9590" "G9591" "G9592" "G9593" "G9594"
[262] "G9595" "G9596" "G9597" "G9598" "G9599" "G9600" "G9601" "G9602" "G9603"
[271] "G9604" "G9605" "G9606" "G9607" "G9608" "G9609" "G9610" "G9611" "G9612"
[280] "G9613" "G9614" "G9615" "G9616" "G9617" "G9618" "G9619" "G9620" "G9621"
[289] "G9622" "G9623" "G9624" "G9625" "G9626" "G9627" "G9628" "G9629" "G9630"
[298] "G9631" "G9632" "G9633" "G9634" "G9635" "G9636" "G9637" "G9638" "G9639"
[307] "G9640" "G9641" "G9642" "G9643" "G9644" "G9645" "G9646" "G9647" "G9648"
[316] "G9649" "G9650" "G9651" "G9652" "G9653" "G9654" "G9655" "G9656" "G9657"
[325] "G9658" "G9659" "G9660" "G9661" "G9662" "G9663" "G9664" "G9665" "G9666"
[334] "G9667" "G9668" "G9669" "G9670" "G9671" "G9672" "G9673" "G9674" "G9675"
[343] "G9676" "G9677" "G9678" "G9679" "G9680" "G9681" "G9682" "G9683" "G9684"
[352] "G9685" "G9686" "G9687" "G9688" "G9689" "G9690" "G9691" "G9692" "G9693"
[361] "G9694" "G9695" "G9696" "G9697" "G9698" "G9699" "G9700" "G9701" "G9702"
[370] "G9703" "G9704" "G9705" "G9706" "G9707" "G9708" "G9709" "G9710" "G9711"
[379] "G9712" "G9713" "G9714" "G9715" "G9716" "G9717" "G9718" "G9719" "G9720"
[388] "G9721" "G9722" "G9723" "G9724" "G9725" "G9726" "G9727" "G9728" "G9729"
[397] "G9730" "G9731" "G9732" "G9733" "G9734" "G9735" "G9736" "G9737" "G9738"
[406] "G9739" "G9740" "G9741" "G9742" "G9743" "G9744" "G9745" "G9746" "G9747"
[415] "G9748" "G9749" "G9750" "G9751" "G9752" "G9753" "G9754" "G9755" "G9756"
[424] "G9757" "G9758" "G9759" "G9760" "G9761" "G9762" "G9763" "G9764" "G9765"
[433] "G9766" "G9767" "G9768" "G9769" "G9770" "G9771" "G9772" "G9773" "G9774"
[442] "G9775" "G9776" "G9777" "G9778" "G9779" "G9780" "G9781" "G9782" "G9783"
[451] "G9784" "G9785" "G9786" "G9787" "G9788" "G9789" "G9790" "G9791" "G9792"
[460] "G9793" "G9794" "G9795" "G9796" "G9797" "G9798" "G9799" "G9800" "G9801"
[469] "G9802" "G9803" "G9804" "G9805" "G9806" "G9807" "G9808" "G9809" "G9810"
[478] "G9811" "G9812" "G9813" "G9814" "G9815" "G9816" "G9817" "G9818" "G9819"
[487] "G9820" "G9821" "G9822" "G9823" "G9824" "G9825" "G9826" "G9827" "G9828"
[496] "G9829" "G9830" "G9831" "G9832" "G9833" "G9834" "G9835" "G9836" "G9837"
[505] "G9838" "G9839" "G9840" "G9841" "G9842" "G9843" "G9844" "G9845" "G9846"
[514] "G9847" "G9848" "G9849" "G9850" "G9851" "G9852" "G9853" "G9854" "G9855"
[523] "G9856" "G9857" "G9858" "G9859" "G9860" "G9861" "G9862" "G9863" "G9864"
[532] "G9865" "G9866" "G9867" "G9868" "G9869" "G9870" "G9871" "G9872" "G9873"
[541] "G9874" "G9875" "G9876" "G9877" "G9878" "G9879" "G9880" "G9881" "G9882"
[550] "G9883" "G9884" "G9885" "G9886" "G9887" "G9888" "G9889" "G9890" "G9891"
[559] "G9892" "G9893" "G9894" "G9895" "G9896" "G9897" "G9898" "G9899" "G9900"
[568] "G9901" "G9902" "G9903" "G9904" "G9905" "G9906" "G9907" "G9908" "G9909"
[577] "G9910" "G9911" "G9912" "G9913" "G9914" "G9915" "G9916" "G9917" "G9918"
[586] "G9919" "G9920" "G9921" "G9922" "G9923" "G9924" "G9925" "G9926" "G9927"
[595] "G9928" "G9929" "G9930" "G9931" "G9932" "G9933" "G9934" "G9935" "G9936"
[604] "G9937" "G9938" "G9939" "G0004" "G0008" "G0011" "G0323" "G0010" "G0324"
[613] "G0325" "G0009" "G0006" "G0326" "G0013" "G0327" "G0003" "G0328" "G0329"
[622] "G0322" "G0330" "G0331" "G0332" "G0333" "G0334" "G0335" "G0336" "G0001"
[631] "G0337" "G0338" "G0339" "G0340" "G0341" "G0342" "G0343" "G0344" "G0345"
[640] "G0346" "G0347" "G0348" "G0349" "G0350" "G0351" "G0352" "G0353" "G0354"
[649] "G0355" "G0356" "G0005" "G0357" "G0358" "G0359" "G0360" "G0361" "G0362"
[658] "G0363" "G0364" "G0365" "G0366" "G0367" "G0368" "G0369" "G0370" "G0371"
[667] "G0372" "G0373" "G0374" "G0375" "G0376" "G0377" "G0378" "G0379" "G0380"
[676] "G0381" "G0382" "G0383" "G0384" "G0385" "G0386" "G0387" "G0388" "G0389"
[685] "G0390" "G0391" "G0392" "G0002" "G0014" "G0393" "G0394" "G0395" "G0396"
[694] "G0397" "G0398" "G0399" "G0400" "G0401" "G0402" "G0403" "G0404" "G0405"
[703] "G0406" "G0407" "G0408" "G0409" "G0410" "G0411" "G0412" "G0413" "G0414"
[712] "G0415" "G0416" "G0417" "G0418" "G0419" "G0420" "G0421" "G0422" "G0423"
[721] "G0424" "G0425" "G0426" "G0427" "G0428" "G0429" "G0430" "G0431" "G0432"
[730] "G0433" "G0434" "G0435" "G0436" "G0437" "G0438" "G0439" "G0440" "G0441"
[739] "G0442" "G0443" "G0444" "G0445" "G0446" "G0447" "G0448" "G0449" "G0450"
[748] "G0451" "G0452" "G0453" "G0454" "G0455" "G0456" "G0457" "G0458" "G0459"
[757] "G0460" "G0461" "G0462" "G0463" "G0464" "G0465" "G0466" "G0467" "G0468"
[766] "G0469" "G0470" "G0471" "G0472" "G0473" "G0474" "G0475" "G0476" "G0477"
[775] "G0478" "G0479" "G0480" "G0481" "G0482" "G0483" "G0484" "G0485" "G0486"
[784] "G0487" "G0488" "G0489" "G0490" "G0491" "G0492" "G0493" "G0494" "G0495"
[793] "G0496" "G0497" "G0498" "G0499" "G0500" "G0501" "G0502" "G0503" "G0504"
[802] "G0505" "G0506" "G0507" "G0508" "G0509" "G0510" "G0511" "G0512" "G0513"
[811] "G0514" "G0515" "G0516" "G0517" "G0518" "G0519" "G0520" "G0521" "G0522"
[820] "G0523" "G0524" "G0525" "G0526" "G0527" "G0528" "G0529" "G0530" "G0531"
[829] "G0532" "G0533" "G0534" "G0535" "G0536" "G0537" "G0538" "G0539" "G0540"
[838] "G0541" "G0542" "G0543" "G0544" "G0545" "G0546" "G0547" "G0548" "G0549"
[847] "G0550" "G0551" "G0552" "G0553" "G0554" "G0555" "G0556" "G0557" "G0558"
[856] "G0559" "G0560" "G0561" "G0562" "G0563" "G0564" "G0565" "G0566" "G0567"
[865] "G0568" "G0569" "G0570" "G0571" "G0572" "G0573" "G0574" "G0575" "G0576"
[874] "G0577" "G0578" "G0579" "G0580" "G0581" "G0582" "G0583" "G0584" "G0585"
[883] "G0586" "G0587" "G0588" "G0589" "G0590" "G0591" "G0592" "G0593" "G0594"
[892] "G0595" "G0596" "G0597" "G0598" "G0599" "G0600" "G0601" "G0602" "G0603"
[901] "G0604" "G0605" "G0606" "G0607" "G0608" "G0017" "G0609" "G0610" "G0611"
[910] "G0612" "G0613" "G0614" "G0615" "G0616" "G0617" "G0618" "G0619" "G0620"
[919] "G0621" "G0018" "G0622" "G0623" "G0624" "G0625" "G0626" "G0627" "G0628"
[928] "G0629" "G0630" "G0631" "G0632" "G0633" "G0634" "G0635" "G0636" "G0637"
[937] "G0638" "G0639" "G0640" "G0641" "G0642" "G0643" "G0644" "G0645" "G0646"
[946] "G0647" "G0648" "G0649" "G0650" "G0651" "G0652" "G0653" "G0654" "G0655"
[955] "G0656" "G0019" "G0020" "G0021" "G0022" "G0657" "G0658" "G0659" "G0660"
[964] "G0661" "G0662" "G0663" "G0664" "G0665" "G0666" "G0667" "G0668" "G0669"
[973] "G0670" "G0671" "G0672" "G0673" "G0674" "G0675" "G0676" "G0677" "G0678"
[982] "G0679" "G0680" "G0681" "G0682" "G0683" "G0684" "G0685" "G0686" "G0687"
[991] "G0688" "G0689" "G0690" "G0691" "G0692" "G0693" "G0694" "G0695" "G0696"
[1000] "G0697" "G0698" "G0699" "G0700" "G0701" "G0702" "G0703" "G0704" "G0705"
[1009] "G0706" "G0707" "G0708" "G0709" "G0710" "G0711" "G0712" "G0713" "G0714"
[1018] "G0715" "G0716" "G0717" "G0718" "G0719" "G0720" "G0721" "G0722" "G0723"
[1027] "G0724" "G0725" "G0726" "G0727" "G0728" "G0729" "G0730" "G0731" "G0732"
[1036] "G0733" "G0734" "G0735" "G0736" "G0737" "G0738" "G0739" "G0740" "G0741"
[1045] "G0742" "G0743" "G0744" "G0745" "G0746" "G0747" "G0023" "G0748" "G0749"
[1054] "G0750" "G0751" "G0752" "G0753" "G0754" "G0755" "G0756" "G0024" "G0757"
[1063] "G0758" "G0759" "G0760" "G0761" "G0762" "G0763" "G0764" "G0765" "G0766"
[1072] "G0767" "G0768" "G0769" "G0770" "G0025" "G0771" "G0772" "G0773" "G0774"
[1081] "G0775" "G0776" "G0777" "G0778" "G0026" "G0779" "G0780" "G0781" "G0782"
[1090] "G0783" "G0784" "G0785" "G0786" "G0787" "G0788" "G0789" "G0790" "G0791"
[1099] "G0792" "G0793" "G0794" "G0795" "G0796" "G0797" "G0798" "G0799" "G0800"
[1108] "G0801" "G0802" "G0803" "G0804" "G0805" "G0806" "G0807" "G0808" "G0809"
[1117] "G0810" "G0811" "G0812" "G0813" "G0814" "G0815" "G0816" "G0817" "G0818"
[1126] "G0819" "G0820" "G0821" "G0822" "G0823" "G0824" "G0825" "G0826" "G0827"
[1135] "G0828" "G0027" "G0829" "G0830" "G0831" "G0832" "G0833" "G0834" "G0835"
[1144] "G0836" "G0837" "G0838" "G0839" "G0840" "G0841" "G0842" "G0843" "G0844"
[1153] "G0845" "G0846" "G0847" "G0848" "G0849" "G0850" "G0851" "G0852" "G0853"
[1162] "G0028" "G0854" "G0855" "G0856" "G0857" "G0858" "G0859" "G0860" "G0861"
[1171] "G0862" "G0863" "G0864" "G0865" "G0866" "G0867" "G0868" "G0869" "G0870"
[1180] "G0871" "G0872" "G0873" "G0874" "G0875" "G0876" "G0877" "G0878" "G0879"
[1189] "G0880" "G0881" "G0882" "G0883" "G0029" "G0884" "G0885" "G0886" "G0887"
[1198] "G0888" "G0889" "G0890" "G0891" "G0892" "G0893" "G0894" "G0895" "G0896"
[1207] "G0897" "G0898" "G0899" "G0900" "G0901" "G0902" "G0903" "G0904" "G0905"
[1216] "G0906" "G0907" "G0908" "G0909" "G0910" "G0911" "G0912" "G0913" "G0914"
[1225] "G0915" "G0916" "G0917" "G0918" "G0919" "G0920" "G0921" "G0922" "G0923"
[1234] "G0924" "G0925" "G0926" "G0927" "G0928" "G0929" "G0930" "G0931" "G0932"
[1243] "G0933" "G0934" "G0935" "G0936" "G0937" "G0938" "G0939" "G0940" "G0941"
[1252] "G0942" "G0943" "G0944" "G0945" "G0946" "G0947" "G0948" "G0949" "G0950"
[1261] "G0951" "G0952" "G0953" "G0954" "G0955" "G0956" "G0957" "G0958" "G0959"
[1270] "G0030" "G0960" "G0961" "G0962" "G0963" "G0964" "G0965" "G0966" "G0967"
[1279] "G0968" "G0969" "G0031" "G0970" "G0971" "G0972" "G0973" "G0974" "G0975"
[1288] "G0976" "G0977" "G0978" "G0979" "G0980" "G0981" "G0982" "G0032" "G0983"
[1297] "G0033" "G0984" "G0985" "G0986" "G0987" "G0988" "G0989" "G0990" "G0991"
[1306] "G0992" "G0993" "G0994" "G0995" "G0996" "G0997" "G0998" "G0999" "G1000"
[1315] "G1001" "G1002" "G1003" "G1004" "G1005" "G1006" "G1007" "G1008" "G0034"
[1324] "G1009" "G1010" "G1011" "G1012" "G1013" "G1014" "G1015" "G1016" "G1017"
[1333] "G1018" "G1019" "G1020" "G1021" "G1022" "G1023" "G1024" "G1025" "G1026"
[1342] "G1027" "G1028" "G1029" "G1030" "G1031" "G1032" "G1033" "G1034" "G1035"
[1351] "G1036" "G1037" "G1038" "G1039" "G1040" "G1041" "G1042" "G1043" "G1044"
[1360] "G1045" "G1046" "G1047" "G1048" "G1049" "G1050" "G1051" "G1052" "G1053"
[1369] "G1054" "G1055" "G1056" "G1057" "G1058" "G1059" "G1060" "G1061" "G1062"
[1378] "G1063" "G1064" "G1065" "G1066" "G0035" "G1067" "G1068" "G1069" "G1070"
[1387] "G1071" "G1072" "G1073" "G1074" "G1075" "G1076" "G1077" "G1078" "G1079"
[1396] "G1080" "G1081" "G0036" "G1082" "G1083" "G1084" "G1085" "G0187" "G1086"
[1405] "G1087" "G1088" "G0037" "G1089" "G0038" "G1090" "G1091" "G1092" "G1093"
[1414] "G1094" "G1095" "G1096" "G1097" "G1098" "G1099" "G1100" "G1101" "G1102"
[1423] "G1103" "G1104" "G1105" "G1106" "G1107" "G1108" "G1109" "G1110" "G1111"
[1432] "G1112" "G1113" "G1114" "G1115" "G1116" "G1117" "G1118" "G1119" "G1120"
[1441] "G1121" "G1122" "G1123" "G1124" "G1125" "G1126" "G1127" "G1128" "G0039"
[1450] "G1129" "G1130" "G1131" "G1132" "G1133" "G1134" "G1135" "G1136" "G1137"
[1459] "G1138" "G1139" "G1140" "G1141" "G1142" "G1143" "G1144" "G1145" "G1146"
[1468] "G1147" "G1148" "G1149" "G1150" "G1151" "G1152" "G1153" "G0040" "G1154"
[1477] "G1155" "G1156" "G0041" "G1157" "G1158" "G1159" "G0042" "G1160" "G1161"
[1486] "G0043" "G1162" "G1163" "G1164" "G1165" "G1166" "G1167" "G1168" "G1169"
[1495] "G1170" "G1171" "G1172" "G1173" "G1174" "G1175" "G1176" "G1177" "G1178"
[1504] "G1179" "G1180" "G1181" "G1182" "G1183" "G1184" "G1185" "G1186" "G1187"
[1513] "G1188" "G1189" "G1190" "G1191" "G1192" "G1193" "G1194" "G1195" "G1196"
[1522] "G1197" "G1198" "G0044" "G1199" "G1200" "G1201" "G1202" "G1203" "G1204"
[1531] "G1205" "G0045" "G1206" "G1207" "G1208" "G1209" "G1210" "G1211" "G1212"
[1540] "G1213" "G1214" "G1215" "G1216" "G1217" "G1218" "G1219" "G1220" "G1221"
[1549] "G1222" "G1223" "G1224" "G1225" "G1226" "G1227" "G1228" "G1229" "G1230"
[1558] "G1231" "G1232" "G1233" "G1234" "G0046" "G1235" "G1236" "G1237" "G1238"
[1567] "G1239" "G0047" "G1240" "G1241" "G1242" "G1243" "G1244" "G1245" "G1246"
[1576] "G1247" "G1248" "G0048" "G1249" "G1250" "G1251" "G1252" "G1253" "G1254"
[1585] "G1255" "G1256" "G1257" "G1258" "G1259" "G1260" "G1261" "G1262" "G1263"
[1594] "G1264" "G1265" "G1266" "G1267" "G1268" "G1269" "G1270" "G1271" "G1272"
[1603] "G1273" "G1274" "G1275" "G1276" "G1277" "G1278" "G1279" "G1280" "G1281"
[1612] "G1282" "G1283" "G1284" "G1285" "G1286" "G1287" "G1288" "G1289" "G1290"
[1621] "G1291" "G1292" "G1293" "G1294" "G1295" "G1296" "G1297" "G1298" "G1299"
[1630] "G1300" "G1301" "G1302" "G1303" "G1304" "G1305" "G1306" "G1307" "G1308"
[1639] "G1309" "G1310" "G1311" "G1312" "G1313" "G0049" "G1314" "G1315" "G1316"
[1648] "G1317" "G1318" "G1319" "G1320" "G1321" "G1322" "G1323" "G1324" "G1325"
[1657] "G1326" "G1327" "G1328" "G1329" "G1330" "G0050" "G1331" "G1332" "G1333"
[1666] "G1334" "G1335" "G1336" "G1337" "G1338" "G1339" "G1340" "G1341" "G1342"
[1675] "G1343" "G1344" "G1345" "G1346" "G1347" "G0188" "G1348" "G1349" "G1350"
[1684] "G0051" "G1351" "G1352" "G1353" "G1354" "G1355" "G1356" "G1357" "G1358"
[1693] "G1359" "G1360" "G1361" "G1362" "G1363" "G1364" "G1365" "G1366" "G1367"
[1702] "G1368" "G1369" "G1370" "G1371" "G1372" "G1373" "G1374" "G1375" "G1376"
[1711] "G1377" "G1378" "G1379" "G1380" "G1381" "G1382" "G1383" "G1384" "G1385"
[1720] "G1386" "G1387" "G1388" "G1389" "G1390" "G1391" "G1392" "G1393" "G1394"
[1729] "G1395" "G1396" "G1397" "G1398" "G1399" "G1400" "G1401" "G1402" "G1403"
[1738] "G1404" "G1405" "G1406" "G1407" "G1408" "G1409" "G1410" "G1411" "G1412"
[1747] "G1413" "G1414" "G1415" "G1416" "G1417" "G1418" "G1419" "G1420" "G1421"
[1756] "G1422" "G0052" "G1423" "G1424" "G1425" "G1426" "G1427" "G1428" "G1429"
[1765] "G1430" "G1431" "G0053" "G1432" "G1433" "G1434" "G1435" "G1436" "G1437"
[1774] "G1438" "G1439" "G1440" "G1441" "G1442" "G1443" "G1444" "G1445" "G1446"
[1783] "G1447" "G0054" "G1448" "G1449" "G1450" "G1451" "G1452" "G1453" "G1454"
[1792] "G1455" "G1456" "G1457" "G1458" "G1459" "G1460" "G1461" "G1462" "G1463"
[1801] "G1464" "G1465" "G1466" "G0055" "G1467" "G1468" "G1469" "G1470" "G1471"
[1810] "G1472" "G1473" "G1474" "G1475" "G1476" "G1477" "G1478" "G1479" "G1480"
[1819] "G1481" "G1482" "G1483" "G1484" "G1485" "G1486" "G1487" "G1488" "G1489"
[1828] "G1490" "G1491" "G1492" "G1493" "G1494" "G1495" "G1496" "G1497" "G1498"
[1837] "G1499" "G1500" "G1501" "G1502" "G1503" "G1504" "G1505" "G1506" "G1507"
[1846] "G1508" "G1509" "G1510" "G1511" "G1512" "G1513" "G1514" "G1515" "G1516"
[1855] "G1517" "G1518" "G1519" "G1520" "G1521" "G1522" "G1523" "G1524" "G1525"
[1864] "G1526" "G1527" "G1528" "G1529" "G1530" "G1531" "G1532" "G1533" "G1534"
[1873] "G1535" "G1536" "G1537" "G1538" "G1539" "G1540" "G1541" "G1542" "G1543"
[1882] "G1544" "G1545" "G1546" "G1547" "G1548" "G1549" "G1550" "G1551" "G1552"
[1891] "G1553" "G1554" "G1555" "G1556" "G1557" "G1558" "G1559" "G1560" "G1561"
[1900] "G1562" "G1563" "G1564" "G1565" "G1566" "G1567" "G1568" "G1569" "G1570"
[1909] "G1571" "G1572" "G1573" "G1574" "G1575" "G1576" "G1577" "G1578" "G1579"
[1918] "G1580" "G0056" "G1581" "G1582" "G1583" "G1584" "G1585" "G1586" "G1587"
[1927] "G1588" "G1589" "G1590" "G1591" "G1592" "G1593" "G1594" "G1595" "G1596"
[1936] "G1597" "G1598" "G1599" "G1600" "G1601" "G1602" "G1603" "G1604" "G1605"
[1945] "G1606" "G1607" "G1608" "G1609" "G1610" "G1611" "G1612" "G1613" "G1614"
[1954] "G1615" "G1616" "G1617" "G1618" "G1619" "G1620" "G1621" "G1622" "G1623"
[1963] "G1624" "G1625" "G1626" "G1627" "G1628" "G1629" "G1630" "G1631" "G1632"
[1972] "G1633" "G1634" "G1635" "G1636" "G1637" "G1638" "G1639" "G1640" "G1641"
[1981] "G1642" "G1643" "G1644" "G1645" "G1646" "G1647" "G1648" "G1649" "G1650"
[1990] "G1651" "G1652" "G1653" "G1654" "G1655" "G1656" "G1657" "G1658" "G1659"
[1999] "G1660" "G1661" "G1662" "G1663" "G1664" "G1665" "G1666" "G1667" "G1668"
[2008] "G1669" "G1670" "G1671" "G1672" "G1673" "G1674" "G1675" "G1676" "G1677"
[2017] "G1678" "G1679" "G1680" "G1681" "G1682" "G1683" "G1684" "G1685" "G1686"
[2026] "G1687" "G1688" "G1689" "G1690" "G1691" "G1692" "G1693" "G1694" "G1695"
[2035] "G1696" "G1697" "G1698" "G1699" "G1700" "G1701" "G1702" "G1703" "G1704"
[2044] "G1705" "G1706" "G1707" "G1708" "G1709" "G1710" "G1711" "G1712" "G1713"
[2053] "G1714" "G1715" "G1716" "G1717" "G1718" "G1719" "G1720" "G1721" "G1722"
[2062] "G1723" "G1724" "G1725" "G1726" "G1727" "G1728" "G1729" "G1730" "G1731"
[2071] "G1732" "G1733" "G1734" "G1735" "G1736" "G1737" "G1738" "G1739" "G1740"
[2080] "G1741" "G1742" "G1743" "G1744" "G1745" "G1746" "G1747" "G1748" "G1749"
[2089] "G1750" "G1751" "G1752" "G1753" "G1754" "G1755" "G1756" "G1757" "G1758"
[2098] "G1759" "G1760" "G1761" "G1762" "G1763" "G1764" "G1765" "G1766" "G1767"
[2107] "G1768" "G1769" "G1770" "G1771" "G1772" "G1773" "G1774" "G1775" "G1776"
[2116] "G1777" "G1778" "G1779" "G1780" "G1781" "G1782" "G1783" "G1784" "G1785"
[2125] "G1786" "G1787" "G1788" "G1789" "G1790" "G1791" "G1792" "G1793" "G1794"
[2134] "G1795" "G1796" "G1797" "G1798" "G1799" "G1800" "G1801" "G1802" "G1803"
[2143] "G1804" "G1805" "G1806" "G1807" "G1808" "G1809" "G1810" "G1811" "G0057"
[2152] "G1812" "G1813" "G1814" "G1815" "G1816" "G1817" "G1818" "G1819" "G1820"
[2161] "G1821" "G1822" "G1823" "G1824" "G1825" "G1826" "G1827" "G0058" "G1828"
[2170] "G1829" "G0059" "G1830" "G1831" "G1832" "G0060" "G1833" "G0061" "G1834"
[2179] "G1835" "G1836" "G1837" "G1838" "G1839" "G1840" "G1841" "G1842" "G1843"
[2188] "G1844" "G1845" "G1846" "G1847" "G1848" "G1849" "G1850" "G0062" "G1851"
[2197] "G1852" "G1853" "G1854" "G1855" "G1856" "G1857" "G1858" "G1859" "G1860"
[2206] "G1861" "G1862" "G1863" "G1864" "G1865" "G1866" "G1867" "G1868" "G1869"
[2215] "G1870" "G1871" "G1872" "G0189" "G1873" "G1874" "G1875" "G1876" "G1877"
[2224] "G1878" "G1879" "G1880" "G1881" "G1882" "G1883" "G1884" "G1885" "G1886"
[2233] "G1887" "G1888" "G1889" "G1890" "G1891" "G1892" "G1893" "G1894" "G1895"
[2242] "G0063" "G1896" "G1897" "G1898" "G1899" "G1900" "G1901" "G1902" "G1903"
[2251] "G0064" "G1904" "G1905" "G1906" "G1907" "G1908" "G1909" "G1910" "G1911"
[2260] "G1912" "G1913" "G1914" "G1915" "G1916" "G1917" "G1918" "G1919" "G1920"
[2269] "G1921" "G1922" "G1923" "G1924" "G1925" "G1926" "G1927" "G1928" "G1929"
[2278] "G1930" "G1931" "G1932" "G1933" "G1934" "G1935" "G1936" "G1937" "G1938"
[2287] "G1939" "G1940" "G1941" "G1942" "G1943" "G1944" "G1945" "G1946" "G1947"
[2296] "G1948" "G1949" "G1950" "G1951" "G1952" "G1953" "G1954" "G1955" "G1956"
[2305] "G0065" "G1957" "G1958" "G1959" "G1960" "G1961" "G1962" "G1963" "G1964"
[2314] "G1965" "G1966" "G1967" "G1968" "G1969" "G1970" "G1971" "G1972" "G1973"
[2323] "G1974" "G1975" "G1976" "G1977" "G1978" "G1979" "G1980" "G1981" "G1982"
[2332] "G1983" "G1984" "G1985" "G1986" "G1987" "G1988" "G1989" "G1990" "G1991"
[2341] "G1992" "G1993" "G1994" "G1995" "G1996" "G1997" "G1998" "G1999" "G2000"
[2350] "G2001" "G2002" "G2003" "G2004" "G2005" "G2006" "G2007" "G2008" "G2009"
[2359] "G2010" "G2011" "G2012" "G2013" "G2014" "G2015" "G2016" "G2017" "G2018"
[2368] "G2019" "G2020" "G2021" "G2022" "G2023" "G2024" "G2025" "G2026" "G2027"
[2377] "G2028" "G2029" "G2030" "G2031" "G2032" "G2033" "G0066" "G2034" "G2035"
[2386] "G2036" "G2037" "G2038" "G2039" "G2040" "G2041" "G2042" "G2043" "G2044"
[2395] "G2045" "G2046" "G2047" "G2048" "G2049" "G2050" "G2051" "G2052" "G2053"
[2404] "G2054" "G2055" "G2056" "G2057" "G2058" "G2059" "G2060" "G2061" "G2062"
[2413] "G2063" "G2064" "G2065" "G2066" "G2067" "G2068" "G2069" "G2070" "G2071"
[2422] "G2072" "G2073" "G2074" "G2075" "G2076" "G2077" "G0067" "G2078" "G0068"
[2431] "G2079" "G2080" "G2081" "G2082" "G2083" "G2084" "G2085" "G2086" "G2087"
[2440] "G2088" "G2089" "G2090" "G2091" "G2092" "G2093" "G2094" "G2095" "G2096"
[2449] "G2097" "G2098" "G2099" "G2100" "G2101" "G2102" "G2103" "G2104" "G2105"
[2458] "G2106" "G2107" "G2108" "G2109" "G2110" "G2111" "G2112" "G2113" "G2114"
[2467] "G2115" "G2116" "G2117" "G2118" "G2119" "G2120" "G2121" "G2122" "G0069"
[2476] "G2123" "G2124" "G2125" "G2126" "G2127" "G2128" "G2129" "G2130" "G2131"
[2485] "G2132" "G2133" "G2134" "G2135" "G2136" "G2137" "G2138" "G2139" "G2140"
[2494] "G2141" "G2142" "G2143" "G2144" "G2145" "G2146" "G2147" "G2148" "G2149"
[2503] "G2150" "G2151" "G2152" "G0070" "G2153" "G2154" "G2155" "G2156" "G2157"
[2512] "G2158" "G2159" "G2160" "G2161" "G2162" "G2163" "G0071" "G2164" "G2165"
[2521] "G2166" "G2167" "G2168" "G2169" "G2170" "G2171" "G2172" "G2173" "G2174"
[2530] "G2175" "G2176" "G0072" "G2177" "G2178" "G2179" "G2180" "G2181" "G2182"
[2539] "G2183" "G2184" "G2185" "G2186" "G0073" "G2187" "G2188" "G2189" "G2190"
[2548] "G2191" "G2192" "G2193" "G0074" "G2194" "G2195" "G2196" "G2197" "G2198"
[2557] "G2199" "G0075" "G2200" "G2201" "G2202" "G2203" "G2204" "G2205" "G2206"
[2566] "G2207" "G2208" "G2209" "G0076" "G2210" "G2211" "G2212" "G2213" "G2214"
[2575] "G2215" "G2216" "G2217" "G2218" "G2219" "G2220" "G2221" "G2222" "G2223"
[2584] "G2224" "G2225" "G2226" "G2227" "G2228" "G2229" "G2230" "G2231" "G2232"
[2593] "G2233" "G2234" "G2235" "G2236" "G2237" "G2238" "G0077" "G2239" "G2240"
[2602] "G2241" "G2242" "G2243" "G2244" "G2245" "G2246" "G2247" "G2248" "G2249"
[2611] "G2250" "G2251" "G0078" "G2252" "G2253" "G2254" "G2255" "G2256" "G2257"
[2620] "G2258" "G2259" "G2260" "G2261" "G2262" "G2263" "G2264" "G2265" "G2266"
[2629] "G2267" "G2268" "G0079" "G2269" "G2270" "G2271" "G2272" "G2273" "G2274"
[2638] "G2275" "G2276" "G2277" "G2278" "G2279" "G2280" "G2281" "G2282" "G2283"
[2647] "G2284" "G2285" "G2286" "G2287" "G2288" "G2289" "G2290" "G2291" "G2292"
[2656] "G2293" "G2294" "G2295" "G2296" "G2297" "G2298" "G2299" "G2300" "G2301"
[2665] "G2302" "G2303" "G2304" "G2305" "G2306" "G2307" "G2308" "G2309" "G2310"
[2674] "G2311" "G2312" "G2313" "G2314" "G2315" "G2316" "G2317" "G2318" "G2319"
[2683] "G2320" "G2321" "G2322" "G2323" "G2324" "G2325" "G2326" "G2327" "G2328"
[2692] "G2329" "G2330" "G2331" "G2332" "G2333" "G2334" "G2335" "G2336" "G2337"
[2701] "G2338" "G2339" "G2340" "G2341" "G2342" "G2343" "G2344" "G2345" "G2346"
[2710] "G2347" "G2348" "G2349" "G2350" "G2351" "G2352" "G2353" "G2354" "G2355"
[2719] "G2356" "G2357" "G2358" "G2359" "G2360" "G2361" "G2362" "G2363" "G2364"
[2728] "G2365" "G2366" "G2367" "G2368" "G2369" "G2370" "G2371" "G2372" "G2373"
[2737] "G2374" "G2375" "G2376" "G2377" "G2378" "G2379" "G2380" "G2381" "G2382"
[2746] "G2383" "G2384" "G2385" "G2386" "G2387" "G2388" "G2389" "G2390" "G2391"
[2755] "G2392" "G2393" "G2394" "G2395" "G2396" "G2397" "G2398" "G2399" "G2400"
[2764] "G2401" "G2402" "G2403" "G2404" "G2405" "G2406" "G2407" "G2408" "G2409"
[2773] "G2410" "G2411" "G2412" "G2413" "G2414" "G2415" "G2416" "G2417" "G2418"
[2782] "G2419" "G2420" "G2421" "G2422" "G2423" "G2424" "G2425" "G2426" "G2427"
[2791] "G2428" "G0080" "G2429" "G2430" "G2431" "G2432" "G2433" "G2434" "G2435"
[2800] "G2436" "G2437" "G2438" "G2439" "G2440" "G2441" "G2442" "G2443" "G2444"
[2809] "G2445" "G2446" "G2447" "G2448" "G2449" "G2450" "G2451" "G2452" "G2453"
[2818] "G2454" "G2455" "G2456" "G2457" "G2458" "G2459" "G2460" "G2461" "G2462"
[2827] "G2463" "G2464" "G2465" "G2466" "G2467" "G2468" "G2469" "G2470" "G2471"
[2836] "G2472" "G2473" "G2474" "G2475" "G2476" "G2477" "G2478" "G2479" "G2480"
[2845] "G2481" "G2482" "G2483" "G2484" "G2485" "G2486" "G2487" "G2488" "G2489"
[2854] "G2490" "G2491" "G2492" "G0081" "G2493" "G0082" "G2494" "G2495" "G2496"
[2863] "G2497" "G2498" "G2499" "G2500" "G2501" "G2502" "G2503" "G2504" "G2505"
[2872] "G2506" "G2507" "G2508" "G2509" "G2510" "G2511" "G2512" "G2513" "G2514"
[2881] "G2515" "G2516" "G2517" "G2518" "G2519" "G2520" "G2521" "G0083" "G2522"
[2890] "G2523" "G2524" "G2525" "G2526" "G2527" "G2528" "G2529" "G2530" "G2531"
[2899] "G2532" "G2533" "G2534" "G2535" "G2536" "G2537" "G2538" "G2539" "G2540"
[2908] "G2541" "G2542" "G2543" "G2544" "G0084" "G2545" "G2546" "G2547" "G2548"
[2917] "G2549" "G2550" "G2551" "G2552" "G2553" "G2554" "G2555" "G2556" "G2557"
[2926] "G2558" "G2559" "G2560" "G0085" "G2561" "G2562" "G2563" "G2564" "G2565"
[2935] "G2566" "G2567" "G2568" "G2569" "G2570" "G2571" "G2572" "G2573" "G2574"
[2944] "G2575" "G2576" "G2577" "G2578" "G2579" "G2580" "G2581" "G2582" "G2583"
[2953] "G2584" "G2585" "G2586" "G2587" "G2588" "G2589" "G0086" "G2590" "G0087"
[2962] "G2591" "G2592" "G2593" "G2594" "G2595" "G2596" "G2597" "G2598" "G2599"
[2971] "G2600" "G2601" "G2602" "G2603" "G2604" "G2605" "G2606" "G2607" "G2608"
[2980] "G2609" "G2610" "G2611" "G2612" "G2613" "G2614" "G2615" "G2616" "G2617"
[2989] "G2618" "G2619" "G2620" "G2621" "G2622" "G2623" "G2624" "G2625" "G2626"
[2998] "G2627" "G2628" "G2629" "G2630" "G0088" "G2631" "G2632" "G2633" "G2634"
[3007] "G2635" "G2636" "G2637" "G0089" "G0090" "G2638" "G2639" "G2640" "G2641"
[3016] "G2642" "G2643" "G2644" "G2645" "G2646" "G2647" "G0091" "G2648" "G2649"
[3025] "G2650" "G2651" "G2652" "G2653" "G2654" "G0092" "G2655" "G2656" "G2657"
[3034] "G2658" "G2659" "G2660" "G2661" "G2662" "G2663" "G2664" "G2665" "G2666"
[3043] "G2667" "G2668" "G2669" "G2670" "G2671" "G2672" "G2673" "G2674" "G2675"
[3052] "G2676" "G2677" "G2678" "G2679" "G2680" "G2681" "G2682" "G2683" "G2684"
[3061] "G2685" "G2686" "G2687" "G2688" "G2689" "G2690" "G2691" "G0093" "G2692"
[3070] "G2693" "G2694" "G2695" "G2696" "G2697" "G2698" "G2699" "G2700" "G2701"
[3079] "G2702" "G2703" "G2704" "G2705" "G2706" "G2707" "G2708" "G2709" "G2710"
[3088] "G2711" "G2712" "G2713" "G2714" "G2715" "G2716" "G2717" "G2718" "G2719"
[3097] "G2720" "G2721" "G2722" "G2723" "G2724" "G2725" "G0094" "G2726" "G2727"
[3106] "G2728" "G2729" "G2730" "G2731" "G2732" "G2733" "G2734" "G2735" "G2736"
[3115] "G2737" "G2738" "G2739" "G2740" "G2741" "G2742" "G2743" "G0095" "G2744"
[3124] "G2745" "G2746" "G2747" "G2748" "G2749" "G2750" "G2751" "G2752" "G2753"
[3133] "G2754" "G2755" "G2756" "G2757" "G2758" "G2759" "G2760" "G2761" "G2762"
[3142] "G2763" "G2764" "G2765" "G2766" "G2767" "G2768" "G2769" "G2770" "G2771"
[3151] "G2772" "G2773" "G2774" "G2775" "G2776" "G2777" "G2778" "G2779" "G2780"
[3160] "G2781" "G2782" "G2783" "G2784" "G2785" "G2786" "G2787" "G2788" "G2789"
[3169] "G2790" "G2791" "G2792" "G2793" "G2794" "G2795" "G2796" "G2797" "G2798"
[3178] "G0096" "G2799" "G2800" "G2801" "G2802" "G2803" "G2804" "G2805" "G2806"
[3187] "G0097" "G2807" "G2808" "G2809" "G2810" "G2811" "G2812" "G2813" "G2814"
[3196] "G2815" "G2816" "G2817" "G2818" "G2819" "G0098" "G2820" "G2821" "G2822"
[3205] "G2823" "G2824" "G2825" "G2826" "G2827" "G2828" "G2829" "G2830" "G2831"
[3214] "G2832" "G2833" "G2834" "G2835" "G2836" "G2837" "G2838" "G2839" "G2840"
[3223] "G2841" "G2842" "G2843" "G2844" "G2845" "G2846" "G2847" "G2848" "G2849"
[3232] "G2850" "G2851" "G2852" "G2853" "G2854" "G2855" "G2856" "G2857" "G2858"
[3241] "G2859" "G2860" "G2861" "G2862" "G2863" "G2864" "G2865" "G2866" "G2867"
[3250] "G2868" "G2869" "G2870" "G2871" "G2872" "G2873" "G2874" "G2875" "G2876"
[3259] "G2877" "G2878" "G2879" "G2880" "G2881" "G2882" "G2883" "G2884" "G2885"
[3268] "G2886" "G2887" "G2888" "G2889" "G2890" "G2891" "G2892" "G0099" "G2893"
[3277] "G2894" "G2895" "G2896" "G2897" "G2898" "G2899" "G2900" "G2901" "G2902"
[3286] "G2903" "G2904" "G0100" "G2905" "G2906" "G2907" "G2908" "G2909" "G2910"
[3295] "G2911" "G2912" "G2913" "G2914" "G2915" "G2916" "G2917" "G0101" "G2918"
[3304] "G2919" "G2920" "G2921" "G2922" "G2923" "G2924" "G2925" "G2926" "G2927"
[3313] "G2928" "G2929" "G2930" "G2931" "G2932" "G2933" "G2934" "G2935" "G2936"
[3322] "G2937" "G2938" "G2939" "G2940" "G2941" "G2942" "G2943" "G2944" "G2945"
[3331] "G2946" "G2947" "G2948" "G2949" "G2950" "G0102" "G2951" "G2952" "G2953"
[3340] "G2954" "G2955" "G2956" "G2957" "G2958" "G2959" "G2960" "G2961" "G2962"
[3349] "G2963" "G2964" "G2965" "G2966" "G2967" "G2968" "G2969" "G2970" "G2971"
[3358] "G2972" "G2973" "G2974" "G2975" "G2976" "G2977" "G2978" "G2979" "G2980"
[3367] "G2981" "G2982" "G2983" "G2984" "G2985" "G2986" "G2987" "G2988" "G2989"
[3376] "G2990" "G2991" "G0103" "G2992" "G2993" "G2994" "G2995" "G2996" "G2997"
[3385] "G2998" "G2999" "G3000" "G3001" "G3002" "G0104" "G3003" "G3004" "G3005"
[3394] "G0105" "G0106" "G0107" "G0108" "G0109" "G0190" "G0110" "G0111" "G0112"
[3403] "G0113" "G0114" "G0115" "G0116" "G0117" "G3006" "G3007" "G3008" "G3009"
[3412] "G3010" "G3011" "G3012" "G3013" "G3014" "G3015" "G3016" "G3017" "G3018"
[3421] "G3019" "G3020" "G3021" "G3022" "G3023" "G3024" "G3025" "G3026" "G3027"
[3430] "G3028" "G3029" "G3030" "G3031" "G3032" "G3033" "G3034" "G3035" "G3036"
[3439] "G3037" "G3038" "G3039" "G3040" "G3041" "G3042" "G3043" "G3044" "G3045"
[3448] "G3046" "G3047" "G3048" "G3049" "G3050" "G3051" "G3052" "G3053" "G3054"
[3457] "G0118" "G3055" "G3056" "G3057" "G3058" "G3059" "G0119" "G3060" "G3061"
[3466] "G3062" "G3063" "G3064" "G3065" "G3066" "G0120" "G0121" "G0122" "G0123"
[3475] "G0124" "G3067" "G3068" "G3069" "G3070" "G3071" "G3072" "G3073" "G3074"
[3484] "G3075" "G3076" "G3077" "G3078" "G3079" "G3080" "G3081" "G3082" "G0125"
[3493] "G3083" "G3084" "G3085" "G3086" "G0126" "G0127" "G0128" "G3087" "G3088"
[3502] "G3089" "G3090" "G3091" "G3092" "G3093" "G3094" "G3095" "G3096" "G3097"
[3511] "G3098" "G3099" "G3100" "G3101" "G3102" "G3103" "G3104" "G3105" "G3106"
[3520] "G3107" "G3108" "G3109" "G3110" "G3111" "G3112" "G3113" "G3114" "G3115"
[3529] "G3116" "G3117" "G3118" "G3119" "G3120" "G3121" "G3122" "G3123" "G3124"
[3538] "G3125" "G3126" "G3127" "G3128" "G3129" "G3130" "G3131" "G3132" "G3133"
[3547] "G3134" "G3135" "G3136" "G3137" "G3138" "G3139" "G3140" "G3141" "G3142"
[3556] "G3143" "G3144" "G3145" "G3146" "G3147" "G3148" "G3149" "G3150" "G3151"
[3565] "G3152" "G3153" "G3154" "G3155" "G3156" "G3157" "G3158" "G3159" "G0129"
[3574] "G0130" "G0131" "G0132" "G3160" "G3161" "G3162" "G3163" "G3164" "G3165"
[3583] "G3166" "G3167" "G3168" "G3169" "G3170" "G3171" "G3172" "G3173" "G3174"
[3592] "G3175" "G3176" "G3177" "G3178" "G3179" "G3180" "G3181" "G3182" "G3183"
[3601] "G3184" "G3185" "G3186" "G3187" "G0133" "G3188" "G3189" "G3190" "G3191"
[3610] "G3192" "G0134" "G3193" "G3194" "G3195" "G3196" "G3197" "G3198" "G3199"
[3619] "G3200" "G3201" "G3202" "G0135" "G0136" "G3203" "G3204" "G3205" "G3206"
[3628] "G3207" "G3208" "G3209" "G3210" "G0137" "G3211" "G3212" "G3213" "G3214"
[3637] "G3215" "G3216" "G3217" "G3218" "G3219" "G3220" "G3221" "G3222" "G3223"
[3646] "G3224" "G3225" "G3226" "G3227" "G3228" "G3229" "G3230" "G3231" "G3232"
[3655] "G3233" "G3234" "G3235" "G3236" "G3237" "G3238" "G3239" "G3240" "G3241"
[3664] "G3242" "G3243" "G3244" "G3245" "G3246" "G3247" "G3248" "G3249" "G3250"
[3673] "G0138" "G3251" "G3252" "G3253" "G3254" "G3255" "G3256" "G3257" "G3258"
[3682] "G3259" "G3260" "G3261" "G3262" "G3263" "G3264" "G3265" "G3266" "G3267"
[3691] "G3268" "G3269" "G3270" "G3271" "G3272" "G3273" "G3274" "G3275" "G3276"
[3700] "G3277" "G3278" "G3279" "G3280" "G3281" "G3282" "G3283" "G3284" "G3285"
[3709] "G3286" "G3287" "G3288" "G0139" "G3289" "G3290" "G3291" "G3292" "G3293"
[3718] "G3294" "G3295" "G3296" "G0140" "G0141" "G0142" "G0143" "G0144" "G0145"
[3727] "G0146" "G3297" "G3298" "G0147" "G3299" "G3300" "G3301" "G3302" "G3303"
[3736] "G3304" "G3305" "G3306" "G3307" "G3308" "G3309" "G3310" "G3311" "G3312"
[3745] "G3313" "G0148" "G3314" "G3315" "G3316" "G3317" "G3318" "G3319" "G0149"
[3754] "G3320" "G3321" "G3322" "G3323" "G3324" "G3325" "G3326" "G3327" "G3328"
[3763] "G3329" "G3330" "G3331" "G0150" "G3332" "G3333" "G3334" "G3335" "G3336"
[3772] "G3337" "G3338" "G3339" "G3340" "G3341" "G3342" "G3343" "G3344" "G3345"
[3781] "G0151" "G0152" "G0153" "G0154" "G0228" "G0155" "G3346" "G3347" "G3348"
[3790] "G3349" "G3350" "G3351" "G3352" "G3353" "G3354" "G3355" "G3356" "G3357"
[3799] "G3358" "G3359" "G3360" "G3361" "G3362" "G3363" "G3364" "G3365" "G3366"
[3808] "G3367" "G3368" "G3369" "G3370" "G3371" "G3372" "G3373" "G3374" "G3375"
[3817] "G3376" "G3377" "G3378" "G3379" "G3380" "G3381" "G3382" "G3383" "G3384"
[3826] "G3385" "G3386" "G3387" "G3388" "G3389" "G3390" "G3391" "G3392" "G3393"
[3835] "G3394" "G3395" "G3396" "G3397" "G3398" "G3399" "G3400" "G3401" "G3402"
[3844] "G0156" "G0157" "G0158" "G0159" "G3403" "G3404" "G3405" "G3406" "G0160"
[3853] "G0161" "G0162" "G3407" "G3408" "G3409" "G3410" "G3411" "G3412" "G3413"
[3862] "G3414" "G3415" "G3416" "G3417" "G3418" "G3419" "G3420" "G3421" "G3422"
[3871] "G3423" "G3424" "G3425" "G3426" "G3427" "G0163" "G0164" "G3428" "G3429"
[3880] "G3430" "G3431" "G3432" "G3433" "G3434" "G3435" "G3436" "G3437" "G3438"
[3889] "G3439" "G3440" "G3441" "G3442" "G3443" "G3444" "G3445" "G3446" "G3447"
[3898] "G3448" "G3449" "G3450" "G3451" "G3452" "G3453" "G3454" "G3455" "G3456"
[3907] "G3457" "G3458" "G3459" "G0165" "G3460" "G3461" "G3462" "G0166" "G0167"
[3916] "G0168" "G0169" "G0170" "G0171" "G0172" "G0173" "G0174" "G0175" "G0176"
[3925] "G3463" "G3464" "G3465" "G3466" "G3467" "G3468" "G3469" "G3470" "G3471"
[3934] "G3472" "G3473" "G3474" "G3475" "G3476" "G3477" "G3478" "G3479" "G3480"
[3943] "G3481" "G3482" "G3483" "G3484" "G3485" "G3486" "G3487" "G3488" "G3489"
[3952] "G3490" "G3491" "G3492" "G3493" "G3494" "G3495" "G3496" "G3497" "G3498"
[3961] "G3499" "G3500" "G3501" "G3502" "G3503" "G3504" "G3505" "G3506" "G3507"
[3970] "G3508" "G3509" "G3510" "G3511" "G3512" "G3513" "G3514" "G3515" "G3516"
[3979] "G3517" "G3518" "G3519" "G3520" "G3521" "G3522" "G3523" "G3524" "G3525"
[3988] "G3526" "G3527" "G3528" "G3529" "G3530" "G3531" "G3532" "G3533" "G3534"
[3997] "G3535" "G3536" "G3537" "G3538" "G3539" "G3540" "G3541" "G3542" "G3543"
[4006] "G3544" "G3545" "G3546" "G3547" "G3548" "G3549" "G3550" "G3551" "G3552"
[4015] "G3553" "G3554" "G3555" "G3556" "G3557" "G3558" "G3559" "G3560" "G3561"
[4024] "G3562" "G3563" "G3564" "G3565" "G3566" "G3567" "G3568" "G3569" "G3570"
[4033] "G3571" "G3572" "G3573" "G3574" "G3575" "G3576" "G3577" "G3578" "G3579"
[4042] "G3580" "G3581" "G3582" "G3583" "G3584" "G3585" "G3586" "G3587" "G3588"
[4051] "G3589" "G3590" "G3591" "G3592" "G3593" "G3594" "G3595" "G3596" "G3597"
[4060] "G3598" "G3599" "G3600" "G3601" "G3602" "G3603" "G3604" "G3605" "G3606"
[4069] "G3607" "G3608" "G3609" "G3610" "G3611" "G3612" "G3613" "G3614" "G3615"
[4078] "G3616" "G3617" "G3618" "G3619" "G3620" "G3621" "G3622" "G3623" "G3624"
[4087] "G3625" "G3626" "G3627" "G3628" "G3629" "G3630" "G3631" "G3632" "G3633"
[4096] "G3634" "G3635" "G3636" "G3637" "G3638" "G3639" "G3640" "G3641" "G3642"
[4105] "G3643" "G3644" "G3645" "G3646" "G3647" "G3648" "G3649" "G3650" "G3651"
[4114] "G3652" "G3653" "G3654" "G3655" "G3656" "G3657" "G3658" "G3659" "G3660"
[4123] "G3661" "G3662" "G0177" "G0178" "G3663" "G3664" "G3665" "G3666" "G3667"
[4132] "G3668" "G3669" "G3670" "G3671" "G3672" "G3673" "G3674" "G3675" "G3676"
[4141] "G3677" "G3678" "G3679" "G3680" "G3681" "G3682" "G3683" "G3684" "G3685"
[4150] "G3686" "G3687" "G3688" "G3689" "G3690" "G3691" "G3692" "G3693" "G3694"
[4159] "G3695" "G3696" "G3697" "G3698" "G3699" "G3700" "G3701" "G3702" "G3703"
[4168] "G3704" "G3705" "G3706" "G3707" "G3708" "G3709" "G3710" "G3711" "G3712"
[4177] "G3713" "G3714" "G3715" "G3716" "G3717" "G3718" "G3719" "G3720" "G3721"
[4186] "G3722" "G3723" "G3724" "G3725" "G3726" "G3727" "G3728" "G3729" "G3730"
[4195] "G3731" "G3732" "G3733" "G3734" "G3735" "G3736" "G3737" "G3738" "G3739"
[4204] "G3740" "G3741" "G3742" "G3743" "G3744" "G3745" "G3746" "G3747" "G3748"
[4213] "G3749" "G3750" "G3751" "G3752" "G3753" "G3754" "G3755" "G3756" "G3757"
[4222] "G3758" "G3759" "G3760" "G3761" "G3762" "G3763" "G3764" "G3765" "G3766"
[4231] "G3767" "G3768" "G3769" "G3770" "G3771" "G3772" "G3773" "G3774" "G3775"
[4240] "G3776" "G3777" "G3778" "G3779" "G3780" "G3781" "G3782" "G3783" "G3784"
[4249] "G3785" "G3786" "G3787" "G3788" "G3789" "G3790" "G3791" "G0179" "G0180"
[4258] "G0315" "G0181" "G0182" "G0183" "G3792" "G0012" "G0015" "G3793" "G0016"
[4267] "G0316" "G3794" "G0317" "G3795" "G0318" "G0319" "G3796" "G0320" "G0321"
[4276] "G3797" "G3798" "G3799" "G3800" "G3801" "G3802" "G3803" "G3804" "G3805"
[4285] "G3806" "G3807" "G3808" "G3809" "G3810" "G3811" "G3812" "G3813" "G3814"
[4294] "G3815" "G3816" "G3817" "G3818" "G3819" "G3820" "G3821" "G3822" "G3823"
[4303] "G3824" "G3825" "G3826" "G3827" "G3828" "G3829" "G3830" "G3831" "G3832"
[4312] "G3833" "G3834" "G3835" "G3836" "G3837" "G3838" "G3839" "G3840" "G3841"
[4321] "G3842" "G3843" "G3844" "G3845" "G3846" "G3847" "G3848" "G3849" "G3850"
[4330] "G3851" "G3852" "G3853" "G3854" "G3855" "G3856" "G3857" "G3858" "G3859"
[4339] "G3860" "G3861" "G3862" "G3863" "G3864" "G3865" "G3866" "G3867" "G3868"
[4348] "G3869" "G3870" "G3871" "G3872" "G3873" "G3874" "G3875" "G3876" "G3877"
[4357] "G3878" "G3879" "G3880" "G3881" "G3882" "G3883" "G3884" "G3885" "G3886"
[4366] "G3887" "G3888" "G3889" "G3890" "G3891" "G3892" "G3893" "G3894" "G3895"
[4375] "G3896" "G3897" "G3898" "G3899" "G3900" "G3901" "G3902" "G3903" "G3904"
[4384] "G3905" "G3906" "G3907" "G3908" "G3909" "G3910" "G3911" "G3912" "G3913"
[4393] "G3914" "G3915" "G3916" "G3917" "G3918" "G3919" "G3920" "G3921" "G3922"
[4402] "G3923" "G3924" "G3925" "G3926" "G3927" "G3928" "G3929" "G3930" "G3931"
[4411] "G3932" "G3933" "G3934" "G3935" "G3936" "G3937" "G3938" "G3939" "G3940"
[4420] "G3941" "G3942" "G3943" "G3944" "G3945" "G3946" "G3947" "G3948" "G3949"
[4429] "G3950" "G3951" "G3952" "G3953" "G3954" "G3955" "G3956" "G3957" "G3958"
[4438] "G3959" "G3960" "G3961" "G3962" "G3963" "G3964" "G3965" "G3966" "G3967"
[4447] "G3968" "G3969" "G3970" "G3971" "G3972" "G3973" "G3974" "G3975" "G3976"
[4456] "G3977" "G3978" "G3979" "G3980" "G3981" "G3982" "G3983" "G3984" "G3985"
[4465] "G3986" "G3987" "G3988" "G3989" "G3990" "G3991" "G3992" "G3993" "G3994"
[4474] "G3995" "G3996" "G3997" "G3998" "G3999" "G4000" "G4001" "G4002" "G4003"
[4483] "G4004" "G4005" "G4006" "G4007" "G4008" "G4009" "G4010" "G4011" "G4012"
[4492] "G4013" "G4014" "G4015" "G4016" "G4017" "G4018" "G4019" "G4020" "G4021"
[4501] "G4022" "G4023" "G4024" "G4025" "G4026" "G4027" "G4028" "G4029" "G4030"
[4510] "G4031" "G4032" "G4033" "G4034" "G4035" "G4036" "G4037" "G4038" "G4039"
[4519] "G4040" "G4041" "G4042" "G4043" "G4044" "G4045" "G4046" "G4047" "G4048"
[4528] "G4049" "G4050" "G4051" "G4052" "G4053" "G4054" "G4055" "G4056" "G4057"
[4537] "G4058" "G4059" "G4060" "G4061" "G4062" "G4063" "G4064" "G4065" "G4066"
[4546] "G4067" "G4068" "G4069" "G4070" "G4071" "G4072" "G4073" "G4074" "G4075"
[4555] "G4076" "G4077" "G4078" "G4079" "G4080" "G4081" "G4082" "G4083" "G0007"
[4564] "G4084" "G4085" "G4086" "G4087" "G4088" "G4089" "G4090" "G4091" "G4092"
[4573] "G4093" "G4094" "G4095" "G4096" "G4097" "G4098" "G4099" "G4100" "G4101"
[4582] "G4102" "G4103" "G4104" "G4105" "G4106" "G4107" "G4108" "G4109" "G4110"
[4591] "G4111" "G4112" "G4113" "G4114" "G4115" "G4116" "G4117" "G4118" "G4119"
[4600] "G4120" "G4121" "G4122" "G4123" "G4124" "G4125" "G4126" "G4127" "G4128"
[4609] "G4129" "G4130" "G4131" "G4132" "G4133" "G4134" "G4135" "G4136" "G4137"
[4618] "G4138" "G4139" "G4140" "G4141" "G4142" "G4143" "G4144" "G4145" "G4146"
[4627] "G4147" "G4148" "G4149" "G4150" "G4151" "G4152" "G4153" "G4154" "G4155"
[4636] "G4156" "G4157" "G4158" "G4159" "G4160" "G4161" "G4162" "G4163" "G4164"
[4645] "G4165" "G4166" "G4167" "G4168" "G4169" "G4170" "G4171" "G4172" "G4173"
[4654] "G4174" "G4175" "G4176" "G4177" "G4178" "G4179" "G4180" "G4181" "G4182"
[4663] "G4183" "G4184" "G4185" "G4186" "G4187" "G4188" "G4189" "G4190" "G4191"
[4672] "G4192" "G4193" "G4194" "G4195" "G4196" "G4197" "G4198" "G4199" "G4200"
[4681] "G4201" "G4202" "G4203" "G4204" "G4205" "G4206" "G4207" "G4208" "G4209"
[4690] "G4210" "G4211" "G4212" "G4213" "G4214" "G4215" "G4216" "G4217" "G4218"
[4699] "G4219" "G4220" "G4221" "G4222" "G4223" "G4224" "G4225" "G4226" "G4227"
[4708] "G4228" "G4229" "G4230" "G4231" "G4232" "G4233" "G4234" "G4235" "G4236"
[4717] "G4237" "G4238" "G4239" "G4240" "G4241" "G4242" "G4243" "G4244" "G4245"
[4726] "G4246" "G4247" "G4248" "G4249" "G4250" "G4251" "G4252" "G4253" "G4254"
[4735] "G4255" "G4256" "G4257" "G4258" "G4259" "G4260" "G4261" "G4262" "G4263"
[4744] "G4264" "G4265" "G4266" "G4267" "G4268" "G4269" "G4270" "G4271" "G4272"
[4753] "G4273" "G4274" "G4275" "G4276" "G4277" "G4278" "G4279" "G4280" "G4281"
[4762] "G4282" "G4283" "G4284" "G4285" "G4286" "G4287" "G4288" "G4289" "G4290"
[4771] "G4291" "G4292" "G4293" "G4294" "G4295" "G4296" "G4297" "G4298" "G4299"
[4780] "G4300" "G4301" "G4302" "G4303" "G4304" "G4305" "G4306" "G4307" "G4308"
[4789] "G4309" "G4310" "G4311" "G4312" "G4313" "G4314" "G4315" "G4316" "G0184"
[4798] "G0185" "G0186" "G0191" "G0192" "G0193" "G0194" "G0195" "G0196" "G0197"
[4807] "G0198" "G0199" "G0200" "G0201" "G0202" "G0203" "G0204" "G0205" "G0206"
[4816] "G0207" "G0208" "G0209" "G0210" "G0211" "G0212" "G0213" "G0214" "G0215"
[4825] "G0216" "G0217" "G0218" "G0219" "G0220" "G0221" "G0222" "G0223" "G0224"
[4834] "G0225" "G0226" "G0227" "G0229" "G0230" "G0231" "G0232" "G0233" "G0234"
[4843] "G0235" "G0236" "G0237" "G0238" "G0239" "G0240" "G0241" "G0242" "G0243"
[4852] "G0244" "G0245" "G0246" "G0247" "G0248" "G0249" "G0250" "G0251" "G0252"
[4861] "G0253" "G0254" "G0255" "G0256" "G0257" "G0258" "G0259" "G0260" "G0261"
[4870] "G0262" "G0263" "G0264" "G0265" "G0266" "G0267" "G0268" "G0269" "G0270"
[4879] "G0271" "G0272" "G0273" "G0274" "G0275" "G0276" "G0277" "G0278" "G0279"
[4888] "G0280" "G0281" "G0282" "G0283" "G0284" "G0285" "G0286" "G0287" "G0288"
[4897] "G0289" "G0290" "G0291" "G0292" "G0293" "G0294" "G0295" "G0296" "G0297"
[4906] "G0298" "G0299" "G0300" "G0301" "G0302" "G0303" "G0304" "G0305" "G0306"
[4915] "G0307" "G0308" "G0309" "G0310" "G0311" "G0312" "G0313" "G0314" "G4317"
[4924] "G4318" "G4319" "G4320" "G4321" "G4322" "G4323" "G4324" "G4325" "G4326"
[4933] "G4327" "G4328" "G4329" "G4330" "G4331" "G4332" "G4333" "G4334" "G4335"
[4942] "G4336" "G4337" "G4338" "G4339" "G4340" "G4341" "G4342" "G4343" "G4344"
[4951] "G4345" "G4346" "G4347" "G4348" "G4349" "G4350" "G4351" "G4352" "G4353"
[4960] "G4354" "G4355" "G4356" "G4357" "G4358" "G4359" "G4360" "G4361" "G4362"
[4969] "G4363" "G4364" "G4365" "G4366" "G4367" "G4368" "G4369" "G4370" "G4371"
[4978] "G4372" "G4373" "G4374" "G4375" "G4376" "G4377" "G4378" "G4379" "G4380"
[4987] "G4381" "G4382" "G4383" "G4384" "G4385" "G4386" "G4387" "G4388" "G4389"
[4996] "G4390" "G4391" "G4392" "G4393" "G4394" "G4395" "G4396" "G4397" "G4398"
[5005] "G4399" "G4400" "G4401" "G4402" "G4403" "G4404" "G4405" "G4406" "G4407"
[5014] "G4408" "G4409" "G4410" "G4411" "G4412" "G4413" "G4414" "G4415" "G4416"
[5023] "G4417" "G4418" "G4419" "G4420" "G4421" "G4422" "G4423" "G4424" "G4425"
[5032] "G4426" "G4427" "G4428" "G4429" "G4430" "G4431" "G4432" "G4433" "G4434"
[5041] "G4435" "G4436" "G4437" "G4438" "G4439" "G4440" "G4441" "G4442" "G4443"
[5050] "G4444" "G4445" "G4446" "G4447" "G4448" "G4449" "G4450" "G4451" "G4452"
[5059] "G4453" "G4454" "G4455" "G4456" "G4457" "G4458" "G4459" "G4460" "G4461"
[5068] "G4462" "G4463" "G4464" "G4465" "G4466" "G4467" "G4468" "G4469" "G4470"
[5077] "G4471" "G4472" "G4473" "G4474" "G4475" "G4476" "G4477" "G4478" "G4479"
[5086] "G4480" "G4481" "G4482" "G4483" "G4484" "G4485" "G4486" "G4487" "G4488"
[5095] "G4489" "G4490" "G4491" "G4492" "G4493" "G4494" "G4495" "G4496" "G4497"
[5104] "G4498" "G4499" "G4500" "G4501" "G4502" "G4503" "G4504" "G4505" "G4506"
[5113] "G4507" "G4508" "G4509" "G4510" "G4511" "G4512" "G4513" "G4514" "G4515"
[5122] "G4516" "G4517" "G4518" "G4519" "G4520" "G4521" "G4522" "G4523" "G4524"
[5131] "G4525" "G4526" "G4527" "G4528" "G4529" "G4530" "G4531" "G4532" "G4533"
[5140] "G4534" "G4535" "G4536" "G4537" "G4538" "G4539" "G4540" "G4541" "G4542"
[5149] "G4543" "G4544" "G4545" "G4546" "G4547" "G4548" "G4549" "G4550" "G4551"
[5158] "G4552" "G4553" "G4554" "G4555" "G4556" "G4557" "G4558" "G4559" "G4560"
[5167] "G4561" "G4562" "G4563" "G4564" "G4565" "G4566" "G4567" "G4568" "G4569"
[5176] "G4570" "G4571" "G4572" "G4573" "G4574" "G4575" "G4576" "G4577" "G4578"
[5185] "G4579" "G4580" "G4581" "G4582" "G4583" "G4584" "G4585" "G4586" "G4587"
[5194] "G4588" "G4589" "G4590" "G4591" "G4592" "G4593" "G4594" "G4595" "G4596"
[5203] "G4597" "G4598" "G4599" "G4600" "G4601" "G4602" "G4603" "G4604" "G4605"
[5212] "G4606" "G4607" "G4608" "G4609" "G4610" "G4611" "G4612" "G4613" "G4614"
[5221] "G4615" "G4616" "G4617" "G4618" "G4619" "G4620" "G4621" "G4622" "G4623"
[5230] "G4624" "G4625" "G4626" "G4627" "G4628" "G4629" "G4630" "G4631" "G4632"
[5239] "G4633" "G4634" "G4635" "G4636" "G4637" "G4638" "G4639" "G4640" "G4641"
[5248] "G4642" "G4643" "G4644" "G4645" "G4646" "G4647" "G4648" "G4649" "G4650"
[5257] "G4651" "G4652" "G4653" "G4654" "G4655" "G4656" "G4657" "G4658" "G4659"
[5266] "G4660" "G4661" "G4662" "G4663" "G4664" "G4665" "G4666" "G4667" "G4668"
[5275] "G4669" "G4670" "G4671" "G4672" "G4673" "G4674" "G4675" "G4676" "G4677"
[5284] "G4678" "G4679" "G4680" "G4681" "G4682" "G4683" "G4684" "G4685" "G4686"
[5293] "G4687" "G4688" "G4689" "G4690" "G4691" "G4692" "G4693" "G4694" "G4695"
[5302] "G4696" "G4697" "G4698" "G4699" "G4700" "G4701" "G4702" "G4703" "G4704"
[5311] "G4705" "G4706" "G4707" "G4708" "G4709" "G4710" "G4711" "G4712" "G4713"
[5320] "G4714" "G4715" "G4716" "G4717" "G4718" "G4719" "G4720" "G4721" "G4722"
[5329] "G4723" "G4724" "G4725" "G4726" "G4727" "G4728" "G4729" "G4730" "G4731"
[5338] "G4732" "G4733" "G4734" "G4735" "G4736" "G4737" "G4738" "G4739" "G4740"
[5347] "G4741" "G4742" "G4743" "G4744" "G4745" "G4746" "G4747" "G4748" "G4749"
[5356] "G4750" "G4751" "G4752" "G4753" "G4754" "G4755" "G4756" "G4757" "G4758"
[5365] "G4759" "G4760" "G4761" "G4762" "G4763" "G4764" "G4765" "G4766" "G4767"
[5374] "G4768" "G4769" "G4770" "G4771" "G4772" "G4773" "G4774" "G4775" "G4776"
[5383] "G4777" "G4778" "G4779" "G4780" "G4781" "G4782" "G4783" "G4784" "G4785"
[5392] "G4786" "G4787" "G4788" "G4789" "G4790" "G4791" "G4792" "G4793" "G4794"
[5401] "G4795" "G4796" "G4797" "G4798" "G4799" "G4800" "G4801" "G4802" "G4803"
[5410] "G4804" "G4805" "G4806" "G4807" "G4808" "G4809" "G4810" "G4811" "G4812"
[5419] "G4813" "G4814" "G4815" "G4816" "G4817" "G4818" "G4819" "G4820" "G4821"
[5428] "G4822" "G4823" "G4824" "G4825" "G4826" "G4827" "G4828" "G4829" "G4830"
[5437] "G4831" "G4832" "G4833" "G4834" "G4835" "G4836" "G4837" "G4838" "G4839"
[5446] "G4840" "G4841" "G4842" "G4843" "G4844" "G4845" "G4846" "G4847" "G4848"
[5455] "G4849" "G4850" "G4851" "G4852" "G4853" "G4854" "G4855" "G4856" "G4857"
[5464] "G4858" "G4859" "G4860" "G4861" "G4862" "G4863" "G4864" "G4865" "G4866"
[5473] "G4867" "G4868" "G4869" "G4870" "G4871" "G4872" "G4873" "G4874" "G4875"
[5482] "G4876" "G4877" "G4878" "G4879" "G4880" "G4881" "G4882" "G4883" "G4884"
[5491] "G4885" "G4886" "G4887" "G4888" "G4889" "G4890" "G4891" "G4892" "G4893"
[5500] "G4894" "G4895" "G4896" "G4897" "G4898" "G4899" "G4900" "G4901" "G4902"
[5509] "G4903" "G4904" "G4905" "G4906" "G4907" "G4908" "G4909" "G4910" "G4911"
[5518] "G4912" "G4913" "G4914" "G4915" "G4916" "G4917" "G4918" "G4919" "G4920"
[5527] "G4921" "G4922" "G4923" "G4924" "G4925" "G4926" "G4927" "G4928" "G4929"
[5536] "G4930" "G4931" "G4932" "G4933" "G4934" "G4935" "G4936" "G4937" "G4938"
[5545] "G4939" "G4940" "G4941" "G4942" "G4943" "G4944" "G4945" "G4946" "G4947"
[5554] "G4948" "G4949" "G4950" "G4951" "G4952" "G4953" "G4954" "G4955" "G4956"
[5563] "G4957" "G4958" "G4959" "G4960" "G4961" "G4962" "G4963" "G4964" "G4965"
[5572] "G4966" "G4967" "G4968" "G4969" "G4970" "G4971" "G4972" "G4973" "G4974"
[5581] "G4975" "G4976" "G4977" "G4978" "G4979" "G4980" "G4981" "G4982" "G4983"
[5590] "G4984" "G4985" "G4986" "G4987" "G4988" "G4989" "G4990" "G4991" "G4992"
[5599] "G4993" "G4994" "G4995" "G4996" "G4997" "G4998" "G4999" "G5000" "G5001"
[5608] "G5002" "G5003" "G5004" "G5005" "G5006" "G5007" "G5008" "G5009" "G5010"
[5617] "G5011" "G5012" "G5013" "G5014" "G5015" "G5016" "G5017" "G5018" "G5019"
[5626] "G5020" "G5021" "G5022" "G5023" "G5024" "G5025" "G5026" "G5027" "G5028"
[5635] "G5029" "G5030" "G5031" "G5032" "G5033" "G5034" "G5035" "G5036" "G5037"
[5644] "G5038" "G5039" "G5040" "G5041" "G5042" "G5043" "G5044" "G5045" "G5046"
[5653] "G5047" "G5048" "G5049" "G5050" "G5051" "G5052" "G5053" "G5054" "G5055"
[5662] "G5056" "G5057" "G5058" "G5059" "G5060" "G5061" "G5062" "G5063" "G5064"
[5671] "G5065" "G5066" "G5067" "G5068" "G5069" "G5070" "G5071" "G5072" "G5073"
[5680] "G5074" "G5075" "G5076" "G5077" "G5078" "G5079" "G5080" "G5081" "G5082"
[5689] "G5083" "G5084" "G5085" "G5086" "G5087" "G5088" "G5089" "G5090" "G5091"
[5698] "G5092" "G5093" "G5094" "G5095" "G5096" "G5097" "G5098" "G5099" "G5100"
[5707] "G5101" "G5102" "G5103" "G5104" "G5105" "G5106" "G5107" "G5108" "G5109"
[5716] "G5110" "G5111" "G5112" "G5113" "G5114" "G5115" "G5116" "G5117" "G5118"
[5725] "G5119" "G5120" "G5121" "G5122" "G5123" "G5124" "G5125" "G5126" "G5127"
[5734] "G5128" "G5129" "G5130" "G5131" "G5132" "G5133" "G5134" "G5135" "G5136"
[5743] "G5137" "G5138" "G5139" "G5140" "G5141" "G5142" "G5143" "G5144" "G5145"
[5752] "G5146" "G5147" "G5148" "G5149" "G5150" "G5151" "G5152" "G5153" "G5154"
[5761] "G5155" "G5156" "G5157" "G5158" "G5159" "G5160" "G5161" "G5162" "G5163"
[5770] "G5164" "G5165" "G5166" "G5167" "G5168" "G5169" "G5170" "G5171" "G5172"
[5779] "G5173" "G5174" "G5175" "G5176" "G5177" "G5178" "G5179" "G5180" "G5181"
[5788] "G5182" "G5183" "G5184" "G5185" "G5186" "G5187" "G5188" "G5189" "G5190"
[5797] "G5191" "G5192" "G5193" "G5194" "G5195" "G5196" "G5197" "G5198" "G5199"
[5806] "G5200" "G5201" "G5202" "G5203" "G5204" "G5205" "G5206" "G5207" "G5208"
[5815] "G5209" "G5210" "G5211" "G5212" "G5213" "G5214" "G5215" "G5216" "G5217"
[5824] "G5218" "G5219" "G5220" "G5221" "G5222" "G5223" "G5224" "G5225" "G5226"
[5833] "G5227" "G5228" "G5229" "G5230" "G5231" "G5232" "G5233" "G5234" "G5235"
[5842] "G5236" "G5237" "G5238" "G5239" "G5240" "G5241" "G5242" "G5243" "G5244"
[5851] "G5245" "G5246" "G5247" "G5248" "G5249" "G5250" "G5251" "G5252" "G5253"
[5860] "G5254" "G5255" "G5256" "G5257" "G5258" "G5259" "G5260" "G5261" "G5262"
[5869] "G5263" "G5264" "G5265" "G5266" "G5267" "G5268" "G5269" "G5270" "G5271"
[5878] "G5272" "G5273" "G5274" "G5275" "G5276" "G5277" "G5278" "G5279" "G5280"
[5887] "G5281" "G5282" "G5283" "G5284" "G5285" "G5286" "G5287" "G5288" "G5289"
[5896] "G5290" "G5291" "G5292" "G5293" "G5294" "G5295" "G5296" "G5297" "G5298"
[5905] "G5299" "G5300" "G5301" "G5302" "G5303" "G5304" "G5305" "G5306" "G5307"
[5914] "G5308" "G5309" "G5310" "G5311" "G5312" "G5313" "G5314" "G5315" "G5316"
[5923] "G5317" "G5318" "G5319" "G5320" "G5321" "G5322" "G5323" "G5324" "G5325"
[5932] "G5326" "G5327" "G5328" "G5329" "G5330" "G5331" "G5332" "G5333" "G5334"
[5941] "G5335" "G5336" "G5337" "G5338" "G5339" "G5340" "G5341" "G5342" "G5343"
[5950] "G5344" "G5345" "G5346" "G5347" "G5348" "G5349" "G5350" "G5351" "G5352"
[5959] "G5353" "G5354" "G5355" "G5356" "G5357" "G5358" "G5359" "G5360" "G5361"
[5968] "G5362" "G5363" "G5364" "G5365" "G5366" "G5367" "G5368" "G5369" "G5370"
[5977] "G5371" "G5372" "G5373" "G5374" "G5375" "G5376" "G5377" "G5378" "G5379"
[5986] "G5380" "G5381" "G5382" "G5383" "G5384" "G5385" "G5386" "G5387" "G5388"
[5995] "G5389" "G5390" "G5391" "G5392" "G5393" "G5394" "G5395" "G5396" "G5397"
[6004] "G5398" "G5399" "G5400" "G5401" "G5402" "G5403" "G5404" "G5405" "G5406"
[6013] "G5407" "G5408" "G5409" "G5410" "G5411" "G5412" "G5413" "G5414" "G5415"
[6022] "G5416" "G5417" "G5418" "G5419" "G5420" "G5421" "G5422" "G5423" "G5424"
[6031] "G5425" "G5426" "G5427" "G5428" "G5429" "G5430" "G5431" "G5432" "G5433"
[6040] "G5434" "G5435" "G5436" "G5437" "G5438" "G5439" "G5440" "G5441" "G5442"
[6049] "G5443" "G5444" "G5445" "G5446" "G5447" "G5448" "G5449" "G5450" "G5451"
[6058] "G5452" "G5453" "G5454" "G5455" "G5456" "G5457" "G5458" "G5459" "G5460"
[6067] "G5461" "G5462" "G5463" "G5464" "G5465" "G5466" "G5467" "G5468" "G5469"
[6076] "G5470" "G5471" "G5472" "G5473" "G5474" "G5475" "G5476" "G5477" "G5478"
[6085] "G5479" "G5480" "G5481" "G5482" "G5483" "G5484" "G5485" "G5486" "G5487"
[6094] "G5488" "G5489" "G5490" "G5491" "G5492" "G5493" "G5494" "G5495" "G5496"
[6103] "G5497" "G5498" "G5499" "G5500" "G5501" "G5502" "G5503" "G5504" "G5505"
[6112] "G5506" "G5507" "G5508" "G5509" "G5510" "G5511" "G5512" "G5513" "G5514"
[6121] "G5515" "G5516" "G5517" "G5518" "G5519" "G5520" "G5521" "G5522" "G5523"
[6130] "G5524" "G5525" "G5526" "G5527" "G5528" "G5529" "G5530" "G5531" "G5532"
[6139] "G5533" "G5534" "G5535" "G5536" "G5537" "G5538" "G5539" "G5540" "G5541"
[6148] "G5542" "G5543" "G5544" "G5545" "G5546" "G5547" "G5548" "G5549" "G5550"
[6157] "G5551" "G5552" "G5553" "G5554" "G5555" "G5556" "G5557" "G5558" "G5559"
[6166] "G5560" "G5561" "G5562" "G5563" "G5564" "G5565" "G5566" "G5567" "G5568"
[6175] "G5569" "G5570" "G5571" "G5572" "G5573" "G5574" "G5575" "G5576" "G5577"
[6184] "G5578" "G5579" "G5580" "G5581" "G5582" "G5583" "G5584" "G5585" "G5586"
[6193] "G5587" "G5588" "G5589" "G5590" "G5591" "G5592" "G5593" "G5594" "G5595"
[6202] "G5596" "G5597" "G5598" "G5599" "G5600" "G5601" "G5602" "G5603" "G5604"
[6211] "G5605" "G5606" "G5607" "G5608" "G5609" "G5610" "G5611" "G5612" "G5613"
[6220] "G5614" "G5615" "G5616" "G5617" "G5618" "G5619" "G5620" "G5621" "G5622"
[6229] "G5623" "G5624" "G5625" "G5626" "G5627" "G5628" "G5629" "G5630" "G5631"
[6238] "G5632" "G5633" "G5634" "G5635" "G5636" "G5637" "G5638" "G5639" "G5640"
[6247] "G5641" "G5642" "G5643" "G5644" "G5645" "G5646" "G5647" "G5648" "G5649"
[6256] "G5650" "G5651" "G5652" "G5653" "G5654" "G5655" "G5656" "G5657" "G5658"
[6265] "G5659" "G5660" "G5661" "G5662" "G5663" "G5664" "G5665" "G5666" "G5667"
[6274] "G5668" "G5669" "G5670" "G5671" "G5672" "G5673" "G5674" "G5675" "G5676"
[6283] "G5677" "G5678" "G5679" "G5680" "G5681" "G5682" "G5683" "G5684" "G5685"
[6292] "G5686" "G5687" "G5688" "G5689" "G5690" "G5691" "G5692" "G5693" "G5694"
[6301] "G5695" "G5696" "G5697" "G5698" "G5699" "G5700" "G5701" "G5702" "G5703"
[6310] "G5704" "G5705" "G5706" "G5707" "G5708" "G5709" "G5710" "G5711" "G5712"
[6319] "G5713" "G5714" "G5715" "G5716" "G5717" "G5718" "G5719" "G5720" "G5721"
[6328] "G5722" "G5723" "G5724" "G5725" "G5726" "G5727" "G5728" "G5729" "G5730"
[6337] "G5731" "G5732" "G5733" "G5734" "G5735" "G5736" "G5737" "G5738" "G5739"
[6346] "G5740" "G5741" "G5742" "G5743" "G5744" "G5745" "G5746" "G5747" "G5748"
[6355] "G5749" "G5750" "G5751" "G5752" "G5753" "G5754" "G5755" "G5756" "G5757"
[6364] "G5758" "G5759" "G5760" "G5761" "G5762" "G5763" "G5764" "G5765" "G5766"
[6373] "G5767" "G5768" "G5769" "G5770" "G5771" "G5772" "G5773" "G5774" "G5775"
[6382] "G5776" "G5777" "G5778" "G5779" "G5780" "G5781" "G5782" "G5783" "G5784"
[6391] "G5785" "G5786" "G5787" "G5788" "G5789" "G5790" "G5791" "G5792" "G5793"
[6400] "G5794" "G5795" "G5796" "G5797" "G5798" "G5799" "G5800" "G5801" "G5802"
[6409] "G5803" "G5804" "G5805" "G5806" "G5807" "G5808" "G5809" "G5810" "G5811"
[6418] "G5812" "G5813" "G5814" "G5815" "G5816" "G5817" "G5818" "G5819" "G5820"
[6427] "G5821" "G5822" "G5823" "G5824" "G5825" "G5826" "G5827" "G5828" "G5829"
[6436] "G5830" "G5831" "G5832" "G5833" "G5834" "G5835" "G5836" "G5837" "G5838"
[6445] "G5839" "G5840" "G5841" "G5842" "G5843" "G5844" "G5845" "G5846" "G5847"
[6454] "G5848" "G5849" "G5850" "G5851" "G5852" "G5853" "G5854" "G5855" "G5856"
[6463] "G5857" "G5858" "G5859" "G5860" "G5861" "G5862" "G5863" "G5864" "G5865"
[6472] "G5866" "G5867" "G5868" "G5869" "G5870" "G5871" "G5872" "G5873" "G5874"
[6481] "G5875" "G5876" "G5877" "G5878" "G5879" "G5880" "G5881" "G5882" "G5883"
[6490] "G5884" "G5885" "G5886" "G5887" "G5888" "G5889" "G5890" "G5891" "G5892"
[6499] "G5893" "G5894" "G5895" "G5896" "G5897" "G5898" "G5899" "G5900" "G5901"
[6508] "G5902" "G5903" "G5904" "G5905" "G5906" "G5907" "G5908" "G5909" "G5910"
[6517] "G5911" "G5912" "G5913" "G5914" "G5915" "G5916" "G5917" "G5918" "G5919"
[6526] "G5920" "G5921" "G5922" "G5923" "G5924" "G5925" "G5926" "G5927" "G5928"
[6535] "G5929" "G5930" "G5931" "G5932" "G5933" "G5934" "G5935" "G5936" "G5937"
[6544] "G5938" "G5939" "G5940" "G5941" "G5942" "G5943" "G5944" "G5945" "G5946"
[6553] "G5947" "G5948" "G5949" "G5950" "G5951" "G5952" "G5953" "G5954" "G5955"
[6562] "G5956" "G5957" "G5958" "G5959" "G5960" "G5961" "G5962" "G5963" "G5964"
[6571] "G5965" "G5966" "G5967" "G5968" "G5969" "G5970" "G5971" "G5972" "G5973"
[6580] "G5974" "G5975" "G5976" "G5977" "G5978" "G5979" "G5980" "G5981" "G5982"
[6589] "G5983" "G5984" "G5985" "G5986" "G5987" "G5988" "G5989" "G5990" "G5991"
[6598] "G5992" "G5993" "G5994" "G5995" "G5996" "G5997" "G5998" "G5999" "G6000"
[6607] "G6001" "G6002" "G6003" "G6004" "G6005" "G6006" "G6007" "G6008" "G6009"
[6616] "G6010" "G6011" "G6012" "G6013" "G6014" "G6015" "G6016" "G6017" "G6018"
[6625] "G6019" "G6020" "G6021" "G6022" "G6023" "G6024" "G6025" "G6026" "G6027"
[6634] "G6028" "G6029" "G6030" "G6031" "G6032" "G6033" "G6034" "G6035" "G6036"
[6643] "G6037" "G6038" "G6039" "G6040" "G6041" "G6042" "G6043" "G6044" "G6045"
[6652] "G6046" "G6047" "G6048" "G6049" "G6050" "G6051" "G6052" "G6053" "G6054"
[6661] "G6055" "G6056" "G6057" "G6058" "G6059" "G6060" "G6061" "G6062" "G6063"
[6670] "G6064" "G6065" "G6066" "G6067" "G6068" "G6069" "G6070" "G6071" "G6072"
[6679] "G6073" "G6074" "G6075" "G6076" "G6077" "G6078" "G6079" "G6080" "G6081"
[6688] "G6082" "G6083" "G6084" "G6085" "G6086" "G6087" "G6088" "G6089" "G6090"
[6697] "G6091" "G6092" "G6093" "G6094" "G6095" "G6096" "G6097" "G6098" "G6099"
[6706] "G6100" "G6101" "G6102" "G6103" "G6104" "G6105" "G6106" "G6107" "G6108"
[6715] "G6109" "G6110" "G6111" "G6112" "G6113" "G6114" "G6115" "G6116" "G6117"
[6724] "G6118" "G6119" "G6120" "G6121" "G6122" "G6123" "G6124" "G6125" "G6126"
[6733] "G6127" "G6128" "G6129" "G6130" "G6131" "G6132" "G6133" "G6134" "G6135"
[6742] "G6136" "G6137" "G6138" "G6139" "G6140" "G6141" "G6142" "G6143" "G6144"
[6751] "G6145" "G6146" "G6147" "G6148" "G6149" "G6150" "G6151" "G6152" "G6153"
[6760] "G6154" "G6155" "G6156" "G6157" "G6158" "G6159" "G6160" "G6161" "G6162"
[6769] "G6163" "G6164" "G6165" "G6166" "G6167" "G6168" "G6169" "G6170" "G6171"
[6778] "G6172" "G6173" "G6174" "G6175" "G6176" "G6177" "G6178" "G6179" "G6180"
[6787] "G6181" "G6182" "G6183" "G6184" "G6185" "G6186" "G6187" "G6188" "G6189"
[6796] "G6190" "G6191" "G6192" "G6193" "G6194" "G6195" "G6196" "G6197" "G6198"
[6805] "G6199" "G6200" "G6201" "G6202" "G6203" "G6204" "G6205" "G6206" "G6207"
[6814] "G6208" "G6209" "G6210" "G6211" "G6212" "G6213" "G6214" "G6215" "G6216"
[6823] "G6217" "G6218" "G6219" "G6220" "G6221" "G6222" "G6223" "G6224" "G6225"
[6832] "G6226" "G6227" "G6228" "G6229" "G6230" "G6231" "G6232" "G6233" "G6234"
[6841] "G6235" "G6236" "G6237" "G6238" "G6239" "G6240" "G6241" "G6242" "G6243"
[6850] "G6244" "G6245" "G6246" "G6247" "G6248" "G6249" "G6250" "G6251" "G6252"
[6859] "G6253" "G6254" "G6255" "G6256" "G6257" "G6258" "G6259" "G6260" "G6261"
[6868] "G6262" "G6263" "G6264" "G6265" "G6266" "G6267" "G6268" "G6269" "G6270"
[6877] "G6271" "G6272" "G6273" "G6274" "G6275" "G6276" "G6277" "G6278" "G6279"
[6886] "G6280" "G6281" "G6282" "G6283" "G6284" "G6285" "G6286" "G6287" "G6288"
[6895] "G6289" "G6290" "G6291" "G6292" "G6293" "G6294" "G6295" "G6296" "G6297"
[6904] "G6298" "G6299" "G6300" "G6301" "G6302" "G6303" "G6304" "G6305" "G6306"
[6913] "G6307" "G6308" "G6309" "G6310" "G6311" "G6312" "G6313" "G6314" "G6315"
[6922] "G6316" "G6317" "G6318" "G6319" "G6320" "G6321" "G6322" "G6323" "G6324"
[6931] "G6325" "G6326" "G6327" "G6328" "G6329" "G6330" "G6331" "G6332" "G6333"
[6940] "G6334" "G6335" "G6336" "G6337" "G6338" "G6339" "G6340" "G6341" "G6342"
[6949] "G6343" "G6344" "G6345" "G6346" "G6347" "G6348" "G6349" "G6350" "G6351"
[6958] "G6352" "G6353" "G6354" "G6355" "G6356" "G6357" "G6358" "G6359" "G6360"
[6967] "G6361" "G6362" "G6363" "G6364" "G6365" "G6366" "G6367" "G6368" "G6369"
[6976] "G6370" "G6371" "G6372" "G6373" "G6374" "G6375" "G6376" "G6377" "G6378"
[6985] "G6379" "G6380" "G6381" "G6382" "G6383" "G6384" "G6385" "G6386" "G6387"
[6994] "G6388" "G6389" "G6390" "G6391" "G6392" "G6393" "G6394" "G6395" "G6396"
[7003] "G6397" "G6398" "G6399" "G6400" "G6401" "G6402" "G6403" "G6404" "G6405"
[7012] "G6406" "G6407" "G6408" "G6409" "G6410" "G6411" "G6412" "G6413" "G6414"
[7021] "G6415" "G6416" "G6417" "G6418" "G6419" "G6420" "G6421" "G6422" "G6423"
[7030] "G6424" "G6425" "G6426" "G6427" "G6428" "G6429" "G6430" "G6431" "G6432"
[7039] "G6433" "G6434" "G6435" "G6436" "G6437" "G6438" "G6439" "G6440" "G6441"
[7048] "G6442" "G6443" "G6444" "G6445" "G6446" "G6447" "G6448" "G6449" "G6450"
[7057] "G6451" "G6452" "G6453" "G6454" "G6455" "G6456" "G6457" "G6458" "G6459"
[7066] "G6460" "G6461" "G6462" "G6463" "G6464" "G6465" "G6466" "G6467" "G6468"
[7075] "G6469" "G6470" "G6471" "G6472" "G6473" "G6474" "G6475" "G6476" "G6477"
[7084] "G6478" "G6479" "G6480" "G6481" "G6482" "G6483" "G6484" "G6485" "G6486"
[7093] "G6487" "G6488" "G6489" "G6490" "G6491" "G6492" "G6493" "G6494" "G6495"
[7102] "G6496" "G6497" "G6498" "G6499" "G6500" "G6501" "G6502" "G6503" "G6504"
[7111] "G6505" "G6506" "G6507" "G6508" "G6509" "G6510" "G6511" "G6512" "G6513"
[7120] "G6514" "G6515" "G6516" "G6517" "G6518" "G6519" "G6520" "G6521" "G6522"
[7129] "G6523" "G6524" "G6525" "G6526" "G6527" "G6528" "G6529" "G6530" "G6531"
[7138] "G6532" "G6533" "G6534" "G6535" "G6536" "G6537" "G6538" "G6539" "G6540"
[7147] "G6541" "G6542" "G6543" "G6544" "G6545" "G6546" "G6547" "G6548" "G6549"
[7156] "G6550" "G6551" "G6552" "G6553" "G6554" "G6555" "G6556" "G6557" "G6558"
[7165] "G6559" "G6560" "G6561" "G6562" "G6563" "G6564" "G6565" "G6566" "G6567"
[7174] "G6568" "G6569" "G6570" "G6571" "G6572" "G6573" "G6574" "G6575" "G6576"
[7183] "G6577" "G6578" "G6579" "G6580" "G6581" "G6582" "G6583" "G6584" "G6585"
[7192] "G6586" "G6587" "G6588" "G6589" "G6590" "G6591" "G6592" "G6593" "G6594"
[7201] "G6595" "G6596" "G6597" "G6598" "G6599" "G6600" "G6601" "G6602" "G6603"
[7210] "G6604" "G6605" "G6606" "G6607" "G6608" "G6609" "G6610" "G6611" "G6612"
[7219] "G6613" "G6614" "G6615" "G6616" "G6617" "G6618" "G6619" "G6620" "G6621"
[7228] "G6622" "G6623" "G6624" "G6625" "G6626" "G6627" "G6628" "G6629" "G6630"
[7237] "G6631" "G6632" "G6633" "G6634" "G6635" "G6636" "G6637" "G6638" "G6639"
[7246] "G6640" "G6641" "G6642" "G6643" "G6644" "G6645" "G6646" "G6647" "G6648"
[7255] "G6649" "G6650" "G6651" "G6652" "G6653" "G6654" "G6655" "G6656" "G6657"
[7264] "G6658" "G6659" "G6660" "G6661" "G6662" "G6663" "G6664" "G6665" "G6666"
[7273] "G6667" "G6668" "G6669" "G6670" "G6671" "G6672" "G6673" "G6674" "G6675"
[7282] "G6676" "G6677" "G6678" "G6679" "G6680" "G6681" "G6682" "G6683" "G6684"
[7291] "G6685" "G6686" "G6687" "G6688" "G6689" "G6690" "G6691" "G6692" "G6693"
[7300] "G6694" "G6695" "G6696" "G6697" "G6698" "G6699" "G6700" "G6701" "G6702"
[7309] "G6703" "G6704" "G6705" "G6706" "G6707" "G6708" "G6709" "G6710" "G6711"
[7318] "G6712" "G6713" "G6714" "G6715" "G6716" "G6717" "G6718" "G6719" "G6720"
[7327] "G6721" "G6722" "G6723" "G6724" "G6725" "G6726" "G6727" "G6728" "G6729"
[7336] "G6730" "G6731" "G6732" "G6733" "G6734" "G6735" "G6736" "G6737" "G6738"
[7345] "G6739" "G6740" "G6741" "G6742" "G6743" "G6744" "G6745" "G6746" "G6747"
[7354] "G6748" "G6749" "G6750" "G6751" "G6752" "G6753" "G6754" "G6755" "G6756"
[7363] "G6757" "G6758" "G6759" "G6760" "G6761" "G6762" "G6763" "G6764" "G6765"
[7372] "G6766" "G6767" "G6768" "G6769" "G6770" "G6771" "G6772" "G6773" "G6774"
[7381] "G6775" "G6776" "G6777" "G6778" "G6779" "G6780" "G6781" "G6782" "G6783"
[7390] "G6784" "G6785" "G6786" "G6787" "G6788" "G6789" "G6790" "G6791" "G6792"
[7399] "G6793" "G6794" "G6795" "G6796" "G6797" "G6798" "G6799" "G6800" "G6801"
[7408] "G6802" "G6803" "G6804" "G6805" "G6806" "G6807" "G6808" "G6809" "G6810"
[7417] "G6811" "G6812" "G6813" "G6814" "G6815" "G6816" "G6817" "G6818" "G6819"
[7426] "G6820" "G6821" "G6822" "G6823" "G6824" "G6825" "G6826" "G6827" "G6828"
[7435] "G6829" "G6830" "G6831" "G6832" "G6833" "G6834" "G6835" "G6836" "G6837"
[7444] "G6838" "G6839" "G6840" "G6841" "G6842" "G6843" "G6844" "G6845" "G6846"
[7453] "G6847" "G6848" "G6849" "G6850" "G6851" "G6852" "G6853" "G6854" "G6855"
[7462] "G6856" "G6857" "G6858" "G6859" "G6860" "G6861" "G6862" "G6863" "G6864"
[7471] "G6865" "G6866" "G6867" "G6868" "G6869" "G6870" "G6871" "G6872" "G6873"
[7480] "G6874" "G6875" "G6876" "G6877" "G6878" "G6879" "G6880" "G6881" "G6882"
[7489] "G6883" "G6884" "G6885" "G6886" "G6887" "G6888" "G6889" "G6890" "G6891"
[7498] "G6892" "G6893" "G6894" "G6895" "G6896" "G6897" "G6898" "G6899" "G6900"
[7507] "G6901" "G6902" "G6903" "G6904" "G6905" "G6906" "G6907" "G6908" "G6909"
[7516] "G6910" "G6911" "G6912" "G6913" "G6914" "G6915" "G6916" "G6917" "G6918"
[7525] "G6919" "G6920" "G6921" "G6922" "G6923" "G6924" "G6925" "G6926" "G6927"
[7534] "G6928" "G6929" "G6930" "G6931" "G6932" "G6933" "G6934" "G6935" "G6936"
[7543] "G6937" "G6938" "G6939" "G6940" "G6941" "G6942" "G6943" "G6944" "G6945"
[7552] "G6946" "G6947" "G6948" "G6949" "G6950" "G6951" "G6952" "G6953" "G6954"
[7561] "G6955" "G6956" "G6957" "G6958" "G6959" "G6960" "G6961" "G6962" "G6963"
[7570] "G6964" "G6965" "G6966" "G6967" "G6968" "G6969" "G6970" "G6971" "G6972"
[7579] "G6973" "G6974" "G6975" "G6976" "G6977" "G6978" "G6979" "G6980" "G6981"
[7588] "G6982" "G6983" "G6984" "G6985" "G6986" "G6987" "G6988" "G6989" "G6990"
[7597] "G6991" "G6992" "G6993" "G6994" "G6995" "G6996" "G6997" "G6998" "G6999"
[7606] "G7000" "G7001" "G7002" "G7003" "G7004" "G7005" "G7006" "G7007" "G7008"
[7615] "G7009" "G7010" "G7011" "G7012" "G7013" "G7014" "G7015" "G7016" "G7017"
[7624] "G7018" "G7019" "G7020" "G7021" "G7022" "G7023" "G7024" "G7025" "G7026"
[7633] "G7027" "G7028" "G7029" "G7030" "G7031" "G7032" "G7033" "G7034" "G7035"
[7642] "G7036" "G7037" "G7038" "G7039" "G7040" "G7041" "G7042" "G7043" "G7044"
[7651] "G7045" "G7046" "G7047" "G7048" "G7049" "G7050" "G7051" "G7052" "G7053"
[7660] "G7054" "G7055" "G7056" "G7057" "G7058" "G7059" "G7060" "G7061" "G7062"
[7669] "G7063" "G7064" "G7065" "G7066" "G7067" "G7068" "G7069" "G7070" "G7071"
[7678] "G7072" "G7073" "G7074" "G7075" "G7076" "G7077" "G7078" "G7079" "G7080"
[7687] "G7081" "G7082" "G7083" "G7084" "G7085" "G7086" "G7087" "G7088" "G7089"
[7696] "G7090" "G7091" "G7092" "G7093" "G7094" "G7095" "G7096" "G7097" "G7098"
[7705] "G7099" "G7100" "G7101" "G7102" "G7103" "G7104" "G7105" "G7106" "G7107"
[7714] "G7108" "G7109" "G7110" "G7111" "G7112" "G7113" "G7114" "G7115" "G7116"
[7723] "G7117" "G7118" "G7119" "G7120" "G7121" "G7122" "G7123" "G7124" "G7125"
[7732] "G7126" "G7127" "G7128" "G7129" "G7130" "G7131" "G7132" "G7133" "G7134"
[7741] "G7135" "G7136" "G7137" "G7138" "G7139" "G7140" "G7141" "G7142" "G7143"
[7750] "G7144" "G7145" "G7146" "G7147" "G7148" "G7149" "G7150" "G7151" "G7152"
[7759] "G7153" "G7154" "G7155" "G7156" "G7157" "G7158" "G7159" "G7160" "G7161"
[7768] "G7162" "G7163" "G7164" "G7165" "G7166" "G7167" "G7168" "G7169" "G7170"
[7777] "G7171" "G7172" "G7173" "G7174" "G7175" "G7176" "G7177" "G7178" "G7179"
[7786] "G7180" "G7181" "G7182" "G7183" "G7184" "G7185" "G7186" "G7187" "G7188"
[7795] "G7189" "G7190" "G7191" "G7192" "G7193" "G7194" "G7195" "G7196" "G7197"
[7804] "G7198" "G7199" "G7200" "G7201" "G7202" "G7203" "G7204" "G7205" "G7206"
[7813] "G7207" "G7208" "G7209" "G7210" "G7211" "G7212" "G7213" "G7214" "G7215"
[7822] "G7216" "G7217" "G7218" "G7219" "G7220" "G7221" "G7222" "G7223" "G7224"
[7831] "G7225" "G7226" "G7227" "G7228" "G7229" "G7230" "G7231" "G7232" "G7233"
[7840] "G7234" "G7235" "G7236" "G7237" "G7238" "G7239" "G7240" "G7241" "G7242"
[7849] "G7243" "G7244" "G7245" "G7246" "G7247" "G7248" "G7249" "G7250" "G7251"
[7858] "G7252" "G7253" "G7254" "G7255" "G7256" "G7257" "G7258" "G7259" "G7260"
[7867] "G7261" "G7262" "G7263" "G7264" "G7265" "G7266" "G7267" "G7268" "G7269"
[7876] "G7270" "G7271" "G7272" "G7273" "G7274" "G7275" "G7276" "G7277" "G7278"
[7885] "G7279" "G7280" "G7281" "G7282" "G7283" "G7284" "G7285" "G7286" "G7287"
[7894] "G7288" "G7289" "G7290" "G7291" "G7292" "G7293" "G7294" "G7295" "G7296"
[7903] "G7297" "G7298" "G7299" "G7300" "G7301" "G7302" "G7303" "G7304" "G7305"
[7912] "G7306" "G7307" "G7308" "G7309" "G7310" "G7311" "G7312" "G7313" "G7314"
[7921] "G7315" "G7316" "G7317" "G7318" "G7319" "G7320" "G7321" "G7322" "G7323"
[7930] "G7324" "G7325" "G7326" "G7327" "G7328" "G7329" "G7330" "G7331" "G7332"
[7939] "G7333" "G7334" "G7335" "G7336" "G7337" "G7338" "G7339" "G7340" "G7341"
[7948] "G7342" "G7343" "G7344" "G7345" "G7346" "G7347" "G7348" "G7349" "G7350"
[7957] "G7351" "G7352" "G7353" "G7354" "G7355" "G7356" "G7357" "G7358" "G7359"
[7966] "G7360" "G7361" "G7362" "G7363" "G7364" "G7365" "G7366" "G7367" "G7368"
[7975] "G7369" "G7370" "G7371" "G7372" "G7373" "G7374" "G7375" "G7376" "G7377"
[7984] "G7378" "G7379" "G7380" "G7381" "G7382" "G7383" "G7384" "G7385" "G7386"
[7993] "G7387" "G7388" "G7389" "G7390" "G7391" "G7392" "G7393" "G7394" "G7395"
[8002] "G7396" "G7397" "G7398" "G7399" "G7400" "G7401" "G7402" "G7403" "G7404"
[8011] "G7405" "G7406" "G7407" "G7408" "G7409" "G7410" "G7411" "G7412" "G7413"
[8020] "G7414" "G7415" "G7416" "G7417" "G7418" "G7419" "G7420" "G7421" "G7422"
[8029] "G7423" "G7424" "G7425" "G7426" "G7427" "G7428" "G7429" "G7430" "G7431"
[8038] "G7432" "G7433" "G7434" "G7435" "G7436" "G7437" "G7438" "G7439" "G7440"
[8047] "G7441" "G7442" "G7443" "G7444" "G7445" "G7446" "G7447" "G7448" "G7449"
[8056] "G7450" "G7451" "G7452" "G7453" "G7454" "G7455" "G7456" "G7457" "G7458"
[8065] "G7459" "G7460" "G7461" "G7462" "G7463" "G7464" "G7465" "G7466" "G7467"
[8074] "G7468" "G7469" "G7470" "G7471" "G7472" "G7473" "G7474" "G7475" "G7476"
[8083] "G7477" "G7478" "G7479" "G7480" "G7481" "G7482" "G7483" "G7484" "G7485"
[8092] "G7486" "G7487" "G7488" "G7489" "G7490" "G7491" "G7492" "G7493" "G7494"
[8101] "G7495" "G7496" "G7497" "G7498" "G7499" "G7500" "G7501" "G7502" "G7503"
[8110] "G7504" "G7505" "G7506" "G7507" "G7508" "G7509" "G7510" "G7511" "G7512"
[8119] "G7513" "G7514" "G7515" "G7516" "G7517" "G7518" "G7519" "G7520" "G7521"
[8128] "G7522" "G7523" "G7524" "G7525" "G7526" "G7527" "G7528" "G7529" "G7530"
[8137] "G7531" "G7532" "G7533" "G7534" "G7535" "G7536" "G7537" "G7538" "G7539"
[8146] "G7540" "G7541" "G7542" "G7543" "G7544" "G7545" "G7546" "G7547" "G7548"
[8155] "G7549" "G7550" "G7551" "G7552" "G7553" "G7554" "G7555" "G7556" "G7557"
[8164] "G7558" "G7559" "G7560" "G7561" "G7562" "G7563" "G7564" "G7565" "G7566"
[8173] "G7567" "G7568" "G7569" "G7570" "G7571" "G7572" "G7573" "G7574" "G7575"
[8182] "G7576" "G7577" "G7578" "G7579" "G7580" "G7581" "G7582" "G7583" "G7584"
[8191] "G7585" "G7586" "G7587" "G7588" "G7589" "G7590" "G7591" "G7592" "G7593"
[8200] "G7594" "G7595" "G7596" "G7597" "G7598" "G7599" "G7600" "G7601" "G7602"
[8209] "G7603" "G7604" "G7605" "G7606" "G7607" "G7608" "G7609" "G7610" "G7611"
[8218] "G7612" "G7613" "G7614" "G7615" "G7616" "G7617" "G7618" "G7619" "G7620"
[8227] "G7621" "G7622" "G7623" "G7624" "G7625" "G7626" "G7627" "G7628" "G7629"
[8236] "G7630" "G7631" "G7632" "G7633" "G7634" "G7635" "G7636" "G7637" "G7638"
[8245] "G7639" "G7640" "G7641" "G7642" "G7643" "G7644" "G7645" "G7646" "G7647"
[8254] "G7648" "G7649" "G7650" "G7651" "G7652" "G7653" "G7654" "G7655" "G7656"
[8263] "G7657" "G7658" "G7659" "G7660" "G7661" "G7662" "G7663" "G7664" "G7665"
[8272] "G7666" "G7667" "G7668" "G7669" "G7670" "G7671" "G7672" "G7673" "G7674"
[8281] "G7675" "G7676" "G7677" "G7678" "G7679" "G7680" "G7681" "G7682" "G7683"
[8290] "G7684" "G7685" "G7686" "G7687" "G7688" "G7689" "G7690" "G7691" "G7692"
[8299] "G7693" "G7694" "G7695" "G7696" "G7697" "G7698" "G7699" "G7700" "G7701"
[8308] "G7702" "G7703" "G7704" "G7705" "G7706" "G7707" "G7708" "G7709" "G7710"
[8317] "G7711" "G7712" "G7713" "G7714" "G7715" "G7716" "G7717" "G7718" "G7719"
[8326] "G7720" "G7721" "G7722" "G7723" "G7724" "G7725" "G7726" "G7727" "G7728"
[8335] "G7729" "G7730" "G7731" "G7732" "G7733" "G7734" "G7735" "G7736" "G7737"
[8344] "G7738" "G7739" "G7740" "G7741" "G7742" "G7743" "G7744" "G7745" "G7746"
[8353] "G7747" "G7748" "G7749" "G7750" "G7751" "G7752" "G7753" "G7754" "G7755"
[8362] "G7756" "G7757" "G7758" "G7759" "G7760" "G7761" "G7762" "G7763" "G7764"
[8371] "G7765" "G7766" "G7767" "G7768" "G7769" "G7770" "G7771" "G7772" "G7773"
[8380] "G7774" "G7775" "G7776" "G7777" "G7778" "G7779" "G7780" "G7781" "G7782"
[8389] "G7783" "G7784" "G7785" "G7786" "G7787" "G7788" "G7789" "G7790" "G7791"
[8398] "G7792" "G7793" "G7794" "G7795" "G7796" "G7797" "G7798" "G7799" "G7800"
[8407] "G7801" "G7802" "G7803" "G7804" "G7805" "G7806" "G7807" "G7808" "G7809"
[8416] "G7810" "G7811" "G7812" "G7813" "G7814" "G7815" "G7816" "G7817" "G7818"
[8425] "G7819" "G7820" "G7821" "G7822" "G7823" "G7824" "G7825" "G7826" "G7827"
[8434] "G7828" "G7829" "G7830" "G7831" "G7832" "G7833" "G7834" "G7835" "G7836"
[8443] "G7837" "G7838" "G7839" "G7840" "G7841" "G7842" "G7843" "G7844" "G7845"
[8452] "G7846" "G7847" "G7848" "G7849" "G7850" "G7851" "G7852" "G7853" "G7854"
[8461] "G7855" "G7856" "G7857" "G7858" "G7859" "G7860" "G7861" "G7862" "G7863"
[8470] "G7864" "G7865" "G7866" "G7867" "G7868" "G7869" "G7870" "G7871" "G7872"
[8479] "G7873" "G7874" "G7875" "G7876" "G7877" "G7878" "G7879" "G7880" "G7881"
[8488] "G7882" "G7883" "G7884" "G7885" "G7886" "G7887" "G7888" "G7889" "G7890"
[8497] "G7891" "G7892" "G7893" "G7894" "G7895" "G7896" "G7897" "G7898" "G7899"
[8506] "G7900" "G7901" "G7902" "G7903" "G7904" "G7905" "G7906" "G7907" "G7908"
[8515] "G7909" "G7910" "G7911" "G7912" "G7913" "G7914" "G7915" "G7916" "G7917"
[8524] "G7918" "G7919" "G7920" "G7921" "G7922" "G7923" "G7924" "G7925" "G7926"
[8533] "G7927" "G7928" "G7929" "G7930" "G7931" "G7932" "G7933" "G7934" "G7935"
[8542] "G7936" "G7937" "G7938" "G7939" "G7940" "G7941" "G7942" "G7943" "G7944"
[8551] "G7945" "G7946" "G7947" "G7948" "G7949" "G7950" "G7951" "G7952" "G7953"
[8560] "G7954" "G7955" "G7956" "G7957" "G7958" "G7959" "G7960" "G7961" "G7962"
[8569] "G7963" "G7964" "G7965" "G7966" "G7967" "G7968" "G7969" "G7970" "G7971"
[8578] "G7972" "G7973" "G7974" "G7975" "G7976" "G7977" "G7978" "G7979" "G7980"
[8587] "G7981" "G7982" "G7983" "G7984" "G7985" "G7986" "G7987" "G7988" "G7989"
[8596] "G7990" "G7991" "G7992" "G7993" "G7994" "G7995" "G7996" "G7997" "G7998"
[8605] "G7999" "G8000" "G8001" "G8002" "G8003" "G8004" "G8005" "G8006" "G8007"
[8614] "G8008" "G8009" "G8010" "G8011" "G8012" "G8013" "G8014" "G8015" "G8016"
[8623] "G8017" "G8018" "G8019" "G8020" "G8021" "G8022" "G8023" "G8024" "G8025"
[8632] "G8026" "G8027" "G8028" "G8029" "G8030" "G8031" "G8032" "G8033" "G8034"
[8641] "G8035" "G8036" "G8037" "G8038" "G8039" "G8040" "G8041" "G8042" "G8043"
[8650] "G8044" "G8045" "G8046" "G8047" "G8048" "G8049" "G8050" "G8051" "G8052"
[8659] "G8053" "G8054" "G8055" "G8056" "G8057" "G8058" "G8059" "G8060" "G8061"
[8668] "G8062" "G8063" "G8064" "G8065" "G8066" "G8067" "G8068" "G8069" "G8070"
[8677] "G8071" "G8072" "G8073" "G8074" "G8075" "G8076" "G8077" "G8078" "G8079"
[8686] "G8080" "G8081" "G8082" "G8083" "G8084" "G8085" "G8086" "G8087" "G8088"
[8695] "G8089" "G8090" "G8091" "G8092" "G8093" "G8094" "G8095" "G8096" "G8097"
[8704] "G8098" "G8099" "G8100" "G8101" "G8102" "G8103" "G8104" "G8105" "G8106"
[8713] "G8107" "G8108" "G8109" "G8110" "G8111" "G8112" "G8113" "G8114" "G8115"
[8722] "G8116" "G8117" "G8118" "G8119" "G8120" "G8121" "G8122" "G8123" "G8124"
[8731] "G8125" "G8126" "G8127" "G8128" "G8129" "G8130" "G8131" "G8132" "G8133"
[8740] "G8134" "G8135" "G8136" "G8137" "G8138" "G8139" "G8140" "G8141" "G8142"
[8749] "G8143" "G8144" "G8145" "G8146" "G8147" "G8148" "G8149" "G8150" "G8151"
[8758] "G8152" "G8153" "G8154" "G8155" "G8156" "G8157" "G8158" "G8159" "G8160"
[8767] "G8161" "G8162" "G8163" "G8164" "G8165" "G8166" "G8167" "G8168" "G8169"
[8776] "G8170" "G8171" "G8172" "G8173" "G8174" "G8175" "G8176" "G8177" "G8178"
[8785] "G8179" "G8180" "G8181" "G8182" "G8183" "G8184" "G8185" "G8186" "G8187"
[8794] "G8188" "G8189" "G8190" "G8191" "G8192" "G8193" "G8194" "G8195" "G8196"
[8803] "G8197" "G8198" "G8199" "G8200" "G8201" "G8202" "G8203" "G8204" "G8205"
[8812] "G8206" "G8207" "G8208" "G8209" "G8210" "G8211" "G8212" "G8213" "G8214"
[8821] "G8215" "G8216" "G8217" "G8218" "G8219" "G8220" "G8221" "G8222" "G8223"
[8830] "G8224" "G8225" "G8226" "G8227" "G8228" "G8229" "G8230" "G8231" "G8232"
[8839] "G8233" "G8234" "G8235" "G8236" "G8237" "G8238" "G8239" "G8240" "G8241"
[8848] "G8242" "G8243" "G8244" "G8245" "G8246" "G8247" "G8248" "G8249" "G8250"
[8857] "G8251" "G8252" "G8253" "G8254" "G8255" "G8256" "G8257" "G8258" "G8259"
[8866] "G8260" "G8261" "G8262" "G8263" "G8264" "G8265" "G8266" "G8267" "G8268"
[8875] "G8269" "G8270" "G8271" "G8272" "G8273" "G8274" "G8275" "G8276" "G8277"
[8884] "G8278" "G8279" "G8280" "G8281" "G8282" "G8283" "G8284" "G8285" "G8286"
[8893] "G8287" "G8288" "G8289" "G8290" "G8291" "G8292" "G8293" "G8294" "G8295"
[8902] "G8296" "G8297" "G8298" "G8299" "G8300" "G8301" "G8302" "G8303" "G8304"
[8911] "G8305" "G8306" "G8307" "G8308" "G8309" "G8310" "G8311" "G8312" "G8313"
[8920] "G8314" "G8315" "G8316" "G8317" "G8318" "G8319" "G8320" "G8321" "G8322"
[8929] "G8323" "G8324" "G8325" "G8326" "G8327" "G8328" "G8329" "G8330" "G8331"
[8938] "G8332" "G8333" "G8334" "G8335" "G8336" "G8337" "G8338" "G8339" "G8340"
[8947] "G8341" "G8342" "G8343" "G8344" "G8345" "G8346" "G8347" "G8348" "G8349"
[8956] "G8350" "G8351" "G8352" "G8353" "G8354" "G8355" "G8356" "G8357" "G8358"
[8965] "G8359" "G8360" "G8361" "G8362" "G8363" "G8364" "G8365" "G8366" "G8367"
[8974] "G8368" "G8369" "G8370" "G8371" "G8372" "G8373" "G8374" "G8375" "G8376"
[8983] "G8377" "G8378" "G8379" "G8380" "G8381" "G8382" "G8383" "G8384" "G8385"
[8992] "G8386" "G8387" "G8388" "G8389" "G8390" "G8391" "G8392" "G8393" "G8394"
[9001] "G8395" "G8396" "G8397" "G8398" "G8399" "G8400" "G8401" "G8402" "G8403"
[9010] "G8404" "G8405" "G8406" "G8407" "G8408" "G8409" "G8410" "G8411" "G8412"
[9019] "G8413" "G8414" "G8415" "G8416" "G8417" "G8418" "G8419" "G8420" "G8421"
[9028] "G8422" "G8423" "G8424" "G8425" "G8426" "G8427" "G8428" "G8429" "G8430"
[9037] "G8431" "G8432" "G8433" "G8434" "G8435" "G8436" "G8437" "G8438" "G8439"
[9046] "G8440" "G8441" "G8442" "G8443" "G8444" "G8445" "G8446" "G8447" "G8448"
[9055] "G8449" "G8450" "G8451" "G8452" "G8453" "G8454" "G8455" "G8456" "G8457"
[9064] "G8458" "G8459" "G8460" "G8461" "G8462" "G8463" "G8464" "G8465" "G8466"
[9073] "G8467" "G8468" "G8469" "G8470" "G8471" "G8472" "G8473" "G8474" "G8475"
[9082] "G8476" "G8477" "G8478" "G8479" "G8480" "G8481" "G8482" "G8483" "G8484"
[9091] "G8485" "G8486" "G8487" "G8488" "G8489" "G8490" "G8491" "G8492" "G8493"
[9100] "G8494" "G8495" "G8496" "G8497" "G8498" "G8499" "G8500" "G8501" "G8502"
[9109] "G8503" "G8504" "G8505" "G8506" "G8507" "G8508" "G8509" "G8510" "G8511"
[9118] "G8512" "G8513" "G8514" "G8515" "G8516" "G8517" "G8518" "G8519" "G8520"
[9127] "G8521" "G8522" "G8523" "G8524" "G8525" "G8526" "G8527" "G8528" "G8529"
[9136] "G8530" "G8531" "G8532" "G8533" "G8534" "G8535" "G8536" "G8537" "G8538"
[9145] "G8539" "G8540" "G8541" "G8542" "G8543" "G8544" "G8545" "G8546" "G8547"
[9154] "G8548" "G8549" "G8550" "G8551" "G8552" "G8553" "G8554" "G8555" "G8556"
[9163] "G8557" "G8558" "G8559" "G8560" "G8561" "G8562" "G8563" "G8564" "G8565"
[9172] "G8566" "G8567" "G8568" "G8569" "G8570" "G8571" "G8572" "G8573" "G8574"
[9181] "G8575" "G8576" "G8577" "G8578" "G8579" "G8580" "G8581" "G8582" "G8583"
[9190] "G8584" "G8585" "G8586" "G8587" "G8588" "G8589" "G8590" "G8591" "G8592"
[9199] "G8593" "G8594" "G8595" "G8596" "G8597" "G8598" "G8599" "G8600" "G8601"
[9208] "G8602" "G8603" "G8604" "G8605" "G8606" "G8607" "G8608" "G8609" "G8610"
[9217] "G8611" "G8612" "G8613" "G8614" "G8615" "G8616" "G8617" "G8618" "G8619"
[9226] "G8620" "G8621" "G8622" "G8623" "G8624" "G8625" "G8626" "G8627" "G8628"
[9235] "G8629" "G8630" "G8631" "G8632" "G8633" "G8634" "G8635" "G8636" "G8637"
[9244] "G8638" "G8639" "G8640" "G8641" "G8642" "G8643" "G8644" "G8645" "G8646"
[9253] "G8647" "G8648" "G8649" "G8650" "G8651" "G8652" "G8653" "G8654" "G8655"
[9262] "G8656" "G8657" "G8658" "G8659" "G8660" "G8661" "G8662" "G8663" "G8664"
[9271] "G8665" "G8666" "G8667" "G8668" "G8669" "G8670" "G8671" "G8672" "G8673"
[9280] "G8674" "G8675" "G8676" "G8677" "G8678" "G8679" "G8680" "G8681" "G8682"
[9289] "G8683" "G8684" "G8685" "G8686" "G8687" "G8688" "G8689" "G8690" "G8691"
[9298] "G8692" "G8693" "G8694" "G8695" "G8696" "G8697" "G8698" "G8699" "G8700"
[9307] "G8701" "G8702" "G8703" "G8704" "G8705" "G8706" "G8707" "G8708" "G8709"
[9316] "G8710" "G8711" "G8712" "G8713" "G8714" "G8715" "G8716" "G8717" "G8718"
[9325] "G8719" "G8720" "G8721" "G8722" "G8723" "G8724" "G8725" "G8726" "G8727"
[9334] "G8728" "G8729" "G8730" "G8731" "G8732" "G8733" "G8734" "G8735" "G8736"
[9343] "G8737" "G8738" "G8739" "G8740" "G8741" "G8742" "G8743" "G8744" "G8745"
[9352] "G8746" "G8747" "G8748" "G8749" "G8750" "G8751" "G8752" "G8753" "G8754"
[9361] "G8755" "G8756" "G8757" "G8758" "G8759" "G8760" "G8761" "G8762" "G8763"
[9370] "G8764" "G8765" "G8766" "G8767" "G8768" "G8769" "G8770" "G8771" "G8772"
[9379] "G8773" "G8774" "G8775" "G8776" "G8777" "G8778" "G8779" "G8780" "G8781"
[9388] "G8782" "G8783" "G8784" "G8785" "G8786" "G8787" "G8788" "G8789" "G8790"
[9397] "G8791" "G8792" "G8793" "G8794" "G8795" "G8796" "G8797" "G8798" "G8799"
[9406] "G8800" "G8801" "G8802" "G8803" "G8804" "G8805" "G8806" "G8807" "G8808"
[9415] "G8809" "G8810" "G8811" "G8812" "G8813" "G8814" "G8815" "G8816" "G8817"
[9424] "G8818" "G8819" "G8820" "G8821" "G8822" "G8823" "G8824" "G8825" "G8826"
[9433] "G8827" "G8828" "G8829" "G8830" "G8831" "G8832" "G8833" "G8834" "G8835"
[9442] "G8836" "G8837" "G8838" "G8839" "G8840" "G8841" "G8842" "G8843" "G8844"
[9451] "G8845" "G8846" "G8847" "G8848" "G8849" "G8850" "G8851" "G8852" "G8853"
[9460] "G8854" "G8855" "G8856" "G8857" "G8858" "G8859" "G8860" "G8861" "G8862"
[9469] "G8863" "G8864" "G8865" "G8866" "G8867" "G8868" "G8869" "G8870" "G8871"
[9478] "G8872" "G8873" "G8874" "G8875" "G8876" "G8877" "G8878" "G8879" "G8880"
[9487] "G8881" "G8882" "G8883" "G8884" "G8885" "G8886" "G8887" "G8888" "G8889"
[9496] "G8890" "G8891" "G8892" "G8893" "G8894" "G8895" "G8896" "G8897" "G8898"
[9505] "G8899" "G8900" "G8901" "G8902" "G8903" "G8904" "G8905" "G8906" "G8907"
[9514] "G8908" "G8909" "G8910" "G8911" "G8912" "G8913" "G8914" "G8915" "G8916"
[9523] "G8917" "G8918" "G8919" "G8920" "G8921" "G8922" "G8923" "G8924" "G8925"
[9532] "G8926" "G8927" "G8928" "G8929" "G8930" "G8931" "G8932" "G8933" "G8934"
[9541] "G8935" "G8936" "G8937" "G8938" "G8939" "G8940" "G8941" "G8942" "G8943"
[9550] "G8944" "G8945" "G8946" "G8947" "G8948" "G8949" "G8950" "G8951" "G8952"
[9559] "G8953" "G8954" "G8955" "G8956" "G8957" "G8958" "G8959" "G8960" "G8961"
[9568] "G8962" "G8963" "G8964" "G8965" "G8966" "G8967" "G8968" "G8969" "G8970"
[9577] "G8971" "G8972" "G8973" "G8974" "G8975" "G8976" "G8977" "G8978" "G8979"
[9586] "G8980" "G8981" "G8982" "G8983" "G8984" "G8985" "G8986" "G8987" "G8988"
[9595] "G8989" "G8990" "G8991" "G8992" "G8993" "G8994" "G8995" "G8996" "G8997"
[9604] "G8998" "G8999" "G9000" "G9001" "G9002" "G9003" "G9004" "G9005" "G9006"
[9613] "G9007" "G9008" "G9009" "G9010" "G9011" "G9012" "G9013" "G9014" "G9015"
[9622] "G9016" "G9017" "G9018" "G9019" "G9020" "G9021" "G9022" "G9023" "G9024"
[9631] "G9025" "G9026" "G9027" "G9028" "G9029" "G9030" "G9031" "G9032" "G9033"
[9640] "G9034" "G9035" "G9036" "G9037" "G9038" "G9039" "G9040" "G9041" "G9042"
[9649] "G9043" "G9044" "G9045" "G9046" "G9047" "G9048" "G9049" "G9050" "G9051"
[9658] "G9052" "G9053" "G9054" "G9055" "G9056" "G9057" "G9058" "G9059" "G9060"
[9667] "G9061" "G9062" "G9063" "G9064" "G9065" "G9066" "G9067" "G9068" "G9069"
[9676] "G9070" "G9071" "G9072" "G9073" "G9074" "G9075" "G9076" "G9077" "G9078"
[9685] "G9079" "G9080" "G9081" "G9082" "G9083" "G9084" "G9085" "G9086" "G9087"
[9694] "G9088" "G9089" "G9090" "G9091" "G9092" "G9093" "G9094" "G9095" "G9096"
[9703] "G9097" "G9098" "G9099" "G9100" "G9101" "G9102" "G9103" "G9104" "G9105"
[9712] "G9106" "G9107" "G9108" "G9109" "G9110" "G9111" "G9112" "G9113" "G9114"
[9721] "G9115" "G9116" "G9117" "G9118" "G9119" "G9120" "G9121" "G9122" "G9123"
[9730] "G9124" "G9125" "G9126" "G9127" "G9128" "G9129" "G9130" "G9131" "G9132"
[9739] "G9133" "G9134" "G9135" "G9136" "G9137" "G9138" "G9139" "G9140" "G9141"
[9748] "G9142" "G9143" "G9144" "G9145" "G9146" "G9147" "G9148" "G9149" "G9150"
[9757] "G9151" "G9152" "G9153" "G9154" "G9155" "G9156" "G9157" "G9158" "G9159"
[9766] "G9160" "G9161" "G9162" "G9163" "G9164" "G9165" "G9166" "G9167" "G9168"
[9775] "G9169" "G9170" "G9171" "G9172" "G9173" "G9174" "G9175" "G9176" "G9177"
[9784] "G9178" "G9179" "G9180" "G9181" "G9182" "G9183" "G9184" "G9185" "G9186"
[9793] "G9187" "G9188" "G9189" "G9190" "G9191" "G9192" "G9193" "G9194" "G9195"
[9802] "G9196" "G9197" "G9198" "G9199" "G9200" "G9201" "G9202" "G9203" "G9204"
[9811] "G9205" "G9206" "G9207" "G9208" "G9209" "G9210" "G9211" "G9212" "G9213"
[9820] "G9214" "G9215" "G9216" "G9217" "G9218" "G9219" "G9220" "G9221" "G9222"
[9829] "G9223" "G9224" "G9225" "G9226" "G9227" "G9228" "G9229" "G9230" "G9231"
[9838] "G9232" "G9233" "G9234" "G9235" "G9236" "G9237" "G9238" "G9239" "G9240"
[9847] "G9241" "G9242" "G9243" "G9244" "G9245" "G9246" "G9247" "G9248" "G9249"
[9856] "G9250" "G9251" "G9252" "G9253" "G9254" "G9255" "G9256" "G9257" "G9258"
[9865] "G9259" "G9260" "G9261" "G9262" "G9263" "G9264" "G9265" "G9266" "G9267"
[9874] "G9268" "G9269" "G9270" "G9271" "G9272" "G9273" "G9274" "G9275" "G9276"
[9883] "G9277" "G9278" "G9279" "G9280" "G9281" "G9282" "G9283" "G9284" "G9285"
[9892] "G9286" "G9287" "G9288" "G9289" "G9290" "G9291" "G9292" "G9293" "G9294"
[9901] "G9295" "G9296" "G9297" "G9298" "G9299" "G9300" "G9301" "G9302" "G9303"
[9910] "G9304" "G9305" "G9306" "G9307" "G9308" "G9309" "G9310" "G9311" "G9312"
[9919] "G9313" "G9314" "G9315" "G9316" "G9317" "G9318" "G9319" "G9320" "G9321"
[9928] "G9322" "G9323" "G9324" "G9325" "G9326" "G9327" "G9328" "G9329" "G9330"
[9937] "G9331" "G9332" "G9333"
attr(,"geneticGroups")
[1] 0 0
attr(,"class")
[1] "matrix" "array" "ginv"
\boldsymbol{y} = \boldsymbol{1}_{RC}\cdot \mu + \mathbf{Z}_g\boldsymbol{u}_a + \mathbf{Z}_g\boldsymbol{u}_{\bar{a}} + \boldsymbol{e} \begin{bmatrix}\boldsymbol{u}_a\\\boldsymbol{u}_{\bar{a}}\\\boldsymbol{e}\end{bmatrix}\sim N\left(\begin{bmatrix}\boldsymbol{0}\\\boldsymbol{0}\\\boldsymbol{0}\end{bmatrix}, \begin{bmatrix}\sigma^2_a\mathbf{A} & \mathbf{0} & \mathbf{0}\\\mathbf{0} &\sigma^2_{\bar{a}}\mathbf{I}_G & \mathbf{0}\\\mathbf{0} & \mathbf{0} & \sigma^2\mathbf{I}_{RC}\end{bmatrix}\right)
# A tibble: 3 × 5
term estimate std.error statistic constraint
<chr> <dbl> <dbl> <dbl> <chr>
1 vm(gen, Ainv) 0.0125 0.0153 0.813 P
2 ide(gen) 0.0311 0.0362 0.859 P
3 units!R 0.229 0.0298 7.68 P
ebv_nrm <- tidy(fit_nrm, "random") |>
filter(str_detect(term, "^vm[(]gen, Ainv[)]")) |>
mutate(gen = str_remove(term, "^vm[(]gen, Ainv[)]_")) |>
filter(gen %in% cropscan::trial_pheno$gen) |>
select(-term)
ebv_nrm# A tibble: 191 × 3
estimate std.error gen
<dbl> <dbl> <chr>
1 -0.122 0.0909 G0004
2 -0.192 0.0783 G0008
3 -0.0628 0.0968 G0011
4 0.0494 0.0691 G0323
5 0.0211 0.0802 G0010
6 -0.263 0.0717 G0324
7 -0.0854 0.0480 G0009
8 0.0118 0.0603 G0006
9 -0.0124 0.0759 G0013
10 0.100 0.0620 G0003
# ℹ 181 more rows
# A tibble: 191 × 17,317
gen M00001 M00002 M00003 M00004 M00005 M00006 M00007 M00008
<chr> <dbl> <dbl> <dbl> <dbl> <dbl> <dbl> <dbl> <dbl>
1 G0002 0 0 0 0 0 0 0 0
2 G0003 0 0 0 0 0 0 0 0
3 G0004 0 0 0 0 0 0 0 0
4 G0005 0 0 0 0 0 0 0 0
5 G0006 0 0 0 0 0 0 0 0
6 G0007 0 0 0 0 0 0 0 0
7 G0008 0 0 0 0 0 0 0 0
8 G0009 0 0 0 0 0 0 0 0
9 G0010 0 0 0 0 0 0 0 0
10 G0011 0 0 0 0 0 0 0 0
# ℹ 181 more rows
# ℹ 17,308 more variables: M00009 <dbl>, M00010 <dbl>, M00011 <dbl>,
# M00012 <dbl>, M00013 <dbl>, M00014 <dbl>, M00015 <dbl>,
# M00016 <dbl>, M00017 <dbl>, M00018 <dbl>, M00019 <dbl>,
# M00020 <dbl>, M00021 <dbl>, M00022 <dbl>, M00023 <dbl>,
# M00024 <dbl>, M00025 <dbl>, M00026 <dbl>, M00027 <dbl>,
# M00028 <dbl>, M00029 <dbl>, M00030 <dbl>, M00031 <dbl>, …

ebv_grm <- tidy(fit_grm, "random") |>
filter(str_detect(term, "^vm[(]gen, K[)]")) |>
mutate(gen = str_remove(term, "^vm[(]gen, K[)]_")) |>
select(-term, grm = estimate, grm_sd = std.error)
ebv_nrm |>
rename(nrm = estimate, nrm_sd = std.error) |>
left_join(ebv_grm, by = "gen") |>
ggplot(aes(grm, nrm)) +
geom_point() +
geom_abline(slope = 1, intercept = 0, color = "grey") +
labs(x = "EBV from GRM", y = "EBV from NRM")
\boldsymbol{y} = \boldsymbol{1}_{RC}\cdot \mu + \mathbf{Z}_g\boldsymbol{u}_{a'} + \mathbf{Z}_g\boldsymbol{u}_a + \mathbf{Z}_g\boldsymbol{u}_{\bar{a}} + \boldsymbol{e} \begin{bmatrix}\boldsymbol{u}_{a'}\\\boldsymbol{u}_{a}\\\boldsymbol{u}_{\bar{a}}\\\boldsymbol{e}\end{bmatrix}\sim N\left(\begin{bmatrix}\boldsymbol{0}\\\boldsymbol{0}\\\boldsymbol{0}\\\boldsymbol{0}\end{bmatrix}, \begin{bmatrix}\sigma^2_m\mathbf{K} & \mathbf{0} & \mathbf{0} & \mathbf{0}\\\mathbf{0} & \sigma^2_a\mathbf{A} & \mathbf{0} & \mathbf{0}\\\mathbf{0}& \mathbf{0} &\sigma^2_{\bar{a}}\mathbf{I}_G & \mathbf{0}\\\mathbf{0} & \mathbf{0} & \mathbf{0} & \sigma^2\mathbf{I}_{RC}\end{bmatrix}\right)
$`vm(gen, K)`
effect
M00001 0.000000e+00
M00002 0.000000e+00
M00003 0.000000e+00
M00004 0.000000e+00
M00005 0.000000e+00
M00006 0.000000e+00
M00007 0.000000e+00
M00008 0.000000e+00
M00009 0.000000e+00
M00010 0.000000e+00
M00011 3.455411e-08
M00012 -2.231667e-19
M00013 -2.231667e-19
M00014 2.231667e-19
M00015 7.281280e-08
M00016 -4.268352e-07
M00017 2.937311e-07
M00018 1.835506e-07
M00019 -8.768266e-08
M00020 1.590275e-07
M00021 -4.421036e-07
M00022 2.231667e-19
M00023 2.231667e-19
M00024 3.999326e-07
M00025 -4.223224e-08
M00026 -2.231667e-19
M00027 2.852475e-07
M00028 -4.485465e-07
M00029 1.514943e-07
M00030 -5.611919e-08
M00031 -1.752796e-08
M00032 3.018603e-07
M00033 -3.353846e-08
M00034 -2.231667e-19
M00035 1.505465e-07
M00036 1.082943e-07
M00037 3.495706e-08
M00038 1.783589e-07
M00039 2.231667e-19
M00040 2.334737e-07
M00041 -2.231667e-19
M00042 1.134274e-07
M00043 2.231667e-19
M00044 2.231667e-19
M00045 -3.254975e-07
M00046 1.745265e-07
M00047 -4.088428e-07
M00048 -1.423163e-07
M00049 2.231667e-19
M00050 -1.123332e-07
M00051 -2.231667e-19
M00052 7.635598e-07
M00053 -2.231667e-19
M00054 2.576810e-07
M00055 -5.830216e-08
M00056 2.316154e-08
M00057 -8.359598e-08
M00058 8.944928e-09
M00059 4.606899e-07
M00060 -3.704788e-07
M00061 -2.176195e-08
M00062 2.968292e-08
M00063 8.111957e-08
M00064 -5.082027e-08
M00065 -2.055849e-07
M00066 4.181121e-07
M00067 -3.231386e-08
M00068 2.231667e-19
M00069 2.231667e-19
M00070 -2.963923e-07
M00071 2.998220e-08
M00072 -8.944928e-09
M00073 -2.231667e-19
M00074 -1.845456e-07
M00075 -2.231667e-19
M00076 1.460116e-07
M00077 -3.495706e-08
M00078 -6.367542e-07
M00079 3.190335e-07
M00080 -1.828544e-07
M00081 -9.442400e-08
M00082 -7.485759e-07
M00083 -3.841860e-08
M00084 -6.096750e-09
M00085 7.988114e-09
M00086 -1.209891e-07
M00087 -2.231667e-19
M00088 -1.745265e-07
M00089 3.328412e-07
M00090 -7.501900e-08
M00091 1.748535e-07
M00092 -3.867355e-09
M00093 -2.402121e-07
M00094 -5.105085e-08
M00095 -2.815669e-08
M00096 3.398630e-08
M00097 2.231667e-19
M00098 -2.231667e-19
M00099 -2.231667e-19
M00100 1.995930e-07
M00101 -2.231667e-19
M00102 8.790440e-07
M00103 1.974370e-07
M00104 -2.126711e-08
M00105 -2.231667e-19
M00106 1.268242e-08
M00107 5.749889e-08
M00108 -1.972896e-07
M00109 -1.132287e-07
M00110 2.231667e-19
M00111 -3.686165e-07
M00112 1.576557e-07
M00113 -2.231667e-19
M00114 1.990027e-07
M00115 5.415490e-08
M00116 1.937135e-07
M00117 2.464099e-07
M00118 2.231667e-19
M00119 2.128185e-08
M00120 8.944928e-09
M00121 -3.072823e-07
M00122 7.905999e-08
M00123 -2.949823e-07
M00124 -2.231667e-19
M00125 6.046611e-07
M00126 2.059695e-07
M00127 -4.691916e-07
M00128 -9.277292e-08
M00129 -2.231667e-19
M00130 -1.550245e-07
M00131 -2.231667e-19
M00132 1.900679e-07
M00133 -1.284903e-07
M00134 -2.231667e-19
M00135 1.095085e-07
M00136 -1.322427e-07
M00137 1.255229e-07
M00138 2.231667e-19
M00139 -1.235177e-07
M00140 -7.281280e-08
M00141 3.910388e-07
M00142 -2.231667e-19
M00143 -2.549002e-08
M00144 1.635243e-07
M00145 2.231667e-19
M00146 1.630923e-07
M00147 4.471586e-08
M00148 -4.822990e-08
M00149 2.231667e-19
M00150 -2.231667e-19
M00151 4.596516e-08
M00152 -3.231386e-08
M00153 2.231667e-19
M00154 -1.990205e-07
M00155 -6.631903e-08
M00156 -1.400651e-07
M00157 2.231667e-19
M00158 -2.058263e-07
M00159 2.231667e-19
M00160 -3.524897e-09
M00161 -6.631903e-08
M00162 5.141443e-08
M00163 -4.340021e-08
M00164 -5.569960e-08
M00165 -2.231667e-19
M00166 -2.231667e-19
M00167 -1.696762e-07
M00168 -2.231667e-19
M00169 -5.425402e-08
M00170 1.833385e-08
M00171 -5.415490e-08
M00172 8.768266e-08
M00173 -2.231667e-19
M00174 -2.231667e-19
M00175 -8.676862e-08
M00176 3.843702e-08
M00177 3.460352e-08
M00178 1.394212e-08
M00179 6.686519e-10
M00180 -4.816749e-08
M00181 1.467447e-07
M00182 -5.436842e-08
M00183 1.157289e-07
M00184 -5.611919e-08
M00185 -2.231667e-19
M00186 -6.950346e-08
M00187 -2.231667e-19
M00188 1.456718e-07
M00189 4.132301e-07
M00190 7.705818e-08
M00191 -7.404347e-08
M00192 2.681485e-07
M00193 4.058230e-08
M00194 -2.128185e-08
M00195 2.369049e-08
M00196 -4.328646e-08
M00197 -1.285100e-08
M00198 8.768266e-08
M00199 2.231667e-19
M00200 -2.231667e-19
M00201 -2.231667e-19
M00202 -9.662758e-08
M00203 1.404716e-07
M00204 -2.699291e-08
M00205 -3.728813e-07
M00206 4.588662e-08
M00207 3.106131e-08
M00208 1.067647e-07
M00209 2.231667e-19
M00210 -2.235793e-08
M00211 -9.018155e-08
M00212 -2.228957e-07
M00213 8.768266e-08
M00214 2.640816e-08
M00215 -9.185673e-08
M00216 1.586668e-07
M00217 -2.231667e-19
M00218 3.126390e-07
M00219 1.542213e-07
M00220 -7.470625e-08
M00221 4.564047e-08
M00222 1.698239e-08
M00223 -2.231667e-19
M00224 5.563196e-08
M00225 -2.231667e-19
M00226 -4.471586e-08
M00227 2.128185e-08
M00228 -1.138502e-07
M00229 -2.231667e-19
M00230 3.105263e-07
M00231 -9.564046e-08
M00232 -7.786470e-08
M00233 5.447749e-08
M00234 2.266910e-07
M00235 3.474402e-08
M00236 1.367884e-07
M00237 2.231667e-19
M00238 -8.944928e-09
M00239 -4.466853e-07
M00240 -8.768266e-08
M00241 -1.845675e-08
M00242 -2.231667e-19
M00243 -8.534672e-09
M00244 5.042804e-07
M00245 1.644487e-07
M00246 -7.768150e-08
M00247 -2.231667e-19
M00248 5.533399e-08
M00249 4.851992e-07
M00250 8.944928e-09
M00251 3.246274e-08
M00252 1.213301e-07
M00253 7.069026e-08
M00254 -1.464474e-07
M00255 -1.965143e-07
M00256 1.301140e-07
M00257 -3.044877e-08
M00258 2.231667e-19
M00259 2.231667e-19
M00260 -8.023981e-08
M00261 -1.210143e-07
M00262 -2.231667e-19
M00263 1.823148e-07
M00264 4.177350e-07
M00265 6.995053e-08
M00266 2.231667e-19
M00267 -1.151835e-07
M00268 4.324675e-07
M00269 2.400585e-07
M00270 -1.597623e-08
M00271 -2.231667e-19
M00272 -1.336115e-07
M00273 2.231667e-19
M00274 2.231667e-19
M00275 -7.672104e-08
M00276 2.231667e-19
M00277 -2.231667e-19
M00278 5.478275e-08
M00279 -2.231667e-19
M00280 -2.483403e-07
M00281 -2.231667e-19
M00282 -1.193863e-07
M00283 -2.231667e-19
M00284 1.418710e-08
M00285 -2.101495e-08
M00286 -2.231667e-19
M00287 -1.264375e-07
M00288 -2.231667e-19
M00289 -9.662758e-08
M00290 -2.231667e-19
M00291 1.573716e-07
M00292 -7.672104e-08
M00293 -1.083776e-08
M00294 -2.231667e-19
M00295 1.597371e-08
M00296 1.708731e-08
M00297 9.210766e-08
M00298 -7.640186e-07
M00299 2.231667e-19
M00300 -2.331308e-08
M00301 -7.215075e-08
M00302 -3.737488e-09
M00303 2.231667e-19
M00304 1.155580e-07
M00305 -2.003908e-07
M00306 2.283304e-08
M00307 4.382387e-08
M00308 6.073630e-08
M00309 -2.231667e-19
M00310 -2.231667e-19
M00311 -1.146204e-08
M00312 6.954204e-08
M00313 2.029800e-07
M00314 1.340181e-07
M00315 -3.184006e-07
M00316 2.231667e-19
M00317 -2.231667e-19
M00318 2.231667e-19
M00319 -2.799767e-08
M00320 1.279543e-07
M00321 -2.013653e-07
M00322 -2.231667e-19
M00323 -1.833385e-08
M00324 2.387122e-07
M00325 6.676115e-07
M00326 -1.734815e-08
M00327 1.845813e-08
M00328 1.728481e-07
M00329 3.910388e-07
M00330 -1.845813e-08
M00331 1.919369e-07
M00332 2.231667e-19
M00333 -5.024874e-10
M00334 -2.231667e-19
M00335 4.382387e-08
M00336 1.626535e-07
M00337 1.211624e-07
M00338 -2.231667e-19
M00339 2.554447e-07
M00340 -7.988114e-09
M00341 -5.676108e-07
M00342 -9.568139e-10
M00343 -7.767521e-08
M00344 -6.578089e-08
M00345 2.231667e-19
M00346 -2.327262e-09
M00347 -8.031182e-08
M00348 7.219449e-07
M00349 -2.231667e-19
M00350 1.983230e-08
M00351 6.857851e-09
M00352 1.874891e-08
M00353 1.669872e-07
M00354 -2.231667e-19
M00355 3.545554e-09
M00356 -2.607985e-07
M00357 -3.474402e-08
M00358 6.684806e-09
M00359 2.231667e-19
M00360 2.963923e-07
M00361 -3.310758e-07
M00362 -2.154898e-07
M00363 -2.231667e-19
M00364 1.672308e-07
M00365 -4.216255e-08
M00366 -1.436272e-08
M00367 -2.231667e-19
M00368 -1.213301e-07
M00369 2.231667e-19
M00370 -3.954480e-08
M00371 2.231667e-19
M00372 -1.939728e-07
M00373 2.231667e-19
M00374 1.929154e-07
M00375 2.620983e-07
M00376 -2.231667e-19
M00377 8.964485e-08
M00378 3.577473e-07
M00379 4.004249e-07
M00380 2.231667e-19
M00381 2.700967e-08
M00382 -3.737488e-09
M00383 -2.231667e-19
M00384 2.231667e-19
M00385 4.236533e-08
M00386 1.823148e-07
M00387 1.588522e-07
M00388 -2.231667e-19
M00389 7.969777e-08
M00390 -2.231667e-19
M00391 3.463393e-08
M00392 4.905983e-07
M00393 -3.209223e-07
M00394 1.127464e-07
M00395 -4.040292e-08
M00396 -3.116219e-09
M00397 -2.231667e-19
M00398 1.594801e-07
M00399 -1.966766e-07
M00400 -4.435358e-07
M00401 2.231667e-19
M00402 2.231667e-19
M00403 2.231667e-19
M00404 3.693293e-07
M00405 -2.984761e-07
M00406 -1.823148e-07
M00407 2.231667e-19
M00408 -5.439142e-08
M00409 -2.441369e-07
M00410 -1.565784e-07
M00411 3.350089e-08
M00412 8.063576e-08
M00413 -2.349644e-07
M00414 7.491829e-08
M00415 4.342543e-08
M00416 -5.845101e-07
M00417 -8.196500e-08
M00418 2.549002e-08
M00419 8.964485e-08
M00420 2.231667e-19
M00421 3.028013e-07
M00422 2.231667e-19
M00423 3.654325e-07
M00424 2.231667e-19
M00425 2.283294e-07
M00426 -2.231667e-19
M00427 2.231667e-19
M00428 -5.104615e-07
M00429 -4.340021e-08
M00430 -1.284467e-07
M00431 2.231667e-19
M00432 -1.990185e-07
M00433 2.789325e-07
M00434 -1.211624e-07
M00435 -8.944928e-09
M00436 2.231667e-19
M00437 5.038679e-08
M00438 -4.475576e-08
M00439 -3.776473e-08
M00440 -2.231667e-19
M00441 2.128185e-08
M00442 5.478275e-08
M00443 -1.626535e-07
M00444 -4.171501e-08
M00445 -2.305956e-07
M00446 -2.074208e-07
M00447 1.390916e-08
M00448 3.203737e-07
M00449 -2.231667e-19
M00450 -2.320305e-08
M00451 -1.133497e-07
M00452 -1.237208e-07
M00453 -8.698422e-08
M00454 -2.575275e-08
M00455 -1.436272e-08
M00456 -1.165654e-08
M00457 -1.112187e-07
M00458 4.676510e-07
M00459 2.231667e-19
M00460 -2.327262e-09
M00461 7.802978e-08
M00462 2.231667e-19
M00463 2.231667e-19
M00464 -3.065688e-08
M00465 3.737488e-09
M00466 -2.454151e-07
M00467 -1.383333e-07
M00468 -1.253539e-08
M00469 -2.231667e-19
M00470 3.834101e-08
M00471 -4.123236e-07
M00472 -2.962609e-07
M00473 1.231323e-07
M00474 5.273164e-08
M00475 1.204165e-07
M00476 -1.095319e-07
M00477 -3.663688e-07
M00478 2.231667e-19
M00479 -8.149047e-08
M00480 -4.702577e-08
M00481 -2.924068e-08
M00482 1.262575e-07
M00483 2.231667e-19
M00484 -2.231667e-19
M00485 -5.623165e-08
M00486 -4.005827e-08
M00487 -2.529149e-08
M00488 -3.379318e-08
M00489 -2.231667e-19
M00490 3.437048e-08
M00491 -2.140482e-07
M00492 -1.136750e-07
M00493 -4.015591e-08
M00494 -3.507761e-07
M00495 7.801124e-08
M00496 2.231667e-19
M00497 1.730212e-08
M00498 2.231667e-19
M00499 2.179118e-07
M00500 -5.378377e-09
M00501 2.231667e-19
M00502 -1.638876e-07
M00503 2.331308e-08
M00504 -2.231667e-19
M00505 3.443638e-07
M00506 -2.761369e-08
M00507 1.490984e-07
M00508 1.491069e-07
M00509 3.737488e-09
M00510 -1.665355e-07
M00511 -2.231667e-19
M00512 1.613478e-07
M00513 -3.581767e-08
M00514 2.231667e-19
M00515 -1.898219e-07
M00516 3.619986e-07
M00517 2.231667e-19
M00518 5.712392e-08
M00519 -3.190571e-07
M00520 7.005580e-07
M00521 3.398433e-08
M00522 -2.231667e-19
M00523 2.374292e-07
M00524 -2.231667e-19
M00525 -2.231667e-19
M00526 2.582551e-07
M00527 -1.576129e-07
M00528 2.231667e-19
M00529 -2.120562e-07
M00530 -7.334282e-07
M00531 2.231667e-19
M00532 3.247562e-08
M00533 2.231667e-19
M00534 5.303623e-07
M00535 -3.802970e-07
M00536 2.331308e-08
M00537 5.320216e-08
M00538 -2.853241e-07
M00539 -1.416143e-07
M00540 -1.211624e-07
M00541 -2.089189e-07
M00542 2.231667e-19
M00543 8.557808e-08
M00544 1.211624e-07
M00545 -2.231667e-19
M00546 2.801604e-08
M00547 -2.520062e-07
M00548 -7.145343e-08
M00549 9.727482e-08
M00550 -2.247060e-07
M00551 -2.231667e-19
M00552 -5.470526e-08
M00553 -4.106682e-08
M00554 2.231667e-19
M00555 1.201956e-08
M00556 -3.501390e-07
M00557 -2.231667e-19
M00558 2.231667e-19
M00559 2.304553e-07
M00560 7.768150e-08
M00561 -2.231667e-19
M00562 -2.231667e-19
M00563 2.231667e-19
M00564 1.617936e-07
M00565 1.060050e-07
M00566 7.768150e-08
M00567 3.780780e-07
M00568 3.231386e-08
M00569 7.312127e-07
M00570 -2.331308e-08
M00571 9.662758e-08
M00572 2.231667e-19
M00573 6.635950e-08
M00574 -9.166926e-09
M00575 3.725814e-07
M00576 1.165654e-08
M00577 -2.008268e-07
M00578 1.594115e-07
M00579 1.268220e-07
M00580 1.833385e-08
M00581 -2.231667e-19
M00582 1.238795e-07
M00583 -3.718759e-07
M00584 -1.436272e-08
M00585 -1.565855e-07
M00586 2.231667e-19
M00587 -5.293753e-08
M00588 -1.330650e-07
M00589 -2.231667e-19
M00590 -2.231667e-19
M00591 8.706525e-08
M00592 -5.367336e-09
M00593 2.231667e-19
M00594 -3.692925e-07
M00595 -2.231667e-19
M00596 -2.614456e-07
M00597 3.138525e-08
M00598 -5.320216e-08
M00599 -2.372011e-08
M00600 1.096205e-07
M00601 -2.231667e-19
M00602 5.459728e-08
M00603 4.038265e-07
M00604 2.231667e-19
M00605 -2.109738e-07
M00606 2.753050e-07
M00607 -1.743091e-07
M00608 1.375245e-07
M00609 2.231667e-19
M00610 8.944928e-09
M00611 1.366823e-07
M00612 -1.383333e-07
M00613 2.231667e-19
M00614 5.478275e-08
M00615 -8.301076e-08
M00616 -2.309680e-07
M00617 -1.312647e-08
M00618 2.231667e-19
M00619 -2.488883e-07
M00620 -6.229461e-09
M00621 -7.684142e-07
M00622 1.280902e-08
M00623 1.166257e-07
M00624 2.231667e-19
M00625 -3.506844e-07
M00626 -2.772070e-08
M00627 7.207650e-07
M00628 -2.231667e-19
M00629 6.282877e-08
M00630 3.154395e-08
M00631 -2.594725e-08
M00632 -5.864908e-07
M00633 -5.320216e-08
M00634 9.431939e-08
M00635 4.382387e-08
M00636 -2.231667e-19
M00637 -2.128185e-08
M00638 2.764201e-07
M00639 2.231667e-19
M00640 -4.015591e-08
M00641 5.757219e-08
M00642 2.231667e-19
M00643 -2.003908e-07
M00644 -2.231667e-19
M00645 2.231667e-19
M00646 -2.231667e-19
M00647 5.479329e-07
M00648 7.585043e-08
M00649 -2.231667e-19
M00650 1.271615e-07
M00651 1.011837e-08
M00652 1.890164e-07
M00653 -7.756070e-07
M00654 1.412241e-07
M00655 -2.820452e-07
M00656 -3.304106e-07
M00657 7.483356e-08
M00658 1.218197e-07
M00659 -2.949823e-07
M00660 2.231667e-19
M00661 7.647568e-08
M00662 -1.534421e-07
M00663 1.269807e-07
M00664 7.768150e-08
M00665 -2.231667e-19
M00666 -2.345601e-08
M00667 -2.146934e-07
M00668 7.235554e-08
M00669 -2.231667e-19
M00670 9.185673e-08
M00671 1.679006e-07
M00672 -3.864925e-07
M00673 -9.526579e-08
M00674 3.234698e-07
M00675 6.022557e-09
M00676 -6.282877e-08
M00677 1.840256e-08
M00678 2.482275e-07
M00679 1.354908e-07
M00680 1.268206e-07
M00681 3.304489e-07
M00682 -2.439561e-08
M00683 -7.988114e-09
M00684 -4.015591e-08
M00685 3.495706e-08
M00686 3.463393e-08
M00687 -6.069636e-08
M00688 -1.263547e-07
M00689 2.231667e-19
M00690 3.454867e-07
M00691 -2.231667e-19
M00692 7.140568e-08
M00693 -2.231667e-19
M00694 2.231667e-19
M00695 -2.231667e-19
M00696 -2.977990e-07
M00697 1.166701e-07
M00698 -9.488958e-08
M00699 -7.050772e-07
M00700 -5.478275e-08
M00701 -2.231667e-19
M00702 2.231667e-19
M00703 -2.231667e-19
M00704 2.231667e-19
M00705 2.231667e-19
M00706 1.659952e-08
M00707 2.231667e-19
M00708 -2.331308e-08
M00709 3.747321e-07
M00710 -2.766411e-08
M00711 -7.918796e-08
M00712 6.407709e-07
M00713 2.231667e-19
M00714 -8.939698e-08
M00715 -2.023632e-07
M00716 -1.802903e-07
M00717 -4.039883e-07
M00718 4.471586e-08
M00719 -2.333268e-09
M00720 -3.999229e-08
M00721 -2.003908e-07
M00722 -4.611552e-08
M00723 -1.550245e-07
M00724 1.607221e-07
M00725 2.231667e-19
M00726 2.128185e-08
M00727 2.231667e-19
M00728 3.463393e-08
M00729 7.802978e-08
M00730 -9.621442e-08
M00731 2.829560e-07
M00732 2.231667e-19
M00733 2.231667e-19
M00734 -5.147460e-07
M00735 -2.211379e-07
M00736 -9.662758e-08
M00737 -8.723721e-08
M00738 2.231667e-19
M00739 -2.231667e-19
M00740 -1.008003e-07
M00741 8.310796e-08
M00742 -5.615261e-08
M00743 -2.327512e-07
M00744 3.718759e-07
M00745 -1.682639e-07
M00746 1.406805e-07
M00747 -1.101556e-07
M00748 -3.787982e-07
M00749 -1.534783e-07
M00750 2.078237e-07
M00751 1.298507e-07
M00752 -4.604400e-08
M00753 4.316771e-07
M00754 1.138181e-07
M00755 3.532963e-07
M00756 -8.511690e-08
M00757 -2.231667e-19
M00758 3.950994e-08
M00759 2.231667e-19
M00760 2.231667e-19
M00761 1.229527e-07
M00762 -1.664975e-07
M00763 -2.231667e-19
M00764 -7.957797e-08
M00765 -7.788399e-09
M00766 -1.780307e-07
M00767 2.231667e-19
M00768 -2.231667e-19
M00769 -1.837635e-08
M00770 -2.178823e-07
M00771 -1.310868e-07
M00772 -5.105085e-08
M00773 -2.231667e-19
M00774 -1.598970e-07
M00775 3.425608e-08
M00776 1.213301e-07
M00777 2.231667e-19
M00778 2.231667e-19
M00779 1.153117e-07
M00780 1.679006e-07
M00781 9.258762e-10
M00782 -1.667943e-07
M00783 1.257193e-07
M00784 -6.282877e-08
M00785 -2.842489e-07
M00786 -2.089189e-07
M00787 2.840964e-08
M00788 -3.222592e-07
M00789 -2.231667e-19
M00790 2.231667e-19
M00791 -3.460798e-08
M00792 2.231667e-19
M00793 -4.671424e-08
M00794 3.378330e-07
M00795 3.669763e-08
M00796 2.231667e-19
M00797 2.055859e-07
M00798 2.231667e-19
M00799 -4.868093e-07
M00800 -2.231667e-19
M00801 -1.363118e-07
M00802 -5.821068e-08
M00803 2.788558e-07
M00804 -1.491069e-07
M00805 -3.465253e-07
M00806 -8.768266e-08
M00807 8.154491e-08
M00808 7.672104e-08
M00809 -3.820478e-08
M00810 -2.231667e-19
M00811 9.561789e-08
M00812 3.626812e-07
M00813 -1.878952e-07
M00814 -8.165587e-08
M00815 2.231667e-19
M00816 -3.838154e-07
M00817 2.491523e-08
M00818 5.198749e-08
M00819 -7.761943e-08
M00820 7.768150e-08
M00821 2.231667e-19
M00822 -8.944928e-09
M00823 3.246274e-08
M00824 -2.231667e-19
M00825 1.542369e-07
M00826 -5.225018e-07
M00827 8.240583e-08
M00828 4.965739e-07
M00829 -1.746792e-07
M00830 -2.231667e-19
M00831 8.846541e-07
M00832 -6.282877e-08
M00833 1.476600e-07
M00834 6.317135e-08
M00835 2.329060e-07
M00836 3.758090e-07
M00837 1.502599e-07
M00838 -1.066790e-07
M00839 -2.680431e-08
M00840 -2.231667e-19
M00841 -5.635720e-07
M00842 4.699332e-07
M00843 7.265788e-07
M00844 -2.231667e-19
M00845 -2.116806e-07
M00846 7.186272e-08
M00847 -2.231667e-19
M00848 -1.291072e-07
M00849 -7.560811e-09
M00850 -1.413150e-07
M00851 4.997976e-08
M00852 -2.316209e-08
M00853 -8.944928e-09
M00854 -2.231667e-19
M00855 4.664601e-08
M00856 2.231667e-19
M00857 -4.069384e-08
M00858 -1.628589e-08
M00859 6.282877e-08
M00860 4.838861e-07
M00861 -3.758482e-07
M00862 -4.015591e-08
M00863 2.231667e-19
M00864 1.456739e-07
M00865 1.211624e-07
M00866 -5.637240e-08
M00867 2.534716e-07
M00868 -3.013821e-08
M00869 -8.601538e-08
M00870 8.132735e-08
M00871 -2.231667e-19
M00872 -2.029150e-07
M00873 3.997536e-07
M00874 2.231667e-19
M00875 3.460352e-08
M00876 1.534421e-07
M00877 -2.461090e-07
M00878 2.357593e-07
M00879 3.506350e-07
M00880 1.456762e-08
M00881 -1.493694e-08
M00882 7.471714e-09
M00883 7.936382e-08
M00884 -3.737488e-09
M00885 1.773143e-07
M00886 -3.670590e-07
M00887 1.408040e-07
M00888 5.461677e-08
M00889 -2.231667e-19
M00890 -7.611910e-09
M00891 5.024874e-10
M00892 1.557294e-07
M00893 -3.683582e-07
M00894 -1.112597e-07
M00895 -2.231667e-19
M00896 1.619522e-07
M00897 -3.051658e-07
M00898 -5.105085e-08
M00899 3.463393e-08
M00900 -2.726103e-07
M00901 1.742898e-07
M00902 1.698239e-08
M00903 1.445475e-07
M00904 2.231667e-19
M00905 -4.015591e-08
M00906 1.663985e-07
M00907 -1.195197e-07
M00908 8.944928e-09
M00909 -9.690715e-08
M00910 2.231667e-19
M00911 -2.231667e-19
M00912 2.231667e-19
M00913 2.231667e-19
M00914 -2.128185e-08
M00915 1.636386e-08
M00916 -8.939106e-09
M00917 -3.437048e-08
M00918 4.518459e-08
M00919 1.291907e-07
M00920 -3.685424e-08
M00921 -2.059695e-07
M00922 -2.231667e-19
M00923 -4.245701e-08
M00924 -1.740196e-08
M00925 -1.755278e-07
M00926 -8.723721e-08
M00927 -2.408807e-07
M00928 1.833385e-08
M00929 -3.495706e-08
M00930 -3.495706e-08
M00931 1.541331e-08
M00932 2.810135e-08
M00933 7.705818e-08
M00934 -1.983230e-08
M00935 -2.028618e-08
M00936 1.359474e-07
M00937 -5.526844e-08
M00938 -1.233353e-07
M00939 5.789416e-07
M00940 2.231667e-19
M00941 -4.123447e-07
M00942 -3.685588e-08
M00943 2.517247e-07
M00944 -2.231667e-19
M00945 -2.231667e-19
M00946 -5.225018e-07
M00947 -1.375245e-07
M00948 -4.816749e-08
M00949 2.231667e-19
M00950 -2.231667e-19
M00951 -1.326041e-07
M00952 -2.078450e-07
M00953 4.316176e-08
M00954 2.231667e-19
M00955 2.439047e-08
M00956 1.628589e-08
M00957 -1.478979e-07
M00958 5.448577e-07
M00959 -2.231667e-19
M00960 -4.062611e-08
M00961 -3.046470e-08
M00962 -2.231667e-19
M00963 -2.231667e-19
M00964 -3.192200e-07
M00965 -5.478275e-08
M00966 4.916519e-08
M00967 -8.581210e-08
M00968 -4.856764e-08
M00969 -2.964939e-08
M00970 9.632966e-08
M00971 -2.093440e-07
M00972 2.231667e-19
M00973 2.646177e-07
M00974 2.231667e-19
M00975 5.478275e-08
M00976 2.231667e-19
M00977 -2.231667e-19
M00978 1.165654e-08
M00979 2.231667e-19
M00980 -2.231667e-19
M00981 -1.823148e-07
M00982 9.923135e-08
M00983 -1.258332e-07
M00984 -9.895126e-08
M00985 -1.031975e-07
M00986 -8.289994e-08
M00987 -3.391434e-07
M00988 -2.249017e-07
M00989 -9.185673e-08
M00990 7.936382e-08
M00991 5.428827e-08
M00992 5.658840e-07
M00993 3.315386e-07
M00994 4.194347e-08
M00995 2.719793e-07
M00996 -7.585043e-08
M00997 3.776051e-08
M00998 -8.656367e-08
M00999 -2.999039e-08
M01000 -5.439142e-08
M01001 -5.533747e-08
M01002 2.824096e-07
M01003 2.231667e-19
M01004 -7.768150e-08
M01005 2.231667e-19
M01006 -5.147460e-07
M01007 -2.482275e-07
M01008 1.213301e-07
M01009 6.558757e-08
M01010 2.231667e-19
M01011 -6.741998e-07
M01012 -1.213301e-07
M01013 3.516215e-07
M01014 3.225130e-07
M01015 -2.231667e-19
M01016 -2.241399e-07
M01017 -2.231667e-19
M01018 -7.507758e-08
M01019 2.231667e-19
M01020 2.231667e-19
M01021 2.078335e-07
M01022 -2.964939e-08
M01023 -4.302968e-08
M01024 -2.834781e-08
M01025 2.231667e-19
M01026 -1.626535e-07
M01027 8.829625e-08
M01028 -2.061737e-07
M01029 4.432352e-07
M01030 -5.141443e-08
M01031 -9.607928e-08
M01032 2.231667e-19
M01033 2.502664e-07
M01034 -2.311664e-07
M01035 -2.231667e-19
M01036 -8.359598e-08
M01037 -6.455470e-07
M01038 -1.165654e-08
M01039 6.107340e-08
M01040 -2.231667e-19
M01041 2.594691e-08
M01042 -1.538743e-08
M01043 -2.231667e-19
M01044 2.231667e-19
M01045 -2.836594e-07
M01046 2.231667e-19
M01047 -7.585043e-08
M01048 5.926951e-08
M01049 2.051894e-07
M01050 3.968241e-08
M01051 -1.534421e-07
M01052 -8.768266e-08
M01053 9.894492e-08
M01054 -5.038679e-08
M01055 2.203394e-07
M01056 4.512493e-07
M01057 -2.231667e-19
M01058 -4.232173e-08
M01059 1.983230e-08
M01060 2.231667e-19
M01061 6.599900e-08
M01062 2.128185e-08
M01063 5.537409e-08
M01064 -1.226111e-07
M01065 -1.413150e-07
M01066 -4.471586e-08
M01067 7.233457e-07
M01068 -3.194108e-07
M01069 -7.550016e-09
M01070 1.709557e-07
M01071 -2.267064e-07
M01072 2.231667e-19
M01073 9.531405e-08
M01074 2.685961e-07
M01075 -2.949823e-07
M01076 2.231667e-19
M01077 -2.231667e-19
M01078 -1.950479e-07
M01079 6.695497e-08
M01080 -1.891369e-08
M01081 5.254295e-08
M01082 1.833385e-08
M01083 -2.231667e-19
M01084 1.138796e-07
M01085 -1.131385e-07
M01086 7.115353e-07
M01087 -1.787872e-08
M01088 3.626746e-07
M01089 6.908197e-07
M01090 9.693868e-08
M01091 9.119127e-08
M01092 1.390800e-08
M01093 6.686519e-10
M01094 -4.800026e-08
M01095 1.213301e-07
M01096 3.697575e-08
M01097 2.231667e-19
M01098 2.231667e-19
M01099 1.213873e-07
M01100 -3.010855e-08
M01101 -7.303573e-08
M01102 2.231667e-19
M01103 2.231667e-19
M01104 3.328723e-08
M01105 1.583120e-07
M01106 8.768266e-08
M01107 -2.331308e-08
M01108 -1.488031e-07
M01109 1.288180e-08
M01110 -3.874722e-07
M01111 -2.231667e-19
M01112 -2.231667e-19
M01113 1.421181e-07
M01114 2.231667e-19
M01115 -7.072728e-08
M01116 -2.331308e-08
M01117 -1.315927e-07
M01118 2.231667e-19
M01119 -2.231667e-19
M01120 -1.126335e-07
M01121 -2.231667e-19
M01122 -4.015591e-08
M01123 4.609003e-08
M01124 -2.231667e-19
M01125 -1.718494e-07
M01126 2.231667e-19
M01127 2.231667e-19
M01128 1.423163e-07
M01129 6.375019e-07
M01130 2.128185e-08
M01131 -7.375913e-07
M01132 -1.950479e-07
M01133 4.437059e-08
M01134 2.231667e-19
M01135 6.950346e-08
M01136 2.203394e-07
M01137 -2.231667e-19
M01138 -1.903858e-07
M01139 4.013432e-07
M01140 7.216818e-08
M01141 2.235421e-07
M01142 -1.065618e-07
M01143 1.840256e-08
M01144 -2.231667e-19
M01145 -2.231667e-19
M01146 -2.231667e-19
M01147 2.231667e-19
M01148 1.711073e-07
M01149 -2.231667e-19
M01150 2.231667e-19
M01151 -3.629177e-07
M01152 2.231667e-19
M01153 9.258762e-10
M01154 1.123332e-07
M01155 2.231667e-19
M01156 -5.273164e-08
M01157 -5.742987e-07
M01158 -4.611552e-08
M01159 -1.539401e-07
M01160 4.471586e-08
M01161 1.194849e-07
M01162 -4.476257e-07
M01163 3.143602e-07
M01164 7.988114e-09
M01165 2.231667e-19
M01166 2.994956e-07
M01167 2.231667e-19
M01168 -6.107340e-08
M01169 -2.003625e-07
M01170 -2.935822e-07
M01171 8.944928e-09
M01172 -4.774016e-07
M01173 -1.115646e-07
M01174 -2.231667e-19
M01175 -5.478275e-08
M01176 -4.919737e-09
M01177 9.277292e-08
M01178 -7.911530e-08
M01179 1.690009e-07
M01180 4.060668e-07
M01181 -2.231667e-19
M01182 7.801124e-08
M01183 8.679319e-08
M01184 -6.281146e-08
M01185 2.231667e-19
M01186 -1.730380e-07
M01187 9.048114e-08
M01188 -2.231667e-19
M01189 1.224319e-07
M01190 -2.128185e-08
M01191 -2.231667e-19
M01192 -2.777549e-07
M01193 -3.230094e-07
M01194 -1.687915e-07
M01195 -3.427379e-08
M01196 2.231667e-19
M01197 -8.310796e-08
M01198 -6.330705e-07
M01199 -4.324675e-07
M01200 -2.231667e-19
M01201 1.522368e-07
M01202 -4.041160e-07
M01203 -2.231667e-19
M01204 -2.231667e-19
M01205 -2.408807e-07
M01206 -6.612863e-07
M01207 5.478275e-08
M01208 5.863458e-09
M01209 2.231667e-19
M01210 6.203501e-08
M01211 6.822634e-08
M01212 -1.318595e-07
M01213 8.939698e-08
M01214 -3.619986e-07
M01215 6.006645e-07
M01216 -2.231667e-19
M01217 -7.672104e-08
M01218 -1.025459e-07
M01219 -1.007771e-07
M01220 -2.231667e-19
M01221 -4.187431e-07
M01222 2.089565e-07
M01223 5.886773e-07
M01224 2.231667e-19
M01225 5.025831e-07
M01226 -2.099537e-07
M01227 -9.902922e-08
M01228 8.834840e-09
M01229 8.029312e-08
M01230 -2.250072e-07
M01231 8.964485e-08
M01232 2.231667e-19
M01233 5.320216e-08
M01234 5.261387e-07
M01235 -1.165654e-08
M01236 1.305418e-07
M01237 -2.236567e-07
M01238 7.470625e-08
M01239 -1.285383e-08
M01240 -2.231667e-19
M01241 -2.231667e-19
M01242 1.690215e-07
M01243 2.231667e-19
M01244 2.231667e-19
M01245 -1.237704e-07
M01246 1.008983e-07
M01247 2.640816e-08
M01248 -4.105037e-07
M01249 3.964967e-07
M01250 -5.273164e-08
M01251 2.231667e-19
M01252 -2.231667e-19
M01253 8.263516e-09
M01254 -5.147460e-07
M01255 -2.231667e-19
M01256 2.815669e-08
M01257 5.456857e-08
M01258 -2.231667e-19
M01259 -1.765927e-07
M01260 -2.231667e-19
M01261 -1.628589e-08
M01262 -2.231667e-19
M01263 1.236503e-07
M01264 -2.231667e-19
M01265 -5.170483e-07
M01266 3.887966e-07
M01267 -2.439602e-07
M01268 -2.491192e-07
M01269 -1.520141e-07
M01270 -1.796067e-08
M01271 -4.573796e-07
M01272 2.853508e-07
M01273 8.313897e-09
M01274 2.231667e-19
M01275 -4.471586e-08
M01276 -2.073106e-07
M01277 -2.231667e-19
M01278 2.481954e-08
M01279 7.270401e-08
M01280 -2.231667e-19
M01281 -2.759898e-07
M01282 2.231667e-19
M01283 2.716563e-08
M01284 -1.659937e-07
M01285 -2.231667e-19
M01286 -2.231667e-19
M01287 1.641734e-07
M01288 -3.333552e-07
M01289 -1.492643e-07
M01290 -2.231667e-19
M01291 6.418549e-08
M01292 -2.231667e-19
M01293 -8.768266e-08
M01294 -1.048485e-07
M01295 6.803320e-08
M01296 -4.466689e-07
M01297 -2.576810e-07
M01298 -1.450885e-08
M01299 -1.108026e-08
M01300 5.069167e-08
M01301 -1.017377e-07
M01302 2.231667e-19
M01303 2.231667e-19
M01304 -1.108449e-07
M01305 2.631177e-07
M01306 -2.231667e-19
M01307 -2.417097e-07
M01308 -7.761578e-08
M01309 -2.231667e-19
M01310 -4.034005e-07
M01311 -8.382438e-09
M01312 3.272740e-08
M01313 6.686519e-10
M01314 -3.697575e-08
M01315 -1.318595e-07
M01316 -2.003908e-07
M01317 -4.606546e-07
M01318 -2.231667e-19
M01319 2.759898e-07
M01320 2.231667e-19
M01321 -2.231667e-19
M01322 -1.748975e-08
M01323 -5.478275e-08
M01324 -2.576176e-07
M01325 -2.231667e-19
M01326 2.231667e-19
M01327 8.944928e-09
M01328 -2.231667e-19
M01329 -2.231667e-19
M01330 3.856260e-07
M01331 -3.885757e-07
M01332 1.491069e-07
M01333 2.231667e-19
M01334 -5.543504e-08
M01335 4.691916e-07
M01336 1.753863e-07
M01337 -1.009709e-07
M01338 -2.231667e-19
M01339 -3.054518e-08
M01340 -1.097253e-07
M01341 3.519557e-09
M01342 2.231667e-19
M01343 -1.983230e-08
M01344 2.231667e-19
M01345 -1.425608e-08
M01346 2.528744e-07
M01347 5.042804e-07
M01348 1.874942e-07
M01349 2.231667e-19
M01350 -6.282877e-08
M01351 -2.231667e-19
M01352 5.435902e-09
M01353 3.589863e-07
M01354 -2.040063e-07
M01355 -2.231667e-19
M01356 -8.359598e-08
M01357 2.331308e-08
M01358 -3.209223e-07
M01359 2.231667e-19
M01360 -2.231667e-19
M01361 -2.482116e-07
M01362 1.983230e-08
M01363 -1.655607e-07
M01364 -1.690215e-07
M01365 1.467303e-07
M01366 -3.474402e-08
M01367 2.977347e-07
M01368 -6.494420e-08
M01369 -2.231667e-19
M01370 -2.344734e-07
M01371 -1.556800e-07
M01372 -1.627537e-07
M01373 -1.679006e-07
M01374 2.308313e-07
M01375 -2.231667e-19
M01376 2.231667e-19
M01377 1.281399e-07
M01378 -2.467040e-07
M01379 -2.255872e-07
M01380 5.453102e-08
M01381 2.231667e-19
M01382 1.704407e-07
M01383 -2.334562e-07
M01384 -2.231667e-19
M01385 -6.475790e-08
M01386 -1.725277e-07
M01387 -9.443335e-08
M01388 2.119831e-08
M01389 -1.641734e-07
M01390 -2.231667e-19
M01391 8.595256e-08
M01392 -1.246591e-07
M01393 4.069384e-08
M01394 -2.231667e-19
M01395 2.231667e-19
M01396 2.231667e-19
M01397 3.437598e-07
M01398 -2.231667e-19
M01399 -2.231667e-19
M01400 2.231667e-19
M01401 7.471714e-09
M01402 2.467629e-07
M01403 -1.585112e-07
M01404 6.684271e-08
M01405 -2.231667e-19
M01406 -2.231667e-19
M01407 2.151065e-07
M01408 1.141652e-08
M01409 2.231667e-19
M01410 -5.822521e-07
M01411 4.535902e-09
M01412 -3.515013e-07
M01413 2.228957e-07
M01414 4.658885e-08
M01415 -1.984219e-07
M01416 -9.868014e-08
M01417 -1.527999e-07
M01418 3.322092e-08
M01419 2.576810e-07
M01420 -4.043549e-07
M01421 -1.165654e-08
M01422 2.697309e-07
M01423 -2.153950e-07
M01424 -2.231667e-19
M01425 1.106753e-07
M01426 2.128185e-08
M01427 2.231667e-19
M01428 -2.231667e-19
M01429 2.231667e-19
M01430 2.231667e-19
M01431 2.231667e-19
M01432 -3.765129e-07
M01433 -5.312992e-08
M01434 3.225130e-07
M01435 8.944928e-09
M01436 2.231667e-19
M01437 -1.641739e-08
M01438 3.324439e-07
M01439 -9.781835e-08
M01440 -1.288086e-07
M01441 -6.006645e-07
M01442 2.093440e-07
M01443 3.904456e-07
M01444 -1.546069e-07
M01445 -2.285872e-07
M01446 1.201956e-08
M01447 -5.611919e-08
M01448 -4.244928e-08
M01449 2.231667e-19
M01450 -3.430074e-08
M01451 1.120491e-07
M01452 2.231667e-19
M01453 -5.330708e-08
M01454 -2.231667e-19
M01455 -8.676862e-08
M01456 -2.928705e-07
M01457 1.008003e-07
M01458 9.288905e-08
M01459 2.231667e-19
M01460 -6.963255e-08
M01461 8.132735e-08
M01462 6.016423e-07
M01463 -6.960560e-08
M01464 -2.231667e-19
M01465 -7.179897e-08
M01466 -3.457003e-08
M01467 -3.671028e-09
M01468 2.210690e-07
M01469 8.768266e-08
M01470 7.281280e-08
M01471 -1.983230e-08
M01472 -2.231667e-19
M01473 2.231667e-19
M01474 -1.238312e-07
M01475 -3.046052e-07
M01476 2.549865e-08
M01477 3.489189e-07
M01478 2.231667e-19
M01479 1.742008e-07
M01480 -1.285640e-07
M01481 -2.231667e-19
M01482 1.569325e-07
M01483 -3.710741e-08
M01484 2.231667e-19
M01485 4.365207e-08
M01486 6.950346e-08
M01487 -5.478275e-08
M01488 2.231667e-19
M01489 -4.074594e-07
M01490 7.801124e-08
M01491 -3.510700e-08
M01492 -2.316639e-07
M01493 -2.617349e-07
M01494 -2.057297e-07
M01495 -1.059105e-07
M01496 5.478275e-08
M01497 -1.645493e-07
M01498 -1.067348e-07
M01499 2.128185e-08
M01500 -3.474402e-08
M01501 8.964485e-08
M01502 2.502664e-07
M01503 -1.740700e-07
M01504 -2.003908e-07
M01505 -1.201358e-07
M01506 2.231667e-19
M01507 2.231667e-19
M01508 3.495706e-08
M01509 -2.231667e-19
M01510 2.102737e-07
M01511 2.231667e-19
M01512 2.231667e-19
M01513 1.102855e-07
M01514 -2.231667e-19
M01515 -2.231667e-19
M01516 -3.097241e-07
M01517 1.089293e-07
M01518 6.141803e-07
M01519 2.231667e-19
M01520 -2.231667e-19
M01521 2.381588e-07
M01522 -2.610944e-07
M01523 3.321326e-07
M01524 2.231667e-19
M01525 -2.231667e-19
M01526 3.927494e-10
M01527 -2.331308e-08
M01528 -2.231667e-19
M01529 1.357336e-08
M01530 -2.231667e-19
M01531 2.002655e-07
M01532 1.291072e-07
M01533 1.049424e-07
M01534 2.231667e-19
M01535 -3.881514e-07
M01536 2.768040e-08
M01537 3.626298e-07
M01538 -1.281399e-07
M01539 -2.231667e-19
M01540 1.983230e-08
M01541 -2.231667e-19
M01542 -2.231667e-19
M01543 1.176115e-07
M01544 9.568139e-10
M01545 1.787462e-08
M01546 3.067126e-07
M01547 -1.740797e-07
M01548 2.128185e-08
M01549 -7.594515e-08
M01550 -1.357031e-07
M01551 -7.725112e-07
M01552 1.534421e-07
M01553 -2.866716e-07
M01554 2.231667e-19
M01555 -2.231667e-19
M01556 -1.456718e-07
M01557 -7.936382e-08
M01558 -1.059105e-07
M01559 5.478275e-08
M01560 9.332887e-09
M01561 7.281280e-08
M01562 9.465234e-08
M01563 -2.363083e-07
M01564 -2.231667e-19
M01565 1.200332e-07
M01566 -2.231667e-19
M01567 -2.231667e-19
M01568 -1.318595e-07
M01569 -7.023271e-08
M01570 -2.231667e-19
M01571 2.187447e-07
M01572 2.231667e-19
M01573 2.231667e-19
M01574 -2.052319e-08
M01575 -1.133951e-07
M01576 1.731843e-07
M01577 3.737917e-07
M01578 -9.474478e-08
M01579 2.231667e-19
M01580 -1.748535e-07
M01581 3.204945e-07
M01582 2.231667e-19
M01583 -1.555667e-07
M01584 7.266385e-08
M01585 -8.461521e-08
M01586 4.103580e-08
M01587 -2.960951e-07
M01588 -9.061302e-08
M01589 -7.394385e-08
M01590 -7.280268e-08
M01591 2.003908e-07
M01592 2.231667e-19
M01593 -1.333526e-07
M01594 -9.201279e-09
M01595 5.228480e-08
M01596 2.231667e-19
M01597 2.231667e-19
M01598 2.570199e-07
M01599 2.231667e-19
M01600 -2.231667e-19
M01601 2.331308e-08
M01602 5.390554e-08
M01603 1.362104e-07
M01604 -1.712394e-07
M01605 1.259750e-07
M01606 -4.099117e-07
M01607 -2.002655e-07
M01608 2.231667e-19
M01609 -2.231667e-19
M01610 2.539203e-08
M01611 2.283304e-08
M01612 2.231667e-19
M01613 -8.120543e-08
M01614 -1.006995e-07
M01615 1.871271e-07
M01616 -2.231667e-19
M01617 5.603923e-08
M01618 3.425608e-08
M01619 5.636600e-08
M01620 -8.944928e-09
M01621 -2.172292e-08
M01622 2.450880e-07
M01623 1.590797e-07
M01624 1.798079e-07
M01625 -2.262919e-07
M01626 7.988114e-09
M01627 2.231667e-19
M01628 1.679006e-07
M01629 1.211624e-07
M01630 5.637240e-08
M01631 1.916950e-08
M01632 -2.231667e-19
M01633 -3.504962e-07
M01634 3.967018e-08
M01635 9.717451e-08
M01636 6.293624e-07
M01637 1.939728e-07
M01638 -2.231667e-19
M01639 -2.231667e-19
M01640 -2.648053e-07
M01641 1.744828e-07
M01642 8.183725e-08
M01643 -5.359075e-08
M01644 -2.551470e-07
M01645 2.235793e-08
M01646 -4.161433e-07
M01647 2.988636e-07
M01648 -4.404705e-08
M01649 1.008657e-07
M01650 -1.318595e-07
M01651 -2.217944e-07
M01652 -2.231667e-19
M01653 -2.231667e-19
M01654 1.501572e-07
M01655 -2.231667e-19
M01656 1.679006e-07
M01657 -3.612193e-07
M01658 -5.320216e-08
M01659 1.249999e-08
M01660 1.146048e-07
M01661 1.679006e-07
M01662 2.794745e-07
M01663 8.247632e-08
M01664 -4.340021e-08
M01665 -3.713362e-07
M01666 -2.003908e-07
M01667 1.304060e-07
M01668 -2.996311e-08
M01669 1.155409e-07
M01670 -2.231667e-19
M01671 8.944928e-09
M01672 -1.375245e-07
M01673 3.924362e-07
M01674 -4.056961e-07
M01675 -1.444892e-07
M01676 -2.386648e-08
M01677 3.265750e-07
M01678 4.340021e-08
M01679 -2.231667e-19
M01680 -1.595041e-07
M01681 -5.780032e-07
M01682 7.538628e-09
M01683 1.456770e-07
M01684 1.301677e-07
M01685 2.439047e-08
M01686 -3.422548e-07
M01687 2.231667e-19
M01688 2.883563e-07
M01689 -2.617349e-07
M01690 -5.478275e-08
M01691 -2.231667e-19
M01692 4.772416e-07
M01693 -2.695661e-07
M01694 2.732043e-07
M01695 2.231667e-19
M01696 -2.231667e-19
M01697 -3.671661e-08
M01698 2.231667e-19
M01699 -2.231667e-19
M01700 -2.231667e-19
M01701 1.223466e-07
M01702 -7.672104e-08
M01703 1.996405e-07
M01704 -2.231667e-19
M01705 -5.365883e-09
M01706 -1.318595e-07
M01707 2.231667e-19
M01708 -2.231667e-19
M01709 3.242141e-08
M01710 1.284467e-07
M01711 9.512406e-08
M01712 1.678571e-07
M01713 -3.636026e-08
M01714 2.231667e-19
M01715 -1.957267e-07
M01716 -1.952441e-07
M01717 -7.905999e-08
M01718 1.789993e-07
M01719 -7.945984e-08
M01720 -2.839140e-07
M01721 -8.179411e-08
M01722 3.270950e-07
M01723 -3.860489e-08
M01724 3.545554e-09
M01725 1.008003e-07
M01726 3.314420e-09
M01727 1.476600e-07
M01728 -2.049783e-07
M01729 1.286830e-08
M01730 1.422923e-07
M01731 -1.769695e-07
M01732 -8.063576e-08
M01733 2.128185e-08
M01734 8.265160e-08
M01735 3.722996e-07
M01736 5.320216e-08
M01737 5.024874e-10
M01738 2.165224e-08
M01739 -9.868014e-08
M01740 3.576232e-08
M01741 2.777549e-07
M01742 -2.231667e-19
M01743 2.231667e-19
M01744 -2.231667e-19
M01745 7.856992e-08
M01746 2.681485e-07
M01747 2.080620e-08
M01748 -2.231667e-19
M01749 5.478275e-08
M01750 2.231667e-19
M01751 -1.079521e-07
M01752 -5.038679e-08
M01753 -1.881495e-08
M01754 1.297150e-08
M01755 2.231667e-19
M01756 2.231667e-19
M01757 2.231667e-19
M01758 6.802894e-08
M01759 -2.441369e-07
M01760 2.231667e-19
M01761 -1.844165e-07
M01762 5.320216e-08
M01763 5.478275e-08
M01764 1.406805e-07
M01765 -1.703001e-07
M01766 -2.231667e-19
M01767 -2.231667e-19
M01768 1.805907e-07
M01769 -1.003351e-07
M01770 1.211624e-07
M01771 -2.231667e-19
M01772 4.471586e-08
M01773 -1.426183e-07
M01774 1.845813e-08
M01775 1.845813e-08
M01776 2.231667e-19
M01777 -2.066639e-07
M01778 -1.175795e-07
M01779 5.069167e-08
M01780 -7.699959e-08
M01781 4.496930e-08
M01782 8.513760e-08
M01783 5.186091e-08
M01784 2.128185e-08
M01785 -1.138502e-07
M01786 2.231667e-19
M01787 1.165654e-08
M01788 -2.231667e-19
M01789 9.632966e-08
M01790 -1.547999e-08
M01791 3.275824e-07
M01792 -6.875904e-07
M01793 8.944928e-09
M01794 -2.231667e-19
M01795 -2.231667e-19
M01796 -1.226111e-07
M01797 -2.231667e-19
M01798 -2.231667e-19
M01799 3.361761e-08
M01800 3.640761e-09
M01801 7.216818e-08
M01802 1.535242e-07
M01803 5.513379e-09
M01804 5.934765e-08
M01805 1.271574e-08
M01806 -2.231667e-19
M01807 -2.231667e-19
M01808 -5.990443e-08
M01809 8.723485e-08
M01810 4.344954e-08
M01811 -3.386064e-07
M01812 -2.094252e-07
M01813 -2.920348e-07
M01814 -6.006645e-07
M01815 -8.768266e-08
M01816 2.404613e-07
M01817 2.191117e-07
M01818 -3.619986e-07
M01819 -7.534509e-07
M01820 2.231667e-19
M01821 2.007371e-07
M01822 1.405589e-07
M01823 -2.231667e-19
M01824 -6.137926e-08
M01825 -9.686404e-08
M01826 -3.249718e-07
M01827 2.612271e-08
M01828 -1.019871e-07
M01829 1.968001e-07
M01830 5.923536e-08
M01831 2.231667e-19
M01832 -3.749264e-07
M01833 5.822521e-07
M01834 -7.281280e-08
M01835 -1.370471e-07
M01836 -3.183163e-07
M01837 1.375245e-07
M01838 2.231667e-19
M01839 1.103354e-07
M01840 2.231667e-19
M01841 -2.877300e-08
M01842 2.231667e-19
M01843 9.105093e-08
M01844 2.231667e-19
M01845 1.933052e-07
M01846 -2.321149e-07
M01847 -3.386323e-07
M01848 -1.875848e-07
M01849 7.281280e-08
M01850 6.069636e-08
M01851 6.738731e-08
M01852 -9.901877e-08
M01853 -5.105085e-08
M01854 -3.737488e-09
M01855 2.059695e-07
M01856 -1.165654e-08
M01857 -2.231667e-19
M01858 2.777537e-07
M01859 7.801124e-08
M01860 3.582221e-07
M01861 -9.137087e-08
M01862 -1.891834e-07
M01863 -2.743520e-07
M01864 2.007371e-07
M01865 -2.003908e-07
M01866 -1.415528e-07
M01867 1.735133e-07
M01868 4.023161e-07
M01869 2.231667e-19
M01870 -2.231667e-19
M01871 -2.231667e-19
M01872 -4.375166e-08
M01873 -1.025453e-07
M01874 -6.845020e-09
M01875 2.935536e-07
M01876 1.617196e-07
M01877 5.059584e-08
M01878 1.482331e-07
M01879 9.564046e-08
M01880 3.382830e-07
M01881 8.359598e-08
M01882 2.231667e-19
M01883 3.646871e-08
M01884 8.993859e-08
M01885 7.960244e-08
M01886 -8.931863e-08
M01887 3.737488e-09
M01888 -4.426759e-07
M01889 2.231667e-19
M01890 2.837647e-07
M01891 2.231667e-19
M01892 2.231667e-19
M01893 -6.623007e-07
M01894 -2.231667e-19
M01895 -8.944928e-09
M01896 2.231667e-19
M01897 3.231386e-08
M01898 -2.127652e-07
M01899 -1.495878e-07
M01900 -2.679907e-07
M01901 -2.933137e-07
M01902 5.024874e-10
M01903 1.664047e-07
M01904 1.983230e-08
M01905 -2.231667e-19
M01906 1.730212e-08
M01907 9.564046e-08
M01908 1.159353e-07
M01909 -8.834840e-09
M01910 3.810231e-07
M01911 2.231667e-19
M01912 2.231667e-19
M01913 5.309695e-07
M01914 2.784117e-08
M01915 1.456718e-07
M01916 6.744692e-08
M01917 -2.061737e-07
M01918 2.231667e-19
M01919 -9.632966e-08
M01920 -2.231667e-19
M01921 2.231667e-19
M01922 2.231667e-19
M01923 2.231667e-19
M01924 2.231667e-19
M01925 -4.522273e-08
M01926 -1.138502e-07
M01927 2.231667e-19
M01928 -2.759898e-07
M01929 2.231667e-19
M01930 1.534421e-07
M01931 8.053253e-08
M01932 -2.293986e-07
M01933 2.231667e-19
M01934 1.301228e-07
M01935 1.301957e-07
M01936 3.367775e-08
M01937 1.024724e-07
M01938 -2.231667e-19
M01939 -2.231667e-19
M01940 2.597217e-07
M01941 3.616777e-07
M01942 2.231667e-19
M01943 7.470625e-08
M01944 2.331308e-08
M01945 2.164675e-07
M01946 3.419541e-07
M01947 -3.312204e-07
M01948 -2.231667e-19
M01949 3.961038e-07
M01950 -3.737488e-09
M01951 -4.306380e-08
M01952 5.024874e-10
M01953 4.106682e-08
M01954 2.003908e-07
M01955 2.375533e-08
M01956 -2.231667e-19
M01957 -7.768150e-08
M01958 7.154706e-08
M01959 -3.910388e-07
M01960 -3.965277e-07
M01961 -1.420942e-07
M01962 6.793398e-08
M01963 -8.247632e-08
M01964 1.741605e-07
M01965 -6.684271e-08
M01966 4.685564e-08
M01967 2.128185e-08
M01968 -2.092490e-07
M01969 -4.285748e-07
M01970 3.105263e-07
M01971 5.447379e-07
M01972 2.231667e-19
M01973 1.813786e-08
M01974 -1.841287e-08
M01975 -2.231667e-19
M01976 2.148654e-07
M01977 -7.504789e-08
M01978 -2.718421e-08
M01979 -6.136103e-08
M01980 -8.471501e-08
M01981 8.608989e-08
M01982 -4.405636e-07
M01983 7.743606e-08
M01984 1.188839e-07
M01985 -1.994979e-07
M01986 -1.032285e-06
M01987 -2.231667e-19
M01988 2.231667e-19
M01989 -1.237208e-07
M01990 -6.282877e-08
M01991 1.099578e-07
M01992 -2.570080e-07
M01993 -2.178823e-07
M01994 2.231667e-19
M01995 2.093191e-07
M01996 -1.634159e-07
M01997 8.581210e-08
M01998 6.041245e-07
M01999 2.031090e-07
M02000 -5.376179e-08
M02001 2.231667e-19
M02002 -3.757480e-07
M02003 -8.851815e-08
M02004 -2.203394e-07
M02005 2.327262e-09
M02006 -4.747246e-08
M02007 -2.231667e-19
M02008 4.106682e-08
M02009 4.321197e-07
M02010 -3.648736e-08
M02011 -1.950479e-07
M02012 -2.231667e-19
M02013 2.231667e-19
M02014 -4.268540e-10
M02015 9.662758e-08
M02016 -2.716563e-08
M02017 2.231667e-19
M02018 2.231667e-19
M02019 3.350782e-07
M02020 -2.231667e-19
M02021 -1.678184e-07
M02022 -6.683354e-07
M02023 -2.741714e-07
M02024 -3.808573e-07
M02025 1.788056e-07
M02026 -1.397404e-08
M02027 -1.906220e-07
M02028 -1.626105e-08
M02029 1.319561e-07
M02030 -1.565104e-07
M02031 4.251264e-07
M02032 -2.647750e-07
M02033 -1.493694e-08
M02034 2.231667e-19
M02035 9.685947e-09
M02036 8.878854e-08
M02037 7.130566e-08
M02038 8.031182e-08
M02039 -6.635950e-08
M02040 2.231667e-19
M02041 -1.590051e-07
M02042 4.358237e-08
M02043 -1.493963e-07
M02044 4.169611e-08
M02045 2.647750e-07
M02046 -1.024884e-07
M02047 -7.717629e-08
M02048 2.231667e-19
M02049 -1.844969e-08
M02050 -2.231667e-19
M02051 -1.868744e-09
M02052 1.781444e-07
M02053 -2.331308e-08
M02054 8.858760e-08
M02055 2.231667e-19
M02056 -1.163766e-07
M02057 -2.231667e-19
M02058 6.686519e-10
M02059 3.231386e-08
M02060 2.059695e-07
M02061 -2.966304e-07
M02062 -3.139981e-07
M02063 1.500302e-07
M02064 7.042431e-08
M02065 -2.842483e-08
M02066 1.491069e-07
M02067 -1.938262e-08
M02068 -2.231667e-19
M02069 8.964485e-08
M02070 4.793509e-08
M02071 -1.488031e-07
M02072 1.621070e-08
M02073 1.932843e-07
M02074 2.231667e-19
M02075 -1.617906e-07
M02076 -3.353846e-08
M02077 2.331308e-08
M02078 -6.107769e-08
M02079 2.231667e-19
M02080 7.980612e-08
M02081 2.231667e-19
M02082 1.416585e-07
M02083 -6.799713e-08
M02084 -9.092444e-07
M02085 -2.550079e-07
M02086 2.937311e-07
M02087 -1.413150e-07
M02088 -2.231667e-19
M02089 8.944928e-09
M02090 3.720655e-07
M02091 4.633354e-08
M02092 -1.541968e-07
M02093 2.231667e-19
M02094 -6.208777e-08
M02095 -1.983230e-08
M02096 2.695499e-07
M02097 -5.169645e-08
M02098 1.062204e-07
M02099 -7.768150e-08
M02100 -8.394517e-08
M02101 -7.100389e-07
M02102 9.129411e-08
M02103 2.231667e-19
M02104 -5.478275e-08
M02105 -1.460116e-07
M02106 -2.231667e-19
M02107 2.231667e-19
M02108 -2.231667e-19
M02109 9.524642e-08
M02110 2.231667e-19
M02111 2.231667e-19
M02112 1.044804e-06
M02113 -3.238100e-07
M02114 2.231667e-19
M02115 -3.808490e-08
M02116 -3.268932e-08
M02117 3.109702e-07
M02118 -4.970313e-08
M02119 -2.704618e-09
M02120 -2.688279e-08
M02121 4.955076e-08
M02122 -7.768150e-08
M02123 2.231667e-19
M02124 -2.231667e-19
M02125 3.246274e-08
M02126 -2.231667e-19
M02127 2.231667e-19
M02128 1.259109e-11
M02129 -8.534672e-09
M02130 7.939734e-07
M02131 8.944928e-09
M02132 -5.606508e-08
M02133 2.271072e-07
M02134 -9.045580e-08
M02135 2.231667e-19
M02136 3.127999e-07
M02137 2.231667e-19
M02138 -2.231667e-19
M02139 2.231667e-19
M02140 1.302465e-07
M02141 1.568354e-08
M02142 -1.669872e-07
M02143 -1.326849e-07
M02144 -1.757767e-07
M02145 4.342543e-08
M02146 -2.128185e-08
M02147 2.231667e-19
M02148 2.231667e-19
M02149 1.474727e-07
M02150 8.038449e-08
M02151 -2.231667e-19
M02152 -2.231667e-19
M02153 3.737488e-09
M02154 2.541876e-07
M02155 -2.231667e-19
M02156 -5.100346e-07
M02157 -1.618004e-07
M02158 -2.450880e-07
M02159 1.734815e-08
M02160 -2.231667e-19
M02161 3.535303e-08
M02162 -3.353846e-08
M02163 1.821835e-07
M02164 -1.597623e-08
M02165 2.231667e-19
M02166 5.141443e-08
M02167 7.768150e-08
M02168 -2.231667e-19
M02169 -1.788986e-08
M02170 -4.326993e-07
M02171 -2.058263e-07
M02172 -8.218899e-08
M02173 2.231667e-19
M02174 2.231667e-19
M02175 5.218909e-07
M02176 1.730212e-08
M02177 1.324319e-07
M02178 -6.392639e-08
M02179 3.161553e-07
M02180 1.748535e-07
M02181 1.153150e-07
M02182 -1.848716e-07
M02183 -4.358333e-07
M02184 -1.551468e-08
M02185 -8.768266e-08
M02186 6.915024e-08
M02187 3.184006e-07
M02188 -9.964355e-09
M02189 -3.468418e-07
M02190 -5.478275e-08
M02191 6.802894e-08
M02192 -2.231667e-19
M02193 -2.708877e-07
M02194 -1.892691e-07
M02195 -2.231667e-19
M02196 2.231667e-19
M02197 -2.231667e-19
M02198 1.191556e-07
M02199 -7.550016e-09
M02200 2.231667e-19
M02201 -2.231667e-19
M02202 -2.231667e-19
M02203 2.231667e-19
M02204 -8.768266e-08
M02205 2.231667e-19
M02206 2.231667e-19
M02207 -1.984631e-07
M02208 1.294864e-07
M02209 2.077792e-07
M02210 3.160847e-07
M02211 8.004660e-09
M02212 2.525898e-07
M02213 -2.231667e-19
M02214 1.024884e-07
M02215 -1.413150e-07
M02216 -5.105085e-08
M02217 -2.726103e-07
M02218 2.570199e-07
M02219 3.022136e-07
M02220 -1.176115e-07
M02221 2.231667e-19
M02222 1.363923e-08
M02223 -1.405185e-07
M02224 -2.231667e-19
M02225 -5.611919e-08
M02226 -3.737488e-09
M02227 -1.753131e-07
M02228 7.097049e-07
M02229 -2.231667e-19
M02230 -2.231667e-19
M02231 -1.276798e-08
M02232 2.231667e-19
M02233 -1.213301e-07
M02234 -2.231667e-19
M02235 -3.408057e-08
M02236 3.647618e-08
M02237 -2.231667e-19
M02238 1.589785e-07
M02239 1.700977e-08
M02240 -1.573716e-07
M02241 -4.216255e-08
M02242 -4.496930e-08
M02243 5.638088e-07
M02244 2.610833e-07
M02245 1.418710e-08
M02246 1.840256e-08
M02247 -8.768266e-08
M02248 2.231667e-19
M02249 9.662758e-08
M02250 -5.169437e-07
M02251 -2.231667e-19
M02252 -2.231667e-19
M02253 -5.320216e-08
M02254 -3.545554e-09
M02255 2.342040e-07
M02256 -1.628589e-08
M02257 4.527392e-08
M02258 -1.193863e-07
M02259 -1.046922e-07
M02260 -8.944928e-09
M02261 -7.443578e-08
M02262 2.231667e-19
M02263 3.326823e-07
M02264 8.768266e-08
M02265 -1.601948e-07
M02266 -1.120204e-08
M02267 2.231667e-19
M02268 -7.957797e-08
M02269 -1.472619e-07
M02270 -4.400064e-08
M02271 -1.008003e-07
M02272 1.133951e-07
M02273 2.231667e-19
M02274 -2.494464e-07
M02275 4.574900e-08
M02276 -9.357739e-08
M02277 -9.133157e-08
M02278 2.779085e-07
M02279 1.472078e-07
M02280 -5.320216e-08
M02281 -1.980875e-07
M02282 5.478275e-08
M02283 -1.238795e-07
M02284 -6.731043e-08
M02285 9.512406e-08
M02286 -2.231667e-19
M02287 3.740132e-07
M02288 -9.313909e-08
M02289 3.203737e-07
M02290 1.373784e-07
M02291 -2.231667e-19
M02292 -2.298990e-07
M02293 5.985686e-08
M02294 -7.065751e-08
M02295 1.456770e-07
M02296 3.229574e-07
M02297 -1.432856e-07
M02298 -3.850509e-07
M02299 1.929889e-07
M02300 -3.520365e-09
M02301 1.546069e-07
M02302 -5.459728e-08
M02303 -5.495441e-08
M02304 -1.392542e-07
M02305 -2.255144e-07
M02306 -2.512816e-07
M02307 -4.496930e-08
M02308 2.670894e-07
M02309 5.997093e-07
M02310 -1.387467e-07
M02311 1.325370e-07
M02312 3.149836e-08
M02313 7.043986e-07
M02314 -8.835297e-08
M02315 -1.337809e-07
M02316 1.494032e-07
M02317 -2.672848e-07
M02318 -1.065616e-07
M02319 -1.710627e-07
M02320 4.588062e-08
M02321 -2.304183e-08
M02322 2.026618e-07
M02323 -2.841579e-08
M02324 2.458082e-07
M02325 -1.019621e-07
M02326 5.343624e-07
M02327 -2.258643e-07
M02328 -5.109089e-07
M02329 -6.073164e-08
M02330 6.756525e-07
M02331 -2.304183e-08
M02332 9.877150e-08
M02333 -6.849899e-08
M02334 -1.544418e-07
M02335 -4.496930e-08
M02336 2.304183e-08
M02337 -1.906677e-07
M02338 -2.114835e-07
M02339 1.582365e-07
M02340 2.669682e-07
M02341 2.425966e-07
M02342 2.791269e-07
M02343 -3.524768e-07
M02344 -6.249735e-07
M02345 7.837116e-08
M02346 -8.835297e-08
M02347 2.643475e-07
M02348 1.853293e-08
M02349 -2.592139e-07
M02350 1.921365e-07
M02351 2.935046e-07
M02352 -3.519844e-07
M02353 1.998367e-07
M02354 2.231667e-19
M02355 -1.466780e-07
M02356 -5.044704e-07
M02357 -1.320379e-07
M02358 2.742640e-07
M02359 -2.216938e-07
M02360 1.987610e-07
M02361 -2.494290e-07
M02362 -6.563185e-07
M02363 -3.565843e-07
M02364 -1.070849e-07
M02365 -9.132350e-07
M02366 -6.173068e-07
M02367 2.485324e-07
M02368 2.304183e-08
M02369 -3.929233e-07
M02370 3.258192e-07
M02371 2.961138e-07
M02372 1.198800e-07
M02373 -2.084482e-07
M02374 -3.063556e-07
M02375 -8.264156e-08
M02376 -2.968602e-08
M02377 1.989703e-07
M02378 -1.316833e-07
M02379 -1.413187e-07
M02380 -1.084862e-07
M02381 -1.910281e-07
M02382 -1.111964e-07
M02383 -5.662343e-07
M02384 -4.418136e-08
M02385 1.784415e-07
M02386 1.899498e-07
M02387 -2.734533e-07
M02388 4.471586e-08
M02389 -5.044747e-07
M02390 2.231667e-19
M02391 -2.830574e-07
M02392 -5.124716e-08
M02393 2.437902e-07
M02394 2.583964e-08
M02395 1.010186e-07
M02396 8.266333e-07
M02397 1.595446e-07
M02398 4.496930e-08
M02399 3.276235e-07
M02400 2.231667e-19
M02401 1.278893e-07
M02402 -8.835297e-08
M02403 -8.524066e-08
M02404 1.051082e-07
M02405 6.972680e-08
M02406 3.278458e-07
M02407 5.750061e-07
M02408 2.304183e-08
M02409 2.383806e-07
M02410 -5.317640e-07
M02411 -1.461879e-07
M02412 -4.035052e-08
M02413 -3.269415e-07
M02414 6.007102e-07
M02415 -1.442813e-07
M02416 -2.655935e-07
M02417 2.231667e-19
M02418 -1.019621e-07
M02419 5.026050e-08
M02420 1.998367e-07
M02421 5.020391e-08
M02422 -2.231667e-19
M02423 1.665885e-07
M02424 -1.648138e-07
M02425 -1.998367e-07
M02426 -1.632914e-07
M02427 -1.096049e-07
M02428 7.752312e-07
M02429 -2.231667e-19
M02430 3.932161e-07
M02431 2.202952e-07
M02432 4.008096e-07
M02433 -4.715331e-07
M02434 5.570000e-07
M02435 -2.383806e-07
M02436 -2.260845e-08
M02437 7.312127e-07
M02438 2.231667e-19
M02439 -3.370001e-07
M02440 -2.160198e-07
M02441 7.517950e-08
M02442 -2.231667e-19
M02443 -2.087769e-07
M02444 2.653340e-07
M02445 2.069062e-07
M02446 -7.516311e-08
M02447 1.137252e-07
M02448 -1.240074e-07
M02449 -5.477635e-08
M02450 -4.124824e-08
M02451 3.239428e-07
M02452 -2.671209e-07
M02453 -9.096529e-08
M02454 -2.231667e-19
M02455 -3.918757e-07
M02456 -1.622596e-07
M02457 -1.413187e-07
M02458 1.200344e-07
M02459 -2.713739e-07
M02460 -1.720425e-07
M02461 4.391702e-07
M02462 1.998367e-07
M02463 5.989729e-07
M02464 4.496930e-08
M02465 -2.514818e-07
M02466 -8.057016e-09
M02467 -4.757026e-07
M02468 -1.259415e-07
M02469 1.484069e-07
M02470 -5.273164e-08
M02471 -1.466780e-07
M02472 1.796047e-07
M02473 1.585020e-07
M02474 -5.371516e-07
M02475 -5.026050e-08
M02476 2.178151e-07
M02477 4.265638e-07
M02478 1.959160e-07
M02479 3.394372e-07
M02480 -4.567629e-08
M02481 2.367198e-08
M02482 2.447636e-07
M02483 -1.506267e-07
M02484 6.970614e-07
M02485 -6.995309e-08
M02486 1.552460e-07
M02487 -3.010196e-07
M02488 -2.914138e-07
M02489 4.237172e-08
M02490 -6.250665e-08
M02491 -3.653303e-07
M02492 2.466835e-07
M02493 -2.187009e-07
M02494 -5.014796e-08
M02495 1.397404e-08
M02496 4.995073e-08
M02497 -4.048773e-07
M02498 -5.598002e-07
M02499 7.333371e-07
M02500 -2.669478e-07
M02501 5.012685e-07
M02502 3.792582e-08
M02503 -2.233834e-07
M02504 -1.137252e-07
M02505 -1.541604e-07
M02506 -8.148756e-07
M02507 9.320290e-09
M02508 3.408133e-07
M02509 1.548945e-07
M02510 3.851981e-07
M02511 3.087462e-07
M02512 -7.752312e-07
M02513 3.009821e-07
M02514 -6.812119e-07
M02515 1.019621e-07
M02516 -2.775010e-07
M02517 -5.813670e-07
M02518 -1.049211e-07
M02519 -2.689406e-07
M02520 2.455841e-07
M02521 -1.637252e-07
M02522 6.878887e-07
M02523 4.033990e-07
M02524 -2.384954e-07
M02525 -1.556067e-07
M02526 -2.674357e-07
M02527 2.231667e-19
M02528 -1.322892e-07
M02529 -9.149102e-08
M02530 1.479010e-07
M02531 1.789533e-07
M02532 1.564549e-07
M02533 -3.940039e-08
M02534 1.074929e-07
M02535 -7.281280e-08
M02536 3.324640e-07
M02537 -1.501378e-07
M02538 2.276093e-07
M02539 -5.240374e-07
M02540 -2.231667e-19
M02541 2.260845e-08
M02542 -3.101427e-08
M02543 -1.294835e-07
M02544 -6.294195e-07
M02545 2.828268e-07
M02546 -5.911191e-07
M02547 3.804994e-07
M02548 2.395342e-07
M02549 2.106815e-07
M02550 4.619027e-07
M02551 6.732431e-08
M02552 -2.255144e-07
M02553 -5.011713e-08
M02554 4.938463e-07
M02555 1.134340e-07
M02556 -6.792680e-08
M02557 1.549007e-07
M02558 -1.608695e-08
M02559 7.497107e-07
M02560 -1.060865e-07
M02561 -2.730602e-07
M02562 -9.956657e-08
M02563 -2.904969e-07
M02564 -4.325813e-08
M02565 2.087769e-07
M02566 1.854561e-07
M02567 -8.150272e-08
M02568 -7.402871e-07
M02569 -3.059161e-07
M02570 3.400136e-07
M02571 -1.494032e-07
M02572 -1.545370e-07
M02573 6.511882e-07
M02574 -2.511136e-07
M02575 4.512017e-07
M02576 -1.868205e-07
M02577 -1.442637e-07
M02578 2.304183e-08
M02579 2.891992e-07
M02580 -6.237425e-08
M02581 -3.845560e-08
M02582 1.734942e-07
M02583 1.241781e-07
M02584 -2.734611e-07
M02585 1.518125e-07
M02586 -3.445273e-07
M02587 -2.719122e-07
M02588 -3.207844e-07
M02589 -4.580157e-07
M02590 -1.891486e-08
M02591 1.722492e-07
M02592 -2.231667e-19
M02593 3.239428e-07
M02594 -8.775256e-07
M02595 -4.335339e-07
M02596 -2.231667e-19
M02597 1.966711e-07
M02598 6.552398e-07
M02599 4.591226e-07
M02600 2.163202e-07
M02601 1.660768e-08
M02602 -4.275458e-07
M02603 1.281718e-07
M02604 -1.466780e-07
M02605 2.231667e-19
M02606 2.051853e-07
M02607 6.186753e-07
M02608 -3.332715e-07
M02609 -3.712652e-08
M02610 -2.231667e-19
M02611 -2.231667e-19
M02612 1.664339e-07
M02613 2.236085e-08
M02614 6.498017e-08
M02615 5.997191e-08
M02616 -4.471586e-08
M02617 3.390549e-07
M02618 3.433917e-07
M02619 8.564840e-08
M02620 -1.860309e-07
M02621 2.231667e-19
M02622 6.498017e-08
M02623 -2.406417e-07
M02624 -7.752312e-07
M02625 7.795330e-09
M02626 3.480223e-07
M02627 -4.325858e-07
M02628 -1.050535e-07
M02629 -2.304183e-08
M02630 4.948560e-07
M02631 8.835297e-08
M02632 -4.335339e-07
M02633 5.719550e-07
M02634 8.092282e-08
M02635 9.132350e-07
M02636 2.713739e-07
M02637 -2.473721e-07
M02638 1.198800e-07
M02639 4.669787e-07
M02640 -1.466780e-07
M02641 -1.542551e-07
M02642 -1.214014e-07
M02643 -1.136727e-07
M02644 -6.732431e-08
M02645 -6.348929e-07
M02646 5.284782e-07
M02647 -6.576908e-07
M02648 -2.209838e-07
M02649 -5.975580e-07
M02650 -4.335339e-07
M02651 3.112186e-07
M02652 2.925993e-07
M02653 -5.036702e-07
M02654 -7.648722e-08
M02655 1.991429e-07
M02656 5.088249e-07
M02657 6.066396e-07
M02658 -1.043411e-07
M02659 1.432856e-07
M02660 -2.436606e-07
M02661 -2.648134e-08
M02662 -8.835297e-08
M02663 -2.910780e-07
M02664 2.231667e-19
M02665 -2.710669e-07
M02666 3.453395e-07
M02667 2.422136e-07
M02668 1.905503e-07
M02669 2.613968e-07
M02670 2.231667e-19
M02671 6.195001e-07
M02672 -5.570000e-07
M02673 2.134308e-07
M02674 2.236085e-08
M02675 1.019621e-07
M02676 -1.444441e-07
M02677 3.694665e-08
M02678 -2.435744e-07
M02679 1.527175e-07
M02680 1.081993e-07
M02681 2.713739e-07
M02682 1.119472e-07
M02683 1.784141e-07
M02684 1.494032e-07
M02685 2.704069e-07
M02686 -3.186133e-08
M02687 4.761234e-08
M02688 -6.045282e-07
M02689 2.058887e-07
M02690 6.781739e-07
M02691 7.333371e-07
M02692 2.231667e-19
M02693 2.631364e-07
M02694 4.047535e-07
M02695 2.231667e-19
M02696 1.860309e-07
M02697 6.283531e-08
M02698 -2.478028e-07
M02699 -5.338349e-07
M02700 4.599404e-07
M02701 -4.200250e-07
M02702 -7.114410e-08
M02703 -2.037049e-07
M02704 -4.877649e-07
M02705 -3.453395e-07
M02706 2.106815e-07
M02707 6.292254e-07
M02708 6.444195e-07
M02709 5.287676e-07
M02710 -3.986940e-07
M02711 -2.304183e-08
M02712 -3.895035e-07
M02713 1.565404e-07
M02714 -1.882122e-07
M02715 -6.607790e-07
M02716 -5.412329e-07
M02717 -1.930875e-07
M02718 -2.231667e-19
M02719 2.667786e-07
M02720 -3.386609e-07
M02721 -6.135359e-09
M02722 -2.303238e-07
M02723 -8.262572e-08
M02724 -4.571353e-07
M02725 5.461347e-07
M02726 -2.507110e-07
M02727 -2.304183e-08
M02728 2.060982e-07
M02729 -4.554614e-07
M02730 -3.001434e-07
M02731 -5.489668e-09
M02732 1.085509e-07
M02733 -9.070008e-09
M02734 2.669682e-07
M02735 -6.061835e-07
M02736 -2.383806e-07
M02737 -4.535867e-07
M02738 3.368119e-07
M02739 -3.506320e-07
M02740 -6.484704e-07
M02741 -1.308064e-07
M02742 5.144397e-07
M02743 -1.413150e-07
M02744 4.593725e-07
M02745 2.893684e-07
M02746 5.754120e-07
M02747 1.236085e-07
M02748 -6.053849e-08
M02749 7.534142e-07
M02750 -2.160198e-07
M02751 1.413187e-07
M02752 -1.915792e-07
M02753 2.231667e-19
M02754 1.740733e-07
M02755 6.201170e-07
M02756 2.735873e-07
M02757 -1.095766e-08
M02758 -2.720277e-07
M02759 6.173068e-07
M02760 -1.019621e-07
M02761 6.207492e-08
M02762 2.231667e-19
M02763 4.351004e-07
M02764 -8.872443e-08
M02765 -7.333371e-07
M02766 4.352760e-07
M02767 2.511083e-07
M02768 1.548844e-08
M02769 -1.998367e-07
M02770 -1.973078e-07
M02771 1.033005e-08
M02772 -2.964939e-08
M02773 8.311835e-08
M02774 -4.156736e-08
M02775 3.022515e-07
M02776 3.207844e-07
M02777 3.840141e-08
M02778 2.504820e-07
M02779 1.456483e-07
M02780 3.413300e-07
M02781 1.263310e-07
M02782 -1.934113e-07
M02783 1.533058e-07
M02784 -1.624979e-07
M02785 -2.710669e-07
M02786 7.043986e-07
M02787 4.685564e-08
M02788 -2.163202e-07
M02789 -1.088523e-07
M02790 1.630802e-07
M02791 -3.375768e-07
M02792 -1.059601e-08
M02793 6.700557e-08
M02794 1.687328e-07
M02795 1.413150e-07
M02796 -1.522065e-07
M02797 -2.193208e-07
M02798 1.752562e-07
M02799 -5.530122e-08
M02800 2.823311e-07
M02801 -1.949542e-07
M02802 5.082865e-07
M02803 1.676201e-07
M02804 1.474757e-07
M02805 1.981329e-07
M02806 -3.603709e-08
M02807 -1.204766e-07
M02808 -2.231667e-19
M02809 3.850317e-07
M02810 4.471586e-08
M02811 1.591225e-07
M02812 6.900929e-08
M02813 2.231667e-19
M02814 -1.499358e-07
M02815 -1.860309e-07
M02816 1.826115e-07
M02817 2.251486e-07
M02818 -9.149102e-08
M02819 6.066396e-07
M02820 -1.894382e-07
M02821 -1.369819e-07
M02822 5.575520e-07
M02823 7.163223e-08
M02824 3.547458e-07
M02825 3.539066e-07
M02826 4.024673e-08
M02827 2.231667e-19
M02828 -4.544702e-07
M02829 4.386268e-07
M02830 1.426559e-07
M02831 6.495009e-08
M02832 7.881817e-08
M02833 2.231667e-19
M02834 -6.173068e-07
M02835 1.998367e-07
M02836 2.101882e-07
M02837 6.488714e-07
M02838 1.637252e-07
M02839 -1.014720e-07
M02840 -6.122311e-07
M02841 -1.142152e-07
M02842 2.767666e-07
M02843 5.997093e-07
M02844 -2.816399e-07
M02845 -3.770511e-07
M02846 -4.792919e-07
M02847 2.400436e-07
M02848 9.576292e-07
M02849 3.759468e-07
M02850 -2.231667e-19
M02851 5.199447e-07
M02852 -2.246185e-07
M02853 -4.775716e-07
M02854 -1.544418e-07
M02855 -3.733480e-08
M02856 1.409727e-07
M02857 3.291584e-07
M02858 -4.912102e-07
M02859 -5.088866e-09
M02860 5.997093e-07
M02861 -9.880129e-08
M02862 -2.673892e-07
M02863 5.943334e-08
M02864 -8.144761e-08
M02865 -2.231667e-19
M02866 -2.019287e-07
M02867 5.997093e-07
M02868 1.599920e-07
M02869 8.835297e-08
M02870 1.630802e-07
M02871 6.483862e-08
M02872 1.444441e-07
M02873 2.488767e-08
M02874 -2.710669e-07
M02875 -3.627572e-08
M02876 3.775187e-07
M02877 1.473093e-07
M02878 -6.086546e-08
M02879 4.981803e-07
M02880 -2.231667e-19
M02881 2.739106e-07
M02882 -2.304183e-08
M02883 4.431958e-07
M02884 -3.713168e-07
M02885 6.045282e-07
M02886 -2.231667e-19
M02887 -2.437902e-07
M02888 3.501450e-07
M02889 5.566999e-08
M02890 -5.459728e-08
M02891 6.195001e-07
M02892 8.633781e-08
M02893 2.573173e-07
M02894 5.997093e-07
M02895 -2.231667e-19
M02896 1.220360e-08
M02897 -2.304183e-08
M02898 2.251486e-07
M02899 -5.371516e-07
M02900 8.818657e-08
M02901 1.000028e-06
M02902 -1.998367e-07
M02903 -5.920847e-07
M02904 7.056443e-07
M02905 1.850924e-07
M02906 6.195001e-07
M02907 5.044704e-07
M02908 -4.496930e-08
M02909 4.335339e-07
M02910 -3.112279e-07
M02911 -3.576709e-07
M02912 6.293918e-07
M02913 -6.348929e-07
M02914 3.272557e-07
M02915 -4.599404e-07
M02916 -4.555433e-07
M02917 2.231667e-19
M02918 -1.419126e-07
M02919 -5.137643e-08
M02920 4.599404e-07
M02921 -2.898918e-08
M02922 -6.396967e-07
M02923 -5.818351e-07
M02924 1.444441e-07
M02925 1.339656e-07
M02926 6.658152e-07
M02927 2.775010e-07
M02928 2.234017e-07
M02929 -2.304183e-08
M02930 -2.170941e-07
M02931 -2.961123e-07
M02932 -1.936911e-07
M02933 -1.039266e-07
M02934 2.947097e-07
M02935 -8.341678e-08
M02936 -1.405103e-07
M02937 -5.459728e-08
M02938 1.692960e-07
M02939 1.089990e-08
M02940 -7.737611e-07
M02941 -1.417712e-07
M02942 -1.906577e-07
M02943 -2.949944e-07
M02944 -6.796829e-08
M02945 -6.984940e-09
M02946 7.752312e-07
M02947 3.639694e-07
M02948 -1.260627e-07
M02949 4.877649e-07
M02950 -2.304183e-08
M02951 1.800577e-07
M02952 5.997093e-07
M02953 5.503480e-08
M02954 -4.194068e-07
M02955 5.927088e-07
M02956 -4.995073e-08
M02957 1.008053e-07
M02958 5.026050e-08
M02959 2.231667e-19
M02960 -2.775010e-07
M02961 -3.515830e-08
M02962 -3.027490e-07
M02963 -5.570000e-07
M02964 5.199413e-08
M02965 8.057016e-09
M02966 2.280588e-07
M02967 -2.231667e-19
M02968 -5.570000e-07
M02969 1.187633e-08
M02970 5.997093e-07
M02971 -1.391723e-07
M02972 -1.191043e-07
M02973 4.786342e-07
M02974 2.231667e-19
M02975 -7.401943e-08
M02976 -3.759468e-07
M02977 2.435423e-07
M02978 4.724839e-07
M02979 2.075328e-07
M02980 -3.258192e-07
M02981 -2.040145e-07
M02982 4.585495e-07
M02983 1.428034e-07
M02984 2.075328e-07
M02985 2.231667e-19
M02986 -2.248457e-07
M02987 -1.033570e-07
M02988 -1.009324e-07
M02989 -2.677670e-07
M02990 1.815788e-08
M02991 -3.862167e-07
M02992 -3.428118e-07
M02993 -6.132608e-07
M02994 2.268860e-07
M02995 -8.662413e-08
M02996 1.000028e-06
M02997 6.274428e-08
M02998 -3.418458e-07
M02999 2.373029e-07
M03000 -4.192164e-08
M03001 7.283008e-08
M03002 -1.474416e-07
M03003 5.124738e-08
M03004 -2.087769e-07
M03005 -3.450319e-07
M03006 -5.997093e-07
M03007 -6.065163e-07
M03008 -7.791902e-07
M03009 2.327486e-07
M03010 5.997093e-07
M03011 4.381466e-09
M03012 4.599404e-07
M03013 1.014720e-07
M03014 1.488095e-08
M03015 8.662413e-08
M03016 -2.181488e-07
M03017 -4.594244e-09
M03018 -1.252755e-07
M03019 -2.231667e-19
M03020 2.354550e-07
M03021 -3.528386e-07
M03022 -1.139422e-07
M03023 8.735373e-08
M03024 5.139053e-07
M03025 -3.206630e-07
M03026 -2.649493e-07
M03027 -1.731795e-07
M03028 2.307245e-07
M03029 5.068190e-07
M03030 -2.142502e-07
M03031 -3.840141e-08
M03032 -6.330837e-07
M03033 -1.211824e-07
M03034 2.358989e-07
M03035 1.112395e-07
M03036 -4.168546e-07
M03037 -2.361845e-07
M03038 -6.918793e-07
M03039 -1.060865e-07
M03040 -6.071886e-09
M03041 2.734533e-07
M03042 -6.897575e-07
M03043 -4.566762e-07
M03044 7.602935e-08
M03045 1.665348e-07
M03046 2.304183e-08
M03047 -5.026211e-07
M03048 -7.561808e-08
M03049 -3.267687e-08
M03050 7.347015e-08
M03051 -2.354550e-07
M03052 -1.050535e-07
M03053 1.412654e-07
M03054 2.681139e-07
M03055 -4.496930e-08
M03056 -1.236085e-07
M03057 -1.854752e-07
M03058 1.494032e-07
M03059 -2.231667e-19
M03060 -3.845560e-08
M03061 -1.046873e-07
M03062 9.453020e-07
M03063 2.803680e-07
M03064 -4.365916e-07
M03065 2.817012e-07
M03066 7.816924e-07
M03067 -2.197336e-07
M03068 -4.533671e-07
M03069 8.878854e-08
M03070 3.117292e-07
M03071 2.074864e-08
M03072 -8.631146e-08
M03073 -1.369821e-07
M03074 -3.315838e-09
M03075 -2.276615e-07
M03076 -2.210028e-07
M03077 -2.964939e-08
M03078 -1.648250e-07
M03079 3.653708e-08
M03080 2.501927e-07
M03081 -7.816924e-07
M03082 2.232143e-07
M03083 3.814670e-07
M03084 -7.752312e-07
M03085 8.144761e-08
M03086 -2.507110e-07
M03087 -1.488185e-07
M03088 -3.278410e-08
M03089 -2.201590e-07
M03090 1.981915e-07
M03091 3.578212e-08
M03092 1.467109e-07
M03093 4.925576e-07
M03094 -1.676016e-07
M03095 5.691766e-07
M03096 -6.262039e-09
M03097 2.264076e-08
M03098 1.959160e-07
M03099 1.987352e-07
M03100 -2.315756e-07
M03101 5.026050e-08
M03102 5.598002e-07
M03103 9.425324e-07
M03104 -3.483072e-07
M03105 2.823311e-07
M03106 2.308330e-07
M03107 -1.743877e-07
M03108 -9.363827e-08
M03109 -5.929981e-07
M03110 1.002629e-09
M03111 -1.494032e-07
M03112 4.173629e-07
M03113 -1.009178e-07
M03114 1.962405e-08
M03115 -2.231667e-19
M03116 2.439733e-07
M03117 2.354550e-07
M03118 -2.100661e-07
M03119 -2.122881e-07
M03120 -2.188282e-08
M03121 6.173068e-07
M03122 -5.043840e-07
M03123 -3.894917e-07
M03124 5.347866e-07
M03125 7.752312e-07
M03126 1.776039e-07
M03127 -5.594340e-07
M03128 -8.835297e-08
M03129 8.835297e-08
M03130 1.341211e-07
M03131 -1.857513e-07
M03132 1.092858e-07
M03133 1.791555e-07
M03134 -3.367547e-07
M03135 -1.915792e-07
M03136 8.878854e-08
M03137 -9.350334e-09
M03138 -1.357370e-07
M03139 1.200344e-07
M03140 1.626929e-07
M03141 1.757301e-07
M03142 -4.554614e-07
M03143 -5.423712e-07
M03144 2.193208e-07
M03145 -4.334536e-07
M03146 1.188118e-07
M03147 1.314350e-08
M03148 9.320591e-08
M03149 5.651896e-07
M03150 2.154281e-07
M03151 2.354550e-07
M03152 4.146453e-07
M03153 2.439733e-07
M03154 -2.472055e-07
M03155 -1.749471e-08
M03156 3.308850e-07
M03157 -1.692960e-07
M03158 -2.660766e-07
M03159 -1.496041e-07
M03160 -9.488958e-08
M03161 3.111046e-07
M03162 9.479152e-08
M03163 1.959160e-07
M03164 -8.512569e-08
M03165 -9.488958e-08
M03166 -2.669331e-07
M03167 1.959160e-07
M03168 1.749471e-08
M03169 -2.078518e-08
M03170 6.173068e-07
M03171 -6.949935e-08
M03172 -6.296582e-07
M03173 6.484704e-07
M03174 5.929878e-08
M03175 2.939342e-07
M03176 -2.273691e-07
M03177 1.046873e-07
M03178 1.593951e-07
M03179 -1.753259e-07
M03180 2.684412e-07
M03181 -2.231667e-19
M03182 5.454813e-07
M03183 -2.087769e-07
M03184 7.090923e-07
M03185 -2.214474e-07
M03186 2.501927e-07
M03187 5.231492e-07
M03188 1.588456e-07
M03189 9.132350e-07
M03190 -8.356357e-09
M03191 3.845560e-08
M03192 -3.388367e-08
M03193 -1.413150e-07
M03194 -1.441263e-07
M03195 -6.896214e-08
M03196 -5.137643e-08
M03197 2.092872e-07
M03198 -1.825337e-07
M03199 -2.202952e-07
M03200 -5.769645e-07
M03201 5.331541e-08
M03202 4.968740e-07
M03203 -1.582516e-08
M03204 -1.992961e-07
M03205 2.268860e-07
M03206 -8.744935e-08
M03207 -5.992736e-07
M03208 -2.710669e-07
M03209 -9.149102e-08
M03210 5.423712e-07
M03211 -2.673558e-07
M03212 -1.869173e-07
M03213 -7.281280e-08
M03214 2.304183e-08
M03215 1.853293e-08
M03216 -4.009702e-07
M03217 -9.043422e-08
M03218 2.797764e-07
M03219 6.098380e-09
M03220 4.120630e-07
M03221 3.850317e-07
M03222 4.554238e-07
M03223 2.990691e-07
M03224 -4.471586e-08
M03225 1.860309e-07
M03226 1.424690e-07
M03227 -7.114410e-08
M03228 -3.101698e-07
M03229 -2.625053e-07
M03230 8.001304e-07
M03231 -6.020658e-07
M03232 1.136727e-07
M03233 -6.143707e-08
M03234 -2.101882e-07
M03235 1.665885e-07
M03236 -1.141574e-07
M03237 -2.248145e-07
M03238 1.527175e-07
M03239 2.296902e-07
M03240 -7.339628e-08
M03241 -4.440218e-07
M03242 -1.802873e-07
M03243 -3.371730e-07
M03244 -2.510225e-08
M03245 -1.603253e-07
M03246 2.055186e-07
M03247 -4.700274e-07
M03248 1.972788e-07
M03249 3.105163e-07
M03250 1.165654e-08
M03251 -1.626617e-07
M03252 -2.203394e-07
M03253 -2.537238e-07
M03254 -3.953045e-08
M03255 -1.267226e-07
M03256 2.640816e-08
M03257 -9.878107e-08
M03258 -3.205211e-07
M03259 -2.007692e-07
M03260 -3.359314e-08
M03261 6.290013e-07
M03262 -1.469759e-07
M03263 -2.537238e-07
M03264 -3.797008e-07
M03265 -9.062916e-08
M03266 1.769102e-07
M03267 -1.283778e-07
M03268 1.797007e-07
M03269 -3.589603e-07
M03270 -9.525430e-08
M03271 4.914032e-07
M03272 -2.790073e-07
M03273 -2.969009e-07
M03274 -2.537238e-07
M03275 -3.762340e-07
M03276 -2.000205e-07
M03277 1.836598e-07
M03278 2.109313e-07
M03279 2.733993e-07
M03280 -4.338343e-08
M03281 3.110945e-07
M03282 1.580994e-07
M03283 2.231667e-19
M03284 -2.231667e-19
M03285 2.736339e-07
M03286 -2.629468e-07
M03287 -4.471586e-08
M03288 -3.972344e-07
M03289 1.053974e-07
M03290 3.267804e-08
M03291 4.536370e-08
M03292 6.028175e-08
M03293 -2.154200e-07
M03294 -6.117551e-07
M03295 -1.603253e-07
M03296 1.438629e-07
M03297 -1.278062e-07
M03298 2.306192e-07
M03299 -2.585155e-07
M03300 3.550793e-07
M03301 5.528097e-08
M03302 -8.315114e-08
M03303 1.773187e-07
M03304 3.633756e-07
M03305 -2.050988e-07
M03306 -2.468582e-07
M03307 2.826745e-09
M03308 -3.316149e-08
M03309 3.952067e-07
M03310 -6.928988e-07
M03311 5.816488e-08
M03312 4.947933e-07
M03313 -7.488286e-07
M03314 -7.200232e-07
M03315 -7.672104e-08
M03316 -3.183867e-07
M03317 -2.321187e-07
M03318 -5.433240e-09
M03319 -3.913387e-07
M03320 -1.762464e-08
M03321 3.775200e-07
M03322 1.748174e-07
M03323 4.994250e-07
M03324 4.984930e-07
M03325 1.057375e-07
M03326 -1.482926e-07
M03327 9.062916e-08
M03328 -1.370620e-08
M03329 1.589780e-07
M03330 -1.488483e-07
M03331 1.413150e-07
M03332 3.950530e-07
M03333 6.060152e-08
M03334 1.317361e-07
M03335 1.762464e-08
M03336 -6.127892e-08
M03337 -4.343799e-07
M03338 -4.020789e-07
M03339 -2.067934e-08
M03340 -3.510700e-08
M03341 8.215099e-08
M03342 -4.836176e-08
M03343 8.858338e-08
M03344 -2.231667e-19
M03345 1.407400e-07
M03346 -2.009392e-07
M03347 2.484426e-07
M03348 -7.556193e-07
M03349 1.960608e-07
M03350 -2.834174e-08
M03351 1.957500e-07
M03352 -4.345432e-08
M03353 -4.112955e-07
M03354 -2.647923e-07
M03355 -1.945091e-07
M03356 5.680194e-08
M03357 2.067934e-08
M03358 1.064255e-07
M03359 5.107746e-07
M03360 2.959535e-07
M03361 -3.141987e-07
M03362 2.036294e-07
M03363 -1.294527e-07
M03364 3.581816e-07
M03365 -2.187555e-07
M03366 1.108430e-07
M03367 -4.440218e-07
M03368 -6.413663e-07
M03369 1.024033e-07
M03370 4.278946e-07
M03371 -3.397386e-08
M03372 1.299595e-07
M03373 1.180808e-07
M03374 -6.413663e-07
M03375 -2.260021e-07
M03376 -4.873065e-08
M03377 5.040075e-09
M03378 -8.261207e-08
M03379 -1.728292e-07
M03380 -1.035159e-07
M03381 -3.904039e-07
M03382 -2.296902e-07
M03383 -3.110945e-07
M03384 -1.774161e-07
M03385 -2.804339e-07
M03386 3.110945e-07
M03387 3.412600e-07
M03388 -3.188634e-07
M03389 1.340551e-07
M03390 5.081343e-07
M03391 -2.370648e-07
M03392 -4.347747e-08
M03393 2.231667e-19
M03394 5.380801e-07
M03395 9.878107e-08
M03396 -2.231667e-19
M03397 -2.289323e-07
M03398 2.420573e-07
M03399 3.043105e-07
M03400 2.799441e-07
M03401 -7.339368e-08
M03402 1.189321e-07
M03403 -3.777205e-07
M03404 -2.614867e-07
M03405 -1.507779e-07
M03406 3.667553e-07
M03407 9.983656e-08
M03408 2.067934e-08
M03409 -1.967115e-07
M03410 -8.215586e-08
M03411 1.777263e-07
M03412 4.224364e-07
M03413 -6.271404e-08
M03414 -3.354063e-07
M03415 4.660405e-08
M03416 1.072013e-07
M03417 -4.440218e-07
M03418 -2.506941e-07
M03419 -1.281790e-07
M03420 -3.323109e-07
M03421 -3.092071e-07
M03422 2.867432e-07
M03423 2.169775e-07
M03424 -3.283949e-07
M03425 1.362797e-07
M03426 2.058722e-08
M03427 -1.777263e-07
M03428 -1.800185e-07
M03429 1.526776e-07
M03430 2.231667e-19
M03431 -2.046156e-08
M03432 -9.007596e-08
M03433 5.008738e-08
M03434 4.477329e-07
M03435 -4.669419e-08
M03436 1.173976e-07
M03437 -1.035159e-07
M03438 -3.253506e-07
M03439 -1.741139e-07
M03440 -2.270177e-07
M03441 -2.433611e-07
M03442 -2.231667e-19
M03443 1.790431e-07
M03444 -4.422142e-08
M03445 2.006049e-07
M03446 -2.292369e-08
M03447 2.067934e-08
M03448 -4.843991e-07
M03449 -2.043495e-07
M03450 1.728558e-07
M03451 2.006049e-07
M03452 -3.014415e-07
M03453 -5.108592e-08
M03454 -1.108430e-07
M03455 3.096203e-07
M03456 -1.762464e-08
M03457 -3.425608e-08
M03458 -6.534912e-08
M03459 -2.679446e-07
M03460 -5.433240e-09
M03461 2.668003e-08
M03462 -4.098172e-07
M03463 2.219167e-07
M03464 2.497329e-08
M03465 -5.362828e-07
M03466 1.141545e-07
M03467 3.690567e-07
M03468 -2.922348e-07
M03469 -8.225693e-08
M03470 9.705064e-08
M03471 -2.670579e-08
M03472 -2.932224e-07
M03473 -5.008738e-08
M03474 -4.277621e-07
M03475 5.135833e-07
M03476 3.333930e-07
M03477 1.294527e-07
M03478 -1.111024e-07
M03479 -5.008738e-08
M03480 -2.537238e-07
M03481 -1.294077e-07
M03482 3.976176e-07
M03483 6.014905e-08
M03484 1.580521e-07
M03485 -5.304676e-08
M03486 -4.285474e-07
M03487 -7.317405e-08
M03488 -4.536223e-08
M03489 2.904593e-07
M03490 6.605263e-07
M03491 1.975273e-07
M03492 -1.878275e-07
M03493 -3.569274e-07
M03494 3.138366e-07
M03495 -1.797007e-07
M03496 1.478072e-07
M03497 -7.339368e-08
M03498 -1.203519e-07
M03499 -3.627572e-08
M03500 -2.754041e-08
M03501 9.886694e-09
M03502 4.448655e-08
M03503 -3.059853e-07
M03504 2.675122e-07
M03505 -2.804339e-07
M03506 2.231667e-19
M03507 -2.717652e-07
M03508 -2.898053e-07
M03509 4.467537e-07
M03510 -4.194429e-07
M03511 7.625025e-08
M03512 1.793159e-07
M03513 1.203519e-07
M03514 5.883061e-07
M03515 -3.176307e-07
M03516 -5.774273e-08
M03517 3.397386e-08
M03518 -2.269658e-07
M03519 4.534616e-08
M03520 1.668397e-07
M03521 -1.770984e-07
M03522 -5.518103e-08
M03523 -6.192628e-08
M03524 -3.043105e-07
M03525 1.268289e-07
M03526 -2.411267e-07
M03527 6.304427e-07
M03528 1.158796e-07
M03529 3.953045e-08
M03530 6.020467e-07
M03531 3.491931e-08
M03532 -6.646784e-07
M03533 -9.888959e-09
M03534 2.067934e-08
M03535 4.327669e-07
M03536 -3.572397e-07
M03537 1.908931e-07
M03538 -1.418234e-07
M03539 -8.505050e-08
M03540 -2.231667e-19
M03541 -4.146853e-07
M03542 1.141373e-07
M03543 -1.004483e-07
M03544 3.547438e-07
M03545 1.636299e-08
M03546 4.440218e-07
M03547 -2.132126e-08
M03548 1.007008e-07
M03549 4.902595e-07
M03550 4.097397e-08
M03551 -1.986843e-07
M03552 -4.459542e-07
M03553 1.173976e-07
M03554 2.286528e-07
M03555 -1.375630e-08
M03556 -4.494117e-07
M03557 5.001004e-07
M03558 6.534912e-08
M03559 -3.020375e-07
M03560 -2.154124e-07
M03561 7.317087e-08
M03562 -7.817785e-09
M03563 -6.351284e-08
M03564 -2.826745e-09
M03565 -2.134068e-08
M03566 2.386431e-08
M03567 8.589313e-08
M03568 -1.776228e-07
M03569 2.231667e-19
M03570 4.484695e-07
M03571 1.521998e-07
M03572 -1.957500e-07
M03573 3.189353e-07
M03574 1.736618e-07
M03575 1.673211e-07
M03576 2.067934e-08
M03577 8.992563e-07
M03578 -1.790431e-07
M03579 8.765415e-08
M03580 -2.817400e-07
M03581 -2.393822e-07
M03582 -3.495986e-07
M03583 -7.339368e-08
M03584 -4.110552e-07
M03585 -6.558996e-07
M03586 8.012301e-08
M03587 -2.818235e-08
M03588 2.414710e-07
M03589 3.953530e-07
M03590 -5.383915e-08
M03591 1.620149e-07
M03592 -2.576636e-07
M03593 3.008945e-07
M03594 2.441368e-07
M03595 -5.095578e-07
M03596 6.676936e-08
M03597 -2.231667e-19
M03598 2.537238e-07
M03599 -1.583016e-07
M03600 -2.203394e-07
M03601 -2.374967e-07
M03602 5.415152e-08
M03603 -6.870907e-07
M03604 -2.888601e-07
M03605 3.593538e-07
M03606 -8.272170e-08
M03607 3.749532e-07
M03608 8.880831e-08
M03609 5.818273e-07
M03610 -4.067504e-07
M03611 -5.355868e-07
M03612 -7.936516e-08
M03613 2.932224e-07
M03614 5.981274e-08
M03615 5.969226e-07
M03616 2.943176e-07
M03617 3.253506e-07
M03618 2.104824e-07
M03619 1.057375e-07
M03620 -3.407401e-07
M03621 -7.339368e-08
M03622 -3.130511e-07
M03623 5.783999e-08
M03624 3.318168e-07
M03625 6.210193e-07
M03626 2.731036e-07
M03627 -2.368146e-07
M03628 -9.062916e-08
M03629 3.364799e-07
M03630 -1.777263e-07
M03631 -3.615532e-07
M03632 -2.171975e-07
M03633 -3.105663e-07
M03634 8.982048e-09
M03635 3.743989e-10
M03636 -1.301848e-07
M03637 -4.639427e-07
M03638 -1.626617e-07
M03639 3.513124e-07
M03640 -2.231667e-19
M03641 -1.762464e-08
M03642 -4.606045e-07
M03643 -5.469624e-08
M03644 -4.777208e-09
M03645 -2.350059e-07
M03646 -2.323347e-07
M03647 -5.534460e-07
M03648 2.231667e-19
M03649 1.221632e-07
M03650 2.231667e-19
M03651 6.181199e-08
M03652 8.942587e-08
M03653 2.972732e-07
M03654 3.045864e-07
M03655 2.183783e-07
M03656 4.203573e-08
M03657 3.891361e-07
M03658 1.762464e-08
M03659 -6.160944e-07
M03660 -3.943410e-07
M03661 3.364799e-07
M03662 6.442592e-07
M03663 5.010684e-07
M03664 -3.359314e-08
M03665 1.096496e-07
M03666 -2.457553e-07
M03667 -4.069670e-08
M03668 4.224364e-07
M03669 1.770984e-07
M03670 -3.043105e-07
M03671 -3.856111e-07
M03672 -9.964078e-08
M03673 -1.381928e-07
M03674 2.641998e-07
M03675 -8.945556e-08
M03676 1.186003e-08
M03677 -2.144147e-07
M03678 -2.829458e-08
M03679 -1.046756e-07
M03680 2.462931e-07
M03681 -1.745176e-07
M03682 6.090343e-08
M03683 1.802873e-07
M03684 1.936973e-07
M03685 -5.259180e-08
M03686 8.858338e-08
M03687 1.790431e-07
M03688 -1.404387e-07
M03689 2.231667e-19
M03690 4.357509e-07
M03691 4.020789e-07
M03692 1.997524e-07
M03693 -1.478072e-07
M03694 -1.255366e-07
M03695 -1.789898e-07
M03696 -2.481499e-07
M03697 -6.821455e-07
M03698 -4.951943e-08
M03699 5.064082e-07
M03700 3.939765e-08
M03701 2.724162e-08
M03702 9.023941e-08
M03703 -3.578016e-07
M03704 8.051285e-08
M03705 -5.415490e-08
M03706 4.761941e-08
M03707 4.707178e-09
M03708 -1.691554e-07
M03709 2.175985e-07
M03710 4.951943e-08
M03711 2.747967e-07
M03712 7.672104e-08
M03713 -3.666709e-07
M03714 1.167768e-07
M03715 -4.377835e-08
M03716 2.574808e-07
M03717 3.466519e-07
M03718 2.971801e-07
M03719 3.775200e-07
M03720 -4.138126e-07
M03721 2.738408e-07
M03722 3.316555e-07
M03723 -3.913394e-07
M03724 -6.986635e-08
M03725 9.513071e-08
M03726 2.736339e-07
M03727 1.569004e-07
M03728 -3.105122e-07
M03729 -4.380376e-08
M03730 4.058245e-07
M03731 -2.231667e-19
M03732 -1.407400e-07
M03733 -1.868706e-07
M03734 2.511664e-07
M03735 2.569911e-07
M03736 -1.432675e-07
M03737 2.231667e-19
M03738 -1.939767e-08
M03739 -2.468582e-07
M03740 -2.502279e-07
M03741 -4.458231e-07
M03742 3.882240e-07
M03743 -1.774161e-07
M03744 2.231667e-19
M03745 -2.724162e-08
M03746 2.231667e-19
M03747 -2.216922e-07
M03748 -2.021424e-07
M03749 -3.466519e-07
M03750 -5.008738e-08
M03751 -3.349849e-07
M03752 -5.930983e-08
M03753 2.291944e-07
M03754 -4.821122e-07
M03755 -5.311889e-08
M03756 -2.620106e-07
M03757 5.008738e-08
M03758 -1.126637e-07
M03759 9.106539e-08
M03760 6.620470e-08
M03761 2.545758e-07
M03762 1.553352e-07
M03763 1.603296e-07
M03764 -2.173084e-08
M03765 4.803989e-07
M03766 -3.750908e-07
M03767 -8.256629e-07
M03768 -2.249573e-07
M03769 9.149660e-09
M03770 1.567819e-07
M03771 -2.012480e-07
M03772 8.599876e-08
M03773 -4.584598e-08
M03774 -3.651094e-07
M03775 -4.728384e-07
M03776 6.021742e-07
M03777 1.836816e-07
M03778 -5.850652e-07
M03779 3.338909e-07
M03780 1.928028e-07
M03781 -4.268188e-07
M03782 5.470436e-08
M03783 -8.173268e-08
M03784 2.231667e-19
M03785 1.477336e-07
M03786 -1.047836e-07
M03787 4.873862e-09
M03788 -2.296886e-07
M03789 7.140044e-09
M03790 2.932224e-07
M03791 9.366727e-08
M03792 6.411213e-07
M03793 1.808265e-07
M03794 3.363522e-07
M03795 -1.189321e-07
M03796 4.263878e-07
M03797 3.233098e-07
M03798 -4.277621e-07
M03799 -8.261207e-08
M03800 5.989233e-08
M03801 1.812598e-07
M03802 7.672104e-08
M03803 -1.154600e-07
M03804 1.488637e-07
M03805 -3.873046e-07
M03806 2.291944e-07
M03807 -2.406856e-07
M03808 1.876469e-07
M03809 -5.479475e-07
M03810 1.825878e-07
M03811 3.807609e-08
M03812 -5.487676e-08
M03813 1.941425e-07
M03814 -4.056932e-07
M03815 -1.902152e-07
M03816 -2.425425e-07
M03817 -1.585288e-07
M03818 -4.873862e-09
M03819 5.512758e-07
M03820 -6.338142e-07
M03821 -6.744262e-08
M03822 -5.062994e-07
M03823 -3.020375e-07
M03824 -4.201741e-07
M03825 2.739137e-08
M03826 -1.957500e-07
M03827 -3.556777e-07
M03828 -1.797007e-07
M03829 -1.929144e-07
M03830 -1.603434e-07
M03831 5.064082e-07
M03832 2.367858e-07
M03833 -2.420573e-07
M03834 8.765415e-08
M03835 -4.914032e-07
M03836 -1.668397e-07
M03837 -5.529555e-08
M03838 1.968741e-07
M03839 3.096288e-07
M03840 6.596403e-07
M03841 2.231667e-19
M03842 7.785982e-08
M03843 1.625903e-07
M03844 1.746375e-07
M03845 -5.107746e-07
M03846 8.549335e-08
M03847 1.857795e-07
M03848 2.869139e-08
M03849 -4.313554e-07
M03850 1.322544e-07
M03851 2.914051e-07
M03852 3.357469e-07
M03853 7.811224e-07
M03854 -1.409500e-07
M03855 -1.091057e-07
M03856 5.062994e-07
M03857 -6.412582e-07
M03858 -2.679543e-07
M03859 7.533434e-08
M03860 2.932224e-07
M03861 3.251127e-07
M03862 1.039991e-08
M03863 -2.150909e-07
M03864 -2.374967e-07
M03865 -1.871087e-07
M03866 -1.191724e-07
M03867 7.672104e-08
M03868 9.285377e-08
M03869 -3.130511e-07
M03870 1.255366e-07
M03871 9.095973e-08
M03872 1.206238e-07
M03873 2.796627e-07
M03874 3.105588e-07
M03875 -2.468582e-07
M03876 -9.511223e-07
M03877 -1.805898e-07
M03878 -2.542967e-07
M03879 -2.169125e-07
M03880 -3.146644e-07
M03881 1.573828e-07
M03882 -4.012261e-07
M03883 5.539754e-07
M03884 1.865536e-07
M03885 -2.296902e-07
M03886 4.440218e-07
M03887 1.712579e-08
M03888 -4.327955e-08
M03889 9.606747e-09
M03890 -2.260021e-07
M03891 -1.279887e-07
M03892 -1.301848e-07
M03893 -3.233098e-07
M03894 1.808915e-07
M03895 -3.283949e-07
M03896 1.016028e-07
M03897 6.744262e-08
M03898 -1.740767e-07
M03899 2.807896e-07
M03900 1.928390e-07
M03901 -2.043495e-07
M03902 1.776630e-07
M03903 6.351284e-08
M03904 -2.700387e-07
M03905 -5.459501e-08
M03906 1.128530e-07
M03907 -2.712690e-07
M03908 -1.964515e-07
M03909 -4.099047e-07
M03910 1.030523e-07
M03911 -8.580674e-08
M03912 -3.955516e-08
M03913 3.146236e-07
M03914 1.467687e-08
M03915 3.955516e-08
M03916 -3.188634e-07
M03917 -1.907817e-07
M03918 3.988477e-07
M03919 4.497394e-07
M03920 5.464523e-08
M03921 1.327842e-08
M03922 1.562170e-07
M03923 1.636299e-08
M03924 3.992858e-07
M03925 1.484322e-07
M03926 4.022093e-07
M03927 -5.419921e-07
M03928 -2.724162e-08
M03929 -1.440353e-07
M03930 4.696183e-08
M03931 2.312081e-07
M03932 3.151169e-07
M03933 -7.354374e-08
M03934 4.458231e-07
M03935 -1.175655e-07
M03936 1.845164e-07
M03937 -4.001189e-08
M03938 -3.846693e-07
M03939 -9.545853e-08
M03940 2.792003e-07
M03941 -9.606747e-09
M03942 2.279603e-07
M03943 5.008738e-08
M03944 6.276556e-08
M03945 -4.686551e-07
M03946 -1.840026e-07
M03947 -2.123738e-07
M03948 -3.369507e-08
M03949 -2.000205e-07
M03950 1.638801e-07
M03951 3.121580e-08
M03952 -2.433598e-07
M03953 3.993268e-07
M03954 -6.021742e-07
M03955 -2.231667e-19
M03956 6.136056e-07
M03957 -2.231667e-19
M03958 -3.518902e-07
M03959 -3.597332e-07
M03960 -2.072956e-07
M03961 -4.110552e-07
M03962 3.253506e-07
M03963 3.618466e-08
M03964 -5.008738e-08
M03965 -2.094607e-07
M03966 -9.631467e-08
M03967 -8.051341e-08
M03968 2.736339e-07
M03969 -4.285748e-07
M03970 3.450837e-07
M03971 -1.576659e-07
M03972 -2.370648e-07
M03973 -5.303616e-08
M03974 6.280249e-08
M03975 3.493042e-07
M03976 -5.177933e-07
M03977 7.220849e-08
M03978 -7.339368e-08
M03979 2.545802e-07
M03980 -5.411435e-07
M03981 -3.052026e-07
M03982 -2.919331e-07
M03983 4.536223e-08
M03984 -1.637379e-07
M03985 3.554843e-07
M03986 2.131859e-07
M03987 4.028519e-07
M03988 2.899424e-07
M03989 -1.544025e-07
M03990 6.021742e-07
M03991 -2.780006e-07
M03992 2.655885e-07
M03993 5.226910e-07
M03994 -3.076048e-07
M03995 -5.433240e-09
M03996 2.993159e-08
M03997 4.440218e-07
M03998 3.216677e-07
M03999 1.090825e-07
M04000 -3.513124e-07
M04001 4.277621e-07
M04002 3.854199e-07
M04003 8.933612e-08
M04004 7.606819e-08
M04005 -1.895068e-07
M04006 1.928390e-07
M04007 1.310451e-07
M04008 -2.231667e-19
M04009 2.468582e-07
M04010 -3.268792e-08
M04011 -1.845164e-07
M04012 1.857451e-07
M04013 -2.213185e-07
M04014 2.148846e-07
M04015 2.821680e-08
M04016 6.225423e-07
M04017 2.590599e-07
M04018 -1.134396e-07
M04019 -2.053296e-07
M04020 2.203394e-07
M04021 -4.835552e-07
M04022 -3.174575e-08
M04023 1.660631e-07
M04024 -4.802965e-08
M04025 1.341190e-08
M04026 -2.006342e-07
M04027 -3.253506e-07
M04028 -4.117375e-07
M04029 -2.071101e-07
M04030 3.395472e-07
M04031 6.596403e-07
M04032 -7.843939e-08
M04033 2.444454e-07
M04034 -2.537238e-07
M04035 -3.130511e-07
M04036 -3.842956e-07
M04037 -2.161719e-08
M04038 1.793327e-07
M04039 1.487790e-07
M04040 -1.825878e-07
M04041 -1.774161e-07
M04042 -4.100053e-07
M04043 -8.786977e-08
M04044 2.724162e-08
M04045 6.143306e-07
M04046 -3.838986e-07
M04047 -4.779392e-07
M04048 4.061264e-07
M04049 1.825878e-07
M04050 -4.453329e-08
M04051 -2.231667e-19
M04052 2.583209e-07
M04053 -2.513217e-07
M04054 -7.787723e-08
M04055 -6.391748e-08
M04056 4.314263e-07
M04057 5.326466e-08
M04058 -4.679530e-08
M04059 -3.393396e-07
M04060 -2.902283e-07
M04061 -1.805898e-07
M04062 4.277621e-07
M04063 2.072956e-07
M04064 4.160290e-09
M04065 -3.572397e-07
M04066 -2.375861e-07
M04067 -2.468582e-07
M04068 -2.235233e-07
M04069 7.271110e-08
M04070 5.906216e-07
M04071 -1.957500e-07
M04072 2.203394e-07
M04073 2.312081e-07
M04074 -2.736339e-07
M04075 4.008516e-08
M04076 3.151978e-07
M04077 -6.991883e-08
M04078 -6.713668e-07
M04079 -2.620709e-07
M04080 3.775200e-07
M04081 1.670968e-07
M04082 1.407400e-07
M04083 -2.269658e-07
M04084 -7.551012e-08
M04085 -6.309226e-07
M04086 1.790099e-07
M04087 -3.220588e-08
M04088 1.407299e-07
M04089 -2.460597e-07
M04090 1.857831e-07
M04091 8.205982e-08
M04092 -1.326041e-07
M04093 1.491587e-07
M04094 3.307278e-07
M04095 1.380846e-07
M04096 -5.942912e-07
M04097 2.260021e-07
M04098 -3.020375e-07
M04099 1.523198e-07
M04100 3.105588e-07
M04101 1.323874e-07
M04102 3.220588e-08
M04103 7.108052e-07
M04104 -5.433240e-09
M04105 -6.534912e-08
M04106 -3.151226e-07
M04107 -3.020375e-07
M04108 2.200205e-07
M04109 -2.658337e-07
M04110 -7.058146e-08
M04111 5.764508e-08
M04112 -4.683396e-08
M04113 -4.766684e-10
M04114 -1.777263e-07
M04115 5.910988e-07
M04116 7.501346e-08
M04117 3.130511e-07
M04118 4.268517e-07
M04119 -4.577949e-08
M04120 5.333427e-08
M04121 4.268188e-07
M04122 -2.907900e-07
M04123 1.685408e-07
M04124 5.433240e-09
M04125 -3.253506e-07
M04126 -1.845164e-07
M04127 -1.972788e-07
M04128 -4.064257e-07
M04129 -5.008738e-08
M04130 -7.067602e-07
M04131 2.231667e-19
M04132 -1.840026e-07
M04133 1.057375e-07
M04134 -9.958818e-08
M04135 1.131780e-07
M04136 -2.670579e-08
M04137 -1.209703e-07
M04138 -8.624409e-08
M04139 6.745948e-07
M04140 -5.619154e-08
M04141 9.535768e-10
M04142 3.953045e-08
M04143 4.253066e-07
M04144 1.688592e-07
M04145 6.353375e-08
M04146 1.407400e-07
M04147 3.338908e-07
M04148 7.220849e-08
M04149 -5.475928e-07
M04150 -4.278946e-07
M04151 -1.823863e-07
M04152 -1.770984e-07
M04153 6.389794e-08
M04154 -6.406866e-07
M04155 2.792003e-07
M04156 -1.987890e-07
M04157 -4.939768e-07
M04158 1.372009e-07
M04159 -2.615019e-08
M04160 -3.290032e-07
M04161 -3.813874e-07
M04162 -6.488412e-08
M04163 2.231667e-19
M04164 6.592615e-08
M04165 2.561403e-07
M04166 -2.607985e-07
M04167 4.877877e-07
M04168 -2.693180e-07
M04169 3.967838e-07
M04170 -5.607486e-08
M04171 3.802387e-07
M04172 1.061379e-07
M04173 2.548606e-07
M04174 3.572425e-07
M04175 2.875081e-07
M04176 -3.988737e-07
M04177 -3.764335e-07
M04178 5.639611e-07
M04179 9.897555e-09
M04180 2.231667e-19
M04181 4.521865e-07
M04182 3.556888e-07
M04183 2.525898e-07
M04184 1.007771e-07
M04185 5.685955e-07
M04186 -5.607486e-08
M04187 1.994539e-07
M04188 -6.209412e-07
M04189 -2.703150e-07
M04190 -6.781814e-08
M04191 5.642876e-08
M04192 5.543248e-07
M04193 5.075969e-07
M04194 2.800194e-07
M04195 3.035696e-07
M04196 -2.326063e-07
M04197 -3.710467e-07
M04198 5.215684e-07
M04199 1.062209e-07
M04200 -2.425505e-07
M04201 -6.185678e-07
M04202 -3.666181e-07
M04203 2.310683e-07
M04204 -2.229308e-08
M04205 1.532248e-07
M04206 2.420977e-07
M04207 2.173807e-10
M04208 3.315858e-07
M04209 3.269026e-07
M04210 -8.023599e-07
M04211 -6.952714e-08
M04212 2.998008e-07
M04213 -1.802622e-09
M04214 7.998064e-08
M04215 5.639611e-07
M04216 4.062687e-07
M04217 3.352599e-07
M04218 6.536895e-07
M04219 -3.802496e-07
M04220 -6.570435e-07
M04221 -3.147330e-08
M04222 -4.055797e-07
M04223 1.649610e-07
M04224 3.270392e-07
M04225 2.534098e-08
M04226 -5.758438e-08
M04227 -2.361706e-07
M04228 -2.231667e-19
M04229 9.414994e-08
M04230 4.884325e-07
M04231 4.247965e-07
M04232 -3.616964e-07
M04233 6.516482e-09
M04234 -2.231667e-19
M04235 2.028008e-07
M04236 -1.419126e-07
M04237 -3.802496e-07
M04238 -2.820724e-07
M04239 -3.636808e-07
M04240 -3.898265e-07
M04241 -5.407285e-07
M04242 2.403010e-07
M04243 2.726280e-07
M04244 1.540127e-07
M04245 1.548785e-07
M04246 -6.857421e-08
M04247 5.897718e-08
M04248 2.178327e-07
M04249 -3.658456e-07
M04250 -8.018808e-07
M04251 4.122209e-07
M04252 9.150197e-08
M04253 3.802387e-07
M04254 -1.630556e-07
M04255 -2.277517e-07
M04256 -1.003425e-07
M04257 3.429386e-07
M04258 3.332804e-07
M04259 -2.231667e-19
M04260 1.740814e-07
M04261 4.748732e-07
M04262 -6.008145e-07
M04263 9.953076e-08
M04264 1.151037e-07
M04265 3.209258e-07
M04266 6.144589e-07
M04267 -2.820724e-07
M04268 -2.985397e-07
M04269 -4.154720e-07
M04270 -2.415922e-07
M04271 1.707681e-07
M04272 2.353953e-07
M04273 6.185678e-07
M04274 -1.479933e-08
M04275 -3.439893e-07
M04276 -2.666884e-07
M04277 3.801740e-07
M04278 -7.498580e-08
M04279 6.293876e-07
M04280 -9.454094e-08
M04281 2.201837e-07
M04282 -3.863367e-07
M04283 5.887847e-07
M04284 1.314936e-07
M04285 -3.077200e-07
M04286 -3.232380e-07
M04287 -3.073730e-07
M04288 3.560161e-07
M04289 2.859993e-07
M04290 2.107097e-07
M04291 8.494619e-08
M04292 5.897718e-08
M04293 2.080440e-08
M04294 -2.078037e-07
M04295 -3.127898e-07
M04296 1.181515e-07
M04297 -2.619349e-07
M04298 5.808345e-07
M04299 3.591852e-07
M04300 -3.407337e-07
M04301 4.577939e-07
M04302 3.306991e-07
M04303 -3.182727e-07
M04304 2.169515e-08
M04305 -4.668979e-07
M04306 3.648646e-07
M04307 3.155770e-07
M04308 -2.061310e-07
M04309 2.693180e-07
M04310 -1.290786e-08
M04311 -4.588490e-07
M04312 9.897555e-09
M04313 -4.468040e-07
M04314 5.388279e-08
M04315 3.493628e-07
M04316 -1.548785e-07
M04317 4.883030e-07
M04318 -3.169764e-07
M04319 2.231667e-19
M04320 3.269026e-07
M04321 -4.892615e-07
M04322 2.774682e-07
M04323 -4.055797e-07
M04324 -4.204826e-07
M04325 3.464935e-07
M04326 2.089794e-07
M04327 -3.178904e-07
M04328 -5.685955e-07
M04329 4.156747e-07
M04330 2.313821e-09
M04331 -5.167115e-08
M04332 -1.266736e-10
M04333 2.563649e-07
M04334 5.077038e-07
M04335 -1.678571e-07
M04336 2.439047e-08
M04337 -2.030158e-07
M04338 -1.517862e-07
M04339 -1.818697e-07
M04340 2.044449e-07
M04341 -5.639611e-07
M04342 1.674426e-07
M04343 -3.632583e-07
M04344 4.476501e-07
M04345 1.146969e-07
M04346 -9.932622e-08
M04347 -3.142896e-07
M04348 -4.482816e-07
M04349 -5.109173e-07
M04350 -5.585028e-07
M04351 -6.996307e-08
M04352 -1.192038e-07
M04353 4.378340e-07
M04354 2.629648e-08
M04355 6.093433e-07
M04356 4.087961e-08
M04357 3.746939e-08
M04358 3.909688e-07
M04359 -2.810165e-07
M04360 2.304930e-07
M04361 -4.055797e-07
M04362 3.550704e-07
M04363 2.867017e-07
M04364 2.671200e-07
M04365 2.313821e-09
M04366 1.514489e-07
M04367 -3.755096e-07
M04368 4.113157e-07
M04369 9.454094e-08
M04370 2.601332e-07
M04371 7.731554e-08
M04372 -3.636808e-07
M04373 -3.333440e-07
M04374 2.524518e-07
M04375 -6.065269e-07
M04376 -4.522409e-07
M04377 -3.425325e-07
M04378 -1.128530e-07
M04379 1.586682e-07
M04380 -1.627287e-07
M04381 -5.383971e-07
M04382 4.831293e-07
M04383 -2.549420e-07
M04384 -1.602401e-07
M04385 1.786819e-07
M04386 1.370063e-09
M04387 -5.348872e-07
M04388 -1.230899e-07
M04389 8.508400e-09
M04390 -5.142749e-08
M04391 -4.257450e-08
M04392 2.017674e-07
M04393 4.281906e-07
M04394 2.504652e-07
M04395 -4.398877e-08
M04396 -5.640845e-07
M04397 6.270449e-08
M04398 2.985397e-07
M04399 -2.838686e-07
M04400 2.574378e-07
M04401 -1.489427e-07
M04402 -1.198509e-07
M04403 -3.233881e-07
M04404 2.231667e-19
M04405 9.117232e-08
M04406 2.239593e-07
M04407 6.508847e-07
M04408 -4.668979e-07
M04409 -7.710948e-07
M04410 -3.187126e-08
M04411 -2.763179e-07
M04412 -3.545345e-07
M04413 2.908739e-07
M04414 -5.142749e-08
M04415 -4.178534e-07
M04416 6.738846e-07
M04417 5.639611e-07
M04418 1.832827e-07
M04419 1.229615e-06
M04420 2.042959e-07
M04421 1.519320e-07
M04422 4.695614e-07
M04423 5.952749e-07
M04424 2.854055e-07
M04425 -1.003400e-07
M04426 3.011269e-07
M04427 -1.124876e-07
M04428 -5.348872e-07
M04429 -7.127529e-07
M04430 4.272815e-08
M04431 2.990385e-08
M04432 -4.055797e-07
M04433 -1.586956e-07
M04434 -6.880072e-07
M04435 -1.558682e-07
M04436 9.953076e-08
M04437 -3.551274e-07
M04438 3.065870e-07
M04439 -8.493741e-07
M04440 -8.528584e-08
M04441 1.112461e-07
M04442 -3.656943e-08
M04443 -1.430251e-08
M04444 -7.077025e-08
M04445 7.219917e-07
M04446 -5.282181e-07
M04447 2.204958e-07
M04448 -3.630658e-07
M04449 2.451991e-07
M04450 -2.664466e-07
M04451 2.231667e-19
M04452 3.299010e-07
M04453 7.844741e-07
M04454 2.559621e-07
M04455 1.213637e-06
M04456 5.971442e-07
M04457 1.649610e-07
M04458 -3.718142e-07
M04459 3.464935e-07
M04460 5.064751e-07
M04461 4.129886e-08
M04462 2.107647e-07
M04463 -1.449528e-07
M04464 4.644195e-08
M04465 -1.165654e-08
M04466 -4.112230e-08
M04467 -8.494619e-08
M04468 3.212744e-07
M04469 3.501390e-07
M04470 7.860496e-07
M04471 2.908521e-07
M04472 6.952714e-08
M04473 -3.382029e-07
M04474 -1.061379e-07
M04475 -1.003425e-07
M04476 4.312263e-07
M04477 -5.430491e-07
M04478 -3.988737e-07
M04479 -2.989202e-07
M04480 3.831206e-07
M04481 6.300357e-07
M04482 -5.478275e-08
M04483 -1.174630e-07
M04484 2.671200e-07
M04485 6.462657e-09
M04486 -1.061379e-07
M04487 3.821601e-07
M04488 2.231667e-19
M04489 -1.162639e-07
M04490 -1.137029e-07
M04491 2.231667e-19
M04492 4.238919e-07
M04493 -4.962162e-07
M04494 1.003400e-07
M04495 1.714382e-07
M04496 3.715949e-07
M04497 4.101445e-07
M04498 1.452941e-07
M04499 -1.173100e-07
M04500 1.979215e-07
M04501 -1.020979e-07
M04502 -1.519320e-07
M04503 -5.189079e-07
M04504 3.831206e-07
M04505 6.718661e-07
M04506 1.216244e-07
M04507 4.418666e-08
M04508 -3.038569e-07
M04509 -3.951494e-07
M04510 3.999998e-07
M04511 -1.716865e-07
M04512 -3.775389e-08
M04513 -3.862110e-07
M04514 4.367538e-07
M04515 5.801648e-08
M04516 -1.786819e-07
M04517 -3.257059e-08
M04518 4.476501e-07
M04519 -7.020959e-08
M04520 4.543046e-07
M04521 1.768197e-08
M04522 -3.845438e-08
M04523 3.598510e-08
M04524 1.470385e-07
M04525 6.672388e-08
M04526 -4.378340e-07
M04527 2.725401e-07
M04528 7.273738e-08
M04529 -4.055797e-07
M04530 -3.630394e-07
M04531 -8.468336e-08
M04532 -7.277026e-07
M04533 3.741076e-07
M04534 -1.280394e-07
M04535 -2.935347e-07
M04536 -4.400447e-09
M04537 -4.646729e-07
M04538 2.843797e-07
M04539 -1.371904e-07
M04540 -2.972438e-07
M04541 -8.674882e-07
M04542 -3.645179e-07
M04543 -4.035068e-09
M04544 -3.499104e-07
M04545 7.768150e-08
M04546 -1.519320e-07
M04547 -9.738943e-08
M04548 3.663075e-07
M04549 -4.055797e-07
M04550 -4.676354e-08
M04551 3.087796e-07
M04552 -8.475163e-08
M04553 -3.344620e-07
M04554 -1.548785e-07
M04555 3.894151e-07
M04556 -1.314976e-07
M04557 1.414112e-08
M04558 -6.455196e-07
M04559 -6.519809e-07
M04560 9.198114e-09
M04561 -5.465497e-07
M04562 -1.184729e-06
M04563 -6.131903e-07
M04564 2.734393e-07
M04565 -1.261940e-07
M04566 -7.021663e-08
M04567 2.682151e-07
M04568 3.149505e-07
M04569 2.459661e-08
M04570 1.342833e-07
M04571 -4.911674e-07
M04572 4.803191e-07
M04573 4.098473e-07
M04574 -4.603596e-07
M04575 3.581622e-07
M04576 2.990385e-08
M04577 1.524254e-07
M04578 -3.597092e-07
M04579 9.150197e-08
M04580 3.880900e-07
M04581 5.006640e-07
M04582 -3.936626e-07
M04583 -4.962574e-07
M04584 1.324168e-07
M04585 1.612046e-07
M04586 2.680109e-07
M04587 -5.129019e-07
M04588 3.944361e-08
M04589 2.534098e-08
M04590 2.231667e-19
M04591 6.536895e-07
M04592 2.925792e-08
M04593 1.707681e-07
M04594 -4.222855e-07
M04595 3.328177e-07
M04596 2.804255e-07
M04597 5.032473e-07
M04598 1.476595e-07
M04599 9.564046e-08
M04600 3.563374e-07
M04601 -5.076140e-07
M04602 3.634942e-07
M04603 -5.318175e-07
M04604 -3.343825e-07
M04605 -2.262919e-07
M04606 -6.122455e-07
M04607 -6.227773e-08
M04608 -3.988737e-07
M04609 -6.661192e-07
M04610 7.037930e-07
M04611 -4.676354e-08
M04612 5.147472e-07
M04613 -2.676830e-08
M04614 -3.614260e-07
M04615 2.353953e-07
M04616 2.454626e-07
M04617 -2.646288e-08
M04618 6.209412e-07
M04619 1.007771e-07
M04620 -2.159356e-07
M04621 -7.998064e-08
M04622 6.185678e-07
M04623 -5.395426e-07
M04624 6.261187e-07
M04625 -2.871493e-07
M04626 -2.049708e-07
M04627 -2.038318e-07
M04628 -4.057807e-07
M04629 5.499144e-07
M04630 -2.534098e-08
M04631 2.231667e-19
M04632 5.276448e-07
M04633 -4.812901e-07
M04634 3.905399e-07
M04635 -2.412572e-07
M04636 1.559617e-07
M04637 2.523993e-07
M04638 2.067147e-07
M04639 -2.903936e-07
M04640 -3.632583e-07
M04641 -2.148786e-07
M04642 3.003297e-07
M04643 -5.067914e-07
M04644 1.628674e-07
M04645 4.335401e-07
M04646 -2.181738e-07
M04647 3.798970e-07
M04648 2.476363e-08
M04649 -4.238919e-07
M04650 3.732423e-07
M04651 -3.789540e-07
M04652 -4.840384e-08
M04653 7.197180e-08
M04654 2.322580e-07
M04655 5.623156e-07
M04656 1.957664e-07
M04657 -3.648646e-07
M04658 -5.473927e-09
M04659 -2.099537e-07
M04660 9.185201e-08
M04661 -3.921854e-09
M04662 -1.689276e-08
M04663 -4.889288e-07
M04664 1.573411e-07
M04665 3.875258e-08
M04666 -2.837298e-09
M04667 7.493588e-07
M04668 3.523456e-07
M04669 2.009150e-07
M04670 -4.779344e-07
M04671 2.985397e-07
M04672 2.439353e-07
M04673 2.629998e-07
M04674 4.629196e-07
M04675 1.742576e-07
M04676 -4.989660e-07
M04677 -4.292007e-07
M04678 3.168031e-07
M04679 6.188576e-07
M04680 -1.987243e-07
M04681 -3.996839e-07
M04682 -1.540771e-07
M04683 2.071985e-07
M04684 -1.779679e-07
M04685 -1.066861e-07
M04686 -5.163051e-08
M04687 6.240310e-09
M04688 -4.113157e-07
M04689 -4.367867e-08
M04690 5.465497e-07
M04691 9.770440e-07
M04692 2.231667e-19
M04693 1.884369e-07
M04694 -2.577024e-07
M04695 -2.622369e-07
M04696 -9.149277e-07
M04697 4.055797e-07
M04698 -8.041691e-08
M04699 2.366967e-07
M04700 -1.003425e-07
M04701 9.929275e-08
M04702 -1.867720e-07
M04703 2.530731e-08
M04704 2.959928e-07
M04705 1.566655e-07
M04706 4.199947e-07
M04707 1.628674e-07
M04708 -1.120732e-07
M04709 6.952714e-08
M04710 1.154794e-06
M04711 -9.656695e-08
M04712 -1.538993e-08
M04713 -3.257059e-08
M04714 3.503581e-07
M04715 -1.531789e-07
M04716 3.825633e-07
M04717 4.616651e-07
M04718 -2.794773e-07
M04719 2.169515e-08
M04720 -2.987886e-07
M04721 5.375427e-08
M04722 -1.726298e-07
M04723 4.606263e-07
M04724 5.518489e-07
M04725 4.671500e-07
M04726 -3.548619e-07
M04727 4.764382e-07
M04728 -1.786819e-07
M04729 -1.763537e-08
M04730 -7.250691e-07
M04731 7.720263e-07
M04732 -4.695614e-07
M04733 -3.322558e-07
M04734 1.116191e-08
M04735 -2.124240e-07
M04736 -1.064491e-06
M04737 -3.211063e-07
M04738 -1.648611e-07
M04739 3.831206e-07
M04740 -5.407285e-07
M04741 -8.305079e-08
M04742 -2.381711e-08
M04743 2.703826e-07
M04744 5.412286e-07
M04745 -2.917994e-07
M04746 3.510700e-08
M04747 -2.968805e-07
M04748 -2.231667e-19
M04749 -1.687133e-07
M04750 -1.586956e-07
M04751 2.743872e-08
M04752 -8.730977e-07
M04753 2.092985e-08
M04754 -2.544371e-07
M04755 2.867017e-07
M04756 -1.011992e-07
M04757 4.644954e-08
M04758 -3.495706e-08
M04759 6.455196e-07
M04760 -4.328584e-07
M04761 3.912708e-07
M04762 -3.069851e-07
M04763 -2.335983e-07
M04764 -2.713199e-07
M04765 2.193053e-07
M04766 6.374409e-07
M04767 2.646025e-07
M04768 7.683312e-08
M04769 5.192371e-07
M04770 -4.055797e-07
M04771 3.019757e-07
M04772 -3.343825e-07
M04773 -4.877877e-07
M04774 1.922194e-07
M04775 -1.926142e-08
M04776 -2.092985e-08
M04777 -2.072444e-07
M04778 7.197180e-08
M04779 -4.651528e-07
M04780 2.231667e-19
M04781 2.581178e-07
M04782 -4.591619e-07
M04783 3.196969e-07
M04784 3.518549e-07
M04785 1.232558e-07
M04786 -6.433569e-08
M04787 -2.525898e-07
M04788 2.265127e-07
M04789 -1.186974e-08
M04790 7.197180e-08
M04791 -2.870631e-07
M04792 2.488883e-07
M04793 3.912198e-07
M04794 -8.730977e-07
M04795 9.116778e-08
M04796 1.559617e-07
M04797 -2.750547e-07
M04798 1.867122e-07
M04799 1.538009e-07
M04800 2.835663e-07
M04801 -3.775389e-08
M04802 -2.218949e-07
M04803 -1.809969e-07
M04804 -1.287862e-07
M04805 1.975473e-07
M04806 -3.069536e-07
M04807 4.128859e-07
M04808 -3.141634e-07
M04809 -2.009710e-08
M04810 1.924719e-07
M04811 -3.604317e-07
M04812 -3.624928e-07
M04813 4.161539e-07
M04814 -4.967420e-07
M04815 2.144716e-07
M04816 -3.733157e-07
M04817 -1.880693e-07
M04818 -3.181598e-07
M04819 4.272815e-08
M04820 7.219917e-07
M04821 -7.953739e-08
M04822 3.928541e-07
M04823 -3.395237e-07
M04824 -2.913103e-07
M04825 -1.521823e-07
M04826 -5.758438e-08
M04827 -1.207612e-07
M04828 -2.154884e-07
M04829 4.055797e-07
M04830 5.696397e-07
M04831 4.646729e-07
M04832 2.578181e-07
M04833 -2.234982e-08
M04834 -1.164268e-07
M04835 4.062687e-07
M04836 5.284516e-07
M04837 -3.220579e-07
M04838 -8.023040e-08
M04839 -6.433569e-08
M04840 -4.864348e-07
M04841 3.246650e-10
M04842 2.475224e-09
M04843 -3.211063e-07
M04844 -1.003425e-07
M04845 -2.449491e-07
M04846 1.656276e-07
M04847 1.067615e-07
M04848 -2.239593e-07
M04849 -3.880900e-07
M04850 -2.065665e-07
M04851 3.610842e-07
M04852 -4.721005e-07
M04853 -2.985700e-07
M04854 -4.766421e-07
M04855 1.546738e-07
M04856 3.802496e-07
M04857 -3.185261e-07
M04858 -4.736759e-08
M04859 2.755810e-07
M04860 5.467937e-07
M04861 -3.268932e-08
M04862 -3.647633e-07
M04863 -2.558950e-07
M04864 1.470385e-07
M04865 5.313569e-07
M04866 2.092985e-08
M04867 1.769820e-07
M04868 1.526108e-07
M04869 5.304602e-07
M04870 -6.156894e-09
M04871 3.418851e-07
M04872 -1.680601e-07
M04873 -4.449691e-07
M04874 1.300910e-07
M04875 6.952714e-08
M04876 1.628674e-07
M04877 2.601154e-08
M04878 2.825021e-07
M04879 2.794425e-07
M04880 -3.045752e-07
M04881 3.486159e-07
M04882 2.018646e-07
M04883 -7.197180e-08
M04884 -4.098473e-07
M04885 -1.174832e-06
M04886 -1.030031e-07
M04887 1.786819e-07
M04888 5.998039e-07
M04889 1.143466e-07
M04890 -1.450572e-07
M04891 -4.388985e-09
M04892 1.630951e-07
M04893 -1.420042e-07
M04894 -3.228055e-07
M04895 3.746939e-08
M04896 1.454704e-07
M04897 2.231667e-19
M04898 -3.826805e-07
M04899 2.627161e-08
M04900 1.326838e-07
M04901 -2.457371e-07
M04902 3.023096e-07
M04903 4.884325e-07
M04904 3.215659e-07
M04905 -2.960186e-07
M04906 3.583866e-07
M04907 -1.602224e-07
M04908 2.911624e-07
M04909 6.021864e-07
M04910 -3.982032e-07
M04911 -3.621090e-07
M04912 -6.604432e-08
M04913 -2.231667e-19
M04914 5.607486e-08
M04915 2.957385e-07
M04916 -4.005011e-07
M04917 -3.705927e-07
M04918 -2.381711e-08
M04919 1.479887e-07
M04920 3.181598e-07
M04921 4.893153e-07
M04922 3.716478e-07
M04923 -4.248527e-07
M04924 4.055797e-07
M04925 -3.869939e-07
M04926 2.065665e-07
M04927 -3.217213e-07
M04928 3.162077e-07
M04929 -7.754594e-08
M04930 -4.094025e-07
M04931 -9.568139e-10
M04932 -1.704027e-07
M04933 2.071985e-07
M04934 -2.721472e-07
M04935 -3.799580e-07
M04936 3.181303e-07
M04937 8.235189e-08
M04938 -3.061456e-08
M04939 -4.236142e-08
M04940 -1.146376e-07
M04941 -2.104834e-07
M04942 -4.170729e-08
M04943 -3.146071e-07
M04944 -3.058895e-07
M04945 -1.207339e-07
M04946 5.200717e-08
M04947 2.548606e-07
M04948 7.241960e-08
M04949 1.262498e-07
M04950 5.823187e-07
M04951 1.899418e-07
M04952 -1.540127e-07
M04953 -2.136033e-07
M04954 1.243490e-07
M04955 -4.312263e-07
M04956 -1.377361e-07
M04957 -3.810298e-07
M04958 -1.499899e-07
M04959 9.998662e-07
M04960 6.455196e-07
M04961 1.506787e-07
M04962 1.910428e-07
M04963 2.933652e-07
M04964 -3.211063e-07
M04965 -2.059652e-07
M04966 4.604246e-07
M04967 2.629648e-08
M04968 -1.524254e-07
M04969 -9.414994e-08
M04970 3.847898e-07
M04971 -3.824331e-08
M04972 -4.363665e-07
M04973 2.244487e-07
M04974 7.877447e-08
M04975 3.650701e-08
M04976 8.719775e-08
M04977 3.817152e-07
M04978 -2.549002e-08
M04979 -2.099455e-07
M04980 -7.522892e-08
M04981 3.239594e-08
M04982 2.786077e-07
M04983 3.088276e-07
M04984 -3.142638e-07
M04985 -6.737321e-07
M04986 -2.384417e-07
M04987 -3.239594e-08
M04988 7.522892e-08
M04989 1.939742e-07
M04990 3.578430e-07
M04991 3.361303e-07
M04992 1.398016e-07
M04993 2.165667e-07
M04994 -5.456168e-08
M04995 1.061463e-07
M04996 -1.537384e-07
M04997 3.220071e-07
M04998 6.870291e-08
M04999 2.276364e-08
M05000 -1.418419e-07
M05001 -1.684914e-07
M05002 2.661342e-07
M05003 -2.949627e-07
M05004 -3.610402e-07
M05005 1.149314e-07
M05006 1.437445e-07
M05007 5.251570e-07
M05008 -3.923897e-08
M05009 -6.612777e-07
M05010 -2.269873e-07
M05011 -5.033433e-07
M05012 1.770257e-07
M05013 6.520193e-07
M05014 4.249546e-07
M05015 7.820772e-09
M05016 -3.008980e-07
M05017 -4.830808e-07
M05018 3.009650e-07
M05019 2.343262e-07
M05020 5.143113e-07
M05021 -1.075637e-07
M05022 -2.506729e-07
M05023 1.261166e-07
M05024 -1.348334e-07
M05025 -3.523050e-07
M05026 -1.151962e-07
M05027 -6.809134e-08
M05028 2.492953e-07
M05029 -2.320001e-07
M05030 -4.302705e-07
M05031 -1.422760e-07
M05032 2.142454e-07
M05033 1.347028e-07
M05034 1.666266e-07
M05035 1.049488e-07
M05036 3.229373e-07
M05037 2.269873e-07
M05038 -5.614418e-07
M05039 2.424924e-07
M05040 7.304152e-08
M05041 -3.849353e-07
M05042 1.002319e-07
M05043 1.534564e-07
M05044 -1.524818e-07
M05045 -3.816758e-07
M05046 -1.946910e-07
M05047 3.801033e-07
M05048 -7.375753e-08
M05049 -1.786588e-07
M05050 -5.436842e-08
M05051 5.450425e-08
M05052 -1.402549e-07
M05053 2.975384e-07
M05054 2.697617e-07
M05055 2.926135e-07
M05056 1.534564e-07
M05057 6.316741e-08
M05058 1.682354e-07
M05059 1.684372e-07
M05060 3.149305e-07
M05061 -2.543313e-07
M05062 2.697135e-07
M05063 -9.119133e-07
M05064 -1.743441e-07
M05065 -3.578430e-07
M05066 2.036358e-07
M05067 -1.027969e-07
M05068 -3.584089e-07
M05069 -1.012082e-07
M05070 4.454927e-07
M05071 -2.450497e-07
M05072 -1.743504e-07
M05073 1.534564e-07
M05074 -7.389284e-07
M05075 -4.144203e-07
M05076 -1.743504e-07
M05077 -1.680772e-07
M05078 -6.133997e-07
M05079 7.282273e-08
M05080 -3.200050e-07
M05081 8.565713e-08
M05082 -2.231667e-19
M05083 -1.498155e-07
M05084 -4.562110e-07
M05085 1.743504e-07
M05086 -9.803718e-09
M05087 -1.180914e-07
M05088 -3.641699e-08
M05089 1.176115e-07
M05090 1.447074e-07
M05091 -1.939742e-07
M05092 -2.276364e-08
M05093 -3.269324e-07
M05094 4.779237e-07
M05095 -5.673879e-07
M05096 -1.504831e-07
M05097 -1.065346e-07
M05098 -3.730955e-07
M05099 2.040184e-07
M05100 -4.685276e-07
M05101 4.490126e-07
M05102 6.450480e-08
M05103 -1.540393e-07
M05104 2.481734e-07
M05105 1.779711e-07
M05106 -2.405087e-07
M05107 4.462107e-07
M05108 5.745425e-07
M05109 1.123593e-07
M05110 -3.868009e-07
M05111 7.461312e-08
M05112 -4.265343e-07
M05113 3.594869e-07
M05114 6.450480e-08
M05115 -1.339709e-07
M05116 -3.263470e-07
M05117 -2.729498e-07
M05118 -1.301063e-07
M05119 2.117176e-07
M05120 -3.419022e-07
M05121 2.012134e-07
M05122 2.044823e-07
M05123 1.218792e-07
M05124 -3.824331e-08
M05125 -3.817152e-07
M05126 -6.286125e-08
M05127 -2.231667e-19
M05128 1.801028e-07
M05129 -4.776285e-07
M05130 -2.242513e-07
M05131 5.439292e-08
M05132 1.494158e-07
M05133 -8.792362e-08
M05134 3.494247e-08
M05135 1.541331e-08
M05136 2.926605e-07
M05137 4.065112e-07
M05138 4.393828e-07
M05139 -4.799097e-07
M05140 7.125939e-08
M05141 2.152474e-07
M05142 1.454683e-07
M05143 1.454683e-07
M05144 9.466360e-08
M05145 -2.241210e-07
M05146 1.633427e-07
M05147 4.815788e-07
M05148 -2.179364e-07
M05149 -4.078432e-07
M05150 -4.134515e-07
M05151 -1.124173e-07
M05152 4.302705e-07
M05153 2.331308e-08
M05154 -3.564013e-07
M05155 -1.376623e-08
M05156 -5.971218e-08
M05157 9.508138e-08
M05158 -1.012082e-07
M05159 -4.545602e-07
M05160 6.054638e-08
M05161 -4.226830e-08
M05162 1.623131e-07
M05163 -1.360743e-07
M05164 -3.369869e-07
M05165 1.002670e-07
M05166 -1.190762e-09
M05167 5.191583e-08
M05168 -2.231667e-19
M05169 -1.363684e-07
M05170 3.818931e-07
M05171 8.261047e-08
M05172 1.996460e-07
M05173 -2.231667e-19
M05174 3.149305e-07
M05175 -4.244810e-07
M05176 2.249136e-07
M05177 4.822241e-07
M05178 -3.517101e-07
M05179 8.245221e-08
M05180 -3.153912e-07
M05181 3.008980e-07
M05182 -1.299580e-07
M05183 1.310461e-07
M05184 -2.231667e-19
M05185 -7.431442e-08
M05186 -2.405087e-07
M05187 2.181187e-07
M05188 -1.139516e-07
M05189 -7.664484e-08
M05190 -3.141438e-08
M05191 9.603981e-08
M05192 2.396546e-07
M05193 3.200190e-07
M05194 3.183104e-07
M05195 -1.362889e-07
M05196 -7.073845e-08
M05197 -1.522121e-07
M05198 7.662758e-08
M05199 -3.503540e-07
M05200 7.558682e-08
M05201 7.994894e-08
M05202 -3.139396e-07
M05203 -2.767125e-07
M05204 -2.781334e-07
M05205 -1.198678e-09
M05206 2.785198e-07
M05207 8.736346e-08
M05208 -8.507335e-08
M05209 -3.123655e-08
M05210 1.862387e-07
M05211 6.269376e-08
M05212 1.389304e-07
M05213 1.666785e-07
M05214 3.679911e-07
M05215 -1.946910e-07
M05216 5.224143e-07
M05217 -9.660822e-08
M05218 -3.032451e-07
M05219 -1.680772e-07
M05220 1.563204e-07
M05221 -1.090697e-08
M05222 3.655641e-07
M05223 -1.774240e-07
M05224 -7.522892e-08
M05225 -5.191583e-08
M05226 -2.501519e-07
M05227 2.251329e-07
M05228 -4.147977e-07
M05229 3.086328e-09
M05230 3.544741e-07
M05231 4.920514e-07
M05232 1.367328e-07
M05233 1.743504e-07
M05234 -3.671022e-07
M05235 3.632226e-07
M05236 2.792686e-07
M05237 4.160014e-07
M05238 -5.223302e-07
M05239 2.809968e-07
M05240 1.276817e-07
M05241 1.734451e-07
M05242 -4.593863e-07
M05243 1.531832e-07
M05244 -1.466884e-07
M05245 2.117176e-07
M05246 -1.833385e-08
M05247 1.225328e-07
M05248 -1.978229e-07
M05249 3.384395e-07
M05250 -3.999252e-07
M05251 -4.006188e-07
M05252 1.636636e-07
M05253 6.427556e-08
M05254 4.798633e-08
M05255 -6.000349e-08
M05256 2.447225e-07
M05257 5.835198e-07
M05258 -2.231667e-19
M05259 3.149712e-07
M05260 -6.320351e-08
M05261 -2.119682e-07
M05262 -2.276364e-08
M05263 4.444376e-07
M05264 -1.226123e-07
M05265 -2.119682e-07
M05266 5.478275e-08
M05267 -1.270154e-07
M05268 -1.523827e-08
M05269 3.862192e-07
M05270 -2.685584e-08
M05271 2.026628e-07
M05272 2.953741e-07
M05273 -1.573626e-08
M05274 9.325973e-08
M05275 -4.477830e-07
M05276 1.680158e-07
M05277 -2.899050e-08
M05278 2.092311e-07
M05279 -3.644103e-07
M05280 1.389304e-07
M05281 6.237689e-09
M05282 4.459801e-07
M05283 3.711661e-08
M05284 -5.085916e-08
M05285 7.508471e-07
M05286 2.187447e-07
M05287 3.435368e-11
M05288 -2.088801e-07
M05289 1.418995e-08
M05290 1.261166e-07
M05291 -8.173710e-08
M05292 1.051461e-07
M05293 3.578430e-07
M05294 2.716944e-07
M05295 -3.627957e-07
M05296 -1.415228e-07
M05297 -1.380722e-07
M05298 -2.788558e-07
M05299 -1.521008e-07
M05300 3.360994e-07
M05301 3.192816e-07
M05302 -1.023476e-07
M05303 -4.244810e-07
M05304 -3.298427e-08
M05305 -3.175575e-07
M05306 -3.457003e-08
M05307 3.607452e-07
M05308 -1.585262e-07
M05309 4.743753e-07
M05310 1.418419e-07
M05311 2.117176e-07
M05312 2.993554e-07
M05313 -3.651514e-07
M05314 -5.549215e-09
M05315 -3.817152e-07
M05316 1.003792e-07
M05317 4.270102e-07
M05318 -1.807026e-07
M05319 3.650701e-08
M05320 -1.527850e-07
M05321 -1.512223e-07
M05322 -5.465963e-08
M05323 -5.439292e-08
M05324 -1.606263e-07
M05325 -3.628265e-07
M05326 7.003786e-08
M05327 -2.373581e-07
M05328 -5.435785e-07
M05329 -9.733870e-08
M05330 -1.998601e-07
M05331 -1.059252e-07
M05332 2.605333e-07
M05333 3.384395e-07
M05334 4.921708e-07
M05335 3.850045e-07
M05336 -3.765130e-07
M05337 2.071838e-08
M05338 4.408312e-07
M05339 -8.144974e-07
M05340 -1.533635e-07
M05341 -2.524175e-07
M05342 1.802203e-07
M05343 3.920871e-08
M05344 -3.321259e-07
M05345 1.805243e-07
M05346 1.314074e-07
M05347 2.089990e-08
M05348 -3.258745e-09
M05349 -2.231667e-19
M05350 -6.288297e-08
M05351 -1.516359e-07
M05352 -7.324342e-08
M05353 -3.993280e-07
M05354 -8.617434e-08
M05355 5.355523e-08
M05356 -4.228968e-08
M05357 1.177253e-07
M05358 4.705397e-07
M05359 -3.256693e-07
M05360 -1.019594e-07
M05361 -1.827135e-08
M05362 3.611376e-07
M05363 4.994916e-07
M05364 -2.734222e-07
M05365 -1.638851e-07
M05366 2.993554e-07
M05367 -1.684193e-07
M05368 2.168009e-07
M05369 -3.818931e-07
M05370 3.688925e-07
M05371 -1.222905e-07
M05372 3.139396e-07
M05373 -3.030689e-07
M05374 -4.268357e-07
M05375 -2.119682e-07
M05376 -9.322708e-07
M05377 -1.527850e-07
M05378 -1.743504e-07
M05379 2.164326e-07
M05380 8.687078e-08
M05381 -4.223466e-08
M05382 -4.701108e-07
M05383 -2.044823e-07
M05384 -3.282587e-07
M05385 3.068939e-07
M05386 2.399338e-09
M05387 -3.040836e-07
M05388 1.814110e-07
M05389 1.496673e-07
M05390 -8.628257e-08
M05391 -3.112041e-08
M05392 8.915919e-08
M05393 6.288297e-08
M05394 3.106913e-07
M05395 7.412025e-08
M05396 3.473348e-07
M05397 1.521649e-07
M05398 1.566627e-07
M05399 -1.402549e-07
M05400 -2.730232e-07
M05401 -3.812439e-07
M05402 1.680772e-07
M05403 -1.080421e-07
M05404 -2.164326e-07
M05405 2.977456e-07
M05406 -3.476799e-08
M05407 1.572933e-07
M05408 6.034314e-07
M05409 -2.268209e-07
M05410 -5.254401e-07
M05411 3.638007e-07
M05412 2.185586e-07
M05413 -7.449775e-07
M05414 -4.306336e-07
M05415 -2.657047e-07
M05416 -1.468539e-07
M05417 6.493790e-08
M05418 -1.902011e-07
M05419 -4.153935e-07
M05420 -1.580702e-08
M05421 -5.604823e-07
M05422 -2.276364e-08
M05423 -2.615847e-08
M05424 -1.743504e-07
M05425 3.087317e-08
M05426 3.736026e-07
M05427 -2.343195e-08
M05428 1.220119e-09
M05429 -2.897261e-07
M05430 -4.107517e-07
M05431 8.687078e-08
M05432 -3.369869e-07
M05433 1.445379e-07
M05434 3.365887e-07
M05435 -9.301862e-09
M05436 -6.017843e-08
M05437 -1.753355e-07
M05438 1.743504e-07
M05439 -3.537487e-07
M05440 3.503693e-07
M05441 3.839406e-07
M05442 -4.244810e-07
M05443 4.822330e-07
M05444 -3.800951e-08
M05445 -3.156134e-07
M05446 4.779237e-07
M05447 2.785198e-07
M05448 -1.696666e-07
M05449 7.377843e-08
M05450 -1.389304e-07
M05451 -3.039322e-07
M05452 -4.565900e-07
M05453 -1.055561e-07
M05454 1.047858e-07
M05455 -4.363665e-07
M05456 3.705974e-07
M05457 3.246431e-07
M05458 3.269324e-07
M05459 8.099521e-08
M05460 -2.422154e-07
M05461 -6.290387e-08
M05462 4.972881e-08
M05463 4.413684e-07
M05464 1.828193e-07
M05465 4.090734e-07
M05466 -2.565374e-07
M05467 1.683250e-07
M05468 2.826978e-07
M05469 -1.019594e-07
M05470 -2.542163e-08
M05471 1.176115e-07
M05472 -3.298427e-08
M05473 7.282273e-08
M05474 -1.190638e-07
M05475 1.380902e-07
M05476 3.503540e-07
M05477 3.149305e-07
M05478 -1.380902e-07
M05479 4.078432e-07
M05480 1.304253e-07
M05481 -1.148166e-07
M05482 -4.509106e-08
M05483 5.801712e-08
M05484 -6.803134e-08
M05485 -2.285032e-08
M05486 3.980790e-10
M05487 -8.827764e-08
M05488 3.382625e-07
M05489 3.622681e-07
M05490 1.010857e-07
M05491 -2.293490e-07
M05492 -3.269324e-07
M05493 1.380722e-07
M05494 4.446487e-07
M05495 -2.672260e-07
M05496 3.156134e-07
M05497 -4.244810e-07
M05498 1.452691e-07
M05499 -2.657880e-07
M05500 1.427772e-07
M05501 2.873154e-07
M05502 1.938559e-07
M05503 -1.649391e-08
M05504 1.268666e-07
M05505 3.544348e-07
M05506 -1.420579e-07
M05507 6.679751e-08
M05508 3.616790e-07
M05509 -7.416458e-07
M05510 3.812439e-07
M05511 -7.375753e-08
M05512 -4.244810e-07
M05513 -2.099375e-07
M05514 -5.865831e-08
M05515 -3.123655e-08
M05516 -3.149305e-07
M05517 -1.305240e-07
M05518 -7.662758e-08
M05519 4.562110e-07
M05520 2.739137e-08
M05521 7.003786e-08
M05522 1.576467e-07
M05523 -3.758611e-08
M05524 -3.959732e-07
M05525 2.952768e-07
M05526 -1.902011e-07
M05527 9.641747e-08
M05528 2.918286e-07
M05529 -1.912161e-07
M05530 -3.742440e-07
M05531 -1.606431e-07
M05532 -3.269324e-07
M05533 3.325090e-07
M05534 1.359279e-08
M05535 -1.881360e-08
M05536 -1.304253e-07
M05537 -1.743504e-07
M05538 -6.824259e-08
M05539 7.170294e-08
M05540 1.779711e-07
M05541 -6.043686e-08
M05542 -2.064320e-07
M05543 1.651549e-07
M05544 1.826568e-07
M05545 8.319032e-08
M05546 1.382100e-07
M05547 1.164142e-07
M05548 1.022654e-07
M05549 -2.018299e-07
M05550 -4.159403e-07
M05551 -3.190781e-07
M05552 -5.673337e-08
M05553 -2.722450e-08
M05554 3.304491e-07
M05555 -3.990587e-08
M05556 -1.435170e-09
M05557 2.605620e-07
M05558 1.087567e-07
M05559 2.099375e-07
M05560 1.247026e-07
M05561 5.801712e-08
M05562 -3.516691e-07
M05563 -1.795723e-07
M05564 -4.051223e-07
M05565 1.002670e-07
M05566 -1.080739e-07
M05567 -5.478275e-08
M05568 -1.262567e-07
M05569 -1.712621e-07
M05570 -5.611634e-07
M05571 4.457104e-07
M05572 -2.046269e-08
M05573 2.003390e-07
M05574 -9.803718e-09
M05575 -3.420191e-08
M05576 -1.136820e-07
M05577 7.159799e-07
M05578 -4.150480e-09
M05579 -9.490236e-08
M05580 3.330001e-07
M05581 1.580702e-08
M05582 1.380722e-07
M05583 -2.899363e-07
M05584 7.798701e-09
M05585 2.702691e-07
M05586 -2.711596e-08
M05587 -1.437734e-07
M05588 5.438407e-07
M05589 -1.170540e-07
M05590 2.286769e-07
M05591 1.333871e-07
M05592 5.934912e-08
M05593 -2.044823e-07
M05594 1.072364e-07
M05595 3.108674e-07
M05596 2.106234e-08
M05597 -6.612777e-07
M05598 -2.103999e-07
M05599 7.056433e-09
M05600 3.467995e-07
M05601 4.160014e-07
M05602 1.707273e-07
M05603 5.619655e-07
M05604 -2.108623e-07
M05605 1.527850e-07
M05606 -2.338805e-07
M05607 -5.044487e-07
M05608 2.231667e-19
M05609 -1.077314e-07
M05610 4.170191e-07
M05611 3.751368e-07
M05612 3.029315e-07
M05613 4.308247e-07
M05614 -1.007126e-08
M05615 2.887009e-07
M05616 -4.358976e-07
M05617 2.731686e-07
M05618 -4.499186e-09
M05619 -3.462706e-08
M05620 -2.970051e-07
M05621 -7.662758e-08
M05622 -1.439578e-07
M05623 -9.660822e-08
M05624 1.410008e-08
M05625 -1.402549e-07
M05626 3.981670e-07
M05627 -1.532572e-07
M05628 -2.454796e-08
M05629 1.056739e-07
M05630 -8.145438e-08
M05631 -3.578430e-07
M05632 -1.912161e-07
M05633 -6.682243e-07
M05634 -1.779711e-07
M05635 2.676397e-07
M05636 1.694477e-08
M05637 -2.404185e-07
M05638 -1.177253e-07
M05639 2.605620e-07
M05640 -1.505968e-07
M05641 -2.542163e-08
M05642 5.504650e-07
M05643 7.431442e-08
M05644 6.017843e-08
M05645 -2.316681e-07
M05646 -8.549229e-08
M05647 -2.254511e-07
M05648 4.233623e-07
M05649 1.921223e-08
M05650 -2.189206e-07
M05651 -2.838113e-07
M05652 3.516691e-07
M05653 2.441588e-07
M05654 1.416010e-07
M05655 3.238481e-07
M05656 2.269873e-07
M05657 -2.528216e-07
M05658 1.930423e-07
M05659 -1.451466e-07
M05660 4.816363e-07
M05661 -2.605620e-07
M05662 3.106314e-07
M05663 -2.268209e-07
M05664 -2.459584e-07
M05665 1.039735e-08
M05666 -7.040845e-08
M05667 -2.918286e-07
M05668 9.803718e-09
M05669 -1.095928e-07
M05670 3.977096e-07
M05671 4.743753e-07
M05672 1.830812e-07
M05673 -6.886434e-09
M05674 3.433923e-07
M05675 -3.176413e-07
M05676 4.176912e-07
M05677 -3.503693e-07
M05678 -1.209689e-07
M05679 4.244810e-07
M05680 -3.263470e-07
M05681 -1.176115e-07
M05682 3.610959e-08
M05683 1.766787e-07
M05684 -5.739294e-08
M05685 1.667483e-07
M05686 8.442637e-08
M05687 -4.512975e-08
M05688 -1.129902e-07
M05689 2.071017e-07
M05690 -7.130374e-07
M05691 2.110515e-07
M05692 2.567988e-08
M05693 -2.210667e-07
M05694 -2.873154e-07
M05695 -2.773306e-07
M05696 3.382625e-07
M05697 1.380902e-07
M05698 1.220119e-09
M05699 4.294616e-08
M05700 1.057797e-07
M05701 6.527051e-07
M05702 3.727247e-08
M05703 -6.081090e-08
M05704 -1.212825e-07
M05705 5.313880e-08
M05706 -1.906669e-07
M05707 -2.011356e-07
M05708 -7.112852e-07
M05709 1.666266e-07
M05710 1.466884e-07
M05711 5.383032e-07
M05712 -2.345530e-07
M05713 -1.063316e-07
M05714 3.149712e-07
M05715 -1.580702e-08
M05716 -3.488016e-07
M05717 1.726954e-07
M05718 3.149305e-07
M05719 -1.282455e-07
M05720 -3.564013e-07
M05721 -4.787784e-07
M05722 -9.914577e-08
M05723 -3.593832e-07
M05724 3.703239e-08
M05725 4.537521e-08
M05726 -3.418751e-07
M05727 4.160014e-07
M05728 1.604753e-07
M05729 5.286554e-07
M05730 -3.129727e-07
M05731 -2.373581e-07
M05732 3.008980e-07
M05733 1.996460e-07
M05734 3.817454e-07
M05735 3.951918e-07
M05736 1.770257e-07
M05737 2.676702e-08
M05738 9.609277e-10
M05739 3.121878e-07
M05740 -6.777542e-08
M05741 -3.868009e-07
M05742 -3.149305e-07
M05743 -3.195012e-07
M05744 7.090896e-08
M05745 -1.909420e-07
M05746 3.269324e-07
M05747 -2.931970e-07
M05748 -5.648106e-08
M05749 2.165070e-07
M05750 -3.041156e-07
M05751 -3.412543e-07
M05752 -3.232437e-07
M05753 -3.627434e-08
M05754 3.149305e-07
M05755 2.056543e-07
M05756 6.181843e-08
M05757 -1.176115e-07
M05758 -2.691987e-07
M05759 -3.176413e-07
M05760 3.047000e-07
M05761 -3.690085e-07
M05762 -7.770130e-08
M05763 -4.316302e-07
M05764 5.490957e-08
M05765 8.935269e-08
M05766 -1.436572e-07
M05767 1.700972e-07
M05768 2.047990e-07
M05769 -3.519134e-07
M05770 2.661820e-07
M05771 -1.055561e-07
M05772 -5.527821e-07
M05773 -2.174147e-07
M05774 3.296098e-07
M05775 4.809853e-07
M05776 6.858287e-08
M05777 -6.017843e-08
M05778 -8.173803e-07
M05779 -1.512223e-07
M05780 -2.276364e-08
M05781 -1.781313e-07
M05782 3.212382e-07
M05783 4.305677e-07
M05784 -5.125070e-09
M05785 -1.967985e-07
M05786 -2.372479e-07
M05787 4.477830e-07
M05788 -3.529373e-08
M05789 7.768150e-08
M05790 -5.382560e-07
M05791 -1.080421e-07
M05792 -1.691582e-07
M05793 1.294897e-07
M05794 3.269324e-07
M05795 -4.592687e-07
M05796 -2.646128e-07
M05797 4.244810e-07
M05798 3.047000e-07
M05799 7.040845e-08
M05800 6.289812e-07
M05801 -7.282273e-08
M05802 -9.660822e-08
M05803 4.477830e-07
M05804 -3.537487e-07
M05805 -2.099375e-07
M05806 4.226830e-08
M05807 7.003786e-08
M05808 6.407758e-08
M05809 -5.573907e-07
M05810 9.638920e-08
M05811 -1.475955e-07
M05812 -2.255954e-07
M05813 2.400806e-07
M05814 1.051461e-07
M05815 7.360913e-07
M05816 3.361303e-07
M05817 -3.818931e-07
M05818 -1.428081e-08
M05819 -5.866912e-07
M05820 -6.000349e-08
M05821 -2.027669e-07
M05822 -4.233623e-07
M05823 -3.847353e-07
M05824 3.824331e-08
M05825 -5.645158e-08
M05826 -1.076310e-07
M05827 1.943899e-09
M05828 -5.223466e-08
M05829 6.017101e-08
M05830 -4.255993e-07
M05831 9.847633e-08
M05832 -2.943440e-07
M05833 -6.393151e-08
M05834 1.881699e-07
M05835 3.653037e-07
M05836 3.123655e-08
M05837 -3.970242e-08
M05838 1.311509e-07
M05839 -7.563686e-07
M05840 2.882268e-07
M05841 4.719553e-07
M05842 5.609523e-07
M05843 -6.607297e-08
M05844 6.485347e-07
M05845 3.653037e-07
M05846 2.972108e-07
M05847 9.803718e-09
M05848 -7.324342e-08
M05849 3.032798e-07
M05850 4.512975e-08
M05851 -4.845465e-08
M05852 3.308949e-07
M05853 -3.783305e-07
M05854 -8.838886e-08
M05855 -3.676750e-07
M05856 7.662758e-08
M05857 3.086872e-08
M05858 6.879519e-08
M05859 -1.580702e-08
M05860 -3.196740e-08
M05861 3.489443e-07
M05862 2.185544e-07
M05863 3.142638e-07
M05864 1.680772e-07
M05865 1.815725e-07
M05866 5.410703e-08
M05867 -3.389739e-07
M05868 4.226830e-08
M05869 -3.518071e-07
M05870 -1.329673e-07
M05871 -3.637203e-07
M05872 -3.271322e-07
M05873 4.742927e-07
M05874 -1.770257e-07
M05875 3.172806e-07
M05876 6.777542e-08
M05877 -5.607531e-07
M05878 2.127387e-07
M05879 -3.467995e-07
M05880 -1.988269e-07
M05881 3.088276e-07
M05882 4.991112e-07
M05883 1.943899e-09
M05884 -6.719993e-07
M05885 -3.685336e-07
M05886 -4.804614e-08
M05887 -1.375840e-07
M05888 1.268666e-07
M05889 -2.568561e-07
M05890 -2.256301e-07
M05891 -4.143180e-07
M05892 -1.184415e-07
M05893 -1.529516e-07
M05894 3.149305e-07
M05895 3.372718e-07
M05896 -5.188107e-07
M05897 1.909420e-07
M05898 -2.266268e-07
M05899 4.499186e-09
M05900 3.080847e-07
M05901 4.244810e-07
M05902 -1.928387e-07
M05903 -1.402279e-07
M05904 -3.151325e-07
M05905 2.605620e-07
M05906 6.894808e-07
M05907 -3.112782e-07
M05908 2.511366e-07
M05909 1.007538e-07
M05910 -3.817152e-07
M05911 -4.255984e-07
M05912 3.805551e-07
M05913 -4.355162e-07
M05914 -3.835145e-07
M05915 8.827764e-08
M05916 4.336224e-07
M05917 -1.951661e-07
M05918 -3.611376e-07
M05919 -2.893895e-07
M05920 9.660822e-08
M05921 -2.602528e-07
M05922 -2.659288e-07
M05923 -6.858287e-08
M05924 1.881699e-07
M05925 1.362584e-07
M05926 2.157003e-08
M05927 -3.710584e-07
M05928 -1.196436e-07
M05929 1.191743e-07
M05930 2.557695e-07
M05931 -1.512223e-07
M05932 -1.454683e-07
M05933 4.843572e-07
M05934 -1.512370e-07
M05935 4.214974e-07
M05936 4.444376e-07
M05937 -7.412025e-08
M05938 4.274548e-07
M05939 3.077005e-07
M05940 -3.175575e-07
M05941 -1.779711e-07
M05942 2.474176e-07
M05943 5.465963e-08
M05944 -1.154541e-07
M05945 1.540393e-07
M05946 4.477830e-07
M05947 2.777108e-07
M05948 -1.699945e-07
M05949 -6.223432e-08
M05950 2.343195e-08
M05951 2.231667e-19
M05952 6.576343e-08
M05953 -4.354189e-09
M05954 6.757866e-07
M05955 1.651549e-07
M05956 -3.383120e-08
M05957 -3.868009e-07
M05958 7.040845e-08
M05959 1.743504e-07
M05960 1.699135e-07
M05961 -2.231667e-19
M05962 -3.849353e-07
M05963 -4.532613e-07
M05964 3.935913e-07
M05965 -1.369164e-07
M05966 2.231667e-19
M05967 4.678814e-07
M05968 -4.665501e-08
M05969 4.000592e-07
M05970 -3.935824e-07
M05971 4.232739e-07
M05972 2.678840e-08
M05973 -3.323852e-07
M05974 -3.706031e-07
M05975 3.805551e-07
M05976 -3.087755e-07
M05977 6.094271e-08
M05978 -7.209229e-07
M05979 -1.037763e-08
M05980 -1.206851e-07
M05981 -7.576441e-07
M05982 -9.079150e-08
M05983 3.817152e-07
M05984 4.170260e-08
M05985 7.766091e-08
M05986 4.113540e-07
M05987 3.667348e-08
M05988 4.804614e-08
M05989 -1.295564e-08
M05990 -6.485378e-08
M05991 -4.739274e-08
M05992 -1.502790e-07
M05993 -1.295564e-08
M05994 -2.245409e-07
M05995 -1.162532e-07
M05996 -1.206851e-07
M05997 -3.423576e-07
M05998 -3.090281e-07
M05999 -4.154036e-07
M06000 4.385875e-07
M06001 -4.889030e-07
M06002 2.638791e-07
M06003 -4.275071e-07
M06004 -4.475657e-07
M06005 4.246837e-07
M06006 -2.485371e-07
M06007 -8.280597e-08
M06008 2.926135e-07
M06009 6.450480e-08
M06010 1.354572e-08
M06011 3.124798e-07
M06012 4.223466e-08
M06013 4.065112e-07
M06014 -9.786276e-08
M06015 5.111156e-08
M06016 -7.143768e-07
M06017 4.782029e-08
M06018 -9.803718e-09
M06019 2.530298e-07
M06020 9.095961e-08
M06021 -2.996895e-07
M06022 -2.575561e-07
M06023 -6.187774e-07
M06024 -8.233977e-07
M06025 -1.711914e-07
M06026 7.626392e-07
M06027 -6.249195e-08
M06028 -5.821565e-07
M06029 9.188387e-08
M06030 -2.273105e-07
M06031 2.250123e-07
M06032 -1.904454e-07
M06033 -2.922926e-07
M06034 -3.771595e-07
M06035 -2.153191e-07
M06036 -1.158040e-07
M06037 -1.890401e-07
M06038 -5.154647e-07
M06039 3.655644e-08
M06040 -2.133557e-07
M06041 5.150374e-07
M06042 4.155725e-07
M06043 1.722849e-07
M06044 -4.069443e-08
M06045 2.377672e-07
M06046 -7.215075e-08
M06047 1.744099e-07
M06048 -3.059438e-07
M06049 -2.247613e-07
M06050 -4.482908e-07
M06051 -8.864246e-07
M06052 -3.835758e-08
M06053 -1.763850e-07
M06054 -3.648061e-08
M06055 -3.191929e-07
M06056 5.806679e-08
M06057 -2.231667e-19
M06058 -1.577258e-07
M06059 -1.657712e-08
M06060 7.541580e-07
M06061 -3.476243e-08
M06062 -4.221334e-08
M06063 -2.739955e-08
M06064 2.268136e-07
M06065 -2.332989e-08
M06066 2.891627e-08
M06067 8.937915e-08
M06068 3.310837e-07
M06069 3.423975e-07
M06070 -1.754819e-07
M06071 2.467040e-07
M06072 -3.220505e-07
M06073 1.658575e-07
M06074 -3.138015e-07
M06075 6.070832e-08
M06076 -6.981171e-08
M06077 -2.041417e-07
M06078 2.069193e-07
M06079 3.305434e-07
M06080 -3.863271e-07
M06081 1.462508e-08
M06082 2.696080e-07
M06083 -1.743743e-07
M06084 1.012493e-07
M06085 3.531043e-07
M06086 -1.163766e-07
M06087 3.055929e-07
M06088 -3.475031e-07
M06089 8.985970e-08
M06090 -5.182311e-07
M06091 -1.872375e-07
M06092 -6.239139e-08
M06093 -3.209898e-07
M06094 2.377672e-07
M06095 2.310263e-07
M06096 -1.220833e-07
M06097 8.054898e-08
M06098 2.100318e-07
M06099 1.885588e-07
M06100 -1.281274e-08
M06101 -9.288905e-08
M06102 2.216870e-07
M06103 -1.141773e-07
M06104 2.231792e-07
M06105 -4.888569e-07
M06106 1.736620e-07
M06107 1.217539e-07
M06108 -2.291387e-07
M06109 -1.455172e-07
M06110 -4.052742e-07
M06111 3.061918e-07
M06112 6.982139e-08
M06113 -2.921503e-07
M06114 1.626296e-07
M06115 -2.310263e-07
M06116 2.571774e-07
M06117 1.038450e-07
M06118 -1.751987e-07
M06119 1.973910e-07
M06120 3.884983e-07
M06121 -1.534676e-07
M06122 -2.630824e-07
M06123 -6.653662e-07
M06124 -1.119385e-07
M06125 -9.038271e-08
M06126 -7.647568e-08
M06127 -8.614204e-08
M06128 2.121738e-07
M06129 -7.534650e-08
M06130 -3.904975e-07
M06131 5.182605e-07
M06132 2.174146e-07
M06133 5.078754e-08
M06134 -8.670817e-07
M06135 2.191018e-07
M06136 -6.885549e-08
M06137 -1.204738e-07
M06138 7.795944e-08
M06139 8.176617e-08
M06140 -4.568730e-07
M06141 -1.082072e-07
M06142 -2.776367e-07
M06143 1.722849e-07
M06144 2.104416e-07
M06145 1.186084e-07
M06146 1.552775e-07
M06147 1.742322e-07
M06148 -2.208763e-07
M06149 3.960890e-08
M06150 3.082089e-07
M06151 -3.072539e-07
M06152 7.896436e-08
M06153 2.432590e-07
M06154 -1.419167e-07
M06155 5.635157e-08
M06156 -4.895351e-07
M06157 -1.833542e-07
M06158 1.377713e-07
M06159 2.386866e-07
M06160 -4.930010e-07
M06161 2.607231e-07
M06162 -5.454685e-08
M06163 -8.360467e-07
M06164 6.981171e-08
M06165 4.861017e-07
M06166 1.058780e-07
M06167 -6.249552e-08
M06168 -5.960457e-08
M06169 2.186505e-07
M06170 -8.156997e-07
M06171 3.177753e-07
M06172 5.958528e-07
M06173 -5.109361e-07
M06174 -5.350181e-07
M06175 2.335967e-07
M06176 4.212740e-09
M06177 -3.101717e-07
M06178 -1.896171e-07
M06179 4.827939e-07
M06180 -3.238352e-07
M06181 7.765415e-09
M06182 -1.096554e-07
M06183 -4.254451e-07
M06184 1.287612e-07
M06185 -1.241511e-07
M06186 1.993017e-07
M06187 -1.845601e-07
M06188 -1.742650e-07
M06189 -1.517727e-07
M06190 3.158010e-07
M06191 -5.854683e-08
M06192 1.698436e-07
M06193 -2.762042e-07
M06194 4.675761e-07
M06195 7.157105e-07
M06196 -4.082378e-08
M06197 -7.960524e-08
M06198 -3.611626e-08
M06199 4.599307e-07
M06200 -2.239198e-07
M06201 2.666336e-08
M06202 1.436055e-07
M06203 4.593230e-07
M06204 3.641418e-08
M06205 -2.823878e-07
M06206 -4.382766e-07
M06207 -1.357852e-07
M06208 4.054237e-08
M06209 5.885907e-07
M06210 -3.137489e-07
M06211 -4.292286e-07
M06212 -8.277054e-08
M06213 -2.566021e-07
M06214 7.917242e-08
M06215 4.110622e-07
M06216 -3.747081e-07
M06217 3.753778e-07
M06218 1.028255e-07
M06219 2.760258e-07
M06220 -3.565529e-07
M06221 3.980995e-08
M06222 -2.998370e-07
M06223 1.016604e-10
M06224 1.374368e-07
M06225 -3.374236e-07
M06226 1.818778e-07
M06227 -1.049424e-07
M06228 9.438452e-08
M06229 -3.498363e-07
M06230 6.181276e-09
M06231 -2.712506e-07
M06232 6.436938e-08
M06233 6.638653e-07
M06234 3.839128e-07
M06235 9.708465e-07
M06236 7.470358e-08
M06237 1.218247e-08
M06238 5.984969e-07
M06239 -2.838723e-07
M06240 2.830711e-08
M06241 -2.231667e-19
M06242 -5.189726e-07
M06243 4.820054e-07
M06244 2.105627e-07
M06245 2.231667e-19
M06246 -9.708465e-07
M06247 -1.597748e-07
M06248 2.657642e-07
M06249 -1.597246e-07
M06250 6.069926e-07
M06251 -2.570199e-07
M06252 -2.762042e-07
M06253 -1.229057e-08
M06254 -2.231667e-19
M06255 2.377672e-07
M06256 -2.074720e-08
M06257 -1.077597e-07
M06258 -1.138821e-07
M06259 6.285303e-08
M06260 9.773799e-08
M06261 2.132721e-07
M06262 -1.880607e-07
M06263 4.221197e-08
M06264 2.450676e-07
M06265 3.763855e-08
M06266 -3.960890e-08
M06267 -2.747993e-07
M06268 4.238326e-08
M06269 -1.989187e-07
M06270 3.177753e-07
M06271 -1.818778e-07
M06272 5.297040e-08
M06273 -1.336330e-07
M06274 1.498347e-07
M06275 2.905731e-07
M06276 2.516925e-07
M06277 9.661847e-08
M06278 -3.303640e-07
M06279 1.839836e-08
M06280 5.007337e-07
M06281 9.947641e-08
M06282 -8.847455e-08
M06283 1.839957e-07
M06284 -2.136938e-07
M06285 1.059999e-07
M06286 -1.335284e-08
M06287 -6.573519e-08
M06288 2.830711e-08
M06289 -1.001961e-08
M06290 -2.525705e-07
M06291 -1.457501e-07
M06292 -4.472568e-07
M06293 7.971456e-08
M06294 9.197027e-08
M06295 1.080629e-08
M06296 5.450425e-08
M06297 5.828784e-07
M06298 8.713960e-08
M06299 3.220505e-07
M06300 -1.104605e-07
M06301 2.043120e-07
M06302 -1.252029e-07
M06303 -4.200110e-07
M06304 3.378045e-07
M06305 4.357936e-07
M06306 8.864246e-07
M06307 -4.396711e-08
M06308 4.820966e-07
M06309 -2.973895e-07
M06310 -2.231667e-19
M06311 4.636574e-07
M06312 -7.392504e-08
M06313 -2.744952e-07
M06314 -3.553256e-07
M06315 3.833681e-08
M06316 2.056816e-07
M06317 -2.357532e-07
M06318 2.421817e-07
M06319 -2.231667e-19
M06320 -1.120826e-07
M06321 -2.153191e-07
M06322 -2.484225e-07
M06323 2.265968e-07
M06324 2.714969e-07
M06325 -2.307263e-07
M06326 7.679179e-08
M06327 -4.238326e-08
M06328 2.393507e-07
M06329 -4.099826e-08
M06330 1.391481e-07
M06331 2.696080e-07
M06332 -1.848818e-07
M06333 -2.429972e-07
M06334 4.473629e-07
M06335 1.080539e-07
M06336 1.539467e-07
M06337 -3.209898e-07
M06338 -9.698116e-08
M06339 2.403176e-07
M06340 -3.230094e-07
M06341 -8.910635e-08
M06342 -4.255124e-08
M06343 -2.151280e-07
M06344 -1.345074e-07
M06345 -1.910845e-07
M06346 -4.054653e-08
M06347 2.947397e-09
M06348 -4.306573e-07
M06349 1.055787e-07
M06350 -1.683778e-07
M06351 7.311345e-09
M06352 5.837957e-07
M06353 -2.565321e-09
M06354 1.052900e-07
M06355 3.912682e-07
M06356 -5.797410e-08
M06357 -1.697440e-07
M06358 -6.151542e-07
M06359 -4.476798e-07
M06360 7.404712e-08
M06361 -6.945052e-09
M06362 4.720880e-07
M06363 1.626296e-07
M06364 -3.415406e-08
M06365 1.022929e-07
M06366 6.906773e-09
M06367 1.084576e-07
M06368 2.631693e-07
M06369 -1.534128e-07
M06370 -6.686519e-10
M06371 -3.220505e-07
M06372 5.278066e-07
M06373 -1.252029e-07
M06374 3.177753e-07
M06375 -2.511442e-07
M06376 1.697440e-07
M06377 -3.445397e-07
M06378 -1.252029e-07
M06379 -1.902609e-07
M06380 -2.231667e-19
M06381 2.887684e-07
M06382 2.120971e-07
M06383 -6.981171e-08
M06384 3.746672e-07
M06385 2.446124e-07
M06386 1.961591e-07
M06387 -5.109324e-07
M06388 -1.622134e-07
M06389 -1.759593e-07
M06390 -1.734564e-07
M06391 2.149822e-07
M06392 -1.490644e-07
M06393 4.105790e-07
M06394 -2.881471e-08
M06395 1.990498e-07
M06396 -2.183336e-07
M06397 5.806679e-08
M06398 -2.929630e-07
M06399 -3.320316e-07
M06400 4.176691e-07
M06401 3.215811e-07
M06402 -3.450522e-07
M06403 -1.807260e-07
M06404 -1.075727e-07
M06405 -2.527470e-07
M06406 -7.834643e-08
M06407 1.965166e-07
M06408 -3.886006e-08
M06409 -2.712911e-07
M06410 -5.821565e-07
M06411 1.800962e-07
M06412 -4.292286e-07
M06413 1.252029e-07
M06414 -5.821565e-07
M06415 7.928258e-08
M06416 1.539467e-07
M06417 1.576481e-07
M06418 2.850289e-07
M06419 3.701522e-08
M06420 -1.205525e-07
M06421 2.326259e-07
M06422 -3.049636e-07
M06423 3.177753e-07
M06424 1.355926e-07
M06425 -8.708092e-08
M06426 -9.390990e-08
M06427 2.720603e-07
M06428 -1.379991e-07
M06429 1.128013e-08
M06430 -1.101031e-07
M06431 -7.353033e-08
M06432 2.346000e-07
M06433 3.960890e-08
M06434 6.121690e-07
M06435 4.656862e-07
M06436 -1.096554e-07
M06437 1.628263e-07
M06438 1.113485e-07
M06439 -1.301566e-07
M06440 -2.065885e-07
M06441 7.739763e-08
M06442 2.564018e-07
M06443 4.446272e-07
M06444 -2.197069e-07
M06445 2.708226e-07
M06446 -8.847455e-08
M06447 1.597246e-07
M06448 2.591588e-07
M06449 -2.739955e-08
M06450 -8.233977e-07
M06451 3.823657e-07
M06452 5.732786e-08
M06453 -2.988225e-08
M06454 1.768913e-07
M06455 -4.519020e-07
M06456 2.948665e-07
M06457 3.315086e-08
M06458 -5.785757e-07
M06459 1.351551e-08
M06460 -7.290158e-07
M06461 2.696080e-07
M06462 -4.060773e-07
M06463 -1.647497e-07
M06464 -9.482412e-08
M06465 -6.004794e-07
M06466 2.259598e-07
M06467 3.272052e-07
M06468 -5.570429e-08
M06469 -2.366209e-07
M06470 -4.428647e-08
M06471 -1.343773e-07
M06472 9.434356e-07
M06473 -4.593230e-07
M06474 3.055929e-07
M06475 5.395605e-07
M06476 -1.698513e-08
M06477 -9.050526e-08
M06478 7.724836e-07
M06479 1.235151e-07
M06480 -9.414576e-08
M06481 9.162340e-07
M06482 8.028692e-09
M06483 2.132743e-07
M06484 -2.267300e-07
M06485 5.543271e-09
M06486 2.744952e-07
M06487 -1.612446e-08
M06488 -2.252198e-07
M06489 4.054653e-08
M06490 5.284840e-07
M06491 -4.493090e-08
M06492 -1.340684e-07
M06493 -4.502897e-07
M06494 -5.703498e-07
M06495 -2.231667e-19
M06496 -4.577240e-08
M06497 1.201074e-07
M06498 -2.117632e-07
M06499 5.944335e-07
M06500 -9.534829e-08
M06501 -1.255229e-07
M06502 -1.839411e-07
M06503 2.394498e-07
M06504 1.023937e-07
M06505 -1.546798e-07
M06506 1.205525e-07
M06507 -2.339896e-07
M06508 1.519811e-07
M06509 -2.534488e-07
M06510 1.049424e-07
M06511 2.976321e-08
M06512 3.374236e-07
M06513 1.749685e-07
M06514 2.626611e-07
M06515 -3.277749e-07
M06516 -1.889551e-07
M06517 -5.785757e-07
M06518 -2.822376e-07
M06519 2.830711e-08
M06520 6.030049e-08
M06521 1.436055e-07
M06522 1.926747e-07
M06523 -5.072140e-08
M06524 2.191018e-07
M06525 -5.276337e-07
M06526 -7.052169e-07
M06527 -3.953224e-07
M06528 1.710157e-07
M06529 -1.069223e-07
M06530 2.393972e-07
M06531 -1.836632e-07
M06532 -1.706783e-07
M06533 -2.043610e-07
M06534 7.747601e-08
M06535 -2.321241e-07
M06536 -6.482795e-08
M06537 4.960617e-08
M06538 -7.834643e-08
M06539 -1.330763e-07
M06540 -1.077597e-07
M06541 5.788961e-08
M06542 1.229057e-08
M06543 7.059234e-07
M06544 -4.740134e-08
M06545 -4.565111e-08
M06546 -5.788961e-08
M06547 6.981171e-08
M06548 -4.342235e-07
M06549 -1.010386e-07
M06550 3.648061e-08
M06551 6.326930e-08
M06552 -1.817342e-07
M06553 2.236469e-07
M06554 -6.686519e-10
M06555 -4.765816e-08
M06556 -4.025366e-07
M06557 -2.339896e-07
M06558 -4.201088e-07
M06559 8.713960e-08
M06560 -4.132128e-07
M06561 -6.788162e-08
M06562 -1.069226e-07
M06563 -7.455629e-08
M06564 -2.294654e-07
M06565 -5.828784e-07
M06566 2.231667e-19
M06567 -7.216969e-08
M06568 -5.964096e-08
M06569 2.503498e-07
M06570 6.736886e-11
M06571 -1.229057e-08
M06572 -1.071253e-07
M06573 1.280660e-07
M06574 -2.100318e-07
M06575 2.016923e-07
M06576 7.679179e-08
M06577 1.257539e-07
M06578 2.246203e-07
M06579 2.657497e-07
M06580 -3.632314e-09
M06581 -3.378911e-07
M06582 7.583933e-09
M06583 -1.055717e-07
M06584 1.007384e-07
M06585 1.742098e-07
M06586 2.467339e-08
M06587 1.095134e-07
M06588 2.069945e-08
M06589 1.939867e-07
M06590 -2.231667e-19
M06591 -2.094494e-07
M06592 1.614638e-07
M06593 -1.346941e-08
M06594 -5.828784e-07
M06595 3.055929e-07
M06596 -4.114051e-07
M06597 9.166855e-08
M06598 3.581767e-08
M06599 -9.438222e-08
M06600 8.033774e-08
M06601 -7.768150e-08
M06602 -9.647127e-07
M06603 2.252032e-07
M06604 3.134895e-08
M06605 4.599307e-07
M06606 1.663851e-07
M06607 -2.019777e-07
M06608 -4.342543e-08
M06609 4.321226e-08
M06610 -3.623917e-07
M06611 -3.716838e-07
M06612 5.774356e-07
M06613 4.460967e-08
M06614 -5.141361e-08
M06615 4.578182e-07
M06616 -4.192408e-07
M06617 2.696080e-07
M06618 -5.324428e-08
M06619 -2.855605e-08
M06620 -2.309133e-07
M06621 7.093173e-07
M06622 -9.911934e-07
M06623 4.979136e-07
M06624 -2.103252e-07
M06625 -6.601678e-07
M06626 -1.291509e-07
M06627 3.487206e-08
M06628 -2.484405e-07
M06629 -6.175928e-08
M06630 9.558177e-08
M06631 -4.823020e-07
M06632 -6.779251e-08
M06633 2.855691e-08
M06634 -9.600708e-08
M06635 3.656653e-07
M06636 -2.016876e-07
M06637 -6.909323e-09
M06638 4.054838e-08
M06639 -6.015403e-07
M06640 1.025398e-07
M06641 -2.573684e-08
M06642 3.495527e-07
M06643 8.100850e-08
M06644 7.298108e-08
M06645 -6.068378e-07
M06646 -4.673552e-07
M06647 1.366194e-07
M06648 -8.713960e-08
M06649 4.727142e-07
M06650 -3.896906e-07
M06651 -2.654762e-07
M06652 6.836277e-08
M06653 -4.868631e-07
M06654 -4.982956e-08
M06655 -4.054653e-08
M06656 1.570138e-07
M06657 2.490766e-08
M06658 -2.622966e-07
M06659 -1.679836e-07
M06660 -1.412595e-07
M06661 2.231667e-19
M06662 -1.170909e-07
M06663 -7.562187e-07
M06664 3.103177e-07
M06665 5.415490e-08
M06666 -6.112757e-08
M06667 -1.825892e-08
M06668 3.046856e-07
M06669 -3.653691e-07
M06670 -2.210427e-07
M06671 7.030209e-07
M06672 -2.600927e-07
M06673 6.960560e-08
M06674 -9.333213e-08
M06675 1.802715e-08
M06676 1.320963e-07
M06677 2.375543e-07
M06678 1.879467e-07
M06679 -4.388732e-07
M06680 -3.076185e-07
M06681 -2.208763e-07
M06682 -4.952571e-09
M06683 -1.571169e-07
M06684 -6.920007e-08
M06685 -2.825586e-07
M06686 -4.255124e-08
M06687 4.524966e-08
M06688 4.054653e-08
M06689 1.815201e-07
M06690 -3.469380e-07
M06691 -3.741298e-07
M06692 -1.102574e-07
M06693 -2.762042e-07
M06694 2.750658e-07
M06695 2.708402e-08
M06696 -5.112704e-07
M06697 -2.830711e-08
M06698 -3.880989e-08
M06699 -5.273164e-08
M06700 -2.041188e-07
M06701 9.667311e-08
M06702 5.078754e-08
M06703 7.672104e-08
M06704 1.141772e-07
M06705 6.592152e-10
M06706 8.507523e-08
M06707 8.033774e-08
M06708 2.138903e-07
M06709 2.231667e-19
M06710 -2.826436e-07
M06711 1.631746e-08
M06712 2.413489e-07
M06713 -5.806679e-08
M06714 -4.611096e-07
M06715 1.090118e-07
M06716 -6.487513e-07
M06717 -3.294164e-07
M06718 -3.225069e-07
M06719 1.546875e-07
M06720 1.238752e-07
M06721 1.769852e-07
M06722 2.220215e-07
M06723 -1.516291e-07
M06724 -1.690616e-08
M06725 3.603637e-07
M06726 -1.456606e-07
M06727 1.084314e-07
M06728 -2.529679e-07
M06729 3.757396e-07
M06730 8.727592e-07
M06731 -4.072067e-07
M06732 -3.349787e-07
M06733 -1.110980e-07
M06734 -2.339896e-07
M06735 -1.291509e-07
M06736 -3.626433e-08
M06737 3.166217e-07
M06738 1.751670e-07
M06739 6.115490e-08
M06740 -2.107670e-07
M06741 -7.154300e-07
M06742 -5.815347e-07
M06743 3.206988e-07
M06744 -4.192408e-07
M06745 2.231667e-19
M06746 -2.977714e-07
M06747 -7.532121e-07
M06748 -2.396742e-07
M06749 -2.295511e-07
M06750 1.100961e-07
M06751 2.032752e-07
M06752 -1.490644e-07
M06753 6.528260e-08
M06754 3.227876e-07
M06755 2.623655e-08
M06756 -7.004263e-08
M06757 -4.641157e-07
M06758 -1.884617e-07
M06759 1.708832e-07
M06760 -1.762643e-07
M06761 -1.511996e-07
M06762 7.724836e-07
M06763 4.271231e-07
M06764 9.546647e-09
M06765 8.836872e-07
M06766 1.016785e-07
M06767 6.706062e-08
M06768 -1.503279e-07
M06769 -8.985485e-08
M06770 5.568161e-07
M06771 5.131360e-07
M06772 7.768150e-08
M06773 -5.785757e-07
M06774 5.380027e-07
M06775 9.517394e-08
M06776 -2.328862e-07
M06777 1.989767e-07
M06778 -1.889921e-07
M06779 -1.517061e-08
M06780 -6.175928e-08
M06781 1.593517e-07
M06782 2.665031e-07
M06783 -5.703498e-07
M06784 -2.057384e-07
M06785 -4.410739e-07
M06786 3.046856e-07
M06787 -3.847665e-07
M06788 9.773799e-08
M06789 -2.700168e-07
M06790 -1.252029e-07
M06791 8.755362e-08
M06792 -2.830711e-08
M06793 2.861570e-07
M06794 8.590639e-07
M06795 8.031182e-08
M06796 2.471597e-07
M06797 9.911934e-07
M06798 -5.622601e-08
M06799 -7.876876e-08
M06800 2.790718e-07
M06801 -2.221860e-07
M06802 8.881976e-08
M06803 -4.013405e-07
M06804 8.023755e-08
M06805 7.338111e-07
M06806 -3.227876e-07
M06807 6.948898e-08
M06808 -1.391813e-07
M06809 -2.024052e-07
M06810 -1.839199e-07
M06811 -1.486173e-09
M06812 -3.469380e-07
M06813 -5.032230e-07
M06814 -1.519811e-07
M06815 1.511996e-07
M06816 5.821565e-07
M06817 1.416866e-07
M06818 1.038093e-07
M06819 2.339597e-07
M06820 -5.480118e-07
M06821 1.503349e-07
M06822 -1.386911e-07
M06823 -8.152995e-08
M06824 -2.625280e-07
M06825 -1.884617e-07
M06826 -4.880462e-07
M06827 -2.666336e-08
M06828 -7.841672e-08
M06829 6.731120e-09
M06830 5.460194e-08
M06831 -5.177719e-07
M06832 3.759226e-07
M06833 2.575156e-08
M06834 -3.482265e-07
M06835 3.808444e-07
M06836 2.231667e-19
M06837 6.731120e-09
M06838 4.723441e-07
M06839 3.440742e-07
M06840 4.341403e-07
M06841 -2.000781e-08
M06842 1.146673e-07
M06843 -6.592629e-09
M06844 2.535347e-09
M06845 -5.240518e-09
M06846 2.231667e-19
M06847 2.231667e-19
M06848 -3.044327e-08
M06849 -1.863829e-07
M06850 -2.187636e-08
M06851 -5.597351e-08
M06852 6.372921e-08
M06853 6.064542e-08
M06854 -2.231667e-19
M06855 -2.231667e-19
M06856 2.231667e-19
M06857 2.231667e-19
M06858 -7.087379e-08
M06859 2.231667e-19
M06860 -2.303128e-07
M06861 -4.555842e-07
M06862 -3.353055e-07
M06863 2.231667e-19
M06864 8.233883e-08
M06865 -2.283991e-07
M06866 -2.231667e-19
M06867 -2.231667e-19
M06868 1.141652e-08
M06869 -2.621472e-07
M06870 -2.231667e-19
M06871 -2.141029e-07
M06872 -2.262649e-08
M06873 2.231667e-19
M06874 -7.499997e-08
M06875 3.118646e-07
M06876 1.347023e-07
M06877 -1.714645e-07
M06878 -7.686226e-07
M06879 2.231667e-19
M06880 -2.777800e-07
M06881 1.360317e-07
M06882 -2.341352e-08
M06883 -3.053979e-08
M06884 -4.876102e-08
M06885 -2.774155e-08
M06886 -2.231667e-19
M06887 -6.688096e-08
M06888 1.450692e-07
M06889 1.361766e-07
M06890 -1.309739e-07
M06891 -7.333468e-08
M06892 -1.289562e-07
M06893 -2.307742e-08
M06894 2.231667e-19
M06895 3.141438e-08
M06896 -2.631177e-09
M06897 9.408191e-07
M06898 -2.448169e-08
M06899 1.008488e-07
M06900 -5.458468e-07
M06901 9.891334e-09
M06902 2.231667e-19
M06903 1.401578e-08
M06904 -4.723441e-07
M06905 -8.399204e-08
M06906 -3.575842e-08
M06907 -4.027502e-08
M06908 2.773453e-07
M06909 -3.757315e-07
M06910 -1.229772e-07
M06911 4.013294e-07
M06912 -5.004910e-08
M06913 -1.344318e-07
M06914 -1.124189e-07
M06915 7.686226e-07
M06916 -2.231667e-19
M06917 -5.412364e-07
M06918 1.564442e-08
M06919 2.231667e-19
M06920 -1.868744e-09
M06921 2.231667e-19
M06922 1.141652e-08
M06923 1.088032e-07
M06924 -1.588522e-07
M06925 -3.435528e-07
M06926 2.231667e-19
M06927 5.733376e-08
M06928 2.774155e-08
M06929 4.194452e-07
M06930 -2.231667e-19
M06931 -2.159356e-07
M06932 4.017900e-08
M06933 -3.375080e-07
M06934 -1.504282e-07
M06935 1.874472e-08
M06936 -2.231667e-19
M06937 -4.487969e-08
M06938 -2.283304e-08
M06939 -5.391137e-08
M06940 2.231667e-19
M06941 4.190590e-08
M06942 1.534421e-07
M06943 2.231667e-19
M06944 -4.448129e-08
M06945 -2.138939e-07
M06946 -6.878862e-08
M06947 1.943105e-07
M06948 1.453970e-08
M06949 -2.231667e-19
M06950 1.446154e-07
M06951 1.943105e-07
M06952 6.146361e-07
M06953 2.231667e-19
M06954 2.252167e-07
M06955 2.054457e-08
M06956 -1.329644e-07
M06957 -4.722423e-07
M06958 2.231667e-19
M06959 -2.231667e-19
M06960 1.315437e-07
M06961 2.231667e-19
M06962 -2.113765e-07
M06963 9.710236e-08
M06964 2.231667e-19
M06965 1.828073e-10
M06966 1.141652e-08
M06967 -2.231667e-19
M06968 -2.984885e-07
M06969 1.401578e-08
M06970 4.568917e-07
M06971 -2.348464e-07
M06972 -1.920619e-07
M06973 3.815528e-07
M06974 1.733114e-08
M06975 -7.224009e-08
M06976 -2.231667e-19
M06977 1.401578e-08
M06978 -3.771119e-07
M06979 -1.305483e-07
M06980 -2.231667e-19
M06981 -5.011309e-07
M06982 2.867323e-09
M06983 -1.032652e-07
M06984 3.347278e-07
M06985 3.361285e-07
M06986 -6.406488e-08
M06987 2.400221e-10
M06988 1.230850e-07
M06989 -4.998157e-07
M06990 -5.154113e-07
M06991 -2.231667e-19
M06992 2.754228e-07
M06993 2.231667e-19
M06994 2.217019e-07
M06995 7.027433e-07
M06996 -2.231667e-19
M06997 -2.231667e-19
M06998 -5.650168e-07
M06999 -2.231667e-19
M07000 1.141652e-08
M07001 -3.415035e-08
M07002 2.684942e-08
M07003 1.863829e-07
M07004 4.027502e-08
M07005 -4.719339e-08
M07006 -1.750635e-07
M07007 1.868744e-09
M07008 5.143986e-07
M07009 -1.141652e-08
M07010 1.380691e-07
M07011 -6.688096e-08
M07012 2.310753e-07
M07013 -1.514368e-07
M07014 2.231667e-19
M07015 -6.592629e-09
M07016 -5.488019e-08
M07017 2.231667e-19
M07018 1.587677e-07
M07019 2.603624e-07
M07020 2.159356e-07
M07021 2.231667e-19
M07022 1.141652e-08
M07023 -4.329150e-07
M07024 2.344246e-07
M07025 8.592784e-08
M07026 7.812280e-09
M07027 1.189775e-07
M07028 3.866513e-07
M07029 5.489668e-09
M07030 -1.528101e-08
M07031 -2.483730e-08
M07032 -2.278310e-07
M07033 -3.627572e-08
M07034 2.231667e-19
M07035 -2.223629e-08
M07036 -5.004910e-08
M07037 2.235793e-08
M07038 -4.944160e-07
M07039 -5.488019e-08
M07040 1.536939e-07
M07041 1.097114e-09
M07042 -2.231667e-19
M07043 1.634761e-07
M07044 1.908849e-07
M07045 1.143593e-08
M07046 4.440840e-09
M07047 3.129683e-07
M07048 -1.899368e-07
M07049 -1.316363e-09
M07050 -2.231667e-19
M07051 7.797625e-08
M07052 -6.324891e-08
M07053 2.231667e-19
M07054 -2.240798e-07
M07055 1.853293e-08
M07056 2.178889e-07
M07057 -3.378124e-08
M07058 6.990503e-08
M07059 -2.112565e-07
M07060 2.084881e-07
M07061 2.231667e-19
M07062 1.940487e-07
M07063 -1.190762e-09
M07064 -2.420132e-07
M07065 -2.712751e-07
M07066 -1.739669e-07
M07067 2.231667e-19
M07068 -1.562306e-07
M07069 1.614847e-07
M07070 1.315437e-07
M07071 8.462022e-08
M07072 -1.229772e-07
M07073 -5.305595e-07
M07074 -2.051760e-07
M07075 3.396771e-07
M07076 -2.231667e-19
M07077 -7.980748e-08
M07078 -6.406488e-08
M07079 3.645483e-07
M07080 1.474929e-07
M07081 -2.231667e-19
M07082 2.211379e-07
M07083 -2.231667e-19
M07084 2.738491e-07
M07085 -4.440840e-09
M07086 -9.632966e-08
M07087 -2.231667e-19
M07088 -5.681953e-07
M07089 -8.910463e-08
M07090 9.655980e-08
M07091 1.899368e-07
M07092 -4.838044e-07
M07093 1.906811e-07
M07094 -1.360061e-07
M07095 3.295446e-09
M07096 -1.833385e-08
M07097 3.026393e-07
M07098 1.868744e-09
M07099 -2.283304e-08
M07100 -3.575842e-08
M07101 -2.520614e-07
M07102 7.608428e-08
M07103 1.703757e-07
M07104 1.745287e-07
M07105 2.790046e-08
M07106 1.050120e-07
M07107 2.300216e-07
M07108 -1.334879e-07
M07109 -4.136352e-07
M07110 -5.685212e-07
M07111 3.149328e-07
M07112 -2.231667e-19
M07113 -1.468192e-08
M07114 5.784293e-08
M07115 -2.231667e-19
M07116 -3.378124e-08
M07117 -2.231667e-19
M07118 1.559953e-07
M07119 1.464928e-07
M07120 -7.756209e-08
M07121 3.594926e-07
M07122 2.231667e-19
M07123 -2.231667e-19
M07124 -1.784932e-07
M07125 1.141652e-08
M07126 -2.231667e-19
M07127 3.581767e-08
M07128 2.231667e-19
M07129 -1.233137e-07
M07130 -2.231667e-19
M07131 -1.315437e-07
M07132 -4.820092e-08
M07133 -2.231667e-19
M07134 2.442519e-07
M07135 5.306525e-07
M07136 9.540234e-09
M07137 1.600287e-08
M07138 2.231667e-19
M07139 2.231667e-19
M07140 -1.539816e-07
M07141 1.501988e-07
M07142 -1.113259e-07
M07143 -8.233883e-08
M07144 3.569144e-07
M07145 2.231667e-19
M07146 1.286529e-07
M07147 -7.284898e-08
M07148 8.463237e-08
M07149 -2.231667e-19
M07150 -1.943105e-07
M07151 9.573226e-08
M07152 7.641178e-09
M07153 6.678941e-08
M07154 5.597351e-08
M07155 -2.756956e-07
M07156 -1.094600e-07
M07157 1.298946e-07
M07158 -2.231667e-19
M07159 2.417520e-07
M07160 -8.029616e-08
M07161 2.231667e-19
M07162 -1.181190e-07
M07163 -4.396810e-07
M07164 -2.643697e-07
M07165 -1.943386e-07
M07166 3.866467e-08
M07167 2.554763e-07
M07168 -2.561365e-07
M07169 1.543721e-08
M07170 6.599460e-08
M07171 -1.598861e-07
M07172 4.221578e-08
M07173 1.358120e-07
M07174 1.815198e-07
M07175 5.076074e-08
M07176 7.989491e-08
M07177 -2.274616e-07
M07178 -5.507776e-08
M07179 -2.838268e-07
M07180 1.406867e-08
M07181 2.231667e-19
M07182 2.491591e-07
M07183 4.500512e-07
M07184 6.712226e-08
M07185 -1.338988e-07
M07186 -2.269309e-07
M07187 4.359802e-08
M07188 -1.492065e-07
M07189 -6.812743e-08
M07190 2.640722e-08
M07191 2.295177e-07
M07192 -3.822718e-07
M07193 1.436272e-08
M07194 1.054725e-07
M07195 2.780345e-08
M07196 3.440839e-09
M07197 8.086344e-08
M07198 -2.231667e-19
M07199 -2.531201e-07
M07200 1.366289e-08
M07201 -1.681204e-07
M07202 -1.029515e-07
M07203 -4.461081e-07
M07204 2.746176e-07
M07205 4.713572e-07
M07206 3.187066e-07
M07207 9.830466e-08
M07208 2.725312e-07
M07209 -2.816687e-07
M07210 -2.640722e-08
M07211 4.767521e-08
M07212 -2.629888e-07
M07213 -2.679778e-07
M07214 -1.237860e-07
M07215 -7.152216e-08
M07216 -5.911760e-08
M07217 -3.210610e-07
M07218 1.204605e-07
M07219 2.427783e-07
M07220 2.203390e-08
M07221 -8.286365e-08
M07222 1.840256e-08
M07223 -4.732547e-07
M07224 5.507776e-08
M07225 -2.960033e-08
M07226 -3.979549e-07
M07227 -1.652139e-07
M07228 4.776527e-07
M07229 -3.852761e-07
M07230 3.673393e-07
M07231 1.271452e-08
M07232 1.036368e-07
M07233 -4.513823e-07
M07234 -3.225609e-07
M07235 9.917301e-08
M07236 -1.946904e-07
M07237 -2.394771e-07
M07238 -2.826223e-07
M07239 6.519027e-07
M07240 -8.658068e-08
M07241 4.116053e-08
M07242 -1.073081e-08
M07243 4.937375e-07
M07244 -2.641960e-07
M07245 -1.833885e-07
M07246 7.281280e-08
M07247 -2.232532e-07
M07248 1.401618e-07
M07249 -8.761498e-08
M07250 -3.644205e-07
M07251 4.321100e-07
M07252 -2.753885e-07
M07253 2.205980e-07
M07254 5.938033e-08
M07255 5.925693e-07
M07256 7.610762e-08
M07257 -3.742672e-07
M07258 -2.824794e-07
M07259 1.028029e-07
M07260 6.292146e-08
M07261 9.699853e-08
M07262 -7.362768e-08
M07263 -1.543289e-07
M07264 -2.372094e-07
M07265 1.783689e-08
M07266 -1.872065e-07
M07267 -1.866963e-07
M07268 6.229259e-07
M07269 9.548499e-08
M07270 -6.153604e-07
M07271 1.465149e-07
M07272 -1.705466e-07
M07273 -1.168784e-07
M07274 -3.200499e-07
M07275 -4.592636e-07
M07276 7.941579e-10
M07277 -9.632966e-08
M07278 9.338026e-08
M07279 -1.210307e-07
M07280 -2.643697e-07
M07281 -3.060022e-07
M07282 -1.645674e-07
M07283 4.064943e-08
M07284 1.306015e-07
M07285 2.419855e-07
M07286 1.220823e-07
M07287 6.943279e-07
M07288 -5.234891e-09
M07289 2.653655e-07
M07290 -3.102939e-07
M07291 -4.862785e-08
M07292 3.640398e-07
M07293 -1.059105e-07
M07294 4.125190e-08
M07295 -6.047297e-07
M07296 -1.785432e-07
M07297 6.047297e-07
M07298 1.410455e-07
M07299 -5.263678e-07
M07300 -2.392207e-07
M07301 -6.276511e-08
M07302 -1.523014e-07
M07303 1.169048e-07
M07304 4.580163e-07
M07305 7.957797e-08
M07306 1.918168e-07
M07307 -2.427312e-07
M07308 4.226498e-07
M07309 5.522805e-07
M07310 6.360281e-08
M07311 -2.638163e-08
M07312 1.030280e-08
M07313 -2.231667e-19
M07314 3.974690e-08
M07315 1.787350e-07
M07316 5.230173e-08
M07317 -2.960530e-07
M07318 -4.566463e-07
M07319 3.620322e-08
M07320 2.521006e-07
M07321 7.966625e-07
M07322 1.130539e-07
M07323 1.199283e-07
M07324 -7.338792e-08
M07325 1.556354e-08
M07326 -1.785432e-07
M07327 6.000693e-07
M07328 1.659476e-08
M07329 5.929878e-08
M07330 4.445313e-07
M07331 -2.735798e-07
M07332 1.735220e-09
M07333 -3.630456e-07
M07334 -6.812743e-08
M07335 -1.123723e-07
M07336 -1.577956e-07
M07337 -6.472163e-08
M07338 1.262896e-07
M07339 -8.567949e-08
M07340 -5.124173e-07
M07341 -1.985115e-07
M07342 -4.501469e-07
M07343 5.424919e-08
M07344 -2.555080e-07
M07345 -1.064932e-07
M07346 -4.921883e-08
M07347 -2.786492e-07
M07348 4.811303e-07
M07349 2.149258e-07
M07350 3.055427e-07
M07351 9.681356e-08
M07352 4.032736e-07
M07353 -5.834779e-07
M07354 6.076959e-08
M07355 -7.094653e-08
M07356 -2.675430e-08
M07357 2.017249e-07
M07358 -2.619447e-07
M07359 -1.786315e-07
M07360 7.297561e-08
M07361 -2.294175e-07
M07362 -2.277100e-07
M07363 -1.684474e-08
M07364 -1.855507e-07
M07365 1.808234e-07
M07366 4.107773e-07
M07367 -3.431013e-07
M07368 -2.817002e-07
M07369 7.530654e-08
M07370 -1.155357e-07
M07371 2.031209e-08
M07372 -8.334142e-08
M07373 3.487481e-07
M07374 -6.380652e-07
M07375 3.458511e-07
M07376 -5.074961e-07
M07377 -9.082449e-09
M07378 -3.966705e-07
M07379 -5.156714e-07
M07380 1.817258e-07
M07381 2.818421e-07
M07382 1.112391e-07
M07383 3.035314e-08
M07384 1.480786e-07
M07385 -2.697870e-08
M07386 7.265175e-08
M07387 -5.082843e-08
M07388 5.478275e-08
M07389 -1.784363e-07
M07390 -6.740717e-08
M07391 5.031504e-07
M07392 -4.759325e-08
M07393 -3.523505e-07
M07394 2.697870e-08
M07395 -3.986584e-07
M07396 -2.299372e-07
M07397 2.063002e-07
M07398 -1.885459e-08
M07399 -6.225877e-08
M07400 -9.059445e-08
M07401 2.356467e-07
M07402 -2.825252e-08
M07403 -2.934775e-07
M07404 -1.344677e-07
M07405 2.316927e-07
M07406 1.271452e-08
M07407 3.812773e-07
M07408 2.325299e-07
M07409 -6.737968e-08
M07410 6.280377e-07
M07411 -6.760788e-08
M07412 3.331194e-07
M07413 -1.235026e-07
M07414 4.459872e-07
M07415 -1.692215e-07
M07416 -5.319128e-07
M07417 -3.084431e-09
M07418 -1.530473e-07
M07419 -4.665553e-07
M07420 -7.362768e-08
M07421 -1.559975e-08
M07422 -1.329832e-07
M07423 -5.739138e-08
M07424 -2.231667e-19
M07425 3.597995e-08
M07426 -2.883563e-07
M07427 6.060521e-07
M07428 -1.804306e-07
M07429 9.342367e-08
M07430 2.063157e-07
M07431 7.378230e-08
M07432 -1.256589e-07
M07433 -4.759817e-07
M07434 -7.350966e-08
M07435 1.485274e-07
M07436 1.435726e-07
M07437 4.252191e-07
M07438 5.270984e-07
M07439 -2.235732e-07
M07440 -1.351477e-07
M07441 -4.534616e-08
M07442 1.773504e-08
M07443 3.775164e-07
M07444 -8.551586e-08
M07445 -3.032346e-07
M07446 1.849130e-07
M07447 9.609164e-08
M07448 -1.296033e-07
M07449 8.004660e-09
M07450 4.482977e-07
M07451 2.716887e-08
M07452 -1.606471e-07
M07453 -8.944005e-08
M07454 -4.074836e-07
M07455 5.785381e-09
M07456 5.075352e-08
M07457 -2.231667e-19
M07458 -9.699853e-08
M07459 -3.260902e-07
M07460 -8.024083e-08
M07461 -1.691734e-07
M07462 -1.377008e-07
M07463 9.992489e-08
M07464 8.674503e-08
M07465 -3.112064e-07
M07466 1.653291e-07
M07467 1.488698e-07
M07468 -4.359802e-08
M07469 1.606471e-07
M07470 -2.092613e-07
M07471 2.897008e-07
M07472 -4.033439e-07
M07473 8.673562e-08
M07474 -3.371358e-07
M07475 2.195316e-07
M07476 3.666174e-07
M07477 1.007783e-07
M07478 3.837584e-07
M07479 -7.338792e-08
M07480 2.573344e-07
M07481 4.145408e-07
M07482 -3.406497e-07
M07483 3.095736e-08
M07484 1.642720e-07
M07485 -3.691494e-08
M07486 8.779361e-08
M07487 6.057833e-07
M07488 -2.837437e-07
M07489 6.929160e-08
M07490 1.170115e-07
M07491 1.577628e-07
M07492 1.171967e-07
M07493 6.454307e-07
M07494 -2.902555e-07
M07495 5.778373e-08
M07496 2.730156e-07
M07497 -8.658068e-08
M07498 -3.588517e-07
M07499 1.285874e-07
M07500 -8.004660e-09
M07501 3.746506e-07
M07502 -4.016741e-07
M07503 9.632966e-08
M07504 3.511059e-07
M07505 -1.280586e-07
M07506 -7.849486e-09
M07507 1.181976e-07
M07508 -4.572080e-07
M07509 -1.342903e-07
M07510 -1.108490e-07
M07511 3.506703e-07
M07512 -5.976128e-08
M07513 -4.519538e-08
M07514 -4.900878e-08
M07515 -4.359802e-08
M07516 -1.303001e-07
M07517 -2.746176e-07
M07518 4.174931e-08
M07519 -1.436272e-08
M07520 -3.112064e-07
M07521 5.343586e-07
M07522 -3.789007e-07
M07523 5.173441e-07
M07524 3.791739e-07
M07525 9.304421e-08
M07526 9.469390e-08
M07527 -2.601344e-07
M07528 4.471586e-08
M07529 -1.307321e-07
M07530 -2.608400e-07
M07531 -4.006997e-07
M07532 4.340816e-07
M07533 1.036190e-08
M07534 9.072361e-08
M07535 -5.478275e-08
M07536 4.429319e-07
M07537 -5.873170e-08
M07538 2.608134e-10
M07539 2.350005e-07
M07540 2.177508e-07
M07541 -3.318274e-07
M07542 -2.036168e-07
M07543 1.606471e-07
M07544 -7.053667e-08
M07545 -2.421699e-07
M07546 1.764857e-07
M07547 -5.852100e-08
M07548 -2.746176e-07
M07549 -3.391468e-07
M07550 9.956488e-08
M07551 1.586752e-07
M07552 2.731238e-07
M07553 2.824974e-07
M07554 -2.173724e-07
M07555 -7.564157e-08
M07556 -1.885333e-07
M07557 3.809945e-07
M07558 6.571237e-07
M07559 2.369972e-07
M07560 5.347967e-08
M07561 4.233362e-07
M07562 2.597261e-07
M07563 4.471586e-08
M07564 2.394851e-07
M07565 6.104993e-07
M07566 -5.673858e-07
M07567 1.922312e-07
M07568 7.362768e-08
M07569 4.309120e-07
M07570 -2.231667e-19
M07571 -6.032887e-07
M07572 1.121604e-07
M07573 -1.681453e-07
M07574 -4.094217e-07
M07575 -3.025986e-07
M07576 -1.909486e-07
M07577 -2.355375e-07
M07578 -3.103546e-08
M07579 -1.610211e-08
M07580 -6.189996e-07
M07581 3.240521e-07
M07582 -1.478287e-07
M07583 -3.690939e-07
M07584 -2.927095e-07
M07585 1.204605e-07
M07586 4.224987e-07
M07587 -9.739788e-08
M07588 1.310660e-07
M07589 2.573434e-07
M07590 2.049582e-07
M07591 9.632966e-08
M07592 -2.231667e-19
M07593 -1.793689e-07
M07594 2.080793e-07
M07595 2.956987e-07
M07596 1.621651e-07
M07597 2.737974e-07
M07598 3.093336e-07
M07599 3.949573e-07
M07600 -2.231667e-19
M07601 1.125036e-07
M07602 -2.050882e-07
M07603 4.359802e-08
M07604 1.760395e-07
M07605 -2.543709e-07
M07606 -2.558798e-07
M07607 -2.818459e-07
M07608 1.436272e-08
M07609 2.805588e-07
M07610 5.029963e-08
M07611 7.003599e-08
M07612 -3.822718e-07
M07613 -5.746664e-08
M07614 -6.709108e-08
M07615 3.035000e-07
M07616 1.586642e-08
M07617 2.372094e-07
M07618 3.598239e-07
M07619 1.051019e-07
M07620 -5.911760e-08
M07621 -1.691365e-07
M07622 -1.606471e-07
M07623 3.076877e-07
M07624 5.826087e-08
M07625 3.205050e-07
M07626 2.539987e-07
M07627 2.915349e-07
M07628 -1.339774e-07
M07629 5.596423e-08
M07630 4.217638e-07
M07631 -3.491694e-08
M07632 1.735411e-07
M07633 3.333603e-07
M07634 -2.488741e-07
M07635 -7.156054e-09
M07636 3.513874e-07
M07637 -5.394872e-07
M07638 8.419939e-08
M07639 2.753113e-07
M07640 1.611105e-08
M07641 1.099926e-07
M07642 -3.042912e-07
M07643 -1.260746e-07
M07644 -2.609150e-07
M07645 -1.541373e-07
M07646 -2.124506e-07
M07647 2.231667e-19
M07648 -2.525973e-07
M07649 2.418846e-08
M07650 4.183253e-07
M07651 7.688945e-07
M07652 -7.941579e-10
M07653 -9.632966e-08
M07654 -2.589502e-08
M07655 -9.296582e-08
M07656 1.007783e-07
M07657 3.166858e-08
M07658 9.024404e-08
M07659 1.828872e-07
M07660 -1.045215e-08
M07661 -4.364723e-07
M07662 1.535396e-07
M07663 -1.671370e-07
M07664 -1.336115e-07
M07665 -8.311371e-08
M07666 1.184099e-07
M07667 2.231667e-19
M07668 -1.909967e-07
M07669 -4.111677e-07
M07670 1.091435e-07
M07671 -3.068881e-07
M07672 -4.011590e-07
M07673 -2.788349e-07
M07674 2.765475e-07
M07675 5.894623e-07
M07676 6.717502e-08
M07677 7.598899e-08
M07678 -2.848969e-07
M07679 3.165575e-07
M07680 -5.517062e-07
M07681 -7.725922e-08
M07682 -3.269198e-07
M07683 -1.405425e-07
M07684 1.581269e-07
M07685 1.245351e-07
M07686 3.238270e-07
M07687 -2.201036e-07
M07688 -3.987057e-07
M07689 1.280586e-07
M07690 2.653411e-07
M07691 -1.864668e-08
M07692 -1.005003e-07
M07693 -2.391278e-07
M07694 -1.202498e-07
M07695 8.741184e-09
M07696 6.321723e-08
M07697 2.350512e-07
M07698 -4.076951e-07
M07699 -4.895023e-07
M07700 -3.572446e-07
M07701 1.202867e-08
M07702 -2.254245e-07
M07703 -1.502659e-07
M07704 -4.903492e-08
M07705 9.245899e-08
M07706 -1.872065e-07
M07707 3.304601e-07
M07708 -1.108490e-07
M07709 1.872243e-07
M07710 -4.045526e-07
M07711 -1.698004e-07
M07712 5.263929e-07
M07713 3.123971e-07
M07714 -1.583879e-07
M07715 2.757390e-07
M07716 -1.577628e-07
M07717 4.984175e-08
M07718 -3.066052e-07
M07719 -6.225092e-07
M07720 3.965915e-07
M07721 1.619202e-07
M07722 4.206300e-07
M07723 4.408045e-07
M07724 1.328100e-07
M07725 -1.354814e-08
M07726 -1.300824e-07
M07727 2.959601e-08
M07728 2.231667e-19
M07729 -2.490839e-07
M07730 7.183204e-08
M07731 -5.799874e-08
M07732 1.330762e-07
M07733 1.431001e-07
M07734 -1.264146e-07
M07735 -1.312886e-07
M07736 3.221059e-08
M07737 -1.606561e-07
M07738 4.045526e-07
M07739 2.556878e-07
M07740 -1.517716e-07
M07741 8.404428e-08
M07742 4.010949e-07
M07743 -4.258699e-07
M07744 -1.989972e-08
M07745 1.010898e-07
M07746 1.968001e-07
M07747 -1.590871e-07
M07748 2.476912e-07
M07749 2.350512e-07
M07750 8.345710e-09
M07751 -1.747304e-07
M07752 -7.009876e-07
M07753 4.797121e-07
M07754 3.987520e-07
M07755 -2.338844e-07
M07756 -1.963178e-07
M07757 1.436272e-08
M07758 -3.017121e-07
M07759 1.468437e-07
M07760 -1.085181e-07
M07761 3.691494e-08
M07762 -1.273554e-07
M07763 2.844847e-07
M07764 4.375322e-07
M07765 -4.329062e-07
M07766 1.217655e-07
M07767 -3.648434e-07
M07768 3.542720e-07
M07769 -1.336785e-07
M07770 2.231667e-19
M07771 2.435853e-07
M07772 4.542931e-08
M07773 -2.906881e-07
M07774 3.060394e-08
M07775 -7.362768e-08
M07776 7.891168e-07
M07777 -1.037995e-07
M07778 -1.897279e-07
M07779 -6.260276e-08
M07780 3.178311e-08
M07781 -1.175287e-07
M07782 -1.262901e-07
M07783 -2.343511e-07
M07784 -3.498853e-07
M07785 6.762706e-08
M07786 -2.967759e-07
M07787 -5.765149e-07
M07788 -1.918939e-08
M07789 -7.357760e-08
M07790 2.765000e-07
M07791 -1.087462e-07
M07792 -8.339432e-08
M07793 -9.699853e-08
M07794 9.057326e-08
M07795 9.632966e-08
M07796 2.084498e-08
M07797 5.523807e-07
M07798 3.028879e-07
M07799 2.791123e-07
M07800 -3.417005e-07
M07801 -1.990987e-07
M07802 -1.587467e-07
M07803 -1.376481e-07
M07804 -9.270694e-08
M07805 1.580818e-07
M07806 4.947275e-08
M07807 4.593170e-07
M07808 2.964649e-07
M07809 7.003599e-08
M07810 -4.954961e-07
M07811 2.101602e-07
M07812 -8.345710e-09
M07813 -2.122778e-08
M07814 2.160046e-08
M07815 4.965146e-07
M07816 4.136908e-07
M07817 7.692010e-08
M07818 -2.709105e-07
M07819 3.221466e-07
M07820 4.813162e-07
M07821 4.034704e-08
M07822 1.854871e-07
M07823 -5.398798e-07
M07824 -2.975087e-09
M07825 2.433297e-07
M07826 -6.812743e-08
M07827 1.330762e-07
M07828 -1.018366e-07
M07829 4.811498e-08
M07830 -1.498364e-07
M07831 -1.558940e-07
M07832 -9.559588e-08
M07833 -4.827616e-07
M07834 -6.317133e-07
M07835 1.577628e-07
M07836 -9.632966e-08
M07837 2.124369e-07
M07838 2.900414e-07
M07839 -3.146366e-07
M07840 -3.971791e-07
M07841 1.098605e-07
M07842 1.562099e-07
M07843 3.725814e-07
M07844 4.853103e-07
M07845 4.833880e-07
M07846 3.349468e-08
M07847 -2.630464e-07
M07848 -8.269509e-08
M07849 5.257755e-07
M07850 9.698301e-08
M07851 -6.283036e-13
M07852 -2.084498e-08
M07853 -9.784721e-08
M07854 -1.254985e-08
M07855 1.488698e-07
M07856 5.887189e-07
M07857 8.893330e-08
M07858 3.481076e-09
M07859 2.629952e-07
M07860 1.309241e-07
M07861 -3.599290e-08
M07862 -2.557254e-07
M07863 8.521981e-09
M07864 -3.644196e-07
M07865 3.658426e-07
M07866 2.199260e-08
M07867 5.824400e-07
M07868 1.602501e-07
M07869 -2.224270e-07
M07870 -8.554870e-08
M07871 2.608134e-10
M07872 3.640640e-08
M07873 3.302347e-07
M07874 2.699967e-07
M07875 5.601526e-07
M07876 -2.128511e-07
M07877 1.743532e-07
M07878 5.177856e-08
M07879 -7.941579e-10
M07880 1.713480e-07
M07881 -1.932704e-07
M07882 1.171967e-07
M07883 4.835144e-07
M07884 -3.698552e-07
M07885 -1.175287e-07
M07886 -2.820233e-07
M07887 2.987697e-07
M07888 -4.140751e-07
M07889 -4.773627e-07
M07890 -8.735912e-09
M07891 7.425343e-08
M07892 -2.848065e-07
M07893 1.327004e-07
M07894 -2.987229e-07
M07895 3.884105e-07
M07896 -4.137092e-07
M07897 -1.194235e-07
M07898 -1.374228e-07
M07899 -3.041330e-07
M07900 -1.052772e-07
M07901 -8.849263e-08
M07902 -3.173007e-07
M07903 -1.841223e-07
M07904 1.217655e-07
M07905 -2.193908e-07
M07906 -9.082449e-09
M07907 -1.463134e-07
M07908 4.136908e-07
M07909 -3.800018e-07
M07910 -9.501045e-08
M07911 3.923780e-07
M07912 -1.072252e-07
M07913 2.391278e-07
M07914 1.439065e-07
M07915 4.426149e-07
M07916 -1.410455e-07
M07917 1.706716e-08
M07918 3.510259e-07
M07919 -5.826865e-08
M07920 1.621970e-07
M07921 1.319206e-09
M07922 -3.954315e-09
M07923 -4.515640e-07
M07924 2.613086e-07
M07925 -3.225609e-07
M07926 4.125190e-08
M07927 -8.831388e-08
M07928 -2.070819e-07
M07929 -4.189452e-07
M07930 6.812743e-08
M07931 1.658002e-07
M07932 2.024654e-07
M07933 -4.114910e-07
M07934 -9.632966e-08
M07935 -2.818459e-07
M07936 5.325317e-07
M07937 3.166858e-08
M07938 2.798535e-07
M07939 8.735912e-09
M07940 2.271384e-08
M07941 3.128784e-07
M07942 -4.816483e-08
M07943 -3.597459e-07
M07944 -4.461081e-07
M07945 6.726808e-08
M07946 -4.837969e-07
M07947 -2.542073e-07
M07948 -5.195231e-08
M07949 3.259567e-07
M07950 -3.642819e-08
M07951 -5.504042e-08
M07952 1.424146e-07
M07953 -2.379188e-08
M07954 -1.668731e-07
M07955 2.108643e-08
M07956 2.822075e-07
M07957 2.424780e-07
M07958 -9.934731e-08
M07959 7.590579e-08
M07960 -1.320875e-07
M07961 -6.401953e-08
M07962 -9.440127e-08
M07963 3.569612e-07
M07964 3.830421e-07
M07965 5.450090e-07
M07966 -1.886251e-08
M07967 -3.800018e-07
M07968 8.521981e-09
M07969 -6.388981e-07
M07970 -2.146688e-07
M07971 9.168278e-08
M07972 2.911133e-07
M07973 1.727481e-08
M07974 9.653205e-08
M07975 -6.105318e-07
M07976 -2.179932e-07
M07977 3.996760e-07
M07978 1.939514e-07
M07979 4.364723e-07
M07980 -3.225609e-07
M07981 -3.001760e-07
M07982 -7.139320e-08
M07983 -1.191650e-07
M07984 -5.478275e-08
M07985 -3.830986e-07
M07986 -3.059818e-07
M07987 4.026672e-07
M07988 3.385389e-07
M07989 -6.955600e-07
M07990 -1.543646e-07
M07991 1.909724e-07
M07992 -2.561365e-07
M07993 4.027706e-07
M07994 -1.745724e-07
M07995 5.301569e-07
M07996 1.030431e-07
M07997 -3.836313e-08
M07998 3.748397e-08
M07999 1.659476e-08
M08000 5.182127e-07
M08001 2.453864e-09
M08002 1.976155e-07
M08003 -1.517090e-07
M08004 1.124489e-07
M08005 -1.107156e-07
M08006 1.032480e-07
M08007 1.894047e-07
M08008 1.232011e-07
M08009 -4.647435e-07
M08010 -1.645674e-07
M08011 -4.492836e-07
M08012 2.426315e-07
M08013 -2.653411e-07
M08014 3.249809e-07
M08015 9.214786e-12
M08016 -3.515355e-07
M08017 1.046213e-07
M08018 -2.482778e-07
M08019 -3.987558e-07
M08020 2.914747e-07
M08021 4.191426e-08
M08022 -3.429305e-08
M08023 3.076877e-07
M08024 2.066304e-07
M08025 4.322778e-07
M08026 6.156024e-07
M08027 -5.273526e-08
M08028 -9.928050e-08
M08029 -3.862962e-07
M08030 -7.281280e-08
M08031 8.162889e-08
M08032 1.760426e-08
M08033 -1.182646e-07
M08034 3.419381e-07
M08035 3.250911e-07
M08036 -1.764989e-07
M08037 3.902341e-07
M08038 -1.469382e-07
M08039 -3.271277e-07
M08040 -2.719750e-07
M08041 -3.620573e-07
M08042 2.692918e-07
M08043 -2.490214e-08
M08044 3.559336e-08
M08045 3.976894e-08
M08046 -1.606471e-07
M08047 -4.359802e-08
M08048 -6.997920e-08
M08049 8.779361e-08
M08050 2.273323e-07
M08051 2.056272e-08
M08052 3.197836e-07
M08053 -9.548499e-08
M08054 -8.632383e-08
M08055 3.076877e-07
M08056 3.907988e-07
M08057 1.760405e-07
M08058 -7.353238e-08
M08059 -3.750281e-07
M08060 3.341411e-07
M08061 4.191136e-08
M08062 -1.137778e-07
M08063 2.608134e-10
M08064 -3.715384e-07
M08065 -3.492757e-07
M08066 3.759426e-07
M08067 8.781402e-09
M08068 2.145319e-07
M08069 -8.581691e-07
M08070 -2.989808e-07
M08071 -1.830216e-07
M08072 2.231667e-19
M08073 -2.447733e-07
M08074 -3.318229e-08
M08075 2.202660e-07
M08076 -5.424919e-08
M08077 -3.346667e-07
M08078 -2.706922e-07
M08079 2.364678e-07
M08080 3.240521e-07
M08081 1.185100e-07
M08082 -7.024699e-09
M08083 -1.791523e-08
M08084 8.335256e-08
M08085 1.314113e-07
M08086 -2.943720e-07
M08087 -3.385389e-07
M08088 7.362768e-08
M08089 3.640640e-08
M08090 -2.420971e-07
M08091 2.680065e-07
M08092 1.551958e-08
M08093 4.826428e-07
M08094 4.993901e-07
M08095 -9.632966e-08
M08096 -2.426968e-07
M08097 2.424935e-08
M08098 -2.021337e-07
M08099 2.753557e-07
M08100 -4.359802e-08
M08101 -5.234891e-09
M08102 -2.514583e-09
M08103 3.800018e-07
M08104 -1.767356e-07
M08105 2.155634e-07
M08106 -3.258158e-07
M08107 9.554064e-08
M08108 4.472619e-08
M08109 4.948673e-08
M08110 -2.453114e-07
M08111 1.488698e-07
M08112 -1.405628e-08
M08113 -3.301071e-07
M08114 7.350966e-08
M08115 -7.923005e-08
M08116 6.055681e-08
M08117 -3.418154e-07
M08118 6.877425e-08
M08119 5.839843e-07
M08120 1.745077e-07
M08121 2.316365e-07
M08122 2.105174e-07
M08123 -3.701085e-07
M08124 9.632966e-08
M08125 1.750070e-07
M08126 3.004577e-07
M08127 1.924864e-07
M08128 1.318764e-09
M08129 1.798065e-07
M08130 3.887329e-07
M08131 1.934112e-08
M08132 2.213254e-07
M08133 5.544566e-08
M08134 8.004660e-09
M08135 -4.296414e-07
M08136 4.472619e-08
M08137 -1.606471e-07
M08138 2.231667e-19
M08139 1.441121e-07
M08140 2.788349e-07
M08141 9.218970e-09
M08142 -1.399003e-07
M08143 -7.522112e-08
M08144 -6.022281e-08
M08145 -3.847413e-07
M08146 6.184597e-08
M08147 -5.432396e-07
M08148 2.681151e-07
M08149 -1.019428e-07
M08150 -2.640722e-08
M08151 2.203390e-08
M08152 -3.271691e-07
M08153 7.248080e-08
M08154 -2.593371e-07
M08155 -6.538542e-07
M08156 2.123267e-09
M08157 -5.803380e-07
M08158 4.067954e-07
M08159 -1.450885e-08
M08160 3.783286e-07
M08161 9.779490e-08
M08162 1.606471e-07
M08163 -3.173034e-07
M08164 3.487144e-07
M08165 4.026108e-07
M08166 -9.524642e-08
M08167 -7.343996e-08
M08168 -4.769115e-08
M08169 -5.941843e-08
M08170 2.231667e-19
M08171 -3.502280e-07
M08172 -2.426866e-07
M08173 -5.911760e-08
M08174 -2.492841e-07
M08175 -2.078701e-07
M08176 -2.975278e-07
M08177 -6.336622e-07
M08178 1.251832e-07
M08179 -5.741946e-07
M08180 2.805588e-07
M08181 1.396384e-07
M08182 -2.788349e-07
M08183 4.330931e-07
M08184 -3.055427e-07
M08185 -3.119732e-07
M08186 -5.263678e-07
M08187 2.400165e-08
M08188 -5.760164e-07
M08189 -1.572383e-07
M08190 -2.512250e-07
M08191 -1.619417e-07
M08192 7.246962e-08
M08193 1.841041e-07
M08194 5.850606e-07
M08195 3.106840e-07
M08196 -3.452293e-07
M08197 -1.054932e-07
M08198 -2.653411e-07
M08199 -6.882312e-07
M08200 -2.979447e-07
M08201 -1.338988e-07
M08202 -1.278373e-08
M08203 1.815198e-07
M08204 -5.632687e-08
M08205 -3.083465e-07
M08206 1.074785e-07
M08207 4.359802e-08
M08208 -1.024739e-07
M08209 -1.112240e-08
M08210 2.219138e-07
M08211 4.195696e-08
M08212 1.436272e-08
M08213 -5.958496e-07
M08214 6.595365e-07
M08215 1.929381e-07
M08216 3.246274e-08
M08217 -4.340771e-07
M08218 -3.597995e-08
M08219 -2.712111e-07
M08220 -1.960991e-08
M08221 -1.553254e-09
M08222 -3.464715e-08
M08223 1.908314e-07
M08224 2.808436e-07
M08225 2.813189e-07
M08226 3.238270e-07
M08227 -4.453225e-08
M08228 -3.066978e-08
M08229 -1.481475e-07
M08230 -3.671305e-08
M08231 -3.846443e-08
M08232 -2.872786e-07
M08233 1.773883e-07
M08234 1.606471e-07
M08235 -2.231667e-19
M08236 7.832945e-09
M08237 -3.668852e-07
M08238 5.836352e-09
M08239 -4.572080e-07
M08240 8.549192e-08
M08241 8.228461e-08
M08242 -1.332312e-09
M08243 2.285827e-07
M08244 -1.154098e-07
M08245 -1.522948e-07
M08246 1.132865e-07
M08247 -4.768369e-08
M08248 9.206904e-08
M08249 2.142103e-07
M08250 4.737756e-07
M08251 1.201175e-07
M08252 -2.231667e-19
M08253 1.294176e-07
M08254 1.062453e-07
M08255 -2.408482e-07
M08256 2.848975e-07
M08257 -1.129217e-07
M08258 3.185943e-07
M08259 -3.174575e-08
M08260 -3.231386e-08
M08261 3.277441e-07
M08262 1.475966e-07
M08263 1.385681e-07
M08264 2.272144e-07
M08265 2.075048e-07
M08266 3.231386e-08
M08267 1.525348e-07
M08268 5.716345e-08
M08269 -3.676041e-07
M08270 -1.151153e-07
M08271 3.399689e-07
M08272 -1.608411e-07
M08273 -7.895466e-09
M08274 -2.148464e-07
M08275 9.662758e-08
M08276 1.817281e-07
M08277 -3.250529e-07
M08278 1.012353e-08
M08279 1.337355e-07
M08280 -6.265465e-08
M08281 4.890166e-07
M08282 -3.137038e-07
M08283 -5.819826e-07
M08284 5.273164e-08
M08285 1.062453e-07
M08286 7.768150e-08
M08287 -5.231733e-07
M08288 -5.273164e-08
M08289 -1.132703e-07
M08290 2.127260e-07
M08291 9.662758e-08
M08292 2.710238e-07
M08293 -6.162193e-08
M08294 -7.834082e-09
M08295 2.142688e-07
M08296 1.468242e-07
M08297 -1.853058e-07
M08298 6.307538e-08
M08299 -3.692731e-07
M08300 1.853058e-07
M08301 -1.017094e-07
M08302 8.085828e-08
M08303 1.728847e-07
M08304 -8.724489e-08
M08305 2.413964e-07
M08306 -1.785774e-07
M08307 9.554357e-08
M08308 -3.510700e-08
M08309 2.483989e-07
M08310 -2.231667e-19
M08311 2.533987e-07
M08312 2.231667e-19
M08313 -4.553731e-07
M08314 -1.817281e-07
M08315 -3.026625e-07
M08316 3.999374e-07
M08317 1.312355e-07
M08318 -1.578840e-07
M08319 2.748966e-07
M08320 1.933956e-07
M08321 -3.719764e-07
M08322 -1.453973e-07
M08323 2.257844e-07
M08324 -3.242301e-08
M08325 7.282776e-07
M08326 -5.359107e-08
M08327 7.865349e-09
M08328 -1.813326e-08
M08329 -2.104560e-07
M08330 4.339824e-07
M08331 -7.196005e-08
M08332 -2.326334e-07
M08333 -7.281280e-08
M08334 -5.231733e-07
M08335 -2.529121e-07
M08336 2.013394e-07
M08337 2.231667e-19
M08338 -7.394633e-08
M08339 3.352885e-07
M08340 7.194060e-08
M08341 6.838066e-09
M08342 1.804187e-07
M08343 -7.982833e-08
M08344 1.626208e-10
M08345 8.085828e-08
M08346 -2.196699e-07
M08347 -2.231667e-19
M08348 5.090665e-07
M08349 -2.307176e-07
M08350 1.132865e-07
M08351 -3.231386e-08
M08352 6.151157e-09
M08353 -2.659411e-07
M08354 2.852358e-07
M08355 -1.012353e-08
M08356 -2.231667e-19
M08357 3.719764e-07
M08358 2.474940e-07
M08359 2.595343e-07
M08360 1.912948e-07
M08361 2.503738e-07
M08362 6.151157e-09
M08363 3.780083e-08
M08364 -1.652089e-07
M08365 7.988114e-09
M08366 4.344585e-08
M08367 -2.231667e-19
M08368 -2.231667e-19
M08369 -8.084050e-08
M08370 2.231667e-19
M08371 -1.494142e-07
M08372 1.788340e-07
M08373 -1.065179e-07
M08374 -2.486662e-07
M08375 -2.248335e-07
M08376 2.231667e-19
M08377 2.635154e-07
M08378 -8.413778e-08
M08379 5.743822e-07
M08380 -2.231667e-19
M08381 1.866435e-08
M08382 6.920174e-08
M08383 -7.194060e-08
M08384 1.534421e-07
M08385 1.460634e-07
M08386 -7.266529e-08
M08387 1.051756e-07
M08388 -2.646966e-07
M08389 -4.339522e-07
M08390 2.349823e-08
M08391 -2.580068e-07
M08392 -3.327113e-07
M08393 -1.026579e-08
M08394 2.231667e-19
M08395 3.004411e-08
M08396 -3.979979e-08
M08397 -3.168396e-07
M08398 3.330448e-08
M08399 -1.868493e-07
M08400 -3.510700e-08
M08401 1.233114e-08
M08402 -2.331308e-08
M08403 2.483989e-07
M08404 -4.171726e-07
M08405 -2.776847e-07
M08406 3.724770e-07
M08407 1.201175e-07
M08408 -1.708978e-07
M08409 3.316196e-07
M08410 5.665362e-07
M08411 -3.573935e-07
M08412 -4.339522e-07
M08413 5.412274e-08
M08414 -8.015779e-09
M08415 1.817281e-07
M08416 2.231667e-19
M08417 -5.543184e-07
M08418 -2.518148e-07
M08419 3.321956e-08
M08420 -2.070041e-08
M08421 2.529121e-07
M08422 -8.108321e-07
M08423 1.073102e-07
M08424 -2.249217e-07
M08425 1.719443e-07
M08426 1.361822e-07
M08427 1.145868e-08
M08428 7.790441e-08
M08429 1.846049e-07
M08430 8.777820e-08
M08431 2.816909e-07
M08432 -5.712392e-08
M08433 -2.707751e-08
M08434 -1.179398e-07
M08435 -5.120889e-08
M08436 6.037500e-09
M08437 -7.069150e-07
M08438 -1.636651e-07
M08439 -1.061379e-07
M08440 1.209216e-07
M08441 -3.410943e-07
M08442 -2.804489e-08
M08443 7.394633e-08
M08444 3.837464e-07
M08445 -1.912066e-07
M08446 4.114007e-07
M08447 2.529121e-07
M08448 -2.811599e-07
M08449 -7.982833e-08
M08450 -8.948981e-09
M08451 -1.287600e-07
M08452 -5.035741e-09
M08453 1.929102e-07
M08454 7.029565e-08
M08455 -3.980790e-10
M08456 -8.777820e-08
M08457 -7.394633e-08
M08458 -7.108858e-09
M08459 -4.149763e-07
M08460 4.083637e-07
M08461 -2.276397e-07
M08462 9.275645e-08
M08463 -3.849145e-08
M08464 2.231667e-19
M08465 -3.205358e-07
M08466 -3.875232e-07
M08467 2.070041e-08
M08468 1.405700e-07
M08469 1.130937e-07
M08470 -9.435456e-08
M08471 2.538607e-08
M08472 -2.745578e-08
M08473 2.159499e-07
M08474 1.193120e-07
M08475 1.636738e-07
M08476 -3.586916e-07
M08477 1.813029e-07
M08478 1.898557e-07
M08479 -1.737778e-07
M08480 -1.305570e-07
M08481 5.783519e-07
M08482 3.719764e-07
M08483 3.837464e-07
M08484 -7.282776e-07
M08485 -1.416528e-07
M08486 -9.662758e-08
M08487 -5.359107e-08
M08488 -3.702258e-08
M08489 -1.460634e-07
M08490 -5.231733e-07
M08491 -1.190803e-07
M08492 -5.854375e-07
M08493 2.305677e-07
M08494 5.231733e-07
M08495 2.231667e-19
M08496 4.045704e-07
M08497 3.534255e-07
M08498 5.042014e-07
M08499 2.070041e-08
M08500 -3.137805e-08
M08501 2.231667e-19
M08502 -2.273477e-08
M08503 -2.281640e-07
M08504 3.004626e-08
M08505 1.858096e-07
M08506 4.556857e-08
M08507 5.218647e-07
M08508 -2.693454e-08
M08509 4.125278e-07
M08510 2.232628e-07
M08511 -2.172292e-08
M08512 -1.369265e-08
M08513 -4.959482e-07
M08514 -2.036026e-07
M08515 9.415111e-08
M08516 1.587954e-07
M08517 2.231593e-07
M08518 -1.061379e-07
M08519 -1.208972e-07
M08520 -4.875522e-07
M08521 -1.264835e-07
M08522 -1.813029e-07
M08523 1.787651e-07
M08524 2.438597e-07
M08525 -5.114575e-08
M08526 2.342711e-07
M08527 -1.353634e-07
M08528 5.795900e-09
M08529 -1.983760e-07
M08530 1.491846e-07
M08531 3.283164e-07
M08532 1.416528e-07
M08533 2.231667e-19
M08534 1.114091e-07
M08535 -2.231667e-19
M08536 -2.231667e-19
M08537 2.231593e-07
M08538 -1.998935e-07
M08539 -9.857935e-08
M08540 -2.231667e-19
M08541 9.662758e-08
M08542 -9.317624e-08
M08543 -8.993859e-08
M08544 -1.581053e-07
M08545 1.337355e-07
M08546 -1.559626e-07
M08547 2.231667e-19
M08548 3.188949e-07
M08549 -9.468862e-08
M08550 4.679944e-08
M08551 5.386830e-08
M08552 5.507138e-08
M08553 4.397613e-08
M08554 -2.305677e-07
M08555 5.478275e-08
M08556 -1.226598e-07
M08557 -2.369838e-07
M08558 -4.907246e-07
M08559 9.662758e-08
M08560 -2.142103e-07
M08561 -2.483989e-07
M08562 -1.631798e-07
M08563 7.768150e-08
M08564 3.185943e-07
M08565 2.231667e-19
M08566 -2.431520e-07
M08567 2.103342e-07
M08568 -8.572581e-08
M08569 -1.445292e-07
M08570 2.228362e-07
M08571 -1.349656e-07
M08572 1.861418e-07
M08573 -2.231667e-19
M08574 1.458282e-07
M08575 1.201175e-07
M08576 -1.259042e-07
M08577 1.894825e-07
M08578 4.770548e-07
M08579 -1.233114e-08
M08580 8.015779e-09
M08581 7.494384e-08
M08582 8.015779e-09
M08583 1.511970e-07
M08584 3.719764e-07
M08585 2.599681e-08
M08586 -1.447775e-07
M08587 -1.991699e-07
M08588 -3.299004e-09
M08589 1.879928e-08
M08590 7.622343e-08
M08591 -1.192967e-07
M08592 -2.529121e-07
M08593 3.936893e-07
M08594 -5.795900e-09
M08595 2.887014e-07
M08596 -1.069445e-07
M08597 -6.832117e-08
M08598 -1.581018e-07
M08599 -9.167715e-08
M08600 -1.597246e-07
M08601 2.325660e-07
M08602 1.494142e-07
M08603 -2.134073e-07
M08604 -8.084050e-08
M08605 -2.231667e-19
M08606 7.790441e-08
M08607 -1.605908e-07
M08608 -1.061379e-07
M08609 -1.879928e-08
M08610 6.404126e-07
M08611 -4.968307e-07
M08612 -1.533143e-07
M08613 -1.285757e-07
M08614 -6.951683e-10
M08615 -4.666339e-07
M08616 -5.456314e-07
M08617 -3.036058e-07
M08618 -5.078158e-07
M08619 -3.647603e-07
M08620 -6.037371e-07
M08621 -3.533424e-09
M08622 -5.672250e-07
M08623 1.590598e-07
M08624 4.357535e-07
M08625 4.216646e-07
M08626 -7.177273e-09
M08627 2.398815e-07
M08628 3.419500e-08
M08629 8.511034e-08
M08630 3.647603e-07
M08631 4.713691e-07
M08632 -2.231667e-19
M08633 7.651401e-08
M08634 -5.585577e-07
M08635 -7.822846e-08
M08636 -2.431971e-08
M08637 -1.032545e-07
M08638 2.501482e-07
M08639 4.366394e-07
M08640 -1.978938e-07
M08641 -6.009467e-07
M08642 -5.735557e-08
M08643 -2.424845e-08
M08644 -7.854001e-08
M08645 1.783275e-07
M08646 -1.752450e-07
M08647 1.382971e-07
M08648 1.831453e-07
M08649 4.366394e-07
M08650 -1.606056e-07
M08651 7.321850e-07
M08652 2.998504e-07
M08653 -3.653344e-09
M08654 4.580395e-07
M08655 -4.262802e-07
M08656 -5.143089e-08
M08657 -3.602650e-07
M08658 -2.664897e-07
M08659 3.254194e-07
M08660 -2.866789e-07
M08661 2.866023e-07
M08662 -3.246274e-08
M08663 1.843054e-07
M08664 1.365400e-07
M08665 -5.775489e-07
M08666 -1.199937e-07
M08667 9.967675e-08
M08668 -6.443181e-07
M08669 6.284566e-07
M08670 -1.357351e-07
M08671 6.577604e-08
M08672 3.063900e-07
M08673 -2.431971e-08
M08674 -2.501061e-08
M08675 -6.855479e-08
M08676 1.487209e-07
M08677 2.511697e-07
M08678 -7.279783e-08
M08679 2.474611e-07
M08680 -7.597420e-08
M08681 -6.327688e-08
M08682 2.388302e-07
M08683 -7.497737e-07
M08684 2.231667e-19
M08685 2.787507e-07
M08686 1.752450e-07
M08687 -2.725145e-07
M08688 1.291072e-07
M08689 1.818272e-08
M08690 2.350560e-08
M08691 -1.693194e-08
M08692 -6.708790e-08
M08693 -1.544384e-07
M08694 -1.770230e-07
M08695 1.853529e-07
M08696 -1.541597e-07
M08697 2.165055e-08
M08698 -3.694223e-08
M08699 1.832486e-07
M08700 -5.663247e-07
M08701 1.576485e-07
M08702 -1.182062e-07
M08703 1.393146e-07
M08704 1.590706e-07
M08705 3.799379e-07
M08706 -8.685079e-08
M08707 6.619660e-07
M08708 -1.752450e-07
M08709 2.377998e-07
M08710 -3.627572e-08
M08711 -4.743479e-07
M08712 1.780846e-09
M08713 1.663224e-07
M08714 -1.100539e-07
M08715 5.752526e-07
M08716 -1.237997e-07
M08717 2.706370e-07
M08718 -1.573520e-07
M08719 9.088085e-08
M08720 2.994913e-07
M08721 1.412905e-07
M08722 -5.929472e-07
M08723 -5.104238e-07
M08724 1.880325e-08
M08725 -1.341008e-07
M08726 -1.877751e-07
M08727 -7.011795e-08
M08728 8.931193e-08
M08729 1.840256e-08
M08730 4.042587e-07
M08731 -3.376114e-08
M08732 1.132865e-07
M08733 1.590706e-07
M08734 8.821629e-08
M08735 -4.068980e-07
M08736 6.901627e-07
M08737 6.593032e-07
M08738 -3.681684e-07
M08739 2.231667e-19
M08740 2.636582e-08
M08741 -1.813616e-07
M08742 -3.215088e-07
M08743 6.756770e-07
M08744 -3.662389e-07
M08745 6.708790e-08
M08746 -6.458620e-07
M08747 -2.823794e-07
M08748 -1.049168e-07
M08749 -2.089496e-07
M08750 9.737613e-08
M08751 -1.594560e-07
M08752 2.646675e-07
M08753 3.489068e-07
M08754 -4.590419e-07
M08755 1.828407e-07
M08756 -1.428599e-07
M08757 1.983599e-08
M08758 1.439705e-08
M08759 2.259463e-07
M08760 -6.123880e-07
M08761 -3.154801e-07
M08762 9.929151e-08
M08763 1.896242e-08
M08764 1.191944e-07
M08765 5.793306e-07
M08766 -4.320851e-08
M08767 -6.335329e-08
M08768 4.301643e-07
M08769 -2.088242e-08
M08770 -1.915226e-07
M08771 1.488827e-07
M08772 1.196264e-07
M08773 4.493602e-07
M08774 -1.905386e-07
M08775 -1.621974e-07
M08776 -3.929993e-07
M08777 5.456314e-07
M08778 -9.690818e-08
M08779 2.452314e-07
M08780 2.146369e-08
M08781 -1.230030e-07
M08782 5.757068e-07
M08783 4.131041e-07
M08784 1.179986e-07
M08785 -3.246274e-08
M08786 -6.357955e-08
M08787 -5.993310e-07
M08788 -3.309671e-07
M08789 5.979228e-08
M08790 2.505888e-08
M08791 -7.579272e-07
M08792 1.541752e-07
M08793 -2.411333e-07
M08794 5.763481e-07
M08795 7.925038e-07
M08796 6.951683e-10
M08797 -4.850977e-07
M08798 3.242141e-08
M08799 8.003479e-08
M08800 -6.391114e-07
M08801 -6.110977e-07
M08802 -2.350560e-08
M08803 1.269921e-07
M08804 5.405962e-07
M08805 1.881985e-07
M08806 3.309671e-07
M08807 9.530585e-08
M08808 2.401026e-07
M08809 -2.088242e-08
M08810 -5.264901e-07
M08811 -7.167521e-08
M08812 4.366394e-07
M08813 -8.160641e-08
M08814 1.712226e-07
M08815 1.944271e-07
M08816 1.620842e-07
M08817 1.694775e-07
M08818 1.364197e-07
M08819 -4.201093e-09
M08820 3.097533e-08
M08821 -1.384959e-07
M08822 1.207020e-07
M08823 1.509064e-08
M08824 9.544803e-08
M08825 -1.488827e-07
M08826 3.377960e-08
M08827 5.779373e-07
M08828 3.242141e-08
M08829 1.375349e-07
M08830 -5.030031e-07
M08831 -4.126037e-07
M08832 -2.744259e-07
M08833 2.231667e-19
M08834 1.479178e-07
M08835 1.689878e-07
M08836 5.982159e-07
M08837 -2.231667e-19
M08838 1.733925e-07
M08839 1.442304e-07
M08840 4.266009e-07
M08841 2.107800e-07
M08842 -3.737699e-08
M08843 9.922137e-08
M08844 -3.242141e-08
M08845 9.710933e-08
M08846 7.993614e-07
M08847 -7.143880e-07
M08848 2.231667e-19
M08849 -2.917221e-07
M08850 1.403157e-07
M08851 6.730886e-07
M08852 1.449244e-07
M08853 -2.227706e-08
M08854 2.231667e-19
M08855 -6.812393e-07
M08856 -1.103269e-07
M08857 3.796707e-07
M08858 -5.601293e-07
M08859 -2.231667e-19
M08860 -1.985699e-08
M08861 -7.603075e-07
M08862 1.669694e-08
M08863 -8.169016e-08
M08864 -1.237997e-07
M08865 2.231667e-19
M08866 -4.028034e-09
M08867 6.179950e-07
M08868 7.312301e-08
M08869 7.750334e-08
M08870 3.612321e-07
M08871 4.186375e-07
M08872 -1.328706e-07
M08873 7.119843e-08
M08874 -3.358678e-07
M08875 -2.419385e-07
M08876 7.281280e-08
M08877 5.075291e-08
M08878 2.231667e-19
M08879 1.119313e-07
M08880 6.003412e-08
M08881 -4.764221e-07
M08882 -1.076660e-07
M08883 -1.161677e-07
M08884 3.366581e-07
M08885 -2.231667e-19
M08886 -9.526131e-08
M08887 -9.576246e-08
M08888 8.018600e-08
M08889 -1.036198e-07
M08890 1.811290e-08
M08891 9.737613e-08
M08892 -1.713993e-07
M08893 -1.037997e-07
M08894 -4.644351e-07
M08895 -2.823794e-07
M08896 3.544147e-07
M08897 -2.231667e-19
M08898 1.006591e-07
M08899 -8.003479e-08
M08900 4.569443e-07
M08901 -4.713691e-07
M08902 1.266492e-07
M08903 -4.493660e-08
M08904 1.396733e-07
M08905 7.894862e-07
M08906 4.434942e-07
M08907 -6.021541e-08
M08908 5.995973e-08
M08909 -7.350233e-07
M08910 -4.398252e-07
M08911 9.710933e-08
M08912 1.488827e-07
M08913 2.231667e-19
M08914 -2.725145e-07
M08915 9.780601e-08
M08916 -3.366581e-07
M08917 -7.101696e-07
M08918 3.594095e-08
M08919 -1.479178e-07
M08920 -1.302687e-07
M08921 -5.298378e-07
M08922 2.882269e-07
M08923 8.873898e-08
M08924 -1.819302e-07
M08925 1.808791e-07
M08926 4.773374e-07
M08927 -5.673441e-07
M08928 3.024604e-07
M08929 1.308657e-08
M08930 3.405624e-08
M08931 3.538974e-08
M08932 2.679919e-07
M08933 1.620905e-08
M08934 -3.721416e-07
M08935 -1.488827e-07
M08936 1.328706e-07
M08937 4.814663e-07
M08938 2.877638e-08
M08939 -5.673441e-07
M08940 8.237035e-08
M08941 -1.006641e-08
M08942 -1.291072e-07
M08943 4.743479e-07
M08944 1.975706e-07
M08945 -1.775293e-07
M08946 5.082986e-08
M08947 2.332062e-07
M08948 5.300670e-07
M08949 1.337018e-07
M08950 -2.239727e-07
M08951 1.605153e-07
M08952 1.612349e-07
M08953 2.415493e-07
M08954 5.152849e-07
M08955 -6.574407e-08
M08956 -4.159761e-08
M08957 -1.590706e-07
M08958 -6.284317e-07
M08959 4.513556e-07
M08960 -8.054159e-08
M08961 -1.847850e-07
M08962 -8.270263e-07
M08963 3.534814e-08
M08964 1.470534e-07
M08965 -5.174962e-08
M08966 -4.817501e-07
M08967 -2.532955e-07
M08968 5.322060e-07
M08969 -1.295840e-07
M08970 -1.270565e-07
M08971 -2.249336e-07
M08972 -1.266492e-07
M08973 2.061198e-07
M08974 5.269560e-07
M08975 -4.820228e-08
M08976 -9.691580e-09
M08977 1.833385e-08
M08978 6.956350e-07
M08979 2.887561e-07
M08980 -4.569323e-07
M08981 -4.493660e-08
M08982 4.212740e-09
M08983 -2.866789e-07
M08984 -2.986530e-07
M08985 -5.300670e-07
M08986 -3.125376e-07
M08987 1.888067e-08
M08988 -1.365400e-07
M08989 5.116903e-08
M08990 -5.056891e-07
M08991 2.744259e-07
M08992 4.991810e-08
M08993 -1.300091e-07
M08994 1.297156e-08
M08995 1.161677e-07
M08996 6.089661e-07
M08997 1.509064e-08
M08998 -2.713276e-08
M08999 -2.816647e-07
M09000 -4.985373e-07
M09001 -1.761609e-07
M09002 -4.739014e-07
M09003 7.330410e-07
M09004 -4.230459e-07
M09005 9.419157e-08
M09006 -6.310686e-07
M09007 -5.968794e-08
M09008 4.027330e-08
M09009 1.144677e-07
M09010 3.922948e-07
M09011 -6.110977e-07
M09012 9.967675e-08
M09013 1.139071e-08
M09014 -9.039498e-08
M09015 -2.231667e-19
M09016 -1.605758e-07
M09017 -4.513556e-07
M09018 2.704124e-07
M09019 3.454925e-07
M09020 6.420026e-07
M09021 -6.443181e-07
M09022 5.467396e-07
M09023 5.386535e-07
M09024 -3.111142e-07
M09025 1.528521e-07
M09026 -4.282286e-07
M09027 5.456314e-07
M09028 -4.513556e-07
M09029 7.095848e-07
M09030 8.801472e-08
M09031 1.328706e-07
M09032 1.430609e-07
M09033 -7.337243e-07
M09034 6.150238e-07
M09035 -1.134413e-07
M09036 3.767080e-07
M09037 -1.833385e-08
M09038 -3.184800e-07
M09039 5.537335e-07
M09040 2.172162e-07
M09041 -1.325846e-07
M09042 -2.488459e-07
M09043 1.621974e-07
M09044 2.231667e-19
M09045 -8.971911e-08
M09046 -5.673441e-07
M09047 6.335329e-08
M09048 7.901482e-07
M09049 -1.163105e-07
M09050 -4.051445e-08
M09051 1.241645e-07
M09052 -3.720986e-09
M09053 4.513556e-07
M09054 -1.100539e-07
M09055 2.629885e-07
M09056 -4.965952e-07
M09057 4.211068e-07
M09058 1.841044e-07
M09059 -3.242141e-08
M09060 5.474025e-08
M09061 -3.097533e-08
M09062 7.015955e-07
M09063 -1.602717e-07
M09064 8.403542e-07
M09065 -1.876923e-09
M09066 -2.231667e-19
M09067 -2.147078e-07
M09068 4.787965e-08
M09069 -1.899875e-07
M09070 8.363502e-08
M09071 -1.192423e-07
M09072 -1.112827e-07
M09073 -6.284317e-07
M09074 1.921309e-07
M09075 -4.513556e-07
M09076 4.145713e-08
M09077 -3.556721e-07
M09078 2.744259e-07
M09079 -1.386246e-07
M09080 -1.833385e-08
M09081 1.750868e-07
M09082 1.850562e-07
M09083 -3.099389e-08
M09084 -1.548149e-07
M09085 -1.970942e-07
M09086 -5.452958e-08
M09087 7.247256e-09
M09088 6.110041e-08
M09089 3.246274e-08
M09090 5.075291e-08
M09091 -1.514652e-07
M09092 -2.239365e-07
M09093 8.369686e-08
M09094 -2.447981e-08
M09095 1.866960e-07
M09096 -1.455932e-07
M09097 -4.569323e-07
M09098 -3.731568e-07
M09099 6.999561e-07
M09100 2.165055e-08
M09101 2.262554e-08
M09102 2.231667e-19
M09103 6.963808e-09
M09104 -8.160641e-08
M09105 1.858186e-08
M09106 -2.222384e-08
M09107 4.436425e-07
M09108 3.082747e-07
M09109 -1.318398e-07
M09110 -1.931798e-07
M09111 7.245861e-07
M09112 -3.720924e-08
M09113 1.723157e-07
M09114 -1.261396e-07
M09115 3.624712e-08
M09116 -4.295212e-07
M09117 1.488827e-07
M09118 3.533424e-09
M09119 -4.394496e-08
M09120 4.357535e-07
M09121 1.630104e-07
M09122 -3.647603e-07
M09123 2.570792e-08
M09124 2.150352e-07
M09125 3.124628e-07
M09126 2.744259e-07
M09127 2.781952e-08
M09128 3.310661e-07
M09129 7.354155e-08
M09130 -5.456314e-07
M09131 -1.793799e-07
M09132 -3.468937e-07
M09133 -1.487855e-07
M09134 2.757868e-07
M09135 3.045984e-07
M09136 2.231667e-19
M09137 1.612349e-07
M09138 4.722079e-07
M09139 3.187001e-07
M09140 7.119843e-08
M09141 3.793976e-08
M09142 -9.780601e-08
M09143 -5.658584e-07
M09144 2.090312e-07
M09145 -2.540966e-07
M09146 5.199287e-07
M09147 -4.820228e-08
M09148 2.231667e-19
M09149 -1.108210e-07
M09150 -1.833385e-08
M09151 1.719567e-07
M09152 6.181606e-07
M09153 -6.812393e-07
M09154 3.908910e-07
M09155 -4.886118e-07
M09156 -8.018600e-08
M09157 6.510505e-09
M09158 7.158647e-08
M09159 6.795822e-07
M09160 6.691135e-07
M09161 2.551140e-07
M09162 2.942581e-07
M09163 -3.999046e-08
M09164 1.972654e-07
M09165 3.789052e-07
M09166 -6.340544e-07
M09167 -8.270263e-07
M09168 -1.216799e-08
M09169 2.044516e-07
M09170 -3.036058e-07
M09171 6.056965e-07
M09172 -1.455932e-07
M09173 7.422023e-07
M09174 7.494384e-08
M09175 -3.346022e-07
M09176 -6.752297e-07
M09177 -1.413150e-07
M09178 7.094228e-07
M09179 -4.125408e-07
M09180 5.857462e-08
M09181 -4.919625e-08
M09182 -7.497737e-07
M09183 -2.998504e-07
M09184 2.025722e-07
M09185 5.399242e-07
M09186 -6.844991e-07
M09187 3.464264e-07
M09188 1.404696e-07
M09189 -2.231667e-19
M09190 -4.097296e-08
M09191 1.472321e-07
M09192 -1.479178e-07
M09193 6.252828e-07
M09194 -1.082794e-07
M09195 -3.694223e-08
M09196 2.596284e-07
M09197 3.671661e-08
M09198 -4.569323e-07
M09199 4.589402e-07
M09200 9.118936e-08
M09201 -3.246274e-08
M09202 -1.075309e-07
M09203 1.931798e-07
M09204 8.993859e-08
M09205 -2.088242e-08
M09206 -6.940375e-07
M09207 -7.306641e-08
M09208 5.760471e-07
M09209 5.950397e-08
M09210 3.035519e-08
M09211 2.407475e-08
M09212 -7.902506e-08
M09213 1.885823e-07
M09214 -1.088325e-07
M09215 -1.042886e-07
M09216 4.869333e-07
M09217 4.366394e-07
M09218 -6.857112e-07
M09219 2.399427e-07
M09220 -3.099741e-07
M09221 -1.640262e-07
M09222 7.003820e-07
M09223 -4.183127e-07
M09224 -2.231667e-19
M09225 -6.179950e-07
M09226 4.493602e-07
M09227 8.658299e-08
M09228 -1.937319e-07
M09229 -3.807244e-08
M09230 2.595536e-07
M09231 1.161677e-07
M09232 8.197638e-08
M09233 -1.844209e-08
M09234 -2.866023e-07
M09235 2.343363e-08
M09236 -1.602797e-07
M09237 2.165055e-08
M09238 -3.095019e-07
M09239 -8.977860e-07
M09240 -1.688611e-07
M09241 -1.580104e-07
M09242 1.484829e-07
M09243 -6.528768e-07
M09244 -4.161871e-07
M09245 3.694223e-08
M09246 1.338967e-07
M09247 -4.813130e-07
M09248 5.137643e-08
M09249 -4.157926e-07
M09250 2.827945e-07
M09251 -1.647115e-07
M09252 -2.231667e-19
M09253 -3.158891e-08
M09254 -4.814278e-07
M09255 -4.985373e-07
M09256 7.122012e-07
M09257 3.246274e-08
M09258 -1.188320e-07
M09259 3.228141e-07
M09260 -4.817246e-08
M09261 -2.917221e-07
M09262 3.620161e-08
M09263 5.456314e-07
M09264 -2.898069e-08
M09265 -3.504277e-07
M09266 -1.509064e-08
M09267 -8.288931e-08
M09268 -6.431447e-07
M09269 -1.813616e-07
M09270 -7.404688e-08
M09271 1.017474e-07
M09272 -4.350356e-08
M09273 2.025092e-07
M09274 5.787503e-07
M09275 -3.554207e-09
M09276 -2.231667e-19
M09277 -4.398252e-07
M09278 -8.654558e-08
M09279 6.434551e-07
M09280 3.708308e-07
M09281 1.638464e-07
M09282 -7.119843e-08
M09283 -1.752450e-07
M09284 -1.583745e-08
M09285 -2.160286e-07
M09286 2.231667e-19
M09287 -2.231667e-19
M09288 2.698833e-07
M09289 -8.982941e-08
M09290 2.691320e-08
M09291 -2.798309e-07
M09292 -4.969595e-08
M09293 -4.347301e-07
M09294 -2.231667e-19
M09295 2.231667e-19
M09296 2.231667e-19
M09297 4.185440e-07
M09298 2.231667e-19
M09299 -1.193292e-08
M09300 -1.231969e-07
M09301 -1.104098e-07
M09302 2.935333e-07
M09303 1.423239e-07
M09304 2.231667e-19
M09305 1.770102e-07
M09306 2.231667e-19
M09307 4.477532e-07
M09308 -2.578223e-07
M09309 1.231969e-07
M09310 -1.423239e-07
M09311 9.211351e-08
M09312 -1.413150e-07
M09313 5.416817e-07
M09314 4.492349e-07
M09315 -3.010166e-07
M09316 4.554749e-07
M09317 -1.626475e-07
M09318 -4.038265e-07
M09319 2.231667e-19
M09320 -3.203236e-07
M09321 1.102051e-07
M09322 -5.478275e-08
M09323 -2.231667e-19
M09324 1.430187e-07
M09325 2.231667e-19
M09326 2.231667e-19
M09327 -3.649776e-07
M09328 -3.002770e-08
M09329 6.447271e-08
M09330 -2.231667e-19
M09331 8.758373e-09
M09332 2.231667e-19
M09333 -3.300762e-07
M09334 4.583747e-07
M09335 3.691349e-08
M09336 -3.729586e-07
M09337 -3.907146e-07
M09338 5.413292e-08
M09339 4.183348e-07
M09340 4.184417e-07
M09341 8.803530e-08
M09342 1.041188e-07
M09343 -1.778852e-07
M09344 -2.231667e-19
M09345 -6.099856e-07
M09346 -1.597805e-07
M09347 2.231667e-19
M09348 2.231667e-19
M09349 1.099694e-07
M09350 -4.312621e-08
M09351 1.484604e-07
M09352 -1.293180e-07
M09353 -1.813435e-07
M09354 -3.691349e-08
M09355 -9.359694e-09
M09356 2.231667e-19
M09357 -5.478275e-08
M09358 2.812110e-08
M09359 -2.441368e-07
M09360 -9.662758e-08
M09361 -1.912948e-07
M09362 6.099856e-07
M09363 8.445037e-07
M09364 -2.231667e-19
M09365 -8.758373e-09
M09366 3.002770e-08
M09367 -8.796498e-07
M09368 1.421102e-07
M09369 -2.231667e-19
M09370 2.231667e-19
M09371 -5.189713e-07
M09372 -6.739846e-09
M09373 -2.553346e-08
M09374 -1.309115e-07
M09375 2.231667e-19
M09376 5.147471e-07
M09377 2.231667e-19
M09378 1.626475e-07
M09379 -2.231667e-19
M09380 1.165654e-08
M09381 5.478275e-08
M09382 2.231667e-19
M09383 -2.011453e-07
M09384 -2.549002e-08
M09385 2.231667e-19
M09386 3.955516e-08
M09387 1.076419e-07
M09388 2.231667e-19
M09389 8.993859e-08
M09390 -1.288180e-08
M09391 -2.231667e-19
M09392 -5.063255e-07
M09393 -9.902692e-08
M09394 1.165654e-08
M09395 -2.546726e-09
M09396 -6.802894e-08
M09397 -6.753376e-09
M09398 3.337999e-07
M09399 -2.231667e-19
M09400 3.221756e-07
M09401 -4.887720e-07
M09402 3.087344e-07
M09403 4.845757e-07
M09404 7.132454e-08
M09405 -2.231667e-19
M09406 2.109595e-07
M09407 -3.651986e-08
M09408 2.994886e-07
M09409 1.463461e-07
M09410 -1.202020e-07
M09411 2.549002e-08
M09412 6.948805e-08
M09413 1.597805e-07
M09414 5.877192e-07
M09415 -1.496620e-07
M09416 1.853908e-07
M09417 1.309443e-07
M09418 -1.041188e-07
M09419 -2.628962e-07
M09420 -2.231667e-19
M09421 2.812110e-08
M09422 -2.231667e-19
M09423 2.935333e-07
M09424 6.685824e-08
M09425 2.231667e-19
M09426 -1.484604e-07
M09427 2.231667e-19
M09428 6.378285e-08
M09429 -1.288180e-08
M09430 -2.231667e-19
M09431 -1.532759e-07
M09432 8.993859e-08
M09433 1.778852e-07
M09434 9.906899e-08
M09435 2.231667e-19
M09436 -2.549002e-08
M09437 -2.546726e-09
M09438 -2.693318e-08
M09439 -7.323882e-08
M09440 2.231667e-19
M09441 1.165654e-08
M09442 -2.231667e-19
M09443 -2.231667e-19
M09444 -2.231667e-19
M09445 1.497781e-07
M09446 -6.254697e-07
M09447 3.581767e-08
M09448 -1.231245e-07
M09449 1.743250e-07
M09450 -3.952751e-07
M09451 1.233647e-07
M09452 2.231667e-19
M09453 -5.797525e-08
M09454 2.553346e-08
M09455 2.231667e-19
M09456 -1.807408e-07
M09457 -2.231667e-19
M09458 2.406342e-07
M09459 -3.474402e-08
M09460 4.324845e-08
M09461 -1.382617e-07
M09462 1.497781e-07
M09463 -5.453557e-07
M09464 2.601182e-08
M09465 -1.814545e-07
M09466 -1.998926e-07
M09467 -5.478275e-08
M09468 -6.365304e-07
M09469 2.231667e-19
M09470 2.628962e-07
M09471 -2.589451e-08
M09472 -1.048591e-07
M09473 -2.231667e-19
M09474 3.426775e-07
M09475 -1.444709e-07
M09476 4.179704e-07
M09477 1.953792e-07
M09478 2.231667e-19
M09479 -1.343769e-08
M09480 8.758373e-09
M09481 4.312621e-08
M09482 -2.231667e-19
M09483 2.231667e-19
M09484 -2.231667e-19
M09485 -1.347983e-07
M09486 -2.414254e-07
M09487 2.039385e-07
M09488 -2.231667e-19
M09489 -9.378113e-08
M09490 3.807379e-07
M09491 -5.478275e-08
M09492 3.291608e-07
M09493 -9.662758e-08
M09494 4.199175e-08
M09495 -2.274361e-07
M09496 -3.213596e-07
M09497 4.538793e-09
M09498 -9.006548e-10
M09499 -8.631949e-08
M09500 -1.295843e-07
M09501 1.261328e-07
M09502 7.799580e-08
M09503 -2.231667e-19
M09504 -5.035705e-07
M09505 -1.950277e-08
M09506 -5.461677e-08
M09507 -2.231667e-19
M09508 -2.252685e-07
M09509 2.231667e-19
M09510 2.231667e-19
M09511 2.231667e-19
M09512 -7.843370e-07
M09513 -1.756949e-07
M09514 2.231667e-19
M09515 -2.029513e-07
M09516 -2.231667e-19
M09517 9.225660e-09
M09518 -2.231667e-19
M09519 9.614151e-08
M09520 -5.243060e-08
M09521 -6.486494e-07
M09522 2.231667e-19
M09523 -2.329018e-07
M09524 -2.698833e-07
M09525 -3.807379e-07
M09526 -1.461273e-07
M09527 -4.685248e-07
M09528 2.231667e-19
M09529 -1.413150e-07
M09530 -6.869230e-07
M09531 -1.939728e-07
M09532 -2.143678e-07
M09533 -2.231667e-19
M09534 2.659985e-08
M09535 -2.574784e-07
M09536 1.502313e-08
M09537 -3.203236e-07
M09538 -5.858186e-07
M09539 -2.838556e-07
M09540 -1.947547e-07
M09541 -2.979822e-07
M09542 -2.231667e-19
M09543 -2.133437e-07
M09544 5.977113e-07
M09545 -3.627680e-08
M09546 2.231667e-19
M09547 2.231667e-19
M09548 -2.486332e-08
M09549 -2.231667e-19
M09550 2.231667e-19
M09551 -1.823474e-08
M09552 -9.662758e-08
M09553 -2.645797e-08
M09554 -2.557300e-07
M09555 2.231667e-19
M09556 2.231667e-19
M09557 5.685978e-07
M09558 -1.555221e-07
M09559 2.064207e-07
M09560 1.165654e-08
M09561 -1.939728e-07
M09562 1.775519e-07
M09563 -6.444857e-08
M09564 -2.231667e-19
M09565 4.450460e-07
M09566 2.959334e-07
M09567 -4.392902e-07
M09568 -2.680787e-07
M09569 5.747827e-07
M09570 1.391738e-07
M09571 2.231667e-19
M09572 3.356007e-07
M09573 6.904791e-08
M09574 -1.760997e-08
M09575 -9.020187e-07
M09576 -1.783717e-07
M09577 -6.495302e-07
M09578 -2.546726e-09
M09579 -5.273164e-08
M09580 -1.461285e-07
M09581 2.231667e-19
M09582 -2.231667e-19
M09583 2.441368e-07
M09584 -1.108210e-08
M09585 -6.676936e-08
M09586 1.980919e-07
M09587 6.107914e-07
M09588 6.720534e-08
M09589 1.400899e-07
M09590 5.572292e-07
M09591 6.014058e-07
M09592 2.231667e-19
M09593 2.231667e-19
M09594 9.809995e-08
M09595 2.012490e-09
M09596 4.554749e-07
M09597 -2.231667e-19
M09598 -9.594470e-08
M09599 -2.338476e-07
M09600 -2.231667e-19
M09601 1.952222e-07
M09602 2.231667e-19
M09603 2.231667e-19
M09604 2.331308e-08
M09605 -2.231667e-19
M09606 1.196468e-07
M09607 2.053143e-07
M09608 2.765965e-08
M09609 -4.704740e-07
M09610 -5.795900e-09
M09611 -5.293634e-07
M09612 2.231667e-19
M09613 -2.231667e-19
M09614 -2.231667e-19
M09615 4.245087e-07
M09616 -2.231667e-19
M09617 -1.576529e-08
M09618 5.882578e-08
M09619 2.231667e-19
M09620 -2.904367e-07
M09621 3.221756e-07
M09622 -9.240782e-08
M09623 -1.981287e-07
M09624 -1.813435e-07
M09625 -5.840587e-09
M09626 -8.741184e-09
M09627 6.897465e-07
M09628 2.231667e-19
M09629 -4.503336e-07
M09630 -2.109655e-07
M09631 -2.680059e-07
M09632 3.335853e-07
M09633 -5.513345e-07
M09634 -2.231667e-19
M09635 -2.935333e-07
M09636 -1.743252e-07
M09637 -2.915367e-08
M09638 2.231667e-19
M09639 -3.721783e-08
M09640 -3.221756e-07
M09641 2.488913e-07
M09642 9.505145e-08
M09643 2.231667e-19
M09644 5.185757e-07
M09645 7.361782e-08
M09646 8.878854e-08
M09647 3.627680e-08
M09648 -2.231667e-19
M09649 -5.465668e-08
M09650 -5.917616e-08
M09651 9.632966e-08
M09652 2.441368e-07
M09653 2.231667e-19
M09654 3.543136e-07
M09655 2.231667e-19
M09656 -2.231667e-19
M09657 8.690133e-08
M09658 -2.231667e-19
M09659 2.549002e-08
M09660 2.231667e-19
M09661 -1.689878e-07
M09662 2.331308e-08
M09663 2.231667e-19
M09664 6.066112e-07
M09665 -4.868493e-07
M09666 -2.231667e-19
M09667 -2.390971e-07
M09668 -2.231667e-19
M09669 1.097213e-07
M09670 -2.490075e-08
M09671 -2.343630e-07
M09672 -8.998073e-08
M09673 5.300024e-07
M09674 5.268219e-07
M09675 2.231667e-19
M09676 -1.324360e-07
M09677 6.585632e-07
M09678 1.127538e-07
M09679 2.858905e-07
M09680 -2.534264e-08
M09681 1.492190e-07
M09682 8.655977e-08
M09683 3.753280e-07
M09684 1.538376e-07
M09685 -2.231667e-19
M09686 -8.541676e-08
M09687 8.541676e-08
M09688 -1.531189e-08
M09689 2.622369e-07
M09690 -7.281165e-08
M09691 2.057743e-07
M09692 3.105628e-07
M09693 2.231667e-19
M09694 -2.082192e-07
M09695 -3.769287e-07
M09696 2.231667e-19
M09697 -4.251881e-07
M09698 -1.325729e-07
M09699 -1.748562e-07
M09700 2.231667e-19
M09701 -3.428023e-07
M09702 4.313829e-08
M09703 -3.502711e-08
M09704 -3.117116e-07
M09705 -5.339362e-08
M09706 -6.582675e-08
M09707 1.792391e-07
M09708 7.798022e-07
M09709 9.136512e-07
M09710 -1.675617e-07
M09711 -4.423133e-07
M09712 2.231667e-19
M09713 5.053135e-07
M09714 -2.231667e-19
M09715 -1.914022e-07
M09716 -1.184507e-07
M09717 -1.833300e-07
M09718 -6.711577e-08
M09719 1.474918e-07
M09720 -1.165654e-08
M09721 -2.680658e-07
M09722 -2.326039e-07
M09723 -2.426713e-07
M09724 -1.852279e-07
M09725 9.137324e-08
M09726 -2.231667e-19
M09727 -2.231667e-19
M09728 -7.142667e-08
M09729 -6.182457e-08
M09730 -5.260490e-07
M09731 -3.734942e-07
M09732 -8.133772e-08
M09733 -4.086123e-07
M09734 -2.265204e-07
M09735 2.231667e-19
M09736 -1.980811e-08
M09737 -9.693566e-08
M09738 5.260490e-07
M09739 5.185805e-07
M09740 -5.632963e-07
M09741 7.848979e-08
M09742 -1.403854e-07
M09743 -6.121236e-09
M09744 2.057743e-07
M09745 1.974586e-08
M09746 -2.219167e-07
M09747 -2.231667e-19
M09748 4.759192e-09
M09749 -1.742077e-07
M09750 9.204921e-08
M09751 -2.294106e-07
M09752 4.950455e-08
M09753 -2.231667e-19
M09754 9.470366e-08
M09755 -2.876545e-07
M09756 -2.326039e-07
M09757 -5.478275e-08
M09758 -2.231667e-19
M09759 -1.649533e-07
M09760 1.184507e-07
M09761 -2.231667e-19
M09762 4.822096e-08
M09763 1.796067e-08
M09764 4.440118e-07
M09765 -9.763182e-08
M09766 4.764514e-07
M09767 -2.385164e-07
M09768 4.331473e-07
M09769 2.231667e-19
M09770 2.231667e-19
M09771 2.231667e-19
M09772 4.099525e-08
M09773 -9.190329e-08
M09774 6.076354e-08
M09775 -6.093983e-07
M09776 -1.275988e-07
M09777 4.885019e-07
M09778 -3.435292e-07
M09779 -8.032952e-08
M09780 4.901764e-07
M09781 3.778351e-07
M09782 1.542795e-07
M09783 -3.105628e-07
M09784 2.231667e-19
M09785 -2.231667e-19
M09786 -2.231667e-19
M09787 8.735960e-08
M09788 -3.423604e-07
M09789 -1.306709e-07
M09790 -4.896835e-09
M09791 2.231667e-19
M09792 5.703125e-07
M09793 2.231667e-19
M09794 1.151927e-07
M09795 3.061228e-07
M09796 -2.231667e-19
M09797 -1.117827e-07
M09798 -1.213301e-07
M09799 -2.231667e-19
M09800 -4.821769e-07
M09801 -6.960560e-08
M09802 1.285100e-08
M09803 1.518845e-07
M09804 -6.802894e-08
M09805 1.823148e-07
M09806 1.840256e-08
M09807 2.679668e-08
M09808 -1.856873e-07
M09809 2.098020e-07
M09810 7.723961e-08
M09811 4.571837e-07
M09812 1.263422e-07
M09813 -3.225665e-09
M09814 1.027847e-07
M09815 -2.151649e-07
M09816 -1.184507e-07
M09817 1.829741e-08
M09818 4.518563e-07
M09819 5.238633e-08
M09820 -7.874142e-10
M09821 -3.442929e-07
M09822 -1.436272e-08
M09823 4.971908e-07
M09824 3.798294e-07
M09825 6.590188e-07
M09826 3.658836e-07
M09827 -1.164424e-07
M09828 -2.654190e-07
M09829 -1.954990e-07
M09830 5.869235e-07
M09831 -5.147278e-08
M09832 2.909529e-07
M09833 -2.191140e-07
M09834 2.231667e-19
M09835 -1.423376e-07
M09836 1.041133e-07
M09837 4.564176e-08
M09838 -2.231667e-19
M09839 2.862060e-07
M09840 3.233181e-07
M09841 1.162991e-07
M09842 -3.833604e-07
M09843 -2.231667e-19
M09844 -1.283789e-07
M09845 9.399955e-08
M09846 1.697812e-07
M09847 2.120056e-07
M09848 7.105535e-07
M09849 2.231667e-19
M09850 -2.521163e-07
M09851 -1.787111e-07
M09852 -1.946708e-07
M09853 2.074488e-07
M09854 2.231667e-19
M09855 -1.018908e-07
M09856 -2.543045e-07
M09857 2.225765e-07
M09858 -1.848408e-07
M09859 -1.404241e-07
M09860 -2.762473e-08
M09861 2.646985e-08
M09862 7.097422e-08
M09863 1.165654e-08
M09864 -9.384477e-07
M09865 4.531552e-08
M09866 2.490067e-08
M09867 -1.324360e-07
M09868 -8.617992e-08
M09869 2.231667e-19
M09870 -3.545155e-07
M09871 4.276626e-07
M09872 -4.768011e-08
M09873 -9.951921e-08
M09874 1.974586e-08
M09875 3.105628e-07
M09876 -6.153050e-08
M09877 1.360425e-07
M09878 -5.833583e-07
M09879 6.960560e-08
M09880 3.158991e-09
M09881 -2.809365e-07
M09882 -4.676734e-09
M09883 6.324057e-10
M09884 -4.355851e-07
M09885 1.762512e-07
M09886 -2.231667e-19
M09887 -1.360425e-07
M09888 1.953330e-07
M09889 1.345763e-07
M09890 1.539611e-07
M09891 -1.682869e-07
M09892 -2.261706e-07
M09893 1.066247e-07
M09894 -9.612103e-08
M09895 -4.327054e-07
M09896 -8.039561e-08
M09897 -1.869198e-07
M09898 -5.632993e-08
M09899 8.444236e-08
M09900 -1.411012e-07
M09901 -9.261438e-08
M09902 -7.105535e-07
M09903 -1.306709e-07
M09904 -5.577276e-07
M09905 1.309823e-07
M09906 1.360425e-07
M09907 2.231667e-19
M09908 -4.990878e-07
M09909 7.341833e-09
M09910 3.024119e-07
M09911 2.708952e-08
M09912 2.231667e-19
M09913 -1.669862e-07
M09914 2.231667e-19
M09915 2.969473e-07
M09916 6.203501e-08
M09917 -5.566069e-07
M09918 -2.684721e-08
M09919 -3.174991e-08
M09920 -2.795405e-08
M09921 -7.297392e-08
M09922 -2.993390e-07
M09923 -2.792709e-07
M09924 1.745087e-07
M09925 -1.509689e-07
M09926 -8.207145e-08
M09927 3.926872e-07
M09928 1.625774e-07
M09929 4.773993e-07
M09930 -2.219167e-07
M09931 -2.390971e-07
M09932 -1.852976e-07
M09933 -1.228681e-07
M09934 4.849829e-07
M09935 -6.058316e-07
M09936 2.637153e-07
M09937 6.461935e-08
M09938 2.645871e-07
M09939 -1.010811e-07
M09940 2.871076e-07
M09941 2.176676e-07
M09942 5.478275e-08
M09943 -1.518420e-07
M09944 -3.146966e-08
M09945 1.192276e-07
M09946 -3.918649e-07
M09947 6.860039e-07
M09948 -4.151547e-07
M09949 1.103239e-07
M09950 -2.880122e-08
M09951 5.039281e-10
M09952 -2.316154e-08
M09953 -1.304131e-07
M09954 -2.231667e-19
M09955 2.863579e-07
M09956 3.265544e-09
M09957 -2.540843e-08
M09958 -2.231667e-19
M09959 -4.960739e-07
M09960 -3.565189e-08
M09961 2.497550e-07
M09962 8.103763e-08
M09963 2.059218e-07
M09964 -9.792181e-08
M09965 1.500302e-07
M09966 -1.289432e-07
M09967 3.646171e-08
M09968 -1.935569e-07
M09969 1.483360e-07
M09970 2.605994e-07
M09971 3.087044e-07
M09972 -1.097816e-07
M09973 -2.186700e-07
M09974 1.442842e-07
M09975 9.837669e-08
M09976 -8.864577e-09
M09977 -1.215541e-07
M09978 1.211624e-07
M09979 2.035752e-08
M09980 1.064350e-07
M09981 -2.178823e-07
M09982 6.408500e-08
M09983 -1.912208e-07
M09984 3.102820e-07
M09985 8.134359e-08
M09986 -6.657668e-08
M09987 1.331533e-07
M09988 -2.964557e-08
M09989 -6.282291e-08
M09990 -1.273748e-08
M09991 -4.912242e-07
M09992 1.542241e-07
M09993 -2.158368e-07
M09994 -3.280316e-07
M09995 -1.442842e-07
M09996 4.619373e-08
M09997 -2.231667e-19
M09998 -1.187891e-07
M09999 -1.046317e-07
M10000 -9.376340e-08
M10001 6.074984e-08
M10002 -1.694591e-07
M10003 1.106981e-07
M10004 2.412680e-07
M10005 1.331533e-07
M10006 1.310673e-07
M10007 3.546161e-07
M10008 -1.488954e-07
M10009 4.633354e-08
M10010 6.706776e-08
M10011 5.273164e-08
M10012 9.118308e-10
M10013 -1.756060e-07
M10014 -2.013393e-07
M10015 -2.096234e-07
M10016 2.231667e-19
M10017 2.920789e-07
M10018 -6.041516e-08
M10019 -2.574217e-08
M10020 1.376349e-07
M10021 1.720972e-07
M10022 -2.389690e-07
M10023 1.768098e-08
M10024 1.387162e-07
M10025 -3.651494e-07
M10026 5.166162e-08
M10027 -1.320840e-07
M10028 2.667598e-07
M10029 3.509741e-07
M10030 -1.309343e-07
M10031 -2.839480e-07
M10032 -3.163589e-07
M10033 -1.215839e-08
M10034 -2.231667e-19
M10035 -1.486406e-07
M10036 -8.444236e-08
M10037 -2.282395e-07
M10038 -7.766330e-08
M10039 7.204473e-08
M10040 6.330147e-07
M10041 7.240529e-08
M10042 1.444639e-07
M10043 1.046317e-07
M10044 2.375533e-08
M10045 -2.834551e-07
M10046 -5.342590e-07
M10047 -2.810591e-07
M10048 1.720972e-07
M10049 2.622755e-07
M10050 -8.444236e-08
M10051 2.802364e-07
M10052 -1.696061e-07
M10053 -9.501180e-08
M10054 -1.021660e-07
M10055 1.054827e-07
M10056 -1.599996e-07
M10057 1.410795e-07
M10058 -3.447141e-07
M10059 2.559899e-07
M10060 -1.518141e-07
M10061 1.926816e-07
M10062 2.231667e-19
M10063 -1.712315e-07
M10064 6.397506e-08
M10065 6.890222e-09
M10066 -7.217740e-08
M10067 -6.628293e-07
M10068 1.534732e-08
M10069 2.242471e-07
M10070 -2.027975e-07
M10071 -9.149049e-08
M10072 2.578559e-08
M10073 -1.475953e-07
M10074 -1.912208e-07
M10075 -2.496530e-07
M10076 -8.101593e-08
M10077 1.683397e-07
M10078 -1.927463e-07
M10079 2.748635e-07
M10080 1.287466e-07
M10081 2.744479e-07
M10082 -2.231667e-19
M10083 -2.725760e-07
M10084 4.164693e-08
M10085 4.807133e-07
M10086 -1.781987e-07
M10087 7.316955e-09
M10088 6.101318e-07
M10089 2.922456e-08
M10090 3.116783e-07
M10091 -1.024948e-07
M10092 -1.673366e-09
M10093 9.617734e-08
M10094 8.150039e-09
M10095 3.111392e-07
M10096 2.276368e-08
M10097 1.596660e-07
M10098 -2.347235e-07
M10099 -4.395970e-07
M10100 1.786014e-07
M10101 -2.906785e-07
M10102 -8.806802e-08
M10103 -3.519512e-07
M10104 2.842514e-07
M10105 5.504269e-07
M10106 1.191838e-07
M10107 -4.799976e-08
M10108 2.273438e-07
M10109 -7.988114e-09
M10110 1.101556e-07
M10111 4.478292e-07
M10112 2.163090e-08
M10113 8.358368e-08
M10114 -2.035752e-08
M10115 -4.628979e-07
M10116 1.439599e-07
M10117 3.231386e-08
M10118 -1.256837e-08
M10119 2.412680e-07
M10120 -4.201103e-07
M10121 -6.153297e-07
M10122 4.592517e-07
M10123 -1.413150e-07
M10124 -1.957475e-08
M10125 1.287466e-07
M10126 1.402468e-07
M10127 -6.433138e-07
M10128 -7.505425e-09
M10129 1.429183e-08
M10130 -2.408816e-07
M10131 -3.290732e-07
M10132 1.343271e-07
M10133 -1.291828e-08
M10134 -2.162789e-07
M10135 -1.816526e-07
M10136 -2.096234e-07
M10137 -2.085855e-07
M10138 -1.607710e-08
M10139 -2.097658e-08
M10140 1.880607e-07
M10141 -2.513633e-07
M10142 3.266361e-07
M10143 -3.386121e-07
M10144 2.605994e-07
M10145 -5.018714e-07
M10146 -8.203938e-09
M10147 1.402468e-07
M10148 5.416520e-08
M10149 -1.508652e-07
M10150 -1.163748e-07
M10151 -2.316254e-07
M10152 2.158368e-07
M10153 -3.624349e-07
M10154 -3.490653e-07
M10155 -7.080934e-08
M10156 2.451325e-09
M10157 2.044274e-07
M10158 4.878604e-08
M10159 1.153921e-07
M10160 8.420788e-08
M10161 3.829671e-07
M10162 3.668219e-07
M10163 2.231667e-19
M10164 -4.196684e-07
M10165 -1.500302e-07
M10166 -1.657630e-07
M10167 4.922959e-08
M10168 -2.231667e-19
M10169 -8.195219e-08
M10170 3.266361e-07
M10171 -8.981874e-08
M10172 -6.392727e-08
M10173 2.402437e-07
M10174 -2.231667e-19
M10175 -2.346213e-07
M10176 -2.639599e-07
M10177 -2.415653e-08
M10178 -9.579277e-08
M10179 -3.660873e-07
M10180 -2.412680e-07
M10181 -8.265160e-08
M10182 -3.865343e-07
M10183 -2.412680e-07
M10184 2.424256e-07
M10185 2.231667e-19
M10186 -4.340985e-08
M10187 -3.734705e-08
M10188 2.073937e-07
M10189 1.012419e-07
M10190 1.770396e-07
M10191 1.256837e-08
M10192 1.459338e-08
M10193 1.823172e-07
M10194 7.240529e-08
M10195 -3.249136e-08
M10196 -8.874767e-08
M10197 -1.429183e-08
M10198 2.332538e-07
M10199 -5.118869e-08
M10200 -2.231667e-19
M10201 7.318694e-08
M10202 2.405149e-07
M10203 3.470960e-08
M10204 7.954442e-09
M10205 -8.535273e-08
M10206 -4.091194e-09
M10207 -1.196775e-07
M10208 1.429183e-08
M10209 1.046317e-07
M10210 -3.136639e-08
M10211 2.928705e-07
M10212 -9.632002e-08
M10213 3.460196e-07
M10214 4.862299e-09
M10215 -6.960560e-08
M10216 4.584177e-08
M10217 -1.735221e-07
M10218 1.036473e-07
M10219 7.767447e-08
M10220 -1.165654e-08
M10221 2.645313e-07
M10222 8.175505e-08
M10223 -2.440970e-08
M10224 -5.015294e-08
M10225 -2.709343e-07
M10226 -2.231667e-19
M10227 1.473903e-07
M10228 2.178823e-07
M10229 -2.242808e-08
M10230 -5.008568e-07
M10231 -2.226605e-07
M10232 1.081246e-07
M10233 -1.846597e-07
M10234 9.931999e-08
M10235 2.158368e-07
M10236 -1.698239e-08
M10237 1.669743e-07
M10238 -1.404032e-07
M10239 8.159923e-09
M10240 1.913955e-07
M10241 4.680739e-07
M10242 -3.722134e-07
M10243 1.768098e-08
M10244 -4.819888e-08
M10245 1.107757e-07
M10246 2.748635e-07
M10247 2.111768e-07
M10248 -2.610202e-07
M10249 1.138866e-07
M10250 6.776488e-09
M10251 2.231667e-19
M10252 -1.657630e-07
M10253 3.614205e-07
M10254 -1.147134e-07
M10255 8.428479e-08
M10256 -9.168701e-09
M10257 6.997509e-08
M10258 6.536208e-08
M10259 3.582479e-07
M10260 -2.561808e-07
M10261 -1.139115e-07
M10262 -2.332538e-07
M10263 -2.868396e-07
M10264 1.038662e-07
M10265 3.264291e-07
M10266 -2.251425e-10
M10267 1.441121e-08
M10268 -1.083096e-07
M10269 3.723805e-07
M10270 -2.929989e-07
M10271 -1.880607e-07
M10272 1.442842e-07
M10273 4.382481e-07
M10274 1.050288e-07
M10275 3.462378e-07
M10276 -7.104534e-07
M10277 -2.920789e-07
M10278 8.484486e-08
M10279 -2.679959e-07
M10280 2.472326e-07
M10281 4.168201e-07
M10282 -4.047910e-07
M10283 3.714716e-07
M10284 1.117889e-07
M10285 8.339365e-07
M10286 -7.595514e-07
M10287 -1.373934e-07
M10288 3.012620e-07
M10289 -2.879928e-07
M10290 1.070382e-07
M10291 6.504835e-08
M10292 -1.473292e-07
M10293 -2.231667e-19
M10294 -8.911860e-08
M10295 -3.140900e-07
M10296 1.196775e-07
M10297 4.119147e-07
M10298 -3.650353e-07
M10299 -2.042235e-08
M10300 -5.772474e-08
M10301 -1.518141e-07
M10302 -1.268886e-07
M10303 5.172136e-07
M10304 2.243092e-07
M10305 3.885965e-08
M10306 -2.332671e-07
M10307 -6.112928e-08
M10308 -1.374462e-07
M10309 1.187262e-07
M10310 2.496751e-07
M10311 -8.318043e-08
M10312 3.670826e-07
M10313 7.021644e-08
M10314 -1.435402e-08
M10315 1.987513e-07
M10316 -1.213301e-07
M10317 -3.689938e-07
M10318 1.547568e-07
M10319 5.621232e-08
M10320 1.012419e-07
M10321 1.437420e-07
M10322 1.393996e-07
M10323 -1.070382e-07
M10324 -5.990525e-08
M10325 2.492949e-08
M10326 -1.121016e-07
M10327 -8.444236e-08
M10328 -1.667251e-07
M10329 1.863599e-07
M10330 1.134675e-07
M10331 -1.686885e-07
M10332 -1.186060e-07
M10333 -8.444236e-08
M10334 1.276215e-07
M10335 -2.913443e-08
M10336 3.321101e-08
M10337 4.039232e-08
M10338 -1.017431e-07
M10339 2.439845e-07
M10340 3.565458e-07
M10341 -3.243688e-07
M10342 -1.070382e-07
M10343 -1.194890e-07
M10344 3.582940e-08
M10345 -2.837509e-07
M10346 -4.536043e-08
M10347 -2.011763e-07
M10348 -1.393854e-07
M10349 1.536282e-07
M10350 -3.156930e-07
M10351 3.357198e-07
M10352 -5.135508e-07
M10353 5.698208e-08
M10354 -2.231667e-19
M10355 -3.508512e-07
M10356 -2.530127e-07
M10357 -3.951955e-08
M10358 -1.127935e-07
M10359 5.156483e-07
M10360 3.083392e-07
M10361 1.630098e-07
M10362 1.258362e-07
M10363 4.068827e-08
M10364 1.090303e-07
M10365 1.312915e-07
M10366 2.232995e-07
M10367 3.355983e-07
M10368 8.663425e-08
M10369 -3.832072e-07
M10370 -1.881336e-07
M10371 -2.508542e-08
M10372 -5.672077e-08
M10373 -3.685152e-07
M10374 1.805020e-07
M10375 2.231667e-19
M10376 -7.767447e-08
M10377 1.039680e-07
M10378 1.756515e-07
M10379 -1.513894e-08
M10380 -3.014893e-07
M10381 3.779157e-07
M10382 -5.176552e-08
M10383 1.623137e-08
M10384 -7.149514e-09
M10385 3.224239e-07
M10386 1.173625e-07
M10387 -8.203938e-09
M10388 -1.090303e-07
M10389 -3.266361e-07
M10390 2.042112e-07
M10391 5.086543e-08
M10392 -4.741936e-08
M10393 4.991654e-07
M10394 9.516897e-08
M10395 -1.070382e-07
M10396 -7.483354e-08
M10397 -6.287057e-09
M10398 -3.510700e-08
M10399 5.955034e-07
M10400 -4.300086e-08
M10401 4.550673e-09
M10402 -2.356430e-07
M10403 -4.080455e-07
M10404 1.107757e-07
M10405 5.010203e-09
M10406 -3.646119e-08
M10407 1.937535e-08
M10408 -2.622755e-07
M10409 -6.287057e-09
M10410 1.024948e-07
M10411 9.944313e-09
M10412 8.203938e-09
M10413 -3.571383e-07
M10414 -4.747809e-07
M10415 2.551885e-07
M10416 -1.354091e-07
M10417 4.680739e-07
M10418 8.723463e-08
M10419 1.277153e-08
M10420 2.325426e-07
M10421 -2.142431e-07
M10422 2.231667e-19
M10423 4.344222e-07
M10424 -1.513141e-08
M10425 -2.761597e-07
M10426 -8.413349e-08
M10427 -1.024106e-07
M10428 -1.154622e-07
M10429 -3.063607e-07
M10430 -1.070382e-07
M10431 5.511161e-08
M10432 -1.912208e-07
M10433 2.049489e-07
M10434 -1.673366e-09
M10435 -4.780899e-07
M10436 -3.049669e-07
M10437 -1.880607e-07
M10438 3.163750e-08
M10439 -1.036183e-07
M10440 3.253124e-07
M10441 1.622908e-08
M10442 -7.367318e-08
M10443 1.785122e-07
M10444 1.402468e-07
M10445 -2.011083e-08
M10446 -1.789530e-07
M10447 -3.234713e-08
M10448 4.359512e-07
M10449 -1.252316e-07
M10450 8.560317e-08
M10451 -1.427121e-07
M10452 1.952772e-07
M10453 1.708024e-07
M10454 2.231667e-19
M10455 -1.810203e-07
M10456 3.379614e-07
M10457 -2.227544e-07
M10458 -1.811405e-07
M10459 6.593805e-07
M10460 6.535540e-08
M10461 -4.674691e-07
M10462 4.112927e-07
M10463 4.012853e-07
M10464 -2.158368e-07
M10465 -3.872705e-08
M10466 -1.073986e-07
M10467 -3.231386e-08
M10468 -2.276368e-08
M10469 -3.709053e-07
M10470 -1.126992e-07
M10471 -1.423764e-08
M10472 -3.912235e-07
M10473 -1.855829e-07
M10474 1.239431e-07
M10475 -3.951955e-08
M10476 3.781248e-07
M10477 -2.055889e-07
M10478 -8.248548e-07
M10479 2.849363e-07
M10480 -2.581406e-07
M10481 2.622755e-07
M10482 -2.578559e-08
M10483 1.459338e-08
M10484 -2.892378e-07
M10485 -6.409274e-07
M10486 -3.436266e-07
M10487 6.785832e-07
M10488 -1.152782e-07
M10489 1.508652e-07
M10490 1.134675e-07
M10491 -1.196775e-07
M10492 2.125430e-07
M10493 -9.133483e-08
M10494 -3.154394e-07
M10495 -1.101814e-07
M10496 1.256837e-08
M10497 3.420069e-07
M10498 1.442842e-07
M10499 4.658247e-08
M10500 1.413150e-07
M10501 2.399468e-07
M10502 -1.221374e-07
M10503 -1.155357e-07
M10504 2.503800e-07
M10505 -1.545398e-08
M10506 7.214408e-08
M10507 8.157675e-08
M10508 7.292396e-08
M10509 8.801480e-08
M10510 8.470511e-08
M10511 1.513141e-08
M10512 6.287057e-09
M10513 3.943366e-07
M10514 3.199669e-08
M10515 -8.476318e-09
M10516 -2.595977e-08
M10517 4.447999e-08
M10518 -7.294121e-08
M10519 1.629702e-07
M10520 -1.989474e-07
M10521 -2.231667e-19
M10522 3.549457e-07
M10523 -6.155885e-08
M10524 -1.263853e-07
M10525 -1.256837e-08
M10526 -1.880607e-07
M10527 3.027148e-07
M10528 -3.351958e-07
M10529 1.582119e-07
M10530 9.757351e-08
M10531 -1.442842e-07
M10532 -3.231386e-08
M10533 -4.900244e-07
M10534 -3.435203e-07
M10535 -3.524331e-08
M10536 6.439710e-08
M10537 -1.024106e-07
M10538 -3.265134e-07
M10539 -2.195620e-07
M10540 -1.354091e-07
M10541 6.602486e-08
M10542 3.163750e-08
M10543 1.429183e-08
M10544 -4.638934e-07
M10545 -3.185520e-07
M10546 -1.417480e-07
M10547 -4.737313e-08
M10548 -2.913443e-08
M10549 -5.276514e-07
M10550 3.904654e-08
M10551 5.402780e-08
M10552 -2.784498e-07
M10553 4.445320e-07
M10554 -3.350454e-07
M10555 4.418923e-10
M10556 8.209896e-08
M10557 4.041464e-08
M10558 1.923597e-07
M10559 4.242433e-07
M10560 -6.563278e-07
M10561 -2.231667e-19
M10562 -7.179897e-08
M10563 3.163750e-08
M10564 -6.830043e-08
M10565 1.746940e-07
M10566 2.370923e-08
M10567 8.054677e-08
M10568 -1.603046e-07
M10569 1.677867e-07
M10570 6.676162e-08
M10571 2.599501e-07
M10572 -4.013159e-07
M10573 -3.564637e-07
M10574 8.823641e-08
M10575 -8.354469e-08
M10576 3.078966e-07
M10577 6.960560e-08
M10578 -1.839445e-08
M10579 -2.941856e-08
M10580 2.508698e-09
M10581 -4.928811e-08
M10582 1.753071e-07
M10583 1.508652e-07
M10584 3.266361e-07
M10585 2.096234e-07
M10586 -1.890939e-07
M10587 -1.402468e-07
M10588 1.075997e-07
M10589 -2.041591e-07
M10590 -3.773858e-07
M10591 7.036461e-07
M10592 -5.495842e-08
M10593 -9.361792e-08
M10594 -1.954409e-07
M10595 -1.269468e-07
M10596 1.396248e-07
M10597 4.800026e-08
M10598 -1.932468e-08
M10599 1.694689e-07
M10600 9.814253e-08
M10601 -4.416004e-07
M10602 -1.135725e-07
M10603 -1.301228e-07
M10604 -3.617625e-07
M10605 3.163750e-08
M10606 1.433553e-07
M10607 -2.146934e-07
M10608 -8.427419e-08
M10609 6.299198e-08
M10610 -2.142431e-07
M10611 -3.286862e-07
M10612 -8.444236e-08
M10613 6.176128e-08
M10614 1.508652e-07
M10615 9.608406e-08
M10616 2.622755e-07
M10617 7.393050e-07
M10618 -6.439710e-08
M10619 -1.242546e-07
M10620 -1.606485e-07
M10621 1.781987e-07
M10622 3.398992e-07
M10623 -2.549863e-07
M10624 -3.002808e-07
M10625 4.052192e-07
M10626 -5.884204e-07
M10627 -1.587418e-07
M10628 2.748635e-07
M10629 1.568452e-08
M10630 -2.261755e-07
M10631 5.603235e-08
M10632 3.895408e-09
M10633 3.840307e-07
M10634 -3.315440e-08
M10635 -4.147326e-09
M10636 -1.197689e-07
M10637 -1.180907e-07
M10638 -2.946812e-07
M10639 -2.622755e-07
M10640 -4.792797e-07
M10641 -1.663985e-07
M10642 -5.025011e-08
M10643 -5.195053e-08
M10644 2.881274e-07
M10645 6.191482e-08
M10646 -6.439710e-08
M10647 -1.880607e-07
M10648 6.439710e-08
M10649 1.358215e-07
M10650 -3.361842e-07
M10651 -1.134675e-07
M10652 2.530451e-07
M10653 -1.205330e-07
M10654 -8.626605e-08
M10655 -1.080536e-07
M10656 -2.231667e-19
M10657 3.123629e-07
M10658 1.414440e-07
M10659 1.880607e-07
M10660 -1.093964e-07
M10661 2.231667e-19
M10662 3.765022e-07
M10663 3.801544e-07
M10664 1.028520e-07
M10665 1.092549e-07
M10666 -2.472509e-09
M10667 -3.249136e-08
M10668 -2.956099e-07
M10669 -1.504594e-08
M10670 -1.107757e-07
M10671 -5.930827e-08
M10672 3.617625e-07
M10673 -1.051849e-07
M10674 1.937535e-08
M10675 -1.354091e-07
M10676 5.909128e-08
M10677 2.951493e-07
M10678 -2.659658e-09
M10679 -7.745892e-08
M10680 -7.012598e-07
M10681 3.407382e-07
M10682 2.041897e-07
M10683 3.556784e-08
M10684 -1.720400e-08
M10685 -7.657635e-07
M10686 -7.386512e-07
M10687 -1.928429e-07
M10688 1.350205e-07
M10689 -7.480031e-09
M10690 -1.138887e-07
M10691 1.483360e-07
M10692 1.263135e-07
M10693 -2.158368e-07
M10694 3.375563e-08
M10695 7.367318e-08
M10696 3.671991e-08
M10697 2.744970e-08
M10698 -3.663052e-07
M10699 9.959551e-08
M10700 1.989779e-07
M10701 -4.691361e-08
M10702 -6.056148e-08
M10703 3.398992e-07
M10704 -1.694591e-07
M10705 2.181248e-07
M10706 9.010085e-08
M10707 2.832979e-07
M10708 -1.404032e-07
M10709 -3.861700e-07
M10710 5.026182e-07
M10711 3.266361e-07
M10712 -3.238507e-07
M10713 2.837005e-07
M10714 1.138740e-07
M10715 -2.497343e-07
M10716 -3.280183e-07
M10717 1.088577e-07
M10718 -1.006825e-08
M10719 3.617625e-07
M10720 2.549767e-07
M10721 -5.398102e-08
M10722 1.211624e-07
M10723 1.378438e-07
M10724 1.546741e-07
M10725 1.151614e-07
M10726 2.027975e-07
M10727 -2.834551e-07
M10728 -3.424488e-07
M10729 -4.363330e-08
M10730 -1.285481e-07
M10731 4.296627e-09
M10732 4.747739e-07
M10733 -4.650979e-07
M10734 -4.593514e-07
M10735 1.156415e-07
M10736 -1.540843e-08
M10737 3.309534e-07
M10738 1.630158e-07
M10739 -1.310673e-07
M10740 -2.499455e-08
M10741 7.397413e-08
M10742 -1.309504e-08
M10743 1.785122e-07
M10744 -2.530127e-07
M10745 2.237386e-07
M10746 1.090516e-07
M10747 1.729424e-07
M10748 3.266361e-07
M10749 1.568452e-08
M10750 1.354906e-07
M10751 -6.197646e-08
M10752 6.424933e-07
M10753 1.756820e-08
M10754 2.375533e-08
M10755 4.080119e-07
M10756 4.156712e-08
M10757 1.064350e-07
M10758 1.366823e-07
M10759 3.624349e-07
M10760 1.371988e-09
M10761 3.406838e-07
M10762 3.710044e-07
M10763 -4.263819e-07
M10764 -4.367913e-07
M10765 1.148727e-07
M10766 9.226010e-08
M10767 1.855829e-07
M10768 -8.541676e-08
M10769 3.117323e-07
M10770 1.213021e-07
M10771 3.463393e-08
M10772 5.362283e-08
M10773 1.468952e-08
M10774 -4.539103e-07
M10775 -2.473881e-07
M10776 -2.863383e-08
M10777 -7.611558e-08
M10778 -1.145596e-07
M10779 8.546741e-07
M10780 -1.108900e-07
M10781 -3.722115e-07
M10782 8.551174e-08
M10783 -8.314638e-09
M10784 4.912723e-07
M10785 -2.331308e-08
M10786 1.152036e-07
M10787 5.045784e-07
M10788 -4.541558e-07
M10789 -1.261287e-07
M10790 2.533845e-07
M10791 1.049761e-07
M10792 -1.101657e-07
M10793 4.350470e-08
M10794 2.142431e-07
M10795 -1.194890e-07
M10796 4.633354e-08
M10797 -2.029345e-08
M10798 -1.628762e-07
M10799 1.287466e-07
M10800 -6.242510e-08
M10801 2.606928e-07
M10802 -2.640051e-07
M10803 1.358215e-07
M10804 2.482769e-07
M10805 -1.125542e-08
M10806 9.826317e-08
M10807 1.746940e-07
M10808 -1.014140e-07
M10809 2.340456e-07
M10810 3.644639e-07
M10811 1.679077e-07
M10812 1.667528e-07
M10813 -7.691792e-08
M10814 4.297440e-07
M10815 1.036320e-07
M10816 5.612113e-08
M10817 -3.211983e-07
M10818 5.624616e-07
M10819 -1.615096e-07
M10820 -2.533879e-07
M10821 1.823148e-07
M10822 6.743521e-08
M10823 -1.020278e-07
M10824 -1.613096e-07
M10825 1.324319e-07
M10826 2.241023e-07
M10827 1.459338e-08
M10828 -4.922959e-08
M10829 5.314828e-07
M10830 -3.280316e-07
M10831 9.028889e-08
M10832 5.459785e-07
M10833 -4.454748e-08
M10834 -3.386121e-07
M10835 1.891428e-07
M10836 -4.359878e-08
M10837 -6.103692e-08
M10838 3.266361e-07
M10839 6.265837e-08
M10840 -3.361842e-07
M10841 1.387910e-08
M10842 -4.699730e-07
M10843 -3.505906e-07
M10844 3.195835e-07
M10845 -6.046517e-07
M10846 3.670826e-07
M10847 3.495822e-07
M10848 -7.745892e-08
M10849 -1.500131e-07
M10850 1.542241e-07
M10851 -3.435203e-07
M10852 -9.094926e-08
M10853 3.266361e-07
M10854 2.753823e-08
M10855 -1.321269e-07
M10856 5.695195e-07
M10857 -6.330147e-07
M10858 2.450485e-08
M10859 2.261877e-07
M10860 -6.398022e-08
M10861 -2.139165e-07
M10862 -4.042988e-07
M10863 -6.781548e-07
M10864 -2.561808e-07
M10865 -3.510700e-08
M10866 -4.146063e-07
M10867 1.126992e-07
M10868 2.622755e-07
M10869 1.663999e-07
M10870 -1.667251e-07
M10871 -4.230405e-07
M10872 -2.557602e-07
M10873 -6.337383e-09
M10874 7.204473e-08
M10875 8.993286e-09
M10876 -4.433299e-07
M10877 -2.296690e-07
M10878 -3.477169e-07
M10879 -6.065582e-07
M10880 -9.991203e-08
M10881 -3.875904e-07
M10882 1.880373e-07
M10883 -6.753390e-07
M10884 3.309534e-07
M10885 -2.875283e-07
M10886 -1.758921e-08
M10887 -3.556784e-08
M10888 -1.639586e-07
M10889 -3.345151e-07
M10890 -2.472509e-09
M10891 -9.313108e-08
M10892 5.430742e-08
M10893 7.860564e-08
M10894 -1.663985e-07
M10895 -1.064350e-07
M10896 -2.857402e-08
M10897 1.445660e-07
M10898 8.993286e-09
M10899 -7.386512e-07
M10900 6.563278e-07
M10901 -6.000791e-07
M10902 -2.939850e-08
M10903 1.359759e-07
M10904 -6.960560e-08
M10905 1.413150e-07
M10906 2.047653e-07
M10907 -1.721250e-07
M10908 3.087044e-07
M10909 2.094074e-07
M10910 -2.230232e-07
M10911 1.004249e-07
M10912 3.912413e-07
M10913 -1.236750e-07
M10914 1.667251e-07
M10915 4.068314e-07
M10916 1.535864e-08
M10917 -2.125430e-07
M10918 1.083701e-07
M10919 -5.909128e-08
M10920 1.873252e-07
M10921 -1.256837e-08
M10922 -2.480482e-08
M10923 -1.144064e-07
M10924 -1.945762e-07
M10925 -2.909533e-07
M10926 2.683713e-07
M10927 -2.569839e-07
M10928 3.412426e-07
M10929 -6.934411e-07
M10930 -5.803664e-08
M10931 2.231667e-19
M10932 3.808878e-07
M10933 -1.673366e-09
M10934 1.103890e-08
M10935 -1.938590e-07
M10936 -3.302676e-07
M10937 -1.114738e-07
M10938 2.231667e-19
M10939 1.246923e-07
M10940 -4.062082e-09
M10941 6.799756e-08
M10942 6.837353e-08
M10943 8.594755e-08
M10944 3.265544e-09
M10945 -1.508981e-07
M10946 -6.818900e-07
M10947 2.231667e-19
M10948 8.541676e-08
M10949 -1.974586e-08
M10950 -1.504351e-07
M10951 -4.715946e-07
M10952 6.264126e-08
M10953 -3.808878e-07
M10954 1.341655e-07
M10955 -1.199790e-07
M10956 1.063507e-07
M10957 1.855829e-07
M10958 3.661512e-07
M10959 4.352058e-07
M10960 -7.812828e-08
M10961 5.501563e-07
M10962 -1.867468e-07
M10963 -3.618597e-09
M10964 6.985221e-08
M10965 1.277153e-08
M10966 -9.291303e-08
M10967 -3.361617e-07
M10968 -5.081974e-08
M10969 4.168201e-07
M10970 6.781548e-07
M10971 -1.287466e-07
M10972 3.827978e-07
M10973 4.747739e-07
M10974 6.410471e-07
M10975 -3.241131e-07
M10976 2.231667e-19
M10977 -2.257586e-07
M10978 4.889580e-07
M10979 -2.231667e-19
M10980 -5.627256e-08
M10981 3.036734e-07
M10982 -2.101101e-07
M10983 1.116715e-07
M10984 -2.231667e-19
M10985 -2.231667e-19
M10986 4.743138e-08
M10987 5.872295e-07
M10988 -3.965777e-07
M10989 4.982956e-08
M10990 -6.441319e-07
M10991 -2.231667e-19
M10992 2.231667e-19
M10993 -3.000979e-07
M10994 3.432772e-07
M10995 -1.673727e-07
M10996 -3.932944e-07
M10997 -7.801124e-08
M10998 -2.231667e-19
M10999 -2.231667e-19
M11000 -1.231625e-07
M11001 -1.987891e-07
M11002 -1.475866e-07
M11003 -7.866208e-07
M11004 -5.285142e-07
M11005 -4.669203e-07
M11006 -4.012826e-07
M11007 2.134879e-07
M11008 2.596724e-09
M11009 -2.600580e-07
M11010 -2.582811e-07
M11011 1.802396e-07
M11012 -6.173518e-07
M11013 2.665729e-07
M11014 1.205853e-07
M11015 -2.541313e-07
M11016 2.103398e-07
M11017 -2.871931e-08
M11018 -2.413524e-07
M11019 4.606899e-07
M11020 -6.649868e-08
M11021 3.921657e-07
M11022 1.534029e-07
M11023 7.801124e-08
M11024 -2.231667e-19
M11025 -3.534319e-07
M11026 -4.093662e-07
M11027 -6.592543e-07
M11028 8.810716e-08
M11029 -1.340216e-07
M11030 -4.164888e-07
M11031 2.103398e-07
M11032 -5.496912e-07
M11033 -1.603273e-08
M11034 -2.231667e-19
M11035 -6.198965e-07
M11036 -3.900562e-08
M11037 8.102564e-08
M11038 7.020426e-08
M11039 2.183010e-07
M11040 2.640560e-07
M11041 -2.988287e-07
M11042 -2.946897e-07
M11043 6.731049e-08
M11044 5.124962e-07
M11045 3.814541e-07
M11046 2.231667e-19
M11047 3.118217e-08
M11048 -6.053821e-07
M11049 1.872444e-07
M11050 -2.238950e-07
M11051 -2.231667e-19
M11052 -2.654900e-07
M11053 3.203540e-07
M11054 1.051111e-07
M11055 -1.597526e-07
M11056 -2.231667e-19
M11057 -1.796220e-07
M11058 2.766462e-07
M11059 2.271131e-07
M11060 3.283131e-07
M11061 -1.672770e-07
M11062 1.087556e-07
M11063 4.404786e-07
M11064 2.257124e-07
M11065 2.097477e-07
M11066 -3.356803e-07
M11067 2.753520e-07
M11068 3.191862e-07
M11069 -2.988287e-07
M11070 1.663908e-07
M11071 4.588023e-07
M11072 -3.202413e-07
M11073 7.603534e-08
M11074 8.041689e-08
M11075 6.836723e-07
M11076 -2.908099e-07
M11077 1.618172e-07
M11078 2.172717e-07
M11079 4.137085e-08
M11080 -6.505660e-07
M11081 2.073171e-07
M11082 -1.373784e-07
M11083 -2.729412e-08
M11084 -1.460462e-07
M11085 1.966809e-07
M11086 8.088752e-07
M11087 -4.658512e-07
M11088 1.989719e-07
M11089 8.279557e-07
M11090 2.960237e-07
M11091 -8.902281e-08
M11092 -1.560281e-07
M11093 -2.231667e-19
M11094 -1.818310e-07
M11095 4.764241e-08
M11096 -5.749290e-07
M11097 -8.180240e-07
M11098 4.668854e-07
M11099 1.138543e-07
M11100 -3.900562e-08
M11101 -2.231667e-19
M11102 -6.246972e-07
M11103 -1.853419e-07
M11104 4.439427e-08
M11105 2.145293e-07
M11106 -3.141083e-08
M11107 -5.163807e-07
M11108 -1.833385e-08
M11109 -2.231667e-19
M11110 -4.136915e-07
M11111 -2.002628e-07
M11112 -1.546935e-07
M11113 -1.647698e-07
M11114 -2.231667e-19
M11115 -2.231667e-19
M11116 3.900562e-08
M11117 2.231667e-19
M11118 -5.960868e-08
M11119 1.177376e-07
M11120 3.240575e-07
M11121 -5.729278e-07
M11122 4.615026e-07
M11123 2.851809e-07
M11124 2.231667e-19
M11125 -3.237353e-07
M11126 -2.922118e-07
M11127 -2.231667e-19
M11128 3.506676e-07
M11129 1.840256e-08
M11130 4.249778e-07
M11131 -5.793342e-07
M11132 3.143576e-07
M11133 6.699264e-07
M11134 5.808909e-07
M11135 -2.486351e-07
M11136 2.199167e-07
M11137 -6.746831e-07
M11138 6.307326e-07
M11139 -4.530034e-07
M11140 1.166617e-08
M11141 3.905509e-07
M11142 -4.716800e-07
M11143 4.134745e-07
M11144 3.834331e-07
M11145 -4.352371e-07
M11146 -2.356029e-07
M11147 8.537188e-07
M11148 2.340394e-07
M11149 2.588099e-07
M11150 -9.632966e-08
M11151 2.706864e-07
M11152 2.257586e-07
M11153 -6.699264e-07
M11154 6.283628e-07
M11155 -1.305677e-07
M11156 -3.581767e-08
M11157 -3.442063e-07
M11158 -6.452927e-07
M11159 -9.930138e-09
M11160 -4.663228e-07
M11161 3.900562e-08
M11162 2.723445e-07
M11163 1.455787e-07
M11164 -1.773512e-08
M11165 2.356026e-07
M11166 7.147374e-07
M11167 3.834331e-07
M11168 -2.231667e-19
M11169 -3.372750e-07
M11170 7.266590e-08
M11171 3.231243e-07
M11172 -3.119020e-08
M11173 -3.564569e-08
M11174 3.994139e-07
M11175 2.231667e-19
M11176 -7.815103e-07
M11177 8.646569e-07
M11178 1.943708e-07
M11179 -5.620860e-07
M11180 -3.770447e-07
M11181 7.801124e-08
M11182 -5.811479e-07
M11183 -2.368784e-07
M11184 -1.943470e-08
M11185 5.185185e-07
M11186 2.145293e-07
M11187 -1.857437e-07
M11188 -5.449147e-07
M11189 -2.544151e-07
M11190 -2.924329e-07
M11191 -7.030220e-08
M11192 2.084163e-07
M11193 6.699264e-07
M11194 -7.664552e-07
M11195 2.231667e-19
M11196 -1.583424e-07
M11197 -2.231667e-19
M11198 -2.098458e-07
M11199 3.484902e-07
M11200 -1.587597e-07
M11201 8.727453e-08
M11202 -2.588766e-07
M11203 2.411971e-07
M11204 3.900562e-08
M11205 3.153017e-07
M11206 5.001290e-07
M11207 -7.970018e-07
M11208 2.374270e-07
M11209 -1.196077e-07
M11210 5.504054e-07
M11211 -4.111458e-07
M11212 -2.231667e-19
M11213 1.840256e-08
M11214 1.124763e-07
M11215 2.231667e-19
M11216 -7.577020e-08
M11217 3.376691e-07
M11218 -3.140476e-08
M11219 -7.801124e-08
M11220 2.562773e-07
M11221 3.710741e-08
M11222 2.231667e-19
M11223 -1.009620e-07
M11224 -4.479202e-07
M11225 -8.230273e-07
M11226 2.562773e-07
M11227 -4.206919e-07
M11228 9.920711e-07
M11229 3.432772e-07
M11230 -2.587810e-07
M11231 4.540918e-08
M11232 3.260835e-07
M11233 -3.706536e-07
M11234 3.131551e-08
M11235 -2.562773e-07
M11236 6.432150e-08
M11237 3.107668e-07
M11238 1.868744e-09
M11239 -4.156832e-07
M11240 -4.857395e-07
M11241 1.984673e-07
M11242 3.274528e-07
M11243 -1.989719e-07
M11244 5.749290e-07
M11245 1.392968e-08
M11246 2.652660e-07
M11247 5.035827e-07
M11248 1.460462e-07
M11249 -1.535789e-07
M11250 -1.443245e-08
M11251 -2.542213e-08
M11252 6.240467e-07
M11253 -3.900562e-08
M11254 2.530895e-07
M11255 -2.172717e-07
M11256 3.637408e-07
M11257 -2.587546e-07
M11258 4.149067e-07
M11259 -1.868437e-07
M11260 1.663908e-07
M11261 2.927321e-07
M11262 -1.840256e-08
M11263 -7.394385e-08
M11264 -3.782080e-07
M11265 1.395739e-07
M11266 -7.417030e-07
M11267 7.098998e-07
M11268 3.191000e-07
M11269 3.597051e-08
M11270 -2.231667e-19
M11271 -3.564569e-08
M11272 -7.711807e-07
M11273 -1.838021e-07
M11274 -3.432772e-07
M11275 3.306399e-07
M11276 3.702594e-07
M11277 3.505698e-07
M11278 6.451638e-08
M11279 4.454970e-07
M11280 -1.910737e-07
M11281 2.386672e-07
M11282 1.550631e-07
M11283 -2.875928e-07
M11284 2.155386e-07
M11285 -2.908633e-07
M11286 3.874715e-07
M11287 -6.139346e-07
M11288 1.987583e-07
M11289 -3.432772e-07
M11290 4.168628e-07
M11291 -2.880356e-07
M11292 -5.736811e-07
M11293 -3.429818e-07
M11294 3.521834e-07
M11295 -3.296497e-08
M11296 5.496912e-07
M11297 6.666943e-07
M11298 -2.979391e-07
M11299 3.580330e-07
M11300 1.883874e-07
M11301 1.662406e-07
M11302 -6.644494e-07
M11303 -1.596886e-07
M11304 3.230015e-07
M11305 2.231667e-19
M11306 9.769833e-08
M11307 -1.833385e-08
M11308 -2.771836e-07
M11309 1.066737e-07
M11310 -6.627507e-07
M11311 -2.231667e-19
M11312 1.987891e-07
M11313 -2.340394e-07
M11314 6.130603e-07
M11315 -6.234592e-08
M11316 4.136915e-07
M11317 -1.146892e-07
M11318 5.415490e-08
M11319 2.231667e-19
M11320 5.615830e-07
M11321 -3.669895e-07
M11322 1.833385e-08
M11323 -2.231667e-19
M11324 3.510700e-08
M11325 1.136779e-07
M11326 -3.317057e-07
M11327 -1.184082e-07
M11328 -3.564569e-08
M11329 -5.078689e-07
M11330 3.900562e-08
M11331 -2.231667e-19
M11332 4.200525e-08
M11333 -2.415300e-07
M11334 2.723445e-07
M11335 -2.231667e-19
M11336 -3.241865e-07
M11337 -6.115604e-07
M11338 2.582959e-07
M11339 6.623584e-07
M11340 5.799300e-08
M11341 4.996712e-07
M11342 4.439427e-08
M11343 -3.565972e-07
M11344 8.358372e-07
M11345 -3.432772e-07
M11346 4.817820e-07
M11347 4.409468e-07
M11348 2.231667e-19
M11349 7.020426e-08
M11350 2.231667e-19
M11351 9.269647e-08
M11352 2.396687e-07
M11353 -5.432441e-08
M11354 2.419710e-07
M11355 1.833385e-08
M11356 -2.231667e-19
M11357 -4.232377e-07
M11358 2.247493e-07
M11359 4.380394e-07
M11360 2.529865e-07
M11361 -2.231667e-19
M11362 1.425316e-07
M11363 -5.729278e-07
M11364 4.002964e-07
M11365 3.013382e-07
M11366 5.982293e-07
M11367 -1.658449e-07
M11368 -1.482155e-07
M11369 2.353260e-07
M11370 2.032611e-07
M11371 -1.921612e-07
M11372 -1.751914e-09
M11373 4.849161e-07
M11374 -2.684506e-07
M11375 -1.016151e-07
M11376 -3.468738e-08
M11377 6.147385e-07
M11378 3.226487e-08
M11379 4.606899e-07
M11380 1.992459e-07
M11381 1.575006e-07
M11382 2.326315e-07
M11383 -2.952300e-07
M11384 3.505698e-07
M11385 -2.156368e-07
M11386 1.553271e-07
M11387 2.908099e-07
M11388 2.135867e-07
M11389 -3.683933e-07
M11390 -2.927321e-07
M11391 2.367753e-08
M11392 -2.231667e-19
M11393 -6.053821e-07
M11394 -4.553782e-07
M11395 -2.777299e-07
M11396 -1.536865e-07
M11397 1.970164e-07
M11398 4.399476e-07
M11399 -3.599560e-07
M11400 2.231667e-19
M11401 -5.293305e-08
M11402 2.231667e-19
M11403 5.142555e-08
M11404 -2.231667e-19
M11405 3.805153e-07
M11406 -7.251203e-07
M11407 5.397479e-07
M11408 -2.455237e-07
M11409 1.840256e-08
M11410 -5.733947e-08
M11411 3.363462e-07
M11412 2.986047e-07
M11413 2.231667e-19
M11414 -5.731916e-08
M11415 -2.604626e-07
M11416 -1.833385e-08
M11417 5.078689e-07
M11418 -2.353260e-07
M11419 3.770173e-07
M11420 -1.373784e-07
M11421 -2.616740e-07
M11422 -2.231667e-19
M11423 -1.298951e-08
M11424 -7.783671e-08
M11425 -8.902281e-08
M11426 -8.441241e-07
M11427 -2.087370e-07
M11428 1.992459e-07
M11429 1.364689e-08
M11430 -2.720471e-07
M11431 -2.908099e-07
M11432 1.663908e-07
M11433 4.124370e-07
M11434 -4.937224e-07
M11435 3.093195e-07
M11436 2.231667e-19
M11437 5.869271e-08
M11438 1.608139e-07
M11439 2.457485e-07
M11440 -2.340394e-07
M11441 6.043160e-08
M11442 -2.231667e-19
M11443 5.845899e-07
M11444 2.851809e-07
M11445 -3.554481e-07
M11446 -6.340495e-07
M11447 -5.268888e-07
M11448 4.437339e-07
M11449 -7.866208e-07
M11450 -2.231667e-19
M11451 3.863495e-07
M11452 3.272850e-07
M11453 3.900562e-08
M11454 -1.253405e-07
M11455 -1.008771e-06
M11456 3.065744e-07
M11457 3.034963e-08
M11458 -7.783671e-08
M11459 -2.231667e-19
M11460 2.927321e-07
M11461 -1.184082e-07
M11462 -2.340394e-07
M11463 3.539643e-07
M11464 -1.608139e-07
M11465 -5.058652e-09
M11466 3.900562e-08
M11467 -2.231667e-19
M11468 -4.606899e-07
M11469 3.505698e-07
M11470 -6.699264e-07
M11471 -7.868679e-07
M11472 -3.241865e-07
M11473 6.182841e-07
M11474 -4.647104e-07
M11475 8.143567e-08
M11476 -3.479388e-07
M11477 -1.366334e-07
M11478 -6.078136e-07
M11479 -6.928861e-07
M11480 1.840256e-08
M11481 -1.989719e-07
M11482 -1.373784e-07
M11483 2.231667e-19
M11484 7.339388e-07
M11485 -2.231667e-19
M11486 -2.361471e-07
M11487 6.447520e-07
M11488 -2.512160e-07
M11489 -3.005668e-07
M11490 -2.830615e-07
M11491 1.373784e-07
M11492 3.900562e-08
M11493 -5.434340e-07
M11494 2.428576e-07
M11495 -7.801124e-08
M11496 -3.553753e-07
M11497 3.795853e-07
M11498 -9.634509e-08
M11499 3.843757e-07
M11500 1.325804e-07
M11501 7.812393e-07
M11502 2.204106e-07
M11503 2.086257e-07
M11504 2.477910e-07
M11505 -3.260835e-07
M11506 1.371739e-07
M11507 -4.290762e-07
M11508 4.210035e-07
M11509 2.562773e-07
M11510 1.461367e-08
M11511 -4.010756e-07
M11512 -1.260183e-07
M11513 -6.831463e-07
M11514 5.723528e-07
M11515 -2.289071e-07
M11516 1.840256e-08
M11517 -1.690233e-07
M11518 -1.136782e-06
M11519 5.341193e-09
M11520 2.231667e-19
M11521 -3.812831e-07
M11522 -9.632966e-08
M11523 -1.460462e-07
M11524 6.086516e-07
M11525 -2.231667e-19
M11526 -3.617168e-07
M11527 1.460462e-07
M11528 2.827306e-08
M11529 3.006796e-07
M11530 5.245319e-07
M11531 1.155580e-07
M11532 -4.090774e-07
M11533 3.270413e-07
M11534 8.779742e-08
M11535 -1.978728e-07
M11536 -2.604626e-07
M11537 -4.739675e-07
M11538 -3.890674e-07
M11539 5.103841e-08
M11540 -4.689988e-07
M11541 -4.669203e-07
M11542 6.383178e-07
M11543 2.340394e-07
M11544 2.231667e-19
M11545 -1.081945e-07
M11546 -4.029324e-07
M11547 -5.080044e-07
M11548 -1.309443e-07
M11549 -1.977091e-08
M11550 -4.373079e-07
M11551 -6.283591e-07
M11552 2.366782e-07
M11553 -3.267535e-07
M11554 -3.564513e-08
M11555 -2.231667e-19
M11556 -2.231667e-19
M11557 -3.752219e-07
M11558 -7.281280e-08
M11559 2.852871e-07
M11560 -4.875233e-07
M11561 7.801124e-08
M11562 1.781552e-07
M11563 2.335647e-07
M11564 2.922573e-07
M11565 4.232377e-07
M11566 1.833385e-08
M11567 2.647733e-08
M11568 -2.340394e-07
M11569 4.229902e-07
M11570 1.063326e-06
M11571 -3.607745e-08
M11572 1.765207e-07
M11573 6.505660e-07
M11574 2.654896e-07
M11575 3.999184e-07
M11576 3.853924e-07
M11577 -1.537887e-07
M11578 -1.460462e-07
M11579 5.147100e-07
M11580 -1.436499e-07
M11581 7.221032e-07
M11582 6.381073e-09
M11583 3.898213e-07
M11584 -2.774908e-07
M11585 1.921612e-07
M11586 7.792192e-07
M11587 1.736078e-07
M11588 9.963686e-07
M11589 -8.973244e-07
M11590 -2.442519e-07
M11591 1.833385e-08
M11592 3.840541e-07
M11593 -1.001805e-07
M11594 4.922839e-07
M11595 6.043611e-07
M11596 -5.812672e-07
M11597 1.162996e-07
M11598 1.992459e-07
M11599 -6.971578e-07
M11600 -5.883820e-07
M11601 -3.627572e-08
M11602 -3.573823e-07
M11603 4.010756e-07
M11604 -3.900562e-08
M11605 -2.231667e-19
M11606 -8.497403e-08
M11607 -7.801124e-08
M11608 1.125177e-07
M11609 7.109112e-07
M11610 -2.908099e-07
M11611 4.439427e-08
M11612 -6.505660e-07
M11613 1.643462e-07
M11614 -7.801124e-08
M11615 1.616570e-07
M11616 3.710741e-08
M11617 -1.673193e-07
M11618 -9.043085e-08
M11619 -1.116715e-07
M11620 -2.368784e-07
M11621 -4.748241e-07
M11622 -2.758755e-07
M11623 5.845899e-07
M11624 -1.698434e-07
M11625 -2.231667e-19
M11626 2.231667e-19
M11627 -1.478807e-08
M11628 -9.634509e-08
M11629 5.194608e-07
M11630 -3.022311e-07
M11631 -5.750753e-07
M11632 3.107818e-07
M11633 -4.015591e-08
M11634 3.196704e-07
M11635 -1.333842e-07
M11636 -2.231667e-19
M11637 -1.737279e-07
M11638 -1.802198e-07
M11639 -1.309443e-07
M11640 -3.711626e-07
M11641 -1.277348e-07
M11642 4.606899e-07
M11643 -3.688057e-07
M11644 -2.340394e-07
M11645 -7.718255e-08
M11646 1.175287e-07
M11647 7.218094e-07
M11648 2.240243e-07
M11649 8.041689e-08
M11650 -1.987735e-07
M11651 1.379350e-07
M11652 -6.133023e-07
M11653 1.093697e-07
M11654 5.445976e-07
M11655 2.231667e-19
M11656 3.956536e-08
M11657 -3.297276e-07
M11658 -3.754466e-07
M11659 4.209807e-07
M11660 2.190351e-07
M11661 3.900562e-08
M11662 1.460462e-07
M11663 -2.387047e-08
M11664 -1.170075e-07
M11665 -2.033518e-07
M11666 -7.815103e-07
M11667 -9.266467e-09
M11668 -6.543303e-07
M11669 3.192358e-07
M11670 -2.073858e-07
M11671 1.371739e-07
M11672 -2.132042e-07
M11673 1.263558e-07
M11674 -7.512347e-07
M11675 1.180113e-07
M11676 3.396245e-07
M11677 -2.691302e-07
M11678 2.411971e-07
M11679 -8.421321e-07
M11680 5.524829e-07
M11681 -2.461753e-07
M11682 2.247493e-07
M11683 -1.461068e-07
M11684 3.900562e-08
M11685 -4.867740e-07
M11686 -4.463970e-07
M11687 -1.708342e-07
M11688 -1.840256e-08
M11689 2.231667e-19
M11690 -2.549294e-07
M11691 3.472227e-07
M11692 5.943916e-07
M11693 -2.063783e-07
M11694 2.231667e-19
M11695 3.231650e-08
M11696 -5.397954e-08
M11697 -7.158165e-07
M11698 2.231667e-19
M11699 9.078765e-08
M11700 -1.317021e-07
M11701 1.103354e-07
M11702 -5.919151e-07
M11703 -2.955985e-07
M11704 2.231667e-19
M11705 1.309443e-07
M11706 1.002163e-07
M11707 -2.724993e-07
M11708 5.974910e-10
M11709 3.590266e-08
M11710 -5.078689e-07
M11711 4.839616e-07
M11712 -1.809017e-07
M11713 -4.867740e-07
M11714 -5.453667e-07
M11715 -1.456957e-07
M11716 2.231667e-19
M11717 6.531371e-07
M11718 -5.464377e-08
M11719 1.921612e-07
M11720 4.125405e-07
M11721 7.801124e-08
M11722 -1.708342e-07
M11723 -2.231667e-19
M11724 2.396988e-07
M11725 -3.399724e-07
M11726 3.900562e-08
M11727 2.361471e-07
M11728 -6.638564e-07
M11729 -2.616740e-07
M11730 -1.328929e-07
M11731 5.470724e-07
M11732 4.188246e-07
M11733 2.909628e-07
M11734 2.340394e-07
M11735 -1.504736e-07
M11736 2.570288e-07
M11737 -4.874251e-07
M11738 3.350283e-07
M11739 2.527973e-07
M11740 -2.851809e-07
M11741 -2.231667e-19
M11742 3.900562e-08
M11743 6.455470e-07
M11744 2.231667e-19
M11745 -7.801124e-08
M11746 3.651729e-07
M11747 3.143576e-07
M11748 -1.992459e-07
M11749 -7.072091e-08
M11750 -1.001062e-07
M11751 -6.198965e-07
M11752 3.758701e-07
M11753 1.724741e-07
M11754 4.439427e-08
M11755 4.032502e-07
M11756 -2.231667e-19
M11757 -1.902841e-07
M11758 -2.340394e-07
M11759 2.365784e-07
M11760 -3.457804e-07
M11761 1.660428e-08
M11762 4.345142e-08
M11763 -6.289121e-07
M11764 -3.900562e-08
M11765 -3.638252e-07
M11766 -1.608139e-07
M11767 -3.306279e-08
M11768 1.596886e-07
M11769 -6.159579e-09
M11770 2.051358e-07
M11771 1.805569e-07
M11772 7.783671e-08
M11773 -3.786301e-07
M11774 1.678976e-07
M11775 -6.221221e-07
M11776 -3.657511e-07
M11777 2.320647e-07
M11778 -1.347474e-08
M11779 1.355097e-07
M11780 -1.853293e-08
M11781 1.305851e-07
M11782 -2.610149e-07
M11783 -2.335647e-07
M11784 -5.436549e-07
M11785 -5.672729e-08
M11786 2.703476e-07
M11787 -5.344685e-07
M11788 -3.111079e-07
M11789 5.749290e-07
M11790 -6.797250e-08
M11791 4.813374e-07
M11792 -1.603273e-08
M11793 -1.835609e-07
M11794 1.816611e-07
M11795 -1.833385e-08
M11796 -1.760393e-07
M11797 1.802198e-07
M11798 1.617963e-07
M11799 4.176357e-07
M11800 3.733747e-09
M11801 1.478717e-07
M11802 9.270732e-08
M11803 -1.582324e-07
M11804 2.231667e-19
M11805 -4.556000e-07
M11806 7.801124e-08
M11807 -1.391496e-07
M11808 -6.198965e-07
M11809 -7.951304e-07
M11810 2.528635e-07
M11811 -7.382321e-07
M11812 -1.860314e-07
M11813 7.388090e-07
M11814 4.711839e-07
M11815 -6.043160e-08
M11816 1.917881e-07
M11817 -3.564513e-08
M11818 -1.332138e-07
M11819 -2.065558e-07
M11820 -5.974721e-07
M11821 -3.062108e-08
M11822 -3.937802e-08
M11823 4.209626e-08
M11824 -4.439427e-08
M11825 4.681545e-08
M11826 3.649143e-07
M11827 2.343363e-07
M11828 -4.327419e-07
M11829 3.440986e-07
M11830 2.542401e-07
M11831 -1.460462e-07
M11832 -2.231667e-19
M11833 2.841410e-07
M11834 4.922839e-07
M11835 -4.291900e-07
M11836 -1.773512e-08
M11837 1.001404e-06
M11838 6.068163e-07
M11839 1.070041e-07
M11840 1.976158e-07
M11841 -1.733320e-07
M11842 -1.041447e-06
M11843 -1.673727e-07
M11844 2.514440e-07
M11845 -2.976646e-08
M11846 5.321866e-07
M11847 1.443245e-08
M11848 9.016939e-09
M11849 -8.452881e-08
M11850 -6.441862e-07
M11851 -5.439909e-07
M11852 1.644487e-07
M11853 1.781552e-07
M11854 2.490528e-07
M11855 -4.156832e-07
M11856 -2.217080e-07
M11857 -5.637005e-07
M11858 8.583536e-08
M11859 6.043160e-08
M11860 -1.002163e-07
M11861 -1.175287e-07
M11862 4.149857e-07
M11863 1.016151e-07
M11864 5.619729e-07
M11865 -5.432441e-08
M11866 -8.105075e-07
M11867 1.050642e-07
M11868 -2.231667e-19
M11869 1.126964e-08
M11870 -1.945633e-07
M11871 7.020426e-08
M11872 2.275549e-07
M11873 3.943534e-07
M11874 -2.349055e-07
M11875 7.635598e-07
M11876 -1.555882e-07
M11877 -3.107668e-07
M11878 -2.257586e-07
M11879 3.114386e-07
M11880 8.279557e-07
M11881 -2.340394e-07
M11882 8.973244e-07
M11883 -6.666943e-07
M11884 -2.595532e-07
M11885 5.672471e-07
M11886 -2.771703e-07
M11887 -8.973244e-07
M11888 1.345652e-07
M11889 1.706715e-07
M11890 -2.231667e-19
M11891 3.770173e-07
M11892 3.336953e-07
M11893 2.040759e-07
M11894 1.103338e-07
M11895 -1.460462e-07
M11896 8.468159e-07
M11897 3.397571e-08
M11898 7.664552e-07
M11899 -3.457786e-07
M11900 -6.695497e-08
M11901 -2.231667e-19
M11902 1.332294e-07
M11903 -5.478275e-08
M11904 -3.900562e-08
M11905 3.051082e-07
M11906 2.670230e-07
M11907 5.496229e-07
M11908 -6.465733e-08
M11909 8.537188e-07
M11910 2.126946e-07
M11911 -2.172717e-07
M11912 -3.194550e-08
M11913 -2.980265e-07
M11914 4.418981e-07
M11915 -4.499941e-07
M11916 5.063610e-07
M11917 7.801124e-08
M11918 -2.499780e-07
M11919 7.601896e-08
M11920 7.889536e-07
M11921 8.003586e-08
M11922 -5.273164e-08
M11923 -2.461959e-07
M11924 -2.231667e-19
M11925 -5.141443e-08
M11926 1.240328e-07
M11927 -3.279687e-07
M11928 -1.652651e-07
M11929 8.153973e-07
M11930 1.153680e-07
M11931 -9.117337e-08
M11932 -5.258122e-08
M11933 -2.600768e-07
M11934 3.385653e-07
M11935 9.331568e-08
M11936 -6.392424e-07
M11937 2.088420e-08
M11938 5.693430e-07
M11939 2.231667e-19
M11940 -2.090800e-07
M11941 -3.952473e-07
M11942 2.197583e-07
M11943 3.557209e-08
M11944 2.100156e-07
M11945 -2.331308e-08
M11946 -5.338926e-07
M11947 6.938966e-07
M11948 -7.707100e-07
M11949 1.279244e-08
M11950 1.268829e-07
M11951 2.656769e-07
M11952 2.231667e-19
M11953 -8.822176e-09
M11954 7.286640e-07
M11955 1.390026e-07
M11956 4.318246e-07
M11957 1.004112e-07
M11958 -3.557209e-08
M11959 3.856718e-07
M11960 -1.452857e-07
M11961 -3.489506e-07
M11962 2.787903e-07
M11963 1.400657e-07
M11964 2.760311e-07
M11965 6.736727e-07
M11966 -7.238293e-07
M11967 2.088420e-08
M11968 5.753510e-08
M11969 7.218969e-08
M11970 -1.285100e-08
M11971 1.928559e-07
M11972 2.218705e-08
M11973 5.583786e-07
M11974 -3.426300e-08
M11975 -2.635709e-07
M11976 -1.426121e-07
M11977 -3.032797e-09
M11978 -1.268829e-07
M11979 2.899496e-08
M11980 7.383438e-07
M11981 3.557209e-08
M11982 2.818016e-07
M11983 -2.331308e-08
M11984 1.035962e-08
M11985 7.172097e-07
M11986 2.961003e-07
M11987 -7.967284e-08
M11988 5.273164e-08
M11989 2.081963e-07
M11990 -2.343218e-08
M11991 -3.690868e-07
M11992 5.273164e-08
M11993 -1.259035e-07
M11994 -4.406678e-07
M11995 -4.829314e-09
M11996 -6.564214e-08
M11997 4.774387e-08
M11998 -9.218599e-07
M11999 -3.643397e-07
M12000 -7.801124e-08
M12001 -1.034508e-07
M12002 -4.791216e-08
M12003 3.998656e-07
M12004 2.518757e-07
M12005 -1.950057e-07
M12006 -6.658132e-08
M12007 6.382234e-07
M12008 7.375566e-07
M12009 -2.231667e-19
M12010 1.051276e-08
M12011 -2.294269e-07
M12012 -7.930142e-08
M12013 -3.810184e-07
M12014 -7.202024e-07
M12015 -2.009401e-07
M12016 -9.146766e-08
M12017 2.876265e-07
M12018 1.108694e-07
M12019 -1.915077e-07
M12020 -1.899197e-07
M12021 4.856531e-07
M12022 -1.908061e-07
M12023 2.231667e-19
M12024 -1.581815e-08
M12025 5.583786e-07
M12026 1.382995e-07
M12027 5.273164e-08
M12028 -1.788261e-07
M12029 -1.740142e-07
M12030 3.557209e-08
M12031 -6.159293e-07
M12032 9.795680e-08
M12033 4.258278e-07
M12034 2.518757e-07
M12035 1.497725e-08
M12036 2.704693e-07
M12037 5.273164e-08
M12038 -3.072056e-07
M12039 5.273164e-08
M12040 -8.179954e-08
M12041 9.834154e-09
M12042 7.967284e-08
M12043 6.157775e-09
M12044 1.613808e-07
M12045 -4.544051e-07
M12046 5.273164e-08
M12047 -3.536107e-07
M12048 2.633284e-07
M12049 -4.199725e-07
M12050 -2.980997e-08
M12051 -5.156746e-07
M12052 1.538895e-07
M12053 1.183901e-07
M12054 -2.451463e-07
M12055 -3.774184e-07
M12056 -2.960433e-07
M12057 4.352983e-07
M12058 -2.961003e-07
M12059 7.988716e-08
M12060 1.264964e-07
M12061 -1.268829e-07
M12062 -2.342040e-07
M12063 2.765208e-08
M12064 -5.273164e-08
M12065 -1.883611e-07
M12066 4.419703e-07
M12067 3.957482e-07
M12068 5.583786e-07
M12069 -2.633284e-07
M12070 -1.163047e-07
M12071 1.268829e-07
M12072 3.251069e-08
M12073 2.671781e-08
M12074 1.151989e-07
M12075 -9.830282e-08
M12076 -1.696924e-07
M12077 6.595359e-07
M12078 -2.608459e-07
M12079 -3.557209e-08
M12080 5.273164e-08
M12081 3.545554e-09
M12082 3.445865e-07
M12083 8.002036e-08
M12084 2.549002e-08
M12085 1.327344e-07
M12086 -1.872843e-07
M12087 3.660754e-07
M12088 2.125787e-07
M12089 3.856718e-07
M12090 1.268829e-07
M12091 2.542829e-08
M12092 3.775627e-08
M12093 1.458621e-07
M12094 2.633284e-07
M12095 -2.128224e-07
M12096 1.264964e-07
M12097 -1.227414e-08
M12098 -6.062979e-09
M12099 -8.093005e-07
M12100 -4.845354e-07
M12101 -2.231667e-19
M12102 -7.196005e-08
M12103 -5.273164e-08
M12104 -3.557209e-08
M12105 -2.390661e-07
M12106 -1.412708e-07
M12107 2.154648e-07
M12108 2.321196e-07
M12109 1.443209e-08
M12110 -1.291480e-07
M12111 3.084154e-07
M12112 5.843541e-08
M12113 -1.268829e-07
M12114 -2.229673e-07
M12115 1.268829e-07
M12116 4.748227e-08
M12117 -7.801124e-08
M12118 2.665087e-07
M12119 -2.632292e-07
M12120 -7.843340e-08
M12121 -2.409168e-07
M12122 -2.231667e-19
M12123 -2.231667e-19
M12124 -1.982137e-07
M12125 1.698789e-07
M12126 1.202775e-07
M12127 2.172555e-08
M12128 4.125990e-08
M12129 -7.801124e-08
M12130 -2.416919e-08
M12131 -6.344147e-08
M12132 2.231667e-19
M12133 1.805569e-07
M12134 1.222573e-07
M12135 4.496930e-08
M12136 1.268829e-07
M12137 -7.172097e-07
M12138 4.020465e-07
M12139 -1.977621e-07
M12140 1.823015e-07
M12141 1.168232e-07
M12142 3.009786e-07
M12143 1.740578e-07
M12144 -2.359279e-07
M12145 -2.231667e-19
M12146 -3.009786e-07
M12147 3.084154e-07
M12148 -2.231667e-19
M12149 -2.220518e-08
M12150 -1.268829e-07
M12151 -1.268829e-07
M12152 -8.734109e-09
M12153 -1.120579e-07
M12154 6.530884e-07
M12155 3.810932e-07
M12156 -5.168904e-07
M12157 -2.699110e-07
M12158 -2.231667e-19
M12159 -1.592201e-08
M12160 1.380584e-08
M12161 1.268829e-07
M12162 3.947437e-07
M12163 -5.240878e-07
M12164 8.559625e-08
M12165 2.231667e-19
M12166 2.406361e-07
M12167 -6.658132e-08
M12168 2.231667e-19
M12169 -4.796016e-07
M12170 -2.482470e-07
M12171 -7.660944e-07
M12172 -2.231667e-19
M12173 1.453556e-07
M12174 2.231667e-19
M12175 -2.416919e-08
M12176 7.491546e-08
M12177 4.747695e-07
M12178 -1.698789e-07
M12179 -1.227224e-07
M12180 -2.231667e-19
M12181 -3.703547e-07
M12182 3.504656e-08
M12183 1.368589e-07
M12184 1.153680e-07
M12185 1.568385e-07
M12186 4.352983e-07
M12187 -4.910523e-09
M12188 1.470892e-07
M12189 2.789722e-07
M12190 7.664578e-08
M12191 -2.549002e-08
M12192 1.268829e-07
M12193 1.268829e-07
M12194 -4.592380e-08
M12195 -8.003586e-08
M12196 -2.416919e-08
M12197 -8.872997e-11
M12198 6.641183e-08
M12199 -1.268829e-07
M12200 -3.037598e-07
M12201 2.231667e-19
M12202 -2.461959e-07
M12203 9.590421e-08
M12204 -6.229716e-08
M12205 -5.898597e-08
M12206 2.683643e-07
M12207 1.268829e-07
M12208 -2.231667e-19
M12209 -2.231667e-19
M12210 -2.292245e-07
M12211 1.268829e-07
M12212 5.133257e-07
M12213 2.148266e-07
M12214 -2.273359e-07
M12215 1.392806e-07
M12216 -1.034508e-07
M12217 -1.392102e-07
M12218 -2.787587e-07
M12219 -1.830202e-07
M12220 -1.268829e-07
M12221 -2.231667e-19
M12222 2.231667e-19
M12223 1.915077e-07
M12224 8.404470e-08
M12225 -1.908061e-07
M12226 -3.591621e-07
M12227 -2.231667e-19
M12228 3.691349e-08
M12229 -1.058750e-07
M12230 -2.499534e-07
M12231 -2.435459e-07
M12232 -7.008230e-08
M12233 -2.457531e-07
M12234 -2.231667e-19
M12235 -4.024464e-08
M12236 -4.258078e-07
M12237 2.306964e-07
M12238 7.099936e-09
M12239 -3.399205e-07
M12240 2.632292e-07
M12241 1.268829e-07
M12242 -1.152941e-07
M12243 5.489961e-07
M12244 -2.141796e-07
M12245 2.572015e-07
M12246 2.231667e-19
M12247 8.359876e-07
M12248 -6.658132e-08
M12249 2.231667e-19
M12250 6.246056e-07
M12251 -2.231667e-19
M12252 -4.756083e-07
M12253 -9.230643e-08
M12254 1.034508e-07
M12255 -2.572511e-08
M12256 8.175534e-08
M12257 -4.291495e-07
M12258 7.008230e-08
M12259 1.268829e-07
M12260 9.316471e-07
M12261 -7.427813e-07
M12262 2.633284e-07
M12263 1.941366e-07
M12264 -2.155889e-08
M12265 -2.231667e-19
M12266 -1.024531e-07
M12267 2.633284e-07
M12268 -1.371402e-07
M12269 -8.474574e-08
M12270 -2.749446e-07
M12271 5.273164e-08
M12272 1.268829e-07
M12273 -5.351231e-08
M12274 -5.890686e-08
M12275 -2.231667e-19
M12276 6.242047e-08
M12277 -1.090512e-07
M12278 -2.815298e-07
M12279 2.638477e-09
M12280 3.054693e-07
M12281 2.461959e-07
M12282 3.014240e-07
M12283 7.008230e-08
M12284 1.899197e-07
M12285 -2.865560e-07
M12286 8.106044e-08
M12287 -1.268829e-07
M12288 -1.268829e-07
M12289 3.178986e-08
M12290 2.461959e-07
M12291 1.891789e-07
M12292 2.981766e-07
M12293 2.912982e-07
M12294 -9.529588e-07
M12295 5.273164e-08
M12296 -3.234574e-08
M12297 3.929594e-08
M12298 2.254571e-08
M12299 1.181488e-07
M12300 1.268829e-07
M12301 2.218705e-08
M12302 2.633284e-07
M12303 -4.424600e-07
M12304 1.857794e-09
M12305 2.231667e-19
M12306 -1.756952e-07
M12307 -2.613562e-08
M12308 -1.409853e-08
M12309 -4.890850e-08
M12310 -2.862095e-07
M12311 6.658132e-08
M12312 -2.156716e-07
M12313 -2.231667e-19
M12314 8.404470e-08
M12315 1.762404e-07
M12316 -2.231667e-19
M12317 -5.273164e-08
M12318 3.534587e-07
M12319 -6.569834e-07
M12320 2.406361e-07
M12321 -3.444801e-07
M12322 -1.268829e-07
M12323 2.218705e-08
M12324 -2.763366e-08
M12325 -6.818082e-07
M12326 3.575842e-08
M12327 -3.557209e-08
M12328 5.273164e-08
M12329 1.195787e-07
M12330 4.496930e-08
M12331 3.128806e-08
M12332 -4.024464e-08
M12333 8.255809e-07
M12334 -1.058750e-07
M12335 -3.575842e-08
M12336 -2.231667e-19
M12337 -2.231667e-19
M12338 -1.878633e-07
M12339 5.502057e-11
M12340 2.458777e-07
M12341 1.283947e-07
M12342 1.268829e-07
M12343 2.231667e-19
M12344 -3.295453e-07
M12345 1.390026e-07
M12346 -6.525617e-07
M12347 5.273164e-08
M12348 -3.236090e-08
M12349 3.084154e-07
M12350 2.231667e-19
M12351 -2.292245e-07
M12352 -5.981728e-08
M12353 4.791216e-08
M12354 -1.742139e-07
M12355 -2.731066e-07
M12356 5.273164e-08
M12357 6.746709e-08
M12358 1.210945e-07
M12359 -3.557209e-08
M12360 -1.817600e-07
M12361 1.470892e-07
M12362 1.268829e-07
M12363 1.228710e-07
M12364 -1.268829e-07
M12365 5.168950e-07
M12366 2.231667e-19
M12367 4.806971e-07
M12368 -6.658132e-08
M12369 -1.036184e-06
M12370 -2.821010e-09
M12371 1.268829e-07
M12372 4.405001e-08
M12373 2.665087e-07
M12374 8.880566e-08
M12375 -9.502107e-08
M12376 -5.679631e-08
M12377 -1.322870e-07
M12378 -2.231667e-19
M12379 1.358101e-07
M12380 2.726977e-07
M12381 6.030144e-08
M12382 1.534421e-07
M12383 3.431608e-07
M12384 -1.207808e-07
M12385 1.005306e-07
M12386 -2.231667e-19
M12387 -2.231667e-19
M12388 2.927464e-07
M12389 2.737166e-07
M12390 -2.343218e-08
M12391 -3.472496e-07
M12392 2.231667e-19
M12393 3.557209e-08
M12394 6.289966e-07
M12395 -1.470592e-07
M12396 -8.996944e-08
M12397 -2.189224e-07
M12398 -1.934643e-07
M12399 -1.600356e-07
M12400 3.557209e-08
M12401 6.881374e-07
M12402 -9.230643e-08
M12403 -2.231667e-19
M12404 -2.416919e-08
M12405 -4.757234e-07
M12406 -1.066450e-08
M12407 -5.601365e-07
M12408 1.268829e-07
M12409 1.452855e-07
M12410 -2.254571e-08
M12411 3.575842e-08
M12412 -1.222207e-07
M12413 1.264964e-07
M12414 5.273164e-08
M12415 -4.354822e-07
M12416 3.781930e-07
M12417 3.998656e-07
M12418 -3.297148e-07
M12419 -1.268829e-07
M12420 -6.984442e-07
M12421 1.195787e-07
M12422 -7.169195e-07
M12423 -1.174969e-08
M12424 -2.451463e-07
M12425 1.335866e-08
M12426 -2.342040e-07
M12427 2.886985e-07
M12428 8.120331e-07
M12429 2.231667e-19
M12430 -2.194630e-09
M12431 -4.352983e-07
M12432 -5.273164e-08
M12433 2.461959e-07
M12434 -1.580089e-07
M12435 -2.357114e-07
M12436 -6.873846e-08
M12437 -2.800866e-07
M12438 -7.172097e-07
M12439 1.268829e-07
M12440 6.736727e-07
M12441 4.268795e-08
M12442 4.718602e-07
M12443 2.020068e-07
M12444 2.231667e-19
M12445 -2.380379e-07
M12446 -1.268829e-07
M12447 -3.072056e-07
M12448 -2.231667e-19
M12449 -1.268829e-07
M12450 -2.148266e-07
M12451 -8.627096e-08
M12452 1.066450e-08
M12453 8.189592e-07
M12454 -2.624532e-07
M12455 5.583786e-07
M12456 -5.782428e-08
M12457 -8.672213e-08
M12458 5.122781e-08
M12459 2.658855e-07
M12460 1.668654e-07
M12461 2.273359e-07
M12462 6.806285e-08
M12463 -1.268829e-07
M12464 -2.474558e-07
M12465 2.229909e-07
M12466 -1.051276e-08
M12467 1.268829e-07
M12468 3.731723e-07
M12469 6.564214e-08
M12470 -1.762404e-07
M12471 -3.084154e-07
M12472 5.496267e-07
M12473 -1.268829e-07
M12474 -1.298197e-07
M12475 -4.845354e-07
M12476 1.268829e-07
M12477 -2.600768e-07
M12478 -2.027517e-09
M12479 -2.416919e-08
M12480 -1.268829e-07
M12481 -5.571380e-08
M12482 2.613562e-08
M12483 3.391523e-08
M12484 3.575842e-08
M12485 -4.957219e-07
M12486 1.236738e-07
M12487 6.822500e-08
M12488 -1.268829e-07
M12489 -3.381594e-07
M12490 9.230643e-08
M12491 1.268829e-07
M12492 3.742991e-07
M12493 2.405392e-07
M12494 -7.664578e-08
M12495 -2.435459e-07
M12496 1.045371e-07
M12497 -1.412456e-07
M12498 -2.094804e-07
M12499 -2.477157e-08
M12500 2.231667e-19
M12501 -1.698789e-07
M12502 -1.365131e-07
M12503 1.213641e-07
M12504 -2.352735e-07
M12505 7.976466e-07
M12506 -2.406361e-07
M12507 -1.878076e-07
M12508 -4.446222e-08
M12509 5.964285e-08
M12510 -1.452855e-07
M12511 1.268829e-07
M12512 -8.627096e-08
M12513 2.342040e-07
M12514 -2.563583e-07
M12515 -1.145996e-07
M12516 3.009786e-07
M12517 3.687737e-08
M12518 -3.264646e-07
M12519 2.827054e-07
M12520 -1.181488e-07
M12521 2.061737e-07
M12522 -8.175534e-08
M12523 1.268829e-07
M12524 -2.231667e-19
M12525 -2.231667e-19
M12526 -8.858075e-08
M12527 4.910523e-09
M12528 -1.193130e-07
M12529 9.318693e-08
M12530 1.751024e-07
M12531 -2.061737e-07
M12532 -1.268829e-07
M12533 1.358659e-07
M12534 8.748241e-08
M12535 -8.003586e-08
M12536 4.851992e-07
M12537 -2.416919e-08
M12538 -4.163525e-07
M12539 2.112110e-07
M12540 2.242238e-07
M12541 2.818016e-07
M12542 2.148266e-07
M12543 1.592201e-08
M12544 -4.988868e-08
M12545 -2.196660e-07
M12546 -4.350316e-08
M12547 -1.719381e-07
M12548 -3.043726e-07
M12549 -1.538895e-07
M12550 -2.572511e-08
M12551 -1.462504e-07
M12552 -2.658855e-07
M12553 -4.112198e-07
M12554 5.178903e-08
M12555 -8.066296e-10
M12556 2.346514e-07
M12557 1.840256e-08
M12558 -2.231667e-19
M12559 -2.231667e-19
M12560 -5.219955e-08
M12561 -1.284903e-07
M12562 2.231667e-19
M12563 2.988556e-07
M12564 -2.231667e-19
M12565 -6.306886e-08
M12566 2.231667e-19
M12567 1.179054e-07
M12568 -2.231667e-19
M12569 3.673610e-07
M12570 2.231667e-19
M12571 -2.231667e-19
M12572 -4.281072e-08
M12573 3.863311e-08
M12574 6.202190e-09
M12575 -2.549002e-08
M12576 4.471586e-08
M12577 2.231667e-19
M12578 -1.208759e-08
M12579 3.691349e-08
M12580 1.648708e-07
M12581 -2.231667e-19
M12582 2.231667e-19
M12583 2.231667e-19
M12584 -2.231667e-19
M12585 -5.130548e-08
M12586 -1.085704e-07
M12587 2.231667e-19
M12588 -5.130548e-08
M12589 -2.331308e-08
M12590 7.181358e-09
M12591 -8.208695e-09
M12592 -2.231667e-19
M12593 -2.231667e-19
M12594 2.231667e-19
M12595 2.231667e-19
M12596 7.198251e-08
M12597 4.123320e-07
M12598 2.231667e-19
M12599 9.604449e-09
M12600 -3.627572e-08
M12601 -6.260519e-07
M12602 2.231667e-19
M12603 -2.231667e-19
M12604 -2.722118e-08
M12605 3.627572e-08
M12606 2.231667e-19
M12607 -2.231667e-19
M12608 -2.526411e-07
M12609 2.231667e-19
M12610 3.674859e-07
M12611 -2.231667e-19
M12612 -2.231667e-19
M12613 -3.162408e-08
M12614 6.720534e-08
M12615 -1.539403e-08
M12616 -2.803448e-08
M12617 2.231667e-19
M12618 2.231667e-19
M12619 7.988114e-09
M12620 -1.709243e-07
M12621 8.843253e-09
M12622 2.231667e-19
M12623 -8.362327e-08
M12624 7.125974e-08
M12625 -4.267336e-09
M12626 2.528116e-07
M12627 -1.083411e-07
M12628 -2.231667e-19
M12629 2.231667e-19
M12630 -7.988114e-09
M12631 -9.568139e-10
M12632 -1.622690e-08
M12633 1.415356e-08
M12634 2.231667e-19
M12635 -2.391436e-08
M12636 -2.231667e-19
M12637 -5.840075e-07
M12638 2.128185e-08
M12639 1.323678e-08
M12640 1.984908e-07
M12641 1.456198e-08
M12642 -7.281280e-08
M12643 -2.231667e-19
M12644 -4.914657e-08
M12645 -2.231667e-19
M12646 2.231667e-19
M12647 2.231667e-19
M12648 -2.231667e-19
M12649 2.231667e-19
M12650 -2.231667e-19
M12651 2.231667e-19
M12652 4.508724e-07
M12653 -2.231667e-19
M12654 -2.231667e-19
M12655 -2.659622e-07
M12656 2.995321e-07
M12657 2.599253e-08
M12658 -2.231667e-19
M12659 -2.231667e-19
M12660 -2.231667e-19
M12661 2.231667e-19
M12662 2.231667e-19
M12663 -3.705596e-07
M12664 3.474402e-08
M12665 -2.231667e-19
M12666 -2.231667e-19
M12667 -2.231667e-19
M12668 -2.231667e-19
M12669 -2.231667e-19
M12670 3.867109e-07
M12671 1.309504e-08
M12672 2.231667e-19
M12673 -2.231667e-19
M12674 -1.623137e-08
M12675 -2.141278e-07
M12676 -2.061737e-07
M12677 -2.231667e-19
M12678 2.231667e-19
M12679 -4.366894e-07
M12680 1.114966e-07
M12681 2.231667e-19
M12682 -2.231667e-19
M12683 -1.443059e-07
M12684 -3.578327e-07
M12685 1.114966e-07
M12686 -1.325313e-07
M12687 2.144483e-07
M12688 6.306886e-08
M12689 2.231667e-19
M12690 2.231667e-19
M12691 -3.960991e-08
M12692 -2.231667e-19
M12693 -4.071504e-08
M12694 2.231667e-19
M12695 2.485843e-07
M12696 -2.231667e-19
M12697 1.415876e-07
M12698 2.231667e-19
M12699 6.892583e-09
M12700 2.194630e-09
M12701 -2.231667e-19
M12702 -2.231667e-19
M12703 -2.877300e-08
M12704 -1.284903e-07
M12705 -2.474656e-07
M12706 -2.231667e-19
M12707 -1.366823e-07
M12708 1.597478e-08
M12709 2.231667e-19
M12710 4.546496e-08
M12711 -2.231667e-19
M12712 -2.231667e-19
M12713 -8.688630e-08
M12714 -4.069384e-08
M12715 2.231667e-19
M12716 2.231667e-19
M12717 2.231667e-19
M12718 2.231667e-19
M12719 -1.597478e-08
M12720 1.984908e-07
M12721 2.231667e-19
M12722 4.342543e-08
M12723 2.231667e-19
M12724 2.231667e-19
M12725 5.430138e-07
M12726 2.231667e-19
M12727 -2.231667e-19
M12728 5.565853e-07
M12729 2.231667e-19
M12730 -2.231667e-19
M12731 -2.035752e-08
M12732 2.231667e-19
M12733 -4.839213e-08
M12734 1.650286e-08
M12735 -2.231667e-19
M12736 3.095857e-08
M12737 -2.231667e-19
M12738 -5.882677e-07
M12739 2.231667e-19
M12740 2.231667e-19
M12741 -5.334961e-07
M12742 -2.231667e-19
M12743 -2.179364e-07
M12744 -2.231667e-19
M12745 -4.914657e-08
M12746 2.231667e-19
M12747 2.231667e-19
M12748 1.573667e-07
M12749 -2.231667e-19
M12750 1.114966e-07
M12751 1.694205e-07
M12752 -3.296564e-08
M12753 -2.622933e-08
M12754 -2.231667e-19
M12755 2.354550e-07
M12756 1.092041e-07
M12757 -2.231667e-19
M12758 -3.185366e-08
M12759 1.019913e-07
M12760 4.723408e-08
M12761 -2.231667e-19
M12762 2.378524e-07
M12763 -2.231667e-19
M12764 -2.231667e-19
M12765 8.399691e-08
M12766 2.231667e-19
M12767 -2.695622e-07
M12768 3.627572e-08
M12769 2.231667e-19
M12770 -1.332525e-07
M12771 -7.310577e-08
M12772 2.231667e-19
M12773 -1.104481e-07
M12774 2.231667e-19
M12775 2.179364e-07
M12776 -2.231667e-19
M12777 -1.096679e-07
M12778 -2.231667e-19
M12779 2.799441e-07
M12780 -5.478275e-08
M12781 -2.231667e-19
M12782 -8.719775e-08
M12783 2.231667e-19
M12784 2.231667e-19
M12785 -2.231667e-19
M12786 1.393370e-07
M12787 2.231667e-19
M12788 1.062706e-07
M12789 1.061700e-07
M12790 2.331308e-08
M12791 -2.528116e-07
M12792 2.050443e-07
M12793 -1.191271e-07
M12794 1.066576e-08
M12795 -2.231667e-19
M12796 1.284903e-07
M12797 1.296264e-08
M12798 -4.634698e-08
M12799 -1.788056e-07
M12800 2.231667e-19
M12801 -2.378524e-07
M12802 -1.833271e-07
M12803 -4.471586e-08
M12804 -2.378524e-07
M12805 2.231667e-19
M12806 4.647559e-07
M12807 2.231667e-19
M12808 -2.231667e-19
M12809 2.231667e-19
M12810 2.231667e-19
M12811 -2.231667e-19
M12812 -5.198847e-09
M12813 2.231667e-19
M12814 -2.231667e-19
M12815 -1.308960e-08
M12816 -5.304770e-08
M12817 -2.231667e-19
M12818 2.231667e-19
M12819 -2.231667e-19
M12820 -2.231667e-19
M12821 2.231667e-19
M12822 -2.231667e-19
M12823 -2.231667e-19
M12824 2.231667e-19
M12825 5.478275e-08
M12826 -3.141438e-08
M12827 -5.478275e-08
M12828 -2.231667e-19
M12829 -1.302465e-07
M12830 2.099975e-07
M12831 4.467558e-07
M12832 -2.231667e-19
M12833 3.916089e-07
M12834 -4.602579e-07
M12835 -1.462360e-08
M12836 9.800160e-09
M12837 -2.877300e-08
M12838 4.496930e-08
M12839 4.735289e-08
M12840 2.231667e-19
M12841 2.803448e-08
M12842 2.231667e-19
M12843 -2.231667e-19
M12844 2.231667e-19
M12845 -8.029679e-08
M12846 -2.231667e-19
M12847 -2.231667e-19
M12848 -1.576229e-07
M12849 -2.231667e-19
M12850 2.231667e-19
M12851 -2.231667e-19
M12852 3.570071e-07
M12853 -2.231667e-19
M12854 -2.208958e-07
M12855 -1.628589e-08
M12856 -2.231667e-19
M12857 -5.847514e-08
M12858 -3.863311e-08
M12859 2.231667e-19
M12860 -2.231667e-19
M12861 2.378524e-07
M12862 2.331308e-08
M12863 2.231667e-19
M12864 2.231667e-19
M12865 2.231667e-19
M12866 2.231667e-19
M12867 2.231667e-19
M12868 -1.402549e-07
M12869 -4.497876e-07
M12870 2.231667e-19
M12871 9.781835e-08
M12872 2.002947e-07
M12873 -1.363176e-07
M12874 2.231667e-19
M12875 2.549002e-08
M12876 -2.231667e-19
M12877 -2.482006e-07
M12878 -5.916923e-07
M12879 2.231667e-19
M12880 7.089187e-08
M12881 2.247447e-08
M12882 2.231667e-19
M12883 2.231667e-19
M12884 2.231667e-19
M12885 -2.231667e-19
M12886 -3.801609e-07
M12887 -1.790334e-07
M12888 7.957754e-08
M12889 2.231667e-19
M12890 -5.756053e-08
M12891 2.231667e-19
M12892 2.231667e-19
M12893 -1.623137e-08
M12894 -1.393370e-07
M12895 2.231667e-19
M12896 2.231667e-19
M12897 -5.130548e-08
M12898 -2.231667e-19
M12899 -2.231667e-19
M12900 1.411180e-08
M12901 -3.246274e-08
M12902 2.231667e-19
M12903 2.283304e-08
M12904 -5.273164e-08
M12905 -2.231667e-19
M12906 2.231667e-19
M12907 -2.331308e-08
M12908 -2.016252e-08
M12909 -2.260394e-07
M12910 -2.231667e-19
M12911 2.231667e-19
M12912 -2.231667e-19
M12913 -2.378524e-07
M12914 2.231667e-19
M12915 4.467558e-07
M12916 2.231667e-19
M12917 2.231667e-19
M12918 -1.734815e-08
M12919 2.231667e-19
M12920 2.331308e-08
M12921 2.231667e-19
M12922 2.231667e-19
M12923 2.231667e-19
M12924 2.231667e-19
M12925 2.231667e-19
M12926 -1.359160e-07
M12927 1.409853e-08
M12928 -2.231667e-19
M12929 -9.442400e-08
M12930 -2.231667e-19
M12931 -3.675221e-08
M12932 9.396142e-08
M12933 -2.231667e-19
M12934 -2.231667e-19
M12935 2.231667e-19
M12936 2.231667e-19
M12937 -2.231667e-19
M12938 2.231667e-19
M12939 2.231667e-19
M12940 2.231667e-19
M12941 -1.494142e-07
M12942 -1.788858e-07
M12943 -1.193657e-07
M12944 -1.879099e-07
M12945 -2.231667e-19
M12946 2.231667e-19
M12947 2.231667e-19
M12948 -1.806252e-07
M12949 5.419149e-07
M12950 7.844523e-08
M12951 -1.040921e-07
M12952 1.165654e-08
M12953 4.567751e-08
M12954 4.386630e-08
M12955 -2.231667e-19
M12956 -2.231667e-19
M12957 -9.632966e-08
M12958 2.231667e-19
M12959 -1.423431e-07
M12960 -4.894930e-07
M12961 2.231667e-19
M12962 9.800160e-09
M12963 -4.471586e-08
M12964 2.231667e-19
M12965 2.231667e-19
M12966 1.854752e-07
M12967 -2.231667e-19
M12968 -8.993859e-08
M12969 2.231667e-19
M12970 2.231667e-19
M12971 2.231667e-19
M12972 -2.231667e-19
M12973 -1.877312e-07
M12974 -4.866382e-07
M12975 -2.231667e-19
M12976 -2.231667e-19
M12977 2.231667e-19
M12978 -2.231667e-19
M12979 -2.883843e-07
M12980 4.914657e-08
M12981 6.807118e-07
M12982 -1.623137e-08
M12983 2.072904e-07
M12984 2.231667e-19
M12985 2.231667e-19
M12986 2.725747e-08
M12987 2.231667e-19
M12988 -3.668751e-07
M12989 -2.231667e-19
M12990 -3.299690e-07
M12991 2.299213e-08
M12992 2.231667e-19
M12993 4.467558e-07
M12994 -2.833079e-08
M12995 -2.703065e-09
M12996 -2.231667e-19
M12997 -2.231667e-19
M12998 -1.678240e-07
M12999 -2.231667e-19
M13000 -2.789036e-07
M13001 2.231667e-19
M13002 2.231667e-19
M13003 -2.231667e-19
M13004 2.231667e-19
M13005 -2.915064e-07
M13006 2.231667e-19
M13007 -2.231667e-19
M13008 4.839213e-08
M13009 -2.231667e-19
M13010 5.225018e-07
M13011 2.231667e-19
M13012 2.231667e-19
M13013 -1.114966e-07
M13014 -2.231667e-19
M13015 -1.678240e-07
M13016 -3.908511e-08
M13017 6.873846e-08
M13018 2.209462e-10
M13019 1.040921e-07
M13020 -2.231667e-19
M13021 -2.231667e-19
M13022 2.231667e-19
M13023 -9.502592e-08
M13024 -2.803448e-08
M13025 2.231667e-19
M13026 2.231667e-19
M13027 2.231667e-19
M13028 2.231667e-19
M13029 2.231667e-19
M13030 1.628589e-08
M13031 -2.231667e-19
M13032 -2.331308e-08
M13033 4.923984e-08
M13034 1.628589e-08
M13035 -1.413150e-07
M13036 -8.311440e-09
M13037 2.331308e-08
M13038 -7.042431e-08
M13039 -2.231667e-19
M13040 -1.734815e-08
M13041 -2.231667e-19
M13042 3.166225e-08
M13043 -5.459728e-08
M13044 -2.216498e-07
M13045 1.160529e-07
M13046 1.351474e-07
M13047 5.912506e-08
M13048 3.431985e-07
M13049 2.231667e-19
M13050 2.231667e-19
M13051 3.495167e-08
M13052 1.007814e-07
M13053 -2.231667e-19
M13054 7.672104e-08
M13055 7.491487e-08
M13056 -1.263389e-07
M13057 -2.231667e-19
M13058 3.223948e-07
M13059 8.686617e-08
M13060 -2.231667e-19
M13061 -4.471586e-08
M13062 2.231667e-19
M13063 2.231667e-19
M13064 1.708061e-07
M13065 4.449279e-08
M13066 -1.436272e-08
M13067 1.795361e-07
M13068 2.624759e-07
M13069 2.231667e-19
M13070 -8.358088e-08
M13071 -2.231667e-19
M13072 2.231667e-19
M13073 2.231667e-19
M13074 5.264547e-07
M13075 -2.231667e-19
M13076 -2.231667e-19
M13077 -7.865366e-07
M13078 -1.535325e-07
M13079 -2.231667e-19
M13080 2.231667e-19
M13081 1.494142e-07
M13082 -2.231667e-19
M13083 2.231667e-19
M13084 2.231667e-19
M13085 2.231667e-19
M13086 -2.231667e-19
M13087 -2.231667e-19
M13088 -2.203874e-07
M13089 -3.299654e-07
M13090 -2.231667e-19
M13091 -1.984908e-07
M13092 -2.231667e-19
M13093 -1.639674e-07
M13094 -2.231667e-19
M13095 7.281280e-08
M13096 -2.231667e-19
M13097 -4.496930e-08
M13098 -2.231667e-19
M13099 5.141443e-08
M13100 -2.528116e-07
M13101 2.231667e-19
M13102 -4.911474e-09
M13103 -2.231667e-19
M13104 2.231667e-19
M13105 -7.993723e-08
M13106 2.231667e-19
M13107 2.231667e-19
M13108 1.373784e-07
M13109 -2.051678e-07
M13110 2.231667e-19
M13111 3.155941e-07
M13112 -2.231667e-19
M13113 -4.467558e-07
M13114 -1.488698e-07
M13115 -4.908437e-08
M13116 -2.125417e-07
M13117 2.231667e-19
M13118 2.231667e-19
M13119 -2.231667e-19
M13120 -6.877105e-07
M13121 2.231667e-19
M13122 2.231667e-19
M13123 5.628238e-07
M13124 -2.231667e-19
M13125 -2.231667e-19
M13126 2.231667e-19
M13127 2.231667e-19
M13128 -2.231667e-19
M13129 1.628589e-08
M13130 1.876207e-07
M13131 -1.156928e-07
M13132 2.231667e-19
M13133 9.112451e-08
M13134 3.281833e-07
M13135 2.231667e-19
M13136 -2.231667e-19
M13137 -4.049292e-07
M13138 2.877300e-08
M13139 -3.095857e-08
M13140 -2.231667e-19
M13141 -1.928079e-07
M13142 2.231667e-19
M13143 2.231667e-19
M13144 2.231667e-19
M13145 -1.186685e-07
M13146 -1.972628e-08
M13147 2.231667e-19
M13148 2.231667e-19
M13149 1.628589e-08
M13150 7.369265e-08
M13151 -2.231667e-19
M13152 -3.863311e-08
M13153 -1.756834e-07
M13154 1.392823e-07
M13155 -2.231667e-19
M13156 -7.637625e-08
M13157 2.231667e-19
M13158 2.231667e-19
M13159 -2.231667e-19
M13160 -2.231667e-19
M13161 2.231667e-19
M13162 -2.231667e-19
M13163 2.231667e-19
M13164 -1.930795e-07
M13165 -2.231667e-19
M13166 -1.436272e-08
M13167 -2.231667e-19
M13168 3.008814e-07
M13169 6.756248e-08
M13170 -2.231667e-19
M13171 -1.165654e-08
M13172 -2.231667e-19
M13173 -2.231667e-19
M13174 3.141438e-08
M13175 -2.231667e-19
M13176 -3.462975e-08
M13177 8.894204e-08
M13178 3.732036e-07
M13179 2.067005e-07
M13180 2.378524e-07
M13181 1.833385e-08
M13182 3.354700e-07
M13183 1.368555e-07
M13184 -1.676461e-07
M13185 -5.738533e-08
M13186 -2.231667e-19
M13187 2.231667e-19
M13188 2.231667e-19
M13189 1.321370e-08
M13190 -1.860309e-07
M13191 -3.863311e-08
M13192 -2.971459e-07
M13193 1.413150e-07
M13194 7.477249e-08
M13195 -3.181275e-07
M13196 -3.691349e-08
M13197 1.402549e-07
M13198 2.231667e-19
M13199 -2.231667e-19
M13200 2.231667e-19
M13201 -3.809138e-07
M13202 2.231667e-19
M13203 2.231667e-19
M13204 1.678240e-07
M13205 -2.231667e-19
M13206 -2.231667e-19
M13207 7.590940e-08
M13208 2.231667e-19
M13209 1.447551e-07
M13210 2.231667e-19
M13211 2.231667e-19
M13212 2.231667e-19
M13213 -1.325313e-07
M13214 9.328309e-08
M13215 -2.231667e-19
M13216 -2.471525e-07
M13217 -1.846774e-07
M13218 -2.231667e-19
M13219 -6.277086e-08
M13220 2.231667e-19
M13221 2.231667e-19
M13222 5.934476e-07
M13223 -2.139705e-08
M13224 2.231667e-19
M13225 2.231667e-19
M13226 -2.231667e-19
M13227 2.231667e-19
M13228 3.846001e-07
M13229 1.984324e-07
M13230 -2.231667e-19
M13231 3.673018e-07
M13232 2.231667e-19
M13233 -2.231667e-19
M13234 2.231667e-19
M13235 -2.133495e-07
M13236 2.231667e-19
M13237 -4.839213e-08
M13238 -2.231667e-19
M13239 1.417434e-07
M13240 2.231667e-19
M13241 -1.015351e-08
M13242 2.378524e-07
M13243 -2.231667e-19
M13244 7.768150e-08
M13245 -1.740196e-08
M13246 2.231667e-19
M13247 -4.495983e-09
M13248 5.130548e-08
M13249 5.478275e-08
M13250 2.231667e-19
M13251 -3.848441e-08
M13252 4.496930e-08
M13253 -1.710717e-07
M13254 -2.140675e-07
M13255 -1.985012e-07
M13256 3.668751e-07
M13257 -2.231667e-19
M13258 5.008393e-07
M13259 -1.253216e-07
M13260 3.495706e-08
M13261 -2.231667e-19
M13262 -2.231667e-19
M13263 -1.826620e-07
M13264 2.231667e-19
M13265 -2.231667e-19
M13266 3.549243e-07
M13267 1.330899e-07
M13268 2.231667e-19
M13269 -2.429623e-07
M13270 2.231667e-19
M13271 -1.739143e-07
M13272 -2.231667e-19
M13273 2.231667e-19
M13274 -2.231667e-19
M13275 -1.312667e-07
M13276 2.231667e-19
M13277 2.072904e-07
M13278 -2.231667e-19
M13279 2.231667e-19
M13280 -7.491487e-08
M13281 -2.231667e-19
M13282 -2.263468e-07
M13283 9.029333e-09
M13284 1.413150e-07
M13285 2.231667e-19
M13286 2.231667e-19
M13287 -2.231667e-19
M13288 2.231667e-19
M13289 -2.528116e-07
M13290 -2.231667e-19
M13291 -4.471586e-08
M13292 2.231667e-19
M13293 -2.231667e-19
M13294 -2.231667e-19
M13295 2.088282e-08
M13296 2.231667e-19
M13297 2.231667e-19
M13298 -1.974098e-07
M13299 2.231667e-19
M13300 -2.231667e-19
M13301 7.977595e-08
M13302 -2.231667e-19
M13303 -2.231667e-19
M13304 -1.296264e-08
M13305 2.231667e-19
M13306 8.686617e-08
M13307 -2.231667e-19
M13308 1.240021e-07
M13309 1.436272e-08
M13310 -7.826556e-09
M13311 -2.231667e-19
M13312 -2.231667e-19
M13313 2.231667e-19
M13314 -1.440859e-08
M13315 2.324182e-07
M13316 2.231667e-19
M13317 -3.085294e-07
M13318 1.260521e-07
M13319 2.668926e-08
M13320 -2.231667e-19
M13321 -2.231667e-19
M13322 -9.400843e-08
M13323 -5.610248e-08
M13324 -2.240798e-07
M13325 -2.953173e-07
M13326 -8.259750e-08
M13327 -1.323678e-08
M13328 2.231667e-19
M13329 -2.231667e-19
M13330 3.368288e-07
M13331 2.016252e-08
M13332 -2.231667e-19
M13333 -2.231667e-19
M13334 1.806800e-07
M13335 -1.628589e-08
M13336 -1.527774e-07
M13337 -2.231667e-19
M13338 3.910918e-07
M13339 9.800962e-08
M13340 2.231667e-19
M13341 -2.231667e-19
M13342 -8.875400e-08
M13343 -1.840256e-08
M13344 -2.988556e-07
M13345 -5.355426e-08
M13346 2.736339e-07
M13347 2.231667e-19
M13348 -1.300910e-07
M13349 2.953173e-07
M13350 5.141443e-08
M13351 2.528116e-07
M13352 -2.231667e-19
M13353 2.231667e-19
M13354 2.231667e-19
M13355 3.863311e-08
M13356 -9.632966e-08
M13357 -2.231667e-19
M13358 -2.231667e-19
M13359 3.495706e-08
M13360 -2.231667e-19
M13361 -1.395145e-07
M13362 2.231667e-19
M13363 2.231667e-19
M13364 -5.324428e-08
M13365 -2.231667e-19
M13366 -1.427763e-07
M13367 2.231667e-19
M13368 -2.231667e-19
M13369 -2.231667e-19
M13370 -1.413150e-07
M13371 -2.231667e-19
M13372 5.363186e-07
M13373 3.343768e-07
M13374 -4.126871e-07
M13375 -2.231667e-19
M13376 -2.231667e-19
M13377 -2.231667e-19
M13378 -1.598159e-07
M13379 8.081336e-07
M13380 -7.281280e-08
M13381 -2.231667e-19
M13382 2.231667e-19
M13383 4.496930e-08
M13384 6.802894e-08
M13385 -2.231667e-19
M13386 -5.324428e-08
M13387 -2.231667e-19
M13388 -5.794375e-08
M13389 2.231667e-19
M13390 4.344585e-08
M13391 -9.575073e-08
M13392 -2.231667e-19
M13393 -2.231667e-19
M13394 2.231667e-19
M13395 2.231667e-19
M13396 2.231667e-19
M13397 4.456216e-08
M13398 -2.231667e-19
M13399 -2.378524e-07
M13400 -2.231667e-19
M13401 -2.231667e-19
M13402 2.112493e-07
M13403 -2.231667e-19
M13404 -2.231667e-19
M13405 2.231667e-19
M13406 -2.231667e-19
M13407 1.546951e-07
M13408 1.840256e-08
M13409 -2.231667e-19
M13410 -2.644458e-07
M13411 4.567751e-08
M13412 -2.231667e-19
M13413 2.551531e-07
M13414 2.231667e-19
M13415 -1.610408e-07
M13416 2.128185e-08
M13417 -2.231667e-19
M13418 7.267403e-08
M13419 2.231667e-19
M13420 2.231667e-19
M13421 -2.231667e-19
M13422 -5.955471e-07
M13423 -4.471586e-08
M13424 -2.231667e-19
M13425 -2.231667e-19
M13426 -1.035159e-07
M13427 -2.231667e-19
M13428 -7.281280e-08
M13429 1.306761e-07
M13430 -2.231667e-19
M13431 3.141438e-08
M13432 2.231667e-19
M13433 -2.231667e-19
M13434 -1.543735e-08
M13435 -2.231667e-19
M13436 -1.285325e-07
M13437 -2.231667e-19
M13438 -2.231667e-19
M13439 -2.231667e-19
M13440 5.252117e-08
M13441 2.813465e-08
M13442 -2.231667e-19
M13443 -2.231667e-19
M13444 -1.154490e-07
M13445 2.231667e-19
M13446 -8.417548e-08
M13447 2.231667e-19
M13448 -2.231667e-19
M13449 3.267192e-07
M13450 -2.231667e-19
M13451 -2.231667e-19
M13452 -2.043140e-07
M13453 2.231667e-19
M13454 -5.109201e-07
M13455 2.231667e-19
M13456 -2.231667e-19
M13457 -2.231667e-19
M13458 1.311615e-07
M13459 2.255247e-07
M13460 2.179364e-07
M13461 -3.266761e-07
M13462 2.210476e-07
M13463 -2.231667e-19
M13464 9.519708e-08
M13465 -2.231667e-19
M13466 2.668590e-07
M13467 -3.510700e-08
M13468 4.575934e-07
M13469 -2.656347e-07
M13470 -1.840256e-08
M13471 -1.496740e-07
M13472 1.075647e-07
M13473 -2.116145e-08
M13474 -3.653905e-08
M13475 -1.055552e-07
M13476 -4.079410e-07
M13477 -1.497488e-07
M13478 -2.585244e-07
M13479 -9.324246e-08
M13480 -3.417675e-08
M13481 2.615381e-07
M13482 3.835851e-07
M13483 -1.437461e-07
M13484 2.784961e-07
M13485 2.060972e-07
M13486 3.906388e-07
M13487 -2.231667e-19
M13488 2.331308e-08
M13489 4.073153e-08
M13490 -3.610268e-07
M13491 -2.235793e-08
M13492 1.186086e-07
M13493 -3.628648e-08
M13494 -4.275899e-07
M13495 -2.231667e-19
M13496 -2.828212e-08
M13497 -2.231667e-19
M13498 7.186142e-08
M13499 -5.440336e-07
M13500 1.995453e-07
M13501 -4.008873e-07
M13502 -4.491139e-07
M13503 -3.799165e-08
M13504 7.065751e-08
M13505 2.231667e-19
M13506 3.875049e-07
M13507 -3.665214e-07
M13508 -2.231667e-19
M13509 3.112873e-07
M13510 -4.735889e-08
M13511 -2.231667e-19
M13512 3.402205e-07
M13513 -5.979656e-07
M13514 -2.231667e-19
M13515 1.002063e-07
M13516 -3.782982e-07
M13517 1.210760e-07
M13518 2.801781e-07
M13519 1.818046e-07
M13520 2.060972e-07
M13521 -2.231667e-19
M13522 -1.029525e-07
M13523 1.765141e-08
M13524 -1.220205e-07
M13525 -1.973676e-07
M13526 9.130259e-08
M13527 5.582171e-07
M13528 -2.327906e-07
M13529 -5.763094e-07
M13530 -1.029525e-07
M13531 2.656347e-07
M13532 2.640264e-07
M13533 4.816229e-07
M13534 6.824440e-07
M13535 6.036566e-08
M13536 8.241268e-08
M13537 5.440336e-07
M13538 5.976592e-07
M13539 -2.435459e-07
M13540 -1.496740e-07
M13541 3.045413e-07
M13542 8.846593e-08
M13543 7.497839e-07
M13544 -9.130259e-08
M13545 -9.201279e-09
M13546 9.201279e-09
M13547 9.043888e-08
M13548 7.864327e-08
M13549 1.755564e-07
M13550 4.062741e-07
M13551 5.535714e-07
M13552 5.317833e-07
M13553 2.231667e-19
M13554 -1.973159e-07
M13555 -2.151537e-07
M13556 -2.063817e-07
M13557 -1.002063e-07
M13558 1.339123e-07
M13559 4.007724e-07
M13560 2.475435e-07
M13561 -3.361231e-09
M13562 2.231667e-19
M13563 -1.344685e-08
M13564 1.847577e-07
M13565 -2.231667e-19
M13566 5.875589e-07
M13567 1.639118e-07
M13568 2.668590e-07
M13569 7.256654e-08
M13570 1.942757e-08
M13571 2.412282e-07
M13572 1.148711e-07
M13573 2.231667e-19
M13574 -8.297693e-08
M13575 3.062530e-07
M13576 -2.822175e-07
M13577 1.496740e-07
M13578 4.821877e-07
M13579 7.390512e-07
M13580 2.745748e-07
M13581 -9.201279e-09
M13582 -1.496844e-08
M13583 -2.231667e-19
M13584 4.308807e-08
M13585 -2.998469e-07
M13586 2.231667e-19
M13587 -4.451609e-07
M13588 -1.518962e-07
M13589 2.794432e-07
M13590 -1.924809e-07
M13591 2.427913e-07
M13592 -3.361231e-09
M13593 6.006174e-07
M13594 -3.854816e-09
M13595 5.095344e-07
M13596 2.064471e-07
M13597 7.248943e-09
M13598 -2.400221e-10
M13599 -1.984974e-07
M13600 2.626604e-08
M13601 -1.186086e-07
M13602 9.201279e-09
M13603 -2.472957e-07
M13604 -2.285848e-07
M13605 2.231667e-19
M13606 2.463871e-07
M13607 1.131016e-07
M13608 4.275899e-07
M13609 -2.231667e-19
M13610 -2.435459e-07
M13611 6.166359e-07
M13612 1.594310e-09
M13613 3.442058e-07
M13614 7.999911e-08
M13615 -5.336730e-07
M13616 -2.093095e-08
M13617 -7.244365e-08
M13618 9.130259e-08
M13619 -2.794432e-07
M13620 1.327563e-07
M13621 -1.220205e-07
M13622 -1.683542e-07
M13623 -1.942939e-07
M13624 1.088551e-07
M13625 -5.200526e-07
M13626 -5.321180e-08
M13627 -5.976592e-07
M13628 -2.968790e-07
M13629 -9.201279e-09
M13630 -2.093886e-07
M13631 -3.377395e-07
M13632 -2.231667e-19
M13633 1.958909e-08
M13634 -5.686992e-07
M13635 -2.231667e-19
M13636 2.824252e-07
M13637 1.121016e-07
M13638 -2.231667e-19
M13639 -1.170643e-07
M13640 -7.864327e-08
M13641 1.503197e-07
M13642 -5.139385e-07
M13643 -1.868744e-09
M13644 -9.201279e-09
M13645 -4.254433e-07
M13646 2.231667e-19
M13647 1.508240e-07
M13648 1.122340e-07
M13649 2.979434e-07
M13650 -6.681325e-07
M13651 -2.444953e-07
M13652 -7.580906e-07
M13653 -7.535093e-08
M13654 6.745883e-07
M13655 -3.009128e-08
M13656 1.404209e-07
M13657 -3.510700e-08
M13658 -2.279329e-07
M13659 4.923751e-07
M13660 -1.403213e-07
M13661 -2.435459e-07
M13662 -2.092658e-07
M13663 9.357687e-08
M13664 -1.730212e-08
M13665 2.810135e-08
M13666 3.469499e-09
M13667 2.643630e-07
M13668 -2.558006e-07
M13669 2.794432e-07
M13670 1.677427e-07
M13671 2.331308e-08
M13672 -3.071447e-07
M13673 3.568051e-07
M13674 -2.982424e-08
M13675 1.533899e-07
M13676 2.956696e-07
M13677 -3.727083e-07
M13678 -3.950011e-07
M13679 -4.766405e-08
M13680 -9.201279e-09
M13681 1.029525e-07
M13682 -5.200526e-07
M13683 -6.075536e-07
M13684 -1.186086e-07
M13685 1.054476e-07
M13686 -1.404209e-07
M13687 2.273049e-07
M13688 1.278099e-07
M13689 -2.234226e-07
M13690 -8.096790e-07
M13691 1.773479e-07
M13692 -2.882575e-07
M13693 -2.668590e-07
M13694 3.433956e-08
M13695 -3.132485e-09
M13696 3.848270e-07
M13697 -2.223134e-07
M13698 4.439427e-08
M13699 -2.209868e-07
M13700 2.632246e-07
M13701 -3.194268e-07
M13702 1.319999e-07
M13703 -2.696897e-07
M13704 6.891846e-08
M13705 -1.484860e-07
M13706 -3.268777e-07
M13707 3.854816e-09
M13708 -2.581396e-07
M13709 -9.130259e-08
M13710 -1.490412e-07
M13711 -5.072520e-08
M13712 7.850187e-08
M13713 5.099011e-07
M13714 2.432326e-07
M13715 1.912423e-07
M13716 -4.067328e-07
M13717 -2.025158e-07
M13718 -2.854960e-07
M13719 9.130259e-08
M13720 5.095344e-07
M13721 -3.957295e-07
M13722 -2.648507e-07
M13723 -7.864327e-08
M13724 3.628648e-08
M13725 2.463871e-07
M13726 2.301282e-07
M13727 -8.241268e-08
M13728 -2.849805e-07
M13729 -2.231667e-19
M13730 -7.801124e-08
M13731 4.275899e-07
M13732 -2.462510e-07
M13733 -5.431746e-07
M13734 5.748570e-07
M13735 1.186086e-07
M13736 6.359684e-07
M13737 1.656111e-07
M13738 -2.447864e-07
M13739 -3.418467e-07
M13740 2.231667e-19
M13741 2.791685e-07
M13742 -2.649035e-07
M13743 -3.418467e-07
M13744 2.824252e-07
M13745 4.494459e-07
M13746 2.231667e-19
M13747 -1.824089e-07
M13748 -9.130259e-08
M13749 -4.600585e-07
M13750 2.615407e-07
M13751 9.126639e-08
M13752 -3.361231e-09
M13753 2.956696e-07
M13754 2.790348e-07
M13755 3.749834e-07
M13756 -2.764645e-07
M13757 -5.331799e-09
M13758 -2.125915e-07
M13759 -4.440889e-07
M13760 2.445072e-07
M13761 4.036080e-07
M13762 -8.128171e-09
M13763 7.864327e-08
M13764 2.410676e-07
M13765 -2.231667e-19
M13766 1.755350e-08
M13767 1.780687e-07
M13768 1.413150e-07
M13769 -6.826102e-08
M13770 2.288805e-07
M13771 4.096113e-07
M13772 -2.069995e-07
M13773 -2.231667e-19
M13774 8.466112e-09
M13775 9.201279e-09
M13776 -1.210760e-07
M13777 4.096113e-07
M13778 5.131650e-07
M13779 -1.193833e-07
M13780 -2.749012e-07
M13781 5.976328e-07
M13782 -2.656347e-07
M13783 3.377395e-07
M13784 -7.988114e-09
M13785 -2.231667e-19
M13786 -7.449842e-07
M13787 1.929950e-07
M13788 -3.917259e-07
M13789 -1.674959e-07
M13790 -6.358774e-07
M13791 -6.277053e-07
M13792 1.319999e-07
M13793 -1.341591e-07
M13794 -5.158236e-07
M13795 -5.095536e-07
M13796 4.145275e-07
M13797 -1.481467e-07
M13798 -2.231667e-19
M13799 2.463871e-07
M13800 -7.044378e-08
M13801 2.231667e-19
M13802 -1.988038e-07
M13803 2.776858e-07
M13804 -5.963922e-07
M13805 1.134792e-07
M13806 -4.735889e-08
M13807 1.503197e-07
M13808 8.846593e-08
M13809 5.460038e-07
M13810 -1.770911e-07
M13811 3.969034e-07
M13812 -1.828750e-08
M13813 1.128150e-07
M13814 -1.947365e-07
M13815 -2.099307e-08
M13816 -2.231667e-19
M13817 -2.181099e-07
M13818 -5.284856e-07
M13819 -1.309701e-07
M13820 1.841174e-07
M13821 -1.947365e-07
M13822 -7.009182e-07
M13823 -1.510869e-07
M13824 4.096113e-07
M13825 -5.431746e-07
M13826 1.570645e-07
M13827 -7.864327e-08
M13828 -2.463871e-07
M13829 2.231667e-19
M13830 -1.853169e-07
M13831 -4.826745e-08
M13832 1.661574e-07
M13833 2.231667e-19
M13834 -4.377894e-07
M13835 3.568051e-07
M13836 2.712816e-07
M13837 6.024928e-07
M13838 2.761829e-07
M13839 -3.020655e-07
M13840 2.231667e-19
M13841 -6.934369e-08
M13842 1.355692e-07
M13843 3.510700e-08
M13844 9.126639e-08
M13845 3.998292e-07
M13846 1.755564e-07
M13847 -1.929988e-07
M13848 -1.070382e-07
M13849 -6.321962e-09
M13850 1.888635e-07
M13851 6.610980e-07
M13852 1.210760e-07
M13853 -2.231667e-19
M13854 -6.085588e-08
M13855 -2.355503e-07
M13856 5.539059e-07
M13857 2.618164e-07
M13858 -2.231667e-19
M13859 3.900562e-08
M13860 -1.647986e-07
M13861 -5.284856e-07
M13862 -2.202966e-07
M13863 2.400221e-10
M13864 2.231667e-19
M13865 -2.276467e-07
M13866 -4.766405e-08
M13867 -2.618164e-07
M13868 3.889761e-07
M13869 1.572623e-08
M13870 3.584170e-07
M13871 3.263865e-07
M13872 -2.168289e-07
M13873 -3.116591e-08
M13874 2.112523e-07
M13875 -5.863833e-08
M13876 -7.005532e-08
M13877 -2.146518e-07
M13878 2.991346e-08
M13879 3.452153e-07
M13880 5.430306e-07
M13881 1.060494e-06
M13882 3.946689e-07
M13883 1.828067e-07
M13884 -2.993830e-07
M13885 1.278099e-07
M13886 -8.131315e-08
M13887 -3.366522e-07
M13888 -5.582171e-07
M13889 -3.855526e-07
M13890 1.533899e-07
M13891 1.690290e-07
M13892 -1.510869e-07
M13893 -2.486193e-07
M13894 1.636626e-07
M13895 -1.965311e-07
M13896 4.583652e-07
M13897 5.506412e-07
M13898 -2.366759e-07
M13899 4.171259e-07
M13900 -2.349840e-07
M13901 6.568236e-09
M13902 3.799306e-07
M13903 3.579513e-07
M13904 -1.840256e-08
M13905 3.998292e-07
M13906 -8.131315e-08
M13907 -4.772152e-07
M13908 -1.840256e-08
M13909 -1.186086e-07
M13910 -3.433034e-07
M13911 -1.503197e-07
M13912 -3.631069e-07
M13913 -5.228122e-07
M13914 -7.009182e-07
M13915 2.231667e-19
M13916 6.610980e-07
M13917 -5.687709e-07
M13918 1.138289e-07
M13919 -1.481467e-07
M13920 1.186086e-07
M13921 -7.672595e-07
M13922 -2.899011e-07
M13923 4.030557e-07
M13924 -1.150954e-07
M13925 3.263865e-07
M13926 4.766405e-08
M13927 -3.916253e-07
M13928 -1.309701e-07
M13929 -6.361668e-07
M13930 -6.163862e-07
M13931 -9.201279e-09
M13932 2.525511e-07
M13933 2.231667e-19
M13934 1.527707e-07
M13935 4.554391e-07
M13936 -2.125915e-07
M13937 3.955186e-07
M13938 1.407002e-07
M13939 2.231667e-19
M13940 1.004818e-07
M13941 4.792984e-08
M13942 -7.337785e-08
M13943 -4.267641e-07
M13944 -1.506313e-07
M13945 -2.964216e-07
M13946 -5.332142e-07
M13947 -4.457640e-07
M13948 -2.472957e-07
M13949 7.402628e-07
M13950 3.487518e-07
M13951 -5.033642e-07
M13952 1.627684e-07
M13953 -1.850274e-07
M13954 -4.377894e-07
M13955 -1.714309e-08
M13956 -1.510869e-07
M13957 3.425435e-07
M13958 -2.400221e-10
M13959 -1.489769e-07
M13960 -7.801124e-08
M13961 -3.402205e-07
M13962 1.510869e-07
M13963 2.231667e-19
M13964 4.342392e-07
M13965 -2.375890e-07
M13966 -3.371731e-07
M13967 5.118371e-07
M13968 2.435459e-07
M13969 -4.735889e-08
M13970 1.413150e-07
M13971 -3.779427e-07
M13972 -7.864327e-08
M13973 2.231667e-19
M13974 9.201279e-09
M13975 1.196861e-07
M13976 7.721192e-08
M13977 -3.213118e-07
M13978 7.337785e-08
M13979 9.368478e-08
M13980 -5.494133e-07
M13981 3.402205e-07
M13982 -4.507825e-07
M13983 -2.276467e-07
M13984 6.703345e-08
M13985 9.201279e-09
M13986 1.004818e-07
M13987 6.499469e-07
M13988 2.231667e-19
M13989 -3.584170e-07
M13990 -1.223242e-07
M13991 2.231667e-19
M13992 2.242398e-07
M13993 -1.213522e-07
M13994 -7.007944e-08
M13995 2.066340e-07
M13996 2.726103e-07
M13997 5.060468e-07
M13998 1.094105e-07
M13999 -1.835930e-07
M14000 -2.153578e-07
M14001 3.063285e-07
M14002 -1.834005e-07
M14003 -1.977171e-07
M14004 -1.319999e-07
M14005 1.840256e-08
M14006 -5.887794e-07
M14007 2.492424e-07
M14008 -1.817120e-07
M14009 4.423324e-08
M14010 8.579943e-08
M14011 -2.231667e-19
M14012 -2.169229e-07
M14013 -2.231667e-19
M14014 4.271010e-07
M14015 2.371384e-07
M14016 1.186086e-07
M14017 -2.231667e-19
M14018 -5.979656e-07
M14019 -1.411180e-08
M14020 2.251362e-08
M14021 -2.439117e-07
M14022 -2.445664e-08
M14023 -1.684007e-07
M14024 2.465342e-07
M14025 3.821355e-09
M14026 -7.798496e-08
M14027 2.731824e-07
M14028 9.201279e-09
M14029 8.632793e-08
M14030 4.762150e-07
M14031 1.755350e-08
M14032 2.231667e-19
M14033 1.510869e-07
M14034 -2.234731e-07
M14035 -6.746018e-09
M14036 4.800429e-08
M14037 -5.462007e-08
M14038 5.872244e-07
M14039 -1.947365e-07
M14040 -6.134808e-07
M14041 6.725314e-08
M14042 -3.171074e-07
M14043 -1.305140e-07
M14044 2.337992e-07
M14045 9.201279e-09
M14046 7.528332e-07
M14047 7.044378e-08
M14048 -1.328180e-07
M14049 -8.878854e-08
M14050 -6.202078e-08
M14051 -7.041381e-08
M14052 -3.000273e-07
M14053 1.589600e-07
M14054 -2.331308e-08
M14055 -2.153578e-07
M14056 2.231667e-19
M14057 -3.638129e-07
M14058 2.051177e-07
M14059 -3.477205e-07
M14060 1.278099e-07
M14061 1.533899e-07
M14062 3.466317e-07
M14063 -2.231667e-19
M14064 -1.395340e-07
M14065 -5.746601e-07
M14066 -1.092948e-07
M14067 1.937824e-07
M14068 6.582656e-07
M14069 4.075932e-07
M14070 1.366728e-07
M14071 4.421036e-07
M14072 3.272740e-08
M14073 -8.210131e-08
M14074 1.405071e-07
M14075 2.682620e-08
M14076 -3.628648e-08
M14077 -3.418467e-07
M14078 6.613663e-07
M14079 -3.417675e-08
M14080 1.840256e-08
M14081 -1.956216e-07
M14082 -4.826518e-07
M14083 1.510869e-07
M14084 2.231667e-19
M14085 -1.504220e-07
M14086 -6.444849e-08
M14087 -2.398669e-07
M14088 -2.231667e-19
M14089 -3.584170e-07
M14090 -1.533899e-07
M14091 -9.621442e-08
M14092 4.636765e-07
M14093 -1.892079e-08
M14094 -2.231667e-19
M14095 7.721426e-07
M14096 2.163882e-07
M14097 -1.955453e-07
M14098 6.085892e-07
M14099 2.707170e-07
M14100 -2.231667e-19
M14101 -1.503798e-07
M14102 -1.517269e-07
M14103 -1.510869e-07
M14104 -3.900562e-08
M14105 2.231667e-19
M14106 2.493674e-07
M14107 -1.004818e-07
M14108 -7.152638e-07
M14109 -3.075237e-07
M14110 -5.414289e-08
M14111 4.310833e-07
M14112 -7.779238e-08
M14113 -1.924004e-07
M14114 -1.366728e-07
M14115 -2.231033e-07
M14116 3.279371e-08
M14117 3.580865e-07
M14118 5.637240e-08
M14119 -1.029525e-07
M14120 -2.231667e-19
M14121 5.579069e-07
M14122 -1.787067e-07
M14123 1.240724e-07
M14124 7.985942e-08
M14125 2.014688e-07
M14126 -7.536873e-07
M14127 1.366728e-07
M14128 1.355692e-07
M14129 5.976328e-07
M14130 5.194617e-08
M14131 2.231667e-19
M14132 6.085892e-07
M14133 2.707170e-07
M14134 -3.254324e-07
M14135 1.758588e-07
M14136 8.748209e-08
M14137 4.639806e-09
M14138 8.613369e-08
M14139 -4.494459e-07
M14140 -1.299543e-08
M14141 2.370815e-08
M14142 2.900820e-07
M14143 1.533899e-07
M14144 -4.057116e-07
M14145 -1.301681e-07
M14146 1.796630e-07
M14147 -4.008873e-07
M14148 2.075818e-07
M14149 1.259623e-07
M14150 -3.107336e-07
M14151 -2.707170e-07
M14152 -2.794432e-07
M14153 -5.478275e-08
M14154 2.231667e-19
M14155 -3.942848e-07
M14156 -3.950524e-07
M14157 -3.914476e-07
M14158 3.854676e-07
M14159 2.902756e-07
M14160 2.231667e-19
M14161 4.677371e-07
M14162 3.420448e-07
M14163 3.767335e-07
M14164 -2.435459e-07
M14165 1.763909e-07
M14166 8.524055e-09
M14167 1.536711e-07
M14168 1.347193e-07
M14169 -2.231667e-19
M14170 -4.275899e-07
M14171 -1.992538e-07
M14172 2.594725e-08
M14173 -1.095308e-07
M14174 -4.258008e-07
M14175 4.551793e-07
M14176 -3.377395e-07
M14177 6.353694e-07
M14178 3.098770e-09
M14179 2.991346e-08
M14180 -1.912423e-07
M14181 -2.231667e-19
M14182 1.411180e-08
M14183 1.157637e-07
M14184 -2.181099e-07
M14185 8.624195e-09
M14186 -2.697316e-07
M14187 -2.938346e-07
M14188 -5.410036e-07
M14189 2.231667e-19
M14190 4.033035e-08
M14191 3.686246e-07
M14192 9.201279e-09
M14193 -2.596661e-08
M14194 -2.368889e-07
M14195 1.576129e-07
M14196 3.580865e-07
M14197 2.231667e-19
M14198 -4.890202e-08
M14199 -6.298022e-07
M14200 -1.226805e-07
M14201 2.559290e-07
M14202 6.675929e-07
M14203 2.680030e-07
M14204 9.385173e-08
M14205 -2.061737e-07
M14206 -5.905974e-08
M14207 -2.794432e-07
M14208 -3.028079e-07
M14209 1.095308e-07
M14210 -3.510700e-08
M14211 -1.528784e-07
M14212 4.587352e-08
M14213 6.830937e-07
M14214 2.267958e-07
M14215 -7.256209e-07
M14216 -3.901501e-07
M14217 2.231667e-19
M14218 6.292300e-08
M14219 -3.009096e-07
M14220 1.301681e-07
M14221 -2.231667e-19
M14222 -3.093496e-07
M14223 7.894542e-07
M14224 -2.572961e-07
M14225 3.348206e-07
M14226 -4.583652e-07
M14227 -5.253844e-07
M14228 7.037443e-08
M14229 1.780687e-07
M14230 -6.609870e-07
M14231 3.279482e-07
M14232 -2.370815e-08
M14233 -1.234151e-07
M14234 -5.439170e-07
M14235 2.231667e-19
M14236 -2.245742e-07
M14237 5.979656e-07
M14238 -6.298022e-07
M14239 4.821877e-07
M14240 -3.665214e-07
M14241 -3.998292e-07
M14242 6.499559e-07
M14243 1.973676e-07
M14244 -4.534907e-07
M14245 3.151031e-07
M14246 2.231667e-19
M14247 1.067647e-07
M14248 3.631069e-07
M14249 -3.377395e-07
M14250 3.402205e-07
M14251 4.494459e-07
M14252 -3.631069e-07
M14253 -1.484860e-07
M14254 4.094880e-08
M14255 2.465342e-07
M14256 -2.231667e-19
M14257 -1.186592e-07
M14258 -4.166817e-07
M14259 -3.634309e-07
M14260 -3.406799e-07
M14261 1.958909e-08
M14262 -6.521153e-07
M14263 2.293555e-07
M14264 2.331308e-08
M14265 7.308028e-08
M14266 3.125797e-07
M14267 6.163862e-07
M14268 6.441887e-07
M14269 -9.621442e-08
M14270 7.929986e-08
M14271 -3.516644e-07
M14272 -8.976223e-08
M14273 -2.368889e-07
M14274 -5.331799e-09
M14275 -1.276104e-07
M14276 7.985942e-08
M14277 -6.307869e-07
M14278 5.905974e-08
M14279 -7.864327e-08
M14280 1.215426e-07
M14281 -1.220205e-07
M14282 1.999435e-09
M14283 2.400221e-10
M14284 -7.150300e-07
M14285 5.637240e-08
M14286 -5.431746e-07
M14287 3.998292e-07
M14288 1.755564e-07
M14289 -1.545403e-07
M14290 1.484860e-07
M14291 3.960111e-07
M14292 -2.231667e-19
M14293 -2.919278e-07
M14294 -4.235158e-07
M14295 -1.537410e-07
M14296 -1.764870e-07
M14297 3.844684e-07
M14298 2.618164e-07
M14299 2.968637e-07
M14300 -2.231667e-19
M14301 -5.925988e-08
M14302 -4.091916e-07
M14303 -2.330702e-07
M14304 5.331799e-09
M14305 2.692430e-07
M14306 -1.496740e-07
M14307 -5.979656e-07
M14308 2.555357e-07
M14309 -2.987568e-07
M14310 1.668050e-07
M14311 -2.371510e-07
M14312 -6.288498e-07
M14313 -2.240675e-07
M14314 -4.661821e-07
M14315 -5.478275e-08
M14316 3.680166e-07
M14317 -2.142768e-07
M14318 4.140805e-07
M14319 2.652773e-07
M14320 -8.607148e-07
M14321 4.875842e-07
M14322 -2.322765e-07
M14323 -3.357009e-07
M14324 -5.855014e-08
M14325 -6.641461e-07
M14326 2.723330e-07
M14327 3.972441e-07
M14328 2.005739e-07
M14329 3.037717e-07
M14330 3.910643e-07
M14331 2.155699e-07
M14332 -5.503531e-07
M14333 -3.312341e-07
M14334 -8.597039e-07
M14335 7.943510e-07
M14336 -1.395881e-07
M14337 -3.812632e-07
M14338 -2.231667e-19
M14339 4.324678e-07
M14340 -9.536536e-08
M14341 -4.796299e-07
M14342 3.723352e-08
M14343 6.033865e-08
M14344 -2.231667e-19
M14345 -3.992227e-07
M14346 -3.246274e-08
M14347 -5.279385e-07
M14348 2.760626e-08
M14349 -5.547988e-07
M14350 2.425916e-07
M14351 -3.343278e-07
M14352 -1.730105e-07
M14353 -7.605153e-07
M14354 -4.873949e-08
M14355 3.835480e-07
M14356 3.280581e-08
M14357 4.798550e-07
M14358 6.115251e-08
M14359 -7.943510e-07
M14360 2.231667e-19
M14361 4.058049e-07
M14362 -5.574112e-07
M14363 -7.934453e-07
M14364 4.494962e-07
M14365 -8.512448e-07
M14366 1.411253e-07
M14367 -6.413125e-07
M14368 -1.668050e-07
M14369 -4.402212e-07
M14370 -1.724669e-07
M14371 -6.180126e-07
M14372 -1.474817e-08
M14373 1.017043e-07
M14374 -2.772547e-07
M14375 -2.152577e-07
M14376 2.455147e-07
M14377 3.246274e-08
M14378 1.963041e-07
M14379 -2.300811e-07
M14380 -1.711370e-08
M14381 -1.939667e-07
M14382 -1.474817e-08
M14383 1.595418e-07
M14384 -1.453792e-07
M14385 -3.737488e-09
M14386 -2.346237e-07
M14387 -3.493064e-07
M14388 2.596894e-07
M14389 -1.957438e-07
M14390 -6.441963e-07
M14391 1.924292e-07
M14392 -2.343306e-07
M14393 -3.334311e-07
M14394 4.544076e-07
M14395 5.342652e-07
M14396 -7.113289e-07
M14397 -4.428270e-07
M14398 2.958484e-07
M14399 -1.431143e-07
M14400 -4.193500e-07
M14401 -2.231667e-19
M14402 8.259449e-07
M14403 -1.783239e-08
M14404 -8.089521e-07
M14405 -7.305140e-07
M14406 -5.855014e-08
M14407 -6.142788e-07
M14408 -4.406203e-07
M14409 -5.583060e-08
M14410 -1.020859e-07
M14411 -8.196446e-07
M14412 1.326146e-07
M14413 -1.977042e-07
M14414 -4.970523e-08
M14415 4.761212e-07
M14416 -5.814644e-07
M14417 -3.095405e-07
M14418 -5.548105e-08
M14419 -2.300368e-08
M14420 1.564065e-07
M14421 5.012891e-07
M14422 6.252696e-07
M14423 -2.356907e-07
M14424 4.413976e-07
M14425 2.654297e-07
M14426 -7.413745e-07
M14427 4.804230e-07
M14428 6.528722e-07
M14429 2.160561e-07
M14430 1.022368e-07
M14431 7.205835e-07
M14432 -4.703245e-07
M14433 -1.924292e-07
M14434 1.977042e-07
M14435 1.225312e-08
M14436 1.255871e-07
M14437 8.789419e-09
M14438 -2.231667e-19
M14439 1.581402e-07
M14440 1.220831e-09
M14441 -8.057447e-07
M14442 3.839951e-07
M14443 -2.652773e-07
M14444 -7.117832e-07
M14445 4.414657e-07
M14446 -4.789496e-08
M14447 6.060464e-08
M14448 -3.334724e-07
M14449 2.233815e-07
M14450 -8.190893e-08
M14451 5.133418e-07
M14452 -8.878883e-08
M14453 5.326129e-08
M14454 -5.240011e-07
M14455 -5.228963e-07
M14456 4.543482e-07
M14457 -4.925094e-07
M14458 6.118104e-07
M14459 -6.060464e-08
M14460 -3.736836e-07
M14461 -4.777983e-07
M14462 -8.194634e-07
M14463 4.932197e-07
M14464 5.686209e-08
M14465 2.231667e-19
M14466 8.493716e-07
M14467 7.246948e-08
M14468 1.020859e-07
M14469 -2.231667e-19
M14470 -5.814644e-07
M14471 6.271306e-08
M14472 -1.435064e-07
M14473 -6.519359e-07
M14474 1.632243e-08
M14475 -3.701436e-08
M14476 6.884340e-08
M14477 -3.753745e-07
M14478 -7.948384e-08
M14479 -2.152577e-07
M14480 -4.970523e-08
M14481 -2.153437e-07
M14482 -1.091358e-07
M14483 -2.231667e-19
M14484 -6.395524e-07
M14485 2.231667e-19
M14486 -3.521147e-07
M14487 3.999649e-07
M14488 -3.623696e-07
M14489 -4.568496e-07
M14490 2.555837e-07
M14491 -4.162071e-07
M14492 7.779573e-08
M14493 5.430494e-07
M14494 -2.038387e-07
M14495 1.869203e-07
M14496 -8.659712e-08
M14497 -7.469581e-07
M14498 -1.967396e-07
M14499 -6.185904e-07
M14500 2.521925e-07
M14501 -4.030645e-07
M14502 7.702233e-07
M14503 -7.137818e-07
M14504 -5.478275e-08
M14505 -4.019441e-07
M14506 -2.911513e-07
M14507 2.072737e-07
M14508 1.935190e-07
M14509 -4.681594e-08
M14510 1.457587e-07
M14511 3.115182e-07
M14512 8.136671e-07
M14513 -5.290843e-07
M14514 -2.654297e-07
M14515 -6.725036e-07
M14516 4.345236e-07
M14517 -1.337855e-07
M14518 -1.207725e-07
M14519 -2.455987e-07
M14520 -2.231667e-19
M14521 -1.024529e-07
M14522 1.487278e-07
M14523 4.900301e-07
M14524 -6.147703e-07
M14525 3.373640e-08
M14526 -2.231667e-19
M14527 -2.932085e-07
M14528 1.113727e-07
M14529 -1.142323e-07
M14530 -4.406203e-07
M14531 6.733976e-07
M14532 1.416138e-07
M14533 -6.831181e-07
M14534 2.045867e-07
M14535 -1.371046e-07
M14536 5.888072e-08
M14537 3.940542e-07
M14538 -3.945903e-07
M14539 -2.231667e-19
M14540 -6.384023e-07
M14541 -5.548105e-08
M14542 1.706574e-08
M14543 4.895211e-07
M14544 -5.207536e-07
M14545 -4.185796e-07
M14546 7.067152e-08
M14547 4.076885e-07
M14548 8.946603e-08
M14549 -2.590558e-07
M14550 -1.487278e-07
M14551 -6.016545e-08
M14552 -6.952170e-07
M14553 3.541393e-08
M14554 -4.347372e-07
M14555 5.228963e-07
M14556 -6.328488e-08
M14557 4.270361e-07
M14558 4.761212e-07
M14559 2.231667e-19
M14560 1.535693e-07
M14561 -5.503360e-07
M14562 -4.534398e-08
M14563 -2.211670e-07
M14564 3.664838e-07
M14565 2.280743e-07
M14566 -2.044565e-07
M14567 -5.545289e-07
M14568 5.942742e-07
M14569 -3.516056e-07
M14570 -1.395881e-07
M14571 -2.231667e-19
M14572 -1.813771e-07
M14573 3.157586e-07
M14574 -3.387577e-07
M14575 -3.278035e-07
M14576 -5.389722e-08
M14577 8.493948e-08
M14578 -2.654297e-07
M14579 1.220831e-09
M14580 2.231667e-19
M14581 -1.252050e-07
M14582 5.503531e-07
M14583 -2.292024e-07
M14584 3.737488e-09
M14585 2.535480e-07
M14586 -3.246274e-08
M14587 1.220831e-09
M14588 -4.130009e-07
M14589 3.104629e-07
M14590 4.088586e-07
M14591 -2.231667e-19
M14592 4.983124e-07
M14593 -6.858344e-07
M14594 -2.501672e-07
M14595 -4.631206e-07
M14596 -5.355906e-07
M14597 6.512552e-07
M14598 6.684101e-07
M14599 -4.970523e-08
M14600 -2.917761e-07
M14601 -4.124335e-07
M14602 6.252696e-07
M14603 -1.924292e-07
M14604 6.280110e-07
M14605 -2.125732e-07
M14606 -6.841503e-07
M14607 8.597039e-07
M14608 4.005953e-07
M14609 -8.514886e-07
M14610 -2.692731e-07
M14611 2.231667e-19
M14612 6.910580e-08
M14613 -9.604856e-07
M14614 1.114310e-07
M14615 3.997536e-07
M14616 2.962846e-07
M14617 -1.068439e-07
M14618 4.031171e-07
M14619 2.014950e-07
M14620 8.650954e-08
M14621 -3.078543e-07
M14622 6.848994e-08
M14623 -6.413125e-07
M14624 -5.248631e-07
M14625 4.282639e-07
M14626 4.839818e-08
M14627 -3.078521e-08
M14628 2.085406e-07
M14629 -8.514886e-07
M14630 3.510700e-08
M14631 6.890915e-07
M14632 -2.405694e-07
M14633 -3.341923e-09
M14634 6.963572e-07
M14635 8.068884e-07
M14636 -1.415745e-07
M14637 6.725036e-07
M14638 1.967396e-07
M14639 8.214284e-07
M14640 1.822780e-07
M14641 -6.759511e-07
M14642 2.490537e-07
M14643 7.229380e-07
M14644 7.094681e-07
M14645 2.890322e-07
M14646 -2.100082e-09
M14647 4.917858e-07
M14648 1.752984e-07
M14649 7.295528e-07
M14650 -6.053179e-08
M14651 4.890312e-08
M14652 -2.946901e-08
M14653 -6.963572e-07
M14654 8.164163e-08
M14655 2.987568e-07
M14656 4.083379e-07
M14657 3.694693e-07
M14658 -3.163222e-07
M14659 -3.078543e-07
M14660 -8.450617e-08
M14661 3.335138e-07
M14662 -1.924292e-07
M14663 -3.976480e-07
M14664 -2.846300e-07
M14665 -1.153874e-07
M14666 2.537795e-07
M14667 -6.071639e-07
M14668 -4.771978e-07
M14669 3.312454e-07
M14670 -1.413150e-07
M14671 -8.597039e-07
M14672 -6.678471e-07
M14673 -1.872857e-07
M14674 -7.891526e-07
M14675 2.152577e-07
M14676 4.438854e-09
M14677 3.655462e-07
M14678 7.094681e-07
M14679 3.337753e-07
M14680 3.394371e-08
M14681 -4.162071e-07
M14682 3.017294e-07
M14683 -6.947672e-07
M14684 4.162071e-07
M14685 3.455732e-07
M14686 5.715255e-07
M14687 -3.999649e-07
M14688 -5.472947e-08
M14689 -2.714291e-07
M14690 -6.060464e-08
M14691 -5.853638e-07
M14692 7.930171e-08
M14693 4.970523e-08
M14694 -1.630210e-08
M14695 -1.864829e-07
M14696 1.954983e-07
M14697 -8.499254e-07
M14698 1.020859e-07
M14699 4.867537e-07
M14700 4.241005e-07
M14701 3.835480e-07
M14702 1.547511e-07
M14703 -1.898796e-07
M14704 1.110646e-07
M14705 5.503531e-07
M14706 8.111600e-07
M14707 -2.231667e-19
M14708 -1.790004e-07
M14709 7.682756e-08
M14710 3.737488e-09
M14711 2.152577e-07
M14712 -1.093242e-07
M14713 -2.204770e-07
M14714 2.971714e-08
M14715 2.152577e-07
M14716 -2.081666e-07
M14717 2.300368e-08
M14718 -2.231667e-19
M14719 7.788184e-07
M14720 5.547988e-07
M14721 6.697143e-07
M14722 -3.056758e-09
M14723 -2.947725e-07
M14724 5.300785e-07
M14725 -5.392832e-07
M14726 4.783373e-07
M14727 2.096802e-07
M14728 -8.584284e-07
M14729 -5.833588e-07
M14730 3.686982e-07
M14731 -6.831181e-07
M14732 -5.290843e-07
M14733 3.383127e-07
M14734 -2.772547e-07
M14735 1.753250e-07
M14736 -3.078543e-07
M14737 -2.202346e-07
M14738 -4.623464e-07
M14739 -2.356907e-07
M14740 -5.609828e-07
M14741 -2.152577e-07
M14742 2.099620e-07
M14743 -2.231667e-19
M14744 -1.674327e-07
M14745 9.516962e-07
M14746 1.745840e-08
M14747 5.279385e-07
M14748 4.629727e-07
M14749 -5.723018e-07
M14750 -2.019282e-07
M14751 -6.512552e-07
M14752 -5.609828e-07
M14753 -6.389592e-07
M14754 -6.697697e-07
M14755 2.231667e-19
M14756 7.966376e-07
M14757 6.314898e-08
M14758 3.078521e-08
M14759 1.609277e-07
M14760 1.808657e-07
M14761 1.075801e-07
M14762 2.329291e-07
M14763 -6.808820e-08
M14764 -3.737488e-09
M14765 -6.739260e-07
M14766 3.353730e-07
M14767 1.668050e-07
M14768 2.257201e-07
M14769 -9.536536e-08
M14770 -4.560274e-07
M14771 -6.384023e-07
M14772 6.509936e-07
M14773 1.628995e-07
M14774 6.284919e-08
M14775 -1.977042e-07
M14776 9.536536e-08
M14777 -4.937007e-07
M14778 6.209656e-07
M14779 -6.021710e-07
M14780 1.346144e-08
M14781 -1.790004e-07
M14782 -2.231667e-19
M14783 3.295778e-08
M14784 2.231667e-19
M14785 2.231667e-19
M14786 6.115251e-08
M14787 8.663722e-07
M14788 1.220831e-09
M14789 -4.174236e-07
M14790 1.967396e-07
M14791 -2.869689e-08
M14792 2.231667e-19
M14793 9.189938e-08
M14794 -3.476993e-08
M14795 3.728603e-08
M14796 -5.277365e-07
M14797 5.942742e-07
M14798 2.922507e-07
M14799 8.597039e-07
M14800 -3.113577e-07
M14801 -4.761193e-07
M14802 3.737488e-09
M14803 -2.441374e-08
M14804 -4.700463e-08
M14805 -1.681068e-07
M14806 4.761212e-07
M14807 -7.714818e-07
M14808 2.292024e-07
M14809 -5.856658e-07
M14810 -3.696533e-07
M14811 -1.252050e-07
M14812 6.249140e-08
M14813 1.409056e-07
M14814 -2.654297e-07
M14815 1.505735e-07
M14816 -4.185796e-07
M14817 -2.377000e-08
M14818 -4.214143e-07
M14819 -1.497377e-07
M14820 -2.231667e-19
M14821 3.964163e-07
M14822 2.377000e-08
M14823 5.248631e-07
M14824 -5.834232e-07
M14825 -4.471586e-08
M14826 -2.107403e-07
M14827 -3.004144e-07
M14828 6.582978e-07
M14829 -2.946901e-08
M14830 2.791129e-07
M14831 6.927768e-07
M14832 6.282877e-08
M14833 -3.101418e-08
M14834 3.549903e-07
M14835 8.338324e-07
M14836 -4.058493e-07
M14837 1.924292e-07
M14838 7.620813e-07
M14839 2.035309e-07
M14840 8.919803e-07
M14841 -6.808820e-08
M14842 3.680166e-07
M14843 6.288498e-07
M14844 6.244968e-09
M14845 -1.038661e-07
M14846 4.694904e-07
M14847 1.413150e-07
M14848 2.287941e-07
M14849 7.939501e-07
M14850 4.029665e-07
M14851 5.098056e-07
M14852 8.046359e-08
M14853 -6.841503e-07
M14854 -2.081666e-07
M14855 -3.255677e-07
M14856 2.231667e-19
M14857 -5.929987e-07
M14858 -2.430686e-07
M14859 -2.665588e-08
M14860 -6.078694e-07
M14861 -3.519323e-07
M14862 -2.356907e-07
M14863 -2.658676e-07
M14864 -2.231667e-19
M14865 -3.886552e-07
M14866 6.300429e-07
M14867 4.948057e-07
M14868 5.756195e-09
M14869 6.725036e-07
M14870 -3.945903e-07
M14871 -5.120329e-07
M14872 -1.416138e-07
M14873 -2.231667e-19
M14874 -1.935093e-07
M14875 1.758702e-07
M14876 -3.964163e-07
M14877 -2.213168e-07
M14878 2.889411e-07
M14879 7.891526e-07
M14880 2.231667e-19
M14881 -4.779153e-07
M14882 -1.783239e-08
M14883 -6.509936e-07
M14884 -7.006630e-07
M14885 3.839951e-07
M14886 -5.659250e-07
M14887 -3.472015e-07
M14888 -5.970672e-07
M14889 -3.737488e-09
M14890 5.635458e-08
M14891 2.662440e-07
M14892 3.510700e-08
M14893 -7.799607e-08
M14894 -2.322765e-07
M14895 -5.048933e-08
M14896 2.072737e-07
M14897 -1.509166e-07
M14898 8.308979e-07
M14899 -2.364953e-07
M14900 8.552731e-08
M14901 -1.376404e-09
M14902 7.043858e-08
M14903 6.053179e-08
M14904 -3.589217e-07
M14905 -5.855014e-08
M14906 -5.373137e-07
M14907 -2.231667e-19
M14908 -2.652773e-07
M14909 -1.358733e-08
M14910 -9.590533e-08
M14911 4.759338e-07
M14912 -2.300368e-08
M14913 5.949306e-07
M14914 -2.637870e-07
M14915 -2.356907e-07
M14916 3.528686e-07
M14917 8.349603e-07
M14918 3.670528e-07
M14919 2.580258e-08
M14920 -3.476993e-08
M14921 -5.855014e-08
M14922 -4.979044e-07
M14923 5.503531e-07
M14924 2.355267e-07
M14925 -1.790004e-07
M14926 -3.519323e-07
M14927 6.611372e-07
M14928 3.611334e-07
M14929 -6.959710e-07
M14930 -2.849857e-07
M14931 4.548622e-07
M14932 2.231667e-19
M14933 7.584468e-08
M14934 -3.982737e-07
M14935 2.231667e-19
M14936 1.730105e-07
M14937 -1.967396e-07
M14938 6.518521e-08
M14939 5.942742e-07
M14940 4.932197e-07
M14941 3.367753e-07
M14942 1.967396e-07
M14943 -6.252696e-07
M14944 -5.775670e-07
M14945 2.231667e-19
M14946 1.963041e-07
M14947 -6.278943e-07
M14948 7.916740e-07
M14949 1.745840e-08
M14950 2.115320e-07
M14951 5.365668e-07
M14952 5.796279e-07
M14953 -7.469581e-07
M14954 4.756029e-08
M14955 -5.932907e-07
M14956 1.833385e-08
M14957 -2.639003e-07
M14958 -4.318132e-07
M14959 -2.231667e-19
M14960 2.231667e-19
M14961 -7.937981e-09
M14962 3.523784e-07
M14963 1.383515e-07
M14964 6.935514e-08
M14965 -1.020859e-07
M14966 -9.988423e-08
M14967 2.370559e-07
M14968 3.528436e-07
M14969 1.413150e-07
M14970 -3.650905e-08
M14971 2.825395e-07
M14972 1.951982e-07
M14973 2.615993e-07
M14974 2.231667e-19
M14975 -3.365253e-07
M14976 6.260702e-11
M14977 2.972874e-07
M14978 1.911480e-08
M14979 2.892160e-07
M14980 -6.834814e-08
M14981 3.575843e-08
M14982 1.705989e-07
M14983 -4.134577e-07
M14984 -2.507344e-07
M14985 -4.330913e-07
M14986 5.284238e-08
M14987 -2.231667e-19
M14988 2.645873e-07
M14989 1.413150e-07
M14990 8.392640e-08
M14991 -3.745599e-07
M14992 4.274832e-07
M14993 -6.720534e-08
M14994 -2.432313e-07
M14995 1.473424e-08
M14996 -1.148168e-07
M14997 -2.639003e-07
M14998 -1.951982e-07
M14999 4.274832e-07
M15000 7.971539e-08
M15001 -2.331308e-08
M15002 6.229461e-09
M15003 -4.953244e-08
M15004 -1.536965e-07
M15005 6.033650e-07
M15006 -2.241014e-07
M15007 -3.967022e-08
M15008 7.690938e-07
M15009 -1.334567e-07
M15010 2.354949e-07
M15011 -3.262416e-07
M15012 4.710204e-08
M15013 -4.449491e-08
M15014 4.546736e-07
M15015 9.213947e-09
M15016 9.419827e-07
M15017 -2.120635e-08
M15018 -1.398418e-07
M15019 3.322568e-07
M15020 1.229847e-07
M15021 1.131205e-07
M15022 -9.259600e-08
M15023 3.389372e-07
M15024 -3.397420e-07
M15025 4.608019e-08
M15026 2.283572e-08
M15027 7.502665e-07
M15028 -3.348127e-08
M15029 -2.231667e-19
M15030 3.012744e-08
M15031 -8.738771e-08
M15032 2.618538e-07
M15033 6.951584e-07
M15034 3.654538e-07
M15035 5.204502e-07
M15036 6.384656e-09
M15037 -3.198813e-07
M15038 -7.213224e-09
M15039 7.557694e-08
M15040 3.011016e-07
M15041 -1.751843e-07
M15042 -3.570992e-07
M15043 -2.225098e-07
M15044 -5.381765e-07
M15045 1.847036e-07
M15046 5.077904e-07
M15047 1.453315e-07
M15048 1.804370e-07
M15049 2.514077e-07
M15050 3.397420e-07
M15051 2.231667e-19
M15052 1.087234e-07
M15053 3.417705e-07
M15054 1.999433e-07
M15055 2.595887e-07
M15056 1.160544e-07
M15057 -9.079896e-08
M15058 1.804370e-07
M15059 -2.935977e-07
M15060 -2.804269e-07
M15061 -1.883009e-08
M15062 -7.731597e-08
M15063 2.231667e-19
M15064 2.349960e-07
M15065 -1.770580e-07
M15066 1.713613e-07
M15067 -1.764900e-07
M15068 -3.553753e-07
M15069 -2.231667e-19
M15070 -3.063904e-07
M15071 -2.231667e-19
M15072 -6.340653e-08
M15073 -8.309449e-08
M15074 2.943913e-07
M15075 -2.281320e-07
M15076 1.413150e-07
M15077 -8.223479e-07
M15078 -8.893021e-08
M15079 -8.357725e-07
M15080 1.499392e-07
M15081 -3.126171e-08
M15082 2.231667e-19
M15083 5.372771e-07
M15084 2.231667e-19
M15085 3.897035e-07
M15086 1.976222e-07
M15087 -2.639003e-07
M15088 3.667308e-07
M15089 -8.959105e-07
M15090 -2.002657e-07
M15091 2.231667e-19
M15092 -5.111679e-08
M15093 -1.994655e-07
M15094 2.045379e-07
M15095 -5.020497e-07
M15096 -2.983788e-08
M15097 2.525877e-07
M15098 9.758869e-08
M15099 -8.540502e-07
M15100 1.809969e-07
M15101 -2.231667e-19
M15102 2.522552e-07
M15103 -3.026874e-07
M15104 -2.466475e-07
M15105 5.254986e-08
M15106 -5.729933e-08
M15107 -8.671428e-07
M15108 6.398869e-08
M15109 3.004626e-08
M15110 -5.713360e-07
M15111 1.457731e-07
M15112 1.365911e-08
M15113 -2.668145e-07
M15114 4.418676e-07
M15115 -7.167596e-08
M15116 4.449491e-08
M15117 2.379633e-07
M15118 -2.231667e-19
M15119 4.300436e-07
M15120 3.111268e-07
M15121 -7.206187e-07
M15122 2.380824e-07
M15123 -7.731597e-08
M15124 1.523298e-07
M15125 -9.072070e-08
M15126 6.914019e-07
M15127 -9.453368e-08
M15128 -1.131205e-07
M15129 2.124534e-09
M15130 -7.070010e-08
M15131 2.857577e-07
M15132 -1.715831e-07
M15133 7.916755e-08
M15134 -1.658573e-07
M15135 -1.132779e-07
M15136 -1.646190e-07
M15137 -5.350622e-08
M15138 3.004626e-08
M15139 -1.416083e-07
M15140 -1.069757e-07
M15141 -6.033650e-07
M15142 -4.765583e-07
M15143 -2.231667e-19
M15144 8.540502e-07
M15145 -1.946116e-07
M15146 -4.325704e-08
M15147 6.103303e-07
M15148 -2.972874e-07
M15149 1.804370e-07
M15150 9.780739e-09
M15151 1.921715e-07
M15152 -2.763514e-07
M15153 -9.036784e-07
M15154 4.470305e-07
M15155 1.426205e-07
M15156 3.160687e-07
M15157 2.213608e-07
M15158 2.843020e-07
M15159 2.151398e-07
M15160 -2.213608e-07
M15161 2.860270e-07
M15162 3.759842e-07
M15163 3.765121e-07
M15164 -1.989973e-07
M15165 2.431371e-07
M15166 2.296034e-07
M15167 3.024398e-07
M15168 1.343509e-07
M15169 1.413150e-07
M15170 -3.015977e-07
M15171 -4.535142e-08
M15172 -1.655252e-08
M15173 2.380351e-07
M15174 3.870333e-09
M15175 -2.539491e-07
M15176 -2.045379e-07
M15177 2.792414e-08
M15178 7.167596e-08
M15179 1.101930e-07
M15180 -1.184687e-07
M15181 4.434986e-07
M15182 2.817300e-07
M15183 3.646738e-08
M15184 1.143337e-07
M15185 -5.607194e-07
M15186 -2.613910e-07
M15187 -9.767937e-08
M15188 -1.655488e-07
M15189 2.325047e-08
M15190 8.134299e-07
M15191 -1.096055e-08
M15192 4.772448e-07
M15193 -2.231667e-19
M15194 3.624066e-07
M15195 5.697306e-09
M15196 1.271713e-07
M15197 -9.667520e-08
M15198 -7.595309e-08
M15199 2.983543e-07
M15200 -1.217800e-07
M15201 -1.200172e-07
M15202 2.408236e-07
M15203 -9.780739e-09
M15204 -8.326364e-09
M15205 4.535142e-08
M15206 3.133019e-07
M15207 -2.800132e-07
M15208 -5.154531e-08
M15209 1.889698e-07
M15210 2.363732e-07
M15211 1.011384e-08
M15212 -1.259035e-07
M15213 2.828311e-08
M15214 3.860685e-07
M15215 -5.317632e-07
M15216 8.324502e-08
M15217 8.440645e-08
M15218 -7.803322e-08
M15219 -1.676811e-07
M15220 2.231667e-19
M15221 4.760595e-07
M15222 2.164533e-07
M15223 -2.814501e-07
M15224 1.833385e-08
M15225 2.231667e-19
M15226 -2.500003e-07
M15227 -3.542140e-08
M15228 4.242924e-07
M15229 6.706555e-08
M15230 -1.747976e-07
M15231 -2.231667e-19
M15232 7.014389e-08
M15233 7.179497e-08
M15234 -5.262076e-07
M15235 -1.300435e-07
M15236 -2.231667e-19
M15237 -2.252120e-07
M15238 3.341124e-07
M15239 -7.599914e-07
M15240 7.184761e-07
M15241 8.266599e-08
M15242 -4.227763e-07
M15243 -1.945009e-07
M15244 1.828396e-07
M15245 1.141674e-07
M15246 1.373290e-07
M15247 2.775693e-07
M15248 -7.694041e-08
M15249 -1.474842e-07
M15250 -9.099964e-08
M15251 -2.654011e-07
M15252 2.967969e-08
M15253 2.170499e-07
M15254 -1.022048e-08
M15255 -2.231667e-19
M15256 -1.941431e-07
M15257 -1.779666e-07
M15258 -1.849882e-07
M15259 -6.364436e-07
M15260 -4.520810e-08
M15261 -8.001473e-07
M15262 4.437646e-07
M15263 2.231667e-19
M15264 4.313867e-07
M15265 2.231667e-19
M15266 -6.325963e-08
M15267 2.031320e-07
M15268 1.361837e-07
M15269 -4.257572e-08
M15270 6.659089e-07
M15271 -5.719671e-08
M15272 1.194251e-07
M15273 -2.112077e-08
M15274 2.231667e-19
M15275 -9.464535e-08
M15276 8.004735e-07
M15277 -6.884978e-07
M15278 6.719709e-07
M15279 -2.619895e-07
M15280 8.936250e-08
M15281 -1.851827e-07
M15282 -2.124776e-07
M15283 2.716962e-07
M15284 -6.598928e-07
M15285 -7.522819e-08
M15286 2.332221e-07
M15287 -7.020272e-07
M15288 2.739397e-07
M15289 -7.694041e-08
M15290 1.735100e-07
M15291 -3.807108e-07
M15292 1.182795e-07
M15293 -2.919233e-07
M15294 -5.318000e-07
M15295 -7.117074e-08
M15296 -1.231474e-07
M15297 -5.320216e-08
M15298 1.645156e-07
M15299 -7.184761e-07
M15300 1.575557e-07
M15301 -1.527968e-07
M15302 -3.223501e-07
M15303 1.046468e-07
M15304 -3.597033e-07
M15305 -5.170192e-07
M15306 -3.224811e-07
M15307 -5.080468e-07
M15308 -2.231667e-19
M15309 -2.893934e-07
M15310 -5.007867e-07
M15311 -1.905797e-08
M15312 6.972231e-09
M15313 -5.326755e-07
M15314 -5.304427e-07
M15315 1.710375e-07
M15316 5.595301e-07
M15317 -2.374452e-08
M15318 1.515366e-07
M15319 2.170499e-07
M15320 1.107734e-07
M15321 1.013785e-07
M15322 5.007176e-07
M15323 -6.461550e-07
M15324 2.333358e-07
M15325 -2.590570e-07
M15326 -6.913417e-08
M15327 -2.556058e-07
M15328 4.829814e-07
M15329 4.037284e-07
M15330 3.936758e-07
M15331 1.515205e-07
M15332 9.330331e-08
M15333 4.382387e-08
M15334 7.961643e-08
M15335 -3.910968e-07
M15336 6.946457e-07
M15337 4.429606e-07
M15338 2.231667e-19
M15339 -5.007867e-07
M15340 2.208380e-07
M15341 6.547302e-07
M15342 -6.037142e-07
M15343 -5.402515e-08
M15344 -2.231667e-19
M15345 -1.609732e-07
M15346 4.815966e-07
M15347 6.460034e-07
M15348 -3.981491e-07
M15349 -6.719748e-07
M15350 1.037418e-07
M15351 2.231667e-19
M15352 2.983584e-07
M15353 -2.295737e-08
M15354 3.299530e-07
M15355 2.231667e-19
M15356 -2.737697e-07
M15357 -1.840934e-07
M15358 -4.642716e-07
M15359 -1.805834e-08
M15360 3.015211e-07
M15361 -1.516366e-07
M15362 6.554345e-07
M15363 2.481204e-07
M15364 -1.648479e-07
M15365 -1.052581e-07
M15366 -1.901901e-07
M15367 1.259750e-07
M15368 4.077777e-07
M15369 1.235132e-07
M15370 2.548892e-07
M15371 -5.262076e-07
M15372 3.667819e-08
M15373 -2.231667e-19
M15374 -4.449163e-07
M15375 2.834567e-07
M15376 -3.807108e-07
M15377 7.466874e-08
M15378 1.118333e-07
M15379 6.818891e-08
M15380 -2.506825e-07
M15381 -3.701700e-07
M15382 -4.330341e-08
M15383 -4.484486e-07
M15384 2.511126e-07
M15385 6.021960e-08
M15386 -1.126856e-07
M15387 9.683725e-08
M15388 -6.868082e-07
M15389 1.160515e-07
M15390 -1.102060e-07
M15391 -2.076593e-07
M15392 8.010391e-08
M15393 -3.158744e-07
M15394 5.091991e-07
M15395 7.694041e-08
M15396 1.465318e-07
M15397 -2.027869e-07
M15398 -2.627232e-07
M15399 6.877664e-07
M15400 -5.068303e-07
M15401 2.171263e-07
M15402 -3.603540e-07
M15403 -8.108793e-09
M15404 4.800356e-07
M15405 -1.423307e-07
M15406 1.383143e-07
M15407 -8.317719e-07
M15408 3.963624e-07
M15409 -5.273164e-08
M15410 4.551985e-08
M15411 -1.182160e-07
M15412 2.060305e-07
M15413 -2.231667e-19
M15414 -2.072455e-07
M15415 -9.880790e-08
M15416 3.299530e-07
M15417 2.159548e-07
M15418 2.416268e-07
M15419 -2.231667e-19
M15420 2.579143e-07
M15421 5.098326e-07
M15422 -1.987443e-07
M15423 -2.116468e-07
M15424 3.068213e-07
M15425 2.231667e-19
M15426 -2.231667e-19
M15427 4.956590e-07
M15428 -1.259750e-07
M15429 -2.076593e-07
M15430 -1.551747e-07
M15431 -2.385658e-08
M15432 -2.231667e-19
M15433 -1.845773e-07
M15434 -2.925981e-07
M15435 -2.098510e-07
M15436 2.794246e-08
M15437 1.791597e-07
M15438 3.711452e-07
M15439 -1.251346e-07
M15440 2.274867e-07
M15441 7.697451e-07
M15442 -1.643645e-07
M15443 -3.950181e-07
M15444 -2.172412e-07
M15445 -1.995444e-07
M15446 -1.073608e-07
M15447 5.286563e-08
M15448 -2.231667e-19
M15449 -6.464809e-07
M15450 2.231667e-19
M15451 -5.206605e-07
M15452 -1.767804e-07
M15453 4.753929e-07
M15454 -1.270170e-07
M15455 -1.490229e-07
M15456 6.285426e-08
M15457 2.031320e-07
M15458 -1.938682e-08
M15459 -4.816483e-08
M15460 -9.462419e-08
M15461 7.490386e-08
M15462 3.963624e-07
M15463 -2.397597e-08
M15464 1.769028e-07
M15465 -8.054101e-07
M15466 -4.999046e-07
M15467 2.231667e-19
M15468 2.586218e-08
M15469 1.171534e-07
M15470 -1.490229e-07
M15471 1.584447e-07
M15472 2.439186e-07
M15473 -2.427342e-07
M15474 -1.047210e-07
M15475 -4.524000e-07
M15476 5.782242e-07
M15477 -5.979073e-07
M15478 5.191892e-07
M15479 2.494928e-07
M15480 -2.231667e-19
M15481 -5.623244e-08
M15482 -2.983100e-07
M15483 -2.667718e-07
M15484 4.363510e-08
M15485 -4.720272e-09
M15486 -4.337028e-07
M15487 -1.463423e-07
M15488 2.231667e-19
M15489 -2.529518e-07
M15490 3.862899e-07
M15491 2.231667e-19
M15492 -5.873512e-07
M15493 9.774542e-08
M15494 -3.618814e-07
M15495 -2.829853e-07
M15496 2.598224e-07
M15497 4.752966e-07
M15498 -3.506184e-07
M15499 -6.527222e-08
M15500 -5.909008e-07
M15501 -5.926951e-08
M15502 1.532938e-07
M15503 1.827882e-07
M15504 -7.694041e-08
M15505 3.478550e-07
M15506 -8.834866e-08
M15507 -4.098058e-07
M15508 -6.499082e-07
M15509 1.754919e-09
M15510 -7.990151e-07
M15511 -9.187275e-08
M15512 -4.381988e-07
M15513 3.444444e-07
M15514 9.683725e-08
M15515 -1.495856e-08
M15516 -4.972774e-08
M15517 6.948805e-08
M15518 2.333358e-07
M15519 1.538640e-07
M15520 2.956872e-08
M15521 -3.674999e-07
M15522 -2.494186e-07
M15523 -5.170192e-07
M15524 -2.186218e-07
M15525 5.320216e-08
M15526 -2.231667e-19
M15527 4.816483e-08
M15528 -2.231667e-19
M15529 5.007176e-07
M15530 2.981778e-08
M15531 7.586320e-07
M15532 -3.631306e-07
M15533 4.697960e-07
M15534 6.142692e-08
M15535 -5.595168e-07
M15536 2.231667e-19
M15537 -3.013645e-08
M15538 2.872016e-07
M15539 1.003839e-07
M15540 1.947436e-07
M15541 -6.620716e-09
M15542 -2.177584e-07
M15543 5.873512e-07
M15544 -5.330650e-07
M15545 -2.476161e-07
M15546 -2.945933e-07
M15547 -1.073608e-07
M15548 -2.231667e-19
M15549 -4.319764e-07
M15550 7.694041e-08
M15551 -3.373071e-07
M15552 -5.320216e-08
M15553 4.195562e-08
M15554 -8.813277e-08
M15555 -3.514645e-07
M15556 -1.415167e-07
M15557 4.247356e-07
M15558 -4.321496e-07
M15559 -4.961007e-08
M15560 2.517293e-08
M15561 -2.231667e-19
M15562 -2.068876e-08
M15563 1.521184e-07
M15564 -1.156391e-07
M15565 -8.378365e-08
M15566 -5.277520e-07
M15567 -2.231667e-19
M15568 4.885125e-08
M15569 -1.310390e-07
M15570 1.349272e-07
M15571 2.177584e-07
M15572 -5.595301e-07
M15573 1.639244e-07
M15574 -2.231667e-19
M15575 1.437411e-07
M15576 -4.333028e-07
M15577 4.232849e-07
M15578 1.098453e-07
M15579 1.660992e-08
M15580 2.303959e-07
M15581 2.549002e-08
M15582 2.995646e-07
M15583 -6.057206e-07
M15584 -2.231667e-19
M15585 -7.661379e-08
M15586 6.884143e-07
M15587 2.808686e-07
M15588 -5.355230e-07
M15589 1.699897e-07
M15590 2.231667e-19
M15591 4.642716e-07
M15592 2.073802e-07
M15593 4.815966e-07
M15594 -1.341367e-07
M15595 -1.650709e-08
M15596 2.057297e-07
M15597 -4.772184e-08
M15598 -7.181717e-07
M15599 2.760620e-07
M15600 1.073067e-07
M15601 5.514396e-07
M15602 3.701700e-07
M15603 -2.926150e-07
M15604 -1.280103e-07
M15605 1.493287e-07
M15606 1.128292e-06
M15607 6.262489e-07
M15608 -8.249496e-08
M15609 -6.673254e-08
M15610 2.295737e-08
M15611 -1.837707e-07
M15612 -2.654297e-07
M15613 -2.356761e-07
M15614 -4.603881e-07
M15615 -2.231667e-19
M15616 -2.737697e-07
M15617 3.282268e-07
M15618 1.900051e-07
M15619 4.200749e-08
M15620 -5.091991e-07
M15621 6.864529e-07
M15622 7.694041e-08
M15623 1.354846e-07
M15624 -7.768150e-08
M15625 2.313445e-08
M15626 -9.964429e-08
M15627 4.616268e-07
M15628 -1.733858e-07
M15629 5.555713e-08
M15630 5.085443e-08
M15631 5.320216e-08
M15632 6.262489e-07
M15633 -2.231667e-19
M15634 -2.231667e-19
M15635 -1.783973e-07
M15636 -2.231667e-19
M15637 -1.845813e-08
M15638 1.003839e-07
M15639 1.349272e-07
M15640 -2.441933e-07
M15641 -1.162829e-07
M15642 -7.563235e-07
M15643 2.998532e-07
M15644 -4.425994e-07
M15645 6.141887e-07
M15646 4.766571e-07
M15647 3.510700e-08
M15648 4.233228e-07
M15649 -3.410504e-07
M15650 2.231667e-19
M15651 -5.533455e-07
M15652 -1.583786e-07
M15653 -2.791665e-07
M15654 1.463423e-07
M15655 -2.231667e-19
M15656 1.083103e-07
M15657 1.715646e-07
M15658 -4.680103e-07
M15659 2.508500e-07
M15660 5.519233e-07
M15661 2.453615e-07
M15662 3.690986e-07
M15663 -5.504596e-07
M15664 3.899227e-07
M15665 2.123085e-07
M15666 -4.437646e-07
M15667 -1.463423e-07
M15668 2.231667e-19
M15669 -2.897257e-07
M15670 -5.940477e-07
M15671 2.579143e-07
M15672 -3.055642e-07
M15673 2.505180e-07
M15674 -1.637465e-07
M15675 -1.308634e-07
M15676 3.150289e-07
M15677 1.728484e-07
M15678 -5.477079e-07
M15679 -7.117074e-08
M15680 -6.205134e-07
M15681 2.302986e-07
M15682 1.493287e-07
M15683 -1.771336e-07
M15684 -2.475243e-08
M15685 -5.056233e-07
M15686 -3.692472e-07
M15687 -3.141234e-07
M15688 -3.255567e-07
M15689 2.003854e-07
M15690 -5.320216e-08
M15691 -2.336004e-07
M15692 -2.451513e-07
M15693 5.561398e-07
M15694 1.882542e-08
M15695 2.441118e-07
M15696 7.586320e-07
M15697 -7.336075e-07
M15698 -2.439323e-07
M15699 8.398312e-08
M15700 -2.441118e-07
M15701 -1.171534e-07
M15702 -3.124861e-08
M15703 8.630057e-08
M15704 1.099764e-07
M15705 -2.548892e-07
M15706 -4.474199e-08
M15707 4.803144e-07
M15708 -5.355230e-07
M15709 -2.613870e-08
M15710 -1.535095e-07
M15711 -2.352381e-07
M15712 6.238100e-07
M15713 -2.848747e-07
M15714 1.098453e-07
M15715 2.239078e-07
M15716 7.544027e-08
M15717 -5.025940e-07
M15718 -1.771336e-07
M15719 1.954207e-07
M15720 -7.694041e-08
M15721 3.149657e-07
M15722 3.746365e-07
M15723 -2.538278e-07
M15724 -1.499420e-07
M15725 -7.322381e-07
M15726 1.191987e-07
M15727 -1.991167e-07
M15728 4.567688e-07
M15729 4.619251e-07
M15730 5.273164e-08
M15731 3.916430e-07
M15732 -1.592664e-07
M15733 -2.439186e-07
M15734 4.411093e-07
M15735 -7.289124e-08
M15736 -8.228912e-07
M15737 1.674407e-07
M15738 2.231667e-19
M15739 -7.768150e-08
M15740 1.135812e-07
M15741 -2.881881e-07
M15742 3.706813e-07
M15743 -1.547866e-07
M15744 -2.509421e-07
M15745 -3.474402e-08
M15746 -3.360586e-07
M15747 -2.251875e-07
M15748 6.004406e-07
M15749 -4.487769e-07
M15750 -4.816483e-08
M15751 1.628589e-08
M15752 -4.155238e-08
M15753 -1.882535e-07
M15754 -2.632969e-07
M15755 -3.946450e-07
M15756 -6.030792e-08
M15757 1.865427e-07
M15758 7.322381e-07
M15759 2.965709e-07
M15760 -4.816483e-08
M15761 2.579143e-07
M15762 -5.713738e-07
M15763 -6.203102e-09
M15764 2.179029e-07
M15765 -6.250480e-07
M15766 -8.554211e-08
M15767 -2.072455e-07
M15768 2.231667e-19
M15769 -7.094528e-09
M15770 -2.231667e-19
M15771 2.545329e-07
M15772 -1.098453e-07
M15773 1.619113e-07
M15774 -3.321962e-07
M15775 4.521695e-07
M15776 -6.913417e-08
M15777 1.378927e-08
M15778 8.071739e-09
M15779 4.083171e-08
M15780 -1.226916e-07
M15781 7.734312e-08
M15782 -9.325681e-09
M15783 -2.768730e-07
M15784 2.771286e-07
M15785 -1.775311e-07
M15786 1.423307e-07
M15787 -2.231667e-19
M15788 1.043096e-08
M15789 4.769379e-07
M15790 5.851745e-08
M15791 6.464809e-07
M15792 -1.563911e-07
M15793 -1.320532e-07
M15794 4.237461e-07
M15795 4.411093e-07
M15796 2.749377e-07
M15797 -3.666821e-08
M15798 -4.423816e-08
M15799 -5.863222e-07
M15800 -2.424569e-07
M15801 2.623894e-08
M15802 4.140132e-07
M15803 -2.231667e-19
M15804 -8.010391e-08
M15805 -2.893934e-07
M15806 -6.702666e-07
M15807 5.166932e-08
M15808 -2.186218e-07
M15809 2.586218e-08
M15810 -2.737697e-07
M15811 2.081412e-08
M15812 7.794154e-08
M15813 -3.472234e-07
M15814 1.711619e-07
M15815 -6.770382e-07
M15816 4.251355e-07
M15817 -2.231667e-19
M15818 -5.007176e-07
M15819 -5.007867e-07
M15820 1.372858e-07
M15821 2.231667e-19
M15822 -2.548892e-07
M15823 5.894408e-09
M15824 -3.265555e-07
M15825 -1.840934e-07
M15826 -3.021498e-07
M15827 7.563235e-07
M15828 -2.454339e-07
M15829 -3.103904e-07
M15830 3.532909e-07
M15831 1.305198e-07
M15832 2.231667e-19
M15833 4.231144e-07
M15834 -2.730209e-08
M15835 2.231667e-19
M15836 3.282268e-07
M15837 2.231667e-19
M15838 4.998755e-07
M15839 9.980464e-08
M15840 7.563235e-07
M15841 5.034152e-07
M15842 2.956872e-08
M15843 -4.227763e-07
M15844 3.755908e-07
M15845 -3.226141e-08
M15846 -2.231667e-19
M15847 2.231667e-19
M15848 2.108973e-07
M15849 2.752196e-07
M15850 4.532495e-07
M15851 2.692602e-07
M15852 -9.885182e-08
M15853 2.145955e-08
M15854 -6.319269e-08
M15855 7.954552e-08
M15856 -1.715646e-07
M15857 -2.922515e-08
M15858 -1.845813e-08
M15859 -2.993683e-07
M15860 -1.161253e-07
M15861 3.987322e-08
M15862 -1.118333e-07
M15863 -2.103405e-08
M15864 -1.502552e-07
M15865 5.532059e-10
M15866 -3.711452e-07
M15867 -4.508702e-07
M15868 2.692019e-07
M15869 -2.231667e-19
M15870 5.441471e-07
M15871 -3.175353e-07
M15872 6.021960e-08
M15873 -2.549002e-08
M15874 -1.527173e-07
M15875 -5.040680e-08
M15876 -4.321496e-07
M15877 1.771336e-07
M15878 2.328446e-08
M15879 1.577984e-07
M15880 1.191987e-07
M15881 4.468114e-07
M15882 -1.724590e-07
M15883 -3.858324e-08
M15884 2.378855e-07
M15885 -6.069663e-08
M15886 -3.804879e-07
M15887 -3.950181e-07
M15888 -5.910326e-07
M15889 -7.522819e-08
M15890 2.231667e-19
M15891 7.135679e-08
M15892 4.659832e-08
M15893 -2.288588e-07
M15894 2.231667e-19
M15895 2.765644e-07
M15896 2.434964e-07
M15897 -2.231667e-19
M15898 3.506184e-07
M15899 3.711681e-07
M15900 1.830373e-07
M15901 -3.205532e-08
M15902 2.231667e-19
M15903 3.028128e-07
M15904 4.437646e-07
M15905 -9.332966e-08
M15906 1.364125e-07
M15907 4.972774e-08
M15908 9.266030e-08
M15909 -8.901412e-08
M15910 -7.661379e-08
M15911 -6.555216e-07
M15912 -1.241499e-07
M15913 -4.185233e-08
M15914 -1.605630e-07
M15915 4.815966e-07
M15916 3.471810e-07
M15917 -5.526071e-07
M15918 -1.130967e-07
M15919 6.479870e-07
M15920 1.905797e-08
M15921 7.988505e-08
M15922 -6.981475e-07
M15923 -7.917632e-07
M15924 2.654649e-07
M15925 2.231667e-19
M15926 8.993859e-08
M15927 -5.781359e-08
M15928 -3.153077e-07
M15929 -2.658729e-07
M15930 7.117074e-08
M15931 -2.198229e-08
M15932 3.583711e-08
M15933 1.127402e-07
M15934 1.456098e-07
M15935 1.200777e-07
M15936 -5.994981e-08
M15937 -2.432978e-07
M15938 -2.231667e-19
M15939 -5.796090e-07
M15940 2.441118e-07
M15941 1.728484e-07
M15942 3.292960e-07
M15943 4.953342e-07
M15944 -1.689770e-07
M15945 -1.650405e-07
M15946 -1.973618e-07
M15947 -1.571912e-07
M15948 -1.044418e-07
M15949 1.486460e-07
M15950 -5.873512e-07
M15951 2.219010e-07
M15952 7.694041e-08
M15953 -2.182044e-07
M15954 -1.378786e-07
M15955 1.733858e-07
M15956 2.104904e-08
M15957 1.619790e-07
M15958 2.231667e-19
M15959 1.180528e-07
M15960 -1.725523e-07
M15961 1.976330e-08
M15962 -4.437646e-07
M15963 -4.382387e-08
M15964 -3.474402e-08
M15965 -5.416188e-08
M15966 1.916090e-07
M15967 -7.515226e-09
M15968 1.995444e-07
M15969 -7.245020e-08
M15970 6.202995e-09
M15971 -2.159339e-09
M15972 1.171534e-07
M15973 -3.684979e-08
M15974 -2.753331e-07
M15975 -2.231667e-19
M15976 -9.099964e-08
M15977 3.299530e-07
M15978 3.289008e-07
M15979 -6.741142e-07
M15980 7.988114e-09
M15981 1.460746e-07
M15982 7.525025e-07
M15983 3.617007e-07
M15984 -6.598928e-07
M15985 -6.137926e-08
M15986 -2.287083e-07
M15987 2.635013e-07
M15988 5.262076e-07
M15989 1.646281e-07
M15990 6.813271e-07
M15991 7.694041e-08
M15992 4.398768e-07
M15993 7.353653e-07
M15994 7.768150e-08
M15995 -4.087248e-09
M15996 -2.212595e-07
M15997 -2.589333e-07
M15998 -2.486360e-07
M15999 6.038240e-07
M16000 -1.767632e-07
M16001 -3.973374e-08
M16002 -2.275449e-07
M16003 2.231667e-19
M16004 -2.231667e-19
M16005 5.926951e-08
M16006 -9.501668e-08
M16007 8.036693e-08
M16008 5.644965e-08
M16009 2.696894e-07
M16010 1.643645e-07
M16011 6.399421e-07
M16012 2.231667e-19
M16013 -4.945217e-07
M16014 1.828674e-07
M16015 2.231667e-19
M16016 4.518933e-07
M16017 4.248742e-07
M16018 1.474842e-07
M16019 6.854740e-08
M16020 4.724388e-07
M16021 -2.193908e-07
M16022 2.394755e-07
M16023 -4.823838e-07
M16024 7.104040e-08
M16025 2.231667e-19
M16026 3.025424e-08
M16027 2.983770e-07
M16028 -5.170829e-07
M16029 -5.191205e-07
M16030 4.766571e-07
M16031 -3.457687e-07
M16032 2.112077e-08
M16033 -1.931369e-07
M16034 -1.657291e-07
M16035 2.229084e-07
M16036 1.006541e-07
M16037 -4.687048e-08
M16038 3.013645e-08
M16039 5.901400e-08
M16040 -2.231667e-19
M16041 -2.103405e-08
M16042 7.694041e-08
M16043 2.231667e-19
M16044 3.714024e-07
M16045 5.965143e-07
M16046 5.007867e-07
M16047 7.549820e-07
M16048 5.320216e-08
M16049 -1.152108e-07
M16050 6.379681e-07
M16051 -2.453651e-07
M16052 -2.231667e-19
M16053 -1.638478e-07
M16054 1.535095e-07
M16055 -2.703719e-07
M16056 7.743008e-08
M16057 -4.195562e-08
M16058 3.711452e-07
M16059 -4.321496e-07
M16060 -5.093381e-07
M16061 4.014408e-09
M16062 3.150289e-07
M16063 -4.330429e-08
M16064 2.231667e-19
M16065 2.565691e-07
M16066 2.231667e-19
M16067 -8.979289e-08
M16068 1.558282e-07
M16069 2.993683e-07
M16070 1.817572e-07
M16071 -6.127040e-07
M16072 5.971934e-09
M16073 -4.222237e-07
M16074 -2.231667e-19
M16075 -5.796090e-07
M16076 6.875253e-08
M16077 2.711374e-07
M16078 2.231667e-19
M16079 -6.205134e-07
M16080 -2.231667e-19
M16081 2.029603e-07
M16082 -2.799382e-09
M16083 -3.093013e-07
M16084 -1.380165e-07
M16085 -1.771336e-07
M16086 -2.048479e-08
M16087 -3.075304e-08
M16088 6.975831e-07
M16089 4.223008e-07
M16090 -1.991686e-07
M16091 -4.999046e-07
M16092 -7.814083e-09
M16093 -1.660939e-07
M16094 -2.085200e-07
M16095 1.052581e-07
M16096 5.320216e-08
M16097 -3.055328e-08
M16098 1.164499e-07
M16099 -6.265585e-09
M16100 2.690860e-07
M16101 -2.292268e-07
M16102 6.259900e-07
M16103 -2.231667e-19
M16104 2.331308e-08
M16105 -3.686716e-07
M16106 -3.729712e-07
M16107 -1.250356e-07
M16108 -3.087867e-07
M16109 -4.317613e-07
M16110 3.299530e-07
M16111 5.277520e-07
M16112 -4.674024e-07
M16113 8.619891e-08
M16114 -2.231667e-19
M16115 -3.341124e-07
M16116 3.123937e-07
M16117 -2.231667e-19
M16118 -2.231667e-19
M16119 1.463423e-07
M16120 -9.462419e-08
M16121 -6.696188e-07
M16122 4.237358e-07
M16123 -4.816483e-08
M16124 -2.231667e-19
M16125 6.147466e-08
M16126 6.036817e-09
M16127 -5.910326e-07
M16128 2.124846e-07
M16129 1.575557e-07
M16130 -1.409675e-07
M16131 6.695794e-07
M16132 -4.155238e-08
M16133 -8.317719e-07
M16134 -2.612627e-07
M16135 1.845813e-08
M16136 2.773405e-07
M16137 6.325063e-07
M16138 6.339216e-08
M16139 1.003839e-07
M16140 2.362026e-07
M16141 -2.486935e-07
M16142 2.023964e-07
M16143 -1.073067e-07
M16144 -6.285426e-08
M16145 -2.586218e-08
M16146 9.005917e-08
M16147 -2.359257e-07
M16148 2.548892e-07
M16149 2.177584e-07
M16150 -1.638478e-07
M16151 -1.577156e-07
M16152 9.424056e-08
M16153 -6.884978e-07
M16154 2.231667e-19
M16155 -2.877724e-07
M16156 -4.051344e-07
M16157 3.471810e-07
M16158 2.231667e-19
M16159 -2.231667e-19
M16160 1.466952e-07
M16161 2.231667e-19
M16162 2.274942e-07
M16163 -1.640279e-07
M16164 -2.697063e-07
M16165 2.231667e-19
M16166 1.120730e-07
M16167 1.598662e-07
M16168 -6.326689e-09
M16169 2.810344e-07
M16170 -1.025934e-07
M16171 -6.090280e-07
M16172 3.807108e-07
M16173 -2.186218e-07
M16174 3.237259e-07
M16175 -3.299530e-07
M16176 3.451939e-07
M16177 1.541515e-07
M16178 2.045726e-07
M16179 2.622341e-07
M16180 1.413150e-07
M16181 6.101796e-08
M16182 -1.815895e-07
M16183 1.828674e-07
M16184 -7.953475e-07
M16185 -4.031259e-07
M16186 -1.298352e-07
M16187 1.043122e-08
M16188 -2.023222e-07
M16189 3.246274e-08
M16190 -3.323929e-07
M16191 1.771336e-07
M16192 4.572598e-07
M16193 2.231667e-19
M16194 1.641103e-07
M16195 1.268829e-07
M16196 6.441569e-07
M16197 -2.956872e-08
M16198 1.791597e-07
M16199 2.020397e-07
M16200 -2.231667e-19
M16201 -1.253377e-07
M16202 1.057634e-06
M16203 2.800620e-07
M16204 -5.795048e-07
M16205 -2.455153e-07
M16206 -1.995444e-07
M16207 3.631306e-07
M16208 -2.342885e-07
M16209 -2.434964e-07
M16210 -2.231667e-19
M16211 2.231667e-19
M16212 2.311342e-07
M16213 -2.076593e-07
M16214 3.775189e-07
M16215 2.231667e-19
M16216 1.490229e-07
M16217 -4.423816e-08
M16218 -2.231667e-19
M16219 4.363510e-08
M16220 1.628234e-07
M16221 9.191997e-08
M16222 1.413150e-07
M16223 -2.549002e-08
M16224 2.434964e-07
M16225 -4.286322e-08
M16226 2.231667e-19
M16227 9.191997e-08
M16228 -3.095826e-07
M16229 1.176080e-07
M16230 -1.490229e-07
M16231 1.386620e-07
M16232 -9.332966e-08
M16233 -3.553578e-07
M16234 -1.668646e-07
M16235 -4.619960e-07
M16236 -2.231667e-19
M16237 -1.873866e-07
M16238 1.386620e-07
M16239 -4.816483e-08
M16240 -2.179029e-07
M16241 -1.524023e-07
M16242 -2.160351e-08
M16243 -3.538130e-08
M16244 1.499463e-07
M16245 -6.464809e-07
M16246 7.585043e-08
M16247 -2.231667e-19
M16248 2.932737e-07
M16249 1.882535e-07
M16250 2.231667e-19
M16251 -2.537994e-07
M16252 6.464809e-07
M16253 -1.392084e-07
M16254 -2.256184e-07
M16255 5.407972e-07
M16256 3.992460e-07
M16257 9.313679e-08
M16258 5.262076e-07
M16259 1.845813e-08
M16260 2.233583e-07
M16261 2.711374e-07
M16262 1.369880e-07
M16263 -2.829853e-07
M16264 1.527968e-07
M16265 -4.155238e-08
M16266 6.918915e-08
M16267 2.453142e-07
M16268 -4.603881e-07
M16269 -1.380165e-07
M16270 -3.282268e-07
M16271 -1.792039e-07
M16272 2.223443e-07
M16273 2.403259e-07
M16274 2.193908e-07
M16275 2.150459e-07
M16276 2.231667e-19
M16277 3.957229e-08
M16278 2.252270e-07
M16279 5.320216e-08
M16280 -2.456498e-07
M16281 2.934644e-08
M16282 2.378855e-07
M16283 -4.409307e-07
M16284 8.901412e-08
M16285 -3.970350e-07
M16286 2.333358e-07
M16287 -1.482891e-07
M16288 -2.840410e-08
M16289 -3.341124e-07
M16290 8.792078e-08
M16291 1.118681e-07
M16292 -1.073608e-07
M16293 -1.586334e-07
M16294 7.065775e-08
M16295 -3.479576e-07
M16296 -3.907571e-07
M16297 -4.510216e-08
M16298 1.072288e-07
M16299 -6.527222e-08
M16300 -3.569483e-07
M16301 -2.590570e-07
M16302 1.098453e-07
M16303 -6.021960e-08
M16304 -7.586320e-07
M16305 -5.902957e-08
M16306 4.752966e-07
M16307 1.423896e-07
M16308 3.240890e-07
M16309 -2.699932e-09
M16310 -1.862580e-07
M16311 -2.231667e-19
M16312 6.142692e-08
M16313 1.298352e-07
M16314 -3.991722e-07
M16315 2.880588e-07
M16316 -6.473737e-07
M16317 -8.736835e-07
M16318 3.158744e-07
M16319 -1.092775e-07
M16320 2.231667e-19
M16321 -2.231667e-19
M16322 2.103405e-08
M16323 -1.895427e-07
M16324 2.231667e-19
M16325 7.666231e-08
M16326 2.231667e-19
M16327 1.463423e-07
M16328 5.007176e-07
M16329 2.539223e-07
M16330 -2.231667e-19
M16331 7.954552e-08
M16332 8.714306e-09
M16333 1.551609e-07
M16334 3.299530e-07
M16335 -3.847920e-07
M16336 4.988647e-07
M16337 -4.529493e-07
M16338 9.071249e-08
M16339 -6.671478e-09
M16340 -1.436272e-08
M16341 -5.398416e-08
M16342 -2.231667e-19
M16343 -1.122415e-07
M16344 -6.160127e-07
M16345 -4.882628e-08
M16346 2.231667e-19
M16347 2.970285e-07
M16348 -1.934577e-07
M16349 4.028320e-07
M16350 -1.889962e-07
M16351 3.012280e-08
M16352 1.003824e-07
M16353 -3.444208e-08
M16354 -4.572598e-07
M16355 -4.731078e-07
M16356 -4.200658e-07
M16357 -4.415158e-07
M16358 2.126060e-07
M16359 2.231667e-19
M16360 5.320216e-08
M16361 -2.290049e-07
M16362 -2.231667e-19
M16363 1.916090e-07
M16364 -1.502136e-07
M16365 -4.180647e-08
M16366 7.322381e-07
M16367 2.295737e-08
M16368 2.177584e-07
M16369 -1.909423e-07
M16370 6.993879e-09
M16371 2.437949e-07
M16372 -2.127808e-07
M16373 1.785443e-07
M16374 -2.231667e-19
M16375 3.616654e-07
M16376 -9.790028e-08
M16377 -3.010050e-07
M16378 3.368413e-07
M16379 -8.758437e-08
M16380 1.175951e-07
M16381 -4.068393e-07
M16382 -7.369450e-08
M16383 1.683198e-07
M16384 -2.297442e-07
M16385 1.183086e-07
M16386 1.573373e-08
M16387 -3.325709e-07
M16388 -1.228719e-07
M16389 -9.764903e-08
M16390 -3.104334e-07
M16391 1.383673e-07
M16392 -1.506787e-07
M16393 3.421218e-07
M16394 1.284449e-07
M16395 -1.466250e-07
M16396 7.936382e-08
M16397 -4.917547e-08
M16398 9.494143e-08
M16399 -4.508795e-07
M16400 -1.780953e-07
M16401 -2.231667e-19
M16402 1.340342e-07
M16403 -5.065548e-07
M16404 5.075797e-07
M16405 -6.093467e-07
M16406 -1.866800e-07
M16407 -8.862522e-08
M16408 2.633762e-07
M16409 -8.486516e-08
M16410 2.264865e-08
M16411 -2.231667e-19
M16412 -5.205847e-08
M16413 1.235695e-07
M16414 3.186551e-07
M16415 -2.115209e-07
M16416 2.603640e-07
M16417 -4.917547e-08
M16418 -2.231667e-19
M16419 2.582254e-07
M16420 1.468962e-07
M16421 -3.797100e-07
M16422 -2.344057e-07
M16423 3.577629e-07
M16424 6.369426e-07
M16425 2.027533e-07
M16426 1.496335e-07
M16427 -1.268242e-08
M16428 -3.319291e-07
M16429 -1.096341e-07
M16430 1.712902e-08
M16431 -1.940463e-08
M16432 -2.231667e-19
M16433 -1.302651e-07
M16434 -4.118304e-07
M16435 9.952734e-08
M16436 -2.688090e-07
M16437 1.757408e-09
M16438 -4.355618e-08
M16439 -2.031261e-07
M16440 -6.691297e-09
M16441 2.510763e-07
M16442 6.123885e-08
M16443 -3.848151e-08
M16444 -5.625087e-09
M16445 4.145708e-07
M16446 5.914565e-07
M16447 3.368413e-07
M16448 1.775739e-07
M16449 2.531680e-08
M16450 -3.131384e-07
M16451 -4.162056e-08
M16452 -5.260895e-09
M16453 2.562381e-07
M16454 -1.466250e-07
M16455 2.185480e-07
M16456 -2.032570e-07
M16457 -4.425049e-08
M16458 -1.147862e-07
M16459 2.231155e-07
M16460 1.833385e-08
M16461 -1.607134e-07
M16462 1.071477e-07
M16463 2.177664e-08
M16464 1.263558e-07
M16465 -1.549293e-07
M16466 3.068343e-07
M16467 1.226779e-07
M16468 -3.186001e-07
M16469 -2.231667e-19
M16470 1.466250e-07
M16471 1.263558e-07
M16472 1.488883e-07
M16473 -1.877428e-09
M16474 -3.667959e-09
M16475 2.745176e-07
M16476 8.830875e-08
M16477 -2.231667e-19
M16478 -1.549364e-07
M16479 9.662758e-08
M16480 7.542893e-08
M16481 1.318695e-07
M16482 2.231667e-19
M16483 -2.231667e-19
M16484 -4.394345e-07
M16485 1.967428e-07
M16486 1.681835e-07
M16487 1.263558e-07
M16488 -1.777244e-07
M16489 -4.118304e-07
M16490 -1.405589e-07
M16491 2.231667e-19
M16492 -2.231667e-19
M16493 8.112634e-08
M16494 -2.231667e-19
M16495 -1.643894e-07
M16496 2.572121e-07
M16497 -3.273949e-07
M16498 -1.910389e-07
M16499 3.314214e-08
M16500 1.698504e-07
M16501 -1.310737e-07
M16502 1.386368e-07
M16503 -3.511631e-07
M16504 -1.466250e-07
M16505 -1.447186e-07
M16506 -1.320426e-07
M16507 -1.048521e-08
M16508 -1.079245e-07
M16509 1.366302e-07
M16510 2.231667e-19
M16511 6.836339e-08
M16512 -9.838275e-08
M16513 -2.319827e-07
M16514 -4.652119e-07
M16515 -1.605042e-07
M16516 -1.470890e-07
M16517 2.231667e-19
M16518 9.662758e-08
M16519 -2.059760e-07
M16520 -1.534502e-07
M16521 4.724641e-08
M16522 -3.848151e-08
M16523 2.231667e-19
M16524 -7.768150e-08
M16525 1.337381e-07
M16526 -4.269649e-07
M16527 1.884236e-07
M16528 9.384785e-07
M16529 -1.534481e-08
M16530 4.435473e-07
M16531 -1.197852e-07
M16532 2.455714e-08
M16533 -1.907641e-08
M16534 2.377871e-07
M16535 1.638427e-07
M16536 -3.543974e-08
M16537 1.459844e-07
M16538 3.865288e-07
M16539 -3.945169e-07
M16540 1.985272e-07
M16541 -1.383673e-07
M16542 2.231667e-19
M16543 1.015714e-07
M16544 -1.436063e-07
M16545 -1.599809e-07
M16546 2.878936e-07
M16547 -2.344437e-07
M16548 -3.406942e-08
M16549 -1.284449e-07
M16550 -3.462314e-07
M16551 2.271317e-08
M16552 3.100502e-07
M16553 -4.482614e-07
M16554 6.226658e-08
M16555 3.782173e-07
M16556 -4.257450e-08
M16557 9.716999e-08
M16558 -8.871031e-08
M16559 -2.988314e-07
M16560 -1.384925e-07
M16561 9.306702e-08
M16562 -1.833385e-08
M16563 2.236535e-07
M16564 -1.225598e-07
M16565 1.183086e-07
M16566 4.650287e-07
M16567 8.210879e-07
M16568 -1.801434e-07
M16569 3.246274e-08
M16570 -2.972391e-07
M16571 4.782613e-07
M16572 -3.908443e-08
M16573 4.834336e-08
M16574 -7.768150e-08
M16575 1.800678e-07
M16576 -5.726445e-07
M16577 1.945614e-07
M16578 5.499533e-07
M16579 -3.638670e-07
M16580 -9.662758e-08
M16581 1.348295e-07
M16582 -1.964516e-07
M16583 3.672832e-08
M16584 -1.194194e-07
M16585 4.508360e-07
M16586 1.643894e-07
M16587 4.024960e-07
M16588 1.576805e-08
M16589 7.558796e-08
M16590 -3.452673e-07
M16591 1.018885e-07
M16592 1.776417e-07
M16593 -2.543061e-08
M16594 -2.129578e-07
M16595 -3.246274e-08
M16596 -4.123942e-08
M16597 9.757133e-08
M16598 2.676296e-07
M16599 -5.784351e-08
M16600 9.065927e-08
M16601 3.992112e-07
M16602 -3.458379e-07
M16603 4.552789e-07
M16604 6.062777e-08
M16605 -5.137643e-08
M16606 -8.341778e-08
M16607 -5.074097e-08
M16608 -7.682352e-08
M16609 5.137643e-08
M16610 -1.436063e-07
M16611 -4.132059e-07
M16612 -2.231667e-19
M16613 -5.762464e-07
M16614 -1.165512e-07
M16615 -2.879709e-07
M16616 2.059760e-07
M16617 -4.636148e-08
M16618 -3.965208e-07
M16619 -1.268242e-08
M16620 2.100664e-07
M16621 1.770230e-08
M16622 -2.727638e-07
M16623 -2.446991e-08
M16624 -6.155667e-07
M16625 -1.380760e-07
M16626 -8.612685e-08
M16627 -2.231667e-19
M16628 -7.877136e-08
M16629 2.331308e-08
M16630 -3.848151e-08
M16631 9.958117e-08
M16632 5.434979e-07
M16633 -1.701610e-07
M16634 8.793843e-08
M16635 2.231667e-19
M16636 3.694594e-07
M16637 -4.401927e-07
M16638 -3.032222e-08
M16639 3.737488e-09
M16640 -2.487459e-09
M16641 7.553899e-08
M16642 1.495662e-07
M16643 -1.101017e-07
M16644 -2.550301e-08
M16645 4.334932e-07
M16646 -2.231667e-19
M16647 -3.149799e-07
M16648 1.562383e-08
M16649 -7.087087e-09
M16650 -1.263558e-07
M16651 -6.954988e-08
M16652 3.474402e-08
M16653 -1.311615e-07
M16654 -2.548759e-07
M16655 -3.696117e-09
M16656 -8.189932e-08
M16657 6.274220e-08
M16658 -4.288246e-08
M16659 5.145530e-07
M16660 1.023309e-07
M16661 -3.663584e-07
M16662 -3.059032e-07
M16663 -1.054769e-07
M16664 -2.059760e-07
M16665 -1.940053e-07
M16666 5.331538e-07
M16667 -1.599809e-07
M16668 -1.995350e-07
M16669 9.662758e-08
M16670 7.672104e-08
M16671 -1.495250e-08
M16672 2.307423e-07
M16673 1.023309e-07
M16674 -2.450529e-08
M16675 -5.260895e-09
M16676 -4.612593e-07
M16677 -3.280888e-07
M16678 -3.251193e-07
M16679 -3.972624e-07
M16680 2.214128e-07
M16681 -3.754952e-08
M16682 -1.574219e-07
M16683 1.165512e-07
M16684 -6.352705e-08
M16685 -2.492710e-07
M16686 1.683198e-07
M16687 3.474402e-08
M16688 2.173258e-08
M16689 -1.589760e-07
M16690 4.184044e-07
M16691 -3.051784e-07
M16692 2.740145e-07
M16693 1.923844e-08
M16694 1.623137e-08
M16695 7.906288e-08
M16696 -5.856150e-07
M16697 -2.231667e-19
M16698 -7.768150e-08
M16699 1.824686e-07
M16700 1.121087e-07
M16701 -2.251344e-08
M16702 1.495038e-07
M16703 -4.365854e-07
M16704 -2.159844e-07
M16705 -2.231667e-19
M16706 -8.038449e-08
M16707 1.383673e-07
M16708 -5.141387e-07
M16709 -2.795161e-08
M16710 2.231667e-19
M16711 -3.465115e-07
M16712 2.951608e-07
M16713 1.048166e-07
M16714 2.209425e-07
M16715 2.231667e-19
M16716 -2.054668e-07
M16717 3.745277e-07
M16718 -3.085249e-07
M16719 -1.668050e-07
M16720 1.865360e-07
M16721 2.729020e-07
M16722 4.619721e-09
M16723 -2.231667e-19
M16724 2.231667e-19
M16725 -3.410190e-08
M16726 -2.141058e-07
M16727 2.231667e-19
M16728 1.651196e-07
M16729 -1.194420e-07
M16730 -1.324621e-07
M16731 -3.737488e-09
M16732 1.794847e-07
M16733 -2.937756e-08
M16734 -9.369950e-08
M16735 5.381889e-08
M16736 2.271317e-08
M16737 -1.922463e-07
M16738 5.838287e-08
M16739 -4.023419e-07
M16740 1.263558e-07
M16741 1.643804e-07
M16742 1.079245e-07
M16743 5.532089e-07
M16744 -3.411851e-07
M16745 1.054769e-07
M16746 -1.148895e-07
M16747 2.375258e-08
M16748 1.034978e-07
M16749 2.394892e-07
M16750 2.231667e-19
M16751 1.927141e-07
M16752 -2.270195e-07
M16753 -3.745277e-07
M16754 2.000717e-07
M16755 1.263558e-07
M16756 1.842582e-07
M16757 -5.433913e-08
M16758 -5.294641e-07
M16759 -6.549244e-07
M16760 -1.300655e-08
M16761 2.924586e-07
M16762 8.876910e-08
M16763 2.550301e-08
M16764 -9.952734e-08
M16765 -1.709557e-07
M16766 1.263558e-07
M16767 -6.478852e-09
M16768 2.231667e-19
M16769 -7.601142e-08
M16770 5.344085e-08
M16771 -3.031735e-07
M16772 2.674003e-07
M16773 -1.623137e-08
M16774 -5.137643e-08
M16775 -5.260895e-09
M16776 1.477578e-07
M16777 -2.099834e-07
M16778 1.170385e-07
M16779 2.231667e-19
M16780 1.483243e-07
M16781 6.677722e-08
M16782 -5.426534e-07
M16783 -1.377411e-07
M16784 4.155669e-07
M16785 -8.237133e-08
M16786 -1.034978e-07
M16787 2.691632e-07
M16788 1.509130e-07
M16789 -4.652119e-07
M16790 -2.266648e-07
M16791 1.380760e-07
M16792 2.231667e-19
M16793 3.718625e-08
M16794 -4.852218e-07
M16795 8.876910e-08
M16796 4.351937e-08
M16797 -1.578915e-07
M16798 -5.442359e-07
M16799 -1.755802e-08
M16800 4.133003e-07
M16801 -2.583984e-07
M16802 -2.231667e-19
M16803 3.316301e-07
M16804 -5.176007e-07
M16805 1.304219e-07
M16806 -1.164957e-07
M16807 -1.244850e-07
M16808 -1.555699e-07
M16809 3.726552e-07
M16810 3.292626e-07
M16811 6.320718e-08
M16812 2.357202e-07
M16813 6.478331e-08
M16814 -1.209871e-07
M16815 3.553239e-07
M16816 1.775739e-07
M16817 -8.871031e-08
M16818 1.183086e-07
M16819 3.419465e-07
M16820 -3.690948e-07
M16821 -5.788011e-07
M16822 4.635377e-08
M16823 -8.098684e-08
M16824 -1.769875e-07
M16825 -1.559171e-07
M16826 -5.473196e-09
M16827 -2.337267e-08
M16828 -1.599809e-07
M16829 3.319291e-07
M16830 7.650224e-08
M16831 -1.909423e-07
M16832 -2.231667e-19
M16833 1.310032e-07
M16834 1.263558e-07
M16835 2.283769e-07
M16836 2.231667e-19
M16837 -9.604912e-08
M16838 1.659720e-07
M16839 -6.699179e-07
M16840 -2.231667e-19
M16841 7.932779e-08
M16842 4.762266e-07
M16843 -4.341674e-07
M16844 6.100746e-08
M16845 4.207950e-08
M16846 3.286660e-08
M16847 -4.257499e-09
M16848 -4.071504e-08
M16849 1.662365e-08
M16850 -2.077221e-07
M16851 4.164954e-07
M16852 1.775739e-07
M16853 -2.046888e-07
M16854 2.231667e-19
M16855 -1.509130e-07
M16856 -4.257450e-08
M16857 1.348112e-07
M16858 8.176313e-08
M16859 2.231667e-19
M16860 4.454711e-07
M16861 -4.405969e-07
M16862 -1.544025e-07
M16863 -2.375354e-07
M16864 2.231667e-19
M16865 -1.209052e-07
M16866 -3.280424e-07
M16867 1.164644e-07
M16868 -2.231667e-19
M16869 -2.231667e-19
M16870 -2.231667e-19
M16871 1.986049e-07
M16872 6.282877e-08
M16873 4.688958e-07
M16874 1.170801e-07
M16875 -8.793843e-08
M16876 -9.301796e-08
M16877 3.848151e-08
M16878 1.086220e-08
M16879 -1.502429e-07
M16880 2.725226e-07
M16881 -1.623372e-08
M16882 -5.558907e-08
M16883 -6.306575e-08
M16884 -1.066582e-07
M16885 -3.474402e-08
M16886 4.454711e-07
M16887 4.742644e-08
M16888 4.124911e-07
M16889 3.986317e-08
M16890 -3.532123e-08
M16891 1.575480e-07
M16892 -3.369011e-07
M16893 -6.146450e-08
M16894 -2.392700e-08
M16895 -2.455714e-08
M16896 2.525006e-07
M16897 -8.093493e-08
M16898 -2.392407e-07
M16899 2.486943e-07
M16900 1.950975e-07
M16901 3.884075e-08
M16902 2.179220e-07
M16903 7.528615e-08
M16904 5.814607e-08
M16905 -1.092144e-07
M16906 -1.909423e-07
M16907 1.015714e-07
M16908 3.616654e-07
M16909 -5.418986e-07
M16910 2.028507e-07
M16911 -1.270051e-07
M16912 7.828392e-08
M16913 -2.879329e-07
M16914 1.416348e-07
M16915 -7.107256e-08
M16916 6.478331e-08
M16917 -4.022425e-07
M16918 -4.985358e-08
M16919 8.849772e-08
M16920 -9.391287e-08
M16921 2.717696e-07
M16922 -3.141133e-07
M16923 3.982425e-07
M16924 1.334317e-07
M16925 -7.768150e-08
M16926 -1.967211e-09
M16927 -2.252329e-09
M16928 1.934930e-07
M16929 9.952734e-08
M16930 -1.183086e-07
M16931 -9.163001e-09
M16932 -8.418357e-08
M16933 3.554979e-07
M16934 -2.047323e-07
M16935 -4.593122e-07
M16936 2.129578e-07
M16937 2.163118e-07
M16938 1.174721e-07
M16939 8.448392e-08
M16940 -1.391209e-07
M16941 1.318695e-07
M16942 -3.013291e-08
M16943 2.016865e-07
M16944 -2.231667e-19
M16945 3.131384e-07
M16946 -4.566703e-08
M16947 -9.952734e-08
M16948 -2.528177e-08
M16949 2.231667e-19
M16950 9.069943e-08
M16951 1.606676e-07
M16952 -5.435653e-07
M16953 3.745277e-07
M16954 -5.434979e-07
M16955 -5.693836e-07
M16956 2.231667e-19
M16957 -2.802892e-07
M16958 1.543713e-07
M16959 -3.251671e-08
M16960 -5.060053e-07
M16961 -1.046389e-08
M16962 -4.567329e-07
M16963 -2.168155e-07
M16964 7.727586e-08
M16965 3.474402e-08
M16966 6.407709e-07
M16967 1.519886e-08
M16968 -9.742084e-08
M16969 2.756903e-08
M16970 6.969540e-08
M16971 -4.742644e-08
M16972 -2.231667e-19
M16973 -1.263558e-07
M16974 -2.271317e-08
M16975 -1.940053e-07
M16976 4.850160e-07
M16977 3.184215e-07
M16978 2.145401e-07
M16979 -2.103836e-07
M16980 -1.079245e-07
M16981 -6.406073e-08
M16982 -2.391467e-07
M16983 -2.496703e-07
M16984 5.332165e-08
M16985 6.282877e-08
M16986 -3.226790e-08
M16987 -3.741033e-08
M16988 -4.379878e-08
M16989 -3.246274e-08
M16990 5.558907e-08
M16991 -2.855060e-07
M16992 -6.012800e-08
M16993 -2.799221e-07
M16994 1.547178e-07
M16995 -2.824848e-07
M16996 1.466762e-07
M16997 3.520200e-07
M16998 -9.287276e-08
M16999 -1.522161e-07
M17000 3.368250e-07
M17001 5.798549e-08
M17002 -2.231667e-19
M17003 -2.888499e-07
M17004 -5.637236e-07
M17005 -3.319291e-07
M17006 -1.066582e-07
M17007 -1.313884e-07
M17008 2.265454e-07
M17009 -2.231667e-19
M17010 3.665036e-07
M17011 2.814733e-07
M17012 -2.231667e-19
M17013 2.201776e-07
M17014 6.282877e-08
M17015 4.715350e-07
M17016 1.497219e-07
M17017 1.475818e-07
M17018 -8.445310e-08
M17019 -1.400186e-07
M17020 1.837411e-07
M17021 -5.357649e-08
M17022 1.931222e-07
M17023 -2.583984e-07
M17024 -1.175951e-07
M17025 -1.909012e-07
M17026 -1.553407e-07
M17027 -2.231667e-19
M17028 1.815456e-07
M17029 2.863634e-07
M17030 -2.988462e-07
M17031 4.552789e-07
M17032 2.231667e-19
M17033 2.231667e-19
M17034 1.486937e-07
M17035 -2.255349e-07
M17036 -4.452944e-07
M17037 1.334879e-07
M17038 -8.023948e-08
M17039 -5.087038e-07
M17040 -1.334879e-07
M17041 -3.665036e-07
M17042 2.845477e-08
M17043 4.387926e-08
M17044 2.492710e-07
M17045 2.487459e-09
M17046 -1.165512e-07
M17047 1.594678e-07
M17048 8.308912e-08
M17049 9.430781e-08
M17050 -4.064578e-08
M17051 5.359843e-08
M17052 9.662758e-08
M17053 4.272532e-07
M17054 9.458673e-08
M17055 -1.400186e-07
M17056 1.546131e-07
M17057 1.601091e-07
M17058 -3.424590e-07
M17059 2.231667e-19
M17060 1.183086e-07
M17061 2.496503e-07
M17062 -3.226790e-08
M17063 1.763079e-07
M17064 -4.787501e-07
M17065 2.231667e-19
M17066 -8.996201e-08
M17067 1.311615e-07
M17068 -4.184044e-07
M17069 -3.442787e-09
M17070 -1.553567e-07
M17071 1.173657e-07
M17072 -6.637432e-08
M17073 3.192200e-07
M17074 -1.088202e-07
M17075 2.231667e-19
M17076 2.938273e-09
M17077 1.403609e-07
M17078 -3.059032e-07
M17079 -1.066582e-07
M17080 3.315394e-07
M17081 -3.537949e-08
M17082 6.348665e-08
M17083 5.921422e-08
M17084 -4.742644e-08
M17085 -3.131384e-07
M17086 2.736046e-07
M17087 -1.383673e-07
M17088 4.710964e-07
M17089 4.162056e-08
M17090 -1.263558e-07
M17091 -2.936969e-07
M17092 -1.086242e-08
M17093 -1.558042e-07
M17094 2.691632e-07
M17095 1.733150e-07
M17096 -1.903091e-07
M17097 -3.663584e-07
M17098 7.768150e-08
M17099 -9.190910e-08
M17100 -1.998266e-07
M17101 -3.474402e-08
M17102 -3.848151e-08
M17103 -6.658806e-08
M17104 -3.393110e-09
M17105 -1.173657e-07
M17106 2.528839e-07
M17107 -2.141058e-07
M17108 4.184044e-07
M17109 -1.173657e-07
M17110 -6.948805e-08
M17111 -3.369011e-07
M17112 9.765226e-08
M17113 -1.295227e-08
M17114 -4.703204e-07
M17115 1.290206e-07
M17116 5.063429e-07
M17117 4.408753e-08
M17118 9.662758e-08
M17119 -3.093061e-09
M17120 -1.436063e-07
M17121 3.246274e-08
M17122 -5.442359e-07
M17123 -4.448302e-08
M17124 1.425596e-07
M17125 9.173076e-09
M17126 1.356977e-08
M17127 3.644289e-08
M17128 -1.336790e-09
M17129 -2.071315e-07
M17130 6.352705e-08
M17131 1.202259e-07
M17132 -1.421814e-08
M17133 3.558557e-08
M17134 3.683089e-07
M17135 2.173258e-08
M17136 -1.623137e-08
M17137 1.269639e-07
M17138 -2.769123e-07
M17139 3.737488e-09
M17140 -1.732365e-07
M17141 4.065558e-07
M17142 -6.348665e-08
M17143 -6.430757e-07
M17144 -2.464067e-07
M17145 1.263558e-07
M17146 -2.180174e-08
M17147 -6.836339e-08
M17148 -1.164873e-07
M17149 2.231667e-19
M17150 1.121522e-07
M17151 1.173657e-07
M17152 -6.188356e-08
M17153 -2.231667e-19
M17154 -2.964096e-07
M17155 -9.430781e-08
M17156 -1.340342e-07
M17157 -3.410190e-08
M17158 -4.127535e-08
M17159 -1.260883e-07
M17160 -1.203235e-07
M17161 -1.342714e-07
M17162 -1.269855e-07
M17163 2.059760e-07
M17164 -8.944928e-09
M17165 -5.209246e-08
M17166 2.627823e-07
M17167 2.810135e-08
M17168 -6.123885e-08
M17169 1.326849e-07
M17170 3.474402e-08
M17171 -4.742644e-08
M17172 6.691127e-08
M17173 1.866435e-08
M17174 -4.131597e-07
M17175 -5.565480e-08
M17176 -5.614630e-09
M17177 2.449705e-07
M17178 -1.912150e-07
M17179 9.765226e-08
M17180 -3.510700e-08
M17181 3.162398e-08
M17182 -3.085249e-07
M17183 -9.952734e-08
M17184 5.034709e-07
M17185 1.853797e-07
M17186 3.741055e-08
M17187 3.280424e-07
M17188 1.554710e-07
M17189 2.451276e-07
M17190 4.292278e-08
M17191 -1.466250e-07
M17192 -2.231667e-19
M17193 9.563307e-08
M17194 2.061737e-07
M17195 6.579505e-08
M17196 1.495038e-07
M17197 3.368413e-07
M17198 -3.207454e-07
M17199 -2.682064e-07
M17200 -1.707209e-07
M17201 -1.816927e-08
M17202 -8.208146e-08
M17203 -2.177664e-08
M17204 2.173258e-08
M17205 1.355771e-07
M17206 7.814083e-09
M17207 2.231667e-19
M17208 1.003836e-07
M17209 3.104334e-07
M17210 -9.662758e-08
M17211 9.662758e-08
M17212 3.414427e-08
M17213 2.526363e-08
M17214 -1.865292e-07
M17215 -4.293748e-08
M17216 1.203235e-07
M17217 1.902722e-07
M17218 -3.246274e-08
M17219 2.582254e-07
M17220 -1.309930e-07
M17221 1.003695e-08
M17222 7.956051e-08
M17223 2.628013e-07
M17224 3.737488e-09
M17225 3.189386e-07
M17226 2.882341e-07
M17227 -4.489121e-07
M17228 -5.294750e-07
M17229 1.852528e-07
M17230 -1.334879e-07
M17231 5.357649e-08
M17232 1.173657e-07
M17233 -6.897391e-08
M17234 -3.737488e-09
M17235 2.674915e-07
M17236 1.318695e-07
M17237 -1.183086e-07
M17238 1.436063e-07
M17239 -5.210718e-08
M17240 8.871031e-08
M17241 -4.552281e-07
M17242 5.159043e-07
M17243 4.069178e-08
M17244 -3.848151e-08
M17245 1.541106e-07
M17246 2.077221e-07
M17247 4.586181e-07
M17248 -3.376660e-07
M17249 -2.649960e-07
M17250 1.131889e-08
M17251 1.009552e-07
M17252 1.263558e-07
M17253 -2.333489e-07
M17254 2.351965e-07
M17255 1.336790e-09
M17256 -4.091540e-07
M17257 -3.091394e-07
M17258 2.864451e-07
M17259 -9.662758e-08
M17260 -2.231667e-19
M17261 -2.387698e-09
M17262 3.881514e-07
M17263 2.801992e-08
M17264 8.793843e-08
M17265 1.002222e-07
M17266 3.100502e-07
M17267 2.952711e-07
M17268 -3.616159e-08
M17269 -1.325859e-07
M17270 -9.501917e-09
M17271 4.124911e-07
M17272 -1.414887e-07
M17273 6.478331e-08
M17274 4.390757e-07
M17275 -1.801434e-07
M17276 6.700903e-10
M17277 -9.389308e-08
M17278 -1.461961e-07
M17279 6.190030e-09
M17280 1.912071e-07
M17281 -2.016865e-07
M17282 -4.264601e-07
M17283 3.164780e-07
M17284 3.474402e-08
M17285 1.279678e-07
M17286 1.995084e-07
M17287 6.836339e-08
M17288 1.263558e-07
M17289 8.343913e-08
M17290 -1.175951e-07
M17291 -4.715350e-07
M17292 2.928993e-09
M17293 -1.045486e-07
M17294 2.231667e-19
M17295 2.988462e-07
M17296 8.847889e-08
M17297 2.333489e-07
M17298 2.983495e-07
M17299 1.932852e-07
M17300 -1.932077e-07
M17301 3.183555e-07
M17302 1.555501e-07
M17303 -1.173657e-07
M17304 2.592569e-07
M17305 2.231667e-19
M17306 4.408753e-08
M17307 -2.231667e-19
M17308 2.478537e-08
M17309 7.462471e-09
M17310 1.760782e-08
M17311 -8.871031e-08
M17312 2.412554e-07
M17313 -1.015714e-07
M17314 8.944928e-09
M17315 2.515967e-07
M17316 -5.359843e-08